.
Aulas Teóricas e de Problemas
de
Álgebra Linear
Nuno Martins
Departamento de Matemática
Instituto Superior Técnico
Maio de 2011
1
Índice
Parte I (Aulas teóricas e …chas de exercícios)
Matrizes e sistemas de equações lineares.................................................................3
1a
…cha de exercícios para as aulas de problemas............................................................23
1a
…cha de exercícios facultativos....................................................................................29
Determinantes.............................................................................................................33
2a
…cha de exercícios para as aulas de problemas...........................................................39
Espaços lineares (ou Espaços vectoriais)...............................................................44
3a
…cha de exercícios para as aulas de problemas...........................................................63
2a
…cha de exercícios facultativos....................................................................................71
Transformações lineares............................................................................................73
4a
…cha de exercícios para as aulas de problemas...........................................................88
Valores próprios e vectores próprios. Diagonalização..........................................98
5a
…cha de exercícios para as aulas de problemas..........................................................111
3a
…cha de exercícios facultativos..................................................................................115
Produtos internos e ortogonalização.....................................................................116
6a
…cha de exercícios para as aulas de problemas...........................................................130
4a
…cha de exercícios facultativos..................................................................................134
Produto externo e produto misto..........................................................................135
Diagonalização unitária e diagonalização ortogonal...........................................137
Formas quadráticas..................................................................................................141
Mínimos quadrados..................................................................................................147
7a
…cha de exercícios para as aulas de problemas............................................................151
Bibliogra…a...................................................................................................................152
Parte II (Resoluções das …chas de exercícios)
Resolução da 1a
…cha de exercícios para as aulas de problemas.......................................153
Resolução da 1a
…cha de exercícios facultativos..............................................................186
Resolução da 2a
…cha de exercícios para as aulas de problemas.......................................200
Resolução da 3a
…cha de exercícios para as aulas de problemas.......................................215
Resolução da 2a
…cha de exercícios facultativos..............................................................281
Resolução da 4a
…cha de exercícios para as aulas de problemas.......................................292
Resolução da 5a
…cha de exercícios para as aulas de problemas.......................................348
Resolução da 3a
…cha de exercícios facultativos..............................................................378
Resolução da 6a
…cha de exercícios para as aulas de problemas.......................................383
Resolução da 4a
…cha de exercícios facultativos..............................................................416
Resolução da 7a
…cha de exercícios para as aulas de problemas.......................................419
2
Matrizes e sistemas de equações lineares
De…nição 1. (i) Sejam m; n 2 N. Uma matriz A, do tipo m n (lê-se m por n), é
uma tabela de mn números dispostos em m linhas e n colunas:
A =
2
6
6
6
4
a11 a12 a1n
a21 a22 a2n
...
...
...
am1 am2 amn
3
7
7
7
5
:
Usa-se também a notação A = (aij)m n ou simplesmente A = (aij), na qual aij é a entrada
(i; j) da matriz A. Se m = n, diz-se que A é uma matriz quadrada do tipo n n (ou de
ordem n) e as entradas a11; a22; :::; ann formam a chamada diagonal principal de A. Se
m 6= n, diz-se que A é uma matriz rectangular.
(ii) A matriz linha i de A é: ai1 ai2 ain , para i = 1; :::; m. A matriz coluna
j de A é: 2
6
6
6
4
a1j
a2j
...
amj
3
7
7
7
5
para j = 1; :::; n.
(iii) À matriz do tipo m n cujas entradas são todas iguais a zero, chama-se matriz
nula e representa-se por 0m n ou simplesmente por 0. Por exemplo
02 2 =
0 0
0 0
e 02 3 =
0 0 0
0 0 0
.
(iv) À matriz do tipo n n
2
6
6
6
4
a11 0 0
0 a22 0
...
...
...
0 0 ann
3
7
7
7
5
tal que aij = 0 se i 6= j para todos os i; j, isto é, à matriz cujas entradas fora da diagonal
principal são todas nulas, chama-se matriz diagonal.
(v) À matriz do tipo n n 2
6
6
6
4
1 0 0
0 1 0
...
...
...
0 0 1
3
7
7
7
5
,
chama-se matriz identidade e representa-se por In n ou simplesmente por I.
3
(vi) À matriz do tipo n n
2
6
6
6
4
a11 a12 a1n
0 a22 a2n
...
...
...
...
0 0 ann
3
7
7
7
5
cujas entradas por baixo da diagonal principal são todas nulas, isto é, tais que aij = 0 se
i > j, chama-se matriz triangular superior. À matriz do tipo n n
2
6
6
6
4
a11 0 0
a21 a22
...
...
...
...
... 0
an1 an2 ann
3
7
7
7
5
cujas entradas por cima da diagonal principal são todas nulas, isto é, tais que aij = 0 se
i < j, chama-se matriz triangular inferior.
Uma matriz diz-se triangular se fôr triangular superior ou triangular inferior.
Exemplo 1. As matrizes
A =
1 1
2 2
, B =
1 2 3 4
2 0 2 0
, C = 0 0 7 e D =
2
6
6
4
4
3
2
1
3
7
7
5
são dos seguintes tipos: A é 2 2, B é 2 4, C é 1 3, D é 4 1. Tem-se, por exemplo,
a21 = 2, b13 = 3, c12 = 0 e d41 = 1.
Observação 1. Uma matriz (real) A do tipo m n é uma aplicação:
A : f1; :::; mg f1; :::; ng ! R
(i; j) ! aij
Notação 1. O conjunto de todas as matrizes reais (complexas) do tipo m n é denotado
por Mm n (R) (Mm n (C)). Tem-se Mm n (R) Mm n (C).
De…nição 2. Duas matrizes são iguais se forem do mesmo tipo e se as entradas corres-
pondentes forem iguais, isto é, A = (aij)m n e B = (bij)p q são iguais se m = p, n = q e
aij = bij, para i = 1; :::; m e j = 1; :::; n.
De…nição 3. A soma de duas matrizes do mesmo tipo
A = (aij)m n e B = (bij)m n
é a matriz
A + B = (aij + bij)m n.
4
Exemplo 2. Sejam
A =
1 4 1
3 2 3
, B =
0 2 4
7 3 9
, C =
2
4
1
1=2p
2
3
5 e D =
2
4
1
1=2p
2
3
5 :
A + B =
1 2 3
4 5 6
, C + D =
2
4
0
0
0
3
5 e não é possível, por exemplo, somar B com C.
De…nição 4. O produto de um escalar (número real ou complexo) por uma
matriz A = (aij)m n é a matriz:
A = ( aij)m n.
Notação 2. A matriz ( 1)A será denotada por A.
Exemplo 3. Seja A =
1 4 1
3 2 6
. Tem-se, por exemplo, 2A =
2 8 2
6 4 12
.
Observação 2. 1A = A, 0A = 0 (matriz nula), A + A = 2A, A + ::: + A| {z }
n vezes
= nA.
De…nição 5. A diferença entre duas matrizes A e B do mesmo tipo é de…nida por
A B = A + ( B),
ou seja, é a soma de A com o simétrico de B.
De…nição 6. (i) O produto AB de duas matrizes A e B só pode ser efectuado se o
número de colunas da 1a
matriz, A, fôr igual ao número de linhas da 2a
matriz, B. Nesse
caso, o produto AB de A = (aij)m p por B = (bij)p n é de…nido por:
AB = (ai1b1j + ::: + aipbpj)m n =
p
X
k=1
aikbkj
!
m n
,
isto é,
2
6
6
6
6
6
4
a11 a1p
...
...
ai1 aip
...
...
am1 amp
3
7
7
7
7
7
5
2
6
4
b11 b1j b1n
...
...
...
bp1 bpj bpn
3
7
5 =
2
6
6
6
6
6
6
4
pP
k=1
a1kbk1
pP
k=1
a1kbkn
pP
k=1
aikbkj
pP
k=1
amkbk1
pP
k=1
amkbkn
3
7
7
7
7
7
7
5
5
Note que sendo b1; :::; bp as colunas da matriz B, então
AB = A b1 bp = Ab1 Abp
e sendo a1; :::; ap as linhas da matriz A, então
AB =
2
6
4
a1
...
am
3
7
5 B =
2
6
4
a1B
...
amB
3
7
5
(ii) Sejam A uma matriz do tipo n n e p 2 N. A potência p de A é de…nida por
Ap
= A:::A| {z }
p vezes
e para p = 0 de…ne-se (se A fôr não nula) A0
= I.
(iii) Diz-se que duas matrizes A e B comutam se AB = BA.
Exemplo 4. (i)
0 2
2 3
1 1 1
3 2 2
=
=
0 1 + ( 2) ( 3) 0 1 + ( 2) 2 0 ( 1) + ( 2) ( 2)
2 1 + 3 ( 3) 2 1 + 3 2 2 ( 1) + 3 ( 2)
=
6 4 4
7 8 8
(ii) 1 1 1
2
4
1
1=2p
2
3
5 = 1 ( 1) + 1 1
2
+ ( 1)
p
2 =
p
2 1
2
(iii)
2
4
1
1=2p
2
3
5 1 1 1 =
2
4
( 1) 1 ( 1) 1 ( 1) ( 1)
1
2
1 1
2
1 1
2
( 1)p
2 1
p
2 1
p
2 ( 1)
3
5 =
2
4
1 1 1
1
2
1
2
1
2p
2
p
2
p
2
3
5
(iv) n 2 N,
2
6
6
6
4
a11 0 0
0 a22 0
...
...
...
0 0 ann
3
7
7
7
5
n
=
2
6
6
6
4
(a11)n
0 0
0 (a22)n
0
...
...
...
0 0 (ann)n
3
7
7
7
5
.
Observação 3. (i) O produto de matrizes não é comutativo. Por exemplo, para
A =
0 1
1 0
e B =
0 1
1 0
tem-se AB =
1 0
0 1
e BA =
1 0
0 1
.
Logo AB 6= BA.
(ii) CD = 0 ; (C = 0 ou D = 0), pois, por exemplo, para
C =
1 1
1 1
e D =
1 1
1 1
; CD = 0:
(iii) Se A (B) tem uma linha (coluna) nula então AB tem uma linha (coluna) nula.
6
De…nição 7. (i) A transposta de uma matriz A = (aij)m n é a matriz AT
= (aji)n m,
isto é 2
6
6
6
4
a11 a12 a1n
a21 a22 a2n
...
...
...
am1 am2 amn
3
7
7
7
5
T
=
2
6
6
6
4
a11 a21 am1
a12 a22 am2
...
...
...
a1n a2n amn
3
7
7
7
5
:
(ii) Sendo A = (aij)m n 2 Mm n (C), à matriz A = (aij)m n chama-se matriz conju-
gada de A.
(iii) Sendo A = (aij)m n 2 Mm n (C), à matriz AH
= A
T
chama-se matriz transposta
conjugada de A.
Exemplo 5.
2
4
1 3
4 2
1 6
3
5
T
=
1 4 1
3 2 6
.
2
4
1 + 2i 3
4 i
1 6
3
5
H
=
1 2i 4 1
3 i 6
:
Teorema 1. Sejam A, B, C e D matrizes de tipos apropriados, e escalares. São
válidas as seguintes propriedades para as operações matriciais.
(a) (Comutatividade da soma) A + B = B + A.
(b) (Associatividade da soma) A + (B + C) = (A + B) + C.
(c) (Elemento neutro da soma) Existe uma única matriz 0 do tipo m n tal que A+0 =
0 + A = A, para toda a matriz A do tipo m n.
(d) (Simétrico) Para cada matriz A existe uma única matriz B tal que A+B = B+A = 0.
Esta matriz B denota-se por A.
(e) (Associatividade do produto por escalares) ( A) = ( ) A.
(f) (Distributividade) ( + ) A = A + A.
(g) (Distributividade) (A + B) = A + B.
(h) (Associatividade do produto de matrizes) A (BC) = (AB) C.
(i) (Distributividade) A (B + C) = AB + AC e (B + C) D = BD + CD.
(j) (AB) = ( A) B = A ( B).
(k) AI = A e IB = B, para todas as matrizes A = (aij)m n e B = (bij)n m, onde I é a
matriz identidade do tipo n n.
(l) A0 = 0 e 0B = 0, para todas as matrizes A = (aij)m n e B = (bij)n m, onde 0 é a
matriz nula do tipo n n.
(m) AT T
= A: AH H
= A:
7
(n) (A + B)T
= AT
+ BT
. (A + B)H
= AH
+ BH
.
(o) ( A)T
= AT
. ( A)H
= AH
.
(p) (AB)T
= BT
AT
. (AB)H
= BH
AH
.
(q) (A1A2:::An)T
= AT
n :::AT
2 AT
1 , com A1, A2, :::, An matrizes de tipos apropriados.
(A1A2:::An)H
= AH
n :::AH
2 AH
1
De…nição 8. Uma matriz A do (tipo n n) diz-se invertível se existir uma matriz B
(do tipo n n) tal que
AB = BA = I.
À matriz B chama-se matriz inversa de A e denota-se por A 1
.
Exemplo 6.
0 1
1 0
é invertível e
0 1
1 0
1
=
0 1
1 0
.
Observação 4. (i) Sendo A 1
a matriz inversa de A, então A 1
é invertível e a sua
inversa é a própria matriz A, isto é, (A 1
)
1
= A.
(ii) A matriz nula não é invertível. No entanto, a matriz identidade I é invertível tendo-se
I 1
= I.
(iii) Se uma matriz quadrada tiver uma linha ou uma coluna nula então não é invertível.
Teorema 2. A inversa de uma matriz invertível é única.
Dem. Sejam B e C as inversas de A. Então, B = BI = B (AC) = (BA) C = IC = C.
De…nição 9. (i) Uma matriz A diz-se simétrica se A = AT
, isto é, se aij = aji, para
i; j = 1; :::; n. Diz-se que A é anti-simétrica se A = AT
, isto é, se aij = aji, para
i; j = 1; :::; n.
(ii) Uma matriz A 2 Mm n (C) diz-se hermitiana (ou hermítica) se AH
= A. Diz-se
que A é anti-hermitiana se AH
= A.
(iii) Uma matriz A 2 Mn n (R) diz-se ortogonal se fôr invertível e se A 1
= AT
.
(iv) Uma matriz A 2 Mn n (C) diz-se unitária se fôr invertível e se A 1
= AH
.
(v) Uma matriz A diz-se normal se AH
A = AAH
.
Exemplo 7.
0 1
1 0
é uma matriz simétrica.
0 1
1 0
T
=
0 1
1 0
.
8
1 1 + i
1 i 1
é uma matriz hermitiana.
1 1 + i
1 i 1
H
=
1 1 + i
1 i 1
.
cos sen
sen cos
é uma matriz ortogonal ( 2 R):
1
2
2
3
i 2
3
i
2
3
i 1
3
2
3
i
é uma matriz unitária.
2 3i 1
i 1 2i
é uma matriz normal.
Teorema 3. (i) Se A = (aij)n n e B = (bij)n n são duas matrizes invertíveis, então AB
é invertível e (AB) 1
= B 1
A 1
.
(ii) Sendo um escalar não nulo e A uma matriz invertível então A é invertível e
( A) 1
= 1
A 1
.
(iii) Seja m 2 N. Se A = (aij)n n é uma matriz invertível, então Am
é invertível e
(Am
) 1
= (A 1
)
m
e escreve-se A m
= (Am
) 1
.
(iv) Seja A = (aij)n n uma matriz. Se existir l 2 N tal que Al
= 0 então A não é
invertível.
(v) Sejam A e B matrizes com A invertível tais que AB = 0. Então B = 0.
(vi) Sejam A e B matrizes com B invertível tais que AB = 0. Então A = 0.
(vii) Sejam A, B e C matrizes com A invertível tais que AB = AC. Então B = C.
(viii) Sejam A, B e C matrizes com B invertível tais que AB = CB. Então A = C.
(ix) A = (aij)n n é uma matriz invertível se e só se AT
é invertível e AT 1
= (A 1
)
T
:
(x) A = (aij)n n é invertível se e só se AH
é invertível e AH 1
= (A 1
)
H
:
(xi) Se A = (aij)n n é uma matriz simétrica invertível, então A 1
é simétrica.
(xii) Se A = (aij)n n é uma matriz hermitiana invertível, então A 1
é hermitiana.
(xiii) Se A = (aij)n n é uma matriz ortogonal, então AT
e A 1
são matrizes ortogonais.
(xiv) Se A = (aij)n n é uma matriz unitária, então AH
e A 1
são matrizes unitárias.
(xv) Se A e B são duas matrizes ortogonais então AB é uma matriz ortogonal.
(xvi) Se A e B são duas matrizes unitárias então AB é uma matriz unitária.
(xvii) Se A e B são duas matrizes simétricas então AB é uma matriz simétrica se e só
se A e B comutarem.
(xviii) Se A e B são duas matrizes hermitianas então AB é uma matriz hermitiana se e
só se A e B comutarem.
9
De…nição 10. Uma equação linear com n incógnitas x1; x2; :::; xn é uma equação da
forma
a1x1 + a2x2 + ::: + anxn = b;
em que a1; a2; :::; an e b são constantes (reais ou complexas). A b chama-se termo indepen-
dente.
De…nição 11. Um sistema de m equações lineares com n incógnitas é um conjunto
de equações da forma
( )
8
>><
>>:
a11x1 + a12x2 + ::: + a1nxn = b1
a21x1 + a22x2 + ::: + a2nxn = b2
:::
am1x1 + am2x2 + ::: + amnxn = bm
em que aij e bk são constantes (reais ou complexas), para i; k = 1; :::; m e j = 1; :::; n.
Usando o produto de matrizes de…nido na secção anterior, o sistema de equações lineares
acima pode ser escrito como uma equação matricial
AX = B
em que
A =
2
6
6
6
4
a11 a12 a1n
a21 a22 a2n
...
...
...
am1 am2 amn
3
7
7
7
5
, X =
2
6
6
6
4
x1
x2
...
xn
3
7
7
7
5
e B =
2
6
6
6
4
b1
b2
...
bm
3
7
7
7
5
.
A matriz A é a matriz dos coe…cientes do sistema, X é a matriz coluna das incógnitas
e B é a matriz coluna dos termos independentes. A matriz
[A j B] =
2
6
6
6
4
a11 a12 a1n j b1
a21 a22 a2n j b2
...
...
...
...
...
am1 am2 amn j bm
3
7
7
7
5
associada ao sistema ( ) chama-se matriz aumentada do sistema.
MUITO IMPORTANTE: Note que
AX =
2
6
6
6
4
a11
a21
...
am1
3
7
7
7
5
x1 +
2
6
6
6
4
a12
a22
...
am2
3
7
7
7
5
x2 + ::: +
2
6
6
6
4
a1n
a2n
...
amn
3
7
7
7
5
xn.
10
De…nição 12. Uma solução do sistema de equações lineares ( ) de variáveis reais, é
o elemento (s1; s2; :::; sn) 2 Rn
:= f(a1; a2; :::; an) : a1; a2; :::; an 2 Rg tal que as equações do
sistema são satisfeitas quando substituímos
x1 = s1; x2 = s2; :::; xn = sn.
(No caso das variáveis serem complexas ter-se-ia soluções em Cn
.)
Note que isso equivale a dizer que
S =
2
6
6
6
4
s1
s2
...
sn
3
7
7
7
5
satisfaz a equação matricial AX = B, isto é, fazendo X = S tem-se a condição verdadeira
AS = B. Ao conjunto de todas as soluções do sistema chama-se conjunto solução ou
solução geral do sistema.
Exemplo 8. O sistema linear de duas equações e duas incógnitas
x + 2y = 1
2x + y = 0
pode
ser escrito do seguinte modo:
1 2
2 1
x
y
=
1
0
.
A solução geral do sistema acima é dada por f(x; y) : x + 2y = 1 e 2x + y = 0g = f( 1=3; 2=3)g,
isto é, X =
1=3
2=3
é a única matriz que satisfaz AX = B, com A =
1 2
2 1
e B =
1
0
.
Teorema 4. Sejam A uma matriz do tipo m n e B uma matriz do tipo m 1. Se o
sistema de equações lineares AX = B tem duas soluções distintas X0 e X1 (X0 6= X1), então
terá in…nitas soluções.
Dem. Basta veri…car que X = (1 ) X0 + X1 é solução do sistema AX = B, para
qualquer 2 R.
De…nição 13. A um sistema de equações lineares da forma
8
>><
>>:
a11x1 + a12x2 + ::: + a1nxn = 0
a21x1 + a22x2 + ::: + a2nxn = 0
:::
am1x1 + am2x2 + ::: + amnxn = 0
chama-se sistema linear homogéneo. Este sistema pode ser escrito na forma AX = 0.
11
Observação 5. (i) Todo o sistema linear homogéneo AX = 0 admite pelo menos a
solução trivial:
X =
2
6
6
6
4
x1
x2
...
xn
3
7
7
7
5
=
2
6
6
6
4
0
0
...
0
3
7
7
7
5
.
Assim, todo o sistema linear homogéneo tem solução. Além disso, ou tem apenas a solução
trivial ou tem in…nitas soluções.
(ii) Como iremos ver num próximo capítulo, à solução geral do sistema linear homogéneo
AX = 0 dá-se o nome de núcleo de A e escreve-se N (A).
Teorema 5. Se A = (aij)m n é tal que m < n, então o sistema linear homogéneo
AX = 0 tem in…nitas soluções.
Dem. Como o sistema tem menos equações do que incógnitas (m < n), o no
de linhas
não nulas r da matriz em escada de linhas obtida da matriz aumentada do sistema também
é tal que r < n. Assim, há r pivots e n r incógnitas livres as quais podem assumir qualquer
valor. Logo, o sistema linear homogéneo AX = 0 tem in…nitas soluções.
Teorema 6. Sejam A = (aij)m n e ; escalares.
(i) Se Y e W são soluções do sistema AX = 0, então Y + W também o é.
(ii) Se Y é solução do sistema AX = 0, então Y também o é.
(iii) Se Y e W são soluções do sistema AX = 0, então Y + W também o é.
(iv) Sejam Y e W soluções do sistema AX = B. Se Y + W (para quaisquer escalares
; ) também é solução de AX = B, então B = 0. (Sugestão: basta fazer = = 0.)
Teorema 7. Seja A uma matriz do tipo m n e B 6= 0 uma matriz do tipo m 1.
Qualquer solução X do sistema AX = B escreve-se na forma X = X0 + Y onde X0 é uma
solução particular do sistema AX = B e Y é uma solução do sistema linear homogéneo
AX = 0. Assim:
solução geral de
AX = B
=
solução particular de
AX = B
+
solução geral de
AX = 0
.
Dem. Sendo X0 uma solução particular do sistema AX = B e Y1 uma solução qualquer
de AY = 0 então A (X0 + Y1) = AX0 = B pelo que X0 + Y1 é também uma solução de
AX = B e não há solução de AX = B que não seja deste tipo uma vez que, se X1 fôr uma
solução qualquer de AX = B tem-se
AX1 = B = AX0 , A (X1 X0) = 0
e assim X1 X0 = Y2 é solução de AY = 0 tendo-se X1 = X0 + Y2.
12
Teorema 8. Seja A uma matriz do tipo n n.
(i) O sistema AX = B tem solução única se e só se A fôr invertível. Neste caso a solução
geral é
X = A 1
B:
(ii) O sistema homogéneo AX = 0 tem solução não trivial se e só se A fôr não invertível.
Teorema 9. (i) Sejam A e B duas matrizes do tipo n n. Se AB é invertível, então A
e B são invertíveis.
(ii) Se A é uma matriz do tipo n n tal que AB = I então BA = I e B = A 1
:
Dem. (i) Considere o sistema (AB) X = 0. Se B não fosse invertível, então pelo teorema
anterior existiria X 6= 0 tal que BX = 0. Logo, X 6= 0 seria solução não trivial de ABX = 0,
o que contraria o teorema anterior uma vez que por hipótese AB é invertível. Assim, B
é invertível. Finalmente, A é invertível por ser o produto de duas matrizes invertíveis:
A = (AB) B 1
.
(ii) Atendendo à alínea anterior, B é invertível. Logo B 1
também é invertível e
A = AI = A BB 1
= (AB) B 1
= IB 1
= B 1
,
isto é, A é invertível e A 1
= (B 1
)
1
= B.
De…nição 14. (i) Às seguintes operações que se podem aplicar às equações de um
sistema de equações lineares, chamam-se operações elementares.
(a) Trocar a posição de duas equações do sistema;
(b) Multiplicar uma equação por um escalar diferente de zero;
(c) Substituição de uma equação pela sua soma com um múltiplo escalar de outra
equação.
(ii) Dois sistemas de equações lineares que se obtêm um do outro através de um número
…nito de operações elementares, dizem-se equivalentes.
Observação 6. (i) Dois sistemas de equações lineares que se obtêm um do outro através
de um número …nito de operações elementares, têm o mesmo conjunto solução.
(ii) Quando aplicamos operações elementares às equações de um sistema de equações
lineares, só os coe…cientes e os termos independentes do sistema são alterados. Logo, aplicar
as operações elementares anteriores às equações de um sistema linear ( ) equivale a aplicar
às linhas da matriz aumentada
[A j B] =
2
6
6
6
4
a11 a12 a1n j b1
a21 a22 a2n j b2
...
...
...
...
...
am1 am2 amn j bm
3
7
7
7
5
as seguintes operações.
13
De…nição 15. As operações elementares que podem ser aplicadas às linhas (i e j)
de uma matriz são:
(i) Trocar a posição de duas linhas (i e j) da matriz: Li $ Lj
(ii) Multiplicar uma linha (i) da matriz por um escalar ( ) diferente de zero: Li ! Li
(iii) Substituição de uma linha (j) pela sua soma com um múltiplo escalar ( ) de outra
linha (i): Li + Lj ! Lj
Teorema 10. Se dois sistemas lineares AX = B e CX = D são tais que a matriz
aumentada [C j D] é obtida de [A j B] através de uma ou mais operações elementares, então
os dois sistemas são equivalentes.
De…nição 16. Uma matriz A = (aij)m n diz-se em escada de linhas se:
(i) Todas as linhas nulas (formadas inteiramente por zeros) estão por baixo das linhas
não nulas;
(ii) Por baixo (e na mesma coluna) do primeiro elemento não nulo de cada linha e por
baixo dos elementos nulos anteriores da mesma linha, todas as entradas são nulas. Esse
primeiro elemento não nulo de cada linha tem o nome de pivot.
Exemplo 9. As seguintes matrizes estão em escada de linhas:
A1 =
4 1
0 0
; A2 =
0 1 3 0
0 0 5 1
; A3 =
2
6
6
6
6
4
2 1 1=2 0 0
0 0 3 0
p
2
0 0 0 0 5
0 0 0 0 0
0 0 0 0 0
3
7
7
7
7
5
.
De…nição 17. O método de resolver sistemas lineares que consiste em aplicar operações
elementares às linhas da matriz aumentada do respectivo sistema de modo a que essa matriz
…que em escada de linhas, chama-se método de eliminação de Gauss.
Exemplo 10. O sistema de equações lineares de variáveis reais x; y e z
8
<
:
x + z = 3
x + 2y + 2z = 6
3y + 3z = 6
é equivalente a
2
4
1 0 1
1 2 2
0 3 3
3
5
2
4
x
y
z
3
5 =
2
4
3
6
6
3
5 .
Considere-se então a matriz aumentada e o consequente método de eliminação de Gauss:
2
4
1 0 1 j 3
1 2 2 j 6
0 3 3 j 6
3
5 !
L1+L2!L2
2
4
1 0 1 j 3
0 2 1 j 3
0 3 3 j 6
3
5 !3
2
L2+L3!L3
2
4
1 0 1 j 3
0 2 1 j 3
0 0 3
2
j 3
2
3
5 .
14
Logo, 8
<
:
x + z = 3
2y + z = 3
3
2
z = 3
2
,
8
<
:
x = 2
y = 1
z = 1.
Neste exemplo o sistema tem a solução única f(2; 1; 1)g e diz-se possível e determi-
nado.
Exemplo 11. O sistema de equações lineares de variáveis reais x; y; z e w
8
<
:
3z 9w = 6
5x + 15y 10z + 40w = 45
x + 3y z + 5w = 7
é equivalente a
2
4
0 0 3 9
5 15 10 40
1 3 1 5
3
5
2
6
6
4
x
y
z
w
3
7
7
5 =
2
4
6
45
7
3
5 .
Considere-se então a matriz aumentada e o consequente método de eliminação de Gauss:
2
4
0 0 3 9 j 6
5 15 10 40 j 45
1 3 1 5 j 7
3
5 !
L1$L3
1
5
L2!L2
2
4
1 3 1 5 j 7
1 3 2 8 j 9
0 0 3 9 j 6
3
5 !
L1+L2!L2
!
L1+L2!L2
2
4
1 3 1 5 j 7
0 0 1 3 j 2
0 0 3 9 j 6
3
5 !
3L2+L3!L3
2
4
1 3 1 5 j 7
0 0 1 3 j 2
0 0 0 0 j 0
3
5 .
Logo,
x + 3y z + 5w = 7
z + 3w = 2
,
x = 3y 2w 5
z = 3w + 2.
As incógnitas y e w são livres e as incógnitas x e z são não livres. A solução geral do sistema
é: 8
>><
>>:
2
6
6
4
3s 2t 5
s
3t + 2
t
3
7
7
5 : s; t 2 R
9
>>=
>>;
isto é, o conjunto solução é dado por: f( 3s 2t 5; s; 3t + 2; t) : s; t 2 Rg. Neste exemplo
o sistema tem in…nitas soluções e diz-se possível e indeterminado.
Exemplo 12. Seja a 2 R. O sistema de equações lineares de variáveis reais x; y e z
8
<
:
x + 2y + z = 3
x + y z = 2
x + y + (a2
5) z = a
é equivalente a
2
4
1 2 1
1 1 1
1 1 a2
5
3
5
2
4
x
y
z
3
5 =
2
4
3
2
a
3
5 .
Considere-se então a matriz aumentada e o consequente método de eliminação de Gauss:
2
4
1 2 1 j 3
1 1 1 j 2
1 1 a2
5 j a
3
5 !
L1+L2!L2
L1+L3!L3
2
4
1 2 1 j 3
0 1 2 j 1
0 1 a2
6 j a 3
3
5 !
L2+L3!L3
15
!
L2+L3!L3
2
4
1 2 1 j 3
0 1 2 j 1
0 0 (a 2) (a + 2) j a 2
3
5 .
Se a = 2, então o sistema é possível e indeterminado:
x + 2y + z = 3
y 2z = 1
,
x = 3z + 1
y = 2z + 1,
a incógnita z é livre, as incógnitas x e y são não livres e a solução geral do sistema é
8
<
:
2
4
3t + 1
2t + 1
t
3
5 : t 2 R
9
=
;
isto é, o conjunto solução é dado por: f(3t + 1; 2t + 1; t) : t 2 Rg.
Assim, se a = 2, o sistema tem in…nitas soluções e diz-se possível e indeterminado.
Se a = 2, o sistema não tem solução e diz-se impossível.
Se a 6= 2 e a 6= 2, o sistema tem a solução única a+5
a+2
; a
a+2
; 1
a+2
e diz-se possível
e determinado.
Observação 7. (Como inverter matrizes invertíveis do tipo n n). Seja A uma
matriz do tipo n n e consideremos a equação AX = B. Se A fôr invertível temos
AX = B , X = A 1
B, isto é, AX = IB , IX = A 1
B.
Assim, para determinar a inversa de A, iremos transformar a matriz aumentada [A j I] na
matriz [I j A 1
], por meio de operações elementares aplicadas às linhas de [A j I]:
[A j I] !
:::
I j A 1
Este método tem o nome de método de eliminação de Gauss-Jordan e consistirá na
continuação do método de eliminação de Gauss agora aplicado a [matriz triangular superior j ],
efectuando-se as eliminações de baixo para cima de modo a obter-se [I j A 1
].
Exemplo 13. Vejamos que
2 1
1 2
1
=
2
3
1
3
1
3
2
3
: Tem-se
2 1 j 1 0
1 2 j 0 1
!1
2
L1+L2!L2
!1
2
L1+L2!L2
2 1 j 1 0
0 3
2
j 1
2
1
!2
3
L2+L1!L1
2 0 j 4
3
2
3
0 3
2
j 1
2
1
!2
3
L2!L2
1
2
L1!L1
1 0 j 2
3
1
3
0 1 j 1
3
2
3
.
Isto é
2 1
1 2
1
=
2
3
1
3
1
3
2
3
.
De facto
2 1
1 2
2
3
1
3
1
3
2
3
=
2
3
1
3
1
3
2
3
2 1
1 2
= I
16
Exemplo 14. (i) Seja A =
2
4
0 1 1
1 5
4
1
2
1 1
2
0
3
5. Tem-se
[A j I] =
2
4
0 1 1 j 1 0 0
1 5
4
1
2
j 0 1 0
1 1
2
0 j 0 0 1
3
5 !
:::
2
4
1 0 0 j 1 2 3
0 1 0 j 2 4 4
0 0 1 j 3 4 4
3
5 .
Logo, 2
4
0 1 1
1 5
4
1
2
1 1
2
0
3
5
1
=
2
4
1 2 3
2 4 4
3 4 4
3
5 :
Veri…que(!) que: AA 1
= I.
(ii) Seja A =
2
4
9 8 7
6 5 4
3 2 1
3
5. Tem-se
[A j I] =
2
4
9 8 7 j 1 0 0
6 5 4 j 0 1 0
3 2 1 j 0 0 1
3
5 !
:::
2
4
3 2 1 j 0 0 1
0 1 2 j 0 1 2
0 0 0 j 1 2 1
3
5
Logo, A não é invertível.
(iii) Sejam A =
1 2
3 4
B =
4 0
0 8
C =
0 1
8
1
4
0
. Determine-se X tal que
A I 2XT 1
B 1
= C:
Tem-se
A I 2XT 1
B 1
= C , I 2XT 1
= A 1
CB , I 2XT
= A 1
CB
1
,
, XT
=
1
2
I B 1
C 1
A , X =
1
2
I AT
CT 1
BT 1
,
, X =
1
2
1 0
0 1
1 3
2 4
0 1
4
1
8
0
1
4 0
0 8
1
!
, X =
1 1
2
2 1
2
:
De…nição 18. (Ver-se-á mais adiante a consistência desta de…nição.) Seja A uma matriz
em escada de linhas. Ao no
de colunas de A que não contêm pivots chama-se nulidade de A
e escreve-se nul A. Ao no
de pivots de A, isto é, ao no
de linhas não nulas de A, dá-se o nome
de característica de A e escreve-se car A. Se A fôr a matriz em escada de linhas obtida de
C através de operações elementares então diz-se que a característica de C é car A, tendo-se
car C = car A e diz-se que a nulidade de C é nul A, tendo-se nul C = nul A.
17
Exemplo 15. Considere-se as matrizes do exemplo 9. Pivot de A1: 4. Pivots de A2:
1; 5. Pivots de A3: 2; 3; 5. Tem-se: car A1 = 1, car A2 = 2 e car A3 = 3. Além disso:
nul A1 = 1, nul A2 = 2 e nul A3 = 2.
De…nição 19. Uma matriz A = (aij)n n diz-se não singular se após o método de
eliminação de Gauss esta fôr transformada numa matriz triangular superior cujas entradas
da diagonal principal sejam todas não nulas. Uma matriz A = (aij)n n diz-se singular se
após o método de eliminação de Gauss existir (pelo menos) uma linha nula na matriz obtida
de A.
Teorema 11. Seja A = (aij)n n. Tem-se
A é invertível , A é não singular , car A = n ,
, para todo o B o sistema AX = B tem uma única solução (X = A 1
B),
isto é,
A não é invertível , A é singular , car A < n ,
, existe pelo menos um B para o qual o sistema AX = B não tem solução.
Observação 8. Seja [A j B] a matriz aumentada associada a um sistema de equações
lineares com n incógnitas.
(i) Se car A = car [A j B] = n então o sistema é possível e determinado (tem uma
única solução).
(ii) Se car A = car [A j B] < n então o sistema é possível e indeterminado (tem um
no
in…nito de soluções).
(iii) Se car A < car [A j B] então o sistema é impossível (não tem solução).
(iv) As incógnitas livres (podem tomar valores arbitrários) do sistema são aquelas que
correspondem às colunas, que não contenham pivots, da matriz em escada de linhas obtida
de A através de operações elementares.
(v) As incógnitas não livres do sistema são aquelas que correspondem às colunas,
que contenham pivots, da matriz em escada de linhas obtida de A através de operações
elementares.
(vi) car A = no
de linhas não nulas da matriz em escada de linhas obtida de A =
= no
de pivots = no
de incógnitas não livres:
nul A = no
de incógnitas livres:
(vii) Seja A uma matriz do tipo m n. Então 0 car A min fm; ng e
car A + nul A = n:
18
De…nição 20. Uma matriz elementar é uma matriz do tipo n n obtida da matriz
identidade I (do tipo n n) através de uma única operação elementar.
(i) A matriz Pij, chamada matriz de permutação, é a matriz elementar obtida por
troca da linha i com a linha j da matriz I. Tem-se:
Pij =
2
6
6
6
6
6
6
6
6
6
6
6
6
6
6
6
6
6
6
6
4
1 0 0
0
...
...
...
...
... 1
0 1
1
...
1
1 0
1
...
...
...
...
... 0
0 0 1
3
7
7
7
7
7
7
7
7
7
7
7
7
7
7
7
7
7
7
7
5
i
j
.
(ii) A matriz Ei( ) é a matriz elementar obtida da matriz I através do produto do escalar
6= 0 pela linha i da matriz I. Tem-se:
Ei( ) =
2
6
6
6
6
6
6
6
6
6
6
6
4
1 0 0
0
...
...
...
...
... 1
1
...
...
...
... ... 0
0 0 1
3
7
7
7
7
7
7
7
7
7
7
7
5
i .
(iii) A matriz Eij( ) é a matriz elementar obtida da matriz I por soma da linha j com
um múltiplo escalar da linha i. Por exemplo para i < j tem-se:
Eij( ) =
2
6
6
6
6
6
6
6
6
6
6
6
4
1 0 0
0
...
...
...
...
... 1
...
1
...
...
...
...
... 0
0 0 1
3
7
7
7
7
7
7
7
7
7
7
7
5
i
j
.
19
Observação 9. (i) As matrizes elementares Eij( ), com i < j, são matrizes triangulares
inferiores.
(ii) As matrizes elementares Eij( ) e Eik( ) comutam, isto é, Eij( )Eik( ) = Eik( )Eij( ).
Exemplo 16. Sejam ; escalares com 6= 0. As matrizes elementares do tipo 2 2
são:
P12 = P21 =
0 1
1 0
, E1( ) =
0
0 1
, E2( ) =
1 0
0
, E12( ) =
1 0
1
e E21( ) =
1
0 1
.
Teorema 12. Sejam E uma matriz elementar do tipo m m e A uma matriz qualquer
do tipo m n. Então, EA é a matriz obtida de A através da mesma operação elementar que
originou E. Isto é, aplicar uma operação elementar a uma matriz corresponde a multiplicar
essa matriz à esquerda por uma matriz elementar.
Exemplo 17. Considere-se a matriz aumentada
2
4
0 0 3 9 j 6
5 15 10 40 j 45
1 3 1 5 j 7
3
5. A op-
eração elementar:
2
4
0 0 3 9 j 6
5 15 10 40 j 45
1 3 1 5 j 7
3
5 !
L1$L3
2
4
1 3 1 5 j 7
5 15 10 40 j 45
0 0 3 9 j 6
3
5 ,
corresponde à seguinte multiplicação (à esquerda):
2
4
0 0 1
0 1 0
1 0 0
3
5
2
4
0 0 3 9 j 6
5 15 10 40 j 45
1 3 1 5 j 7
3
5 =
2
4
1 3 1 5 j 7
5 15 10 40 j 45
0 0 3 9 j 6
3
5 .
A operação elementar:
2
4
1 3 1 5 j 7
5 15 10 40 j 45
0 0 3 9 j 6
3
5 !1
5
L2!L2
2
4
1 3 1 5 j 7
1 3 2 8 j 9
0 0 3 9 j 6
3
5 ,
corresponde à seguinte multiplicação (à esquerda):
2
4
1 0 0
0 1=5 0
0 0 1
3
5
2
4
1 3 1 5 j 7
5 15 10 40 j 45
0 0 3 9 j 6
3
5 =
2
4
1 3 1 5 j 7
1 3 2 8 j 9
0 0 3 9 j 6
3
5 .
A operação elementar:
2
4
1 3 1 5 j 7
1 3 2 8 j 9
0 0 3 9 j 6
3
5 !
L1+L2!L2
2
4
1 3 1 5 j 7
0 0 1 3 j 2
0 0 3 9 j 6
3
5 ,
20
corresponde à seguinte multiplicação (à esquerda):
2
4
1 0 0
1 1 0
0 0 1
3
5
2
4
1 3 1 5 j 7
1 3 2 8 j 9
0 0 3 9 j 6
3
5 =
2
4
1 3 1 5 j 7
0 0 1 3 j 2
0 0 3 9 j 6
3
5 .
Finalmente, a operação elementar:
2
4
1 3 1 5 j 7
0 0 1 3 j 2
0 0 3 9 j 6
3
5 !
3L2+L3!L3
2
4
1 3 1 5 j 7
0 0 1 3 j 2
0 0 0 0 j 0
3
5 ,
corresponde à seguinte multiplicação (à esquerda):
2
4
1 0 0
0 1 0
0 3 1
3
5
2
4
1 3 1 5 j 7
0 0 1 3 j 2
0 0 3 9 j 6
3
5 =
2
4
1 3 1 5 j 7
0 0 1 3 j 2
0 0 0 0 j 0
3
5 .
Tem-se então:
E23 (3) E12 ( 1) E2
1
5
P13
2
4
0 0 3 9 j 6
5 15 10 40 j 45
1 3 1 5 j 7
3
5 =
2
4
1 3 1 5 j 7
0 0 1 3 j 2
0 0 0 0 j 0
3
5 .
Teorema 13. Toda a matriz elementar é invertível e a respectiva inversa é também uma
matriz elementar. Tem-se:
(i) (Pij) 1
= Pij. (ii) (Ei( )) 1
= Ei(1= ), para 6= 0. (iii) (Eij( )) 1
= Eij( ).
Teorema 14. Uma matriz A é invertível se e só se fôr igual ao produto de matrizes
elementares.
Observação 10. O teorema anterior indica um modo alternativo para calcular a matriz
inversa de uma matriz invertível.
Teorema 15. (Factorização triangular). Duas consequências do método de
eliminação de Gauss:
(i) Seja A uma matriz do tipo m n. Então ou A admite a factorização A = LU ou
existe uma matriz de permutação P tal que PA admite a factorização PA = LU, onde L é
uma matriz triangular inferior com as entradas da diagonal principal todas iguais a 1 e U é
uma matriz em escada.
(ii) Seja A uma matriz não singular do tipo n n. Então ou A admite a factorização
única A = LU ou existe uma matriz de permutação P tal que PA admite a factorização
única PA = LU, onde L é uma matriz triangular inferior com as entradas da diagonal
principal todas iguais a 1 e U é uma matriz triangular superior cujas entradas da diagonal
21
principal são os pivots que resultam de aplicar o método de eliminação de Gauss à matriz
A.
Exemplo 18. Seja A =
2
4
1 1 1
2 1 4
2 3 5
3
5. Tem-se:
E23(1)E13( 2)E12( 2)A =
2
4
1 1 1
0 1 2
0 0 5
3
5 .
Logo,
A = (E12( 2)) 1
(E13( 2)) 1
(E23(1)) 1
2
4
1 1 1
0 1 2
0 0 5
3
5 .
Isto é,
A = E12(2)E13(2)E23( 1)
2
4
1 1 1
0 1 2
0 0 5
3
5 , ou ainda, A = LU,
com
L = E12(2)E13(2)E23( 1) =
2
4
1 0 0
2 1 0
2 1 1
3
5 e U =
2
4
1 1 1
0 1 2
0 0 5
3
5 .
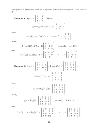
Exemplo 19. Seja A =
2
6
6
4
1 2 3 4
0 0 5 6
0 0 10 6
0 1 7 8
3
7
7
5. Tem-se P24A =
2
6
6
4
1 2 3 4
0 1 7 8
0 0 10 6
0 0 5 6
3
7
7
5 e
E34 ( 1=2) P24A =
2
6
6
4
1 2 3 4
0 1 7 8
0 0 10 6
0 0 0 3
3
7
7
5
Logo
P24A = (E34 ( 1=2)) 1
2
6
6
4
1 2 3 4
0 1 7 8
0 0 10 6
0 0 0 3
3
7
7
5
Isto é,
P24A = E34 (1=2)
2
6
6
4
1 2 3 4
0 1 7 8
0 0 10 6
0 0 0 3
3
7
7
5 , ou ainda, PA = LU,
com
P = P24, L = E34 (1=2) =
2
6
6
4
1 0 0 0
0 1 0 0
0 0 1 0
0 0 1=2 1
3
7
7
5 e U =
2
6
6
4
1 2 3 4
0 1 7 8
0 0 10 6
0 0 0 3
3
7
7
5 :
22
1a
Ficha de exercícios para as aulas de problemas
1. Veri…que que:
(i)
6 9
4 6
2
=
0 0
0 0
(ii)
1 1
0 1
1000
= I (iii)
0 1
1 0
2
= I
(iv)
0 1
1 0
222
+
0 1
1 0
220
=
0 0
0 0
(v)
1 2
3 4
5 4
6 11
=
5 4
6 11
1 2
3 4
(vi)
2
4
1 1 1
1 1 1
2 2 2
3
5
2
=
2
4
0 0 0
0 0 0
0 0 0
3
5 (vii)
2
4
2 2 4
1 3 4
1 2 3
3
5
2
=
2
4
2 2 4
1 3 4
1 2 3
3
5
(viii)
2
4
1
2
3
3
5 1 0 1 =
2
4
1 0 1
2 0 2
3 0 3
3
5 (ix) 3
1 1
1 1
1
2
0 2
1 1
2
=
4 2
7
2
5
2
(x)
4
2
1
2
1
T
2
2 1
2 1
1
4
2
3
p
2
T
=
7 2
p
2 11
9 2
p
2 + 10
(xi)
a b
c d
1
=
1
ad bc
d b
c a
(se ad bc 6= 0)
A 2a
coluna de
2
4
1 1 1
1 1 1
1 1 1
3
5
2
4
6 2 9
7 1 6
9 1 7
3
5 é
2
4
1 1 1
1 1 1
1 1 1
3
5
2
4
2
1
1
3
5 =
2
4
2
2
0
3
5
(xiii)
cos sen
sen cos
é ortogonal ( 2 R). Isto é,
cos sen
sen cos
cos sen
sen cos
T
=
cos sen
sen cos
T
cos sen
sen cos
= I
(xiv)
2
6
4
p
3
3
p
2
2
p
6
6p
3
3
p
2
2
p
6
6p
3
3
0
p
6
3
3
7
5 é ortogonal. (xv)
1
2
2
3
i 2
3
i
2
3
i 1
3
2
3
i
é unitária. Isto é,
1
2
2
3
i 2
3
i
2
3
i 1
3
2
3
i
1
2
2
3
i 2
3
i
2
3
i 1
3
2
3
i
H
=
1
2
2
3
i 2
3
i
2
3
i 1
3
2
3
i
H 1
2
2
3
i 2
3
i
2
3
i 1
3
2
3
i
= I
(xvi)
2 3i 1
i 1 2i
é uma matriz normal. Isto é,
2 3i 1
i 1 2i
2 3i 1
i 1 2i
H
=
2 3i 1
i 1 2i
H
2 3i 1
i 1 2i
(xvii) As constantes a; b e c que de…nem a função y = ax2
+ bx + c cujo grá…co passa
pelos pontos (x1; y1) ; (x2; y2) e (x3; y3) (de abcissas distintas entre si), constituem a
solução
2
4
a
b
c
3
5 do sistema linear cuja matriz aumentada é dada por:
2
4
x2
1 x1 1 j y1
x2
2 x2 1 j y2
x2
3 x3 1 j y3
3
5.
23
2. Efectue, sempre que possível, as seguintes operações.
(i) 1
3
2
3
(ii) 0 1 +
1
0
(iii)
3
2
2
1 1
1
3
2 4
3
p
5 1
2
(iv) 2
1 0
3 1
2
1
3
0 6
2 3
(v)
1
3
0 2
1 1
(vi) 2
p
3 4
0
1
(vii)
p
2
3
4 1
2
2 (viii)
0
@
2
4
2
1
4
1
3
5 2
p
2 3
1
A
T
(ix)
0
B
B
B
B
@
2
2
4
1
3
0 1
2
1
3
1
2
1
3
5
T 2
4
1 0 1
2
1
3
1
2
1
3
5
2
6
6
6
6
4
8
9
1
3
1
1
3
1
2
1
5
3
1 5
2
3
7
7
7
7
5
1
C
C
C
C
A
T
(x)
2
4
1 1
2
0 2
0 1 1
4
0
6 2 5 1
3
5
T 2
4
1 0
2 4
1
3
3
3
5 (xi)
2
4
1 0
2 4
1
3
3
3
5
T 2
4
1 1
2
0 2
0 1 1
4
0
6 2 5 1
3
5
3. Pretende-se arrumar livros em caixas. Ao colocar 7 livros em cada caixa, …ca um livro
de fora. Ao colocar 8 livros por caixa, há uma caixa que só tem 1 livro. Quantos livros
se pretende arrumar? Quantas caixas existem?
4. C = Celsius, F = Fahrenheit. A partir do ponto de congelação (C; F) = (0; 32) e do
ponto de ebulição (C; F) = (100; 212), deduza a equação linear
F =
9
5
C + 32:
Veri…que que o único valor comum a ambas as escalas é 40 .
5. Escreva a matriz A = (aij)4 4 2 M4 4 (R) em cada um dos seguintes casos:
a) aij = j2
( 1)i+j
b) aij =
8
<
:
0 se i > j
1
i+j 1
caso contrário,
c)
8
>>>><
>>>>:
i se i = j
j se j = i + 1
i j caso contrário,
d) aij =
8
<
:
aji para todo i; j
j se j > i
6. Veri…que se a matriz (aij) 2 M2 2 (R) de…nida por aij = 3i + 2j, para todo i; j = 1; 2,
é simétrica.
7. Determine as características e as nulidades das seguintes matrizes reais, identi…cando
os respectivos pivots.
(i)
2
4
0 0
0 0
0 0
3
5 (ii)
2
4
1 2 3
0 1 1
1 2 3
3
5 (iii)
2
4
2 1
2 4
1 2
3
5 (iv)
2
4
1 2 3 4
5 6 7 8
9 10 11 12
3
5
24
(v)
2
4
0 1 1 1
1 1 1 0
1 1 2 1
3
5 (vi)
2
6
6
4
1 2 1 3 2
1 1 3 2 1
2 7 1 9 8
3 3 2 4 6
3
7
7
5 (vii)
2
6
6
4
1 3 1 2
0 11 5 3
2 5 3 1
4 1 1 5
3
7
7
5
(viii)
5 1 2
0 2 0
(ix)
2
4
3 6 9
2 4 6
1 2 3
3
5 (x)
2
4
2 10 6 8 4
1 5 3 4 2
2 10 6 8 4
3
5
8. Quais das seguintes equações são equações lineares em x; y e z ?
(a) 3
x +
p
3y + z = 1 (b)
1
2
x + z = 0 (c) x 1
+ 3y z = 2 (d) x yz = 1
9. Diga qual dos seguintes pontos: (0; 0) ; (1; 1) ; (1; 1) ; ( 1; 1) é a solução do seguinte
sistema de equações lineares nas variáveis x; y.
8
<
:
x + y = 0
x 2y = 3
x y = 2.
10. Diga quais dos seguintes pontos: (0; 0; 0; 0) ; (1; 1; 1; 0) ; (1; 1; 1; 2) ; 3; 9; 7;
3
p
2
são soluções do sistema de equações lineares nas variáveis x; y; z e w.
x 2y 3z = 0
x + y + z = 1.
11. (i) Determine os coe…cientes a; b; c e d da função polinomial p(x) = ax3
+ bx2
+ cx + d,
cujo grá…co passa pelos pontos P1 = (0; 10); P2 = (1; 7); P3 = (3; 11) e P4 = (4; 14).
(ii) Determine os coe…cientes a; b e c da equação da circunferência
x2
+ y2
+ ax + by + c = 0;
que passa pelos pontos P1 = ( 2; 7); P2 = ( 4; 5) e P3 = (4; 3).
12. Seja 2 R. Em função do parâmetro , calcule a característica e a nulidade das
seguintes matrizes. Em cada alínea, indique ainda (se existirem), justi…cando, os val-
ores de para os quais essas matrizes são invertíveis:
(i)
2
4
1 0 1
1
0 1
3
5 (ii)
2
4
1
2 1 2
3 2 1
3
5 (iii)
2
4
2 2
2 1 1
0 2
1 + 1
3
5
(iv)
2
6
6
4
1 0 1
0 1 0 0
3 0 0
1 1 1 2
3
7
7
5 (v)
2
6
6
4
1 0 1
0 1 1 0
1 0 2
1
2 0 2 2
3
7
7
5 (vi)
2
6
6
4
1 1 0
1 1 0
1 1 3
0
1 1 2
1
3
7
7
5
13. Determine valores para x; y; z e w de modo a que nas reacções químicas seguintes
os elementos químicos envolventes ocorram em iguais quantidades em cada lado da
respectiva equação.
(a) xC3H8 + yO2 ! zCO2 + wH2O (b) xCO2+yH2O ! zC6H12O6 + wO2
25
14. Resolva os seguintes sistemas de equações lineares.
(a)
2x + 3y = 1
5x + 7y = 3
(b)
2x + 4y = 10
3x + 6y = 15
(c)
4x 2y = 5
6x + 3y = 1
(d)
8
<
:
2x + y 3z = 5
3x 2y + 2z = 5
5x 3y z = 16
(e)
8
<
:
2x + 3y 2z = 5
x 2y + 3z = 2
4x y + 4z = 1
(f)
8
<
:
x + 2y + 3z = 3
2x + 3y + 8z = 4
3x + 2y + 17z = 1
(g)
8
<
:
2x + 3y = 3
x 2y = 5
3x + 2y = 7
(h)
8
<
:
x + 2y z + 3w = 3
2x + 4y + 4z + 3w = 9
3x + 6y z + 8w = 10
(i)
8
<
:
x + 5y + 4z 13w = 3
3x y + 2z + 5w = 2
2x + 2y + 3z 4w = 1
(j)
8
>><
>>:
2x3 + 3x4 = 4
2x1 6x3 + 9x4 = 7
2x1 + 2x2 5x3 + 2x4 = 4
100x2 + 150x3 200x4 = 50
(k)
8
<
:
x 2y + 3z w = 1
3x y + 2z + 5w = 2
3x + 6y 9z + 3w = 6
15. Discuta em função do parâmetro real os seguintes sistemas de equações lineares (nas
variáveis x; y e z). Nos casos em que existirem soluções, determine-as.
(a)
8
<
:
x + y + z = 1
x + y + z = 1
x + y + z = 1
(b)
x + 2y + z = 1
2x + y + 8z = 3
(c)
8
<
:
x + y + z = 2
3x + 4y + 2z =
2x + 3y z = 1
(d)
8
<
:
x + y + z = 1
x + y + z =
x + y + z = 2
(e)
8
<
:
x + y + z = 1
2x + y 2 z =
x + y + z = 1 + 2
16. Discuta os seguintes sistemas de equações lineares em termos dos parâmetros reais
e . Nos casos em que existirem soluções, determine-as.
(a)
8
<
:
x + 4y + 3z = 10
2x + 7y 2z = 10
x + 5y + z =
(b)
8
>><
>>:
2z + w =
x + y + z + 3w = 1
2x + 2y + z + w = 2
x + y + 3z + 14w = 4
(c)
8
<
:
x + y z + w = 0
x 2y + 2z + w = 1
x y + z + ( + 1) w =
17. Diga para que valores de a; b e c têm soluções os sistemas.
(a)
8
<
:
x + 2y 3z = a
3x y + 2z = b
x 5y + 8z = c
(b)
8
<
:
x 2y + 4z = a
2x + 3y z = b
3x + y + 2z = c
18. Determine um sistema de equações lineares cujo conjunto de soluções seja:
(a) S = f(1 + t; 1 t) : t 2 Rg (b) S = f(t; 1 2t; 1) : t 2 Rg
(c) S = f(3t; 2t; t) : t 2 Rg
(d) S = f(3t s; t + 2s 1; s 2t + 1) : s; t 2 Rg
(e) S = f(2t 3s; t + s 1; 2s + 1; t 1) : s; t 2 Rg
(f) S = f(1 s; s t; 2s; t 1) : s; t 2 Rg (g) S = ?
26
19. Determine todas as matrizes reais 2 2 que comutam com a matriz
1 2
3 4
.
20. Existem 16 matrizes 2 2 só com 0 e 1 nas respectivas entradas. Quantas são in-
vertíveis?
21. Seja A 2 Mn n (R) tal que A2
+ 2A + 2I = 0:Veri…que que A é invertível e determine
a sua inversa.
22. Sejam A; B; X 2 Mn n (R) matrizes invertíveis tais que (AB)2
=
3 4
7 9
. Em cada
um dos seguintes casos, determine a matriz X que satisfaz a equação
(i) AXB + AB = 0 (ii) BXA A 1
B 1
= 0
23. Determine A 2 M2 2 (R) tal que 2I (3A 1
)
T
1
=
4 3
7 5
:
24. Determine (se existirem) as inversas das seguintes matrizes.
(i)
0 1
1 0
(ii)
1 0
0 1
(iii) [1] (iv)
1 2
3 4
(v)
2
4
1 2 3
4 5 6
7 8 9
3
5 (vi)
2
4
1 2 3
0 1 2
0 0 1
3
5 (vii)
1
3
2
4
2 2 1
1 2 2
2 1 2
3
5
(viii)
2
4
1 0 2
0 3 0
4 0 5
3
5 (ix)
2
4
1 2 1
4 0 6
1 8 1
3
5 (x)
cos sen
sen cos
(xi)
2
6
6
4
k 0 0 0
1 k 0 0
0 1 k 0
0 0 1 k
3
7
7
5, com k 6= 0 (xii)
2
6
6
4
0 0 0 k1
0 0 k2 0
0 k3 0 0
k4 0 0 0
3
7
7
5, com k1; k2; k3; k4 6= 0
(xiii)
2
6
6
6
6
6
6
6
6
4
5
13
2
13
2
13
8
13
2
13
7
13
6
13
2
13
2
13
6
13
7
13
2
13
8
13
2
13
2
13
5
13
3
7
7
7
7
7
7
7
7
5
(xiv)
2
6
6
6
6
6
6
6
6
4
1 1
2
1
2
1
2
1
2
1 0 1
2
1
2
0 1 1
2
1
2
1
2
1
2
1
3
7
7
7
7
7
7
7
7
5
25. (i) Seja A 2 Mn n (R) tal que
Ak
= 0
para algum k 2 Nn f1g. Veri…que que
(I A) 1
= I + A + ::: + Ak 1
(ii) Calcule
2
4
1 1 0
0 1 1
0 0 1
3
5
1
:
27
26. Seja A =
2
4
2 2 2
5 1 3
1 5 3
3
5.
(i) Veri…que que A3
=
2
4
0 0 0
0 0 0
0 0 0
3
5. (ii) Calcule (I A) (I + A + A2
) :
27. Para cada parâmetro real , considere o sistema de equações lineares de variáveis reais
cuja matriz aumentada é dada por:
2
4
1 4 2 j 10
2 7 2 j 20
1 5 j 10
3
5 .
a) Discuta em termos de a existência ou não de solução do sistema de equações
lineares anterior.
b) Para = 4, determine o conjunto solução do sistema de equações lineares corre-
spondente.
28. Seja A ; =
2
6
6
4
1 0 1 0
1 2
+
0 1
1 2
+ +
3
7
7
5, com ; 2 R:
(a) Determine a característica e a nulidade de A ; em função de e .
(b) Determine os valores dos parâmetros e para os quais A ; é invertível.
29. Seja A =
2
6
6
4
1 0 2
2 2
4
4 0 3
8
0 2 2
3
7
7
5, com 2 R.
(a) Determine a característica e a nulidade de A em função do parâmetro e diga,
justi…cando, quais são os valores de para os quais A é invertível.
(b) Para = 1; determine a inversa da matriz A1.
30. Seja Ba;b =
2
6
6
4
0 0 a 1
2 2 0 a
0 0 a b
3 0 6 0
3
7
7
5, com a; b 2 R:
(a) Determine a característica e a nulidade de Ba;b em função de a e b.
(b) Para a = 1 e b = 0 calcule a matriz inversa da matriz B1;0, isto é, (B1;0) 1
.
(c) Determine a solução geral do sistema linear B1;0X = C, C = 1 2 3 1
T
.
(d) Para b = 1, determine a solução geral do sistema linear Ba;1X = D, em que D é o
simétrico da 3a
coluna de Ba;1.
28
1a
Ficha de exercícios facultativos
1. Sendo A; B; C matrizes de tipos apropriados, mostre que:
(i) (AB) C = A (BC) (ii) A (B + C) = AB + AC (iii) (AB)T
= BT
AT
2. Sendo A uma matriz do tipo m n, mostre que se AT
A = 0 então A = 0.
3. Sendo A =
1 2
2 4
, determine todos os u 6= 0 tais que Au = 5u.
4. Obtenha, por indução, uma fórmula para An
onde A é dada por:
(i)
0 1
1 0
(ii)
1 0
2 1
(iii)
2
4
1 1 0
0 1 1
0 0 1
3
5
(iv)
2
6
6
4
0 1 0 0
0 0 1 0
0 0 0 1
0 0 0 0
3
7
7
5 (v)
cos sen
sen cos
( 2 R)
5. Mostre que se AB = A e BA = B então A2
= A e B2
= B.
6. Sendo A uma matriz 2 2 ortogonal, isto é, tal que AAT
= AT
A = I, mostre que
A =
cos sen
sen cos
ou A =
cos sen
sen cos
; ( 2 R):
7. Diga de que tipos deverão ser as matrizes A e B de modo a poderem ser efectuados os
seguintes produtos e desenvolva esses mesmos produtos.
(i) (A + B)(A B) (ii) (AB)2
(iii) (A + B)2
8. (i) Veri…que que as matrizes A =
1 0
2 0
e B =
0 0
3 4
não satisfazem a relação:
AB = 0 ) A = 0 ou B = 0. O que pode concluir? E no caso de A ser invertível, o
que concluiria acerca da veracidade da relação anterior?
(ii) Veri…que que as matrizes A =
1 2
1 2
, B =
0 0
1 1
e C =
2 2
0 0
não
satisfazem a relação: AB = AC ) B = C. O que pode concluir? E no caso de A ser
invertível, o que concluiria acerca da veracidade da relação anterior?
9. Sejam A uma matriz do tipo n n e B uma matriz do tipo m n quaisquer.
(i) Prove que se A é simétrica (isto é A = AT
) então BABT
tambem é simétrica.
(ii) Prove que se A é normal (isto é AH
A = AAH
) e B é unitária então BABH
é
normal.
(iii) Prove que BT
B e BBT
são matrizes simétricas e que BH
B e BBH
são matrizes
hermitianas.
29
10. Uma matriz A do tipo n n diz-se anti-simétrica se AT
= A. Mostre que:
(i) Os elementos da diagonal principal de uma qualquer matriz anti-simétrica são todos
nulos.
(ii) Para qualquer matriz A do tipo n n, a matriz A AT
é anti-simétrica.
(iii) Escrevendo A = 1
2
(A + AT
) + 1
2
(A AT
), toda a matriz quadrada pode ser
decomposta de modo único pela soma de uma matriz simétrica com uma anti-simétrica.
11. Veri…que que todas as matrizes X =
a b
c d
que satisfazem a equação X2
= I são:
I;
1 0
c 1
;
1 b
0 1
;
a b
1 a2
b
a
.
Observe assim que a equação matricial X2
= I tem um número in…nito de soluções em
contraste com a equação escalar x2
= 1 que tem apenas duas soluções (1 e 1).
12. Mostre que:
fX 2 M2 2(R) : XA = AX; para todo o A 2 M2 2(R)g =
0
0
: 2 R .
Isto é, as matrizes 2 2 que comutam com todas as matrizes 2 2 são múltiplos
escalares da matriz I.
13. Sendo A uma matriz do tipo m n, seja N (A) = fX : AX = 0g. Mostre que:
(i) Sendo A e B matrizes de tipos apropriados, então N (B) N (AB).
(ii) Sendo A 2 Mm n (R), tem-se N AT
A = N (A) :
(iii) Sendo A e B matrizes do tipo m n com m < n tais que ABT
é invertível, então
BT
A não é invertível. Além disso, nenhuma linha de B pertence a N (A).
(iv) Sendo A 2 Mm n (R) tal que para todo o B 2 Rm
; o sistema AX = B é possível,
então N AT
= f0g.
14. Sejam A; B 2 Mn n(R) tais que que Au = Bu para qualquer u 2 Mn 1(R). Prove
que A = B.
15. Sejam A; B matrizes não nulas do tipo n 1. Determine a característica de ABT
.
Justi…que.
16. Sendo A uma matriz do tipo m n tal que car A = m, mostre que existe B do tipo
n m tal que AB = I.
17. Duas matrizes A e B do tipo n n dizem-se semelhantes se existir S invertível tal que
A = SBS 1
. Mostre que:
(i) Sendo A ou B invertíveis então AB e BA são semelhantes.
(ii) Sendo A e B semelhantes então X 2 N (A) se e só se S 1
X 2 N (B).
30
18. Seja A uma matriz quadrada (do tipo n n). Mostre que:
(i) Se A fôr invertível então A 1
tambem é invertível e (A 1
) 1
= A.
(ii) Se A fôr invertível então AT
tambem é invertível e (AT
) 1
= (A 1
)T
.
(iii) Se A fôr invertível e simétrica então A 1
tambem é simétrica.
19. Sejam A e B matrizes do tipo n n. Mostre que:
(i) Se A; B forem invertíveis então A + B não é necessariamente invertível.
(ii) Se A; B e A + B forem invertíveis então A 1
+ B 1
é invertível e
(A 1
+ B 1
) 1
= A(A + B) 1
B = B(A + B) 1
A.
Sugestão: comece por veri…car que
I + B 1
A = B 1
(A + B) e I + A 1
B = A 1
(A + B):
20. Seja A do tipo n n tal que A2
= A (A diz-se idempotente). Mostre que:
(i) I A é idempotente.
(ii) 2A I é invertível e (2A I) 1
= 2A I. Além disso, se A fôr simétrica então
2A I é uma matriz ortogonal.
(iii) Se car A = n, então A = I.
21. Uma matriz B (do tipo n n) diz-se idempotente se B2
= B. Mostre que
A2
= I ,
1
2
(I + A) é idempotente
22. Sendo A = (aij) uma matriz invertível e B = (bij) a inversa da A, mostre, para k 6= 0,
a matriz (ki j
aij) é invertível e a sua inversa é (ki j
bij).
23. Seja A uma matriz do tipo 2 2. Mostre que A =
a b
c d
é invertível se e só se
ad bc 6= 0. No caso de A ser invertível, utilize o método de eliminação de Gauss-Jordan
para encontrar a matriz inversa de A.
24. Que condições devem ser veri…cadas para que a seguinte matriz diagonal do tipo n n
D =
2
6
6
6
4
k1 0 0
0 k2
...
...
...
... ... 0
0 0 kn
3
7
7
7
5
seja invertível? Qual é a sua inversa?
31
25. Para matrizes quadradas A = (aij)n n de…ne-se o traço de A, tr(A), como sendo a
soma de todas as entradas da diagonal principal de A, isto é,
tr(A) =
nX
i=1
aii:
Sejam A = (aij)n n e B = (bij)n n duas matrizes do tipo n n e um escalar. Mostre
que
(i)
tr(A + B) = tr(A) + tr(B);
(ii)
tr( A) = tr(A);
(iii)
tr(AT
) = tr(A);
(iv)
tr(AB) = tr(BA):
Esta última igualdade continua a ser verdadeira se A = (aij)m n e B = (bij)n m.
26. Para cada matriz A do tipo n n, veri…que que não existe X do tipo n n tal que
AX XA = I.
27. Sejam A e B matrizes do tipo n n tais que A é simétrica e B é anti-simétrica. Mostre
que
tr(AB) = 0:
28. Seja A 2 Mm n (R). Mostre que tr(AT
A) = 0 se e só se A = 0.
29. Sejam u; v 2 Mn 1 (R) tais que uT
v 6= 1. Seja
A = I + uvT
.
Veri…que que A é invertível e que
A 1
= I
1
1 + uT v
uvT
.
Além disso veri…que que
uT
v = tr uvT
32
Determinantes
De…nição 21. Dados os números naturais 1; 2; :::; n chama-se permutação desses n
números a qualquer lista em que os mesmos sejam apresentados por ordem arbitrária.
De…nição 22. Seja (i1i2:::in) uma permutação dos números naturais 1; 2; :::; n. Diz-
-se que um par (ijik) é uma inversão quando (j k) (ij ik) < 0 (isto é, quando ij e ik
aparecerem na permutação por ordem decrescente).
De…nição 23. Uma permutação (i1i2:::in) diz-se par (ímpar) quando o no
máximo de
inversões incluídas fôr par (ímpar).
Exemplo 20. A permutação (21453) é ímpar pois o no
máximo de inversões nela incluí-
das é ímpar: (21); (43) e (53).
De…nição 24. Seja A uma matriz do tipo n n. Chama-se determinante de A, e
escreve-se jAj ou det A, o número que se obtém do seguinte modo:
(i) Formam-se todos os produtos possíveis de n factores em que intervenha um elemento
de cada linha e, simultaneamente, um elemento de cada coluna de A.
(ii) Afecta-se cada produto do sinal + ou do sinal conforme as permutações (dos
números naturais 1; 2; :::; n) que …guram nos índices de linha e de coluna tenham a mesma
paridade ou não.
(iii) Somam-se as parcelas obtidas.
Em resumo: …xando, por exemplo, a permutação (i1i2:::in) de 1; 2; :::; n
jAj =
X
(j1j2:::jn)
permutação de 1;2;:::;n
( 1) ai1j1 ai2j2 :::ainjn ,
em que
=
8
<
:
0 se (i1i2:::in) e (j1j2:::jn) têm a mesma paridade
1 se (i1i2:::in) e (j1j2:::jn) têm paridade diferente.
Observação 11. Pode ainda escrever-se
jAj =
X
(j1j2:::jn)
permutação de 1;2;:::;n
( 1) a1j1 a2j2 :::anjn , em que =
8
<
:
0 se (j1j2:::jn) é par
1 se (j1j2:::jn) é ímpar.
33
ou
jAj =
X
(i1i2:::in)
permutação de 1;2;:::;n
( 1) ai11ai22:::ainn, em que =
8
<
:
0 se (i1i2:::in) é par
1 se (i1i2:::in) é ímpar.
De…nição 25. Seja A = (aij)n n. O traço de A, tr(A), é a soma de todas as entradas
da diagonal principal de A, isto é,
tr(A) =
nX
i=1
aii:
Teorema 16. Sejam A = (aij)n n e B = (bij)n n duas matrizes do tipo n n e um
escalar. Tem-se
(i)
tr(A + B) = tr(A) + tr(B);
(ii)
tr( A) = tr(A);
(iii)
tr(AT
) = tr(A);
(iv)
tr(AB) = tr(BA):
Teorema 17. (i) Se A é do tipo 2 2, então
jAj =
a11 a12
a21 a22
= a11a22 a12a21 =
Só no caso
2 2
1
2
(tr A)2
tr A2
:
(ii) Se A é do tipo 3 3, então
jAj =
a11 a12 a13
a21 a22 a23
a31 a32 a33
= a11a22a33 +a12a23a31 +a13a21a32 a13a22a31 a12a21a33 a11a23a32.
Observação 12. (i) Se A é uma matriz do tipo n n então jAj tem n! parcelas.
(ii) O determinante de cada um dos três tipos de matrizes elementares é dado por
det Pij = 1;
det Ei ( ) = ;
det Eij ( ) = 1:
34
Exemplo 21. (i)
1 1
2 2
= 1( 2) ( 1)2 = 0:
(ii)
1 2 1
3 1 2
2 1 3
= 1( 1)( 3) + 3 + 8 1( 1)2 6( 3) 2 = 32:
De…nição 26. Seja A = (aij) uma matriz do tipo n n, com n > 1. Seja Aij a matriz
do tipo (n 1) (n 1) que se obtem de A suprimindo a linha i e a coluna j de A. Chama-se
a Aij o menor-ij da matriz A.
Teorema 18. (Fórmula de Laplace.) Seja A uma matriz do tipo n n, com n > 1.
Tem-se
det A =
nX
j=1
aij( 1)i+j
det Aij, com i 2 f1; :::; ng …xo:
Observação 13. Seja A uma matriz do tipo n n, com n > 1. Tem-se
det A =
nX
i=1
aij( 1)i+j
det Aij, com j 2 f1; :::; ng …xo:
Exemplo 22.
1 0 2 3
2 1 1 4
0 1 0 2
1 0 2 3
= ( 1)( 1)3+2
1 2 3
2 1 4
1 2 3
+ ( 2)( 1)3+4
1 0 2
2 1 1
1 0 2
=
= ( 1)( 3) + ( 2)4 + 2( 2)3 ( 1)3 ( 2)2( 3) 4( 2) + 2 [( 2) ( 2)] = 18
Teorema 19. Sejam A e B matrizes do tipo n n. Seja um escalar.
(i) det AT
= det A.
(ii) Se A fôr uma matriz diagonal, triangular superior ou triangular inferior então o
determinante de A é igual ao produto dos elementos da diagonal principal de A.
(iii) Se A tiver uma linha (ou coluna) nula então det A = 0.
(iv) Se B fôr obtida de A trocando duas linhas (ou colunas) de A então det B = det A.
35
(v) Se B fôr obtida de A multiplicando uma linha (ou coluna) de A por um escalar
então det B = det A.
(vi) Se duas linhas (ou colunas) de A forem iguais então det A = 0.
(vii) Se B fôr obtida de A somando a uma linha (ou coluna) de A um múltiplo escalar
de uma outra linha (ou coluna) de A então det B = det A.
(viii) det A 6= 0 se e só se A é invertível.
(ix) det ( A) = n
det A.
(x) det (EA) = det E det A, em que E é uma matriz elementar (Pij; Ei ( ) ou Eij ( )).
(xi) det (AB) = det A det B.
(xii) det (A1A2:::Al) = det A1 det A2::: det Al, em que A1; A2; :::; Al são l (l 2 N) matrizes
do tipo n n.
(xiii) Se A fôr invertível det (A 1
) =
1
det A
.
(xiv) det (AB) = 0 ) det A = 0 ou det B = 0.
(xv) det (AB) = det (BA).
Exemplo 23.
9 7 5 3 1
7 7 5 3 1
5 5 5 3 1
3 3 3 3 1
1 1 1 1 1
=
1 1 1 1 1
3 3 3 3 1
5 5 5 3 1
7 7 5 3 1
9 7 5 3 1
=
1 1 1 1 1
1 3 3 3 3
1 3 5 5 5
1 3 5 7 7
1 3 5 7 9
=
1 1 1 1 1
0 2 2 2 2
0 2 4 4 4
0 2 4 6 6
0 2 4 6 8
=
=
1 1 1 1 1
0 2 2 2 2
0 0 2 2 2
0 0 2 4 4
0 0 2 4 6
=
1 1 1 1 1
0 2 2 2 2
0 0 2 2 2
0 0 0 2 2
0 0 0 2 4
=
1 1 1 1 1
0 2 2 2 2
0 0 2 2 2
0 0 0 2 2
0 0 0 0 2
= 24
= 16.
Observação 14. Sendo A e B matrizes do tipo n n, em geral:
jA + Bj 6= jAj + jBj e jA Bj 6= jAj jBj .
Por exemplo, se n é par, A = I e B = I, tem-se
jA + Bj = 0 6= 2 =
n é par
1 + ( 1)n
= jAj + jBj :
36
De…nição 27. Seja A = (aij) uma matriz do tipo n n, com n > 1. Seja a0
ij =
( 1)i+j
det Aij onde Aij é o menor-ij da matriz A. Chama-se a a0
ij o cofactor-ij da matriz
A e à matriz cof A = (a0
ij) do tipo n n, com n > 1, a matriz dos cofactores de A.
Teorema 20. Para qualquer matriz A do tipo n n, com n > 1, tem-se
A (cof A)T
= (cof A)T
A = (det A) I.
Se det A 6= 0 então A é invertível e
A 1
=
1
det A
(cof A)T
=
0
B
B
@
1
det A
( 1)j+i
det Aji
| {z }
entrada (i;j) de A 1
1
C
C
A
n n
.
Exemplo 24. (i) Seja A =
a b
c d
tal que det A 6= 0. Então A é invertível e
A 1
=
1
ad bc
d b
c a
.
Note que ad bc = det A.
(ii) Podemos usar o teorema anterior para calcular não só a inversa de uma matriz (não
singular) mas também (e sobretudo) entradas concretas dessa inversa. Seja
A =
2
4
1 0 3
4 5 6
7 8 9
3
5 .
A entrada (1; 2) da matriz A 1
é dada por
(A 1
)12 =
1
det A
(cof A)T
12
=
1
det A
( 1)2+1
det A21 =
1
12
det
0 3
8 9
= 2.
Note que apesar da entrada (1; 2) de A ser nula, a entrada (1; 2) de A 1
não é nula.
(iii) Para calcular A 1
a partir do teorema anterior, é preciso calcular (cof A)T
. Assim,
usando por exemplo A da alínea anterior, tem-se
cof A =
2
6
6
6
6
6
6
4
5 6
8 9
4 6
7 9
4 5
7 8
0 3
8 9
1 3
7 9
1 0
7 8
0 3
5 6
1 3
4 6
1 0
4 5
3
7
7
7
7
7
7
5
=
2
4
3 6 3
24 12 8
15 6 5
3
5
37
pelo que
(cof A)T
=
2
4
3 24 15
6 12 6
3 8 5
3
5
e assim
A 1
=
1
det A
(cof A)T
=
1
12
2
4
3 24 15
6 12 6
3 8 5
3
5 =
2
4
1
4
2 5
4
1
2
1 1
2
1
4
2
3
5
12
3
5 .
De facto 2
4
1
4
2 5
4
1
2
1 1
2
1
4
2
3
5
12
3
5
2
4
1 0 3
4 5 6
7 8 9
3
5 =
2
4
1 0 0
0 1 0
0 0 1
3
5 .
Teorema 21. (Regra de Cramer.) Seja A uma matriz do tipo n n tal que A é não
singular. Então a única solução do sistema de equações lineares AX = B é dada por
X = A 1
B =
1
det A
(cof A)T
B.
Isto é, sendo X = x1 ::: xn
T
e B = b1 ::: bn
T
tem-se, para j = 1; :::; n,
xj =
1
det A
nX
i=1
a0
jibi =
det (Bj)T
det A
=
det Bj
det A
,
onde Bj é a matriz obtida de A substituindo a coluna j de A pela matriz coluna B dos
termos independentes.
Exemplo 25. O sistema de equações lineares
8
<
:
y + 2z = 8
4x + 2y z = 7
x z = 1
pode ser resolvido usando a regra de Cramer:
x =
8 1 2
7 2 1
1 0 1
0 1 2
4 2 1
1 0 1
= 14, y =
0 8 2
4 7 1
1 1 1
0 1 2
4 2 1
1 0 1
= 18 e z =
0 1 8
4 2 7
1 0 1
0 1 2
4 2 1
1 0 1
= 13.
38
2a
Ficha de exercícios para as aulas de problemas
1. Classi…que quanto à paridade as seguintes permutações de números de 1 a 6:
(i) (312645) (ii) (234516) (iii) (654321) (iv) (123456)
(v) (546321) (vi) (453261) (vii) (634125) (viii) (123465)
2. Na expressão do determinante de uma matriz do tipo 6 6 diga qual o sinal que afecta
cada uma das seguintes parcelas:
(i) a23a31a42a56a14a65 (ii) a16a25a34a43a52a61
(iii) a54a45a63a32a26a11 (iv) a16a23a34a41a62a55
3. Veri…que que
(i)
0 0 a13
0 a22 a23
a31 a32 a33
= a13a22a31 (ii)
0 0 0 a14
0 0 a23 a24
0 a32 a33 a34
a41 a42 a43 a44
= a14a23a32a41
(iii)
det
2
6
6
4
0 0 a1n
0 an 1 2 an 1 n
an1 ann
3
7
7
5 = ( 1)nn 1
2 a1n:::an 1 2an1
4. Calcule os seguintes determinantes e diga quais são as matrizes singulares:
(i)
1 2
3 4
(ii)
18563 18573
21472 21482
(iii)
1 +
p
2 2
p
3
2 +
p
3 1
p
2
(iv)
cos sen
sen cos
(v)
2 0 1
5 3 0
5 1 2
(vi)
2 3 2
5 1 3
2 1 1
(vii)
2 1 1
5 1 3
2 3 2
(viii)
8 12 8
5 1 3
2 1 1
(ix)
1 2 3
4 5 6
7 8 9
(x)
0 1 0 0
1 0 1 0
0 1 0 1
0 0 1 0
(xi)
2 2 8 6
0 1 2 0
0 0 3 23
0 0 0 5
(xii)
1 3 1 1
1 2 1 1
2 1 1 1
2 0 2 0
(xiii)
0 0 0 5
0 0 3 23
0 1 2 0
2 2 8 6
(xiv)
12
22
32
42
22
32
42
52
32
42
52
62
42
52
62
72
(xv)
0 4 0 0 0
0 0 0 2 0
0 0 0 0 1
0 0 3 0 0
5 0 0 0 0
(xvi)
a 0 0 0 b
b a 0 0 0
0 b a 0 0
0 0 b a 0
0 0 0 b a
39
(xvii)
7 4 0 5
1 2 0 2
2 1 3 8
2 2 0 4
(xviii)
9 0 6 4 2
5 3 0 1 2
8 0 4 1 1
6 0 3 1 3
7 0 5 2 3
(xix)
7 4 1 3 6
0 0 0 2 0
0 0 5 8 1
0 0 3 0
5 3 7 9
p
3
(xx)
2 1 0 0
7 3 0 2
3 1 1
3 9 0 0
(xxi)
n n 1
... 2 1
n 1 n 1
... 2 1
...
...
...
2 2 2 1
1 1 1 1
5. (i) Veri…que que a matriz 2
6
6
6
6
4
0 a 0 0 0
e 0 b 0 0
0 f 0 c 0
0 0 g 0 d
0 0 0 h 0
3
7
7
7
7
5
não é invertível para quaisquer a; b; c; d; e; f; g; h 2 R.
(ii) Diga, para que valores de a; b; c; d; e; f; g; h; i; j 2 R, é invertível a seguinte matriz
2
6
6
6
6
6
6
4
0 a 0 0 0 0
f 0 b 0 0 0
0 g 0 c 0 0
0 0 h 0 d 0
0 0 0 i 0 e
0 0 0 0 j 0
3
7
7
7
7
7
7
5
6. Determine todos os valores do escalar para os quais a matriz A I é não invertível,
onde A é dada por:
(i)
0 3
2 1
(ii)
2
4
1 0 2
0 1 2
2 2 0
3
5 (iii)
2
4
1 1 1
1 1 1
1 1 1
3
5 (iv)
2
6
4
1 1
...
...
...
1 1
3
7
5
n n
7. Indique três matrizes A do tipo 2 2 tais que tr A = = det A.
8. Seja
A =
2
6
6
4
1 0 1
1 0
0 0 1 1
1 0
3
7
7
5 ; com 2 R
a) Diga, justi…cando, quais são os valores de para os quais A é invertível.
b) Seja n 2 N. Calcule det (A0)n
+ (A0)n+2
.
c) Considerando os valores de para os quais A é invertível, calcule a entrada (3; 1)
da matriz inversa de A .
40
9. Use a fórmula de inversão de matrizes para inverter:
(i)
1 2
3 4
(ii)
2
4
1 1 1
0 1 1
0 0 1
3
5 (iii)
2
4
1 0 4
1 1 3
0 6 0
3
5
10. Sejam
A =
2
6
6
4
3 2 0 2
1 0 0 3
0 9 2 0
3 1 0 2
3
7
7
5 B =
2
6
6
4
1 0 0 2
4 0 1 0
0 1 0 3
0 1 2 2
3
7
7
5 .
(i) Sem calcular A 1
e B 1
, determine as entradas (2; 2) de A 1
e (2; 3) de B 1
.
(ii) Veri…que que det (A + B) 6= det A + det B e det (A B) 6= det A det B.
11. Use a regra de Cramer para calcular as soluções dos sistemas:
(i)
2x + 3y = 1
5x + 7y = 3
(ii)
8
<
:
x + y = 1
2x + z = 1
x + 2y + 2z = 1
12. Sejam C =
2
4
1 0 1
2 3 2
0 1 2
3
5 e D =
2
4
9 8 1
7 3 0
2 0 0
3
5.
Veri…que que C e D são invertíveis e calcule:
(i) det (2C 1
) (ii) det C3
(2C) 1
(iii) det CT
2C
1
(iv) det CT 1
2
C 2
(v) det (C2
+ 2D)
(vi) det 2CT 2
3
D3 1
DT 1
C
1
Sugestão: Sejam m 2 N, escalar, A; B e S matrizes n n com S invertível, tem-se
(a) det (AB) = (det A) (det B) (b) det ( B) = n
det B (c) det AT
= det A
(d) det (A 1
) =
1
det A
(e) ( B)T
= BT
(f) S m
= (S 1
)
m
13. Sejam A e B matrizes 3 3 tais que det A =
p
3 e det B = 1
2
. Calcule det(2AT
B 3
).
14. Sejam a; b; c; d; e; f 2 R. Sabendo que
a b 0 c
d e 0 f
g h 0 i
x y 1 z
= 5; calcule:
(i)
d e f
g h i
a b c
(ii)
a b c
2d 2e 2f
g h i
(iii)
a + d b + e c + f
d e f
g h i
(iv)
2i 2h 2g
f 3c e 3b d 3a
c b a
(v)
a g d
b h e
c i f
41
15. Sejam a; b; c 2 R. Sabendo que
a b c
2 1 0
1 2 1
= 1; calcule:
(i)
a b c
6 3 0
1
2
1 1
2
(ii)
a b c
2a + 2 2b + 1 2c
a + 1 b + 2 c + 1
(iii)
a 1 b 2 c 1
3 3 1
1 2 1
(iv)
1 1 1
2 1 0
3a + 1 3b + 2 3c + 1
16. Sejam ; 2 R. Sabendo que
1 2
1 1
1 + 2
= 1; calcule
1 2
+ 2
2 .
17. Seja 2 R. Veri…que que
1 1 1 1 1
+ 1 2 2 2 2
+ 1 + 2 3 3 3
+ 1 + 2 + 3 4 4
+ 1 + 2 + 3 + 4 5
+ 1 + 2 + 3 + 4 + 5
= 6
.
18. Seja 2 R. Calcule o determinante da seguinte matriz do tipo n n.
2
6
6
6
6
6
6
6
6
4
1 + 1 1 1
... 1 + 1
...
... 1
... 1
...
...
... + 1 1
1 1 1 1 + 1
3
7
7
7
7
7
7
7
7
5
19. Sejam 6= 0 e A = (aij)n n. Mostre que det A = det i j
aij .
20. Que condições devem os parâmetros reais a; b e c veri…car para que a matriz
2
4
1 a a2
1 b b2
1 c c2
3
5
seja invertível?
21. Veri…que que
(i) det
2
4
1 1 1
x1 y1 y1
x2 x2 y2
3
5 = (y1 x1) (y2 x2)
(ii) det
2
6
6
4
(x1)3
(x1)2
x1 1
(x2)3
(x2)2
x2 1
(x3)3
(x3)2
x3 1
(x4)3
(x4)2
x4 1
3
7
7
5 = (x1 x2) (x1 x3) (x1 x4) (x2 x3) (x2 x4) (x3 x4)
42
22. Mostre que:
(i)
b + c c + a b + a
a b c
1 1 1
= 0 (ii)
b1 + c1 b2 + c2 b3 + c3
c1 + a1 c2 + a2 c3 + a3
a1 + b1 a2 + b2 a3 + b3
= 2
a1 b1 c1
a2 b2 c2
a3 b3 c3
(iii)
a1 + b1 a1 b1 c1
a2 + b2 a2 b2 c2
a3 + b3 a3 b3 c3
= 2
a1 b1 c1
a2 b2 c2
a3 b3 c3
(iv)
a1 b1 a1 + b1 + c1
a2 b2 a2 + b2 + c2
a3 b3 a3 + b3 + c3
=
a1 b1 c1
a2 b2 c2
a3 b3 c3
23. Veri…que que
a1 + b1 c1 + d1
a2 + b2 c2 + d2
=
a1 c1
a2 c2
+
a1 c1
b2 d2
+
b1 d1
a2 c2
+
b1 d1
b2 d2
:
24. Sem calcular explicitamente o determinante, mostre que para x = 0 e x = 2 se tem
x2
x 2
2 1 1
0 0 5
= 0.
25. Sem calcular o determinante, diga qual o coe…ciente de x3
na expressão
2x x 1 2
1 x 1 1
3 2 x 1
9 8 7 x
.
26. Resolva as seguintes equações.
(i)
1 x 1
0 1 1
1 0 2
= 0 (ii)
x x x x
x 4 x x
x x 4 x
x x x 4
= 0 (iii)
x 1 1 1
1 x 1 1
1 1 x 1
1 1 1 x
= 0
27. Sabendo que 533; 715 e 871 são múltiplos de 13, justi…que que
5 3 3
7 1 5
8 7 1
é também
múltiplo de 13, sem calcular o determinante.
28. Sem calcular o determinante, veri…que que
2 1 8
1 0 10
3 7 4
é múltiplo de 5.
29. Seja A = (aij)n n com n ímpar e tal que aij + aji = 0, para todos os i; j = 1; :::; n:
Mostre que A não é invertível. Isto é, toda a matriz anti-simétrica de ordem ímpar
não é invertível.
30. Mostre que se uma matriz fôr ortogonal então o seu determinante ou é 1 ou é 1. E
se a matriz fôr unitária?
43
Espaços lineares (ou Espaços vectoriais)
De…nição 28. Um conjunto não vazio V é um espaço linear (real) se existirem duas
operações associadas a V , uma soma de elementos de V e um produto de escalares (números
reais) por elementos de V , com as seguintes propriedades:
(a) (Fecho da soma). Para quaisquer u; v 2 V
u + v 2 V:
(b) (Fecho do produto por escalares). Para quaisquer 2 R e u 2 V
u 2 V:
(c) (Comutatividade da soma). Para quaisquer u; v 2 V ,
u + v = v + u:
(d) (Associatividade da soma). Para quaisquer u; v; w 2 V ,
u + (v + w) = (u + v) + w:
(e) (Elemento neutro da soma). Existe um elemento de V designado por 0 tal que, para
qualquer u 2 V ,
u + 0 = u:
(f) (Simétrico). Para cada (qualquer) u 2 V existe v 2 V tal que
u + v = 0:
A v chama-se o simétrico de u e denota-se por u.
(g) (Associatividade do produto por escalares). Para quaisquer ; 2 R e u 2 V ,
( u) = ( ) u:
(h) (Distributividade em relação à soma de vectores). Para quaisquer 2 R e u; v 2 V ,
(u + v) = u + v:
(i) (Distributividade em relação à soma de escalares). Para quaisquer ; 2 R e u 2 V ,
( + ) u = u + u:
(j) Para qualquer u 2 V ,
1u = u:
44
Observação 15. Aos elementos de V chamaremos vectores.
Exemplo 26. Exemplos de espaços lineares. Seja 2 R.
(i) Rn
= f(x1; :::; xn) : x1; :::; xn 2 Rg, com as operações usuais:
(u1; :::; un) + (v1; :::; vn) = (u1 + v1; :::; un + vn),
(u1; :::; un) = ( u1; :::; un).
(ii) Mm n (R) (conjunto de todas as matrizes reais do tipo m n), com as operações
(usuais): A + B e A.
(iii) O conjunto de todas as funções reais de variável real de…nidas num conjunto S R,
com as operações usuais:
(f + g)(x) = f(x) + g(x),
( f)(x) = f(x).
(iv) O conjunto P = fa0 + a1t + ::: + asts
: a0; a1; :::; as 2 R e s 2 N0g de todos os polinómios
reais de variável real, com as operações usuais.
(v) Seja n 2 N …xo. O conjunto Pn = fa0 + a1t + ::: + antn
: a0; a1; :::; an 2 Rg de todos
os polinómios reais de variável real e de grau menor ou igual a n, com as operações usuais.
(a0 + a1t + ::: + antn
) + (b0 + b1t + ::: + bntn
) = a0 + b0 + (a1 + b1) t + ::: + (an + bn) tn
(a0 + a1t + ::: + antn
) = a0 + ( a1) t + ::: + ( an) tn
.
Observação 16. Existem espaços lineares com operações não usuais:
(i) O conjunto dos números reais R, com a soma de…nida por
u v = u + v + 1,
e o produto por escalares de…nido por
u = u + 1,
é um espaço linear. (Neste caso o elemento neutro é 1.)
(ii) O conjunto dos números reais maiores do que zero, com a soma de…nida por
u v = uv,
e o produto por escalares de…nido por
u = u ,
é um espaço linear. (Neste caso o elemento neutro é 1.)
45
Observação 17. Alterações nos conjuntos considerados anteriormente podem resultar
em conjuntos que não são espaços lineares.
(i) O conjunto f(x; y) 2 R2
: x 0 e y 0g, com as operações usuais, não é um espaço
linear. Por exemplo, os simétricos não estão no conjunto.
(ii) O conjunto V = fa0 + a1t + ::: + antn
: a0; a1; :::; an 2 R e an 6= 0g de todos os polinómios
reais de grau igual a n, com as operações usuais, não é um espaço linear. Por exemplo, para
n > 1:
tn
; tn
+ t 2 V , mas tn
+ ( tn
+ t) = t =2 V .
(iii) O conjunto U = ff : R ! R tais que f(1) = 2g, com as operações usuais, não é
um espaço linear. Por exemplo, se f1; f2 2 U,
(f1 + f2) (1) = f1(1) + f2(1) = 2 + 2 = 4 6= 2.
Logo, f1 + f2 =2 U.
De…nição 29. Seja V um espaço linear. Diz-se que S é um subespaço de V se S é um
subconjunto de V e se S, com as operações de V , fôr um espaço linear.
Observação 18. No entanto, para mostrar que um certo conjunto S V é um subespaço
do espaço linear V , não será necessário veri…car as 10 propriedades da de…nição de espaço
linear, como se pode ver no seguinte teorema.
Teorema 22. Um subconjunto não vazio S de um espaço linear V é um subespaço de
V se e só se:
(i) Para quaisquer u; v 2 S tem-se u + v 2 S.
(ii) Para quaisquer 2 R e u 2 S tem-se u 2 S.
Exemplo 27. Exemplos de subespaços:
(i) Os únicos subespaços do espaço linear R, com as operações usuais, são f0g e R.
(ii) Os subespaços do espaço linear R3
, com as operações usuais, são: f(0; 0; 0)g, R3
,
todas as rectas que passam pela origem e todos os planos que passam pela origem.
(iii) O conjunto de todas as matrizes (reais) triangulares superiores (do tipo n n) é um
subespaço do espaço linear Mn n (R), com as operações usuais.
(iv) O conjunto de todas as funções reais de…nidas e contínuas em I R (I é um
intervalo) é um subespaço do espaço linear de todas as funções f : I ! R, com as operações
usuais.
46
(v) Seja A uma matriz (real) do tipo m n. O conjunto
C(A) = fb 2 Rm
: Au = b tem pelo menos uma solução ug
é um subespaço do espaço linear Rm
, com as operações usuais, ao qual se dá o nome de
espaço das colunas de A.
(vi) Seja A uma matriz (real) do tipo m n. O conjunto
N(A) = fu 2 Rn
: Au = 0g
é um subespaço do espaço linear Rn
, com as operações usuais, ao qual se dá o nome de
espaço nulo ou núcleo de A.
Observação 19. (i) Se A é invertível então N(A) = f0g.
(ii) Se N(A) = f0g então A é invertível.
De…nição 30. Seja S um subconjunto não vazio de um espaço linear V . Diz-se que um
vector u é combinação linear …nita dos elementos de S, se existir um no
…nito de elementos
de S, u1; :::; uk, e de escalares 1; :::; k tais que
u = 1u1 + ::: + kuk =
kX
i=1
iui.
Ao conjunto de todas as combinações lineares …nitas de elementos de S chama-se expansão
linear de S e designa-se por L(S). Isto é,
L(S) = f 1u1 + ::: + kuk : 1; :::; k 2 Rg ,
no caso do corpo dos escalares ser R. Se S é o conjunto vazio ?, escreve-se L(?) = f0g.
Teorema 23. Seja S um subconjunto não vazio de um espaço linear V . A expansão
linear L(S) de S é o menor subespaço de V que contém S. Deste modo, a L(S) também se
chama o subespaço gerado por S, e diz-se que S gera L(S) ou ainda que S é um conjunto
gerador de L(S).
Observação 20. (i) Seja S e T dois subconjuntos não vazios de um espaço linear V ,
com S T. Se L(S) = V então L(T) = V .
(ii) Todo o subespaço do espaço linear Rn
pode ser escrito como o núcleo de uma matriz.
Exemplo 28. (i) O espaço linear R2
é gerado por qualquer dos seguintes conjuntos de
vectores:
f(1; 0); (0; 1)g, f(1; 2); ( 1; 11)g e f(23; 8); (6; 14)g.
47
(ii) O subespaço f(x; y) 2 R2
: y = 2xg do espaço linear R2
é gerado por qualquer dos
seguintes conjuntos de vectores:
f(1; 2)g, f( 2; 4)g e f(77; 154)g.
(iii) O espaço linear Pn de todos os polinómios reais de variável real e de grau menor ou
igual a n, é gerado por qualquer dos seguintes conjuntos de vectores:
f1; t; t2
; :::; tn
g, f1; 1 + t; (1 + t)2
; :::; (1 + t)n
g e f1;
t
1!
;
t2
2!
; :::;
tn
n!
g.
(iv) O espaço linear P de todos os polinómios reais de variável real, é gerado pelo conjunto
in…nito de vectores:
f1; t; t2
; :::g.
(v) Seja U o espaço linear de todas as funções reais com primeira derivada contínua em
R (isto é, pertencentes a C1
(R)) e tais que f0
(x) = af (x) (em R) com a 2 R. Então U é
gerado pela função g (x) = eax
, tendo-se U = L (fgg).
(vi) Seja A uma matriz (real) do tipo m n. O espaço das colunas de A,
C(A) = fb 2 Rm
: Au = b tem pelo menos uma solução ug ,
é o subespaço (do espaço linear Rm
) gerado pelas colunas de A, uma vez que:
2
6
4
b1
...
bm
3
7
5 =
2
6
4
a11 a1n
...
...
am1 amn
3
7
5
2
6
4
u1
...
un
3
7
5 = u1
2
6
4
a11
...
am1
3
7
5 + ::: + un
2
6
4
a1n
...
amn
3
7
5 .
(vii) Seja A uma matriz (real) do tipo m n. Ao subespaço linear de Rn
gerado pelas
linhas de A dá-se o nome de espaço das linhas de A e designa-se por L(A).
(viii) A =
0 0 0
0 0 0
, B =
2
4
1 3 1
0 0 7
0 0 0
3
5, C =
2
4
1 2
2 4
2 4
3
5, D =
2 0
0 1
.
C(A) = f(0; 0)g, N(A) = R3
, L(A) = f(0; 0; 0)g.
C(B) = L (f(1; 0; 0) ; (1; 7; 0)g) , N(B) = L (f(3; 1; 0)g) ; L(B) = L (f(1; 3; 1) ; (0; 0; 7)g) .
C(C) = L (f( 1; 2; 2)g) ; N(C) = L (f(2; 1)g) ; L(C) = L (f( 1; 2)g) :
C(D) = L (f(2; 0) ; (0; 1)g) , N(D) = f(0; 0)g; L(D) = L (f(2; 0) ; (0; 1)g) .
(ix) Seja U = fA 2 M3 2(R) : a12 = a21 = a32 = 0 e a11 + 2a31 = 0g. Tem-se, para
A 2 U,
A =
2
4
a11 a12
a21 a22
a31 a32
3
5 =
2
4
2a31 0
0 a22
a31 0
3
5 = a31
2
4
2 0
0 0
1 0
3
5 + a22
2
4
0 0
0 1
0 0
3
5 ,
48
com a31; a22 2 R. Logo,
U = L
0
@
8
<
:
2
4
2 0
0 0
1 0
3
5 ;
2
4
0 0
0 1
0 0
3
5
9
=
;
1
A .
(x) Seja U = fp(t) = a0 + a1t + a2t2
2 P2 : p(1) = p(0)g. Tem-se, para p(t) 2 U,
p(1) = p(0) , a0 + a1 + a2 = a0 , a1 + a2 = 0 , a1 = a2.
Logo, p(t) = a0 a2t + a2t2
= a01 + a2 ( t + t2
), com a0; a2 2 R. Assim,
U = L 1; t + t2
.
Teorema 24. Se U e V são subespaços do espaço linear W, então:
(i) O conjunto U  V é um subespaço linear de W.
(ii) O conjunto U + V = fu + v : u 2 U e v 2 V g é um subespaço de W. É o
menor subespaço de W que contém U [ V . O conjunto U [ V em geral não é um subespaço.
Escreve-se U + V = L(U [ V ).
Exemplo 29. (i) Em R3
, considere os subespaços:
U = f(x; y; z) 2 R3
: x + y 2z = 0g e V = L (f(1; 1; 1); (1; 2; 1)g) .
Seja v 2 V , então
v = (1; 1; 1) + (1; 2; 1) = ( + ; + 2 ; + ),
com ; 2 R. Para que v esteja também em U é preciso que:
( + ) + ( + 2 ) 2 ( + ) = 0.
A última equação é equivalente a 4 + = 0 , = 4 . Logo,
U  V = f( 3 ; 7 ; 5 ) : 2 Rg = f ( 3; 7; 5) : 2 Rg = L (f(3; 7; 5)g) .
(ii) Em R3
, considere os subespaços:
U = L (f(1; 1; 1); (1; 2; 2)g) e V = L (f(2; 1; 1); ( 1; 1; 3)g) .
Seja v 2 U, então
v = (1; 1; 1) + (1; 2; 2) = ( + ; + 2 ; + 2 ),
com ; 2 R. Para que v esteja também em V é preciso que:
( + ; + 2 ; + 2 ) = (2; 1; 1) + ( 1; 1; 3) = (2 ; + ; + 3 ) ,
49
com ; 2 R. Deste modo, 8
<
:
+ = 2
+ 2 = +
+ 2 = + 3 .
Considerando a matriz aumentada tem-se
2
4
1 1 j 2
1 2 j +
1 2 j + 3
3
5 !
L1+L2!L2
L1+L3!L3
2
4
1 1 j 2
0 3 j 3
0 1 j + 4
3
5 !1
3
L2+L3!L3
2
4
1 1 j 2
0 3 j 3
0 0 j 2 + 4
3
5 .
Logo, 8
<
:
+ = 2
=
0 = 2 + 4 .
,
8
<
:
=
= 2
= 2 .
Assim,
(1; 1; 1) + (1; 2; 2) = (1; 1; 1) + 2 (1; 2; 2) = (3 ; 3 ; 5 ) = (3; 3; 5).
Logo,
U  V = f(3 ; 3 ; 5 ) : 2 Rg =f (3; 3; 5) : 2 Rg = L (f(3; 3; 5)g) .
Observação 21. Neste exemplo (ii), os subespaços U e V poderiam ter sido apresentados
inicialmente na forma:
U = f(x; y; z) 2 R3
: 4x + y 3z = 0g e V = f(x; y; z) 2 R3
: 2x 7y + 3z = 0g,
uma vez que
2
4
1 1 x
1 2 y
1 2 z
3
5 !
L1+L2!L2
L1+L3!L3
2
4
1 1 x
0 3 x + y
0 1 z x
3
5 !1
3
L2+L3!L3
2
4
1 1 x
0 3 x + y
0 0 z 4
3
x 1
3
y
3
5
e logo (x; y; z) 2 U , z 4
3
x 1
3
y = 0 , 4x + y 3z = 0. Por outro lado,
U = f(x; y; z) 2 R3
: 4x + y 3z = 0g = L (f(1; 4; 0); (0; 3; 1)g) = L (f(1; 1; 1); (1; 2; 2)g)
pois sendo y = 4x + 3z,
U = f(x; 4x+3z; z) : x; z 2 Rg = fx(1; 4; 0)+z(0; 3; 1) : x; z 2 Rg = L (f(1; 4; 0); (0; 3; 1)g) .
De facto, como
(1; 4; 0)) = 2(1; 1; 1) (1; 2; 2) e (0; 3; 1) = (1; 1; 1) + (1; 2; 2)
(1; 1; 1) = (1; 4; 0) + (0; 3; 1) e (1; 2; 2) = (1; 4; 0) + 2(0; 3; 1)
ou seja
2
4
1 1
1 2
1 2
3
5 =
2
4
1 0
4 3
0 1
3
5 1 1
1 2
,
2
4
1 1
1 2
1 2
3
5 2 1
1 1
=
2
4
1 0
4 3
0 1
3
5
50
em que
2 1
1 1
=
1 1
1 2
1
, tem-se U = L (f(1; 4; 0); (0; 3; 1)g) = L (f(1; 1; 1); (1; 2; 2)g).
Analogamente se mostra que
V = f(x; y; z) 2 R3
: 2x 7y+3z = 0g = L (f(7; 2; 0); ( 3; 0; 2)g) = L (f(2; 1; 1); ( 1; 1; 3)g) .
(iii) Seja U o subespaço de Mn n(R) das matrizes triangulares superiores e seja V o
subespaço de Mn n(R) das matrizes triangulares inferiores. Então
U + V = Mn n(R) e U  V = subespaço das matrizes diagonais.
(iv) Sejam U = L(f(1; 0)g) e V = L(f(0; 1)g) subespaços de R2
. O conjunto
U [ V = f(x; y) 2 R2
: x = 0 _ y = 0g
não é um espaço linear pois (1; 0)
| {z }
2U
+ (0; 1)
| {z }
2V
= (1; 1) =2 U [ V . No entanto, tem-se U + V = R2
.
Teorema 25. Se U e V subespaços do espaço linear W, então U [ V é subespaço de W
se e só se U V ou V U.
Teorema 26. Sejam W1 e W2 subespaços de um espaço linear V tais que W1 W2 = f0g:
Se V = W1 + W2 então todo o vector v 2 V pode ser escrito de modo único na forma
v = w1 + w2
com w1 2 W1 e w2 2 W2. Neste caso escreve-se V = W1 W2 e diz-se que V é a soma
directa dos espaços W1 e W2.
Teorema 27. Seja A 2 Mm n(R). Tem-se C(A) = L(AT
) e L(A)  N(A) = f0g.
Observação 22. Seja A 2 Mm n(R). Se A0
fôr a matriz em escada que se obtem de A
por aplicação do método de eliminação de Gauss, tem-se
C(A) 6= C(A0
).
Teorema 28. Seja A 2 Mm n(R). O espaço das linhas L(A) e o núcleo N(A) mantêm-
se invariantes por aplicação do método de eliminação de Gauss. Isto é, sendo A0
a matriz
em escada que se obtem de A por aplicação desse método, tem-se
L(A) = L(A0
) e N(A) = N(A0
).
51
Independência linear
De…nição 31. Seja V um espaço linear. Seja
S = fv1; :::; vkg V:
Diz-se que o conjunto S é linearmente dependente se e só se algum dos vectores de S se
escrever como combinação linear dos restantes, isto é, se e só se existir algum i 2 f1; :::; kg
e escalares 1; :::; i 1; i+1; :::; k 2 R tais que
vi = 1v1 + ::: + i 1vi 1 + i+1vi+1 + ::: + kvk.
De…nição 32. Seja V um espaço linear. Seja
S = fv1; :::; vkg V:
Diz-se que o conjunto S é linearmente independente se e só se nenhum dos vectores de
S se puder escrever como combinação linear dos restantes, isto é, se e só a única solução do
sistema homogéneo
1v1 + ::: + kvk = 0
fôr a solução trivial, ou seja, 1 = ::: = k = 0. No caso em que V = Rn
, sendo A a
matriz cujas colunas são os vectores de S V , diz-se que S é linearmente independente
se e só se N(A) = f0g.
Teorema 29. Seja A0
uma matriz em escada de linhas.
(i) As colunas de A0
que contêm pivots são linearmente independentes.
(ii) As linhas não nulas de A0
são linearmente independentes.
(iii) O no
de linhas independentes e o no
de colunas independentes (de A0
) são ambos
iguais à característica de A0
.
Observação 23. (i) Assim, atendendo ao teorema anterior, a independência linear de
S = fv1; v2; :::; vkg V (espaço linear) pode ser decidida aplicando o método de eliminação
à matriz A cujas colunas são os vectores de S, de modo a colocá-la em escada de linhas.
Sendo A0
essa matriz em escada, tem-se
N(A) = N(A0
) (*).
Uma vez que as colunas de A0
que contêm pivots são linearmente independentes então, devido
a (*), as colunas de A nas posições correspondentes também serão linearmente independentes.
(ii) Em R, quaisquer dois vectores são linearmente dependentes.
(iii) Em R2
, dois vectores são linearmente independentes se não forem colineares.
52
(iv) Em R3
, três vectores são linearmente independentes se não forem coplanares.
(v) Qualquer conjunto que contenha o vector nulo (elemento neutro) é linearmente de-
pendente. Em particular, o conjunto f0g, formado apenas pelo vector nulo, é linearmente
dependente.
(vi) O conjunto vazio ? é linearmente independente.
Teorema 30. Sejam S1 e S2 dois subconjuntos …nitos de um espaço linear, tais que
S1 S2.
(i) Se S1 é linearmente dependente então S2 também é linearmente dependente.
(ii) Se S2 é linearmente independente então S1 também é linearmente independente.
Observação 24. Sejam S1 e S2 dois subconjuntos …nitos de um espaço linear, tais que
S1 S2.
(i) Se S2 fôr linearmente dependente então S1 tanto pode ser linearmente dependente
como linearmente independente.
(ii) Se S1 fôr linearmente independente então S2 tanto pode ser linearmente dependente
como linearmente independente.
Exemplo 30. Seja S = f(1; 0; 2); (2; 0; 4); (0; 1; 2)g. Tem-se
A =
2
4
1 2 0
0 0 1
2 4 2
3
5 !
2L1+L3!L3
2
4
1 2 0
0 0 1
0 0 2
3
5 !
2L2+L3!L3
2
4
1 2 0
0 0 1
0 0 0
3
5 = A0
:
Logo, como apenas existem dois pivots e portanto uma variável livre, as três colunas de A
são linearmente dependentes, isto é, o conjunto S é linearmente dependente. O subconjunto
de S:
f(1; 0; 2); (2; 0; 4)g
também é linearmente dependente. No entanto, uma vez que a 1a
e 3a
colunas de A são
independentes pois correspondem às colunas da matriz em escada A0
que contêm os pivots,
o subconjunto de S:
f(1; 0; 2); (0; 1; 2)g
é linearmente independente.
53
Bases e dimensão de um espaço linear
De…nição 33. Chama-se base de um espaço linear V a qualquer subconjunto B de V
que veri…que as duas condições:
(i) B gera V , isto é, L(B) = V .
(ii) B é linearmente independente.
Teorema 31. Qualquer espaço linear V 6= f0g tem pelo menos uma base.
Observação 25. Qualquer espaço linear V 6= f0g tem um no
in…nito de bases. Por exem-
plo, se B = fu1; :::; ukg fôr uma base de V então para cada 6= 0 o conjunto f u1; :::; ukg
é também uma base de V .
Teorema 32. (i) Seja V 6= f0g um espaço linear. Sejam p; q 2 N tais que fu1; :::; upg é
um conjunto gerador de V e fv1; :::; vqg é um subconjunto de V linearmente independente.
Então p q.
(ii) Todas as bases de um espaço linear V 6= f0g têm o mesmo no
de vectores.
De…nição 34. Chama-se dimensão de um espaço linear V 6= f0g ao no
de vectores de
uma base qualquer de V , e escreve-se dim V . Se V = f0g então dim V = 0 uma vez que o
conjunto vazio ? é base de f0g. Um espaço linear terá dimensão …nita se uma sua base tiver
um no
…nito de vectores.
Observação 26. A dimensão de um espaço linear, isto é, o no
de elementos de uma sua
base é igual ao no
mínimo de vectores possam constituir um conjunto gerador desse espaço
e é também igual ao no
máximo de vectores que possam constituir um conjunto linearmente
independente nesse espaço.
Exemplo 31. (i) O conjunto f1g é uma base de R, chamada base canónica ou natural
de R. Logo,
dim R = 1.
(ii) O conjunto f(1; 0); (0; 1)g é uma base de R2
, chamada base canónica ou natural de
R2
. Logo,
dim R2
= 2.
(iii) O conjunto f(1; 0; 0); (0; 1; 0); (0; 0; 1)g é uma base de R3
, chamada base canónica
ou natural de R3
. Logo,
dim R3
= 3.
(iv) O conjunto
1 0 0
0 0 0
;
0 1 0
0 0 0
;
0 0 1
0 0 0
;
0 0 0
1 0 0
;
0 0 0
0 1 0
;
0 0 0
0 0 1
54
é uma base de M2 3(R), chamada base canónica ou natural de M2 3(R). Logo,
dim M2 3(R) = 6.
(v) Tem-se
dim Rn
= n e dim Mm n(R) = mn.
(vi) O conjunto f1; t; t2
; :::; tn
g é uma base de Pn (espaço linear de todos os polinómios
reais de variável real e de grau menor ou igual a n), chamada base canónica ou natural de
Pn. Logo,
dim Pn = n + 1.
(vii) O conjunto f1; t; t2
; :::g é uma base de P (espaço linear de todos os polinómios reais
de variável real), chamada base canónica ou natural de P. Logo,
dim P = 1.
Observação 27. Seja A uma matriz do tipo m n. Tem-se
nul A = dim N(A) e car A = dim L(A).
Teorema 33. Seja A uma matriz do tipo m n. Tem-se
dim C(A) = dim L(A) = car A.
Dem. Suponhamos que car A = k. Sendo A0
a matriz m n em escada (reduzida)
de linhas, então A0
tem exactamente k linhas não nulas. Sejam R1; :::; Rk essas linhas.
Como L(A) = L(A0
), então as linhas L1; :::; Lm de A podem ser expressas como combinações
lineares das linhas R1; :::; Rk, ou seja, existem escalares cij; com i = 1; :::; m e j = 1; :::; k tais
que
L1 = c11R1 + ::: + c1kRk
:::
Lm = cm1R1 + ::: + cmkRk
Para i = 1; :::; m, sejam aij e rij as componentes j das linhas Li e Ri respectivamente.
Assim, tem-se
a1j = c11r1j + ::: + c1krkj
:::
amj = cm1r1j + ::: + cmkrkj
ou seja, matricialmente,
2
6
4
a1j
...
amj
3
7
5 = r1j
2
6
4
c11
...
cm1
3
7
5 + ::: + rkj
2
6
4
c1k
...
cmk
3
7
5 .
Como
2
6
4
a1j
...
amj
3
7
5 é a coluna j de A, a última igualdade mostra que os vectores
2
6
4
c11
...
cm1
3
7
5 ; :::;
2
6
4
c1k
...
cmk
3
7
5
55
geram C (A). Logo, tem-se
dim C (A) k = dim L (A) .
Deste modo, substituindo A por AT
tem-se também
dim C AT
| {z }
=dim L(A)
dim L AT
| {z }
=dim C(A)
:
Ou seja, tem-se
dim C (A) dim L (A) e dim L (A) dim C (A) .
Isto é,
dim C (A) = dim L (A) .
Teorema 34. Sejam W1 e W2 dois subespaços de dimensão …nita de um espaço linear
V . Então,
dim (W1 + W2) = dim W1 + dim W2 dim (W1  W2) .
Teorema 35. Sejam V um espaço linear de dimensão …nita e W um subespaço de V .
(i) Seja S = fu1; :::; ukg V . Se S é linearmente independente então S será um subcon-
junto de uma base de V e ter-se-á dim V k.
(ii) Se dim V = n, então quaisquer m vectores de V , com m > n, são linearmente
dependentes.
(iii) Se dim V = n, então nenhum conjunto com m vectores de V , em que m < n, pode
gerar V .
(iv) O subespaço W tem dimensão …nita e dim W dim V .
(v) Se dim W = dim V , então W = V .
(vi) Se dim V = n, então quaisquer n vectores de V linearmente independentes cons-
tituem uma base de V .
(vii) Se dim V = n, então quaisquer n vectores geradores de V constituem uma base de
V .
Exemplo 32. Seja A 2 Mm n(R). Recorde que:
car A + nul A = n.
Como L(A) e N(A) são subespaços de Rn
então
L(A) + N(A) = L (L(A) [ N(A))
56
é também um subepaço de Rn
. Por outro lado, atendendo a que
L(A)  N(A) = f0g
tem-se
dim (L(A)  N(A)) = 0.
Assim,
dim (L(A) + N(A)) = dim L(A) + dim N(A) dim (L(A)  N(A)) =
= car A + nul A 0 =
= n.
Logo
Rn
= L(A) N(A).
Exemplo 33. (i) Os seguintes conjuntos são todos os subespaços de R:
f0g e R.
(ii) Os seguintes conjuntos são todos os subespaços de R2
:
f(0; 0)g , todas as rectas que contêm a origem e R2
.
(iii) Os seguintes conjuntos são todos os subespaços de R3
:
f(0; 0; 0)g , todas as rectas que contêm a origem,
todos os planos que contêm a origem e R3
.
Observação 28. O método de eliminação de Gauss permite determinar a dimensão
e uma base quer para o espaço das linhas L(A) quer para o espaço das colunas C(A) de
uma matriz A. Seja A0
a matriz em escada que se obtem de A por aplicação do método de
eliminação de Gauss. Então,
(i) Uma base para L(A) será formada pelas linhas não nulas de A0
.
(ii) Uma base para C(A) será formada pelas colunas de A que correspondem às posições
das colunas de A0
que contêm os pivots.
Exemplo 34. Seja
A =
2
4
2 1 1 1
4 2 3 3
6 3 1 1
3
5 .
Tem-se
A =
2
4
2 1 1 1
4 2 3 3
6 3 1 1
3
5 !
2L1+L2!L2
3L1+L3!L3
2
4
2 1 1 1
0 0 1 1
0 0 4 4
3
5 !
4L2+L3!L3
2
4
2 1 1 1
0 0 1 1
0 0 0 0
3
5 = A0
.
57
Logo, f(2; 1; 1; 1); (0; 0; 1; 1)g é uma base de L(A) e f(2; 4; 6); (1; 3; 1)g é uma base de C(A).
Assim,
dim L(A) = 2 = dim C(A)
e
L(A) = L (f(2; 1; 1; 1); (0; 0; 1; 1)g) , C(A) = L (f(2; 4; 6); (1; 3; 1)g) .
Por outro lado,
N(A0
) =
8
>><
>>:
(x; y; z; w) 2 R4
: A0
2
6
6
4
x
y
z
w
3
7
7
5 =
2
6
6
4
0
0
0
0
3
7
7
5
9
>>=
>>;
=
= f(x; 2x; w; w) : x; w 2 Rg = L (f(1; 2; 0; 0); (0; 0; 1; 1)g) .
Como o conjunto f(1; 2; 0; 0); (0; 0; 1; 1)g é linearmente independente e gera N(A0
) então
é uma base de N(A0
). Finalmente, uma vez que N(A) = N(A0
), o conjunto
f(1; 2; 0; 0); (0; 0; 1; 1)g
é uma base de N(A) e portanto dim N(A) = 2, com
N(A) = L (f(1; 2; 0; 0); (0; 0; 1; 1)g) .
Exemplo 35. Seja S = f1; 2; 1); (2; 1; 1); ( 1; 2; 1); (0; 1; 0)g R3
. Determinemos
uma base para L(S).
Considerando a matriz cujas colunas são os vectores de S, tem-se
2
4
1 2 1 0
2 1 2 1
1 1 1 0
3
5 !
2L1+L2!L2
L1+L3!L3
2
4
1 2 1 0
0 3 0 1
0 3 0 0
3
5 !
L2+L3!L3
2
4
1 2 1 0
0 3 0 1
0 0 0 1
3
5 .
Logo, S0
= f1; 2; 1); (2; 1; 1); (0; 1; 0)g é uma base de L(S). Como dim R3
= 3, então tem-se
mesmo: L(S) = R3
e S0
é uma base de R3
.
Resolução alternativa: Considerando a matriz cujas linhas são os vectores de S, tem-se
2
6
6
4
1 2 1
2 1 1
1 2 1
0 1 0
3
7
7
5 !
2L1+L2!L2
L1+L3!L3
2
6
6
4
1 2 1
0 3 3
0 0 0
0 1 0
3
7
7
5 !
L3$L4
2
6
6
4
1 2 1
0 3 3
0 1 0
0 0 0
3
7
7
5 !1
3
L2+L3!L3
2
6
6
4
1 2 1
0 3 3
0 0 1
0 0 0
3
7
7
5 .
Logo, S0
= f1; 2; 1); (0; 3; 3); (0; 0; 1)g é uma base de L(S). Como dim R3
= 3, então
tem-se mesmo: L(S) = R3
e S0
é uma base de R3
.
Exemplo 36. Seja Sa;b = f1; 0; 1); (0; 1; a); (1; 1; b); (1; 1; 1)g R3
. Determinemos os
valores dos parâmetros a e b para os quais Sa;b não gere R3
.
58
Considerando a matriz cujas colunas são os vectores de S, tem-se
2
4
1 0 1 1
0 1 1 1
1 a b 1
3
5 !
L1+L3!L3
2
4
1 0 1 1
0 1 1 1
0 a b 1 0
3
5 !
aL2+L3!L3
2
4
1 0 1 1
0 1 1 1
0 0 b a 1 a
3
5 .
Logo, Sa;b não gera R3
se e só se b a 1 = 0 e a = 0, isto é, se e só se a = 0 e b = 1.
Teorema 36. (i) Seja A 2 Mm n(R). As colunas de A geram Rm
se e só se car A = m.
(ii) Seja A 2 Mm n(R). As colunas de A são linearmente independentes se e só se
car A = n.
(iii) Seja A 2 Mn n(R). A matriz A é invertível se e só se as colunas de A (ou as linhas
de A) formarem uma base de Rn
. No caso de A ser invertível tem-se
C(A) = L(A) = Rn
.
Observação 29. Seja A 2 Mm n(R) e considere o sistema de equações lineares Au = b.
(i) O sistema Au = b é impossível (não tem solução) se e só se b =2 C(A), isto é, se e só
se car A < car [A j b].
(ii) O sistema Au = b é possível e indeterminado (tem um no
in…nito de soluções) se
e só se b 2 C(A) e as colunas de A forem linearmente dependentes, isto é, se e só se car A =
car [A j b] < n, isto é, se e só se car A = car [A j b] e nul A 6= 0.
(iii) O sistema Au = b é possível e determinado (tem uma única solução) se e só
se b 2 C(A) e as colunas de A forem linearmente independentes, isto é, se e só se car A =
car [A j b] = n, isto é, se e só se car A = car [A j b] e nul A = 0.
Observação 30. Seja A 2 Mm n(R) e considere o sistema de equações lineares Au = b.
(i) Existência de solução: Se m n então o sistema Au = b tem pelo menos uma
solução u para cada b 2 Rm
se e só se
car A = m:
(ii) Unicidade de solução: Se m n então o sistema Au = b tem no máximo uma
solução u para cada b 2 Rm
se e só se car A = n, isto é, se e só se
nul A = 0:
(iii) Existência e unicidade de solução: Se m = n então o sistema Au = b tem
solução única u para cada b 2 Rm
se e só se A fôr invertível.
59
Teorema 37. Seja A 2 Mn n(R). As seguintes a…rmações são equivalentes.
(i) A é não singular.
(ii) A é igual ao produto de matrizes elementares.
(iii) A é invertível.
(iv) AT
A é invertível.
(v) nul A = 0.
(vi) car A = n.
(vii) Au = 0 tem apenas a solução trivial u = 0.
(viii) Au = b tem solução única u para cada b 2 Rn
.
(ix) det A 6= 0.
(x) N(A) = f0g.
(xi) As colunas de A geram Rn
.
(xii) As colunas de A são independentes.
(xiii) As colunas de A formam uma base de Rn
.
(xiv) As linhas de A geram Rn
.
(xv) As linhas de A são independentes.
(xvi) As linhas de A formam uma base de Rn
.
(xvii) A transformação linear T : Rn
! Rn
de…nida por T (u) = Au, para u 2 Rn
, é
sobrejectiva. (Num próximo capítulo.)
(xviii) A transformação linear T : Rn
! Rn
de…nida por T (u) = Au, para u 2 Rn
, é
injectiva. (Num próximo capítulo.)
(xix) A transformação linear T : Rn
! Rn
de…nida por T (u) = Au, para u 2 Rn
, é
bijectiva. (Num próximo capítulo.)
(xx) A transformação linear T : Rn
! Rn
de…nida por T (u) = Au, para u 2 Rn
, é
invertível. (Num próximo capítulo.)
(xxi) 0 não é valor próprio de A. (Num próximo capítulo.)
(xxii) (N (A))?
= Rn
. (Num próximo capítulo.)
(xxiii) (L (A))?
= f0g. (Num próximo capítulo.)
60
Coordenadas de um vector numa base e matriz de mudança de base
De…nição 35. Seja B = fv1; :::; vkg uma base ordenada de um espaço linear V e seja u
um vector de V . Chamam-se coordenadas do vector u na base ordenada B aos escalares
1; :::; k da combinação linear:
u = 1v1 + ::: + kvk.
Teorema 38. Seja V um espaço linear.
(i) Um conjunto B de vectores não nulos de V é uma base de V se e só se todo o vector
de V puder ser escrito de modo único como combinação linear dos vectores de B.
(ii) Se dim V = n, então dados u; w 2 V e B = fv1; :::; vng uma base ordenada de V ,
tem-se u = w se e só se as coordenadas de u e de w na base B forem iguais.
Teorema 39. Seja V um espaço linear de dimensão n. Sejam B1 = fv1; :::; vng e
B2 = fw1; :::; wng duas bases ordenadas de V . Seja SB1!B2 a matriz cujas colunas são as
coordenadas dos vectores de B1 em relação à base B2. Isto é,
SB1!B2 = (sij)n n com vj =
nX
i=1
sijwi para todo o j = 1; :::; n.
A matriz SB1!B2 é não singular e chama-se matriz de mudança de base (da base B1 para
B2). Assim, se tivermos
u =
nX
i=1
ivi,
isto é, se ( 1; :::; n) forem as coordenadas do vector u na base B1 então as coordenadas
( 1; :::; n) de u na base B2 são dadas por
2
6
4
1
...
n
3
7
5 = SB1!B2
2
6
4
1
...
n
3
7
5 .
Dem. Tem-se
u =
nX
i=1
iwi =
nX
j=1
jvj =
nX
j=1
j
nX
i=1
sijwi =
nX
i=1
nX
j=1
sij j
!
wi.
como as coordenadas de um vector u numa base são únicas, tem-se para todo o i = 1; :::; n,
i =
nX
j=1
sij j
!
. Isto é,
2
6
4
1
...
n
3
7
5 = SB1!B2
2
6
4
1
...
n
3
7
5 .
61
Observação 31. Tem-se
SB2!B1 = (SB1!B2 ) 1
:
Exemplo 37. Consideremos
Bc = f(1; 0); (0; 1)g
a base canónica de R2
. Seja
B = f(1; 2); (3; 4)g
uma outra base ordenada de R2
. Sejam (5; 6) as coordenadas de um vector u na base
canónica Bc e determinemos as coordenadas de u na base B usando a matriz de mudança de
base SBc!B. Tem-se
SBc!B =
2 3
2
1 1
2
,
uma vez que
(1; 0) = 2(1; 2) + 1(3; 4) e (0; 1) =
3
2
(1; 2)
1
2
(3; 4). (*)
Logo, as coordenadas de u na base B são dadas por
SBc!B
5
6
=
2 3
2
1 1
2
5
6
=
1
2
.
Logo, 1 e 2 são as coordenadas de (5; 6) na base ordenada B, isto é
(5; 6) = 1(1; 2) + 2(3; 4).
Observação 32. Colocando os vectores em coluna, note que as duas igualdades em (*)
podem ser escritas na forma:
1 0
0 1
=
1 3
2 4
2 3
2
1 1
2
sendo esta última igualdade equivalente a
1 0
0 1
1 3
2 4
| {z }
=
2
4
2 3
2
1 1
2
3
5
1
=
1 3
2 4
,
8
<
:
(1; 2) = 1(1; 0) + 2(0; 1)
(3; 4) = 3(1; 0) + 4(0; 1)
querendo isto dizer que as coordenadas dos vectores (1; 2) e (3; 4) relativamente à base
canónica (ordenada) f(1; 0); (0; 1)g são respectivamente (1; 2) e (3; 4).
62
3a
Ficha de exercícios para as aulas de problemas
1. Veri…que que os seguintes subconjuntos de R2
, com as operações usuais, não são sube-
spaços de R2
.
(i) f(x; y) 2 R2
: x 0g (ii) f(x; y) 2 R2
: xy = 0g (iii) f(x; y) 2 R2
: y = x2
g
2. Veri…que que os seguintes conjuntos, com as operações usuais, são (todos os) subespaços
de R2
.
(i) f(0; 0)g (ii) Vk = f(x; kx) : x 2 Rg com k 2 R
(iii) U = f(0; a) : a 2 Rg (iv) R2
3. No espaço linear R3
, considere o subconjunto Uk = f(x; y; k) : x; y 2 Rg onde k é uma
constante real. Determine os valores de k para os quais Uk é subespaço de R3
.
4. Considere o espaço linear V = R3
. Diga quais dos seguintes subconjuntos de V , com
as operações usuais, são subespaços de V e indique os respectivos conjuntos geradores.
(i) f(x; y; z) 2 R3
: z = 2g (ii) f(x; y; z) 2 R3
: x + y z = 0g
(iii) f(x; y; z) 2 R3
: x > 0g (iv) f(0; 0; z) : z 2 Rg
(v) f(x; y; z) 2 R3
: y = 2x e z = 3xg (vi) f(x; y; z) 2 R3
: x + y = 1g
(vii) f(x; y; z) 2 R3
: x + y + z = 0 e x y z = 0g
(viii) f(x; y; z) 2 R3
: x = y ou y = zg
(ix) f(x; y; z) 2 R3
: x y = 0 e 2y + z = 0g (x) f(x; y; z) 2 R3
: xy = 0g
5. Seja Pn o espaço linear de todos os polinómios reais de variável real e de grau menor ou
igual a n, com as operações usuais: Diga quais dos seguintes subconjuntos de P2, com
as operações usuais, são subespaços de P2 e indique os respectivos conjuntos geradores.
(i) fa0 + a1t + a2t2
2 P2 : a0 = 0g (ii) fa0 + a1t + a2t2
2 P2 : a2 = 2a0 e a1 = 0g
(iii) fa0 + a1t + a2t2
2 P2 : a1 = 1g (iv) fa0 + a1t + a2t2
2 P2 : a2 a1 = 2g
(v) fa0 + a1t + a2t2
2 P2 : a2 a1 + 2a0 = 0g
6. Seja Mm n(R) o espaço linear de todas as matrizes do tipo m n com entradas
reais. Diga quais dos seguintes subconjuntos de M2 3(R), com as operações usuais,
são subespaços de M2 3(R) e indique os respectivos conjuntos geradores.
(i)
a b c
d 0 0
2 M2 3(R) : b = a + c (ii)
a b c
d 0 f
2 M2 3(R) : b < 0
(iii)
a b c
d e f
2 M2 3(R) : a = 2c e f = 2e + d :
7. Determine o espaço das colunas, o espaço das linhas e o núcleo das seguintes matrizes.
(i)
1 1
0 0
(ii)
1 2 3
0 0 0
(iii)
0 0 0
0 0 0
(iv)
2
4
2 1 1
0 0 1
0 0 0
3
5
(v)
2
4
1 0
2 3
2 1
3
5 (vi)
2
4
1 2
2 4
2 4
3
5 (vii)
2
4
0 0
0 0
0 0
3
5 (viii)
2
4
1 0 1
2 3 0
2 1 0
3
5
63
8. Veri…que que, com as operações usuais, o seguinte conjunto de matrizes
8
<
:
2
4
1 0
0 0
0 0
3
5 ;
2
4
0 0
1 0
0 0
3
5 ;
2
4
0 0
0 1
0 0
3
5 ;
2
4
0 0
0 0
0 1
3
5
9
=
;
gera o subespaço
8
<
:
2
4
a 0
b c
0 d
3
5 2 M3 2(R) : a; b; c; d 2 R
9
=
;
do espaço linear M3 2(R).
9. Considere, no espaço linear R3
, os vectores v1 = (1; 2; 1), v2 = (1; 0; 2) e v3 = (1; 1; 0).
Mostre que os seguintes vectores são combinações lineares de v1; v2 e v3.
(i) (3; 3; 0) (ii) (2; 1; 5) (iii) ( 1; 2; 0) (iv) (1; 1; 1)
10. Considere, no espaço linear R4
, os vectores v1 = (1; 0; 0; 1), v2 = (1; 1; 0; 0) e v3 =
(0; 1; 2; 1). Diga quais dos seguintes vectores pertencem ao subespaço L (fv1; v2; v3g).
(i) ( 1; 4; 2; 2) (ii) (2; 0; 2; 2) (iii) (1; 1; 2; 2) (iv) (0; 1; 1; 0)
11. Determine o valor de k para o qual o vector u = (1; 2; k) 2 R3
é combinação linear
dos vectores
v = (3; 0; 2) e w = (2; 1; 5):
12. Considere, no espaço linear P2, os vectores p1(t) = 2 + t + 2t2
, p2(t) = 2t + t2
,
p3(t) = 2 5t + 5t2
e p4(t) = 2 3t t2
. O vector
q(t) = 2 + t + t2
pertence à expansão linear L (fp1(t); p2(t); p3(t); p4(t)g)? Podem os vectores p1(t),
p2(t), p3(t) e p4(t) gerar P2?
13. Veri…que que os seguintes conjuntos de vectores geram R3
.
(i) f(1; 0; 0); (0; 1; 0); (0; 0; 1)g (ii) f(1; 1; 1); (0; 1; 1); (0; 0; 1)g
(iii) f(1; 1; 1) ; ( 1; 1; 1); (1; 1; 1); ( 1; 1; 1)g
14. Escreva a matriz
3 1
1 1
como combinação linear das matrizes
A =
1 1
1 0
; B =
0 0
1 1
, C =
0 2
0 1
:
Encontre uma matriz 2 2 que não pertença a
L
1 1
1 0
;
0 0
1 1
;
0 2
0 1
:
Antes de a determinar, explique porque é que essa matriz existe.
15. Determine os vectores (a; b; c) de R3
que pertencem a L (fu; v; wg) onde
u = (2; 1; 0); v = (1; 1; 2) e w = (0; 3; 4):
64
16. Sejam
A =
1 1 5
2 3 13
e B =
2
4
1 1 1
4 3 1
3 1 3
3
5 :
Veri…que que o espaço das linhas de A é igual ao espaço das linhas de B: Conclua então
que os espaços das colunas de AT
e de BT
são iguais.
17. Encontre um conjunto de geradores para cada um dos seguintes subespaços do espaço
linear R4
.
(i) f(x; y; z; w) 2 R4
: x = 0 e y + z = 0g
(ii) f(x; y; z; w) 2 R4
: x + y + z + w = 0g
(iii) f(x; y; z; w) 2 R4
: x + 2y z = 0 e x + y + 2w = 0 e y z + w = 0g
18. De…na por meio de sistemas de equações homogéneas os seguintes subespaços.
(i) Em P2: L (f1 t2
; 1 + tg) (ii) L (f(1; 0; 1); (0; 1; 0); ( 2; 1; 2)g)
(iii) L (f(0; 1; 0); ( 2; 1; 2)g) (iv) L (f(1; 1; 2); (2; 1; 1)g) (v) L (f(1; 0; 1; 1)g)
(vi) L (f(1; 2; 5; 3); (2; 4; 6; 2); (3; 6; 11; 1); (0; 0; 1; 2)g)
19. Determine as condições que os parametros i; i(i = 1; 2) devem veri…car para que os
vectores ( 1; 1; 3) e ( 2; 2; 9), no espaço linear R3
, sejam linearmente independentes.
20. Diga se os seguintes conjuntos de vectores em R3
são linearmente dependentes ou
linearmente independentes? Nos casos em que sejam linearmente dependentes, indique
(para cada um) um subconjunto linearmente independente com o maior no
possível de
elementos e escreva os restantes como combinação linear desses vectores.
(i) f(4; 2; 1); (2; 6; 5); (1; 2; 3)g (ii) f(1; 2; 1); (3; 2; 5)g
(iii) f(1; 2; 3); (1; 1; 1); (1; 0; 1)g (iv) f(1; 0; 1); (0; 0; 0); (0; 1; 1)g
(v) f(1; 1; 0); (0; 2; 3); (1; 2; 3); (x; y; z)g (com x; y; z 2 R).
21. Determine todos os valores de a para os quais f(a2
; 0; 1); (0; a; 2); (1; 0; 1)g é uma base
de R3
:
22. Sejam U = L (f(1; 1; 0; 0); (0; 1; 1; 0)g) e Vk = L (f(2; k; 1; 0); (0; 0; 0; 1)g) subespaços de
R4
: Determine os valores de k para os quais dim (U  Vk) = 1.
23. No espaço linear R3
, construa uma base que inclua os vectores:
(i) (1; 0; 2) e (0; 1; 2). (ii) (2; 1; 1) e ( 4; 2; 1). (iii) ( 1; 2; 1) e (1; 0; 1).
24. Veri…que que os seguintes subconjuntos do espaço linear de todas as funções reais de
variável real são linearmente dependentes. Indique (para cada um) um subconjunto
linearmente independente com o maior no
possível de elementos e escreva os restantes
como combinação linear desses vectores.
(i) S = fcos2
t; sen2
t; cos 2tg (ii) S = f2; sen2
t; cos2
tg
(iii) S = fet
; e t
; cosh tg (iv) S = 1; t; t2
; (t + 1)2
Determine uma base para cada subespaço L(S) e calcule a respectiva dimensão.
65
25. Seja V o espaço linear de todas as funções reais de variável real. Sejam f; g; h 2 V , com
f (t) = sen t, g (t) = cos t e h (t) = t. Mostre que o conjunto ff; g; hg é linearmente
independente.
26. Diga quais dos seguintes conjuntos de vectores são bases de R2
. Caso não sejam
bases, determine subconjuntos desses conjuntos que sejam bases e as dimensões dos
espaços gerados por cada um desses subconjuntos. Em cada base de R2
encontrada,
exprima o vector (0; 1) como combinação linear dos vectores dessa base ordenada.
Isto é, determine as coordenadas do vector (0; 1) em cada base ordenada encontrada.
Relativamente a cada base ordenada de R2
, determine ainda o vector cujas coordenadas
são (0; 1).
(i) f(1; 3); (1; 1)g (ii) f(0; 0); (1; 2)g (iii) f(2; 4)g
(iv) f( 5; 0); (0; 2)g (v) f(1; 2); (2; 3); (3; 2)g (vi) f(1; 0); (0; 1)g
27. Diga quais dos seguintes conjuntos de vectores são bases de R3
. Caso não sejam bases,
determine subconjuntos desses conjuntos que sejam bases e as dimensões dos espaços
gerados por cada um desses subconjuntos. Em cada base de R3
encontrada, exprima
o vector ( 1; 1; 2) como combinação linear dos vectores dessa base ordenada. Isto
é, determine as coordenadas do vector ( 1; 1; 2) em cada base ordenada encontrada.
Relativamente a cada base ordenada de R3
, determine ainda o vector cujas coordenadas
são ( 1; 1; 2).
(i) f(1; 2; 3); (0; 0; 0); (0; 1; 2)g (ii) f(1; 2; 0); (0; 1; 1)g
(iii) f(3; 2; 2); ( 1; 2; 1); (0; 1; 0)g (iv) f(1; 1; 1); (0; 1; 1); (0; 0; 1)g
(v) f(1; 1; 1); (2; 3; 4); (4; 1; 1); (0; 1; 1)g (vi) f(1; 0; 0); (0; 1; 0); (0; 0; 1)g
28. Diga quais dos seguintes conjuntos de vectores são bases de R4
. Caso não sejam bases,
determine subconjuntos desses conjuntos que sejam bases e as dimensões dos espaços
gerados por cada um desses subconjuntos. Em cada alínea indique uma base de R4
que inclua pelo menos dois vectores do conjunto apresentado.
(i) f(1; 0; 0; 1); (0; 1; 0; 0); (1; 1; 1; 1); (0; 1; 1; 1)g
(ii) f(1; 1; 0; 2); (3; 1; 2; 1); (1; 0; 0; 1)g
(iii) S = f(1; 0; 0; 1); (0; 1; 1; 0); (0; 1; 0; 1); (1; 0; 1; 0); (0; 0; 1; 1)g
(iv) f(1; 0; 0; 2); (1; 0; 2; 0); (1; 2; 0; 0); (3; 0; 0; 0)g
(v) f(1; 2; 5; 3); (2; 4; 6; 2); (3; 6; 11; 1); (0; 0; 5; 5)g
(vi) S = f(2; 1; 1; 2); ( 1; 1; 1; 2); (4; 2; 2; 2); (5; 2; 2; 2)g : Nesta alínea, veri-
…que que (8; 3; 3; 5) 2 L (S) e determine uma base de L (S) que inclua o vector
(8; 3; 3; 5).
29. Diga quais dos seguintes conjuntos de vectores são bases de P2 (espaço linear dos
polinómios reais de grau menor ou igual a 2). Caso não sejam bases, determine sub-
conjuntos desses conjuntos que sejam bases e as dimensões dos espaços gerados por
cada um desses subconjuntos. Determine as coordenadas do vector 1 t em cada base
ordenada de P2 encontrada. Relativamente a cada base ordenada de P2, determine
ainda o vector cujas coordenadas são ( 1; 3; 2).
(i) f2 + t t2
; 2t + 2t2
; t2
g (ii) f2t t2
; 1 2t2
; 2 + t; 1 4tg
66
(iii) f1 + t2
; t t2
; 1 t + 2t2
; 1 + tg (iv) f 1 + 2t + t2
; 2 tg
(v) f1 + 2t t2
; 3 + t2
; 5 + 4t t2
; 2 + 2t t2
g (vi) f1; t; t2
g
30. Mostre que as matrizes
1 1
0 0
;
0 0
1 1
;
1 0
0 1
e
0 1
1 1
formam uma base
para o espaço linear M2 2(R):
31. Seja S =
1 3
1 2
;
0 11
5 3
;
2 5
3 1
,
4 1
1 5
;
3 2
2 3
. Seja W um
subespaço de M2 2(R) gerado por S. Determine uma base para W que inclua vectores
de S.
32. Determine uma base para M3 2(R). Qual é a dimensão do espaço linear M3 2(R)?
33. Determine uma base para cada um dos seguintes subespaços de M3 3(R) e calcule a
respectiva dimensão:
(i) O conjunto de todas as matrizes (reais) diagonais do tipo 3 3:
(ii) O conjunto de todas as matrizes (reais) simétricas do tipo 3 3:
34. Determine as dimensões e indique bases para: o núcleo, o espaço das linhas e o espaço
das colunas das seguintes matrizes.
(i)
3 1
6 2
(ii)
3 0 6 0
1 0 2 0
(iii)
2
4
0 1 0 0
0 0 1 0
0 0 0 1
3
5 (iv)
2
4
1 1 2
1 2 1
0 1 1
3
5
(v)
2
6
6
4
1 0 0
0 1 0
0 0 1
0 0 0
3
7
7
5 (vi)
2
4
1 3 0 2
0 2 2 0
1 3 0 2
3
5 (vii)
2
6
6
4
1 2 3 1
2 3 2 0
3 4 1 1
1 1 1 1
3
7
7
5 :
Determine tambem a característica e a nulidade de cada uma delas.
35. Sejam U e V subespaços de W tais que dim U = 4; dim V = 5 e dim W = 7. Diga
quais as dimensões possíveis para U  V .
36. Determine bases e calcule as dimensões de U +V e U V , dizendo em que casos U +V
é a soma directa U V (determine-a) dos subespaços U e V .
(i) U = L (f(1; 1; 1); (0; 1; 1)g) ; V = L (f(1; 1; 2); ( 1; 1; 1)g) em R3
:
(ii) U = f(x; y; z) 2 R3
: x + y z = 0 e x + y = 0g ; V = L (f(1; 1; 1)g) em R3
:
(iii) U = L (f(1; 0; 1); ( 1; 1; 2)g) ; V = f(x; y; z) 2 R3
: x + y + 3z = 0g em R3
:
(iv) U = f(x; y; z) 2 R3
: x = y = zg ; V = f(x; y; z) 2 R3
: x = 0g em R3
:
(v) U = L (f1 + t; 1 t2
g), V = fa0 + a1t + a2t2
2 P2 : a2 a1 + a0 = 0g em P2.
(vi) U = L (f1 + t; 1 t3
g), V = L (f1 + t + t2
; t t3
; 1 + t + t3
g) em P3.
(vii) U = L (f(2; 2; 1; 2); ( 1; 1; 1; 3); (0; 0; 6; 8); ( 1; 1; 5; 5)g) ;
V = L (f(0; 0; 0; 1); (0; 1; 2; 3); (0; 2; 4; 8)g) em R4
:
(viii) U = f(x; y; z; w) 2 R4
: x + 2y + 3z = 0 e y + 2z + 3w = 0g,
67
V = L (f(2; 5; 4; 1); (0; 9; 6; 1); ( 4; 1; 2; 1)g) em R4
:
Neste alínea (viii) mostre que U = V .
(ix) Seja U o subespaço de R5
gerado por
f(1; 1; 1; 2; 0); (1; 2; 2; 0; 3); (1; 1; 2; 2; 1)g .
Seja V o subespaço de R5
gerado por
f(1; 2; 3; 0; 2); (1; 1; 3; 2; 4); (1; 1; 2; 2; 5)g .
Comece por escrever U e V como soluções de sistemas de equações lineares homogéneas.
(x) Sejam U e V subespaços de R4
gerados respectivamente por F e por G, com
F = f(1; 0; 1; 0); (0; 1; 1; 1); (1; 0; 0; 2) ; (0; 0; 1; 2)g ;
G = f(1; 1; 1; 1); (1; 2; 0; 1); (0; 0; 1; 1)g .
37. Seja A =
2
6
6
6
6
4
1 1 0 2 1
0 0 2 4 0
2 2 1 2 1
1 1 2 2 1
0 0 0 0 0
3
7
7
7
7
5
:
(i) Calcule a nulidade e a característica de A:
(ii) Determine bases para o espaço das colunas de A e para o núcleo de A:
(iii) Usando a alínea anterior, determine a solução geral do sistema de equações lineares
homogéneo Au = 0.
(iv) Resolva o sistema de equações Au = b, com b = (1; 0; 2; 1; 0): Note que b é igual à
1a
coluna de A e use esse facto de modo a encontrar uma solução particular de Au = b.
38. Utilize a informação da seguinte tabela para, em cada caso, determinar a dimensão do
espaço gerado pelas linhas de A, do espaço gerado pelas colunas de A, do núcleo de
A e do núcleo de AT
. Diga tambem se o correspondente sistema de equações lineares
não homogéneo AX = B é possível, determinando para esses casos, o número de
parâmetros que entram na solução geral de AX = B.
A 3 3 3 3 3 3 5 9 9 5 4 4 6 2
car A 3 2 1 2 2 0 2
car [A j B] 3 3 1 2 3 0 2
39. Construa uma matriz cujo núcleo seja gerado pelo vector (2; 0; 1).
40. Existe alguma matriz cujo espaço das linhas contém o vector (1; 1; 1) e cujo núcleo
contém (1; 0; 0)?
41. Quais são as matrizes do tipo 3 3 cujo núcleo tem dimensão 3?
42. Seja A 2 Mm n(R) tal que C(A) = N(A). Prove que A 2 Mn n(R) com n par. Dê
um exemplo para n = 4.
68
43. Seja A 2 Mn n(R) tal que car A = n e A2
= A. Prove que A = I.
44. Sejam B1 = f(1; 2); (0; 1)g e B2 = f(1; 1); (2; 3)g duas bases ordenadas de R2
. Seja
v = (1; 5).
(i) Determine as coordenadas de v em relação à base B1.
(ii) Determine a matriz SB1!B2 de mudança da base B1 para a base B2.
(iii) Determine as coordenadas de v em relação à base B2, usando as alíneas anteriores.
(iv) Determine, directamente, as coordenadas de v em relação à base B2.
(v) Determine a matriz SB2!B1 de mudança da base B2 para a base B1.
(vi) Determine as coordenadas de v em relação à base B1, usando a alínea anterior, e
compare com o resultado obtido em (i).
45. Sejam B1 = fv1; v2g e B2 = fw1; w2g duas bases ordenadas de R2
, onde
v1 = (1; 2), v2 = (0; 1).
Suponha que a matriz SB2!B1 de mudança da base B2 para a base B1, é dada por:
SB2!B1 =
2 1
1 1
.
Determine B2.
46. Sejam B1 = fv1; v2g e B2 = fw1; w2g duas bases ordenadas de P1, onde
w1 = 1 + t, w2 = 1 + t.
Suponha que a matriz SB1!B2 de mudança da base B1 para a base B2, é dada por:
SB1!B2 =
2 3
1 2
.
Determine B1.
47. Sejam B1 = f1; 1 t; t2
g e B2 = f1; 1 + t; 1 + t + t2
g duas bases ordenadas de P2.
(i) Suponha que as coordenadas de um vector p(t) 2 P2 em relação à base B2 são
dadas por (1; 2; 3). Determine as coordenadas do mesmo vector p(t) em relação à base
B1.
(ii) Determine a matriz SB1!B2 de mudança da base B1 para a base B2 e utilize-a para
determinar as coordenadas do vector 2 t + t2
na base B2.
48. Sejam B1 = fv1; v2g e B2 = fw1; w2g duas bases ordenadas de P1, onde
w1 = t, w2 = 1 t.
Suponha que a matriz SB2!B1 de mudança da base B2 para a base B1, é dada por:
SB2!B1 =
2 3
1 2
.
Determine B1.
69
49. Sejam B1 = fv1; v2; v3g e B2 = fw1; w2; w3g duas bases ordenadas de R3
, onde
v1 = (1; 0; 1), v2 = (1; 1; 0), v3 = (0; 0; 1).
Suponha que a matriz SB1!B2 de mudança da base B1 para a base B2, é dada por:
SB1!B2 =
2
4
1 1 2
2 1 1
1 1 1
3
5 .
Determine B2.
50. Sejam B1 =
1 0
0 0
;
0 1
0 0
;
0 0
1 0
,
0 0
0 1
e
B2 =
1 1
1 1
;
1 1
1 1
;
1 1
1 1
,
1 1
1 1
duas bases ordenadas de M2 2(R). Determine a matriz SB1!B2 de mudança da base
B1 para a base B2 e utilize-a para determinar as coordenadas do vector
1 2
3 4
em
relação à base B2.
51. Seja B = fv1; v2g uma base ordenada de P1. Sejam (1; 1) e (2; 2) respectivamente as
coordenadas de dois polinómios 1 + t e 1 t em relação à base B: Determine B.
52. Sejam B1 = fv1; v2g e B2 = fw1; w2g duas bases ordenadas de P1. Suponha que (1; 1)
e (2; 2) são respectivamente as coordenadas de um polinómio p (t) em relação às bases
B1 e B2: Suponha ainda que (1; 1) e (2; 2) são respectivamente as coordenadas de um
polinómio q (t) em relação às bases B1 e B2: Determine a matriz SB1!B2 de mudança
da base B1 para a base B2.
70
2a
Ficha de exercícios facultativos
1. Seja V um espaço linear real e 0 o seu vector nulo. Mostre que:
(i) Se u + v = u + w, então v = w: (ii) 0 = 0 para todo o escalar 2 R:
(iii) 0u = 0 para todo o vector u 2 V: (iv) ( u) = u para todo o u 2 V:
(v) Mostre que o vector nulo 0 2 V é único.
(vi) Mostre que o simétrico u de um qualquer vector u de V é único.
(vii) ( 1)u = u para todo o u 2 V: (viii) Se u = 0, então = 0 ou u = 0:
(ix) Se u 6= 0 e u = u, então = :
2. Veri…que que o conjunto de todos os polinómios reais de grau igual a n:
fa0 + a1t + + antn
2 Pn : an 6= 0g ,
munido das operações usuais, não é um espaço linear.
3. (i) Mostre que P2 é um subespaço de P3: (ii) Mostre que Pn é um subespaço de Pn+1:
(iii) Seja P o espaço linear de todos os polinómios reais (de qualquer grau). Mostre
que Pn é um subespaço de P:
4. Quais dos seguintes subconjuntos de Mn n(R), com as operações usuais, são sub-
espaços?
(i) O conjunto de todas as matrizes simétricas do tipo n n:
(ii) O conjunto de todas as matrizes invertíveis do tipo n n:
(iii) O conjunto de todas as matrizes diagonais do tipo n n:
(iv) O conjunto de todas as matrizes singulares do tipo n n:
(v) O conjunto de todas as matrizes triangulares superiores do tipo n n:
5. Seja V o espaço linear de todas as funções reais de variável real. Quais dos seguintes
subconjuntos de V , com as operações usuais, são subespaços?
(i) O conjunto de todas as funções limitadas.
(ii) O conjunto de todas as funções pares, isto é, tais que f(x) = f( x):
(iii) O conjunto de todas as funções racionais, isto é, as que são quocientes de funções
polinomiais.
(iv) O conjunto de todas as funções crescentes.
(v) O conjunto de todas as funções f tais que f(0) = f(1):
(vi) O conjunto de todas as funções f tais que f(0) = 1 + f(1):
6. Seja fv1; v2; v3g uma base de um espaço linear V . Prove que fv1 + v2; v2 + v3; v1 + v3g
é também uma base de V .
7. Seja A uma matriz (real) invertível do tipo n n. Prove que, se fv1; v2; : : : ; vng é uma
base de Rn
, então fAv1; Av2; : : : ; Avng é também uma base de Rn
.
71
8. Sejam V um espaço linear e S = fv1; v2; : : : ; vng. Prove que o conjunto S é uma base
de V se e só se todo o vector de V se escrever de maneira única como combinação
linear dos elementos de S.
9. Seja fv1; v2g uma base de um espaço linear U. Considere os vectores w1 = av1 + bv2 e
w2 = cv1 + dv2, com a; b; c; d 2 R. Prove que fw1; w2g é também uma base de U se e
só se ad 6= bc.
10. Sejam A uma matriz m n e B uma matriz n p. Mostre que
dim C (AB) = dim C (B) dim (N (A)  C (B)) .
Sugestão: Considere (no caso em que N (A)  C (B) 6= f0g) uma base fx1; : : : ; xsg
para N (A)  C (B) e suponha (no caso em que AB 6= 0) que fx1; : : : ; xs; y1; : : : ; ytg é
uma base para C (B). Mostre que fAy1; : : : ; Aytg é uma base para C (AB).
11. Considere os seguintes r vectores de Rn
:
x1
= (x11; x12; : : : ; x1n); x2
= (x21; x22; : : : ; x2n); : : : ; xr
= (xr1; xr2; : : : ; xrn):
Mostre que se jxjjj >
rP
i=1(i6=j)
jxijj para todo o j = 1; : : : ; r então o conjunto
x1
; x2
; : : : ; xr
é linearmente independente.
Sugestão: Considere
v = (v1; : : : ; vn) = 1x1
+ 2x2
+ + rxr
;
com 1; 2; : : : ; r 2 R e mostre que se existir j 6= 0 (com j 2 f1; : : : ; rg) tal que
j jj > j ij;
para todo o i = 1; : : : ; r; então vj 6= 0.
12. Sejam A; B 2 Mm n(R). Mostre que C (A + B) C (A) + C (B) :
13. Seja A 2 Mm n(R). Mostre que N (A)  L (A) = f0g.
14. Sejam B e C matrizes m n. Mostre que
jcar B car Cj car (B C) .
15. Seja A 2 Mn n(R) tal que A3
6= 0 e A4
= 0. Seja v =2 N(A3
). Prove que o conjunto
v; Av; A2
v; A3
v
é linearmente independente.
72
Transformações lineares
De…nição 36. Sejam U e V espaços lineares. Diz-se que
T : U ! V
é uma transformação linear se e só se veri…car as duas condições:
(i) T(u + v) = T(u) + T(v), para todos os u; v 2 U.
(ii) T( u) = T(u), para todos os u 2 U e escalares .
Observação 33. Sejam U e V espaços lineares. Sejam 0 o vector nulo de U e 00
o vector
nulo de V .
(i) Se T : U ! V fôr uma transformação linear então T(U) é um subespaço de V e além
disso tem-se T(0) = 00
(T(0) = T(0 + 0) = T(0) + T(0) , T(0) = 00
). Logo, se T não
veri…car T(0) = 00
então T não será uma transformação linear.
(ii) T : U ! V é uma transformação linear se e só se
T( u + v) = T(u) + T(v),
para todos os u; v 2 U e escalares ; .
(iii) Seja T : U ! V uma transformação linear, com U = L (fv1; :::; vng). Seja u 2 U.
Logo, existem escalares 1; :::; n tais que
u = 1v1 + ::: + nvn.
Tem-se então
T(u) = 1T(v1) + ::: + nT(vn).
Exemplo 38. Consideremos a base canónica f(1; 0) ; (0; 1)g de R2
. Seja
T : R2
! R
uma transformação linear tal que T (1; 0) = 1 e T (0; 1) = 1.
Para qualquer (x; y) 2 R2
tem-se
(x; y) = x(1; 0) + y(0; 1).
Então,
T(x; y) = T (x(1; 0) + y(0; 1)) = xT(1; 0) + yT(0; 1) = x + y.
Logo, T : R2
! R é a transformação linear de…nida explicitamente por
T(x; y) = x + y.
73
Teorema 40. Sejam U e V espaços lineares e seja fv1; :::; vng uma base de U. Sejam
T1; T2 : U ! V duas transformações lineares.
Se T1(vi) = T2(vi) para todo o i = 1; :::; n, então T1(u) = T2(u),
para todo o u 2 U, isto é, T1 = T2.
Exemplo 39. (i) Sejam U e V espaços lineares e seja 0 o vector nulo de V . Seja
O : U ! V de…nida por
O(u) = 0,
para todo o u 2 U. O é uma transformação linear e chama-se transformação nula.
(ii) Seja A 2 Mm n(R). Seja
T : Rn
! Rm
de…nida por
T(u) = Au,
para todo o u 2 Rn
. T é uma transformação linear.
(iii) Sejam V um espaço linear e k um escalar (…xo). Seja Tk : V ! V de…nida por
Tk(v) = kv;
para todo o v 2 V .
Tk é uma transformação linear. Diz-se que Tk é uma homotetia.
Se 0 < k < 1 diz-se que Tk é uma contracção.
Se k > 1 diz-se que Tk é uma dilatação.
Se k = 1 então chama-se a T1 a transformação identidade e denota-se por I. Tem-se
I(u) = u;
para todo o u 2 U.
(iv) T : R2
! R2
de…nida por T(x; y) = (1 y; 2x) não é uma transformação linear.
(v) T : R2
! R de…nida por T(x; y) = xy não é uma transformação linear.
(vi) Seja T : P2 ! P3 de…nida por
T (p (t)) = tp (t) :
T é uma transformação linear.
(vii) Seja T : P3 ! P1 de…nida por
T (p) = p00
:
T é uma transformação linear.
74
(viii) Seja T : C1
(R) ! C (R) de…nida por
T (f) = f0
;
onde C1
(R) é o espaço linear de todas as funções reais com primeira derivada contínua em R
e C (R) é o espaço linear de todas as funções reais contínuas em R. T é uma transformação
linear.
(ix) Seja a 2 R (…xo). Seja T : C1
(R) ! R de…nida por
T (f) = f0
(a) .
T é uma transformação linear.
(x) Seja n 2 N. Seja T : Cn
(R) ! C (R) de…nida por
T (f) = f(n)
;
onde f(n)
é a derivada de ordem n de f, Cn
(R) é o espaço linear de todas as funções reais
com derivada de ordem n contínua em R e C (R) é o espaço linear de todas as funções reais
contínuas em R. T é uma transformação linear.
(xi) Seja T : C (R) ! C1
(R) de…nida por
T (f) =
Z x
0
f (t) dt:
T é uma transformação linear.
(xii) Seja T : C ([a; b]) ! R de…nida por
T (f) =
Z b
a
f (t) dt:
T é uma transformação linear.
(xiii) Seja T : Mn n(R) !Mn n(R) de…nida por
T (X) = XT
:
T é uma transformação linear.
(xiv) Seja T : Mn n(R) !Mn n(R) de…nida por
T (X) = AX;
com A 2 Mn n(R) …xa. T é uma transformação linear.
(xv) Seja
tr : Mn n(R) ! R
de…nida por
tr(A) = a11 + ::: + ann =
nX
i=1
aii,
75
para todo o A = (aij)n n 2 Mn n(R). tr (traço) é uma transformação linear.
De…nição 37. Sejam U e V espaços lineares e T : U ! V uma transformação linear.
Seja 0 o vector nulo de V .
(i) Chama-se contradomínio ou imagem de T ao conjunto
T(U) = fT(u) : u 2 Ug ,
que também se denota por I(T).
Note-se que se existir fu1; :::; ukg U tal que U = L (fu1; :::; ukg) então
I(T) = L (fT (u1) ; :::; T (uk)g) :
(ii) Chama-se núcleo ou espaço nulo de T ao conjunto
N(T) = fu 2 U : T(u) = 0g .
Teorema 41. Sejam U e V espaços lineares e T : U ! V uma transformação linear.
Então, os conjuntos N(T) e I(T) são subespaços de U e V respectivamente.
Exemplo 40. (i) Sejam U e V espaços lineares. Sejam 0 e 00
os vectores nulos de U e
V respectivamente.
Considere a transformação nula O : U ! V de…nida por
O(u) = 00
,
para todo o u 2 U. Tem-se
N(O) = U e I(O) = f00
g .
(ii) Considere a transformação identidade I : U ! U de…nida por
I(u) = u,
para todo o u 2 U. Tem-se
N(I) = f0g e I(I) = U.
(iii) Seja A 2 Mm n(R). Seja
T : Rn
! Rm
de…nida por
T(u) = Au,
para todo o u 2 Rn
. Tem-se
N(T) = N(A) e I(T) = C(A).
76
(iv) Seja T : C1
(R) ! C (R) de…nida por
T (f) = f0
:
Tem-se
N(T) = ff : R ! R tal que f é constante em Rg e I(T) = C (R) :
(v) Seja T : C2
(R) ! C (R) de…nida por
T (f (t)) = f00
(t) + !2
f (t) ;
com ! 2 Rn f0g. Tem-se (pág. 72 de [1])
N(T) = L (fcos (!t) ; sen (!t)g) ;
onde fcos (!t) ; sen (!t)g é uma base de N(T). Observe-se que N(T) é precisamente a solução
geral da equação diferencial linear homogénea
f00
(t) + !2
f (t) = 0:
(vi) Seja T : C2
(R) ! C (R) de…nida por
T (f (t)) = f00
(t) !2
f (t) ;
com ! 2 Rn f0g. Tem-se (pág. 74 de [1])
N(T) = L e !t
; e!t
;
onde fe !t
; e!t
g é uma base de N(T). Note-se que N(T) é precisamente a solução geral da
equação diferencial linear homogénea
f00
(t) !2
f (t) = 0:
Teorema 42. Sejam U um espaço linear de dimensão …nita e T uma transformação
linear de…nida em U. Então, o subespaço I(T) tem dimensão …nita e
dim N(T) + dim I(T) = dim U.
De…nição 38. Sejam U e V espaços lineares e S; T : U ! V transformações lineares.
Seja um escalar. Sejam S + T; T : U ! V de…nidas por
(S + T) (u) = S(u) + T(u) e ( T)(u) = T(u),
para todo o u 2 U.
77
De…nição 39. Sejam U e V espaços lineares. Chama-se a L(U; V ) o conjunto de todas
as transformações lineares de U em V .
Teorema 43. Sejam U e V espaços lineares e S; T : U ! V transformações lineares.
Seja um escalar. Então:
(i) S + T e T são transformações lineares.
(ii) O conjunto L(U; V ), com as operações da de…nição 38, é um espaço linear.
Exemplo 41. Seja B = fT1; T2; T3; T4g com T1; T2; T3; T4 2 L(R2
; R2
) de…nidas por
T1(x; y) = (x; 0), T2(x; y) = (y; 0), T3(x; y) = (0; x) e T4(x; y) = (0; y),
para todo o (x; y) 2 R2
. O conjunto B é uma base de L(R2
; R2
). Logo,
dim L(R2
; R2
) = 4:
De…nição 40. Sejam U; V e W espaços lineares e, T : U ! V e S : V ! W transfor-
mações lineares. Seja S T : U ! W de…nida por
(S T) (u) = S (T(u)) ,
para todo o u 2 U. S T é uma transformação linear. Chama-se a S T a composição de
S com T.
Observação 34. Em geral, tem-se S T 6= T S.
Teorema 44. (i) Sejam T : U ! V; S : V ! W e R : W ! X. Então, tem-se
R (S T) = (R S) T.
(ii) Sejam R; S : U ! V e T : V ! W. Seja 2 R. Então, tem-se
T (R + S) = T R + T S e T ( R) = (T R) .
Se o contradomínio de Q estiver contido em U então
(R + S) Q = R Q + S Q e ( R) Q = (R Q) .
De…nição 41. De…ne-se T0
= I e Tk
= T Tk 1
, para todo o k = 1; 2; :::.
Observação 35. Tem-se Tm+n
= Tm
Tn
para todos os m; n 2 N.
78
De…nição 42. T : U ! V diz-se injectiva se e só se
T(u) = T(w) ) u = w,
para todos os u; w 2 U, isto é, se e só se
u 6= w ) T(u) 6= T(w),
para todos os u; w 2 U.
De…nição 43. T : U ! V diz-se sobrejectiva se e só se T(U) = V .
(iii) T : U ! V diz-se bijectiva se e só se fôr injectiva e sobrejectiva.
De…nição 44. Sejam U e V espaços lineares. Diz-se que U e V são isomorfos se e só
se existir um isomor…smo entre U e V , isto é, se e só se existir uma transformação linear
bijectiva T : U ! V . Sendo U e V isomorfos escreve-se
U = V .
Teorema 45. Sejam U e V dois espaços lineares de dimensões …nitas. Então, U e V são
isomorfos se e só se dim U = dim V .
Observação 36. (i) Qualquer espaço linear real de dimensão n é isomorfo a Rn
.
(ii) Sejam U e V dois espaços lineares de dimensões …nitas. A transformação linear
T : U ! V é sobrejectiva se e só se T transformar um qualquer conjunto gerador de U num
conjunto gerador de V .
(iii) Sejam U e V dois espaços lineares de dimensões …nitas. Se a transformação linear
T : U ! V fôr sobrejectiva então dim V dim U.
(iv) Sejam U e V dois espaços lineares de dimensões …nitas. Se a transformação linear
T : U ! V fôr injectiva então dim U dim V .
Exemplo 42. (i) A transformação linear T : Rn
! Mn 1(R) de…nida por
T (a1; :::; an) =
2
6
4
a1
...
an
3
7
5 ;
é um isomor…smo. Logo Rn
= Mn 1(R).
(ii) A transformação linear T : Mm n(R) ! Rmn
de…nida por
T
0
B
@
2
6
4
a11 a1n
...
...
...
am1 amn
3
7
5
1
C
A = (a11; :::; am1; :::; a1n; :::; amn) ;
79
é um isomor…smo. Logo Mm n(R) = Rmn
.
(iii) A transformação linear T : Rn+1
! Pn de…nida por
T (a0; a1; :::; an) = a0 + a1t + ::: + antn
;
é um isomor…smo. Logo Rn+1
= Pn.
(iv) Seja A uma matriz m n. Os espaços C (A) e L (A) são isomorfos pois têm a mesma
dimensão (car A).
C (A) = L (A) .
Teorema 46. Sejam U e V espaços lineares de dimensões …nitas tais que
dim U = dim V:
Seja T : U ! V uma transformação linear. Então, T é injectiva se e só se T é sobrejectiva.
De…nição 45. Diz-se que T : U ! V é invertível se existir S : T(U) ! U tal que
S T = IU e T S = IT(U),
onde IU e IT(U) são as funções identidade em U e T(U) respectivamente. Chama-se a S a
inversa de T e escreve-se
S = T 1
.
Teorema 47. Sejam U e V espaços lineares de dimensões …nitas. Seja
T : U ! V
uma transformação linear. Seja 0 o vector nulo de U. As seguintes a…rmações são equiva-
lentes.
(i) T é injectiva.
(ii) T é invertível e a inversa T 1
: T(U) ! U é linear.
(iii) N(T) = f0g.
(iv) dim U = dim T(U).
(v) T transforma vectores linearmente independentes de U em vectores linearmente in-
dependentes de V .
(vi) T transforma bases de U em bases de T(U).
Teorema 48. Sejam U e V espaços lineares. Seja T : U ! V uma transformação linear.
Seja b 2 V . Então:
80
(i) Existência de solução: a equação linear T(u) = b tem sempre solução (para qual-
quer b) se e só se T fôr sobrejectiva (T (U) = V );
(ii) Unicidade de solução: a equação linear T(u) = b a ter solução, ela é única se e só
se T fôr injectiva;
(iii) Existência e unicidade de solução: a equação linear T(u) = b tem solução única
u se e só se T fôr bijectiva.
Teorema 49. Sejam U e V espaços lineares. Seja T : U ! V uma transformação linear.
Seja b 2 V . A solução geral da equação linear T(u) = b obtém-se somando a uma solução
particular dessa equação, a solução geral da equação linear homogénea T(u) = 0 (N(T)).
Teorema 50. (Representação matricial de uma transformação linear). Sejam
U e V espaços lineares de dimensões …nitas tais que dim U = n e dim V = m. Sejam
B1 = fu1; :::; ung e B2 = fv1; :::; vmg duas bases ordenadas de U e V respectivamente. Seja
T : U ! V uma transformação linear. Considere-se a matriz A = (aij)m n cuja coluna j,
para cada j = 1; :::; n, é formada pelas coordenadas de T(uj) na base B2. Isto é,
T(uj) =
mX
i=1
aijvi.
Chama-se a esta matriz A a representação matricial de T em relação às bases B1 e B2 e
escreve-se
A = M(T; B1; B2).
Além disso, sendo 1; :::; n as coordenadas de um vector u 2 U na base ordenada B1 então
as coordenadas 1; :::; m de T(u) 2 V na base ordenada B2 são dadas por
2
6
4
1
...
m
3
7
5 = M(T; B1; B2)
2
6
4
1
...
n
3
7
5 .
Observação 37. MUITO IMPORTANTE. Nas condições do teorema anterior, tem-
se
u =
nX
j=1
juj 2 N(T) , ( 1; :::; n) 2 N(A)
v =
mX
i=1
ivi 2 I(T) , ( 1; :::; m) 2 C(A)
uma vez que
T (u) = T
nX
j=1
juj
!
=
T é linear
nX
j=1
jT (uj) =
nX
j=1
j
mX
i=1
aijvi =
mX
i=1
nX
j=1
aij j
!
vi
81
e sendo fv1; v2; :::; vmg uma base de V tem-se
u 2 N(T) , T (u) = 0 ,
nX
j=1
aij j = 0; para i = 1; :::; m
!
, ( 1; :::; n) 2 N(A):
Além disso:
I(T) = L (fT(u1); :::; T(un)g) =
= L (fa11v1 + ::: + am1vm; :::; a1nv1 + ::: + amnvmg) .
Observação 38. Seja V um espaço linear de dimensão …nita, com dim V = n. Sejam
B1 = fu1; :::; ung e B2 = fv1; :::; vng duas bases ordenadas de V . A representação matricial
da transformação identidade I : V ! V em relação às bases B1 e B2 é igual à matriz de
mudança da base B1 para B2. Isto é,
M(I; B1; B2) = SB1!B2 .
Teorema 51. Sejam U e V espaços lineares tais que dim U = n e dim V = m. Seja
T : U ! V uma transformação linear. Sejam B1 e B2 bases (ordenadas) de U e V respecti-
vamente. Seja
A = M(T; B1; B2) 2 Mm n(R)
a matriz que representa T em relação às bases B1 e B2. Tem-se então:
(i) dim N(T) = nul A;
(ii) dim I(T) = car A;
(iii) T é injectiva se e só se nul A = 0, isto é, se e só se car A = n;
(iv) T é sobrejectiva se e só se car A = m.
Teorema 52. Sejam Bn
c = fe1; :::; eng e Bm
c = fe0
1; :::; e0
mg as bases canónicas (ordenadas)
de Rn
e Rm
respectivamente. Seja T : Rn
! Rm
uma transformação linear. Considere-se a
matriz A = (aij)m n = M(T; Bn
c ; Bm
c ) 2 Mm n(R) cuja coluna j, para cada j = 1; :::; n, é
formada pelas coordenadas de T(ej) na base Bm
c . Isto é,
T(ej) =
mX
i=1
aije0
i = a1j
2
6
6
6
4
1
0
...
0
3
7
7
7
5
+ ::: + amj
2
6
6
6
4
0
...
0
1
3
7
7
7
5
=
2
6
4
a1j
...
amj
3
7
5 .
Então, tem-se, para todo o u 2 Rn
,
T(u) = Au.
82
Dem. Seja u 2 Rn
. Então, existem 1; :::; n 2 R tais que
u = 1e1 + ::: + nen =
nX
j=1
jej.
Uma vez que, para todo o j = 1; :::; n, T(ej) =
Pm
i=1 aije0
i, tem-se
T(u) = T
nX
j=1
jej
!
=
T é linear
nX
j=1
jT(ej) =
nX
j=1
j
mX
i=1
aije0
i =
mX
i=1
nX
j=1
aij j
!
e0
i =
=
nX
j=1
a1j j; :::;
nX
j=1
amj j
!
=
2
4
a11 a1n
am1 amn
3
5
2
6
4
1
...
n
3
7
5 = Au.
Observação 39. No caso em que U = Rn
, V = Rm
e B1 = Bn
c , B2 = Bm
c , tem-se:
N(T) = N(A) e I(T) = C(A),
uma vez que neste caso as coordenadas de um vector numa base coincidem com o próprio
vector.
Exemplo 43. (i) Seja T : R4
! R3
de…nida por
T(x; y; z; w) = (3x + y 2z; 0; x + 4z):
T é uma transformação linear e a matriz M(T; B4
c ; B3
c ) que representa T em relação às bases
canónicas (ordenadas) B4
c e B3
c de R4
e R3
respectivamente, é dada por
A = M(T; B4
c ; B3
c ) =
2
4
3 1 2 0
0 0 0 0
1 0 4 0
3
5 ,
uma vez que T(1; 0; 0; 0) = (3; 0; 1), T(0; 1; 0; 0) = (1; 0; 0), T(0; 0; 1; 0) = ( 2; 0; 4) e
T(0; 0; 0; 1) = (0; 0; 0).
Tem-se então:
T(x; y; z; w) = M(T; B4
c ; B3
c )
2
6
6
4
x
y
z
w
3
7
7
5 = (3x + y 2z; 0; x + 4z).
Além disso, tem-se
N (T) = N (A) = (x; y; z; w) 2 R4
: y = 14z e x = 4z =
= f( 4z; 14z; z; w) : z; w 2 Rg = L (f( 4; 14; 1; 0); (0; 0; 0; 1)g)
e
I (T) = C (A) = L (f(3; 0; 1); (1; 0; 0)g) .
83
Uma base de I (T) : f(3; 0; 1); (1; 0; 0)g. Uma base de N (T) : f( 4; 14; 1; 0); (0; 0; 0; 1)g.
(ii) Sejam B1 = f1; t; t2
g e B2 = f1; t; t2
; t3
g as bases canónicas (ordenadas) de P2 e P3
respectivamente. Seja D : P2 ! P3 tal que D(1) = 0, D(t) = 1 e D(t2
) = 2t. D é uma
transformação linear e a matriz M(D; B1; B2) que representa D em relação às bases canónicas
B1 e B2, é dada por
M(D; B1; B2) =
2
6
6
4
0 1 0
0 0 2
0 0 0
0 0 0
3
7
7
5 .
Além disso tem-se
M(D; B1; B2)
2
4
a0
a1
a2
3
5 =
2
6
6
4
0 1 0
0 0 2
0 0 0
0 0 0
3
7
7
5
2
4
a0
a1
a2
3
5 =
2
6
6
4
a1
2a2
0
0
3
7
7
5 ,
isto é, D (a0 + a1t + a2t2
) = a1 + 2a2t, com a0; a1; a2 2 R.
Além disso, como
N (D) = a0 + a1t + a2t2
: D a0 + a1t + a2t2
= 0 = a0 + a1t + a2t2
: a1 = a2 = 0 e a0 2 R ;
tem-se
N (D) = fa0 : a0 2 Rg = L (f1g) e I (D) = L (f1; 2tg) .
Uma base de I (D) : f1; 2tg. Uma base de N (D) : f1g.
(iii) Seja T : R3
! R2
a transformação linear cuja matriz que a representa em relação
às bases ordenadas B1 = f(1; 1; 1); (0; 1; 1); (0; 0; 1)g e B2 = f(1; 1); (1; 1)g de R3
e R2
respectivamente, é dada por
A = M(T; B1; B2) =
1 2 3
2 4 6
.
Seja u 2 R3
e sejam ( 1; 2; 3) as coordenadas de u em relação à base B1. Tem-se
u 2 N(T) , ( 1; 2; 3) 2 N(A)
e como
N(A) = N
1 2 3
0 0 0
= f( 2y 3z; y; z) : y; z 2 Rg = L (f( 2; 1; 0); ( 3; 0; 1)g) ,
logo f( 2; 1; 0); ( 3; 0; 1)g é uma base de N(A) (uma vez que gera N(A) e é linearmente
independente).
N(T) = f( 2) (1; 1; 1) + 1(0; 1; 1) + 0(0; 0; 1); ( 3) (1; 1; 1) + 0(0; 1; 1) + 1(0; 0; 1)g =
= L (f( 2; 1; 1); ( 3; 3; 2)g) .
84
Logo f( 2; 1; 1); ( 3; 3; 2)g é uma base para N (T) (uma vez que gera N(T) e é
linearmente independente).
Quanto ao contradomínio:
C(A) = L (f(1; 2)g) ,
logo f(1; 2)g é uma base de C(A) (uma vez que gera C(A) e é linearmente independente).
I(T) = L (f1(1; 1) + 2(1; 1)g) = L (f(3; 1)g) .
Uma base de I (T) : f(3; 1)g (uma vez que gera I (T) e é linearmente independente).
Note-se que:
dim N(T) = nul A dim I(T) = car A
e
dim N(T) + dim I(T) = dim U (espaço de partida).
Teorema 53. Sejam U; V e W espaços lineares de dimensões …nitas. Sejam B1; B2 e B3
bases ordenadas de U; V e W respectivamente. Seja escalar. Sejam T; T1; T2 2 L(U; V ) e
S 2 L(V; W). Então, tem-se
M(T1 + T2; B1; B2) = M(T1; B1; B2) + M(T2; B1; B2)
M(S T; B1; B3) = M(S; B2; B3)M(T; B1; B2)
Teorema 54. Sejam U e V dois espaços lineares de dimensões …nitas. Seja T : U ! V
uma transformação linear. Sejam B1 e B2 duas bases ordenadas de U e V respectivamente.
Seja A = M(T; B1; B2) a matriz que representa T em relação às bases B1 e B2.
Se V = T(U) então T é invertível se e só se A fôr uma matriz quadrada não singular.
Tem-se então
A 1
= M(T 1
; B2; B1),
isto é, A 1
será a matriz que representa T 1
em relação às bases B2 e B1.
Teorema 55. Sejam U e V espaços lineares de dimensões …nitas respectivamente n e
m. Isto é,
dim U = n e dim V = m:
Então, os espaços lineares L(U; V ) e Mm n(R) são isomorfos e escreve-se
L(U; V ) = Mm n(R).
Dem. Fixando bases ordenadas B1 e B2 para U e V respectivamente,
L(U; V ) ! Mm n(R)
T ! M(T; B1; B2)
é uma transformação linear bijectiva.
85
Observação 40. No teorema anterior tem-se dim L(U; V ) = mn.
Teorema 56. Seja V um espaço linear de dimensão …nita. Seja T : V ! V uma
transformação linear. Sejam B1 e B2 duas bases ordenadas de V . Seja M(T; B1; B1) a matriz
que representa T em relação à base B1.
Então, a matriz M(T; B2; B2) que representa T em relação à base B2, é dada por
M(T; B2; B2) = SB1!B2 M(T; B1; B1) (SB1!B2 ) 1
,
onde SB1!B2 é a matriz de mudança da base B1 para B2.
Isto é, o diagrama seguinte é comutativo.
(V; B1)
M(T;B1;B1)
!
T
(V; B1)
SB1!B2 # I I # SB1!B2
(V; B2)
T
!
M(T;B2;B2)
(V; B2)
Teorema 57. Caso geral. Sejam U e V dois espaços lineares de dimensões …nitas. Seja
T : U ! V uma transformação linear. Sejam B1 e B0
1 duas bases ordenadas de U. Sejam B2
e B0
2 duas bases ordenadas de V . Seja M(T; B1; B2) a matriz que representa T em relação às
bases B1 e B2.
Então, a matriz M(T; B0
1; B0
2) que representa T em relação às bases B0
1 e B0
2, é dada por
M(T; B0
1; B0
2) = SB2!B0
2
M(T; B1; B2) SB1!B0
1
1
,
onde SB2!B0
2
e SB1!B0
1
são as matrizes de mudança das bases B2 para B0
2 e de B1 para B0
1
respectivamente.
Isto é, o diagrama seguinte é comutativo.
(U; B1)
M(T;B1;B2)
!
T
(V; B2)
SB1!B0
1
# I I # SB2!B0
2
(U; B0
1)
T
!
M(T;B0
1;B0
2)
(V; B0
2)
Exemplo 44. Seja T : R2
! R3
de…nida por T(x; y) = (y; x; y x). T é uma transfor-
mação linear. A matriz M(T; B2
c ; B3
c ) que representa T em relação à base canónica (ordenada)
B2
c de R2
e à base canónica (ordenada) B3
c de R3
, é dada por
M(T; B2
c ; B3
c ) =
2
4
0 1
1 0
1 1
3
5 .
Sejam B1 = f(1; 1); ( 1; 1)g uma base ordenada de R2
e B2 = f(0; 0; 1); (0; 1; 1); (1; 1; 1)g
uma base ordenada de R3
86
A matriz M(T; B1; B2) que representa T em relação à base ordenada B1 de R2
e à base
ordenada B2 de R3
, é dada por
M(T; B1; B2) =
2
4
1 3
0 2
1 1
3
5 ,
uma vez que
T(1; 1) = (1; 1; 0) = (0; 0; 1) + 0(0; 1; 1) + 1 (1; 1; 1)
T( 1; 1) = (1; 1; 2) = 3(0; 0; 1) 2(0; 1; 1) + 1 (1; 1; 1) :
Vamos agora veri…car que se tem M(T; B1; B2) = SB3
c !B2
M(T; B2
c ; B3
c ) SB2
c !B1
1
.
Uma vez que
(1; 0; 0) = 0(0; 0; 1) 1(0; 1; 1) + 1 (1; 1; 1) ; (0; 1; 0) = (0; 0; 1) + 1(0; 1; 1) + 0 (1; 1; 1) ;
(0; 0; 1) = 1(0; 0; 1) + 0(0; 1; 1) + 0 (1; 1; 1)
tem-se então SB3
c !B2
=
2
4
0 1 1
1 1 0
1 0 0
3
5. Logo,
SB3
c !B2
M(T; B2
c ; B3
c ) SB2
c !B1
1
=
2
4
0 1 1
1 1 0
1 0 0
3
5
2
4
0 1
1 0
1 1
3
5 SB1!B2
c
=
=
2
4
2 1
1 1
0 1
3
5 1 1
1 1
=
2
4
1 3
0 2
1 1
3
5 = M(T; B1; B2).
Por exemplo, para (2; 1) 2 R2
, tem-se:
coordenadas de (2; 1)
na base B2
c
M(T;B2
c ;B3
c )
!
T
coordenadas de T(2; 1)
na base B3
c
SB2
c !B1
# I I # SB3
c !B2
coordenadas de (2; 1)
na base B1
T
!
M(T;B1;B2)
coordenadas de T(2; 1)
na base B2.
ou seja
2
1
M(T;B2
c ;B3
c )
!
T
2
4
1
2
1
3
5
SB2
c !B1
# I I # SB3
c !B2
1
3
T
!
M(T;B1;B2)
2
4
8
6
4
3
5 .
87
4a
Ficha de exercícios para as aulas de problemas
1. Sejam a; b 2 R. Considere a aplicação Ta;b : R ! R de…nida por Ta;b (x) = ax + b.
Determine os valores de a e de b para os quais Ta;b é linear.
2. Diga quais das seguintes transformações são lineares. Determine para cada trans-
formação linear a correspondente matriz que a representa em relação às respectivas
bases canónicas (ordenadas). Determine também, se possível, para cada uma dessas
transformações lineares, bases para o núcleo N(T) e para o contradomínio I(T), bem
como as respectivas dimensões (de N(T) e de I(T)). Diga ainda quais são injectivas,
sobrejectivas e bijectivas.
(i) T : R2
! R2
com T(x; y) = (x + 2y; 3x y).
(ii) T : R2
! R2
com T(x; y) = (1 y; 2x).
(iii) T : R3
! R3
com T(x; y; z) = (x; 2x; x).
(iv) T : R3
! R2
com T(x; y; z) = (0; 0).
(v) T : R2
! R com T(x; y) = 3x.
(vi) T : R3
! R3
com T(x; y; z) = (0; 1; 2).
(vii) T : R ! R3
com T(x) = (2x; 0; x).
(viii) T : R3
! R2
com T(x; y; z) = (x2
y; 2y).
(ix) T : R4
! R2
com T(x; y; z; w) = (x y; 3w).
(x) T : R3
! R4
com T(x; y; z) = ( z; y 2z; 2y; y + z).
(xi) T : R ! R2
com T(x) = (0; 0).
(xii) T : R3
! R3
com T(x; y; z) = (x + 2y; 3z; x z).
(xiii) T : R3
! R3
com T(x; y; z) = (x; y; z).
(xiv) T : R2
! R2
com T(x; y) = (x cos y sen ; x sen +y cos ), 2 R. Aplicação
que ao ponto de coordenadas (x; y) faz corresponder o ponto obtido por uma rotação
de amplitude em torno da origem e no sentido contrário ao dos ponteiros de um
relógio.
(xv) T : P2 ! P2 com T(p (t)) = 2p (1 t) tp0
(t),
onde P2 = fa0 + a1t + a2t2
: a0; a1; a2 2 Rg e p0
é a derivada de 1a
ordem de p.
(xvi) T : P2 ! P2 com
T(p (t)) = p (0) p ( 1) + (p ( 1) + p (1)) t + (p ( 1) p (1) 2p (0)) t2
:
(xvii) T : P2 ! M2 2 (R) com T(p (t)) =
p (1) p (0)
p (0) p ( 1)
.
3. Considere a transformação linear T : R3
! R3
que em relação à base canónica (orde-
nada) B3
c = f(1; 0; 0); (0; 1; 0); (0; 0; 1)g de R3
é representada pela matriz
M(T; B3
c ; B3
c ) =
2
4
1 2 1
1 1 0
2 1 0
3
5 .
88
Determine a expressão geral de T, isto é, determine T(x; y; z) para qualquer (x; y; z) 2
R3
. Determine, se possível, bases para o núcleo N(T) e para o contradomínio I(T),
bem como as respectivas dimensões (de N(T) e de I(T)).
4. Considere a base ordenada B = fv1; v2g de R2
, em que v1 = (1; 1) e v2 = (1; 0) e seja
T : R2
! R2
a transformação linear tal que
T(v1) = (1; 2), T(v2) = ( 3; 1).
(i) Calcule T(2; 1).
(ii) Determine a expressão geral de T, isto é, determine T(x; y) para qualquer (x; y) 2
R2
.
(iii) Determine a matriz M(T; B2
c ; B2
c ) que representa T em relação à base canónica
(ordenada) B2
c de R2
.
(iv) Determine as matrizes de mudança de base SB2
c !B e SB!B2
c
. Determine as coor-
denadas do vector (2; 1) na base B.
(v) Determine a matriz M(T; B; B) que representa T em relação à base ordenada B
de R2
. Determine as coordenadas do vector T(2; 1) na base B.
(vi) Determine a matriz M(T; B2
c ; B) que representa T em relação às bases ordenadas
B2
c e B de R2
.
(vii) Determine a matriz M(T; B; B2
c ) que representa T em relação às bases ordenadas
B e B2
c de R2
.
5. Considere as transformações lineares T1 e T2 cujas matrizes que as representam em
relação às bases canónicas (ordenadas) de R2
e R3
são dadas respectivamente por
M(T1; B3
c ; B2
c ) =
2 0 1
1 1 0
e M(T2; B2
c ; B3
c ) =
2
4
0 1
0 1
1 1
3
5 .
Determine as expressões gerais de (T1 T2)(x; y) e (T2 T1)(x; y; z) para quaisquer
(x; y) 2 R2
; (x; y; z) 2 R3
.
6. Considere a transformação linear T : R3
! R3
de…nida por
T(x; y; z) = (2y; y x; x).
Determine a matriz M(T; B; B) que representa T em relação à base ordenada
B = fv1; v2; v3g de R3
com v1 = (1; 0; 1), v2 = (1; 2; 0), v3 = ( 1; 1; 1).
7. Seja
B2 2
c =
1 0
0 0
;
0 1
0 0
;
0 0
1 0
;
0 0
0 1
a base canónica (ordenada) de M2 2(R). Considere a transformação linear
S : M2 2(R) ! M2 2(R) de…nida por S(A) = AT
.
Determine a matriz M(S; B2 2
c ; B2 2
c ) que representa S em relação à base canónica
(ordenada) B2 2
c .
89
8. Considere a transformação linear T : R3
! R3
e a base canónica (ordenada)
B3
c = fv1; v2; v3g de R3
, com v1 = (1; 0; 0), v2 = (0; 1; 0), v3 = (0; 0; 1).
Suponha que se tem
T(v3) = 3v1 + v2 2v3, T(v2 + v3) = v1, T(v1 + v2 + v3) = v2 + v3.
(i) Calcule T(2v1 v2 + 3v3).
(ii) Determine a matriz M(T; B3
c ; B3
c ) que representa T em relação à base canónica
(ordenada) B3
c de R3
.
(iii) Determine duas bases ordenadas B1 = fu1; u2; u3g e B2 = fw1; w2; w3g de R3
de
modo a que a matriz M(T; B1; B2) que represente T em relação a essas bases B1 e B2
seja a matriz identidade: 2
4
1 0 0
0 1 0
0 0 1
3
5 .
9. Considere a transformação linear T : R2
! R3
que em relação às bases ordenadas
B1 = fu1; u2g de R2
e B2 = fv1; v2; v3g de R3
com
u1 = (1; 1), u2 = (2; 1), v1 = (1; 0; 1), v2 = (1; 1; 2), v3 = (0; 1; 1),
é representada pela matriz
M(T; B1; B2) =
2
4
1 2
1 1
3 0
3
5 .
Considere ainda as bases ordenadas B
0
1 = u
0
1; u
0
2 de R2
e B
0
2 = v
0
1; v
0
2; v
0
3 de R3
com
u
0
1 = (1; 0), u
0
2 = (1; 1), v
0
1 = (1; 0; 0), v
0
2 = (1; 1; 0), v
0
3 = (1; 1; 1).
(i) Determine as coordenadas do vector T( 1; 2) na base B2.
(ii) Determine as coordenadas do vector ( 1; 2) na base B0
1.
(iii) Determine as coordenadas do vector T( 1; 2) na base B0
2.
(iv) Determine, se possível, uma base para o núcleo N(T). Determine a dimensão de
N(T). Diga se T é injectiva.
(v) Determine, se possível, uma base para o contradomínio I(T). Determine a dimen-
são de I(T). Diga se T é sobrejectiva.
(vi) Determine a expressão geral de T, isto é, determine T(x; y) para qualquer (x; y) 2
R2
.
(vii) Determine a matriz M(T; B
0
1; B
0
2) que representa T em relação às bases ordenadas
B
0
1 e B
0
2.
90
10. Considere a transformação linear T : R3
! R2
de…nida por
T(x; y; z) = (x + y; x + y z).
(i) Determine a matriz M(T; B3
c ; B2
c ) que representa T em relação às bases canónicas
(ordenadas) B3
c e B2
c de R3
e R2
respectivamente.
(ii) Determine, se possível, uma base para o núcleo N(T). Determine a dimensão de
N(T). Diga se T é injectiva.
(iii) Determine, se possível, uma base para o contradomínio I(T). Determine a di-
mensão de I(T). Diga se T é sobrejectiva.
(iv) Determine a solução geral da equação linear T(x; y; z) = (1; 1).
(v) Considere a equação linear T(x; y; z) = (a; b). Veri…que se existe algum vector
(a; b) 2 R2
para o qual essa equação seja impossível.
(vi) Considere a equação linear T(x; y; z) = (a; b). Veri…que se existe algum vector
(a; b) 2 R2
para o qual essa equação seja possível e determinada.
11. Considere a transformação linear T : R3
! R3
cuja matriz M(T; B3
c ; B3
c ) que a repre-
senta em relação à base canónica (ordenada) B3
c de R3
é dada por
M(T; B3
c ; B3
c ) =
2
4
1 2 2
2 1 4
0 0 2
3
5 .
(i) Determine a expressão geral de T, isto é, determine T(x; y; z) para qualquer
(x; y; z) 2 R3
.
(ii) Determine, se possível, uma base para o núcleo N(T). Determine a dimensão de
N(T). Diga se T é injectiva.
(iii) Determine, se possível, uma base para o contradomínio I(T). Determine a di-
mensão de I(T). Diga se T é sobrejectiva.
(iv) Determine a solução geral da equação linear T(x; y; z) = (3; 3; 0).
(v) Considere a equação linear T(x; y; z) = (a; b; c). Veri…que se existe algum vector
(a; b; c) 2 R3
para o qual essa equação seja impossível.
(vi) Considere a equação linear T(x; y; z) = (a; b; c). Veri…que se existe algum vector
(a; b; c) 2 R3
para o qual essa equação seja possível e indeterminada.
12. Considere a transformação linear T : R3
! R3
cuja matriz M(T; B; B) que a representa
em relação à base (ordenada) B = fv1; v2; v3g de R3
com
v1 = (1; 1; 1), v2 = (1; 1; 0), v3 = (1; 0; 0),
é dada por
M(T; B; B) =
2
4
1 2 2
2 4 4
0 0 2
3
5 .
(i) Determine, se possível, uma base para o núcleo N(T). Determine a dimensão de
N(T). Diga, justi…cando, se T é sobrejectiva e se T é injectiva.
91
(ii) Determine, se possível, uma base para o contradomínio I(T). Determine a dimen-
são de I(T).
(iii) Mostre que a equação linear T(x; y; z) = (2; 4; 0) não tem soluções.
(iv) Determine T(1; 1; 1) e resolva a equação linear T(x; y; z) = ( 1; 1; 1
3
).
(v) Considere a equação linear T(x; y; z) = (a; b; c). Veri…que se existe algum vector
(a; b; c) 2 R3
para o qual essa equação seja possível e indeterminada.
(vi) Determine a expressão geral de T, isto é, determine T(x; y; z) para qualquer
(x; y; z) 2 R3
.
13. Considere a transformação linear T : R3
! R3
de…nida por
T(x; y; z) = (x + y + z; x + 2y 4z; z).
(i) Determine a matriz M(T; B3
c ; B3
c ) que representa T em relação à base canónica
(ordenada) B3
c de R3
.
(ii) Mostre que T é injectiva e determine a expressão geral de T 1
, isto é, determine
T 1
(x; y; z) para qualquer (x; y; z) 2 R3
.
(iii) Justi…que que T é um isomor…smo.
(iv) Determine a solução geral da equação linear T(x; y; z) = (1; 1; 2).
14. Seja
B2 2
c =
1 0
0 0
;
0 1
0 0
;
0 0
1 0
;
0 0
0 1
a base canónica (ordenada) de M2 2(R). Considere a transformação
T : M2 2(R) ! M2 2(R) de…nida por T(X) = AX XA, com A =
0 1
1 0
:
(i) Veri…que que T é linear.
(ii) Determine a expressão geral de T.
(iii) Determine a matriz M(T; B2 2
c ; B2 2
c ) que representa T em relação à base canónica
(ordenada) B2 2
c de M2 2(R).
(iv) Determine, se possível, uma base para o núcleo N(T). Determine a dimensão de
N(T). Diga se T é injectiva.
(v) Determine, se possível, uma base para o contradomínio I(T). Determine a dimen-
são de I(T). Diga se T é sobrejectiva.
15. Considere as transformações lineares T1; T2 : R2
! R2
de…nidas respectivamente por
T1(x; y) = (x + y; x y) e T2(x; y) = (2x + y; x 2y).
(i) Determine as matrizes M(T1; B2
c ; B2
c ) e M(T2; B2
c ; B2
c ) que representam respectiva-
mente T1 e T2 em relação à base canónica (ordenada) B2
c de R2
.
(ii) Determine a matriz A = M(T2 T1; B2
c ; B2
c ) que representa T2 T1 em relação à
base canónica (ordenada) B2
c de R2
.
92
(iii) Determine, usando a alínea anterior, a expressão geral de T2 T1, isto é, (T2
T1)(x; y) para qualquer (x; y) 2 R2
.
(iv) Determine, directamente a partir das expressões de T1 e de T2, a expressão geral
de T2 T1.
(v) Mostre que T1 e T2 são invertíveis.
(vi) Determine as expressões gerais de T 1
1 (x; y); T 1
2 (x; y) e T 1
1 T 1
2 (x; y) para
qualquer (x; y) 2 R2
.
(vii) Determine a matriz M((T2 T1) 1
; B2
c ; B2
c ) que representa (T2 T1) 1
em relação
à base canónica (ordenada) B2
c de R2
e veri…que que é igual a A 1
, onde A é a matriz
determinada em (ii).
(viii) Veri…que que (T2 T1) 1
= T 1
1 T 1
2 .
16. Considere a transformação linear T : R2
! R2
que em relação à base canónica ordenada
(B2
c = f(1; 0) ; (0; 1)g) de R2
é representada pela matriz:
M T; B2
c ; B2
c =
1 0
2 1
:
Justi…que que T é injectiva e resolva a equação linear T(x; y) = (1; 2).
17. Considere a transformação linear T1 : R2
! R de…nida por T1(x; y) = x. Seja
M T2; B1
c ; B2
c =
1
0
a matriz que representa a aplicação linear T2 : R ! R2
em relação às bases canónicas
ordenadas B1
c = f1g e B2
c de R e R2
respectivamente. Determine uma base para o
núcleo: N(T2 T1).
18. Considere a transformação linear T : R3
! R2
cuja representação matricial em relação
as bases ordenadas B1 = f(1; 0; 1); (0; 1; 1); (0; 0; 1)g de R3
e B2 = f(1; 1); (0; 1)g de R2
é dada pela matriz:
M(T; B1; B2) =
1 0 1
1 0 1
.
Determine uma base para o contradomínio I (T) e diga, justi…cando, se T é sobrejec-
tiva.
19. Considere a transformação linear T1 : R3
! R2
de…nida por T1(x; y; z) = (2x+y; y+2z).
Considere ainda a transformação linear T2 : R2
! R3
cuja representação matricial
em relação à base (ordenada) B = f(2; 1); (1; 2)g de R2
e à base canónica B3
c de R3
é
dada pela matriz:
M(T2; B; B3
c ) =
2
4
2 1
1 1
1 2
3
5 .
(i) Determine uma base para o núcleo N(T1) de T1 e diga, justi…cando, se T1 é sobre-
jectiva.
93
(ii) Determine uma base para o contradomínio I(T2) de T2 e diga, justi…cando, se T2
é injectiva.
(iii) Diga, justi…cando, se se tem N(T1) + I(T2) = R3
e determine a dimensão de
N(T1)  I(T2).
(iv) Determine a matriz M(T2; B2
c ; B3
c ) que representa T2 em relação às bases canónicas
B2
c e B3
c de R2
e R3
respectivamente.
(v) Determine a solução geral da equação (T1 T2) (x; y) =
8
3
;
8
3
.
20. Considere a transformação linear T1 : R2
! R3
de…nida por T1(x; y) = (2x+y; 0; x+2y).
Considere ainda a transformação linear T2 : R3
! R2
cuja representação matricial
em relação à base (ordenada) B = f(1; 1; 1); (1; 1; 0); (1; 0; 0)g de R3
e à base canónica
B2
c de R2
é dada pela matriz:
M(T2; B; B2
c ) =
1 1 1
1 1 1
.
(i) Determine T2 (0; 1; 0) e T2 (0; 0; 1).
(ii) Determine uma base para o contradomínio I(T1) de T1 e diga, justi…cando, se T1
é sobrejectiva.
(iii) Determine uma base para o núcleo N(T2) de T2 e diga, justi…cando, se T2 é
injectiva.
(iv) Determine a solução geral da equação (T2 T1) (x; y) = ( 1; 1).
21. Considere a transformação linear T : R3
! P3 de…nida por
T(1; 1; 1) = 2 + 2t2
; T(1; 1; 1) = t t3
e T( 1; 1; 1) = 2 + t + 2t2
+ t3
.
(i) Determine a expressão geral de T, isto é, determine T(x; y; z) para qualquer
(x; y; z) 2 R3
.
(ii) Determine, se possível, uma base para o núcleo N(T). Determine a dimensão de
N(T). Diga se T é injectiva.
(iii) Determine, se possível, uma base para o contradomínio I(T). Determine a di-
mensão de I(T). Diga se T é sobrejectiva.
(iv) Resolva, em R3
; a equação linear T(x; y; z) = 1 + t + t2
+ t3
.
22. Seja 2 R. Considere a transformação linear T : R3
! P2 de…nida por
T (x; y; z) = z y + (y x) t + xt2
.
(i) Determine, se possível, uma base para o núcleo N(T ). Determine a dimensão de
N(T ). Diga se T é injectiva.
(ii) Determine, se possível, uma base para o contradomínio I(T ). Determine a di-
mensão de I(T ). Diga se T é sobrejectiva.
(iii) Considere = 0 e resolva a equação linear T0(x; y; z) = 1 + t2
.
94
23. Considere o espaço linear P2 dos polinómios reais de variável real e de grau menor ou
igual a 2. Considere a transformação linear T : P2 ! P2 de…nida por
T (p (t)) = p0
(t) 2p (t) ,
onde p0
(t) é a derivada de primeira ordem de p (t).
(i) Determine a expressão geral de T.
(ii) Sendo B = f1; t; t2
g a base canónica (ordenada) de P2, determine a matriz
M(T; B; B) que representa T em relação à base B.
(iii) Justi…que que T é um isomor…smo e veri…que que a expressão geral do isomor…smo
T 1
é dada por
T 1
(p (t)) =
1
2
p (t)
1
4
p0
(t)
1
8
p00
(t)
para todo o p (t) 2 P2, onde p00
(t) é a derivada de segunda ordem de p (t).
(iv) Resolva, em P2; a equação diferencial linear p0
(t) 2p (t) = (2 3t)2
.
24. Considere o espaço linear P2 dos polinómios reais de variável real e de grau menor ou
igual a 2. Considere a transformação linear T : P2 ! P2 de…nida por
T (p (t)) = t2
p00
(t) 2p (t) ,
onde p00
(t) é a derivada de segunda ordem de p (t).
(i) Determine a expressão geral de T.
(ii) Sendo B = f1; t; t2
g a base canónica (ordenada) de P2, determine a matriz
M(T; B; B) que representa T em relação à base B.
(iii) Determine, se possível, uma base para N (T) e uma base para I (T) e diga,
justi…cando, se T é injectiva e/ou sobrejectiva.
(iv) Resolva, em P2; as equações diferenciais lineares:
a) t2
p00
(t) 2p (t) = 2 t; b) 2tp0
(t) 2p (0) = 2 t.
25. Seja U o subespaço das matrizes simétricas de M2 2 (R), isto é,
U = A 2 M2 2 (R) : A = AT
.
Considere a transformação linear T : U ! U de…nida por
T (A) = AB + BA
com B =
0 1
1 0
.
(i) Determine a expressão geral de T.
(ii) Determine uma base para U e calcule a matriz que representa T em relação a essa
base.
(iii) Determine, se possível, uma base para N (T) e uma base para I (T) e diga,
justi…cando, se T é injectiva e/ou sobrejectiva.
(iv) Resolva, em U; a equação linear T (A) = B.
95
26. Considere a transformação linear T : M2 2 (R) ! P3 cuja matriz M(T; B1; B2) que a
representa em relação às bases ordenadas
B1 =
1 1
1 0
;
1 1
0 1
;
0 1
1 1
;
1 0
1 1
de M2 2 (R) e B2 = f1 + t; t + t2
; t2
+ t3
; t3
g de P3 é dada por
M(T; B1; B2) =
2
6
6
4
1 1 1 1
0 1 1 1
0 0 1 1
0 0 0 1
3
7
7
5 .
(i) Determine a expressão geral de T.
(ii) Justi…que que T é um isomor…smo e determine a expressão geral do isomor…smo
T 1
, isto é, determine
T 1
a0 + a1t + a2t2
+ a3t3
.
(iii) Resolva a equação linear T
a b
c d
= 1 + 2t + 3t2
+ 4t3
.
27. Seja U o espaço linear das funções reais de variável real duas vezes diferenciáveis.
Considere a transformação linear T : U ! U de…nida por
T (f) = f00
2f0
+ f.
Considere o subespaço S = ff 2 U : f00
2f0
+ f = 0g de U.
(i) Mostre que o conjunto fet
; tet
g é uma base de S. Sugestão: Mostre que se f 2 S,
então f (t) e t
é um polinómio de grau menor ou igual a 1.
(ii) Mostre que dados a; b 2 R, existe uma única função f 2 S tal que f (0) = a e
f0
(0) = b.
(iii) Determine a única solução f da equação diferencial linear T (f) = 1 que veri…ca
f (0) = 1 e f0
(0) = 0.
28. Seja V o subespaço linear de R4
gerado pelos vectores v1 = (1; 0; 0; 1) e v2 =
(0; 1; 1; 0). Considere ainda a transformação linear T : V ! V tal que
T(v1) = v2; T(v2) = v1:
(i) Determine a matriz M(T; B; B) que representa T em relação à base ordenada
B = fv1; v2g de V .
(ii) Encontre, em V , a solução geral da equação T(u) = (2; 3; 3; 2).
(iii) Sejam w1 = (0; 0; 1; 1); w2 = (0; 0; 0; 1) e considere a transformação linear R :
R4
! R4
de…nida por
R(v1) = v2; R(v2) = v1; R(w1) = R(w2) = (0; 0; 0; 0):
Encontre, em R4
, a solução geral da equação R(u) = (2; 3; 3; 2).
96
29. Seja Pn, com n 2 N, o espaço linear real dos polinómios reais de variável real e
de grau menor ou igual a n. Considere a transformação linear T1 : P2 ! P1 cuja
representação matricial em relação às bases ordenadas B1 = f1 + t; 1 t; t2
g de P2 e
B2 = f1 + t; 1 + 2tg de P1, é dada pela matriz:
M(T1; B1; B2) =
1 2 0
0 1 1
.
Considere ainda a transformação linear T2 : P1 ! P2 tal que
T2(1) = 1 t T2(t) = 2 + 8t 2t2
:
a) Determine a matriz M(T2; B; B1) que representa T2 em relação às bases ordenadas
B = f1; tg de P1 e B1 = f1 + t; 1 t; t2
g de P2.
b) Determine uma base para N(T1) (núcleo de T1) e diga, justi…cando, se T1 é sobre-
jectiva.
c) Determine T1(t) e encontre, em P2, a solução geral da equação T1(p (t)) = t.
d) Veri…que que T1 T2 = I.
97
Valores próprios e vectores próprios. Diagonalização.
De…nição 46. Seja V espaço linear. Seja T : V ! V uma transformação linear. Diz-se
que um escalar é um valor próprio de T se existir um vector não nulo v 2 V tal que
T(v) = v.
Aos vectores não nulos v que satisfaçam a equação anterior chamam-se vectores próprios
associados ao valor próprio . Dado um valor próprio de T, o conjunto
E = fv 2 V : T(v) = vg = N(T I)
é um subespaço linear de V . Chama-se a E o subespaço próprio associado ao valor
próprio . À dimensão de E chama-se multiplicidade geométrica de e denota-se por
mg ( ), isto é,
dim N(T I) = mg ( ) .
Exemplo 45. (a) Seja V um espaço linear e I : V ! V a transformação identidade. En-
tão todos os vectores de V , exceptuando o vector nulo, são vectores próprios de T associados
ao valor próprio 1.
(b) Seja V o espaço linear das funções reais inde…nidamente diferenciáveis em R e T :
V ! V a (transfomação) função derivada. Como, por exemplo
T e2x
= 2e2x
então e2x
é vector próprio de T associado ao valor próprio 2.
Observação 41. (i) Sejam V um espaço linear e 0 o vector nulo de V . Seja T : V ! V
uma transformação linear. Um escalar é um valor próprio de T se e só se N(T I) 6= f0g.
(ii) Se o espaço linear V tiver dimensão …nita n e se A = M (T; B; B) fôr a matriz n n
que representa T em relação a uma base ordenada B de V , então um escalar é um valor
próprio de T se e só se esse escalar fôr solução da equação
det(A I) = 0,
uma vez que se tem, para v 2 V ,
(T I) v = 0 , (A I)
2
6
4
1
...
n
3
7
5 = 0.
onde 1; :::; n são as coordenadas de v na base ordenada B, daí que
é um valor próprio de T , N(T I) 6= f0g , N(A I) 6= f0g , det(A I) = 0
98
isto é
é um valor próprio de T , det(A I) = 0
Além disso, tem-se
v é um vector próprio de T , v 2 N (T I) n f0g , ( 1; :::; n) 2 N (A I) n f0g
isto é
v é um vector próprio de T , ( 1; :::; n) 2 N (A I) n f0g
e
mg ( ) = dim N(T I) = dim N(A I).
(iii) No caso em que V = Rn
e A = M (T; Bn
c ; Bn
c ), como (neste caso) v = ( 1; :::; n),
tem-se
N (T I) = N (A I) :
De…nição 47. Seja A uma matriz n n. Chama-se ao polinómio
p( ) = det(A I)
o polinómio característico da matriz A. Este polinómio tem grau n, o coe…ciente do
termo de grau n é ( 1)n
, o coe…ciente do termo de grau n 1 é ( 1)n 1
tr A e o termo
constante é p(0) = det A.
De…nição 48. Seja A uma matriz n n. Chama-se valor próprio de A a qualquer
escalar tal que A I seja singular, isto é, tal que det(A I) = 0. Ao conjunto de
todos os valores próprios de A chama-se espectro de A. À multiplicidade de como raíz
do polinómio det(A I) chama-se multiplicidade algébrica de e denota-se por ma ( ).
Chama-se vector próprio de A, associado ao valor próprio de A, a qualquer vector não
nulo v que veri…que
(A I)v = 0,
isto é, a qualquer vector
v 2 N(A I)n f0g .
Observação 42. (i) Seja A uma matriz n n. O escalar 0 é valor próprio de A se e só
se A fôr singular. Isto é, a matriz A é invertível se e só se 0 não fôr valor próprio de A.
(ii) Seja A uma matriz n n. Então o polinómio característico de A pode ser escrito na
forma:
p( ) = det(A I) = ( 1 )m1
( 2 )m2
( k )mk
,
onde 1; 2; : : : ; k são os valores próprios distintos de A e m1; m2; : : : ; mk são as multipli-
cidades algébricas desses valores próprios respectivamente, com m1 + m2 + + mk = n.
(iii) Seja A uma matriz n n. Tem-se mg ( ) ma ( ), para qualquer valor próprio
de A.
99
(iv) Seja A uma matriz n n, com os valores próprios 1; 2; : : : ; n (repetidos de acordo
com a respectiva multiplicidade algébrica). Então, atendendo à alínea anterior e à de…nição
anterior tem-se
det A = 1 2 n e tr A = 1 + 2 + + n.
De…nição 49. Sejam A e B matrizes n n. As matrizes A e B dizem-se semelhantes
se existir uma matriz S invertível tal que
B = SAS 1
.
Teorema 58. Duas matrizes são semelhantes se e só se existirem bases ordenadas em
relação às quais essas matrizes representem a mesma transformação linear.
Teorema 59. Sejam A e B matrizes n n. Se A e B forem semelhantes então A e B
têm o(a) mesmo(a):
(i) determinante; (ii) característica; (iii) nulidade; (iv) traço;
(v) polinómio característico, e portanto têm os mesmos valores próprios com as mesmas
multiplicidades algébricas e geométricas.
Dem. (Matrizes semelhantes têm o mesmo polinómio característico.)
det(B I) = det(SAS 1
I) = det(SAS 1
SS 1
) =
= det(S(A I)S 1
) = det S det(A I) det S 1
=
= det S det(A I)
1
det S
= det(A I).
Teorema 60. (i) Seja V um espaço linear. Seja T : V ! V uma transformação
linear. Se T tiver valores próprios distintos 1; :::; k e se v1; :::; vk forem os vectores próprios
associados a cada um destes valores próprios, então os vectores v1; :::; vk são linearmente
independentes.
(ii) Seja A uma matriz n n. Se A tiver valores próprios distintos 1; :::; k e se v1; :::; vk
forem os vectores próprios associados a cada um destes valores próprios, então os vectores
v1; :::; vk são linearmente independentes.
Dem. (ii) Seja r = dim L (fv1; :::; vkg). Suponhamos que r < k. Suponhamos ainda, a
menos de uma reordenação, que o conjunto fv1; :::; vrg é linearmente independente.
Como o conjunto fv1; :::; vr; vr+1g é linearmente dependente, então existem escalares não
todos nulos c1; :::; cr; cr+1 tais que
c1v1 + + crvr + cr+1vr+1 = 0. (*)
100
Note que tem que se ter cr+1 6= 0 caso contrário o conjunto fv1; :::; vrg é linearmente depen-
dente. Logo
cr+1vr+1 6= 0
e assim c1; :::; cr não podem ser todos nulos.
Por outro lado, atendendo a (*) tem-se
A (c1v1 + + crvr + cr+1vr+1) = 0 ,c1Av1 + + crAvr + cr+1Avr+1 = 0 ,
, c1 1v1 + + cr rvr + cr+1 r+1vr+1 = 0 (**).
Logo, multiplicando r+1 por (*) e somando a (**) tem-se:
r+1 (c1v1 + + crvr + cr+1vr+1) + c1 1v1 + + cr rvr + cr+1 r+1vr+1 = 0 ,
, c1 ( 1 r+1) v1 + + cr ( r r+1) vr = 0
Assim, sendo os escalares c1; :::; cr não todos nulos e sendo os escalares 1; :::; k todos dis-
tintos, então o conjunto fv1; :::; vrg seria linearmente dependente, contrariando a hipótese de
o mesmo ser linearmente independente. Logo, tem que se ter r = k.
De…nição 50. (i) Seja A uma matriz n n. Se existir uma matriz P invertível tal que
D = PAP 1
,
com D matriz diagonal, então diz-se que A é uma matriz diagonalizável e que P é
a matriz diagonalizante. No caso de A ser uma matriz diagonal, a matriz diagonalizante
é a matriz identidade.
(ii) Seja V um espaço linear tal que dim V = n. Seja T : V ! V uma transformação
linear. Diz-se que T é diagonalizável se existir uma base ordenada B de V em relação à
qual a matriz M (T; B; B) que representa T nessa base seja uma matriz diagonal.
Teorema 61. Seja A 2 Mn n(R). A matriz A é diagonalizável se e só se existir uma
base Bvp de Rn
apenas constituída por vectores próprios de A. Neste caso, as entradas da
diagonal principal da matriz diagonal D serão os valores próprios de A apresentados pela
ordem dos vectores próprios correspondentes na base ordenada Bvp. Além disso, a matriz
P 1
será a matriz cujas colunas serão os vectores próprios de A, da base Bvp de Rn
dispostos
pela mesma ordem, tendo-se
D = PAP 1
.
O mesmo se aplica a Cn
.
Teorema 62. Seja A uma matriz n n. Então as a…rmações seguintes são equivalentes:
(i) A é diagonalizável.
(ii) A tem n vectores próprios linearmente independentes.
(iii) A soma das multiplicidades geométricas dos valores próprios de A é n.
101
(iv) A multiplicidade geométrica de cada valor próprio de A é igual à multiplicidade
algébrica desse valor próprio.
Observação 43. (i) Seja V um espaço linear tal que dim V = n. Seja A = M (T; B; B)
a matriz n n que representa a transformação linear T : V ! V em relação à base ordenada
B. No caso de haver uma base Bvp (ordenada) de V apenas constituída por vectores próprios
de T, então tem-se
M (T; Bvp; Bvp) = PAP 1
,
onde P 1
= SBvp!B, sendo deste modo M (T; Bvp; Bvp) a matriz diagonal cujas entradas da
diagonal principal são os valores próprios de A apresentados pela ordem dos vectores próprios
correspondentes na base Bvp. Assim, T é representada relativamente a uma base ordenada
por uma matriz diagonal, isto é, T é diagonalizável.
No caso de se ter V = Rn
e B = Bn
c (base canónica ordenada) as colunas da matriz
P 1
= SBvp!Bn
c
são os vectores próprios de A da base Bvp dispostos pela mesma ordem.
(ii) No caso de se ter D = PAP 1
, com P invertível e D matriz diagonal, tem-se, para
k 2 N,
Dk
= PAk
P 1
, ou seja, Ak
= P 1
Dk
P.
Exemplo 46. Nos exemplos que se seguem as matrizes A consideradas poderão ser vistas
como matrizes que representam transformações lineares T relativamente à base canónica (ou
outras) ordenada de R3
, tendo-se no caso da base canónica, para todo o v 2 R3
,
T(v) = Av.
Deste modo, os valores próprios e vectores próprios de T serão respectivamente os valores
próprios e vectores próprios de A.
(i) Uma matriz com valores próprios distintos.
A =
2
4
1 5 1
0 2 1
4 0 3
3
5 .
O polinómio característico é dado por
det(A I) =
1 5 1
0 2 1
4 0 3
=
= (1 ) ( 2 ) (3 ) 20 + 4 (2 + ) =
= (1 ) ( 2 ) (3 ) + 4 12 =
= (3 ) [( 1) ( + 2) 4] =
= (3 ) 2
+ 6 =
= (3 ) ( 2) ( + 3) .
Os valores próprios de A são os valores de para os quais det(A I) = 0. Logo, os valores
próprios de A são
1 = 3, 2 = 2 e 3 = 3.
102
Os vectores próprios de A associados ao valor próprio são os vectores não nulos v 2 R3
para os quais
(A I) v = 0,
isto é, são os vectores não nulos de N (A I).
Determinemos os vectores próprios de A associados ao valor próprio 1 = 3. Tem-se
N (A 1I) = N
0
@
2
4
2 5 1
0 5 1
4 0 0
3
5
1
A = L (f(0; 1; 5)g) .
Logo, o subespaço próprio E 1 é dado por
E 1 = N (A 1I) = L (f(0; 1; 5)g) .
Os vectores próprios de A associados ao valor próprio 1 = 3 são
v = (0; s; 5s) , com s 2 Rn f0g .
Determinemos os vectores próprios de A associados ao valor próprio 2 = 2. Tem-se
N (A 2I) = N
0
@
2
4
1 5 1
0 4 1
4 0 1
3
5
1
A = L (f(1; 1; 4)g) .
Logo, o subespaço próprio E 2 é dado por
E 2 = N (A 2I) = L (f(1; 1; 4)g) .
Os vectores próprios de A associados ao valor próprio 2 = 2 são
v = (s; s; 4s) , com s 2 Rn f0g .
Determinemos os vectores próprios de A associados ao valor próprio 3 = 3. Tem-se
N (A 3I) = N
0
@
2
4
4 5 1
0 1 1
4 0 6
3
5
1
A = L (f(3; 2; 2)g) .
Logo, o subespaço próprio E 3 é dado por
E 3 = N (A 3I) = L (f(3; 2; 2)g) .
Os vectores próprios de A associados ao valor próprio 3 = 3 são
v = (3s; 2s; 2s) , com s 2 Rn f0g .
Atendendo a que os valores próprios de A são distintos, os vectores próprios de A asso-
ciados a esses valores próprios são linearmente independentes. Como dim R3
= 3, então 3
vectores em R3
linearmente independentes formarão desde logo uma base de R3
. Logo, o
conjunto
B = f(0; 1; 5) ; (1; 1; 4) ; (3; 2; 2)g
103
é uma base de R3
. Deste modo, temos uma base de R3
formada só por vectores próprios de
A. Logo, a matriz A é diagonalizável, isto é, existe uma matriz invertível P diagonalizante
tal que a matriz PAP 1
é diagonal, tendo-se
D = PAP 1
=
2
4
1 0 0
0 2 0
0 0 3
3
5 =
2
4
3 0 0
0 2 0
0 0 3
3
5 , com P 1
=
2
4
0 1 3
1 1 2
5 4 2
3
5 .
Note que cada coluna de P 1
é formada pelo vector próprio associado ao valor próprio
respectivo e na posição respectiva. Além disso, tem-se
(R3
; B3
c )
M(T;B3
c ;B3
c )
!
T
(R3
; B3
c )
SB3
c !B # I I # SB3
c !B
(R3
; B)
T
!
M(T;B;B)
(R3
; B)
com
SB3
c !B = P, M(T; B; B) = D e M(T; B3
c ; B3
c ) = A.
(ii) Uma matriz com valores próprios repetidos mas diagonalizável.
A =
2
4
2 1 1
2 3 2
3 3 4
3
5 .
O polinómio característico é dado por
det(A I) =
2 1 1
2 3 2
3 3 4
=
= (2 ) (3 ) (4 ) + 6 + 6 3 (3 ) 6 (2 ) 2 (4 ) =
= 3
+ 9 2
15 + 7 =
= ( 1) ( 1) ( 7) .
Os valores próprios de A são os valores de para os quais det(A I) = 0. Logo, os valores
próprios de A são
1 = 1 e 2 = 7.
Os vectores próprios de A associados ao valor próprio são os vectores não nulos v 2 R3
para os quais
(A I) v = 0,
isto é, são os vectores não nulos de N (A I).
Determinemos os vectores próprios de A associados ao valor próprio 1 = 1. Tem-se
N (A 1I) = N
0
@
2
4
1 1 1
2 2 2
3 3 3
3
5
1
A = L (f( 1; 1; 0) ; ( 1; 0; 1)g) .
Logo, o subespaço próprio E 1 é dado por
E 1 = N (A 1I) = L (f( 1; 1; 0) ; ( 1; 0; 1)g) .
104
Os vectores próprios de A associados ao valor próprio 1 = 1 são
v = ( s t; s; t) , com s e t não simultâneamente nulos.
Determinemos os vectores próprios de A associados ao valor próprio 2 = 7. Tem-se
N (A 2I) = N
0
@
2
4
5 1 1
2 4 2
3 3 3
3
5
1
A = L (f(1; 2; 3)g) .
Logo, o subespaço próprio E 2 é dado por
E 2 = N (A 2I) = L (f(1; 2; 3)g) .
Os vectores próprios de A associados ao valor próprio 2 = 7 são
v = (s; 2s; 3s) , com s 2 Rn f0g .
Atendendo a que
dim E 1 + dim E 2 = 3,
podemos ter a seguinte base de R3
formada só por vectores próprios de A
B = f( 1; 1; 0) ; ( 1; 0; 1) ; (1; 2; 3)g .
Logo, a matriz A é diagonalizável, isto é, existe uma matriz invertível P diagonalizante tal
que a matriz PAP 1
é diagonal, tendo-se
D = PAP 1
=
2
4
1 0 0
0 1 0
0 0 2
3
5 =
2
4
1 0 0
0 1 0
0 0 7
3
5 , com P 1
=
2
4
1 1 1
1 0 2
0 1 3
3
5 .
Note que cada coluna de P 1
é formada pelo vector próprio associado ao valor próprio
respectivo e na posição respectiva. Além disso, tem-se
(R3
; B3
c )
M(T;B3
c ;B3
c )
!
T
(R3
; B3
c )
SB3
c !B # I I # SB3
c !B
(R3
; B)
T
!
M(T;B;B)
(R3
; B)
com
SB3
c !B = P, M(T; B; B) = D e M(T; B3
c ; B3
c ) = A.
(iii) Uma matriz com valores próprios repetidos e não diagonalizável.
A =
2
4
7 5 1
0 2 1
20 0 3
3
5 .
105
O polinómio característico é dado por
det(A I) =
7 5 1
0 2 1
20 0 3
=
= (7 ) ( 2 ) (3 ) + 100 20 (2 + ) =
= (3 ) [(7 ) ( 2 ) + 20] =
= (3 ) 2
5 + 6 =
= (3 ) ( 3) ( 2) .
Os valores próprios de A são os valores de para os quais det(A I) = 0. Logo, os valores
próprios de A são
1 = 3 e 2 = 2.
Os vectores próprios de A associados ao valor próprio são os vectores não nulos v 2 R3
para os quais
(A I) v = 0,
isto é, são os vectores não nulos de N (A I).
Determinemos os vectores próprios de A associados ao valor próprio 1 = 3. Tem-se
N (A 1I) = N
0
@
2
4
4 5 1
0 5 1
20 0 0
3
5
1
A = L (f(0; 1; 5)g) .
Logo, o subespaço próprio E 1 é dado por
E 1 = N (A 1I) = L (f(0; 1; 5)g) .
Os vectores próprios de A associados ao valor próprio 1 = 3 são
v = (0; s; 5s) , com s 2 Rn f0g .
Determinemos os vectores próprios de A associados ao valor próprio 2 = 2. Tem-se
N (A 2I) = N
0
@
2
4
5 5 1
0 4 1
20 0 1
3
5
1
A = L (f(1; 5; 20)g) .
Logo, o subespaço próprio E 2 é dado por
E 2 = N (A 2I) = L (f(1; 5; 20)g) .
Os vectores próprios de A associados ao valor próprio 2 = 2 são
v = (s; 5s; 20s) , com s 2 Rn f0g .
Atendendo a que
dim E 1 + dim E 2 = 2 < 3,
não é possível ter uma base de R3
formada só por vectores próprios de A. Logo, a matriz
A não é diagonalizável, isto é, não existe uma matriz invertível P diagonalizante tal que a
matriz PAP 1
seja diagonal.
106
(iv) Uma matriz com apenas um valor próprio real.
A =
2
4
1 0 0
0 0 1
0 1 0
3
5 .
O polinómio característico é dado por
det(A I) =
1 0 0
0 1
0 1
=
= 2
(1 ) + (1 ) =
= (1 ) 2
+ 1 .
Os valores próprios de A são os valores de para os quais det(A I) = 0. Logo, os valores
próprios de A são
1 = 1, 2 = i e 3 = i.
Logo, a matriz A não é diagonalizável numa matriz de entradas reais, isto é, não existe
uma matriz invertível P diagonalizante tal que a matriz PAP 1
seja diagonal com entradas
reais. No entanto e atendendo a que os três valores próprios são distintos, a matriz A é
diagonalizável numa matriz de entradas complexas:
2
4
1 0 0
0 i 0
0 0 i
3
5
Exemplo 47. A sucessão de Fibonacci (Leonardo de Pisa, 1202). Seja (vn)n2N tal que
v1 = 1; v2 = 1 e vn+2 = vn + vn+1, n 2 N.
Considerando a igualdade vn+1 = vn+1, podemos escrever o sistema
vn+1 = vn+1
vn+2 = vn + vn+1
isto é
vn+1
vn+2
=
0 1
1 1
vn
vn+1
para todo o n 2 N. Aplicando sucessivamente a igualdade anterior tem-se
vn+1
vn+2
=
0 1
1 1
vn
vn+1
=
0 1
1 1
0 1
1 1
vn 1
vn
=
= =
0 1
1 1
n
v1
v2
=
0 1
1 1
n
1
1
.
Calculemos agora os valores próprios de
0 1
1 1
:
det
1
1 1
= 0 , ( ) (1 ) 1 = 0 , 2
1 = 0 ,
107
, =
1 +
p
5
2
ou =
1
p
5
2
.
Valores próprios: 1 = 1+
p
5
2
e 2 = 1
p
5
2
.
Atendendo a que
N 1 1
1 1 1
= N
0 1 + 1
2
1
1 1 1
= N
0 0
1 1
p
5
2
= L
(
1 +
p
5
2
; 1
!)!
1+
p
5
2
; 1 é um vector próprio associado ao valor próprio 1+
p
5
2
, sendo todos os vectores
próprios associados ao valor próprio 1+
p
5
2
dados por L
n
1+
p
5
2
; 1
o
n f(0; 0)g.
Atendendo a que
N 2 1
1 1 2
= N
0 1 + 2
2
2
1 1 2
= N
0 0
1 1+
p
5
2
= L
(
1 +
p
5
2
; 1
!)!
1+
p
5
2
; 1 é um vector próprio associado ao valor próprio 1
p
5
2
, sendo todos os vectores
próprios associados ao valor próprio 1
p
5
2
dados por L
n
1+
p
5
2
; 1
o
n f(0; 0)g.
Como existe uma base de R2
formada só por vectores próprios (os dois valores próprios
são distintos logo os vectores próprios correspondentes são linearmente independentes) então
a matriz
0 1
1 1
é diagonalizável. Assim, fazendo
P 1
=
1+
p
5
2
1+
p
5
2
1 1
tem-se
P =
" p
5
5
5+
p
5
10p
5
5
5
p
5
10
#
e
D =
"
1+
p
5
2
0
0 1
p
5
2
#
= P
0 1
1 1
P 1
,
,
0 1
1 1
= P 1
"
1+
p
5
2
0
0 1
p
5
2
#
P.
Logo
vn+1
vn+2
=
0 1
1 1
n
1
1
= P 1
"
1+
p
5
2
0
0 1
p
5
2
#
P
!n
1
1
=
= P 1
"
1+
p
5
2
0
0 1
p
5
2
#n
P
1
1
= P 1
2
4
1+
p
5
2
n
0
0 1
p
5
2
n
3
5 P
1
1
=
=
1+
p
5
2
1+
p
5
2
1 1
2
4
1+
p
5
2
n
0
0 1
p
5
2
n
3
5
" p
5
5
5+
p
5
10p
5
5
5
p
5
10
#
1
1
=
108
=
2
4
5
p
5
10
1
p
5
2
n
+ 5+
p
5
10
1+
p
5
2
n
5 3
p
5
10
1
p
5
2
n
+ 3
p
5+5
10
1+
p
5
2
n
3
5 .
Isto é,
vn+1 =
5
p
5
10
1
p
5
2
!n
+
5 +
p
5
10
1 +
p
5
2
!n
para todo o n 2 N, com v1 = 1.
Veri…que que (por exemplo) v2 = 1, v3 = 2; v4 = 3:
Exemplo 48. (Um processo de difusão.) Considere duas células adjacentes separadas
por uma membrana permeável e suponha que um ‡uído passa da 1a
célula para a 2a
a uma
taxa (em mililitros por minuto) numericamente igual a 4 vezes o volume (em mililitros) do
‡uído da 1a
célula. Em seguida, passa da 2a
célula para a 1a
a uma taxa (em mililitros por
minuto) numericamente igual a 5 vezes o volume (em mililitros) do ‡uído da 2a
célula.
Sejam v1 (t) e v2 (t) respectivamente o volume da 1a
célula e o volume da 2a
célula no
instante t. Suponha que inicialmente a primeira célula tem 10 mililitros de ‡uído e que a
segunda tem 8 mililitros de ‡uído, isto é v1 (0) = 10 e v2 (0) = 8.
Determinemos o volume de ‡uído de cada célula no instante t.
Tem-se 8
<
:
v0
1 (t) = 4v1 (t)
v0
2 (t) = 4v1 (t) 5v2 (t)
isto é
v0
1 (t)
v0
2 (t)
=
4 0
4 5
v1 (t)
v2 (t)
: (*)
4 e 5 são os valores próprios da matriz
4 0
4 5
, sendo os vectores próprios associados
(1; 4) e (0; 1) respectivamente.
Como existe uma base de R2
formada só por vectores próprios (os dois valores próprios
são distintos logo os vectores próprios correspondentes são linearmente independentes) então
a matriz
4 0
4 5
é diagonalizável. Assim, fazendo
P 1
=
1 0
4 1
tem-se P =
1 0
4 1
e
, D =
4 0
0 5
= P
4 0
4 5
P 1
,
,
4 0
4 5
= P 1 4 0
0 5
P.
o sistema (*) é equivalente a
v0
1 (t)
v0
2 (t)
= P 1 4 0
0 5
P
v1 (t)
v2 (t)
,
109
, P
v0
1 (t)
v0
2 (t)
=
4 0
0 5
P
v1 (t)
v2 (t)
Assim, considerando a mudança de variável
u1 (t)
u2 (t)
= P
v1 (t)
v2 (t)
P
v0
1 (t)
v0
2 (t)
=
4 0
0 5
P
v1 (t)
v2 (t)
,
,
u0
1 (t)
u0
2 (t)
=
4 0
0 5
u1 (t)
u2 (t)
,
,
8
<
:
u0
1 (t) = 4u1 (t)
u0
2 (t) = 5u2 (t)
,
Se u16=0
e u26=0
8
>>>><
>>>>:
u0
1 (t)
u1 (t)
= 4
u0
2 (t)
u2 (t)
= 5
,
,
8
<
:
log ju1 (t)j = 4t + k1
log ju2 (t)j = 5t + k2
,
,
8
<
:
u1 (t) = c1e 4t
u2 (t) = c2e 5t
com c1; c2 2 R. Logo
v1 (t)
v2 (t)
= P 1 c1e 4t
c2e 5t =
1 0
4 1
c1e 4t
c2e 5t =
c1e 4t
4c1e 4t
+ c2e 5t .
Como 8
<
:
v1 (0) = 10
v2 (0) = 8
então c1 = 10 e c2 = 32 e assim a solução geral do sistema de equações diferenciais lineares
8
<
:
v0
1 (t) = 4v1 (t)
v0
2 (t) = 4v1 (t) 5v2 (t)
com os valores iniciais 8
<
:
v1 (0) = 10
v2 (0) = 8
é dada por 2
4
v1 (t)
v2 (t)
3
5 =
2
4
10e 4t
40e 4t
32e 5t
3
5 .
110
5a
Ficha de exercícios para as aulas de problemas
1. Seja A =
2
4
9 8 7
6 5 4
3 2 1
3
5. Veri…que se 0 é valor próprio de A e caso seja determine um
vector próprio associado.
2. Sem calcular o polinómio característico, indique um valor próprio e dois vectores
próprios associados linearmente independentes para a matriz
2
4
5 5 5
5 5 5
5 5 5
3
5 :
3. Determine os valores próprios de uma matriz A 2 2 cujo traço seja igual a 5 e cujo
determinante seja igual a 6.
4. Determine uma matriz A real simétrica (AT
= A) 2 2 cujos valores próprios sejam
2 e 2 e tal que (2; 1) seja um vector próprio associado ao valor próprio 2.
5. Considere a transformação linear T : R3
! R3
que admite os vectores próprios
v1 = (1; 2; 1); v2 = ( 1; 0; 1); v3 = (0; 1; 0);
associados respectivamente aos valores próprios 1; 2 e 3.
Determine a expressão geral de T.
6. Considere a transformação linear T : R3
! R3
de…nida por
T(x; y; z) = (0; y + 3z; 3y + z):
(i) Diga quais dos seguintes vectores:
v1 = (2; 1; 1); v2 = (0; 1; 1); v3 = (1; 0; 0); v4 = ( 1; 1; 3); v5 = (0; 3; 3)
são vectores próprios.
(ii) Determine os valores próprios de T.
(iii) Diga, justi…cando, se T é invertível e se T é diagonalizável.
(iv) Determine os subespaços próprios de T.
7. Considere a transformação linear T : R2
! R2
de…nida por T(1; 2) = (5; 5) = T (2; 1).
(i) Veri…que que os vectores v1 = (1; 1) e v2 = (1; 1) são vectores próprios de T.
(ii) Diga, justi…cando, se T é invertível e se T é diagonalizável.
(iii) Indique uma base ordenada de R2
relativamente à qual a matriz que representa
T seja uma matriz diagonal.
(iv) Determine os valores próprios e os subespaços próprios de T.
111
8. Considere a transformação linear T : R3
! R3
que em relação à base canónica de R3
é representada pela matriz:
A =
2
4
0 1 0
0 1 0
0 1 0
3
5 .
(i) Veri…que que os vectores v1 = (1; 0; 0); v2 = (1; 1; 1) e v3 = (0; 0; 1) são vectores
próprios de T.
(ii) Diga, justi…cando, se T é invertível e se T é diagonalizável.
(iii) Determine os valores próprios e os subespaços próprios de T.
(iv) Diagonalize T. Isto é, determine uma matriz de mudança de base P 1
e uma
matriz diagonal D tais que
D = PAP 1
:
9. Considere a transformação linear T : R2
! R2
que em relação à base ordenada
f(1; 2) ; (2; 1)g de R2
é representada pela matriz:
A =
2 3
3 2
.
(i) Determine os valores próprios de T e diga, justi…cando, se T é invertível e se T é
diagonalizável.
(ii) Determine bases para os subespaços próprios de T.
(iii) Diagonalize a transformação linear T, isto é, determine uma base ordenada de R2
relativamente à qual a matriz que represente T seja uma matriz diagonal.
10. Seja V um espaço linear de dimensão …nita. Seja T : V ! V uma transformação
linear tal que T2
= T. Uma tranformação linear nas condições anteriores chama-se
projecção.
(i) Mostre que os valores próprios de T são 0 e 1:
(ii) Justi…que que T é diagonalizável.
11. Considere a transformação linear T : R3
! R3
de…nida por T(x; y; z) = (x; y; x y).
(i) Determine os valores próprios e os subespaços próprios de T.
(ii) A transformação linear T representa geometricamente uma projecção sobre um
plano, paralelamente a um vector. Determine esse plano e esse vector.
12. Considere a transformação linear T : R3
! R3
que representa geometricamente a
projecção sobre o plano x + y + z = 0, paralelamente ao vector (0; 0; 1).
(i) Explique o signi…cado do plano e do vector referidos no enunciado.
(ii) Determine a expressão geral de T.
13. Considere a transformação linear T : R2
! R2
que em relação à base canónica de R2
é representada pela matriz:
A =
2 1
0 2
.
112
(i) Determine os valores próprios e os subespaços próprios de T.
(ii) Mostre que não existe nenhuma base de R2
constituída por vectores próprios de
T. T é diagonalizável?
14. Considere a transformação linear T : R3
! R3
de…nida por
T(x; y; z) = (3x; 2y + z; 2z):
(i) Determine os valores próprios e bases dos subespaços próprios de T.
(ii) Mostre que não existe nenhuma base de R3
em relação à qual T possa ser repre-
sentada por uma matriz diagonal.
15. Considere a transformação linear T : R3
! R3
de…nida por
T(x; y; z) = (y + z; 2y + z; y + 2z).
(i) Determine o polinómio característico de T.
(ii) Determine os valores próprios e bases dos subespaços próprios de T.
(iii) Determine uma base de R3
constituída por vectores próprios de T. Determine a
matriz que representa T nesta base ordenada.
(iv) Seja A a matriz que representa T na base canónica de R3
, isto é, A = M(T; B3
c ; B3
c ).
Diagonalize a matriz A. Isto é, determine uma matriz de mudança de base P 1
e uma
matriz diagonal D tais que D = PAP 1
.
(v) Determine An
e Tn
(x; y; z).
16. Considere a transformação linear T : R3
! R3
que em relação à base ordenada
f(0; 1; 0) ; (1; 0; 1) ; (1; 0; 1)g de R3
é representada pela matriz:
A =
2
4
7 4 2
1 7 1
1 2 10
3
5 .
(i) Determine o polinómio característico de T.
(ii) Determine os valores próprios e bases dos subespaços próprios de T.
(iii) Diagonalize a transformação linear T, isto é, determine uma base ordenada de R3
relativamente à qual a matriz que represente T seja uma matriz diagonal.
(iv) Determine An
e Tn
(x; y; z).
17. Sabendo que os vectores (1; 1; 1); (1; 0; 1) e (1; 1; 0) são vectores próprios da matriz
2
4
1 1 1
a b c
d e f
3
5 ,
determine a; b; c; d; e; f.
113
18. Considere a transformação linear T : M2 2(R) ! M2 2(R) de…nida por
T(A) = A + AT
:
(i) Escolha uma base ordenada para M2 2(R) e determine a matriz que representa T
em relação a essa base ordenada.
(ii) Determine os valores próprios e os vectores próprios de T.
(iii) Diga se T pode ou não ser representada por uma matriz diagonal em relação a
uma base ordenada apropriada de M2 2(R). Em caso a…rmativo, indique uma tal base
ordenada e a correspondente matriz diagonal que representa T.
19. Considere as matrizes A1 =
2 1
2 5
; A2 =
2
4
2 1 1
0 3 1
0 1 3
3
5 ; A3 =
2
4
1 1 0
1 1 0
0 0 0
3
5.
Veri…que que A1; A2 e A3 são diagonalizáveis. Isto é, determine matrizes de mudança
de bases P 1
1 ; P 1
2 e P 1
3 e matrizes diagonais D1; D2 e D3 tais que
D1 = P1A1P 1
1 , D2 = P2A2P 1
2 e D3 = P3A3P 1
3 .
Ou seja, veri…que que existe uma base de R2
formada por vectores próprios
de A1, uma base de R3
formada por vectores próprios de A2 e outra base de
R3
formada por vectores próprios de A3.
20. Considere a transformação linear T : R4
! R4
que em relação à base canónica de R4
é representada pela matriz 2
6
6
4
0 0 0 0
a 0 0 0
0 b 0 0
0 0 c 0
3
7
7
5 ,
com a; b; c 2 R. Determine os valores de a; b; c de modo a que exista uma base de R4
constituída só por vectores próprios de T.
21. Para cada parâmetro 2 R, sejam A =
2
4
1 1
0 3 0
1 0
3
5, u1 =
2
4
1
0
1
3
5, u2 =
2
4
1
0
1
3
5 :
(i) Prove que u1 e u2 são vectores próprios de A. Determine os valores próprios
associados.
(ii) Determine os valores próprios de A e indique os valores de para os quais A tem
3 valores próprios todos distintos.
(iii) Determine, em função de , bases para os espaços próprios associados.
(iv) Identi…que, justi…cando, os valores de para os quais a matriz A é diagonalizável.
114
3a
Ficha de exercícios facultativos
1. Seja T : Rn
! Rn
uma transformação linear invertível. Seja u um vector próprio de T
associado a um valor próprio de T. Veri…que que u é também um vector próprio de
T 1
e determine o valor próprio de T 1
que lhe está associado.
2. Seja V um espaço linear. Seja T : V ! V uma transformação linear. Seja u um vector
próprio de T associado a um valor próprio de T. Veri…que que u é também um vector
próprio de T2
associado ao valor próprio 2
de T2
.
3. Seja A uma matriz do tipo n n. Mostre que se é um valor próprio de A então k
é um valor próprio de Ak
, onde k é um inteiro positivo.
4. Uma matriz A do tipo n n diz-se nilpotente se Al
= 0 para algum inteiro positivo l.
Mostre que se A é nilpotente então o único valor próprio de A é 0.
5. Seja A uma matriz n n. Veri…que que A e AT
têm os mesmos valores próprios.
6. Seja A uma matriz n n cuja soma das suas colunas é constante e igual a r. Mostre
que r é um valor próprio de A:
7. Seja A 2 Mn n(R). Seja P uma matriz diagonalizante para A. Determine uma matriz
diagonalizante para AT
em termos de P.
8. Seja Q uma matriz n n real ortogonal, isto é, tal que Q 1
= QT
.
Mostre que se n fôr ímpar então Q tem o valor próprio 1 ou tem o valor próprio 1.
9. Determine uma matriz A real 2 2 tal que det A < 0. Mostre que A é diagonalizável.
10. Seja A uma matriz n n e seja um valor próprio de A com multiplicidade algébrica
igual a n. Mostre que se A fôr diagonalizável então A é uma matriz diagonal.
11. Seja V um espaço linear e seja T : V ! V uma transformação linear tal que todos
os vectores não nulos de V são vectores próprios. Mostre que T tem um único valor
próprio.
12. Sejam A e B duas matrizes do tipo n n. Mostre que AB e BA têm os mesmos valores
próprios.
13. Sejam A e B duas matrizes tais que AB = BA. Mostre que A e B têm um vector
próprio em comum.
Sugestão: Sendo um valor próprio de A, considere C a matriz cujas colunas formam
uma base ordenada S de N (A I) e veri…que que (A I) BC = 0. Finalmente
considere a matriz P cujas colunas são respectivamente as coordenadas das colunas de
BC em relação à base S e sendo v um vector próprio de P mostre que Cv é um vector
próprio comum a A e B.
14. Seja A uma matriz n n e sejam 1; 2 escalares, com 1 6= 2, tais que
(A 1I) (A 2I) = 0:
Mostre que A é diagonalizável.
115
Produtos internos e ortogonalização
De…nição 51. Sejam V um espaço linear real e 0 o vector nulo de V . Chama-se produto
interno em V a uma aplicação
h; i : V V ! R
(u; v) ! hu; vi
que veri…que as três condições seguintes.
(i) Simetria: para todos os u; v 2 V
hu; vi = hv; ui .
(ii) Linearidade: para todo o v 2 V (…xo) a aplicação
V ! R
u ! hu; vi
é linear.
(iii) Positividade: para todo o u 2 V tal que u 6= 0,
hu; ui > 0.
Tendo-se hu; ui = 0 se e só se u = 0.
Observação 44. (a) Um produto interno num espaço linear real é uma forma bilinear,
simétrica e de…nida positiva.
(b) Num espaço linear V sobre C (espaço linear complexo), um produto interno é uma
aplicação que a cada par de vectores (u; v) 2 V V associa o número complexo hu; vi e que
veri…ca as seguintes condições:
(i) Para todos os u; v 2 V
hu; vi = hv; ui.
(ii) Para todo o v 2 V (…xo) tem-se
h u + w; vi = hu; vi + hw; vi
para todos os u; w 2 V e ; 2 C, (onde por exemplo = a bi se = a+bi) e a aplicação,
para todo o u 2 V (…xo)
V ! C
v ! hu; vi
é linear.
116
(iii) Para todo o u 2 V tal que u 6= 0,
hu; ui > 0.
Tendo-se hu; ui = 0 se e só se u = 0.
(c) A um espaço linear real de dimensão …nita com um produto interno chama-se espaço
euclidiano. A um espaço linear complexo de dimensão …nita com um produto interno
chama-se espaço unitário.
Observação 45. (i) Seja V um espaço linear real. Seja B = fw1; w2; :::; wng uma base
ordenada de V . Sejam u; v 2 V . Sejam
1; 2; :::; n e 1; 2; :::; n
as coordenadas de u e de v na base ordenada B respectivamente, isto é,
u = 1w1 + 2w2 + ::: + nwn =
nX
i=1
iwi
e
v = 1w1 + 2w2 + ::: + nwn =
nX
i=1
iwi.
Logo,
hu; vi =
* nX
i=1
iwi;
nX
i=1
iwi
+
=
nX
i=1
nX
j=1
i j hwi; wji =
= 1 2 : : : n
2
6
6
6
4
hw1; w1i hw1; w2i : : : hw1; wni
hw2; w1i hw2; w2i : : : hw2; wni
...
...
...
hwn; w1i hwn; w2i : : : hwn; wni
3
7
7
7
5
2
6
6
6
4
1
2
...
n
3
7
7
7
5
.
Assim, a aplicação h; i : V V ! R que a cada (u; v) 2 V V faz corresponder hu; vi, é um
produto interno em V se e só se a matriz
G =
2
6
6
6
4
hw1; w1i hw1; w2i : : : hw1; wni
hw2; w1i hw2; w2i : : : hw2; wni
...
...
...
hwn; w1i hwn; w2i : : : hwn; wni
3
7
7
7
5
fôr simétrica (G = GT
) e de…nida positiva (uT
Gu > 0, para todo o u 6= 0). Note-se que a
linearidade é consequência das propriedades referentes às operações matriciais envolvidas.
(ii) À matriz G anterior dá-se o nome de matriz da métrica do produto interno.
(iii) Num próximo capítulo, como consequência da diagonalização ortogonal, sendo G
simétrica (G = GT
), será estabelecida a equivalência:
(uT
Gu > 0, para todo o u 6= 0) , (todos os valores próprios de G são positivos).
117
(iv) Observe-se ainda que no caso de se ter um espaço unitário pode-se encontrar uma
matriz G cujos valores próprios sejam todos positivos e tal que G = G
T
, (onde G é a matriz
que se obtem de G passando todas as entradas desta ao complexo conjugado), tendo-se
hu; vi = 1 2 : : : n G
2
6
6
6
4
1
2
...
n
3
7
7
7
5
.
Uma matriz A que satisfaça a condição A = A
T
diz-se hermitiana.
Teorema 63. Seja V um espaço linear real com dim V = n. Seja fw1; w2; :::; wng uma
base ordenada de V . Então, uma aplicação
h; i : V V ! R
é um produto interno (em V ) se e só se
hu; vi = 1 2 : : : n G
2
6
6
6
4
1
2
...
n
3
7
7
7
5
,
com
u = 1w1 + 2w2 + ::: + nwn v = 1w1 + 2w2 + ::: + nwn.
e G é uma matriz simétrica cujos valores próprios são todos positivos. Se a aplicação h; i fôr
um produto interno tem-se
G =
2
6
6
6
4
hw1; w1i hw1; w2i : : : hw1; wni
hw2; w1i hw2; w2i : : : hw2; wni
...
...
...
hwn; w1i hwn; w2i : : : hwn; wni
3
7
7
7
5
.
Exemplo 49. (i) Seja h; i : R2
R2
! R a aplicação de…nida por:
h( 1; 2) ; ( 1; 2)i = 1 1 + 2 2,
com ( 1; 2) ; ( 1; 2) 2 R2
. Esta aplicação é um produto interno em R2
a que se dá o nome
de produto interno usual em R2
, uma vez que
h( 1; 2) ; ( 1; 2)i = 1 1 + 2 2 = 1 2 G 1
2
com
G =
1 0
0 1
.
118
A matriz G é simétrica e o único valor próprio de G é 1 > 0.
(ii) Seja h; i : R2
R2
! R a aplicação de…nida por:
h( 1; 2) ; ( 1; 2)i = 2 1 1 + 3 2 2,
com ( 1; 2) ; ( 1; 2) 2 R2
. Esta aplicação não é um produto interno em R2
, uma vez que
h( 1; 2) ; ( 1; 2)i = 2 1 1 + 3 2 2 = 1 2 G 1
2
com
G =
2 0
0 3
.
A matriz G é simétrica, no entanto, os valores próprios de G: 2 e 3 não são ambos positivos.
(iii) O produto interno usual em Rn
é dado por:
h; i : Rn
Rn
! R
(u; v) ! hu; vi = uT
v,
onde uT
= u1 u2 : : : un e v =
2
6
6
6
4
v1
v2
...
vn
3
7
7
7
5
.
(iv) O produto interno usual em Cn
é dado por:
h; i : Cn
Cn
! C
(u; v) ! hu; vi = uH
v,
onde uH
= uT
= u1 u2 : : : un e v =
2
6
6
6
4
v1
v2
...
vn
3
7
7
7
5
.
(v) Um produto interno em Mm n (R).
h; i : Mm n (R) Mm n (R) ! R
(A; B) ! hA; Bi =
mX
i=1
nX
j=1
aijbij = tr AT
B .
(vi) Um produto interno em C ([a; b]).
h; i : C ([a; b]) C ([a; b]) ! R
(f; g) ! hf; gi =
Z b
a
f (x) g (x) dx.
119
Exemplo 50. R2
com um produto interno não usual. Seja h; i : R2
R2
! R a
aplicação de…nida por:
h( 1; 2) ; ( 1; 2)i = 2 1 1 + 1 2 + 2 1 + 3 2 2,
com ( 1; 2) ; ( 1; 2) 2 R2
.
É fácil ver que esta aplicação é simétrica e linear em relação a ( 1; 2) (…xando ( 1; 2)).
Vejamos por exemplo que a condição
h( 1; 2) ; ( 1; 2)i > 0, para todo o ( 1; 2) 6= (0; 0),
é satisfeita.
Atendendo a que
h( 1; 2) ; ( 1; 2)i = 2 2
1 + 2 1 2 + 3 2
2 = 2
1 + ( 1 + 2)2
+ 2 2
2,
tem-se
h( 1; 2) ; ( 1; 2)i = 0 ,
, ( 1 = 0 e 1 + 2 = 0 e 2 = 0)
, ( 1 = 0 e 2 = 0) , ( 1; 2) = (0; 0).
Em alternativa, podemos escrever
h( 1; 2) ; ( 1; 2)i = 2 1 1 + 1 2 + 2 1 + 3 2 2 =
= 1 2 G 1
2
com
G =
2 1
1 3
.
A matriz G é simétrica e os valores próprios de G: 5+
p
5
2
e 5
p
5
2
são ambos positivos.
De…nição 52. Sejam V um espaço linear com um produto interno e 0 o vector nulo de
V . Sejam u; v 2 V .
(i) Chama-se norma de u a:
kuk =
p
hu; ui:
(ii) Chama-se projecção ortogonal de v sobre u 6= 0 a:
proju v =
hv; ui
kuk2 u:
(iii) Diz-se que u e v são ortogonais se hu; vi = 0.
(iv) Chama-se ângulo entre dois vectores não nulos u e v tais que hu; vi 2 R a:
= arccos
hu; vi
kuk kvk
.
120
Note que este ângulo está bem de…nido atendendo ao próximo teorema.
Observação 46. (i) O ângulo entre dois vectores não nulos u e v é 2
se e só se u e v
são ortogonais.
(ii) Para cada u 2 V (…xo) com u 6= 0, a aplicação proju : V ! V que a cada v 2 V faz
corresponder proju v, é uma transformação linear.
Teorema 64. Desigualdade de Cauchy-Schwarz. Seja V um espaço linear com um
produto interno. Então, para todos os u; v 2 V ,
jhu; vij kuk kvk
Observação 47. (i) Teorema de Pitágoras. Sejam u; v 2 R2
. Tem-se u e v ortogonais
se e só se
ku vk2
= kuk2
+ kvk2
.
Dem.
ku vk2
= hu v; u vi =
= hu; ui hv; ui hu; vi + hv; vi =
= kuk2
2 hu; vi + kvk2
= kuk2
+ kvk2
se e só se
hu; vi = 0,
isto é, se e só se u e v forem ortogonais.
(ii) Em R2
com o produto interno usual, a desigualdade de Cauchy-Schwarz é dada por
j 1 1 + 2 2j
q
2
1 + 2
2
q
2
1 + 2
2,
uma vez que
h( 1; 2) ; ( 1; 2)i = 1 1 + 2 2,
com ( 1; 2) ; ( 1; 2) 2 R2
.
(iii) Em Rn
com o produto interno usual, a desigualdade de Cauchy-Schwarz é dada por
nX
i=1
i i
v
u
u
t
nX
i=1
2
i
v
u
u
t
nX
i=1
2
i ,
uma vez que
h( 1; :::; n) ; ( 1; :::; n)i = 1 1 + ::: + n n,
com ( 1; :::; n) ; ( 1; :::; n) 2 Rn
.
121
Teorema 65. Sejam V um espaço linear com um produto interno e 0 o vector nulo
de V . Sejam u; v 2 V e escalar. A norma é uma aplicação kk : V ! R que satisfaz as
seguintes propriedades.
(i) Positividade: kuk > 0 se u 6= 0.
(ii) Homogeneidade: k uk = j j kuk
(iii) Desigualdade triangular: ku + vk kuk + kvk
Observação 48. Pode de…nir-se norma num espaço linear V , sem estar associada a
qualquer produto interno, como sendo uma aplicação de V em R que satisfaz as propriedades
do teorema anterior. A um espaço linear com uma norma chama-se espaço normado.
Observação 49. Seja V um espaço linear real com um produto interno. Sejam u; v 2 V .
Tem-se
hu; vi =
1
2
ku + vk2
kuk2
kvk2
.
Observação 50. Seja V um espaço normado. Sejam u; v 2 V . Então, a norma pode
dar origem a um produto interno se e só se
ku vk2
+ ku + vk2
= 2 kuk2
+ 2 kvk2
.
Esta última equação é conhecida por lei do paralelogramo.
Exemplo 51. Uma norma que não dá origem a um produto interno. Seja
kk : R2
! R a aplicação de…nida por
k( 1; 2)k = j 1j + j 2j ,
com ( 1; 2) 2 R2
. É fácil veri…car que esta aplicação satisfaz as três condições da norma.
Logo, é uma norma. No entanto, é também fácil veri…car que esta norma não satisfaz a lei
do paralelogramo. Logo, esta norma não poderá originar um produto interno.
De…nição 53. Sejam V um espaço euclidiano (ou unitário) e S V . Diz-se que S é
ortogonal se para todos os u; v 2 S com u 6= v, se tiver
hu; vi = 0.
Diz-se que S é ortonormado se fôr ortogonal e se, para todo o u 2 S, se tiver
kuk = 1.
Teorema 66. Sejam V um espaço linear com um produto interno e S V . Seja 0
o vector nulo de V . Se S é ortogonal e 0 =2 S então S é linearmente independente. Em
122
particular, se n = dim V então qualquer conjunto S ortogonal de n vectores não nulos é uma
base de V .
Teorema 67. Seja V um espaço euclidiano (ou unitário) com dim V = n. Seja B =
fu1; :::; ung uma base (ordenada) ortogonal de V . Então, as coordenadas de um vector v 2 V
em relação à base (ordenada) B são dadas por:
j =
hv; uji
huj; uji
,
com j = 1; :::; n. Se B fôr ortonormada então as coordenadas de um vector v 2 V em relação
à base (ordenada) B são dadas por:
j = hv; uji ,
com j = 1; :::; n.
Teorema 68. Seja V um espaço euclidiano com dim V = n. Seja B = fw1; :::; wng uma
base (ordenada) ortonormada de V . Então, para todos os u; v 2 V , tem-se
hu; vi =
nX
i=1
hu; wii hv; wii (fórmula de Parseval)
e
kuk =
v
u
u
t
nX
i=1
hu; wii2
:
Observação 51. Seja V um espaço euclidiano com dim V = n. Seja B = fw1; :::; wng
uma base (ordenada) ortonormada de V . Sejam u; v 2 V , com
u = 1w1 + 2w2 + ::: + nwn v = 1w1 + 2w2 + ::: + nwn.
Então a fórmula de Parseval é dada por:
hu; vi =
nX
i=1
i i = 1 1 + 2 2 + ::: + n n
e tem-se
kuk =
v
u
u
t
nX
i=1
2
i .
Notação 3. Sejam V um espaço euclidiano (ou unitário) e 0 o vector nulo de V . Para
qualquer v 2 V , com v 6= 0, o vector
1
kvk
v será denotado por
v
kvk
.
123
Teorema 69. Método de ortogonalização de Gram-Schmidt. Seja V um espaço
euclidiano (ou unitário) não nulo. Então V tem bases ortonormadas. Mais concretamente,
considere o conjunto linearmente independente:
fv1; v2; :::; vkg V
e sejam
u1 = v1,
u2 = v2 proju1
v2,
:::
uk = vk proju1
vk ::: projuk 1
vk
então
(i) L(fu1; u2; :::; ukg) = L(fv1; v2; :::; vkg);
(ii) o conjunto fu1; u2; :::; ukg é uma base ortogonal de L(fv1; v2; :::; vkg).
(iii) o conjunto
u1
ku1k
;
u2
ku2k
; :::;
uk
kukk
é uma base ortonormada de L(fv1; v2; :::; vkg).
Exemplo 52. Considere-se R4
com o produto interno usual. Seja
U = L(f(1; 1; 1; 1); (1; 2; 3; 4); (2; 1; 6; 7); (1; 3; 7; 9)g).
Determinemos a dimensão de U e uma base ortonormada para U. Tem-se
2
6
6
4
1 1 2 1
1 2 1 3
1 3 6 7
1 4 7 9
3
7
7
5 !
2
6
6
4
1 1 2 1
0 1 1 2
0 4 4 8
0 5 5 10
3
7
7
5 !
2
6
6
4
1 1 2 1
0 1 1 2
0 0 0 0
0 0 0 0
3
7
7
5 .
Logo, o conjunto fv1; v2g, com v1 = (1; 1; 1; 1) e v2 = (1; 2; 3; 4), é uma base de U e como
tal dim U = 2.
Sejam u1 = v1 e u2 = v2 proju1
v2.
Logo, o conjunto fu1; u2g, com u1 = (1; 1; 1; 1) e
u2 = (1; 2; 3; 4)
1 + 2 3 4
4
(1; 1; 1; 1) = (2; 3; 2; 3),
é uma base ortogonal de U. Uma base ortonormada para U:
u1
ku1k
;
u2
ku2k
=
(
1
2
;
1
2
;
1
2
;
1
2
;
p
26
13
;
3
p
26
26
;
p
26
13
;
3
p
26
26
!)
Teorema 70. Seja B = fu1; u2; :::; ung uma base (ordenada) de um espaço euclidiano
(ou unitário). A base B é ortonormada se e só se a matriz da métrica G em relação a essa
base fôr a matriz identidade. Em Rn
o produto interno usual é aquele em relação ao qual a
base canónica é ortonormada.
124
Teorema 71. Seja fv1; v2; :::; vng uma base (ordenada) de Rn
. Então, existe um único
produto interno em Rn
para o qual esta base é ortonormada.
Exemplo 53. Considere em R2
a base (ordenada) B = fv1; v2g, com v1 = (1; 0) e v2 =
(1; 1). Vejamos que existe um e um só produto interno para o qual a base B é ortonormada.
Seja B2
c = f(1; 0); (0; 1)g a base canónica de R2
. Sejam u; v 2 R2
, com u = ( 1; 2) e
v = ( 1; 2), onde 1; 2 e 1; 2 são as coordenadas na base B2
c de u e v respectivamente.
Logo, a aplicação h; i : R2
R2
de…nida por
hu; vi = h( 1; 2) ; ( 1; 2)i = SB2
c !B
1
2
T
1 0
0 1
SB2
c !B
1
2
=
=
1 1
0 1
1
2
T
1 0
0 1
1 1
0 1
1
2
= 1 1 1 2 2 1 + 2 2 2 =
= 1 2
1 1
1 2
1
2
é um produto interno e é o único para o qual a base B é ortonormada, onde
SB2
c !B = SB!B2
c
1
=
1 1
0 1
1
=
1 1
0 1
:
NOTE QUE: sendo G =
1 1
1 2
(é simétrica e os valores próprios 3+
p
5
2
e 3
p
5
2
são
ambos positivos) a matriz da métrica em relação a B2
c e G0
=
1 0
0 1
(é simétrica e o único
valor próprio 1 é positivo) a matriz da métrica em relação a B, tem-se
G = SB2
c !B
T
G0
SB2
c !B
É fácil veri…car que para este produto interno a base B é ortonormada:
h(1; 0) ; (1; 1)i = 0 e h(1; 0) ; (1; 0)i = h(1; 1) ; (1; 1)i = 1.
De…nição 54. Sejam V um espaço euclidiano (ou unitário) e U um subespaço de V .
Diz-se que um elemento de V é ortogonal a U se fôr ortogonal a todos os elementos de U.
Ao conjunto de todos os elementos ortogonais a U chama-se complemento ortogonal de
U e designa-se por U?
,
U?
= fv 2 V : hv; ui = 0 para todo o u 2 Ug .
Observação 52. Seja V um espaço linear com produto interno.
(i) Qualquer que seja o subespaço U de V , também U?
é um subespaço de V .
(ii) Sendo S um subconjunto de V , não necessariamente um subespaço de V , (também)
pode de…nir-se S?
:
S?
= fv 2 V : hv; ui = 0 para todo o u 2 Sg .
125
Apesar de S não ser necessariamente um subespaço de V , S?
é sempre um subespaço de V ,
tendo-se
S?
= (L (S))?
.
Teorema 72. Seja V um espaço linear com produto interno.
(i) Seja U um subespaço de V . Tem-se
U  U?
= f0g :
(ii) Seja S um subconjunto de V . Então
S S? ?
.
No próximo teorema ver-se-á que no caso de se ter dim V < 1, então
L (S) = S? ?
ou ainda, sendo U um subespaço de V (de dimensão …nita)
U = U? ?
.
(iii) Sejam S1; S2 subconjuntos de V . Então
S1 S2 ) (S2)?
(S1)?
(iv) Seja U um subespaço de V . Se fv1; v2; :::; vng é uma base de U então
U?
= fv 2 V : hv; v1i = hv; v2i = ::: = hv; vni = 0g .
(v) Sejam U1; U2 subespaços de V . Tem-se
(U1 + U2)?
= (U1)?
 (U2)?
e
(U1  U2)?
(U1)?
+ (U2)?
.
Se dim V < 1 tem-se
(U1  U2)?
= (U1)?
+ (U2)?
.
Exemplo 54. (i) Se U R3
é um plano que passa pela origem, então U?
é uma recta
que passa pela origem e é perpendicular ao plano.
(ii) Se U R3
é uma recta que passa pela origem, então U?
é um plano que passa pela
origem e é perpendicular à recta.
(iii) Seja A 2 Mm n(R). Então,
N(A) = (L(A))?
= C(AT
)
?
e N(AT
) = L(AT
)
?
= (C(A))?
:
(iv) Seja A 2 Mn n(R) tal que A é invertível. Então, (N (A))?
= Rn
e (L (A))?
= f0g :
126
Teorema 73. Se U é um subespaço de um espaço euclidiano (ou unitário) V , então V é
a soma directa de U e U?
, isto é, V = U U?
. Logo, cada elemento v 2 V pode ser escrito
de modo único como soma de um elemento de U com um elemento de U?
:
v = vU + vU? , com vU 2 U e vU? 2 U?
.
À transformação linear PU : V ! V de…nida por
PU (v) = vU
e tal que PU = PU PU = (PU )2
chama-se projecção ortogonal de V sobre U e à
transformação linear PU? : V ! V de…nida por
PU? (v) = vU?
e tal que PU? = PU? PU? = (PU? )2
chama-se projecção ortogonal de V sobre U?
.
Tem-se
I = PU + PU? , dim U + dim U?
= dim V; U? ?
= U
De facto, se fw1; w2; :::; wlg fôr uma base ortogonal de U, então
PU (v) =
lX
i=1
hv; wii
kwik2 wi =
lX
i=1
projwi
v = vU
I (PU ) = PU (V ) = U N (PU ) = U?
para todo o v 2 V .
Se fu1; u2; :::; ukg é uma base ortogonal de U?
, então, para todo o v 2 V
PU? (v) =
kX
j=1
hv; uji
kujk2 uj =
kX
j=1
projuj
v = vU?
I (PU? ) = PU? (V ) = U?
N (PU? ) = U
Neste caso, fw1; w2; :::; wl; u1; u2; :::; ukg é uma base ortogonal de V .
Tem-se ainda:
(i) hPU (u) ; vi = hu; PU (v)i, hPU? (u) ; vi = hu; PU? (v)i, para todos os u; v 2 V ;
(ii) kuk2
= kPU (u)k2
+ kPU? (u)k2
, para todo o u 2 V (Teorema de Pitágoras);
Teorema 74. Seja U é um subespaço de dimensão …nita de um espaço euclidiano (ou
unitário) V . Seja v 2 V . Então, existe um elemento de U mais próximo de v do que
qualquer dos outros pontos de U. Este elemento é a projecção ortogonal PU (v) de v
sobre U e tem-se
kv PU (v)k kv uk ,
para todo o u 2 U, e a igualdade veri…ca-se se e só se u = PU (v). Além disso, tendo-se
0 2 U, a distância d de um ponto v 2 V a um subespaço U é dada por:
d (v; U) = kPU? (v 0)k = kPU? (v)k = kv PU (v)k .
127
De…nição 55. Seja V um espaço euclidiano (ou unitário). Seja U é um subespaço de V
com dim U = k. Seja q 2 V . Chama-se ao conjunto
fqg + U
um k-plano. A distância d de um ponto p 2 V a um k-plano P = fqg + U é dada por:
d (p; P) = kPU? (p q)k .
Observação 53. A distância entre dois k-planos paralelos
P1 = fpg + U e P2 = fqg + U
é dada por:
d (P1; P2) = kPU? (p q)k .
Exemplo 55. Considere-se R3
com o produto interno usual.
(i) Seja P o plano (em R3
) que passa pelos pontos:
(1; 2; 1), (1; 0; 1) e (1; 1; 1):
Tem-se
P = f(1; 2; 1)g + L (f(0; 2; 2); (0; 1; 0)g)
uma vez que
(0; 2; 2) = (1; 0; 1) (1; 2; 1) e (0; 1; 0) = (1; 1; 1) (1; 2; 1).
Equação vectorial de P:
(x; y; z) = (1; 2; 1) + (0; 2; 2) + (0; 1; 0),
com ; 2 R.
Equações paramétricas de P:
8
<
:
x = 1
y = 2 2
z = 1 2
com ; 2 R.
Equação cartesiana de P:
x = 1.
Podemos determinar uma equação cartesiana de P do seguinte modo. Atendendo a
que
P = f(1; 2; 1)g + L (f(0; 2; 2); (0; 1; 0)g)
128
seja
U = L (f(0; 2; 2); (0; 1; 0)g) .
Logo,
U?
= (x; y; z) 2 R3
: h(x; y; z); (0; 2; 2)i = 0 e h(x; y; z); (0; 1; 0)i = 0 =
= N
0 2 2
0 1 0
= L (f(1; 0; 0)g)
e assim, a equação cartesiana do plano P que passa pelo ponto (1; 2; 1) é dada por:
(h(x 1; y 2; z 1); (1; 0; 0)i = 0) ,
, (1 (x 1) + 0 (y 2) + 0 (z 1) = 0) ,
ou seja por
x = 1.
NOTE QUE:
U = U? ?
= (x; y; z) 2 R3
: h(x; y; z); (1; 0; 0)i = 0 =
= (x; y; z) 2 R3
: x = 0 :
(ii) Determinemos a equação cartesiana da recta que passa pelos pontos (1; 1; 0) e
(1; 2; 1). Tem-se
r = f(1; 1; 0)g + L (f(0; 1; 1)g) ,
uma vez que
(0; 1; 1) = (1; 2; 1) (1; 1; 0):
Seja
U = L (f(0; 1; 1)g) .
Logo,
U?
= (x; y; z) 2 R3
: h(x; y; z); (0; 1; 1)i = 0 =
= N 0 1 1 = L (f(1; 0; 0); (0; 1; 1)g)
e assim, a equação cartesiana da recta r é dada por:
(h(x 1; y 1; z); (1; 0; 0)i = 0 e h(x 1; y 1; z); (0; 1; 1)i = 0) ,
, (1 (x 1) = 0 e 1 (y 1) 1z = 0) ,
ou seja por
x = 1
y z = 1.
NOTE QUE:
U = U? ?
= (x; y; z) 2 R3
: h(x; y; z); (1; 0; 0)i = 0 e h(x; y; z); (0; 1; 1)i = 0 =
= (x; y; z) 2 R3
: x = 0 e y z = 0 :
129
6a
Ficha de exercícios para as aulas de problemas
1. Diga quais das seguintes aplicações h; i : R2
R2
! R de…nem em R2
um produto
interno.
(i) h(x1; x2); (y1; y2)i = x2
1y2
1 + x2
2y2
2
(ii) h(x1; x2); (y1; y2)i = x1y1 x2y1 x1y2 + 3x2y2
(iii) h(x1; x2); (y1; y2)i = 2x1y1 + 3x2y2
2. Diga quais das seguintes aplicações h; i : R3
R3
! R de…nem em R3
um produto
interno.
(i) h(x1; x2; x3); (y1; y2; y3)i = x1y1 + x2y2 + x3y3
(ii) h(x1; x2; x3); (y1; y2; y3)i = x1y2 x2y1
(iii) h(x1; x2; x3); (y1; y2; y3)i = 2x1y1 + x1y3 + x3y1 + 2x2y2 + x3y3
3. Determine um produto interno em R2
tal que h(1; 0); (0; 1)i = 2.
4. Considere os vectores u = 1p
5
; 1p
5
e v = 2p
30
; 3p
30
. Veri…que que o conjunto
fu; vg é ortonormado relativamente ao produto interno de…nido em R2
por:
hu; vi = 3u1v1 + 2u2v2,
onde u = (u1; u2) e v = (v1; v2). Veri…que porém que o mesmo conjunto fu; vg não é
ortonormado relativamente ao produto interno usual de…nido em R2
.
5. Considere em R4
o produto interno usual. Determine o subespaço de R4
ortogonal aos
vectores (1; 0; 0; 0) e (1; 0; 0; 1).
6. Considere em R3
o produto interno de…nido por:
h(x1; x2; x3); (y1; y2; y3)i = x1y1 + x1y2 + x2y1 + 2x2y2 + x3y3.
(i) Calcule kuk, para qualquer vector u = (x1; x2; x3) 2 R3
.
(ii) Considere os vectores u1 = (1; 0; 0), u2 = ( 1; 1; 0) e u3 = (0; 0; 1). Calcule os
ângulos formados pelos vectores: u1 e u2; u1 e u3; u2 e u3.
(iii) Justi…que que o conjunto fu1; u2; u3g é uma base ortonormada de R3
. Calcule as
coordenadas de um vector u 2 R3
em relação a esta base.
7. Considere R4
com o produto interno usual. Determine uma base ortonormada para o
subespaço de R4
gerado pelos vectores:
(1; 0; 1; 0); ( 1; 2; 0; 1) e (2; 0; 2; 1).
8. Considere R3
com o produto interno usual. Considere também os seguintes subespaços
de R3
:
U = L (f(0; 1; 1); (0; 0; 1)g) e V = (x; y; z) 2 R3
: y z = 0 .
130
(i) Determine uma base ortogonal para U e uma base ortonormada para V .
(ii) Determine duas bases ortonormadas para R3
: uma que inclua dois vectores de U
e outra que inclua dois vectores de V .
(iii) Determine o elemento de U mais próximo de (1; 1; 1) e a distância entre (1; 1; 1)
e V ?
.
9. Seja A =
2
4
1 0 2
0 0 0
2 0 1
3
5 e considere o produto interno usual. Sejam N (A), C (A) e L (A)
respectivamente o núcleo, espaço das colunas e espaço das linhas de A.
(i) Determine uma base ortonormada para R3
que inclua dois vectores de C (A).
(ii) Determine o elemento de L (A) mais próximo de (1; 1; 1) e a distância entre (1; 1; 1)
e N (A).
10. Seja A =
2
4
1 0 1
0 2 0
1 0 1
3
5 e considere o produto interno usual. Sejam N (A), C (A) e L (A)
respectivamente o núcleo, espaço das colunas e espaço das linhas de A.
(i) Determine uma base ortonormada para (N (A))?
(o complemento ortogonal do
núcleo de A).
(ii) Determine uma base ortonormada para R3
que inclua dois vectores de C (A).
(iii) Determine o elemento de L (A) mais próximo de (1; 2; 3) e a distância entre (1; 2; 3)
e (L (A))?
.
11. Considere em R4
o seguinte subespaço: U = L (f(1; 1; 1; 0); (0; 1; 1; 1)g). Determine
uma matriz A do tipo 2 4 cujo núcleo seja igual a U, isto é, tal que U = N (A).
12. De…na o produto interno em R2
em relação ao qual a base f(1; 0); (1; 1)g é ortonor-
mada.
13. Considere a aplicação h; i : R3
R3
! R de…nida por
h(x1; x2; x3); (y1; y2; y3)i = x1y1 x1y2 x2y1 + 4x2y2 + x3y3.
(i) Veri…que que h; i de…ne um produto interno em R3
.
(ii) Seja V = L (f(3; 4; 0)g) R3
. Diga qual é o ponto de V mais próximo de (0; 1; 0).
(iii) Determine uma base ortogonal para o complemento ortogonal de V , em relação
ao produto interno h; i.
(iv) Seja PV : R3
! R3
a projecção ortogonal de R3
sobre V . Indique, em relação ao
produto interno h; i, uma base ortonormada de R3
para a qual a representação matricial
de PV seja dada por 2
4
1 0 0
0 0 0
0 0 0
3
5 .
14. Seja U o subespaço de R3
gerado pelos vectores v1 = (0; 1; 0) e v2 = 4
5
; 0; 3
5
. Escreva
u = (1; 2; 3) na forma u = u1 + u2, com u1 2 U e u2 2 U?
.
131
15. Considere R4
com o produto interno usual. Em cada alínea seguinte, determine uma
base ortogonal para o complemento ortogonal de U, isto é, para U?
.
(i) U = L (f(1; 0; 0; 0); (1; 1; 0; 1)g)
(ii) U = L (f(1; 0; 1; 1)g)
(iii) U = f(x; y; z; w) 2 R4
: x + 2y + z + 2w = 0g
(iv) U = f(x; y; z; w) 2 R4
: x z = 0 e 2x y + 2z w = 0g
16. Considere R3
com o produto interno usual. Considere também o seguinte subespaço
de R3
:
U = L (f(1; 1; 1); (1; 0; 0)g) .
(i) Determine uma base ortogonal para U.
(ii) Determine u 2 U e v 2 U?
tais que
(3; 2; 1) = u + v.
(iii) Determine a distância entre o ponto (1; 0; 1) e o plano f(1; 1; 0)g + U.
(iv) Determine a distância entre o ponto (x; y; z) e o plano U.
17. Considere R4
com o produto interno usual. Considere também o seguinte subespaço
de R4
:
U = (x; y; z; w) 2 R4
: x y + z = 0 e y z + w = 0 .
(i) Determine uma base ortonormada para U.
(ii) Determine uma base ortonormada para U?
.
(iii) Determine as projecções ortogonais de (0; 0; 1; 0) sobre U e U?
respectivamente.
(iv) Determine as representações matriciais de PU : R4
! R4
e de PU? : R4
! R4
em
relação à base canónica de R4
.
(v) Determine a distância entre o ponto (0; 0; 1; 0) e o subespaço U.
(vi) Determine a distância entre o ponto (x; y; z; w) e o subespaço U.
18. Considere P2 = fa0 + a1t + a2t2
: a0; a1; a2 2 Rg a aplicação h; i : P2 P2 ! R de…nida
por
hp(t); q(t)i = p( 1)q( 1) + p(0)q(0) + p(1)q(1).
Considere também o seguinte subespaço de P2: U = fp(t) 2 P2 : p(0) = 0g.
(i) Veri…que que h; i de…ne um produto interno em P2.
(ii) Determine uma base ortonormada para U.
(iii) Determine uma base ortonormada para U?
.
(iv) Determine as projecções ortogonais do polinómio 1 + t sobre U e U?
respectiva-
mente.
(v) Determine as representações matriciais de PU : P2 ! P2 e de PU? : P2 ! P2 em
relação à base canónica f1; t; t2
g de P2.
(vi) Determine a distância entre 1 + t e U.
(vii) Determine a distância entre o polinómio a0 + a1t + a2t2
e o subespaço U.
132
19. Considere a aplicação h; i : M2 2(R) M2 2(R) ! R de…nida por
hA; Bi = tr(ABT
).
Considere também o subespaço U de M2 2(R) constituído por todas as matrizes
simétricas reais do tipo 2 2:
U =
a b
c d
2 M2 2(R) : b = c .
(i) Veri…que que h; i de…ne um produto interno em M2 2(R).
(ii) Determine uma base ortonormada para U.
(iii) Determine uma base ortonormada para U?
.
(iv) Determine as representações matriciais de PU : M2 2(R) ! M2 2(R) e de PU? :
M2 2(R) ! M2 2(R) em relação à base canónica
1 0
0 0
;
0 1
0 0
;
0 0
1 0
;
0 0
0 1
de M2 2(R).
(v) Determine as projecções ortogonais da matriz
1 1
0 1
sobre U e U?
respectiva-
mente.
(vi) Qual é a matriz simétrica mais próxima da matriz
1 1
0 1
?
(vii) Determine a distância entre
1 1
0 1
e U.
(viii) Determine a distância entre
a b
c d
e U.
133
4a
Ficha de exercícios facultativos
1. Seja V um espaço euclidiano real. Veri…que que para todos os u; v; w 2 V; 2 R se
tem:
(i) hu; vi = hv; ui (ii) h u; vi = hu; vi = hu; vi
(iii) hu; v + wi = hu; vi + hu; wi (iv) hu + v; wi = hu; wi + hv; wi
(v) hu + w; v + wi = hu; vi + hu; wi + hw; vi + kwk2
(vi) hu; 0i = h0; ui = 0
(vii) hu; vi = 0 se e só se ku + vk = ku vk.
(viii) hu; vi = 0 se e só se ku + vk2
= kuk2
+ kvk2
:
(ix) hu; vi = 0 se e só se ku + cvk kuk para todo o real c.
(x) hu + v; u vi = 0 se e só se kuk = kvk.
(xi) Lei do paralelogramo ku vk2
+ ku + vk2
= 2 kuk2
+ 2 kvk2
.
2. Seja V um espaço euclidiano real.
(i) Seja u 2 V . Veri…que que se hu; vi = 0 para qualquer v 2 V então u = 0.
(ii) Sejam u; v 2 V . Veri…que que u = v se e só se hu; wi = hv; wi para qualquer
w 2 V .
3. Seja V um espaço euclidiano com dim V = n. Seja S = fu1; :::; ung uma base orto-
normada de V . Seja T : V ! V uma transformação linear. Veri…que que a matriz
A = (aij) que representa T em relação à base S é dada por
A = (aij) = (hT(uj); uii) .
4. Seja V um espaço euclidiano de dimensão n. Seja fu1; :::; ukg um conjunto linearmente
independente de k vectores de V . Considere a transformação linear T : V ! V de…nida
por
T(v) =
kX
i=1
hv; uii ui,
com v 2 V .
Mostre que T é invertível se e só se k = n.
5. Seja V um espaço euclidiano real. Seja T : V ! V uma transformação linear tal que
kT (w)k = kwk para qualquer w 2 V . Mostre que
hT(u); T(v)i = hu; vi ,
para quaisquer u; v 2 V .
134
Produto externo e produto misto
De…nição 56. Sejam u = (u1; u2; u3) ; v = (v1; v2; v3) 2 R3
. Então o produto externo
(vectorial) de u por v, denotado por u v, é o vector de R3
de…nido por
u v = (u2v3 u3v2; u3v1 u1v3; u1v2 u2v1) ,
isto é,
u v =
u2 u3
v2 v3
;
u1 u3
v1 v3
;
u1 u2
v1 v2
=
=
u2 u3
v2 v3
e1
u1 u3
v1 v3
e2 +
u1 u2
v1 v2
e3 =
e1 e2 e3
u1 u2 u3
v1 v2 v3
,
onde fe1; e2; e3g é a base canónica de R3
.
Observação 54. Sejam u; v; w 2 R3
e 2 R. Então, tem-se:
(i) e1 e2 = e3
(ii) e2 e3 = e1
(iii) e3 e1 = e2
(iv) u v = (v u)
(v) u (v + w) = u v + u w
(vi) (u + v) w = u w + v w
(vii) (u v) = ( u) v = u ( v)
(viii) u 0 = 0 u = 0
(ix) u u = 0
(x) Se u e v forem linearmente dependentes então u v = 0
(xi) u (v w) = hu; wi v hu; vi w
(xii) (u v) w = hw; ui v hw; vi u
(xiii) ku vk2
+ hu; vi2
= kuk2
kvk2
(xiv) u (v w) + v (w u) + w (u v) = 0
Teorema 75. Considere-se R3
com o produto interno usual. Sejam u = (u1; u2; u3) ; v =
(v1; v2; v3) 2 R3
n f0g e seja 2 [0; ] o ângulo formado por u e v. Então tem-se:
135
(i) ku vk = kuk kvk sen .
(ii) A área do paralelogramo de lados adjacentes u e v é dada por:
A = ku vk .
Dem. (i) Como 2 [0; ], tem-se sen =
p
1 cos2 e deste modo,
kuk kvk sen =
= kuk kvk
p
1 cos2 = kuk kvk
s
1
hu; vi2
kuk2
kvk2 =
q
kuk2
kvk2
hu; vi2
=
=
q
(u2
1 + u2
2 + u2
3) (v2
1 + v2
2 + v2
3) (u1v1 + u2v2 + u3v3)2
=
=
q
(u2v3 u3v2)2
+ (u3v1 u1v3)2
+ (u1v2 u2v1)2
=
= k(u2v3 u3v2; u3v1 u1v3; u1v2 u2v1)k = ku vk .
(ii) A = (base) (altura) = kuk kvk sen .
De…nição 57. Considere-se R3
com o produto interno usual. Sejam u = (u1; u2; u3) ; v =
(v1; v2; v3) ; w = (w1; w2; w3) 2 R3
. À expressão
hu; v wi
chama-se produto misto de u; v e w.
Observação 55. Considere-se R3
com o produto interno usual. Sejam u = (u1; u2; u3) ; v =
(v1; v2; v3) ; w = (w1; w2; w3) 2 R3
. Então, tem-se:
(i)
hu; v wi =
u1 u2 u3
v1 v2 v3
w1 w2 w3
(ii) Sendo o ângulo formado por u e v w, o volume do paralelepípedo com um vértice
e arestas u; v; w com origem em (0; 0; 0), é dado por
V = kv wk
| {z }
área da face determinada por v e w
kuk jcos j
| {z }
altura
=
= kv wk kuk
jhu; v wij
kuk kv wk
= jhu; v wij = det
0
@
2
4
u1 u2 u3
v1 v2 v3
w1 w2 w3
3
5
1
A
(iii) hu; u vi = 0
(iv) hv; u vi = 0
(v) hu; v wi = hu v; wi.
136
Matrizes hermitianas, matrizes simétricas e matrizes normais. Diagonalização
unitária e diagonalização ortogonal
De…nição 58. Seja A = (aij) 2 Mn n(C). Denota-se por AH
a matriz A
T
, isto é, a
transposta da matriz conjugada A = (aij), onde aij é o complexo conjugado de aij. Ou seja,
escreve-se
AH
= A
T
.
A matriz A diz-se hermitiana se AH
= A.
Observação 56. (a) Sejam ; 2 C, A; C 2 Mm n(C) e B 2 Mn r(C). Tem-se:
(i) AH H
= A (ii) ( A + B)H
= AH
+ BH
(iii) (AC)H
= CH
AH
(b) Seja A 2 Mn n(R) tal que A é simétrica (AT
= A). Então A é hermitiana uma vez
que sendo A real tem-se AH
= AT
.
Teorema 76. Todos os valores próprios de uma matriz hermitiana são reais. Além disso,
os vectores próprios associados a valores próprios distintos, de uma matriz hermitiana, são
ortogonais.
Dem. Seja A 2 Mn n(C) tal que A é hermitiana. Seja um valor próprio de A e seja
u um vector próprio associado. Seja = uH
Au. Então, tem-se
= H
= uH
Au
H
= uH
AH
uH H
=
A é hermitiana
uH
Au = .
Ou seja, é real. Por outro lado, como
= uH
Au = uH
u = kuk2
,
tem-se =
kuk2 2 R.
Sejam agora u1 e u2 vectores próprios associados respectivamente a valores próprios
distintos 1 e 2. Então, tem-se
(Au1)H
u2 = uH
1 AH
u2 =
A é hermitiana
uH
1 Au2 = 2uH
1 u2
e
(Au1)H
u2 = ( 1u1)H
u2 = 1uH
1 u2 =
12R
1uH
1 u2.
Logo, tem-se
1uH
1 u2 = 2uH
1 u2 , ( 1 2) uH
1 u2 = 0.
E assim, como 1 6= 2, então uH
1 u2
| {z }
=hu1;u2i
= 0, ou seja, u1 e u2 são ortogonais.
Observação 57. Todos os valores próprios de uma matriz simétrica real são reais. Além
disso, os vectores próprios associados a valores próprios distintos, de uma matriz simétrica,
são ortogonais.
137
De…nição 59. (i) Seja U 2 Mn n(C). A matriz U diz-se unitária se se tiver UH
U = I,
isto é, se UH
= U 1
, ou seja, se as colunas de U constituirem um conjunto ortonormado em
Cn
.
(ii) Seja A 2 Mn n(R). A matriz A diz-se ortogonal se se tiver AT
A = I, isto é, se
AT
= A 1
, ou seja, se as colunas de A constituirem um conjunto ortonormado em Rn
.
Observação 58. (i) Seja U 2 Mn n(R) tal que U é unitária. Como, sendo U real, se
tem UH
= UT
, então U é ortogonal. Isto é, toda a matriz real unitária é ortogonal.
(ii) Seja A uma matriz hermitiana. Se os valores próprios de A forem distintos, então
existe uma matriz unitária que diagonaliza A, isto é, existe U unitária tal que UAUH
é uma
matriz diagonal, ou seja, A diz-se unitariamente diagonalizável.
(iii) A a…rmação anterior (ii) continua válida mesmo se os valores próprios não forem
distintos, como será provado no Teorema 78.
Teorema 77. Seja A uma matriz n n. Então, existe uma matriz unitária U tal que
UAUH
é triangular superior.
Dem. A demonstração será efectuada por indução em n. O resultado é óbvio para n = 1.
Suponhamos que a hipótese é válida para matrizes k k e seja A uma matriz (k + 1) (k + 1).
Sejam 1 um valor próprio de A e w1 um vector próprio associado de norma 1. Aplicando
o método de ortogonalização de Gram-Schmidt, seja fw1; : : : ; wk+1g uma base ortonormada
para Ck+1
. Seja WH
a matriz cuja coluna i é igual ao vector wi, para i = 1; : : : ; k+1. Então,
por construção, a matriz WH
é unitária. Por outro lado, a primeira coluna de WAWH
é
igual a WAw1, tendo-se
WAw1 = W 1w1 = 1Ww1 = 1
2
6
6
6
4
1
0
...
0
3
7
7
7
5
=
2
6
6
6
4
1
0
...
0
3
7
7
7
5
.
Logo, tem-se
WAWH
=
2
6
6
6
6
6
4
1 j
j
0 j
... j M
0 j
3
7
7
7
7
7
5
,
onde M é uma matriz k k.
Pela hipótese de indução, existe uma matriz k k unitária V1 tal que V1M (V1)H
= T1,
onde T1 é uma matriz triangular. Seja
V =
2
6
6
6
6
6
4
1 j 0 0
j
0 j
... j V1
0 j
3
7
7
7
7
7
5
.
138
Então V é unitária e tem-se
(V W) A (V W)H
= V WAWH
V H
=
2
6
6
6
6
6
4
1 j
j
0 j
... j V1M (V1)H
0 j
3
7
7
7
7
7
5
=
2
6
6
6
6
6
4
1 j
j
0 j
... j T1
0 j
3
7
7
7
7
7
5
= T,
onde T é uma matriz triangular. Como a matriz V W é unitária, pondo U = V W, tem-se
UAUH
= T,
com T triangular e U unitária.
Teorema 78. Seja A uma matriz hermitiana. Então existe uma matriz unitária U que
diagonaliza A, isto é, A é diagonalizável unitariamente. Ou seja, existe U unitária tal que
tal que a matriz UAUH
é diagonal.
Dem. Pelo teorema anterior, existe uma matriz unitária U tal que a matriz UAUH
é
triangular. Seja T = UAUH
. Tem-se então
TH
= UAUH H
= UH H
AH
UH
=
A é hermitiana
UAUH
= T.
Logo, como T = TH
e T é triangular então T é diagonal.
Observação 59. Atendendo ao resultado anterior tem-se então o seguinte. Seja A 2
Mn n(R) tal que A é simétrica, isto é, tal que A = AT
. Então existe uma matriz ortogonal
P (matriz que veri…ca: PT
= P 1
) tal que PAPT
é diagonal, isto é, A é ortogonalmente
diagonalizável relativamente a uma base ortonormada formada só por vectores próprios de
A. A matriz PT
é a matriz cujas colunas são os vectores próprios de A que formam uma base
ortonormada de Rn
, sendo PAPT
a matriz diagonal onde se coloca na entrada i da diagonal
principal o valor próprio correspondente ao vector próprio da coluna i da matriz PT
.
Observação 60. (i) Existem matrizes não hermitianas que são diagonalizáveis rela-
tivamente a bases ortonormadas formadas só por vectores próprios, como por exemplo as
matrizes anti-hermitianas (AH
= A) e as matrizes anti-simétricas (AT
= A).
(ii) Seja A 2 Mn n(R). Suponhamos que A é ortogonalmente diagonalizável relativa-
mente a uma base ortonormada formada só por vectores próprios de A. Sejam D diagonal e
P ortogonal tais que A = PT
DP. Então
AT
= PT
DP
T
= PT
DT
PT T
= PT
DP = A.
Logo A é simétrica. Tem-se então, atendendo tambem à observação 59, sendo A real:
A é ortogonalmente diagonalizável , A é simétrica
139
(iii) Seja A 2 Mn n(C). Suponhamos que A é unitariamente diagonalizável relati-
vamente a uma base ortonormada formada só por vectores próprios de A. Sejam D diagonal
e U unitária tais que A = UH
DU. Como em geral se tem DH
6= D, então
AH
= UH
DU
H
= UH
DH
U 6= UH
DU = A.
Logo A não tem que ser necessariamente hermitiana.
(iv) O próximo teorema diz quais são as matrizes unitariamente diagonalizáveis.
De…nição 60. Uma matriz A diz-se normal se
AAH
= AH
A:
Teorema 79. Uma matriz A é normal se e só se fôr unitariamente diagonalizável rela-
tivamente a uma base ortonormada formada só por vectores próprios de A.
Dem. ()) Suponhamos que A é normal. Pelo teorema 77, existe uma matriz unitária U
e uma matriz triangular superior T tais que T = UAUH
. Vejamos que T é normal. Tem-se
TH
T = UAUH H
UAUH
= UAH
UH
UAUH
= UAH
AUH
=
A é normal
= UAAH
UH
= UAUH
UAH
UH
= TTH
.
Logo T é normal. Seja T = (tij) do tipo n n. Comparando as entradas das diagonais
principais de TTH
e TH
T tem-se:
jt11j2
+ jt12j2
+ jt13j2
+ + jt1nj2
= jt11j2
jt22j2
+ jt23j2
+ + jt2nj2
= jt12j2
+ jt22j2
...
jtnnj2
= jt1nj2
+ jt2nj2
+ jt3nj2
+ + jtnnj2
e assim, tij = 0 sempre que i 6= j. Logo T é diagonal e portanto A é unitariamente
diagonalizável.
(() Suponhamos agora que A é unitariamente diagonalizável. Queremos mostrar que A
é normal. Sejam D diagonal e U unitária tais que D = UAUH
, ou seja, A = UH
DU. Tem-se
AAH
= UH
DU UH
DU
H
= UH
DUUH
DH
U = UH
DDH
U
e
AH
A = UH
DU
H
UH
DU = UH
DH
UUH
DU = UH
DH
D U.
Como
DDH
= DH
D =
2
6
6
6
4
j 1j2
0 0
0 j 2j2 ...
...
...
...
... 0
0 0 j nj2
3
7
7
7
5
,
então tem-se AAH
= AH
A e assim A é normal.
140
Formas quadráticas
De…nição 61. Uma equação quadrática em duas variáveis x1 e x2 é uma equação da
forma
ax2
1 + bx2
2 + 2cx1x2 + dx1 + ex2 + f = 0
a qual pode ser escrita na forma
x1 x2
a c
c b
x1
x2
+ d e
x1
x2
+ f = 0.
Sejam
x =
x1
x2
e A =
a c
c b
:
(A é uma matriz real simétrica). À função real a duas variáveis reais Q : R2
! R de…nida
por Q (x) = xT
Ax, com
xT
Ax = ax2
1 + bx2
2 + 2cx1x2
chama-se forma quadrática real a 2 variáveis reais associada à equação quadrática anterior.
Podem haver equações do 2o
grau e formas quadráticas com um no
de variáveis superior
a 2. Uma equação quadrática em n variáveis x1; x2; : : : ; xn é uma equação da forma
xT
Ax + Bx + = 0,
onde x =
2
6
6
6
4
x1
x2
...
xn
3
7
7
7
5
, A = (aij) é uma matriz real simétrica do tipo n n, B 2 M1 n (R) e
é um escalar. À função real a n variáveis reais Q : Rn
! R de…nida por
Q (x) = xT
Ax =
nX
i=1
nX
j=1
aijxj
!
xi
chama-se forma quadrática real a n variáveis reais associada à equação quadrática anterior.
Teorema 80. (Teorema dos eixos principais). Seja A 2 Mn n(R) tal que A é simétrica.
Então existe uma mudança de variáveis ortogonal que transforma a forma quadrática xT
Ax
na forma quadrática yT
Dy sem termos cruzados. Isto é, se P diagonalizar A ortogonalmente
(D = PAPT
), então a mudança de variáveis x = PT
y transforma a forma quadrática xT
Ax
na forma quadrática yT
Dy:
xT
Ax = yT
PAPT
y = yT
Dy = 1y2
1 + 2y2
2 + + ny2
n =
= y1 y2 yn
2
6
6
6
4
1 0 0
0 2 0
...
...
...
...
0 0 n
3
7
7
7
5
2
6
6
6
4
y1
y2
...
yn
3
7
7
7
5
,
141
onde 1; 2; : : : ; n são os valores próprios de A associados respectivamente aos vectores
próprios que constituem as colunas de PT
e que formam uma base ortonormada de Rn
.
Observação 61. (i) Chama-se cónica ou secção cónica à curva plana obtida por meio de
um corte efectuado por um plano relativamente a uma superfície cónica. As secções cónicas
que se obtêm quando o plano que efectua o corte não passa pelo vértice da superfície cónica,
são elipses (os valores próprios têm o mesmo sinal) (podendo ter-se circunferências: quando
o corte é efectuado perpendicularmente ao eixo de simetria do cone), parábolas (um dos dois
valores próprios é zero) e hipérboles (os dois valores próprios têm sinais contrários).
(ii) Em R3
tem-se
x =
2
4
x1
x2
x3
3
5 ; A =
2
4
a d e
d b f
e f c
3
5 e B =
2
4
g
h
i
3
5
e
ax2
1 + bx2
2 + cx2
3 + 2dx1x2 + 2ex1x3 + 2fx2x3 + gx1 + hx2 + ix3 + = 0.
À super…cie resultante da equação anterior chama-se quádrica. Existem quatro tipos de
quádricas não degeneradas): elipsóides, hiperbolóides (de uma ou duas folhas), cones e
parabolóides (elípticos ou hiperbólicos).
Exemplo 56. Considere-se a forma quadrática Q : R2
! R de…nida por
Q(x; y) = 3x2
+ 4xy + 3y2
.
Tem-se
Q(x; y) = x y A
x
y
,
com A =
3 2
2 3
. Os valores próprios de A são 1 = 1 e 2 = 5. Tem-se então a seguinte
forma quadrática diagonal (isto é, sem termos cruzados)
Q0
(x0
; y0
) = x0
y0
D
x0
y0 =
= x0
y0 1 0
0 5
x0
y0
com
D = PAPT
,
x0
y0 = P
x
y
,
e
PT
=
2
6
4
p
2
2
p
2
2p
2
2
p
2
2
3
7
5 =
2
4
cos
4
sen
4
sen
4
cos
4
3
5 ,
142
em que PT
é a matriz diagonalizante obtida colocando na 1a
coluna um vector próprio
de norma 1 associado ao valor próprio 1 e na 2a
coluna um vector próprio de norma 1
associado ao valor próprio 2, de tal modo que ambos os vectores próprios constituam uma
base ortonormada de R2
. Observe-se que a matriz P é ortogonal, isto é, tem-se PT
= P 1
.
Tem-se então
Q(x; y) = x y A
x
y
=
x y PT
DP
x
y
=
= P
x
y
T
DP
x
y
=
= x0
y0
D
x0
y0 = Q0
(x0
; y0
).
Por exemplo, relativamente à equação quadrática 3x2
+ 4xy + 3y2
= 4
-5 -4 -3 -2 -1 1 2 3 4 5
-4
-2
2
4
x
y
tem-se a elipse:
(x0
)
2
+ 5 (y0
)
2
= 4 ,
x0
2
2
+
y0
2
p
5
5
!2
= 1:
De…nição 62. Seja A uma matriz real simétrica do tipo n n. Diz-se que A e a forma
quadrática Q : Rn
! R dada por Q (x) = xT
Ax são:
(i) de…nidas positivas se xT
Ax > 0, para todo o x 6= 0;
(ii) de…nidas negativas se xT
Ax < 0, para todo o x 6= 0;
(iii) semide…nidas positivas se xT
Ax 0, para todo o x;
(iv) semide…nidas negativas se xT
Ax 0, para todo o x;
(v) inde…nidas se existirem pontos onde xT
Ax seja positiva e pontos onde xT
Ax seja
negativa.
143
Teorema 81. Seja A 2 Mn n(R) tal que A é simétrica. Então,
(i) A é de…nida positiva se e só se todos os valores próprios de A forem positivos;
(ii) A é de…nida negativa se e só se todos os valores próprios de A forem negativos;
(iii) A é semide…nida positiva se e só se todos os valores próprios de A forem não
negativos;
(iv) A é semide…nida negativa se e só se todos os valores próprios de A forem não
positivos;
(v) A é inde…nida se e só se A tiver pelo menos um valor próprio positivo e outro
negativo.
Dem. (i) ()) Suponhamos que A é de…nida positiva, isto é,
xT
Ax > 0;
para todo o x 6= 0. Seja um valor próprio de A. Então, para qualquer vector próprio x
associado a tem-se
xT
Ax = xT
x = kxk2
,
com x 6= 0. Logo
=
xT
Ax
kxk2 > 0.
(() Suponhamos que todos os valores próprios de A são positivos. Seja fx1; : : : ; xng um
conjunto ortonormado de vectores próprios de A. Logo fx1; : : : ; xng é uma base ortonormada
de Rn
. Se x 6= 0, então tem-se
x = 1x1 + + nxn,
com 1; :::; n não todos nulos, pelo que
xT
Ax = ( 1x1 + + nxn)T
A ( 1x1 + + nxn) =
= 1 (x1)T
+ + n (xn)T
( 1Ax1 + + nAxn) =
= 1 (x1)T
+ + n (xn)T
( 1 1x1 + + n nxn) =
=
nX
i=1
( i)2
i > 0.
Logo A é de…nida positiva.
144
Teorema 82. Seja A 2 Mn n(R) tal que A é simétrica. Então, as seguintes a…rmações
são equivalentes.
(i) A é de…nida positiva.
(ii) Existe uma matriz simétrica de…nida positiva B tal que A = B2
.
(iii) Existe uma matriz invertível S tal que A = ST
S.
Dem. (i) ) (ii) Supondo que A é de…nida positiva, vejamos que existe uma matriz
simétrica de…nida positiva B tal que A = B2
.
Como A é simétrica, então A é ortogonalmente diagonalizável, isto é, existe uma matriz
ortogonal P tal que
PAPT
= D =
2
6
6
6
4
1 0 0
0
...
...
...
...
... 0
0 0 n
3
7
7
7
5
onde 1; :::; n são os valores próprios de A, os quais são todos positivos por A ser de…nida
positiva, tendo-se
D = (D0
)
2
com
D0
=
2
6
6
6
4
p
1 0 0
0
...
...
...
...
... 0
0 0
p
n
3
7
7
7
5
.
Assim
A = PT
DP = PT
(D0
)
2
P = PT
D0
P PT
D0
P = B2
com
B = PT
D0
P
simétrica:
BT
= PT
D0
P
T
= PT
(D0
)
T
PT T
= PT
D0
P = B
e de…nida positiva uma vez que os valores próprios de PT
D0
P são os de D0
.
(ii) ) (iii) Supondo que existe uma matriz simétrica de…nida positiva B tal que A = B2
,
vejamos que existe uma matriz invertível S tal que
A = ST
S:
Como B é simétrica e de…nida positiva, basta fazer S = B para ter-se
A = B2
= BB = ST
S
com S simétrica e invertível uma vez que sendo B de…nida positiva, 0 não é valor próprio de
B.
145
(iii) ) (i) Supondo que existe uma matriz invertível S tal que A = ST
S, vejamos que A
é de…nida positiva, isto é, vejamos que
xT
Ax > 0;
para todo o x 6= 0. Tem-se
xT
Ax = xT
ST
Sx = (Sx)T
Sx = kSxk2
> 0
para todo o x 6= 0, uma vez que S é invertível.
Observação 62. (i) Relativamente à matriz da métrica G que de…ne um produto
interno, sendo B = fw1; :::; wng uma base ordenada e ortonormada de um espaço euclidiano
V de dimensão n tem-se
hu; vi = 1 2 : : : n G
2
6
6
6
4
1
2
...
n
3
7
7
7
5
, G =
2
6
6
6
4
hw1; w1i hw1; w2i : : : hw1; wni
hw2; w1i hw2; w2i : : : hw2; wni
...
...
...
hwn; w1i hwn; w2i : : : hwn; wni
3
7
7
7
5
com
u = 1w1 + 2w2 + ::: + nwn v = 1w1 + 2w2 + ::: + nwn
e
G = ST
S = I
onde a matriz invertível S é a matriz de mundança da base B para uma outra base ordenada
B0
: SB!B0 . No caso da base ordenada B não ser ortonormada, a base ordenada B0
será
ortonormada. Em particular, a matriz G é invertível.
(ii) Sendo A matriz simétrica e de…nida positiva (ou semide…nida positiva), às matrizes
reais B tais que A = B2
chamam-se "raízes quadradas" de A:
(iii) Sendo V o volume do hiperparalelepípedo determinado por fw1; :::; wng, tem-se
V 2
= det w1 wn
2
= det w1 wn det w1 wn =
= det w1 wn
T
det w1 wn = det w1 wn
T
w1 wn =
= det
0
@
2
4
(w1)T
(wn)T
3
5 w1 wn
1
A = det
0
B
@
2
6
4
(w1)T
w1 (w1)T
wn
...
(wn)T
w1 (wn)T
wn
3
7
5
1
C
A =
= det
0
B
@
2
6
4
hw1; w1i hw1; wni
...
hwn; w1i hwn; wni
3
7
5
1
C
A = det G.
Logo
V 2
= det G.
146
Mínimos quadrados
Existem aplicações relativamente às quais os erros cometidos nas medições das entradas
de A ou de b podem levar a que o sistema de equações lineares Au = b não tenha solução,
quando teoricamente deveria ter. Em tais casos é natural a procura da "melhor solução
aproximada" para esse problema.
De…nição 63. Sejam A 2 Mm n(R) e b 2 Rn
. Então, a bu 2 Rn
chama-se melhor
solução aproximada ou solução de mínimos quadrados de Au = b se
kb Abuk kb Auk ,
para qualquer u 2 Rn
. Ao vector b Abu chama-se vector erro de mínimos quadrados e ao
escalar kb Abuk chama-se erro de mínimos quadrados.
Observação 63. Sejam A 2 Mm n(R) e b 2 Rn
. Procuremos então um método para
determinar as soluções de mínimos quadrados de Au = b. Atendendo a que Au 2 C (A) para
todo o u 2 Rn
, então a distância kb Auk é mínima se
Au = PC(A) (b) ,
onde PC(A) é a projecção ortogonal de Rn
sobre C (A). Como PC(A) (b) 2 C (A), a equação
Au = PC(A) (b) tem sempre solução e essas soluções são as soluções de mínimos quadrados
de Au = b. Deste modo, qualquer sistema de equações lineares tem sempre pelo menos uma
solução de mínimos quadrados.
Por outro lado, pode escrever-se a equação Au = PC(A) (b) na forma
b Au = b PC(A) (b) = PN(AT ) (b)
tendo-se
AT
(b Au) = AT
b PC(A) (b) = AT
PN(AT ) (b) = 0;
pois (C (A))?
= N AT
. Logo
AT
Au = AT
b.
A esta equação chama-se equação normal associada a Au = b.
Teorema 83. Sejam A 2 Mm n(R) e b 2 Rn
.
(i) As soluções de mínimos quadrados do sistema de equações lineares
Au = b
são as soluções da equação normal
AT
Au = AT
b:
147
(ii) Se car A = n então a equação normal
AT
Au = AT
b
tem a solução única
u = AT
A
1
AT
b
e tem-se
PC(A) (b) = Au = A AT
A
1
AT
b,
isto é,
A AT
A
1
AT
é a matriz que representa a projecção ortogonal PC(A).
Observação 64. Seja A 2 Mm n(R). Vejamos que se tem
car A = car AT
A :
Basta para isso, mostrar que
N (A) = N AT
A :
Seja u 2 N (A). Como Au = 0 então AT
Au = AT
0 = 0 e assim u 2 N AT
A .
Reciprocamente, seja u 2 N AT
A e vejamos que u 2 N (A). Tem-se AT
Au = 0, logo
Au 2 N AT
= L AT ?
= (C (A))?
(usando o produto interno usual) e como tal
hAu; Aui = 0,
ou seja kAuk2
= 0 e então Au = 0, isto é, u 2 N (A).
Observação 65. Vejamos agora o modo como se pode determinar uma curva (ou recta)
especí…ca que se possa "ajustar" a um conjunto de pontos determinados experimentalmente.
(i) A partir de dois ou mais pontos dados
(x1; y1) ; (x2; y2) ; : : : ; (xm; ym) ;
pretende-se determinar uma recta y = a0 + a1x que seja a recta que "melhor aproxime" ou
a recta de mínimos quadrados de melhor ajuste aos pontos dados (recta de regressão). Isto
é, pretende-se determinar as soluções de mínimos quadrados de
8
>>><
>>>:
y1 = a0 + a1x1
y2 = a0 + a1x2
...
ym = a0 + a1xm
148
ou seja de 2
6
6
6
4
1 x1
1 x2
...
...
1 xm
3
7
7
7
5
a0
a1
=
2
6
6
6
4
y1
y2
...
ym
3
7
7
7
5
.
Sejam
A =
2
6
6
6
4
1 x1
1 x2
...
...
1 xm
3
7
7
7
5
; u =
a0
a1
e b =
2
6
6
6
4
y1
y2
...
ym
3
7
7
7
5
:
Atendendo a que car A = car AT
A , se houver pelo menos dois pontos distintos, tem-se
car A = 2 e nesse caso, a equação normal
AT
Au = AT
b
tem como única solução de mínimos quadrados
u = AT
A
1
AT
b:
Assim, a recta de mínimos quadrados y = a + bx é a recta que torna mínimos os quadrados
cuja soma
(y1 (a0 + a1x1))2
+ (y2 (a0 + a1x2))2
+ + (ym (a0 + a1xm))2
é dada por
kb Auk2
,
onde kb Auk é o erro de mínimos quadrados.
(ii) A partir de m pontos dados (x1; y1) ; (x2; y2) ; : : : ; (xm; ym), pretende-se determinar
um polinómio cujo grá…co esteja tão perto quanto possível desses m pontos dados. Isto é,
com m 2 N previamente …xo, pretende-se determinar as soluções de mínimos quadrados do
sistema de m equações a n + 1 incógnitas (a0; a1; a2; : : : ; an)
8
>>><
>>>:
y1 = a0 + a1x1 + a2x2
1 + + anxn
1
y2 = a0 + a1x2 + a2x2
2 + + anxn
2
...
ym = a0 + a1xm + a2x2
m + + anxn
m
ou seja de 2
6
6
6
4
1 x1 x2
1 xn
1
1 x2 x2
2 xn
2
...
...
...
...
1 xm x2
m xn
m
3
7
7
7
5
2
6
6
6
4
a0
a1
...
an
3
7
7
7
5
=
2
6
6
6
4
y1
y2
...
ym
3
7
7
7
5
.
149
Sejam
A =
2
6
6
6
4
1 x1 x2
1 xn
1
1 x2 x2
2 xn
2
...
...
...
...
1 xm x2
m xn
m
3
7
7
7
5
; u =
2
6
6
6
4
a0
a1
...
an
3
7
7
7
5
e b =
2
6
6
6
4
y1
y2
...
ym
3
7
7
7
5
:
Note-se que se n + 1 = m e se os pontos dados forem distintos, então existe um único
polinómio de grau n (o chamado polinómio interpolador) que passa por todos esses m pontos.
Por outro lado, atendendo a que car A = car AT
A , se n < m e pelo menos n +1 pontos
forem distintos, tem-se car A = n + 1 e então a equação normal
AT
Au = AT
b
tem como única solução de mínimos quadrados
u = AT
A
1
AT
b:
Exemplo 57. Determinemos a recta de mínimos quadrados relativa aos pontos
(0; 1) ; (1; 3) ; (2; 4) e (3; 4) :
Sejam
A =
2
6
6
4
1 0
1 1
1 2
1 3
3
7
7
5 e b =
2
6
6
4
1
3
4
4
3
7
7
5 .
Tem-se car A = 2 e como tal a solução de mínimos quadrados é única e dada por:
u =
a0
a1
= AT
A
1
AT
b =
=
0
B
B
@
1 1 1 1
0 1 2 3
2
6
6
4
1 0
1 1
1 2
1 3
3
7
7
5
1
C
C
A
1
1 1 1 1
0 1 2 3
2
6
6
4
1
3
4
4
3
7
7
5 =
3=2
1
,
tendo-se
y =
3
2
+ x:
O vector b Au é o vector erro de mínimos quadrados, sendo o erro de mínimos quadrados
dado por:
kb Auk =
=
q
(y1 (a0 + a1x1))2
+ (y2 (a0 + a1x2))2
+ (y3 (a0 + a1x3))2
+ (y4 (a0 + a1x4))2
=
=
s
1
3
2
+ 0
2
+ 3
3
2
+ 1
2
+ 4
3
2
+ 2
2
+ 4
3
2
+ 3
2
=
=
r
25
16
+
1
4
+
1
16
+
1
4
=
p
34
4
.
150
7a
Ficha de exercícios para as aulas de problemas
1. Seja A =
2
4
2 0 1
0 1 0
1 0 2
3
5. Calcule as dimensões dos espaços próprios de A sem os deter-
minar.
2. Seja A =
2
4
3 1 2
1 3 2
2 2 0
3
5. Encontre uma matriz ortogonal PT
que diagonalize or-
togonalmente A e indique a correspondente matriz diagonal semelhante a A.
3. Seja
A =
2
4
3 1 0
1 2 1
0 1 3
3
5 :
Determine três raízes quadradas de A, isto é, determine três matrizes B simétricas e
de…nidas positivas B tais que A = B2
.
4. Diagonalize a seguinte forma quadrática Q de…nida por
Q : R3
! R
Q (x1; x2; x3) = 3x2
1 2x1x2 + 2x2
2 2x2x3 + 3x2
3.
5. Seja
A =
2 1 + i
1 i 3
:
(i) Mostre que A é normal.
(ii) Mostre que A é hermitiana e em particular é normal.
(iii) Encontre uma matriz unitária UH
que diagonalize unitariamente A e indique a
correspondente matriz diagonal semelhante a A.
6. Determine a solução de mínimos quadrados de Au = b, com
A =
2
4
1 2
2 4
1 2
3
5 e b =
2
4
3
2
1
3
5
calculando o correspondente vector erro de mínimos quadrados.
7. Resolva o seguinte sistema de equações diferenciais determinando a respectiva solução
geral. 8
<
:
u0
1 = 2u3
u0
2 = u1 + 2u2 + u3
u0
3 = u1 + 3u3
com
2
4
u1 (0)
u2 (0)
u3 (0)
3
5 =
2
4
2
1
0
3
5 .
151
Bibliogra…a
1. Luis T. Magalhães, Álgebra Linear como Introdução à Matemática Aplicada, 9a
edição,
Texto Editora, 2001.
2. Gilbert Strang, Linear Algebra and its Applications, 3rd edition, Thomson Learning,
1988.
3. Steven J. Leon, Linear Algebra with Applications, 8th edition, Pearson, 2009.
4. Bernard Kolman, Introductory Linear Algebra with Applications, Prentice Hall, 1996.
5. Howard Anton and Robert C. Busby, Contemporary Linear Algebra, John Wiley &
Sons, Inc., 2002.
6. António Monteiro e Gonçalo Pinto, Álgebra Linear e Geometria Analítica, McGraw-
Hill, 1997.
7. Seymour Lipschutz, Linear Algebra, Schaum´s Outline Series, 4th edition, McGraw-
Hill, 2009.
8. Luís Barreira e Clàudia Valls, Exercícios de Álgebra Linear, IST Press, 2011.
152
Resolução da 1a
Ficha de exercícios para as aulas de problemas
1. (ii)
1 1
0 1
1000
=
1 1
0 1
2
!500
= I500
= I
(iv)
0 1
1 0
222
+
0 1
1 0
220
=
0 1
1 0
220
0 1
1 0
2
+ I
!
=
=
0 1
1 0
220
0 0
0 0
=
0 0
0 0
(xi) se ad bc 6= 0,
a b
c d
1
ad bc
d b
c a
=
1
ad bc
ad bc 0
0 ad bc
= I
2. (i) 1
3
2
3
= [ 2 1] (ii) Não é possível.
(iii)
2
4
3
2
2
1 1
3
5
2
4
1
3
2 4
3
p
5 1
2
3
5 =
2
4
11
2
3 2
p
5 5
8
3
2
p
5 7
2
3
5
(iv) 2
1 0
3 1
2
1
3
0 6
2 3
=
2 2
20
3
2
(v) Não é possível. (vi) Não é possível.
(vii)
p
2
3
4 1
2
2 =
2
4
4
p
2 1
2
p
2 2
p
2
12 3
2
6
3
5
viii)
0
@
2
4
2
1
4
1
3
5 2
p
2 3
1
A
T
=
2
4
4
p
2 1
2
p
2 2
p
2
12 3
2
6
3
5
(ix)
0
B
B
B
B
@
2
2
4
1
3
0 1
2
1
3
1
2
1
3
5
T 2
4
1 0 1
2
1
3
1
2
1
3
5
2
6
6
6
6
4
8
9
1
3
1
1
3
1
2
1
5
3
1 5
2
3
7
7
7
7
5
1
C
C
C
C
A
T
=
2
4
0 0 0
0 0 0
0 0 0
3
5
(x)
2
4
1 1
2
0 2
0 1 1
4
0
6 2 5 1
3
5
T 2
4
1 0
2 4
1
3
3
3
5 =
2
6
6
6
6
6
6
6
6
4
1 18
5
6
10
7
6
16
7
3
3
3
7
7
7
7
7
7
7
7
5
153
(xi)
2
4
1 0
2 4
1
3
3
3
5
T 2
4
1 1
2
0 2
0 1 1
4
0
6 2 5 1
3
5 =
1 5
6
7
6
7
3
18 10 16 3
3. Sendo x o no
de livros e y o no
de caixas, tem-se
x 7y = 1
x 8y = 7
,
x = 57
y = 8.
A solução geral do sistema é f(57; 8)g.
4.
212 32
100 0
=
9
5
,
F 32
C 0
=
9
5
, F =
9
5
C + 32:
F = C, F =
9
5
F + 32 , F = 40.
5. a)
2
6
6
4
1 4 9 16
1 4 9 16
1 4 9 16
1 4 9 16
3
7
7
5 b)
2
6
6
4
1 1
2
1
3
1
4
0 1
3
1
4
1
5
0 0 1
5
1
6
0 0 0 1
7
3
7
7
5
c)
2
6
6
4
1 2 2 3
1 2 3 2
2 1 3 4
3 2 1 4
3
7
7
5 d)
2
6
6
4
0 2 3 4
2 0 3 4
3 3 0 4
4 4 4 0
3
7
7
5 (aii = aii , aii = 0)
6. Seja (aij) 2 M2 2 (R) tal que
aij = 3i + 2j
Como
a12 = 3 1 + 2 2 = 7 6= 8 = 3 2 + 2 1 = a21
então A não é simétrica.
7. (i) Seja A =
2
4
0 0
0 0
0 0
3
5. car A = 0; nul A = 2. Não existem pivots.
(ii)
2
4
1 2 3
0 1 1
1 2 3
3
5 !
L1+L3!L3
2
4
1 2 3
0 1 1
0 0 0
3
5.
Assim, sendo A =
2
4
1 2 3
0 1 1
1 2 3
3
5, tem-se car A = 2 e nul A = 1. Pivots: 1 e 1.
154
(iii)
2
4
2 1
2 4
1 2
3
5 !
L1$L3
2
4
1 2
2 4
2 1
3
5 !
2L1+L2!L2
2L1+L3!L3
2
4
1 2
0 0
0 3
3
5 !
L1$L3
2
4
1 2
0 3
0 0
3
5.
Assim, sendo A =
2
4
2 1
2 4
1 2
3
5, car A = 2 e nul A = 0. Pivots: 1 e 3.
(iv)
2
4
1 2 3 4
5 6 7 8
9 10 11 12
3
5 !
5L1+L2!L2
9L1+L3!L3
2
4
1 2 3 4
0 4 8 12
0 8 16 24
3
5 !
2L2+L3!L3
2
4
1 2 3 4
0 4 8 12
0 0 0 0
3
5.
Assim, sendo A =
2
4
1 2 3 4
0 4 8 12
0 0 0 0
3
5, car A = 2 e nul A = 2. Pivots: 1 e 4.
(v)
2
4
0 1 1 1
1 1 1 0
1 1 2 1
3
5 !
L1$L2
2
4
1 1 1 0
0 1 1 1
1 1 2 1
3
5 !
L1+L3!L3
!
L1+L3!L3
2
4
1 1 1 0
0 1 1 1
0 2 1 1
3
5 !
2L2+L3!L3
2
4
1 1 1 0
0 1 1 1
0 0 3 3
3
5.
Assim, sendo A =
2
4
1 1 1 0
0 1 1 1
0 0 3 3
3
5, tem-se car A = 3 e nul A = 1. Pivots: 1; 1 e 3.
(vi)
2
6
6
4
1 2 1 3 2
1 1 3 2 1
2 7 1 9 8
3 3 2 4 6
3
7
7
5 !
L1+L2!L2
2L1+L3!L3
3L1+L4!L4
2
6
6
4
1 2 1 3 2
0 3 2 1 1
0 3 1 3 4
0 3 1 5 12
3
7
7
5 !
L2+L3!L3
L2+L4!L4
!
L2+L3!L3
L2+L4!L4
2
6
6
4
1 2 1 3 2
0 3 2 1 1
0 0 1 2 3
0 0 3 4 11
3
7
7
5 !
3L3+L4!L4
2
6
6
4
1 2 1 3 2
0 3 2 1 1
0 0 1 2 3
0 0 0 2 2
3
7
7
5.
Assim, sendo A =
2
6
6
4
1 2 1 3 2
1 1 3 2 1
2 7 1 9 8
3 3 2 4 6
3
7
7
5, tem-se car A = 4 e nul A = 1. Pivots:
1; 3; 1 e 2.
155
(vii)
2
6
6
4
1 3 1 2
0 11 5 3
2 5 3 1
4 1 1 5
3
7
7
5 !
2L1+L3!L3
4L1+L4!L4
2
6
6
4
1 3 1 2
0 11 5 3
0 11 5 3
0 11 5 3
3
7
7
5 !
L2+L3!L3
L2+L4!L4
2
6
6
4
1 3 1 2
0 11 5 3
0 0 0 0
0 0 0 0
3
7
7
5.
Assim, sendo A =
2
6
6
4
1 3 1 2
0 11 5 3
2 5 3 1
4 1 1 5
3
7
7
5, tem-se car A = 2 e nul A = 2. Pivots: 1 e 11.
(viii) Sendo A =
5 1 2
0 2 0
, tem-se car A = 2 e nul A = 1. Pivots: 5 e 2.
(ix)
2
4
3 6 9
2 4 6
1 2 3
3
5 !
L1$L3
2
4
1 2 3
2 4 6
3 6 9
3
5 !
2L1+L2!L2
3L1+L3!L3
2
4
1 2 3
0 0 0
0 0 0
3
5.
Assim, sendo A =
2
4
3 6 9
2 4 6
1 2 3
3
5, tem-se car A = 1 e nul A = 2. Pivot: 1.
(x)
2
4
2 10 6 8 4
1 5 3 4 2
2 10 6 8 4
3
5 !1
2
L1+L2!L2
L1+L3!L3
2
4
2 10 6 8 4
0 0 0 0 0
0 0 0 0 0
3
5.
Assim, sendo A =
2
4
2 10 6 8 4
1 5 3 4 2
2 10 6 8 4
3
5, car A = 1 e nul A = 4. Pivot: 2.
8. As equações das alíneas (a) e (b) são lineares.
9. O ponto (1; 1) é a solução desse sistema de equações lineares.
10. Os pontos: (1; 1; 1; 0) ; (1; 1; 1; 2) ; 3; 9; 7;
3
p
2
são soluções desse sistema de
equações lineares.
11. (i) Para que o grá…co da função polinomial p(x) = ax3
+ bx2
+ cx + d passe pelos
pontos P1 = (0; 10); P2 = (1; 7); P3 = (3; 11) e P4 = (4; 14), é necessário que
8
>><
>>:
p(0) = 10
p(1) = 7
p(3) = 11
p(4) = 14.
156
O que é equivalente a existir solução para o seguinte sistema de equações lineares nas variáveis
a; b; c e d: 8
>><
>>:
d = 10
a + b + c + d = 7
27a + 9b + 3c + d = 11
64a + 16b + 4c + d = 14.
Ou seja: 8
>><
>>:
d = 10
a + b + c = 3
27a + 9b + 3c = 21
16a + 4b + c = 6.
Atendendo a que:
2
4
1 1 1 j 3
27 9 3 j 21
16 4 1 j 6
3
5 !
27L1+L2!L2
16L1+L3!L3
2
4
1 1 1 j 3
0 18 24 j 60
0 12 15 j 42
3
5 !1
6
L2!L2
!1
6
L2!L2
2
4
1 1 1 j 3
0 3 4 j 10
0 12 15 j 42
3
5 !
4L2+L3!L3
2
4
1 1 1 j 3
0 3 4 j 10
0 0 1 j 2
3
5 ;
tem-se
8
>><
>>:
a = 1
b = 6
c = 2
d = 10.
(ii) Para que os pontos P1 = ( 2; 7); P2 = ( 4; 5) e P3 = (4; 3) pertençam à circunfer-
ência de equação x2
+ y2
+ ax + by + c = 0; é necessário que
8
<
:
( 2)2
+ 72
+ a ( 2) + 7b + c = 0
( 4)2
+ 52
+ a ( 4) + 5b + c = 0
42
+ ( 3)2
+ 4a + b ( 3) + c = 0.
O que é equivalente a existir solução para o seguinte sistema de equações lineares nas variáveis
a; b e c: 8
<
:
2a + 7b + c = 53
4a + 5b + c = 41
4a 3b + c = 25.
Atendendo a que:
2
4
2 7 1 j 53
4 5 1 j 41
4 3 1 j 25
3
5 !
2L1+L2!L2
2L1+L3!L3
2
4
2 7 1 j 53
0 9 1 j 65
0 11 3 j 131
3
5 !11
9
L2+L3!L3
157
!11
9
L2+L3!L3
2
4
2 7 1 j 53
0 9 1 j 65
0 0 16=9 j 464=9
3
5 ;
tem-se
8
<
:
a = 2
b = 4
c = 29.
12. (i)
2
4
1 0 1
1
0 1
3
5 !
L1+L2!L2
2
4
1 0 1
0 + 1
0 1
3
5 !
L2+L3!L3
2
4
1 0 1
0 + 1
0 0
3
5.
Seja A =
2
4
1 0 1
1
0 1
3
5. Se 6= 0 então car A = 3 e nul A = 0.
Se = 0 então car A = 2 e nul A = 1.
Assim, A é invertível se e só se 6= 0, uma vez que é só neste caso que car A = no
de
colunas de A .
(ii)
2
4
1
2 1 2
3 2 1
3
5 !
2L1+L2!L2
3L1+L3!L3
2
4
1
0 1 + 2 2 + 2
0 2 4 1 3
3
5 !
2L2+L3!L3
!
2L2+L3!L3
2
4
1
0 1 + 2 2 (1 + )
0 0 3 +
3
5.
Seja A =
2
4
1
2 1 2
3 2 1
3
5. Se 6= 3 e 6=
1
2
então car A = 3 e nul A = 0.
Se = 3 ou =
1
2
então car A = 2 e nul A = 1.
Assim, A é invertível se e só se 6= 3 e 6=
1
2
, uma vez que é só neste caso que
car A = no
de colunas de A .
(iii)
2
4
2 2
2 1 1
0 2
1 + 1
3
5 !
L1+L2!L2
2
4
2 2
0 1 2
1 +
0 2
1 + 1
3
5 !
L2+L3!L3
158
!
L2+L3!L3
2
4
2 2
0 (1 ) (1 + ) 1 +
0 0 2 ( + 1)
3
5.
Seja A =
2
4
2 2
2 1 1
0 2
1 + 1
3
5. Se = 1 então car A = 1 e nul A = 2.
Se = 1 então car A = 2 e nul A = 1.
Se 6= 1 e 6= 1 então car A = 3 e nul A = 0.
Assim, A é invertível se e só se 6= 1 e 6= 1, uma vez que é só neste caso que
car A = no
de colunas de A .
(iv)
2
6
6
4
1 0 1
0 1 0 0
3 0 0
1 1 1 2
3
7
7
5 !
3L1+L3!L3
L1+L4!L4
2
6
6
4
1 0 1
0 1 0 0
0 0 + 3 3
0 1 0 2
3
7
7
5 !
L2+L4!L4
!
L2+L4!L4
2
6
6
4
1 0 1
0 1 0 0
0 0 + 3 3
0 0 0 2
3
7
7
5.
Seja A =
2
6
6
4
1 0 1
0 1 0 0
3 0 0
1 1 1 2
3
7
7
5. Se = 2 ou = 3 então car A = 3 e nul A = 1.
Se 6= 2 e 6= 3 então car A = 4 e nul A = 0.
Assim, A é invertível se e só se 6= 2 e 6= 3, uma vez que é só neste caso que
car A = no
de colunas de A .
(v)
2
6
6
4
1 0 1
0 1 1 0
1 0 2
1
2 0 2 2
3
7
7
5 !
L1+L3!L3
2L1+L4!L4
2
6
6
4
1 0 1
0 1 1 0
0 0 (1 ) (1 + ) 1
0 0 0 2 ( 1)
3
7
7
5.
Seja A =
2
6
6
4
1 0 1
0 1 1 0
1 0 2
1
2 0 2 2
3
7
7
5. Se = 1 então car A = 2 e nul A = 2.
Se = 1 então car A = 3 e nul A = 1.
Se 6= 1 e 6= 1 então car A = 4 e nul A = 0.
159
Assim, A é invertível se e só se 6= 1 e 6= 1, uma vez que é só neste caso que
car A = no
de colunas de A .
(vi)
2
6
6
4
1 1 0
1 1 0
1 1 3
0
1 1 2
1
3
7
7
5 !
L1+L2!L2
L1+L3!L3
L1+L4!L4
!
L1+L2!L2
L1+L3!L3
L1+L4!L4
2
6
6
4
1 1 0
0 + 1 1 0
0 0 ( 1) ( + 1) 0
0 0 0 ( 1) ( + 1)
3
7
7
5.
Seja A =
2
6
6
4
1 0 1
0 1 1 0
1 0 2
1
2 0 2 2
3
7
7
5. Se = 1 então car A = 2 e nul A = 2.
Se = 0 então car A = 3 e nul A = 1.
Se = 1 então car A = 1 e nul A = 3.
Se = 1 então car A = 2 e nul A = 2.
Se 6= 0 e 6= 1 e 6= 1 então car A = 4 e nul A = 0.
Assim, A é invertível se e só se 6= 1 e 6= 1, uma vez que é só neste caso que
car A = no
de colunas de A .
13. (a) Tem-se
8
<
:
3x z = 0
2y 2z w = 0
8x 2w = 0
e assim,
2
4
3 0 1 0 j 0
0 2 2 1 j 0
8 0 0 2 j 0
3
5 !8
3
L1+L2!L2
2
4
3 0 1 0 j
0 2 2 1 j
0 0 8
3
2 j
Logo,
8
<
:
3x z = 0
2y 2z w = 0
8
3
z 2w = 0.
,
8
>>>><
>>>>:
x = 1
4
w
y = 5
4
w
z = 3
4
w.
A solução geral do sistema é: X =
2
6
6
4
x
y
z
w
3
7
7
5 =
2
6
6
6
6
6
6
6
6
4
1
4
s
5
4
s
3
4
s
s
3
7
7
7
7
7
7
7
7
5
, para qualquer s 2 R, isto é, o conjunto solução é dado por: S = 1
4
s; 5
4
s; 3
4
s; s : s 2 R .
160
Para s = 4, tem-se a seguinte solução para a equação química: x = 1; y = 5; z = 3; w =
4:
(b) Tem-se
8
<
:
x 6z = 0
2x + y 6z 2w = 0
2y 12z = 0
e assim,
2
4
1 0 6 0 j 0
2 1 6 2 j 0
0 2 12 0 j 0
3
5 !
2L1+L2!L2
2
4
1 0 6 0 j 0
0 1 6 2 j 0
0 2 12 0 j 0
3
5 !
2L2+L3!L3
2
4
1 0 6 0 j 0
0 1 6 2 j 0
0 0 24 4 j 0
3
5 :
Logo,
8
<
:
x 6z = 0
y + 6z 2w = 0
24z + 4w = 0.
,
8
<
:
x = w
y = w
z = 1
6
w.
A solução geral do sistema é S = s; s; 1
6
s; s : s 2 R .
Para s = 6, tem-se a seguinte solução para a equação química: x = 6; y = 6; z = 1; w = 6:
14 (a)
2 3 j 1
5 7 j 3
!5
2
L1+L2!L2
2 3 j 1
0 1
2
j 1
2
.
Logo,
2x + 3y = 1
1
2
y = 1
2
,
x = 2
y = 1.
A solução geral do sistema é S = f(2; 1)g.
(b)
2 4 j 10
3 6 j 15
!3
2
L1+L2!L2
2 4 j 10
0 0 j 0
. Logo, 2x + 4y = 10 , x = 5 2y.
A solução geral do sistema é S = f(5 2s; s) : s 2 Rg.
(c)
4 2 j 5
6 3 j 1
!3
2
L1+L2!L2
4 2 j 5
0 0 j 17
2
. Logo, o sistema não tem solução (é
impossível). S = ?.
(d)
2
4
2 1 3 j 5
3 2 2 j 5
5 3 1 j 16
3
5 !3
2
L1+L2!L2
5
2
L1+L3!L3
2
4
2 1 3 j 5
0 7=2 13=2 j 5=2
0 11=2 13=2 j 7=2
3
5 !11
7
L2+L3!L3
!11
7
L2+L3!L3
2
4
2 1 3 j 5
0 7=2 13=2 j 5=2
0 0 26=7 j 52=7
3
5.
161
Logo,
8
<
:
2x + y 3z = 5
7
2
y + 13
2
z = 5
2
26
7
z = 52
7
,
8
<
:
x = 1
y = 3
z = 2.
A solução geral do sistema é S = f(1; 3; 2)g.
(e)
2
4
2 3 2 j 5
1 2 3 j 2
4 1 4 j 1
3
5 !1
2
L1+L2!L2
2L1+L3!L3
2
4
2 3 2 j 5
0 7=2 4 j 1=2
0 7 8 j 9
3
5 !
2L2+L3!L3
!
2L2+L3!L3
2
4
2 3 2 j 5
0 7=2 4 j 1=2
0 0 0 j 8
3
5.
Logo, o sistema não tem solução (é impossível). S = ?.
(f)
2
4
1 2 3 j 3
2 3 8 j 4
3 2 17 j 1
3
5 !
2L1+L2!L2
3L1+L3!L3
2
4
1 2 3 j 3
0 1 2 j 2
0 4 8 j 8
3
5 !
4L2+L3!L3
2
4
1 2 3 j 3
0 1 2 j 2
0 0 0 j 0
3
5.
Logo,
x + 2y + 3z = 3
y + 2z = 2
,
x = 7z 1
y = 2z + 2.
A solução geral do sistema é S = f( 7s 1; 2s + 2; s) : s 2 Rg.
(g)
2
4
2 3 j 3
1 2 j 5
3 2 j 7
3
5 !
L1$L2
2
4
1 2 j 5
2 3 j 3
3 2 j 7
3
5 !
2L1+L2!L2
3L1+L3!L3
!
2L1+L2!L2
3L1+L3!L3
2
4
1 2 j 5
0 7 j 7
0 8 j 8
3
5 !8
7
L2+L3!L3
2
4
1 2 j 5
0 7 j 7
0 0 j 0
3
5.
Logo,
x 2y = 5
7y = 7
,
x = 3
y = 1.
A solução geral do sistema é S = f(3; 1)g.
(h)
2
4
1 2 1 3 j 3
2 4 4 3 j 9
3 6 1 8 j 10
3
5 !
2L1+L2!L2
3L1+L3!L3
2
4
1 2 1 3 j 3
0 0 6 3 j 3
0 0 2 1 j 1
3
5 !1
3
L2+L3!L3
!1
3
L2+L3!L3
2
4
1 2 1 3 j 3
0 0 6 3 j 3
0 0 0 0 j 0
3
5.
162
Logo,
x + 2y z + 3w = 3
6z 3w = 3
,
x = 2y 5
2
w + 7
2
z = 1
2
w + 1
2
.
A solução geral do sistema é S = 2s 5
2
t + 7
2
; s; 1
2
t + 1
2
; t : s; t 2 R .
(i)
2
4
1 5 4 13 j 3
3 1 2 5 j 2
2 2 3 4 j 1
3
5 !
3L1+L2!L2
2L1+L3!L3
2
4
1 5 4 13 j 3
0 16 10 44 j 7
0 8 5 22 j 5
3
5 !1
2
L2+L3!L3
!1
2
L2+L3!L3
2
4
1 5 4 13 j 3
0 16 10 44 j 7
0 0 0 0 j 3
2
3
5.
Logo, o sistema não tem solução (é impossível). S = ?.
(j)
2
6
6
4
0 0 2 3 j 4
2 0 6 9 j 7
2 2 5 2 j 4
0 100 150 200 j 50
3
7
7
5 !
L1$L3
1
50
L4!L4
2
6
6
4
2 2 5 2 j 4
2 0 6 9 j 7
0 0 2 3 j 4
0 2 3 4 j 1
3
7
7
5 !
L1+L2!L2
!
L1+L2!L2
2
6
6
4
2 2 5 2 j 4
0 2 1 7 j 3
0 0 2 3 j 4
0 2 3 4 j 1
3
7
7
5 !
L2+L4!L4
2
6
6
4
2 2 5 2 j 4
0 2 1 7 j 3
0 0 2 3 j 4
0 0 2 3 j 4
3
7
7
5 !
L3+L4!L4
!
L3+L4!L4
2
6
6
4
2 2 5 2 j 4
0 2 1 7 j 3
0 0 2 3 j 4
0 0 0 0 j 0
3
7
7
5.
Logo,
8
<
:
2x1 + 2x2 5x3 + 2x4 = 4
2x2 x3 + 7x4 = 3
2x3 + 3x4 = 4
,
8
>>>><
>>>>:
x1 = 19
2
9x4
x2 = 17
4
x4
5
2
x3 = 3
2
x4 + 2
A solução geral do sistema é dada por
S =
19
2
9s;
17
4
s
5
2
;
3
2
s + 2; s : s 2 R :
(k)
2
4
1 2 3 1 j 1
3 1 2 5 j 2
3 6 9 3 j 6
3
5 !
3L1+L2!L2
3L1+L3!L3
2
4
1 2 3 1 j 1
0 5 7 8 j 1
0 0 0 0 j 3
3
5.
163
Logo, o sistema não tem solução (é impossível). S = ?.
15. (a) Sejam A =
2
4
1 1
1 1
1 1
3
5 e B =
2
4
1
1
1
3
5.
[A j B] =
2
4
1 1 j 1
1 1 j 1
1 1 j 1
3
5 !
L1$L3
2
4
1 1 j 1
1 1 j 1
1 1 j 1
3
5 !
L1+L2!L2
L1+L3!L3
!
L1+L2!L2
L1+L3!L3
2
4
1 1 j 1
0 1 1 j 0
0 1 1 2
j 1
3
5 !
L2+L3!L3
2
4
1 1 j 1
0 1 1 j 0
0 0 (1 ) ( + 2) j 1
3
5.
Se = 1 então car A = car [A j B] = 1 < 3 = no
de incógnitas do sistema. Logo o
sistema é possível e indeterminado, tendo-se x + y + z = 1. A solução geral deste sistema é
então dada por
S1 = f(1 s t; s; t) : s; t 2 Rg :
Se = 2 então car A
| {z }
=2
< car [A j B]
| {z }
=3
. Logo, o sistema não tem solução (é impossível).
S 2 = ?.
Se 6= 1 e 6= 2 então car A = car [A j B] = 3 = no
de incógnitas do sistema. Logo
o sistema é possível e determinado, tendo-se
8
<
:
x + y + z = 1
( 1) y + (1 ) z = 0
(1 ) ( + 2) z = 1
,
8
<
:
x = 1= ( + 2)
y = 1= ( + 2)
z = 1= ( + 2) .
A solução geral do sistema é então dada por S =
1
+ 2
;
1
+ 2
;
1
+ 2
.
(b) Sejam A =
1 2
2 8
e B =
1
3
.
[A j B] =
1 2 j 1
2 8 j 3
!
2L1+L2!L2
1 2 j 1
0 4 8 2 j 1
.
164
Se 6= 4 então car A = car [A j B] = 2 < 3 = no
de incógnitas do sistema. Logo o
sistema é possível e indeterminado, tendo-se
x + 2y + z = 1
( 4) y + (8 2 ) z = 1
,
8
>>><
>>>:
x = 1
2
4
( + 4) z
y =
1
4
+ 2z.
A solução geral deste sistema é então dada por
S = 1
2
4
( + 4) s;
1
4
+ 2s; s : s 2 R :
Se = 4 então car A
| {z }
=1
< car [A j B]
| {z }
=2
. Logo, o sistema não tem solução (é impossível).
S4 = ?.
(c) Sejam A =
2
4
1 1
3 4 2
2 3 1
3
5 e B =
2
4
2
1
3
5. [A j B ] =
2
4
1 1 j 2
3 4 2 j
2 3 1 j 1
3
5 !
3L1+L2!L2
2L1+L3!L3
!
3L1+L2!L2
2L1+L3!L3
2
4
1 1 j 2
0 1 2 3 j 6
0 1 1 2 j 3
3
5 !
L2+L3!L3
2
4
1 1 j 2
0 1 2 3 j 6
0 0 3 + j 3
3
5.
Se = 3 então car A = car [A j B ] = 2 < 3 = no
de incógnitas do sistema. Logo o
sistema é possível e indeterminado, tendo-se
x + y + 3z = 2
y 7z = 3
,
8
<
:
x = 5 10z
y = 3 + 7z.
A solução geral deste sistema é então dada por
S3 = f(8 + (2 4 ) s; 6 + (3 2) s; s) : s 2 Rg :
Se 6= 3 então car A = car [A j B ] = 3 = no
de incógnitas do sistema. Logo o sistema
é possível e determinado, tendo-se
8
<
:
x + y + z = 2
y + (2 3 ) z = 6
( 3 + ) z = 3
,
8
<
:
x = 6 + 3
y = 4 2
z = 1.
165
A solução geral do sistema é então dada por
S = f(6 + 3 ; 4 2 ; 1)g :
(d) Sejam A =
2
4
1 1
1 1
1 1
3
5 e B =
2
4
1
2
3
5. [A j B ] =
2
4
1 1 j 1
1 1 j
1 1 j 2
3
5 !
L1$L3
!
L1$L3
2
4
1 1 j 2
1 1 j
1 1 j 1
3
5 !
L1+L2!L2
L1+L3!L3
2
4
1 1 j 2
0 1 1 j 2
0 1 1 2
j 1 3
3
5 !
L2+L3!L3
!
L2+L3!L3
2
4
1 1 j 2
0 1 1 j (1 )
0 0 (1 ) ( + 2) j (1 + ) (1 2
)
3
5.
Se = 1 então car A = car [A j B ] = 1 < 3 = no
de incógnitas do sistema. Logo o
sistema é possível e indeterminado, tendo-se x + y + z = 1. A solução geral deste sistema é
então dada por S1 = f(1 s t; s; t) : s; t 2 Rg.
Se = 2 então car A
| {z }
=2
< car [A j B ]
| {z }
=3
. O sistema não tem solução (é impossível).
S 2 = ?.
Se 6= 1 e 6= 2 então car A = car [A j B ] = 3 = no
de incógnitas do sistema. Logo
o sistema é possível e determinado, tendo-se
8
<
:
x + y + z = 2
( 1) y + (1 ) z = (1 )
(1 ) ( + 2) z = (1 + ) (1 2
)
,
8
<
:
x = ( + 1) = ( + 2)
y = 1= ( + 2)
z = (1 + )2
= ( + 2) .
A solução geral do sistema é então dada por
S =
(
+ 1
+ 2
;
1
+ 2
;
(1 + )2
+ 2
!)
:
(e)
8
<
:
x + y + z = 1
2x + y 2 z =
x + y + z = 1 + 2
Sejam A =
2
4
1 1
2 2
1
3
5 e B =
2
4
1
1 + 2
3
5.
166
[A j B] =
2
4
1 1 j 1
2 2 j
1 j 1 + 2
3
5 !
2L1+L2!L2
L1+L3!L3
2
4
1 1 j 1
0 + 2 0 j + 2
0 0 (1 ) (1 + ) j 1 +
3
5 :
Se = 1 então car A = car [A j B] = 2 < 3 = no
de incógnitas do sistema. Logo o
sistema é possível e indeterminado, tendo-se
x + y + z = 1
3y = 3:
,
x = z
y = 1:
A solução geral deste sistema é então dada por
S1 = f(s; 1; s) : s 2 Rg :
Se = 2 então então car A = car [A j B] = 2 < 3 = no
de incógnitas do sistema.
Logo o sistema é possível e indeterminado, tendo-se
x + y 2z = 1
3z = 3:
,
x = y 3
z = 1:
A solução geral deste sistema é então dada por
S 2 = f(s 3; s; 1) : s 2 Rg :
Se = 1 então car A
| {z }
=2
< car [A j B]
| {z }
=3
. Logo, o sistema não tem solução (é impossível).
S 1 = ?:
Se 6= 1 e 6= 1 e 6= 2 então car A = car [A j B] = 3 = no
de incógnitas do sistema.
Logo o sistema é possível e determinado, tendo-se
8
<
:
x + y + z = 1
( + 2) y = + 2
(1 ) (1 + ) z = 1 +
,
8
<
:
x = = ( + 1)
y = 1
z = 1= ( + 1) .
A solução geral do sistema é então dada por
S =
+ 1
; 1;
1
+ 1
:
16. (a) Sejam A =
2
4
1 4 3
2 7 2
1 5
3
5 e B =
2
4
10
10
3
5.
[A j B ] =
2
4
1 4 3 j 10
2 7 2 j 10
1 5 j
3
5 !
2L1+L2!L2
L1+L3!L3
167
!
2L1+L2!L2
L1+L3!L3
2
4
1 4 3 j 10
0 1 8 j 10
0 1 3 j 10
3
5 !
L2+L3!L3
2
4
1 4 3 j 10
0 1 8 j 10
0 0 11 j 20
3
5.
Se = 11 e = 20 então car A = car [A j B ] = 2 < 3 = no
de incógnitas do sistema.
Logo o sistema é possível e indeterminado, tendo-se
x + 4y + 3z = 10
y 8z = 10
,
x = 30 + 29z
y = 10 8z.
A solução geral deste sistema é então dada por S ; = f( 30 + 29s; 10 8s; s) : s 2 Rg.
Se = 11 e 6= 20 então car A
| {z }
=2
< car [A j B ]
| {z }
=3
. Logo, o sistema não tem solução (é
impossível). S ; = ?.
Se 6= 11 então car A = car [A j B ] = 3 = no
de incógnitas do sistema. Logo o
sistema é possível e determinado, tendo-se
8
<
:
x + 4y + 3z = 10
y 8z = 10
( 11) z = 20
,
8
<
:
x = (30 29 + 250) = ( 11)
y = (10 8 + 50) = ( 11)
z = ( 20) = ( 11) .
A solução geral do sistema é então dada por
S ; =
30 29 + 250
11
;
10 8 + 50
11
;
20
11
:
(b) Sejam A =
2
6
6
4
0 0 2
1 1 1 3
2 2 1 1
1 1 3 14
3
7
7
5 e B =
2
6
6
4
1
2
4
3
7
7
5 : [A j B ] =
2
6
6
4
0 0 2 j
1 1 1 3 j 1
2 2 1 1 j 2
1 1 3 14 j 4
3
7
7
5 !
L1$L3
!
L1$L3
2
6
6
4
2 2 1 1 j 2
1 1 1 3 j 1
0 0 2 j
1 1 3 14 j 4
3
7
7
5 !
L1$L2
2
6
6
4
1 1 1 3 j 1
2 2 1 1 j 2
0 0 2 j
1 1 3 14 j 4
3
7
7
5 !
2L1+L2!L2
L1+L4!L4
!
2L1+L2!L2
L1+L4!L4
2
6
6
4
1 1 1 3 j 1
0 0 1 5 j 0
0 0 2 j
0 0 2 11 j 3
3
7
7
5 !
2L2+L3!L3
2L2+L4!L4
2
6
6
4
1 1 1 3 j 1
0 0 1 5 j 0
0 0 0 10 j
0 0 0 1 j 3
3
7
7
5 !
L1$L2
168
!
L1$L2
2
6
6
4
1 1 1 3 j 1
0 0 1 5 j 0
0 0 0 1 j 3
0 0 0 10 j
3
7
7
5 !
( 10)L3+L4!L4
2
6
6
4
1 1 1 3 j 1
0 0 1 5 j 0
0 0 0 1 j 3
0 0 0 0 j 3 ( 10) +
3
7
7
5.
Se = 3 ( 10) então car A = car [A j B ] = 3 < 4 = no
de incógnitas do sistema.
Logo o sistema é possível e indeterminado, tendo-se
8
<
:
x + y + z + 3w = 1
z 5w = 0
w = 3
,
8
<
:
x = 7 y
z = 15
w = 3.
:
A solução geral deste sistema é então dada por S ; = f(7 s; s; 15; 3) : s 2 Rg.
Se 6= 3 ( 10) então car A
| {z }
=3
< car [A j B ]
| {z }
=4
. Logo, o sistema não tem solução (é
impossível). S ; = ?.
(c) Sejam A =
2
4
1 1
1 2 2 1
1 1 1 + 1
3
5 e B =
2
4
0
1
3
5 :
[A j B ] =
2
4
1 1 j 0
1 2 2 1 j 1
1 1 1 + 1 j
3
5 !
L1$L3
!
L1$L3
2
4
1 1 1 + 1 j
1 2 2 1 j 1
1 1 j 0
3
5 !
L1+L2!L2
L1+L3!L3
!
L1+L2!L2
L1+L3!L3
2
4
1 1 1 + 1 j
0 1 1 j 1
0 + 1 1 2
j
3
5 !
( +1)L2+L3!L3
!
( +1)L2+L3!L3
2
4
1 1 1 + 1 j
0 1 1 j 1
0 0 0 ( 2 1) j 2 + 1
3
5.
Se 6= 0 e 6=
1
2
então car A = car [A j B ] = 3 < 4 = no
de incógnitas do sistema.
Logo o sistema é possível e indeterminado, tendo-se
8
<
:
x y + z + ( + 1) w =
y + z w = 1
( 2 1) w = + 1 + ( 2 1)
,
8
><
>:
x = +1
2 +1
1 ( +1)2
( 2 1)
y = z +1
2 +1
1
w = +1
( 2 1)
+ .
169
A solução geral do sistema é então dada por
S ; =
(
+ 1
2 + 1
1
( + 1)2
( 2 1)
; s
+ 1
2 + 1
1; s;
+ 1
( 2 1)
+
!)
:
Se = 0 e = 1 então car A = car [A j B ] = 2 < 4 = no
de incógnitas do sistema.
Logo o sistema é possível e indeterminado, tendo-se
x y + z + w = 1
y + z = 0
,
x = 1 w
y = z.
A solução geral deste sistema é então dada por S ; = f(1 s; t; t; s) : s; t 2 Rg.
Se ( = 0 e 6= 1) ou =
1
2
então car A
| {z }
=2
< car [A j B ]
| {z }
=3
. Logo, o sistema não tem
solução (é impossível). S ; = ?.
17. (a) Sejam A =
2
4
1 2 3
3 1 2
1 5 8
3
5 e Ba;b;c =
2
4
a
b
c
3
5 :
[A j Ba;b;c] =
2
4
1 2 3 j a
3 1 2 j b
1 5 8 j c
3
5 !
3L1+L2!L2
L1+L3!L3
!
3L1+L2!L2
L1+L3!L3
2
4
1 2 3 j a
0 7 11 j b 3a
0 7 11 j c a
3
5 !
L2+L3!L3
2
4
1 2 3 j a
0 7 11 j b 3a
0 0 0 j c b + 2a
3
5.
Para que haja solução é necessário que car A = car [A j Ba;b;c], isto é, é necessário que
c b + 2a = 0:
(b) Sejam A =
2
4
1 2 4
2 3 1
3 1 2
3
5 e Ba;b;c =
2
4
a
b
c
3
5 :
[A j Ba;b;c] =
2
4
1 2 4 j a
2 3 1 j b
3 1 2 j c
3
5 !
2L1+L2!L2
3L1+L3!L3
170
!
2L1+L2!L2
3L1+L3!L3
2
4
1 2 4 j a
0 7 9 j b 2a
0 7 10 j c 3a
3
5 !
L2+L3!L3
2
4
1 2 4 j a
0 7 9 j b 2a
0 0 1 j c b a
3
5.
Como car A = car [A j Ba;b;c], este sistema tem solução para quaisquer valores de a; b; c.
18. (a) Sejam x = 1 + t e y = 1 t. Logo
x + y = 2:
(b) Sejam x = t, y = 1 2t e z = 1. Tem-se então o seguinte sistema:
8
<
:
2x + y = 1
z = 1.
(c) Sejam x = 3t, y = 2t e z = t. Tem-se então o seguinte sistema:
8
<
:
x 3z = 0
y 2z = 0.
(d) Sejam x = 3t s, y = t + 2s 1 e z = s 2t + 1. Logo s = 3t x e assim
y = t + 2 (3t x) 1 = 7t 2x 1 , t =
y + 2x + 1
7
:
Deste modo:
s = 3
y + 2x + 1
7
x =
3y x + 3
7
Com
s =
3y x + 3
7
e t =
y + 2x + 1
7
Tem-se então a seguinte equação linear:
z = s 2t + 1 =
3y x + 3
7
2
y + 2x + 1
7
+ 1.
Isto é:
5x y + 7z = 8.
171
(e) Sejam x = 2t 3s, y = t + s 1, z = 2s + 1 e w = t 1. Logo t = w + 1 e s =
z 1
2
.
Assim: 8
>>><
>>>:
x = 2 (w + 1) 3
z 1
2
y = w + 1 +
z 1
2
1.
Deste modo, obtém-se o sistema de equações lineares:
8
<
:
2x + 3z 4w = 7
2y z 2w = 1.
(f) Seja S = f(1 s; s t; 2s; t 1) : s; t 2 Rg.
Sejam x = 1 s, y = s t, z = 2s, w = t 1. Uma vez que s = 1 x e t = w + 1,
tem-se então o seguinte sistema linear não homogéneo
y = 1 x (w + 1)
z = 2 (1 x)
,
x + y + w = 0
2x + z = 2
(g) Por exemplo: 8
<
:
x + y = 1
x + y = 0.
19. Pretende-se determinar
a b
c d
tal que
a b
c d
1 2
3 4
=
1 2
3 4
a b
c d
.
Tem-se então 8
>><
>>:
a + 2c = a + 3b
b + 2d = 2a + 4b
3a + 4c = c + 3d
3b + 4d = 2c + 4d
,
c = 3
2
b
d = a + 3
2
b
As matrizes reais que comutam com
1 2
3 4
são da forma:
a b
3
2
b a + 3
2
b
, com a; b 2 R.
20. Existem 16 matrizes 2 2 só com 0 e 1 nas respectivas entradas. 6 são invertíveis:
1 0
0 1
;
0 1
1 0
;
1 1
0 1
;
1 1
1 0
;
0 1
1 1
;
1 0
1 1
.
172
21. Como
A2
+ 2A + 2I = 0 , A
1
2
A I =
1
2
A I A = I
então A é invertível e
A 1
=
1
2
A I.
22. Sejam A; B; X 2 Mn n (R) matrizes invertíveis tais que
(AB)2
=
3 4
7 9
:
(i)
AXB + AB = 0 , AXB = AB , A 1
(AXB) B 1
= A 1
( AB) B 1
,
, A 1
A X BB 1
= A 1
A BB 1
,
, IXI = II , X = I.
(ii)
BXA A 1
B 1
= 0 , B 1
(BXA) A 1
= B 1
A 1
B 1
A 1
,
, B 1
B X AA 1
= B 1
A 1
B 1
A 1
,
, IXI = (AB)2 1
,
, X =
3 4
7 9
1
=
9 4
7 3
.
23. A 2 M2 2 (R),
2I 3A 1 T 1
=
4 3
7 5
, 2I 3A 1 T
=
4 3
7 5
1
,
, 2I 3A 1 T
=
5 3
7 4
, 3A 1 T
=
2 0
0 2
5 3
7 4
,
, A =
1
3
7 3
7 6
T
! 1
=
7
3
7
3
1 2
1
=
6
7
1
3
7
1
.
24. (i)
0 1 j 1 0
1 0 j 0 1
!
L1$L2
1 0 j 0 1
0 1 j 1 0
. Logo
0 1
1 0
1
=
0 1
1 0
173
(ii)
1 0
0 1
1
=
1 0
0 1
(iii) [1] 1
= [1]
(iv)
1 2 j 1 0
3 4 j 0 1
!
3L1+L2!L2
1 2 j 1 0
0 2 j 3 1
!
L2+L1!L1
!
L2+L1!L1
1 0 j 2 1
0 2 j 3 1
!1
2
L2!L2
1 0 j 2 1
0 1 j 3
2
1
2
.
Logo
1 2
3 4
1
=
2 1
3
2
1
2
.
(v)
2
4
1 2 3 j 1 0 0
4 5 6 j 0 1 0
7 8 9 j 0 0 1
3
5 !
4L1+L2!L2
7L1+L3!L3
2
4
1 2 3 j 1 0 0
0 3 6 j 4 1 0
0 6 12 j 7 0 1
3
5 !
2L2+L3!L3
!
2L2+L3!L3
2
4
1 2 3 j 1 0 0
0 3 6 j 4 1 0
0 0 0 j 1 2 1
3
5.
Logo,
2
4
1 2 3
4 5 6
7 8 9
3
5 é singular e como tal não é invertível.
Nas alíneas (vi) e (vii) só se apresentam as soluções:
(vi)
2
4
1 2 3
0 1 2
0 0 1
3
5
1
=
2
4
1 2 1
0 1 2
0 0 1
3
5 (vii)
0
@1
3
2
4
2 2 1
1 2 2
2 1 2
3
5
1
A
1
=
2
4
2
3
1
3
2
3
2
3
2
3
1
3
1
3
2
3
2
3
3
5
(viii)
2
4
1 0 2 j 1 0 0
0 3 0 j 0 1 0
4 0 5 j 0 0 1
3
5 !
4L1+L3!L3
2
4
1 0 2 j 1 0 0
0 3 0 j 0 1 0
0 0 3 j 4 0 1
3
5 !2
3
L3+L1!L1
!2
3
L3+L1!L1
2
4
1 0 0 j 5
3
0 2
3
0 3 0 j 0 1 0
0 0 3 j 4 0 1
3
5 !1
3
L2!L2
1
3
L3!L3
2
4
1 0 0 j 5
3
0 2
3
0 1 0 j 0 1
3
0
0 0 1 j 4
3
0 1
3
3
5.
Logo
2
4
1 0 2
0 3 0
4 0 5
3
5
1
=
2
4
5
3
0 2
3
0 1
3
0
4
3
0 1
3
3
5.
174
(ix)
2
4
1 2 1 j 1 0 0
4 0 6 j 0 1 0
1 8 1 j 0 0 1
3
5 !
4L1+L2!L2
L1+L3!L3
2
4
1 2 1 j 1 0 0
0 8 2 j 4 1 0
0 6 0 j 1 0 1
3
5 !3
4
L2+L3!L3
!3
4
L2+L3!L3
2
4
1 2 1 j 1 0 0
0 8 2 j 4 1 0
0 0 3
2
j 4 3
4
1
3
5 !2
3
L3!L3
2
4
1 2 1 j 1 0 0
0 8 2 j 4 1 0
0 0 1 j 8
3
1
2
2
3
3
5 !
2L3+L2!L2
L3+L1!L1
!
2L3+L2!L2
L3+L1!L1
2
6
6
6
6
4
1 2 0 j 11
3
1
2
2
3
j
0 8 0 j 4
3
0 4
3
j
0 0 1 j 8
3
1
2
2
3
3
7
7
7
7
5
!1
8
L2!L2
2
6
6
6
6
4
1 2 0 j 11
3
1
2
2
3
j
0 1 0 j 1
6
0 1
6
j
0 0 1 j 8
3
1
2
2
3
3
7
7
7
7
5
!
2L2+L1!L1
!
2L2+L1!L1
2
6
6
6
6
4
1 0 0 j 4 1
2
1
j
0 1 0 j 1
6
0 1
6
j
0 0 1 j 8
3
1
2
2
3
3
7
7
7
7
5
.
Logo
2
4
1 2 1
4 0 6
1 8 1
3
5
1
=
2
6
6
6
6
4
4 1
2
1
1
6
0 1
6
8
3
1
2
2
3
3
7
7
7
7
5
.
(x) Para 6= k
2
; (k 2 Z)
cos sen j 1 0
sen cos j 0 1
!
(cos )L1!L1
(sen )L2!L2
cos2
cos sen j cos 0
sen2
sen cos j 0 sen
!
L2+L1!L1
!
L2+L1!L1
1 0 j cos sen
sen2
sen cos j 0 sen
!
( sen2 )L1+L2!L2
!
( sen2 )L1+L2!L2
1 0 j cos sen
0 sen cos j sen2
cos sen (1 sen2
)
!1
sen cos
L2!L2
!1
sen cos
L2!L2
1 0 j cos sen
0 1 j sen cos
. Note que sen cos 6= 0 para todo o 6= k
2
;
(k 2 Z).
Logo
cos sen
sen cos
1
=
cos sen
sen cos
, para todo o 6= k
2
; (k 2 Z)
175
Se =
2
+ 2k ; (k 2 Z) ;
cos sen
sen cos
1
=
0 1
1 0
1
=
0 1
1 0
=
cos sen
sen cos
.
Se = 2k ; (k 2 Z),
cos sen
sen cos
1
=
1 0
0 1
1
=
1 0
0 1
=
cos sen
sen cos
.
Se = + 2k ; (k 2 Z) ;
cos sen
sen cos
1
=
1 0
0 1
1
=
1 0
0 1
=
cos sen
sen cos
.
Se =
3
2
+ 2k ; (k 2 Z),
cos sen
sen cos
1
=
0 1
1 0
1
=
0 1
1 0
=
cos sen
sen cos
.
Logo, para todo o 2 R
cos sen
sen cos
1
=
cos sen
sen cos
.
(xi) Seja k 6= 0.
2
6
6
4
k 0 0 0 j 1 0 0 0
1 k 0 0 j 0 1 0 0
0 1 k 0 j 0 0 1 0
0 0 1 k j 0 0 0 1
3
7
7
5 !1
k
L1+L2!L2
1
k
L3!L3
1
k
L4!L4
2
6
6
4
k 0 0 0 j 1 0 0 0
0 k 0 0 j 1
k
1 0 0
0 1
k
1 0 j 0 0 1
k
0
0 0 1
k
1 j 0 0 0 1
k
3
7
7
5 !1
k2 L2+L3!L3
1
k
L1!L1
!1
k2 L2+L3!L3
1
k
L1!L1
2
6
6
4
1 0 0 0 j 1
k
0 0 0
0 k 0 0 j 1
k
1 0 0
0 0 1 0 j 1
k3
1
k2
1
k
0
0 0 1
k
1 j 0 0 0 1
k
3
7
7
5 !1
k
L3+L4!L4
1
k
L2!L2
!1
k
L3+L4!L4
1
k
L2!L2
2
6
6
4
1 0 0 0 j 1
k
0 0 0
0 1 0 0 j 1
k2
1
k
0 0
0 0 1 0 j 1
k3
1
k2
1
k
0
0 0 0 1 j 1
k4
1
k3
1
k2
1
k
3
7
7
5.
176
Logo
2
6
6
4
k 0 0 0
1 k 0 0
0 1 k 0
0 0 1 k
3
7
7
5
1
=
2
6
6
4
1
k
0 0 0
1
k2
1
k
0 0
1
k3
1
k2
1
k
0
1
k4
1
k3
1
k2
1
k
3
7
7
5.
(xii) Sejam k1; k2; k3; k4 6= 0.
2
6
6
4
0 0 0 k1 j 1 0 0 0
0 0 k2 0 j 0 1 0 0
0 k3 0 0 j 0 0 1 0
k4 0 0 0 j 0 0 0 1
3
7
7
5 !
L1$L4
L2$L3
2
6
6
4
k4 0 0 0 j 0 0 0 1
0 k3 0 0 j 0 0 1 0
0 0 k2 0 j 0 1 0 0
0 0 0 k1 j 1 0 0 0
3
7
7
5 !1
k4
L1!L1
1
k3
L2!L2
1
k2
L3!L3
1
k1
L4!L4
!1
k4
L1!L1
1
k3
L2!L2
1
k2
L3!L3
1
k1
L4!L4
2
6
6
4
1 0 0 0 j 0 0 0 1
k4
0 1 0 0 j 0 0 1
k3
0
0 0 1 0 j 0 1
k2
0 0
0 0 0 1 j 1
k1
1 0 0 0
3
7
7
5.
Logo
2
6
6
4
0 0 0 k1
0 0 k2 0
0 k3 0 0
k4 0 0 0
3
7
7
5
1
=
2
6
6
4
0 0 0 1
k4
0 0 1
k3
0
0 1
k2
0 0
1
k1
1 0 0 0
3
7
7
5.
(xiii)
2
6
6
6
6
6
6
6
6
4
5
13
2
13
2
13
8
13
2
13
7
13
6
13
2
13
2
13
6
13
7
13
2
13
8
13
2
13
2
13
5
13
3
7
7
7
7
7
7
7
7
5
= 1
13
2
6
6
6
6
6
6
6
6
4
5 2 2 8
2 7 6 2
2 6 7 2
8 2 2 5
3
7
7
7
7
7
7
7
7
5
:
2
6
6
6
6
6
6
6
6
4
5 2 2 8 j 1 0 0 0
j
2 7 6 2 j 0 1 0 0
j
2 6 7 2 j 0 0 1 0
j
8 2 2 5 j 0 0 0 1
3
7
7
7
7
7
7
7
7
5
!
L1$L3
2
6
6
6
6
6
6
6
6
4
2 6 7 2 j 0 0 1 0
j
2 7 6 2 j 0 1 0 0
j
5 2 2 8 j 1 0 0 0
j
8 2 2 5 j 0 0 0 1
3
7
7
7
7
7
7
7
7
5
!
L1+L2!L2
5
2
L1+L3!L3
4L1+L4!L4
177
!
L1+L2!L2
5
2
L1+L3!L3
4L1+L4!L4
2
6
6
6
6
6
6
6
6
4
2 6 7 2 j 0 0 1 0
j
0 13 13 0 j 0 1 1 0
j
0 13 39
2
13 j 1 0 5
2
0
j
0 26 26 13 j 0 0 4 1
3
7
7
7
7
7
7
7
7
5
!
L2+L3!L3
2L2+L4!L4
!
L2+L3!L3
2L2+L4!L4
2
6
6
6
6
6
6
6
6
4
2 6 7 2 j 0 0 1 0
j
0 13 13 0 j 0 1 1 0
j
0 0 13
2
13 j 1 1 3
2
0
j
0 0 0 13 j 0 2 2 1
3
7
7
7
7
7
7
7
7
5
!1
2
L1!L1
1
13
L2!L2
2
13
L3!L3
1
13
L4!L4
!1
2
L1!L1
1
13
L2!L2
2
13
L3!L3
1
13
L4!L4
2
6
6
6
6
6
6
6
6
4
1 3 7
2
1 j 0 0 1
2
0
j
0 1 1 0 j 0 1
13
1
13
0
j
0 0 1 2 j 2
13
2
13
3
13
0
j
0 0 0 1 j 0 2
13
2
13
1
13
3
7
7
7
7
7
7
7
7
5
!
L4+L1!L1
2L4+L3!L3
!
L4+L1!L1
2L4+L3!L3
2
6
6
6
6
6
6
6
6
4
1 3 7
2
0 j 0 2
13
9
26
1
13
j
0 1 1 0 j 0 1
13
1
13
0
j
0 0 1 0 j 2
13
2
13
1
13
2
13
j
0 0 0 1 j 0 2
13
2
13
1
13
3
7
7
7
7
7
7
7
7
5
!
L3+L2!L2
7
2
L3+L1!L1
!
L3+L2!L2
7
2
L3+L1!L1
2
6
6
6
6
6
6
6
6
4
1 3 0 0 j 7
13
5
13
8
13
6
13
j
0 1 0 0 j 2
13
1
13
2
13
2
13
j
0 0 1 0 j 2
13
2
13
1
13
2
13
j
0 0 0 1 j 0 2
13
2
13
1
13
3
7
7
7
7
7
7
7
7
5
!
3L2+L1!L1
2
6
6
6
6
6
6
6
6
4
1 0 0 0 j 1
13
2
13
2
13
0
j
0 1 0 0 j 2
13
1
13
2
13
2
13
j
0 0 1 0 j 2
13
2
13
1
13
2
13
j
0 0 0 1 j 0 2
13
2
13
1
13
3
7
7
7
7
7
7
7
7
5
.
Logo
2
6
6
6
6
6
6
6
6
4
5
13
2
13
2
13
8
13
2
13
7
13
6
13
2
13
2
13
6
13
7
13
2
13
8
13
2
13
2
13
5
13
3
7
7
7
7
7
7
7
7
5
1
=
0
B
B
B
B
B
B
B
B
@
1
13
2
6
6
6
6
6
6
6
6
4
5 2 2 8
2 7 6 2
2 6 7 2
8 2 2 5
3
7
7
7
7
7
7
7
7
5
1
C
C
C
C
C
C
C
C
A
1
=
178
= 13
2
6
6
6
6
6
6
6
6
4
1
13
2
13
2
13
0
2
13
1
13
2
13
2
13
2
13
2
13
1
13
2
13
0 2
13
2
13
1
13
3
7
7
7
7
7
7
7
7
5
=
2
6
6
6
6
6
6
6
6
4
1 2 2 0
2 1 2 2
2 2 1 2
0 2 2 1
3
7
7
7
7
7
7
7
7
5
.
(xiv)
2
6
6
6
6
6
6
6
6
4
1 1
2
1
2
1
2
1
2
1 0 1
2
1
2
0 1 1
2
1
2
1
2
1
2
1
3
7
7
7
7
7
7
7
7
5
= 1
2
2
6
6
6
6
6
6
6
6
4
2 1 1 1
1 2 0 1
1 0 2 1
1 1 1 2
3
7
7
7
7
7
7
7
7
5
.
2
6
6
6
6
6
6
6
6
4
2 1 1 1 j 1 0 0 0
j
1 2 0 1 j 0 1 0 0
j
1 0 2 1 j 0 0 1 0
j
1 1 1 2 j 0 0 0 1
3
7
7
7
7
7
7
7
7
5
!
L1$L4
2
6
6
6
6
6
6
6
6
4
1 1 1 2 j 0 0 0 1
j
1 2 0 1 j 0 1 0 0
j
1 0 2 1 j 0 0 1 0
j
2 1 1 1 j 1 0 0 0
3
7
7
7
7
7
7
7
7
5
!
L1+L2!L2
L1+L3!L3
2L1+L4!L4
!
L1+L2!L2
L1+L3!L3
2L1+L4!L4
2
6
6
6
6
6
6
6
6
4
1 1 1 2 j 0 0 0 1
j
0 1 1 1 j 0 1 0 1
j
0 1 1 1 j 0 0 1 1
j
0 1 1 3 j 1 0 0 2
3
7
7
7
7
7
7
7
7
5
!
L2+L3!L3
L2+L4!L4
!
L2+L3!L3
L2+L4!L4
2
6
6
6
6
6
6
6
6
4
1 1 1 2 j 0 0 0 1
j
0 1 1 1 j 0 1 0 1
j
0 0 0 2 j 0 1 1 2
j
0 0 2 4 j 1 1 0 3
3
7
7
7
7
7
7
7
7
5
!
L3$L4
!
L3$L4
2
6
6
6
6
6
6
6
6
4
1 1 1 2 j 0 0 0 1
j
0 1 1 1 j 0 1 0 1
j
0 0 2 4 j 1 1 0 3
j
0 0 0 2 j 0 1 1 2
3
7
7
7
7
7
7
7
7
5
!
2L4+L3!L3
1
2
L4+L2!L2
L4+L1!L1
179
!
2L4+L3!L3
1
2
L4+L2!L2
L4+L1!L1
2
6
6
6
6
6
6
6
6
4
1 1 1 0 j 0 1 1 1
j
0 1 1 0 j 0 1
2
1
2
0
j
0 0 2 0 j 1 1 2 1
j
0 0 0 2 j 0 1 1 2
3
7
7
7
7
7
7
7
7
5
!1
2
L3!L3
1
2
L4!L4
!1
2
L3!L3
1
2
L4!L4
2
6
6
6
6
6
6
6
6
4
1 1 1 0 j 0 1 1 1
j
0 1 1 0 j 0 1
2
1
2
0
j
0 0 1 0 j 1
2
1
2
1 1
2
j
0 0 0 1 j 0 1
2
1
2
1
3
7
7
7
7
7
7
7
7
5
!
L3+L2!L2
L3+L1!L1
!
L3+L2!L2
L3+L1!L1
2
6
6
6
6
6
6
6
6
4
1 1 0 0 j 1
2
1
2
0 1
2
j
0 1 0 0 j 1
2
1 1
2
1
2
j
0 0 1 0 j 1
2
1
2
1 1
2
j
0 0 0 1 j 0 1
2
1
2
1
3
7
7
7
7
7
7
7
7
5
!
L2+L1!L1
!
L2+L1!L1
2
6
6
6
6
6
6
6
6
4
1 0 0 0 j 1 1
2
1
2
0
j
0 1 0 0 j 1
2
1 1
2
1
2
j
0 0 1 0 j 1
2
1
2
1 1
2
j
0 0 0 1 j 0 1
2
1
2
1
3
7
7
7
7
7
7
7
7
5
.
Logo
2
6
6
6
6
6
6
6
6
4
1 1
2
1
2
1
2
1
2
1 0 1
2
1
2
0 1 1
2
1
2
1
2
1
2
1
3
7
7
7
7
7
7
7
7
5
1
=
0
B
B
B
B
B
B
B
B
@
1
2
2
6
6
6
6
6
6
6
6
4
2 1 1 1
1 2 0 1
1 0 2 1
1 1 1 2
3
7
7
7
7
7
7
7
7
5
1
C
C
C
C
C
C
C
C
A
1
=
= 2
2
6
6
6
6
6
6
6
6
4
1 1
2
1
2
0
1
2
1 1
2
1
2
1
2
1
2
1 1
2
0 1
2
1
2
1
3
7
7
7
7
7
7
7
7
5
=
2
6
6
6
6
6
6
6
6
4
2 1 1 0
1 2 1 1
1 1 2 1
0 1 1 2
3
7
7
7
7
7
7
7
7
5
.
180
25. (i) Seja A 2 Mn n (R) tal que
Ak
= 0
para algum k 2 Nn f1g.
(I A) I + A + ::: + Ak 1
= I + A + ::: + Ak 1
A A2
::: Ak 1
Ak
= I Ak
= I
ou seja, I A é invertível e
(I A) 1
= I + A + ::: + Ak 1
.
(ii)
2
4
1 1 0
0 1 1
0 0 1
3
5
1
=
0
@I
2
4
0 1 0
0 0 1
0 0 0
3
5
1
A
1
=
(i)
I +
2
4
0 1 0
0 0 1
0 0 0
3
5 +
2
4
0 1 0
0 0 1
0 0 0
3
5
2
=
2
4
1 1 1
0 1 1
0 0 1
3
5
uma vez que
2
4
0 1 0
0 0 1
0 0 0
3
5
3
=
2
4
0 0 0
0 0 0
0 0 0
3
5.
26. A =
2
4
2 2 2
5 1 3
1 5 3
3
5 :
(i) A3
=
2
4
2 2 2
5 1 3
1 5 3
3
5
3
=
2
4
0 0 0
0 0 0
0 0 0
3
5
(ii) Por (i): (I A) (I + A + A2
) = I
27. a) Usando o método de eliminação de Gauss, tem-se
2
4
1 4 2 j 10
2 7 2 j 20
1 5 j 10
3
5 !
2L1+L2!L2
L1+L3!L3
2
4
1 4 2 j 10
0 1 2 j 0
0 1 2 j 0
3
5 !
L2+L3!L3
2
4
1 4 2 j 10
0 1 2 j 0
0 0 4 j 0
3
5 :
Se 6= 4 então o sistema é possível e determinado, existindo uma única solução. Se
= 4 então o sistema é possível e indeterminado, existindo um no
in…nito de soluções.
181
b) Para = 4, tem-se o sistema de equações lineares
x + 4y + 2z = 10
y 2z = 0.
,
x = 10 + 6z
y = 2z.
Colocando z = s, a solução geral do sistema é dada por: S = f(10 + 6s; 2s; s) : s 2 Rg.
28. A ; =
2
6
6
4
1 0 1 0
1 2
+
0 1
1 2
+ +
3
7
7
5 !
L2$L3
2
6
6
4
1 0 1 0
0 1
1 2
+
1 2
+ +
3
7
7
5 !
L1+L3!L3
L1+L4!L4
!
L1+L3!L3
L1+L4!L4
2
6
6
4
1 0 1 0
0 1
0 2
+ + 1
0 2
+ + 1 +
3
7
7
5 !
L2+L3!L3
L2+L4!L4
2
6
6
4
1 0 1 0
0 1
0 0 + 1 0
0 0 + 1
3
7
7
5 !
L3+L4!L4
!
L3+L4!L4
2
6
6
4
1 0 1 0
0 1
0 0 + 1 0
0 0 0
3
7
7
5.
Se = 1 e = 0 então car A = 2 e nul A = 2.
Se ( = 1 e 6= 0) ou ( 6= 1 e = 0) então car A = 3 e nul A = 1.
Se 6= 1 e 6= 0 então car A = 4 e nul A = 0.
Assim, A ; é invertível se e só se 6= 1 e 6= 0, uma vez que é só neste caso que
car A ; = no
de colunas de A ; .
29. (a) Tem-se
A =
2
6
6
4
1 0 2
2 2
4
4 0 3
8
0 2 2
3
7
7
5 !
2L1+L2!L2
4L1+L3!L3
L1+L4!L4
2
6
6
4
1 0 2
0 ( 2) 0
0 0 (2 ) (2 + ) 0
0 0 0 ( 2)
3
7
7
5 :
Logo, como car A + nul A = 4,
se = 0 então car A = 1 e nul A = 3;
se = 2 então car A = 2 e nul A = 2;
se = 2 então car A = 3 e nul A = 1;
se 6= 0 e 6= 2 e 6= 2 então car A = 4 e nul A = 0.
Assim, A é invertível se e só se 2 Rn f 2; 0; 2g, uma vez que é só nestes casos que
car A = no
de colunas de A .
182
(b) A1 j I =
=
2
6
6
4
1 0 1 2 j 1 0 0 0
2 1 1 4 j 0 1 0 0
4 0 1 8 j 0 0 1 0
1 0 1 1 j 0 0 0 1
3
7
7
5 !
2L1+L2!L2
4L1+L3!L3
L1+L4!L4
2
6
6
4
1 0 1 2 j 1 0 0 0
0 1 1 0 j 2 1 0 0
0 0 3 0 j 4 0 1 0
0 0 0 1 j 1 0 0 1
3
7
7
5 !
2L4+L1!L1
1
3
L3+L1!L1
1
3
L3+L2!L2
!
2L4+L1!L1
1
3
L3+L1!L1
1
3
L3+L2!L2
2
6
6
4
1 0 0 0 j 7
3
0 1
3
2
0 1 0 0 j 2
3
1 1
3
0
0 0 3 0 j 4 0 1 0
0 0 0 1 j 1 0 0 1
3
7
7
5 !
L4!L4
1
3
L3!L3
2
6
6
4
1 0 0 0 j 7
3
0 1
3
2
0 1 0 0 j 2
3
1 1
3
0
0 0 1 0 j 4
3
0 1
3
0
0 0 0 1 j 1 0 0 1
3
7
7
5
Logo
(A1) 1
=
2
6
6
4
7
3
0 1
3
2
2
3
1 1
3
0
4
3
0 1
3
0
1 0 0 1
3
7
7
5 :
30. (a) Ba;b =
2
6
6
4
0 0 a 1
2 2 0 a
0 0 a b
3 0 6 0
3
7
7
5 !
L1$L2
2
6
6
4
2 2 0 a
0 0 a 1
0 0 a b
3 0 6 0
3
7
7
5 !
L2$L4
!
L2$L4
2
6
6
4
2 2 0 a
3 0 6 0
0 0 a b
0 0 a 1
3
7
7
5 !3
2
L1+L2!L2
L3+L4!L4
2
6
6
4
2 2 0 a
0 3 6 3
2
a
0 0 a b
0 0 0 1 b
3
7
7
5.
Se a = 0 ou ( a 6= 0 e b = 1) então car Ba;b = 3 e nul Ba;b = 1.
Se a 6= 0 e b 6= 1 então car Ba;b = 4 e nul Ba;b = 0.
(b) [B1;0 j I] =
2
6
6
4
0 0 1 1 j 1 0 0 0
2 2 0 1 j 0 1 0 0
0 0 1 0 j 0 0 1 0
3 0 6 0 j 0 0 0 1
3
7
7
5 !
L1$L4
2
6
6
4
3 0 6 0 j 0 0 0 1
2 2 0 1 j 0 1 0 0
0 0 1 0 j 0 0 1 0
0 0 1 1 j 1 0 0 0
3
7
7
5 !2
3
L1+L2!L2
L3+L4!L4
!2
3
L1+L2!L2
L3+L4!L4
2
6
6
4
3 0 6 0 j 0 0 0 1
0 2 4 1 j 0 1 0 2
3
0 0 1 0 j 0 0 1 0
0 0 0 1 j 1 0 1 0
3
7
7
5 !
L4+L2!L2
6L3+L1!L1
!
L4+L2!L2
6L3+L1!L1
2
6
6
4
3 0 0 0 j 0 0 6 1
0 2 4 0 j 1 1 1 2
3
0 0 1 0 j 0 0 1 0
0 0 0 1 j 1 0 1 0
3
7
7
5 !1
2
L2!L2
1
3
L1!L1
183
!1
2
L2!L2
1
3
L1!L1
2
6
6
4
1 0 0 0 j 0 0 2 1
3
0 1 2 0 j 1
2
1
2
1
2
1
3
0 0 1 0 j 0 0 1 0
0 0 0 1 j 1 0 1 0
3
7
7
5 !
2L3+L2!L2
2
6
6
4
1 0 0 0 j 0 0 2 1
3
0 1 0 0 j 1
2
1
2
5
2
1
3
0 0 1 0 j 0 0 1 0
0 0 0 1 j 1 0 1 0
3
7
7
5.
Logo (B1;0) 1
=
2
6
6
4
0 0 2 1
3
1
2
1
2
5
2
1
3
0 0 1 0
1 0 1 0
3
7
7
5.
(c) Como B1;0 é invertível,
B1;0X = C , X = (B1;0) 1
C , X =
2
6
6
4
0 0 2 1
3
1
2
1
2
5
2
1
3
0 0 1 0
1 0 1 0
3
7
7
5
2
6
6
4
1
2
3
1
3
7
7
5 =
2
6
6
6
6
6
6
6
6
4
19
3
19
3
3
2
3
7
7
7
7
7
7
7
7
5
:
(d) Seja X = (x1; x2; x3; x4).
Ba;1X = D ,
2
6
6
4
0 0 a 1
2 2 0 a
0 0 a 1
3 0 6 0
3
7
7
5
2
6
6
4
x1
x2
x3
x4
3
7
7
5 =
2
6
6
4
a
0
a
6
3
7
7
5 .
A solução geral de Ba;1X = D é dada por:
(Solução particular de Ba;1X = D) + (Solução geral de Ba;1X = 0).
O vector (0; 0; 1; 0) é uma solução particular de Ba;1X = D. Determinemos a solução
geral de Ba;1X = 0.
Tem-se
2
6
6
4
0 0 a 1
2 2 0 a
0 0 a 1
3 0 6 0
3
7
7
5 !
L1+L3!L3
3
2
L2+L4!L4
2
6
6
4
0 0 a 1
2 2 0 a
0 0 0 0
0 3 6 3
2
a
3
7
7
5 !
L1$L2
L3$L4
!
L1$L2
L3$L4
2
6
6
4
2 2 0 a
0 0 a 1
0 3 6 3
2
a
0 0 0 0
3
7
7
5 !
L2$L3
2
6
6
4
2 2 0 a
0 3 6 3
2
a
0 0 a 1
0 0 0 0
3
7
7
5.
Logo,
8
<
:
2x1 + 2x2 + ax4 = 0
3x2 + 6x3
3
2
ax4 = 0
ax3 + x4 = 0
,
8
>><
>>:
x = 2x3
x2 = 2 +
a2
2
x3
x4 = ax3
184
Assim, a solução geral de Ba;1X = 0 é dada por:
( 2s; 2 +
a2
2
s; s; as) : s 2 R
Logo, a solução geral do sistema linear Ba;1X = D é dada por:
f(0; 0; 1; 0)g+ 2s; 2 +
a2
2
s; s; as : s 2 R = 2s; 2 +
a2
2
s; s 1; as : s 2 R .
Resolução Alternativa.
[Ba;1 j D] =
2
6
6
4
0 0 a 1 j a
2 2 0 a j 0
0 0 a 1 j a
3 0 6 0 j 6
3
7
7
5 !
L1+L3!L3
3
2
L2+L4!L4
2
6
6
4
0 0 a 1 j a
2 2 0 a j 0
0 0 0 0 j 0
0 3 6 3
2
a j 6
3
7
7
5 !
L1$L2
L3$L4
!
L1$L2
L3$L4
2
6
6
4
2 2 0 a j 0
0 0 a 1 j a
0 3 6 3
2
a j 6
0 0 0 0 j 0
3
7
7
5 !
L2$L3
2
6
6
4
2 2 0 a j 0
0 3 6 3
2
a j 6
0 0 a 1 j a
0 0 0 0 j 0
3
7
7
5.
Tem-se então
8
><
>:
2x + 2y + aw = 0
3y + 6z
3
2
aw = 6
az + w = a
,
8
><
>:
x = 2z 2
y = a2
2
+ 2 (z + 1)
w = a az
Logo, a solução geral do sistema linear Ba;1X = D é dada por:
2s 2;
a2
2
+ 2 (s + 1) ; s; a as : s 2 R = 2s; 2 +
a2
2
s; s 1; as : s 2 R :
185
Resolução da 1a
Ficha de exercícios facultativos
1. (i) Sejam A = (aij)m n, B = (bij)n p e C = (cij)p q.
(AB) C =
pP
l=1
nP
k=1
aikbkl clj =
pP
l=1
nP
k=1
aikbkl clj =
nP
k=1
pP
l=1
aikbkl clj =
=
nP
k=1
aik
pP
l=1
bkl clj =
nP
k=1
aik
pP
l=1
bkl clj = A (BC)
(ii) Sejam A = (aij)m n, B = (bij)n p e C = (cij)n p.
A (B + C) =
nP
k=1
aik (bkj + ckj) =
nP
k=1
aikbkj + aikckj =
=
nP
k=1
aikbkj +
nP
k=1
aikckj = AB + AC
(iii) Sejam A = (aij)m n e B = (bij)n p.
(AB)T
=
nP
k=1
aikbkj
T
=
nP
k=1
bkjaik
T
=
nP
k=1
bkiajk = BT
AT
.
2. Seja A 2 Mm n (R) tal que AT
A = 0. Então AT
A (i;i)
= 0, para todo o i = 1; :::; n.
Como
AT
A (i;i)
=
nX
k=1
(aik)2
!
tem-se ai1 = ::: = ain = 0, para todo o i = 1; :::; n. Logo A = 0.
3. Sendo A =
1 2
2 4
, tem-se
(A 5I) u = 0 ,
4 2
2 1
u= 0 , u 2 f(s; 2s) : s 2 Rg .
Logo
fu 6= 0 : Au = 5ug = f(s; 2s) : s 2 Rn f0gg :
4. Para todo o n 2 N, (prova-se por indução)
186
(i)
0 1
1 0
n
=
8
>><
>>:
( 1)k+1 0 1
1 0
, se n = 2k 1, k = 1; 2; 3:::
( 1)k
I, se n = 2k, k = 1; 2; 3:::.
(ii)
1 0
2 1
n
=
1 0
2n 1
.
(iii)
2
4
1 1 0
0 1 1
0 0 1
3
5
n
=
2
4
1 n 1 + + n 1
0 1 n
0 0 1
3
5 =
2
4
1 n n(n 1)
2
0 1 n
0 0 1
3
5.
Note que
1 + + (n 1) + (n 1) + + 1 =
= 1 + (n 1) + + (n 1) + 1
| {z }
n 1 parcelas
= n + + n| {z }
n 1 parcelas
= (n 1) n , 1 + + (n 1) =
n (n 1)
2
.
(iv)
2
6
6
4
0 1 0 0
0 0 1 0
0 0 0 1
0 0 0 0
3
7
7
5
n
=
2
6
6
4
0 0 0 0
0 0 0 0
0 0 0 0
0 0 0 0
3
7
7
5, para todo o natural n 4.
2
6
6
4
0 1 0 0
0 0 1 0
0 0 0 1
0 0 0 0
3
7
7
5
2
=
2
6
6
4
0 1 0 0
0 0 1 0
0 0 0 1
0 0 0 0
3
7
7
5,
2
6
6
4
0 1 0 0
0 0 1 0
0 0 0 1
0 0 0 0
3
7
7
5
3
=
2
6
6
4
0 0 0 1
0 0 0 0
0 0 0 0
0 0 0 0
3
7
7
5.
(v)
cos sen
sen cos
n
=
cos(n ) sen(n )
sen(n ) cos(n )
; (com 2 R).
5.
A2
= (AB) (AB) = A (BA) B = ABB = AB = A:
B2
= (BA) (BA) = B (AB) A = BAA = BA = B:
6. Seja A =
a b
c d
uma matriz 2 2 ortogonal, isto é, tal que AAT
= AT
A = I.
Tem-se
AAT
= I ,
a b
c d
a b
c d
T
= I ,
a2
+ b2
ac + bd
ac + bd c2
+ d2 =
1 0
0 1
,
187
,
8
<
:
a2
+ b2
= 1
ac + bd = 0
c2
+ d2
= 1
e
AT
A = I ,
a b
c d
T
a b
c d
= I ,
a2
+ c2
ab + cd
ab + cd b2
+ d2 =
1 0
0 1
,
,
8
<
:
a2
+ c2
= 1
ab + cd = 0
b2
+ d2
= 1.
Logo c = b.
Se c = b tem-se b (a + d) = 0 , (b = 0 ou a = d).
Se c = b tem-se b (a d) = 0 , (b = 0 ou a = d).
Deste modo
A =
a b
b a
ou A =
a b
b a
.
Por outro lado, a2
+ b2
= 1 , (a = cos e b = sen , para algum 2 R). Logo
A =
cos sen
sen cos
ou A =
cos sen
sen cos
; ( 2 R):
7. (i) A e B do tipo n n; (A + B)(A B) = A2
+ BA AB B2
:
(ii) A do tipo m n e B do tipo n m, (AB)2
= ABAB:
(iii) A e B do tipo n n; (A + B)2
= A2
+ BA + AB + B2
:
8. (i) Falsa:
1 0
2 0
0 0
3 4
= 0 mas A 6= 0 e B 6= 0.
No caso de A ser invertível, a seguinte condição é verdadeira:
AB = 0 ) (A = 0 ou B = 0)
uma vez que AB = 0 ,
A é invertível
B = 0.
(ii) Falsa:
1 2
1 2
0 0
1 1
=
1 2
1 2
2 2
0 0
mas
0 0
1 1
6=
2 2
0 0
.
No caso de A ser invertível, a seguinte condição é verdadeira:
AB = AC ) B = C
188
uma vez que
AB = AC ,
A é invertível
A 1
(AB) = A 1
(AC) ,
, A 1
A B = A 1
A C , IB = IC , B = C:
9. (i) BT
AB é simétrica:
(BT
AB)T
= BT
AT
(BT
)T
= BT
AB;
pois A = AT
(A é simétrica) e (BT
)T
= B:
(ii) Se A é normal (isto é AH
A = AAH
) e B é unitária (isto é BH
B = BBH
= I) então
BABH
BABH H
= BABH
BH H
AH
BH
= BA BH
B AH
BH
=
= BAAH
BH
= BAH
ABH
= BAH
BH
BABH
= BABH H
BABH
ou seja, BABH
é normal.
(iii) Como
BT
B
T
= BT
BT T
= BT
B e BBT T
= BT T
BT
= BBT
as matrizes BT
B e BBT
são simétricas.
Além disso, como
BH
B
H
= BH
BH H
= BH
B e BBH H
= BH H
BH
= BBH
BH
B e BBH
são matrizes hermitianas.
10. (i) Seja A = (aij) do tipo n n tal que AT
= A: Assim, em relação às respectivas
diagonais principais tem-se:
aii = aii
e logo aii = 0; para todo o i 2 N:
(ii) Seja A = (aij) do tipo n n. A matriz A AT
é anti-simétrica pois:
(A AT
)T
= AT
A = (A AT
):
(iii) Escrevendo A = 1
2
(A + AT
) + 1
2
(A AT
), a matriz A pode ser decomposta pela
soma de uma matriz simétrica com uma anti-simétrica. Esta decomposição é única: Sejam
A1 simétrica e A2 anti-simétrica tais que A = A1 + A2: Logo,
AT
= (A1 + A2)T
= A1 A2:
189
Pelo que A + AT
= 2A1 e A AT
= 2A2: Assim,
A1 =
1
2
(A + AT
) e A2 =
1
2
(A AT
):
11. Seja X =
a b
c d
uma matriz do tipo 2 2 tal que X2
= I.
X2
=
a b
c d
a b
c d
=
a2
+ bc ab + bd
ac + cd bc + d2
Logo,
X2
= I ,
8
>>>>>>>><
>>>>>>>>:
a2
+ bc = 1
ab + bd = 0
ac + cd = 0
bc + d2
= 1.
Se b = 0, então a = 1 e d = 1 e (c = 0 ou a = d). Logo,
X = I ou X = I ou X =
1 0
c 1
.
Se c = 0 então a = 1 e d = 1 e (b = 0 ou a = d). Logo,
X = I ou X = I ou X =
1 b
0 1
.
Se b 6= 0 e c 6= 0 então a = d e c = 1 a2
b
. Logo,
X =
a b
1 a2
b
a
.
Logo, todas as matrizes X que satisfazem X2
= I são:
I;
1 0
c 1
;
1 b
0 1
;
a b
1 a2
b
a
.
Observe assim que a equação matricial X2
= I tem um número in…nito de soluções em
contraste com a equação escalar x2
= 1 que tem apenas duas soluções (1 e 1).
12. Seja X =
x11 x12
x21 x22
tal que
XA = AX;
190
para todo o A =
a b
c d
2 M2 2(R). Tem-se então:
XA = AX ,
8
>>>>>>>><
>>>>>>>>:
x11a + x12c = ax11 + bx21
x21a + x22c = cx11 + dx21
x11b + x12d = ax12 + bx22
x21b + x22d = cx12 + dx22.
,
8
>>>><
>>>>:
x12c = bx21
x21(a d) = c(x22 x11)
(x11 x22)b = (d a)x12.
Se a = 1 e b = c = d = 0, então x21 = x12 = 0.
Se b = 1 e a = c = d = 0, então x21 = 0 e x11 = x22.
Se c = 1 e a = b = d = 0, então x12 = 0 e x11 = x22.
Se d = 1 e a = b = c = 0, então x21 = x12 = 0.
Logo, a matriz X tal que XA = AX; para todo o A 2 M2 2(R), é dada por:
X =
0
0
, com 2 R.
13. Sendo A uma matriz do tipo m n, seja N (A) = fX : AX = 0g.
(i) Sendo A e B matrizes de tipos apropriados, seja u 2 N (B). Logo Bu = 0, pelo que
(AB) u = A (Bu) = A0 = 0
e assim u 2 N (AB). Deste modo, tem-se
N (B) N (AB) .
(ii) Atendendo à alínea anterior N (A) N AT
A .
Vejamos que N AT
A N (A). Seja u 2 N AT
A e Au =
2
6
4
v1
...
vn
3
7
5 2 Rn
. Logo
AT
Au = AT
A u = 0
e assim
uT
AT
Au = 0 , (Au)T
(Au) = 0 ,
nX
i=1
(vi)2
= 0 , Au =
2
6
4
v1
...
vn
3
7
5 = 0
pelo que u 2 N (A).
Logo
N (A) = N AT
A .
191
(iii) Sejam A e B matrizes do tipo m n com m < n tais que ABT
é invertível. Como
f0g 6=
m<n
N (A) N BT
A
então BT
A não é invertível.
Se alguma linha de B pertencesse a N (A) isso seria equivalente a alguma coluna de BT
pertencer a N (A), ou seja, à matriz ABT
ter alguma coluna nula, o que contradiria o facto
de ABT
ser invertível.
(iv) Seja A 2 Mm n (R) tal que para todo o B 2 Rm
o sistema AX = B é possível,
então car A = m. Assim AAT
(do tipo m m) é invertível e por (ii)
N AT
= N AAT
= f0g .
14. Seja A = (aij)n n 2 Mn n(R) tal que Au = 0 para qualquer u 2 Mn 1(R).
Para cada j 2 f1; :::; ng …xo, seja ej = ( ij)n 1 2 Mn 1(R) em que ij =
1 se i = j
0 se i 6= j.
Como
Aej = 0
para todo o j 2 f1; :::; ng e por outro lado
Aej =
2
6
4
a1j
...
anj
3
7
5
para todo o j 2 f1; :::; ng, então
2
6
4
a1j
...
anj
3
7
5 =
2
6
4
0
...
0
3
7
5 para todo o j 2 f1; :::; ng pelo que A = 0.
15. Sendo A; B 2 Mn 1 (R)
A =
2
6
6
6
4
a1
a2
...
an
3
7
7
7
5
B =
2
6
6
6
4
b1
b2
...
bn
3
7
7
7
5
e assim
ABT
=
2
6
6
6
4
a1
a2
...
an
3
7
7
7
5
b1 b2 bn =
2
6
6
6
4
a1b1 a1b2 a1bn
a2b1 a2b2 a2bn
...
...
...
...
anb1 anb2 anbn
3
7
7
7
5
:
192
Como A e B são matrizes não nulas, existe i 2 f1; :::; ng tal que ai 6= 0 e existe j 2
f1; :::; ng tal que bj 6= 0, tendo-se
ABT
=
2
6
6
6
6
6
4
a1b1 a1bj a1bn
...
...
...
...
aib1 aibj aibn
...
...
...
...
anb1 anbj anbn
3
7
7
7
7
7
5
.
Aplicando sucessivamente a operação elementar
ak
ai
Li + Lk ! Lk
para todo o k = 1; :::; n com k 6= i, tem-se
2
6
6
6
6
6
6
6
6
6
4
0 0 0
...
...
...
...
...
0 0 0
aib1 aibj aibn
0 0 0
...
...
...
...
...
0 0 0
3
7
7
7
7
7
7
7
7
7
5
!
Li$L1
2
6
6
6
4
aib1 aibj aibn
0 0 0
...
...
...
...
...
0 0 0
3
7
7
7
5
com aibj 6= 0, isto é,
car(ABT
) = 1:
16. Seja A uma matriz do tipo m n tal que car A = m. Então existe uma matriz
invertível R, m m, produto de matrizes elementares (por aplicação do método de eliminação
de Gauss) tal que
RA = I B
onde I é a matriz identidade r r e B é uma matriz do tipo r (n r). Aplicando o
método de eliminação de Gauss agora às colunas de RA, existe uma matriz invertível Q do
tipo n n; (produto de matrizes elementares), tal que
RAQ = I 0
onde 0 é a matriz nula. Sendo Q1 a matriz do tipo n m que se obtém de Q considerando
apenas as primeiras m colunas, tem-se
RAQ1 = I.
Pelo que AQ1 é invertível tendo-se
AQ1R = I.
Logo existe B = Q1R do tipo n m tal que AB = I.
193
17. Sejam A e B matrizes do tipo n n.
(i) Se A fôr invertível então
AB = ABI = AB AA 1
= A (BA) A 1
isto é, existe S = A invertível tal que
AB = S (BA) S 1
ou seja, AB e BA são semelhantes. Analogamente, se B fôr invertível então AB e BA são
semelhantes.
(ii) Sendo A e B semelhantes existe S invertível tal que
A = SBS 1
,
ou seja
S 1
A = BS 1
.
Então
X 2 N (A) , AX = 0 , S 1
AX = 0 , BS 1
X = 0 , S 1
X 2 N (B) :
18. Seja A do tipo n n.
(i) Se A fôr invertível tem-se A 1
A = AA 1
= I: Logo A 1
é invertível e (A 1
) 1
= A:
(ii) Se A fôr invertível tem-se A 1
A = AA 1
= I: Logo (A 1
A)T
= (AA 1
)T
= IT
: Pelo
que
AT
(A 1
)T
= (A 1
)T
AT
= I:
Isto é, AT
é invertível e (AT
) 1
= (A 1
)T
(iii) Se A fôr invertível e simétrica tem-se A 1
A = AA 1
= I e A = AT
: Logo
(A 1
A)T
= (AA 1
)T
= IT
; e assim
AT
(A 1
)T
= (A 1
)T
AT
= I:
Pelo que, como A é simétrica, tem-se A(A 1
)T
= I: Logo, como A é invertível, tem-se
(A 1
)T
= A 1
: Isto é, A 1
é simétrica.
19. (i) Por exemplo I e I são invertíveis no entanto I + ( I) = 0 não é invertível.
(ii) Como A e B são invertíveis por hipótese, tem-se as seguintes igualdades
B 1
(A + B) = I + B 1
A e A 1
(A + B) = A 1
B + I,
194
que são respectivamente equivalentes a
B 1
(A + B) = (A 1
+ B 1
)A e A 1
(A + B) = (A 1
+ B 1
)B.
Como por hipótese A + B é invertível tem-se
I = (A 1
+ B 1
)A(A + B) 1
B e I = (A 1
+ B 1
) 1
B(A + B) 1
A.
Analogamente e partindo de:
(A + B)B 1
= I + AB 1
e (A + B)A 1
= AB 1
+ I,
obtém-se
I = B(A + B) 1
A(A 1
+ B 1
) e I = A(A + B) 1
B(A 1
+ B 1
).
Deste modo A 1
+ B 1
é invertível e
(A 1
+ B 1
) 1
= A(A + B) 1
B = B(A + B) 1
A.
20. Seja A 2 Mn n (R) tal que A2
= A (a matriz A diz-se neste caso idempotente).
(i) Como
(I A)2
= (I A) (I A) = I 2A + A2
= I 2A + A = I A
então I A é idempotente.
(ii) Como
(2A I) (2A I) = 4A2
4A + I = 4A 4A + I = I
então 2A I é invertível e
(2A I) 1
= 2A I:
(iii) Se car A = n então A é invertível pelo que A2
= A , A 1
(A2
) = A 1
A , A = I.
21.
1
2
(I + A)
2
=
1
2
(I + A) ,
1
4
I + A2
+ A + A =
1
2
(I + A) ,
,
1
4
I +
1
4
A2
+
1
4
A +
1
4
A =
1
2
I +
1
2
A , A2
= I.
22. Sendo A = (aij)n n uma matriz invertível e B = (bij)n n a inversa da A, tem-se,
para k 6= 0:
ki j
aij ki j
bij =
nX
l=1
ki l
ailkl j
blj
!
= ki j
nX
l=1
ailblj
!
= I.
195
Logo a matriz (ki j
aij) é invertível e a sua inversa é a matriz (ki j
bij).
23. Seja A =
a b
c d
do tipo 2 2. Suponhamos que a 6= 0, c 6= 0 e ad bc 6= 0. Logo,
tem-se:
A =
a b j 1 0
c d j 0 1
!
cL1!L1
aL2!L2
ac bc j c 0
ac ad j 0 a
!
L1+L2!L2
!
ac bc j c 0
0 ad bc j c a
!
bc
ad bc
L2+L1!L2
!
ac 0 j acd
ad bc
acb
ad bc
0 ad bc j c a
!1
ac
L1!L1
1
ad bc
L2!L2
1 0 j d
ad bc
b
ad bc
0 1 j c
ad bc
a
ad bc
.
Logo,
A 1
=
1
ad bc
d b
c a
.
Se a = 0 e c = 0, então A não é invertível.
Se a = 0 e c 6= 0, então b 6= 0, caso contrário A não seria invertível. Neste caso, com
a = 0, c 6= 0, b 6= 0 e ad bc 6= 0 tem-se:
A =
0 b j 1 0
c d j 0 1
!
L1 !L2
c d j 0 1
0 b j 1 0
!1
c
L1!L1
1
b
L2!L2
!
1 d
c
j 0 1
c
0 1 j 1
b
0
!
d
c
L2+L1!L1
1 0 j d
bc
1
c
0 1 j 1
b
0
=
=
1 0 j d
bc
b
bc
0 1 j c
bc
0
=
1 0 j d
ad bc
b
ad bc
0 1 j c
ad bc
a
ad bc
.
Se a 6= 0 e c = 0 seria análogo. Logo, A é invertível se e só se ad bc 6= 0 e
A 1
=
1
ad bc
d b
c a
.
Nota: O exo
foi feito apenas com o recurso ao método de Gauss-Jordan. Poderia ter
sido efectuada outra resolução atendendo à fórmula de inversão de matrizes:
A 1
=
1
jAj
(cof A)T
.
Observe que ad bc = jAj, com A =
a b
c d
do tipo 2 2.
24. A matriz 2
6
6
6
4
k1 0 0
0 k2
...
...
...
... ... 0
0 0 kn
3
7
7
7
5
196
é invertível se só se k1 6= 0; k2 6= 0; : : : ; kn 6= 0, e a sua inversa é dada por:
2
6
6
6
4
k1 0 0
0 k2
...
...
...
...
... 0
0 0 kn
3
7
7
7
5
1
=
2
6
6
6
6
4
1
k1
0 0
0 1
k2
...
...
...
... ... 0
0 0 1
kn
3
7
7
7
7
5
.
25. Sejam A = (aij); B = (bij) 2 Mn n (R) e um escalar.
(i)
tr(A + B) = tr ((aij) + (bij)) = tr(aij + bij) = a11 + b11 + ::: + ann + bnn =
= a11 + ::: + ann + b11 + ::: + bnn = tr(A) + tr(B).
(ii)
tr( A) = tr( aij) = a11 + ::: + ann = (a11 + ::: + ann) = tr(A):
(iii)
tr(AT
) = tr
0
B
@
2
6
4
a11 an1
...
...
...
a1n ann
3
7
5
1
C
A = a11 + ::: + ann = tr(A):
(iv)
tr(AB) = tr
0
B
@
2
6
4
a11 an1
...
...
...
a1n ann
3
7
5
2
6
4
b11 bn1
...
...
...
b1n bnn
3
7
5
1
C
A =
= tr
0
B
@
2
6
4
a11b11 + ::: + an1b1n a11bn1 + ::: + an1bnn
...
...
...
a1nb11 + ::: + annb1n a1nbn1 + ::: + annbnn
3
7
5
1
C
A =
= a11b11 + ::: + an1b1n + ::: + a1nbn1 + ::: + annbnn =
= b11a11 + ::: + b1nan1 + ::: + bn1a1n + ::: + bnnann =
= b11a11 + ::: + bn1a1n + ::: + b1nan1 + ::: + bnnann =
= tr
0
B
@
2
6
4
b11a11 + ::: + bn1a1n b11an1 + ::: + bn1ann
...
...
...
b1na11 + ::: + bnna1n b1nan1 + ::: + bnnann
3
7
5
1
C
A = tr(BA).
26. Seja A 2 Mn n (R). Não pode existir X 2 Mn n (R) tal que
AX XA = I
197
uma vez que
tr (AX XA) = tr (AX) tr (XA) = tr (AX) tr (AX) = 0 6= 1 = tr I
27. Sejam A e B matrizes do tipo n n tais que A é simétrica e B é anti-simétrica.
tr(AB) = tr (AB)T
= tr BT
AT
= tr ( BA) = tr (BA) = tr(AB):
tr(AB) = tr(AB) , tr(AB) = 0:
28. Seja A = (aij) 2 Mm n (R). Tem-se
tr(AT
A) = tr
0
B
@
2
6
4
a11 am1
...
...
...
a1n amn
3
7
5
2
6
4
a11 a1n
...
...
...
am1 amn
3
7
5
1
C
A =
= tr
0
B
@
2
6
4
a2
11 + ::: + a2
m1 a11a1n + ::: + am1amn
...
...
...
a1na11 + ::: + amnam1 a2
1n + ::: + a2
mn
3
7
5
1
C
A =
= a2
11 + ::: + a2
m1 + ::: + a2
1n + ::: + a2
mn.
Logo
tr(AT
A) = 0 , A = 0:
29. Sejam u; v 2 Mn 1 (R) tais que uT
v 6= 1. Seja
A = I + uvT
.
Tem-se
I
1
1 + uT v
uvT
I + uvT
= I + uvT 1
1 + uT v
uvT 1
1 + uT v
uvT
uvT
=
= I +
1 + uT
v
1 + uT v
uvT 1
1 + uT v
uvT 1
1 + uT v
u vT
u vT
=
= I +
1 + uT
v
1 + uT v
uvT 1
1 + uT v
uvT vT
u
1 + uT v
uvT
=
vT u=uT v
= I +
1 + uT
v
1 + uT v
uvT 1
1 + uT v
uvT uT
v
1 + uT v
uvT
=
= I +
1 + uT
v 1 uT
v
1 + uT v
uvT
= I.
198
Logo A é invertível e
A 1
= I
1
1 + uT v
uvT
.
Sendo u; v 2 Mn 1 (R)
u =
2
6
6
6
4
u1
u2
...
un
3
7
7
7
5
v =
2
6
6
6
4
v1
v2
...
vn
3
7
7
7
5
tem-se
uT
v = u1 u2 un
2
6
6
6
4
v1
v2
...
vn
3
7
7
7
5
= [u1v1 + u2v2 + + un]
e
tr uvT
=
2
6
6
6
4
tr
0
B
B
B
@
2
6
6
6
4
u1
u2
...
un
3
7
7
7
5
v1 v2 vn
1
C
C
C
A
3
7
7
7
5
=
=
2
6
6
6
4
tr
2
6
6
6
4
u1v1 u1v2 u1vn
u2v1 u2v2 u2vn
...
...
...
...
unv1 unv2 unvn
3
7
7
7
5
3
7
7
7
5
= [u1v1 + u2v2 + + un] .
Logo
uT
v = tr uvT
.
199
Resolução da 2a
Ficha de exercícios para as aulas de problemas
1. (i) (312645) é par pois tem 4 inversões. (ii) (234516) é par pois tem 4 inversões.
(iii) (654321) é ímpar pois tem 15 inversões. (iv) (123456) é par pois tem 0 inversões.
(v) (546321) é ímpar pois tem 13 inversões. (vi) (453261) é par pois tem 10
inversões.
(vii) (634125) é ímpar pois tem 9 inversões. (viii) (123465) é ímpar pois tem 1
inversão.
2. (i) (234516) é par pois tem 4 inversões e (312645) é par pois tem 4 inversões. Logo,
tem-se
+a23a31a42a56a14a65
uma vez que (234516) e (312645) têm a mesma paridade.
(ii) (123456) é par pois tem 0 inversões e (654321) é ímpar pois tem 15 inversões. Logo,
tem-se
a16a25a34a43a52a61
uma vez que (123456) e (654321) têm paridades diferentes.
(iii) (546321) é ímpar pois tem 13 inversões e (453261) é par pois tem 10 inversões. Logo,
tem-se
a54a45a63a32a26a11
uma vez que (546321) e (453261) têm paridades diferentes.
(iv) (123465) é ímpar pois tem 1 inversão e (634125) é ímpar pois tem 9 inversões. Logo,
tem-se
+a16a23a34a41a62a55
uma vez que (123465) e (634125) têm a mesma paridade.
3. (i) (123) é par pois tem 0 inversões e (321) é ímpar pois tem 3 inversões. Atendendo
à de…nição de determinante, tem-se
0 0 a13
0 a22 a23
a31 a32 a33
= a13a22a31
uma vez que (123) e (321) têm paridades diferentes.
200
(ii) (1234) é par pois tem 0 inversões e (4321) é par pois tem 6 inversões. Atendendo à
de…nição de determinante, tem-se
0 0 0 a14
0 0 a23 a24
0 a32 a33 a34
a41 a42 a43 a44
= a14a23a32a41
uma vez que (1234) e (4321) têm a mesma paridade.
(iii) Ao efectuar n 1 + n 2 + ::: + 2 + 1 trocas de linhas: linha 1 com cada uma das
n 1 linhas que lhe estão abaixo, nova linha 1 com cada uma das n 2 linhas que lhe estão
abaixo (excluindo a nova linha n) e assim sucessivamente, tem-se
det
2
6
6
4
0 0 a1n
0 an 1 2 an 1 n
an1 ann
3
7
7
5 = ( 1)nn 1
2 det
2
6
6
4
an1 ann
0 an 1 2 an 1 n
0 0 a1n
3
7
7
5 = ( 1)nn 1
2 a1n:::an 1 2an1
atendendo a que n 1 + n 2 + ::: + 2 + 1 = (n 1)
n 1 + 1
2
= n
n 1
2
.
4. Uma matriz é não singular se e só se é invertível e como tal, será singular se e só se
fôr não invertível.
(i)
1 2
3 4
= 4 6 = 2 6= 0, logo a matriz é invertível.
(ii)
18563 18573
21472 21482
=
18563 10
21472 10
=
18563 10
2909 0
= 29090 6= 0, logo a matriz é
invertível.
(iii)
1 +
p
2 2
p
3
2 +
p
3 1
p
2
= 1 2 (4 3) = 2 6= 0, logo a matriz é invertível.
(iv)
cos sen
sen cos
= cos2
( sen2
) = 1 6= 0, logo a matriz é invertível.
(v)
2 0 1
5 3 0
5 1 2
= 12 + 5 ( 15) = 8 6= 0, logo a matriz é invertível.
(vi)
2 3 2
5 1 3
2 1 1
= 2+18+10 4 15 ( 6) = 13 6= 0, logo a matriz é invertível.
201
(vii)
2 1 1
5 1 3
2 3 2
=
2 3 2
5 1 3
2 1 1
=
por (vi)
13 6= 0, logo a matriz é invertível.
(viii)
8 12 8
5 1 3
2 1 1
= 4
2 3 2
5 1 3
2 1 1
=
por (vi)
52 6= 0, logo a matriz é invertível.
(ix)
1 2 3
4 5 6
7 8 9
=
1 2 3
2 1 0
4 2 0
=
1 2 3
2 1 0
0 0 0
= 0, logo a matriz não é invertível.
(x)
0 1 0 0
1 0 1 0
0 1 0 1
0 0 1 0
=
0 1 0 0
1 0 0 0
0 0 0 1
0 0 1 0
=
1 0 0 0
0 1 0 0
0 0 1 0
0 0 0 1
= 1 6= 0, logo a matriz é invertível.
(xi)
2 2 8 6
0 1 2 0
0 0 3 23
0 0 0 5
= 30 6= 0, logo a matriz é invertível.
(xii)
1 3 1 1
1 2 1 1
2 1 1 1
2 0 2 0
=
1 3 1 1
0 1 2 2
2 1 1 1
2 0 2 0
= 2( 1)4+1
3 1 1
1 2 2
1 1 1
+( 2)( 1)4+3
1 3 1
0 1 2
2 1 1
=
= 2 [ 6 + 1 + ( 2) ( 1) ( 2) 6] + 2 [1 + 12 2 2] = 20 + 18 = 38 6= 0,
logo a matriz é invertível.
(xiii)
0 0 0 5
0 0 3 23
0 1 2 0
2 2 8 6
=
2 2 8 6
0 1 2 0
0 0 3 23
0 0 0 5
=
por (xi)
30 6= 0, logo a matriz é
invertível.
(xiv)
12
22
32
42
22
32
42
52
32
42
52
62
42
52
62
72
=
12
22
32
42
3 5 7 9
5 7 9 11
7 9 11 13
=
12
22
32
42
3 5 7 9
2 2 2 2
2 2 2 2
=
12
22
32
42
3 5 7 9
2 2 2 2
0 0 0 0
=
= 0, logo a matriz não é invertível.
202
(xv)
0 4 0 0 0
0 0 0 2 0
0 0 0 0 1
0 0 3 0 0
5 0 0 0 0
= 5( 1)5+1
4 0 0 0
0 0 2 0
0 0 0 1
0 3 0 0
= 5
2
44( 1)1+1
0 2 0
0 0 1
3 0 0
3
5 = 120 6= 0,
logo a matriz é invertível.
(xvi)
a 0 0 0 b
b a 0 0 0
0 b a 0 0
0 0 b a 0
0 0 0 b a
= a5
+ b5
6= 0 se e só se a 6= b, logo a matriz é invertível se e
só se a 6= b.
(xvii)
7 4 0 5
1 2 0 2
2 1 3 8
2 2 0 4
= 3 ( 1)6
7 4 5
1 2 2
2 2 4
= 3
1 2 2
2 2 4
7 4 5
= 3
1 2 2
0 6 8
0 18 19
=
= 3 (6 ( 19 + 3 8)) = 3 (6 ( 19 + 3 8)) = 3 30 = 90 6= 0, logo a matriz é
invertível.
(xviii)
9 0 6 4 2
5 3 0 1 2
8 0 4 1 1
6 0 3 1 3
7 0 5 2 3
= 3 ( 1)4
9 6 4 2
8 4 1 1
6 3 1 3
7 5 2 3
= 3
2 6 4 9
1 4 1 8
3 3 1 6
3 5 2 7
=
3
1 4 1 8
2 6 4 9
3 3 1 6
3 5 2 7
= 3
1 4 1 8
0 2 6 25
0 9 4 30
0 7 1 17
= 3
2 6 25
7 2 5
7 1 17
= 3
2 6 25
7 2 5
0 3 12
=
3
2 0 1
7 2 5
0 3 12
= 3
2 0 1
7 2 13
0 3 0
= 3 (21 78) = 171 6= 0, logo a matriz é
invertível.
(xix)
7 4 1 3 6
0 0 0 2 0
0 0 5 8 1
0 0 3 0
5 3 7 9
p
3
= 2 ( 1)6
7 4 1 6
0 0 5 1
0 0 3 0
5 3 7
p
3
=
= 2 ( 1)6
( 3)6
7 4 6
0 0 1
5 3
p
3
= 6 ( 1)5 7 4
5 3
= 6 6= 0, logo a matriz é invertível.
203
(xx)
2 1 0 0
7 3 0 2
3 1 1
3 9 0 0
= ( 1)6
2 1 0
7 3 2
3 9 0
= 2 ( 1)5 2 1
3 9
= 30 6= 0, logo a
matriz é invertível.
(xxi)
n n 1
... 2 1
n 1 n 1
... 2 1
...
...
...
2 2 2 1
1 1 1 1
=
1 1 1 1
1 2 2 2
...
...
...
1 2 n 1 n 1
1 2 n 1 n
=
=
1 1 1 1
0 1 1 1
...
...
...
0 1 n 2 n 2
0 1 n 2 n 1
= =
1 1 1
0 1
...
...
...
...
... 1
0 0 1
= 1 6= 0, logo a matriz é
invertível.
5. (i) Seja A =
2
6
6
6
6
4
0 a 0 0 0
e 0 b 0 0
0 f 0 c 0
0 0 g 0 d
0 0 0 h 0
3
7
7
7
7
5
, com a; b; c; d; e; f; g; h 2 R. Se a = 0 ou h = 0 então
det A = 0, isto é, A não é invertível. Se a 6= 0 e h 6= 0 então
det A =
0 a 0 0 0
e 0 b 0 0
0 f 0 c 0
0 0 g 0 d
0 0 0 h 0
=
0 a 0 0 0
e 0 b 0 0
0 0 0 0 0
0 0 g 0 d
0 0 0 h 0
= 0,
isto é, A não é invertível. Logo, A não é invertível para quaisquer a; b; c; d; e; f; g; h 2 R.
Em alternativa, pelo teorema de Laplace
det A = ( 1)5
f
0 0 0 0
e b 0 0
0 g 0 d
0 0 h 0
+ ( 1)7
c
0 a 0 0
e 0 b 0
0 0 g d
0 0 0 0
= 0.
(ii) Diga, para que valores de a; b; c; d; e; f; g; h; i; j 2 R, é invertível a seguinte matriz
det
2
6
6
6
6
6
6
4
0 a 0 0 0 0
f 0 b 0 0 0
0 g 0 c 0 0
0 0 h 0 d 0
0 0 0 i 0 e
0 0 0 0 j 0
3
7
7
7
7
7
7
5
= a ( 1)3
det
2
6
6
6
6
4
f b 0 0 0
0 0 c 0 0
0 h 0 d 0
0 0 i 0 e
0 0 0 j 0
3
7
7
7
7
5
=
204
= ac ( 1)5
det
2
6
6
4
f b 0 0
0 h d 0
0 0 0 e
0 0 j 0
3
7
7
5 = ace ( 1)7
det
2
4
f b 0
0 h d
0 0 j
3
5 = acefhj,
pelo que a matriz será invertível se e só se a; c; e; f; h; j 2 Rn f0g.
6. Determinemos todos os valores do escalar para os quais a matriz A I não é
invertível, isto é, todos os valores próprios de A.
(i) det (A I) =
3
2 1
= (1 + ) 6 = 2
+ 6.
Logo, det (A I) = 0 , ( = 2 ou = 3).
(ii) det (A I) =
1 0 2
0 1 2
2 2
= 1 2
+ 4 (1 + ) 4 (1 ) =
= 1 2
+ 8 . Logo, det (A I) = 0 , ( = 0 ou = 3 ou = 3).
(iii) det (A I) = det
2
4
1 1 1
1 1 1
1 1 1
3
5 = det
2
4
1 1 1
0
0
3
5 =
= det
2
4
2 1 1
0
0 0
3
5 = det
2
4
3 1 1
0 0
0 0
3
5 = ( 1)3
( 3) 2
. Logo, det (A I) =
0 , ( = 0 ou = 3).
(iv) det (A I) = det
2
6
6
6
4
1 1 1
1
... ...
...
...
... 1
1 1 1
3
7
7
7
5
n n
= det
2
6
6
6
6
6
4
n 1 1 1
0 0 0
...
... ...
...
... 0
0 0
3
7
7
7
7
7
5
=
( 1)n
( n) n 1
.
Logo, det (A I) = 0 , ( = 0 ou = n).
7.
0
1
, 2
2
1
4
1
2
,
1
0
.
205
8. a) A =
2
6
6
4
1 0 1
1 0
0 0 1 1
1 0
3
7
7
5 !
L1+L2!L2
L1+L4!L4
2
6
6
4
1 0 1
0 2
1
0 0 1 1
0 0 0 1
3
7
7
5.
Logo car A =
8
<
:
2 se = 1
3 se = 1
4 se 6= 1 e 6= 1.
A é 4 4. Logo A é invertível se e só se car A = 4. Assim, A é invertível se e só se
2 Rn f 1; 1g.
b) det (A0)n
+ (A0)n+2
= det (A0)n
I + (A0)2
=
= (det A0)n
| {z }
=1
det I + (A0)2
= det
2
6
6
4
3 0 0 1
0 2 0 0
1 0 2 1
1 0 0 2
3
7
7
5 = 20:
c) (A ) 1
(3;1)
=
1
det A
(cof A )(1;3) =
1
(1 )2
(1 + )
( 1)1+3
1 0
0 0 1
1
=
=
1 2
(1 )2
(1 + )
=
1
1
:
9. (i) A 1
=
1
det A
(cof A)T
=
1
2
4 3
2 1
T
=
2 1
3=2 1=2
(ii) A 1
=
1
det A
(cof A)T
=
1
1
2
4
1 0 0
1 1 0
0 1 1
3
5
T
=
2
4
1 1 0
0 1 1
0 0 1
3
5
(iii) A 1
=
1
det A
(cof A)T
=
1
6
2
4
18 0 6
24 0 6
4 1 1
3
5
T
=
2
4
3 4 2=3
0 0 1=6
1 1 1=6
3
5
10. (i) Tem-se
det A =
3 2 0 2
1 0 0 3
0 9 2 0
3 1 0 2
= ( 2) ( 1)3+3
3 2 2
1 0 3
3 1 2
= ( 2) (2 + 18 ( 4) 9) = 30.
206
Logo,
A 1
(2;2)
=
1
det A
(cof A)T
(2;2)
=
1
det A
(cof A)(2;2) =
1
30
( 1)2+2
3 0 2
0 2 0
3 0 2
=
4
5
.
det B =
1 0 0 2
4 0 1 0
0 1 0 3
0 1 2 2
=
1 0 0 2
0 0 1 8
0 1 0 3
0 0 2 1
= ( 1)( 1)1+1
0 1 8
1 0 3
0 2 1
= 17.
Logo,
B 1
(2;3)
=
1
det B
(cof B)T
(2;3)
=
1
det B
(cof B)(3;2) =
1
17
( 1)3+2
1 0 2
4 1 0
0 2 2
=
14
17
.
(ii) det (A + B) = det
2
6
6
4
4 2 0 4
3 0 1 3
0 10 2 3
3 2 2 4
3
7
7
5 = 134 6= 47 = 30 17 = det A +
det B
det (A B) = det
2
6
6
4
2 2 0 0
5 0 1 3
0 8 2 3
3 0 2 0
3
7
7
5 = 138 6= 13 = 30 + 17 = det A det B
11. (i) x =
1 3
3 7
2 3
5 7
=
2
1
= 2 e y =
2 1
5 3
2 3
5 7
=
1
1
= 1
(ii)
x =
1 1 0
1 0 1
1 2 2
1 1 0
2 0 1
1 2 2
=
5
5
= 1; y =
1 1 0
2 1 1
1 1 2
1 1 0
2 0 1
1 2 2
= 0 e z =
1 1 1
2 0 1
1 2 1
1 1 0
2 0 1
1 2 2
=
5
5
= 1
12. det C =
1 0 1
2 3 2
0 1 2
= 6 6= 0, logo C é invertível. det D =
9 8 1
7 3 0
2 0 0
=
6 6= 0, logo D é invertível.
207
(i) det (2C 1
) = 23 1
det C
=
4
3
(ii) det C3
(2C) 1
= (det C)3 1
23
1
det C
= (det C)2 1
8
=
9
2
(iii) det CT
2C
1
= det C 1 1
2
(C 1
)
T
=
1
23
det (C 1
) det (C 1
) =
1
23
1
det C
2
=
1
288
(iv) det CT 1
2
C 2
=
1
23
det CT
det (C 2
) =
1
23
det C
1
(det C)2 =
1
23
1
det C
=
1
48
(v) det (C2
+ 2D) = det
0
@
2
4
1 1 1
8 11 4
2 1 6
3
5 + 2
2
4
9 8 1
7 3 0
2 0 0
3
5
1
A =
= det
2
4
19 15 3
6 5 4
2 1 6
3
5 = 62
(vi) det 2CT 2
3
D3 1
DT 1
C
1
= ( 2)3
det CT 1
det 2
3
D3
1
det (DT ) 1
C
=
= 8 (det C)
3
2
3
1
(det D)3
det D
det C
= 8
1
(det D)2
27
8
=
27
36
=
3
4
.
13. det(2AT
B 3
) = 23
det AT
det(B 3
) = 8 det A
1
(det B)3 = 64
p
3.
14.
a b 0 c
d e 0 f
g h 0 i
x y 1 z
= 5 ,
a b c
d e f
g h i
= 5
(i)
d e f
g h i
a b c
= 5 (ii)
a b c
2d 2e 2f
g h i
= 10 (iii)
a + d b + e c + f
d e f
g h i
= 5
208
(iv)
2i 2h 2g
f 3c e 3b d 3a
c b a
= 10 (v)
a g d
b h e
c i f
= 5
15. (i)
a b c
6 3 0
1
2
1 1
2
=
3
2
(ii)
a b c
2a + 2 2b + 1 2c
a + 1 b + 2 c + 1
= 1
(iii)
a 1 b 2 c 1
3 3 1
1 2 1
= 1
(iv)
1 1 1
2 1 0
3a + 1 3b + 2 3c + 1
=
1 1 1
2 1 0
3a + 1 3b + 2 3c + 1
=
=
1 2 1
2 1 0
3a + 1 3b + 2 3c + 1
=
1 2 1
2 1 0
3a 3b 3c
= 3
a b c
2 1 0
1 2 1
= 3
16.
1 2
+ 2
2 = .
17.
1 1 1 1 1
+ 1 2 2 2 2
+ 1 + 2 3 3 3
+ 1 + 2 + 3 4 4
+ 1 + 2 + 3 + 4 5
+ 1 + 2 + 3 + 4 + 5
=
1 1 1 1 1
0 1 1 1 1
0 0 1 1 1
0 0 0 1 1
0 0 0 0 1
0 0 0 0 0
= 6
.
18.
: : :
1 + 1 1 : : : 1
... 1 + 1
...
... 1
... 1
...
...
... + 1 1
1 1 1 : : : 1 + 1
=
0 0 : : : 0
1 0 : : : 0
... 0
...
... 0
... 0
...
...
... 0
1 0 0 : : : 0
= n
.
209
19. Sejam 6= 0 e A = (aij)n n.
det i j
aij =
a11
1
a12
1
2 a13 : : : 1
n 2 a1 n 1
1
n 1 a1n
a21 a22
1
a23 : : : 1
n 3 a2 n 1
1
n 2 a2n
... a32 a33
...
... a43
... 1
an 2 n 1
...
...
... an 1 n 1
1
an 1 n
n 1
an1
n 2
an2
n 3
an3 : : : an n 1 ann
=
=
1
:::
1
n 2
1
n 1
n 1
a11
n 2
a12
n 3
a13 : : : a1 n 1 a1n
n 1
a21
n 2
a22
n 3
a23 : : : a2 n 1 a2n
... n 2
a32
n 3
a33
...
... n 3
a43
... an 2 n 1
...
...
... an 1 n 1 an 1 n
n 1
an1
n 2
an2
n 3
an3 : : : an n 1 ann
=
=
1
:::
1
n 2
1
n 1
n 1 n 2
:::
a11 a12 a13 : : : a1 n 1 a1n
a21 a22 a23 : : : a2 n 1 a2n
... a32 a33
...
... a43
... an 2 n 1
...
...
... an 1 n 1 an 1 n
an1 an2 an3 : : : an n 1 ann
= det A.
20. Seja
A =
2
4
1 a a2
1 b b2
1 c c2
3
5 ,
com a; b; c 2 R. A matriz A é invertível se e só se det A 6= 0. Tem-se
det A =
1 a a2
1 b b2
1 c c2
=
1 a a2
0 b a b2
a2
0 c a c2
a2
= 0
se a = b ou a = c. Se a 6= b e a 6= c então
det A =
1 a a2
1 b b2
1 c c2
=
1 a a2
0 b a b2
a2
0 c a c2
a2
=
1 a a2
0 b a b2
a2
0 0 c2
a2
(c a)(b + a)
=
=
1 a a2
0 b a b2
a2
0 0 (c a) [(c + a) (b + a)]
=
1 a a2
0 b a b2
a2
0 0 (c a) (c b)
= 0
se b = c.
210
Logo, a matriz A é invertível se e só se a 6= b; a 6= c e b 6= c.
21. (i)
1 1 1
x1 y1 y1
x2 x2 y2
=
1 0 0
x1 y1 x1 y1 x1
x2 0 y2 x2
= (y1 x1) ( 1)2+2
det
1 0
x2 y2 x2
= (y1 x1) (y2 x2) .
(ii)
det
2
6
6
4
(x1)3
(x1)2
x1 1
(x2)3
(x2)2
x2 1
(x3)3
(x3)2
x3 1
(x4)3
(x4)2
x4 1
3
7
7
5 = det
2
6
6
4
1 x1 (x1)2
(x1)3
1 x2 (x2)2
(x2)3
1 x3 (x3)2
(x3)3
1 x4 (x4)2
(x4)3
3
7
7
5 =
= det
2
6
6
4
1 x1 (x1)2
(x1)3
(x1)3
0 x2 x1 (x2)2
(x1)2
(x2)3
(x1)3
0 x3 x1 (x3)2
(x1)2
(x3)3
(x1)3
0 x4 x1 (x4)2
(x1)2
(x4)3
(x1)3
3
7
7
5 =
= (x4 x1) (x3 x1) (x2 x1) det
2
6
6
4
1 x1 (x1)2
(x1)3
(x1)3
0 1 x2 + x1 x2
1 + x1x2 + x2
2
0 1 x3 + x1 x2
1 + x1x3 + x2
3
0 1 x4 + x1 x2
1 + x1x4 + x2
4
3
7
7
5 =
= (x4 x1) (x3 x1) (x2 x1) det
2
6
6
4
1 x1 (x1)2
(x1)3
(x1)3
0 1 x2 + x1 x2
1 + x1x2 + x2
2
0 0 x3 x2 x1 (x3 x2) + x2
3 x2
2
0 0 x4 x2 x1 (x4 x2) + x2
4 x2
2
3
7
7
5 =
= (x4 x1) (x3 x1) (x2 x1) (x3 x2) (x4 x2) det
2
6
6
4
1 x1 (x1)2
(x1)3
(x1)3
0 1 x2 + x1 x2
1 + x1x2 + x2
2
0 0 1 x1 + x3 + x2
0 0 1 x1 + x4 + x2
3
7
7
5 =
= (x4 x1) (x3 x1) (x2 x1) (x3 x2) (x4 x2) det
2
6
6
4
1 x1 (x1)2
(x1)3
(x1)3
0 1 x2 + x1 x2
1 + x1x2 + x2
2
0 0 1 x1 + x3 + x2
0 0 0 x4 x3
3
7
7
5 =
= (x4 x1) (x3 x1) (x2 x1) (x3 x2) (x4 x2) (x4 x3) =
= (x1 x2) (x1 x3) (x1 x4) (x2 x3) (x2 x4) (x3 x4)
22. (i)
b + c c + a b + a
a b c
1 1 1
=
a + b + c a + b + c a + b + c
a b c
1 1 1
=
0 0 0
a b c
1 1 1
= 0
211
(ii)
a1 + b1 a1 b1 c1
a2 + b2 a2 b2 c2
a3 + b3 a3 b3 c3
=
2a1 a1 b1 c1
2a2 a2 b2 c2
2a3 a3 b3 c3
=
2a1 b1 c1
2a2 b2 c2
2a3 b3 c3
= 2
a1 b1 c1
a2 b2 c2
a3 b3 c3
(iii)
a1 b1 a1 + b1 + c1
a2 b2 a2 + b2 + c2
a3 b3 a3 + b3 + c3
=
a1 b1 c1
a2 b2 c2
a3 b3 c3
23.
a1 + b1 c1 + d1
a2 + b2 c2 + d2
= (a1 + b1) (c2 + d2) (a2 + b2) (c1 + d1) =
= a1c2 a2c1 + a1d2 b2c1 + b1c2 a2d1 + b1d2 b2d1 =
=
a1 c1
a2 c2
+
a1 c1
b2 d2
+
b1 d1
a2 c2
+
b1 d1
b2 d2
:
24.
0 0 2
2 1 1
0 0 5
=
0 0 2
2 1 1
0 0 0
= 0 e
4 2 2
2 1 1
0 0 5
=
0 0 0
2 1 1
0 0 5
= 0
25. O coe…ciente de x3
na expressão
2x x 1 2
1 x 1 1
3 2 x 1
1 1 1 x
é 1, uma vez que as permutações
correspondentes ao produto x 1 x x| {z }
=x3
são (1234)
| {z }
par
(a das linhas) e (2134)
| {z }
ímpar
(a das colunas):
26. (i)
1 x 1
0 1 1
1 0 2
= 0 ,
1 x 0
0 1 1
1 0 1
= 0 , 1 + x = 0 , x = 1
(ii)
x x x x
x 4 x x
x x 4 x
x x x 4
= 0 ,
x x x x
0 4 x 0 0
0 0 4 x 0
0 0 0 4 x
= 0 , x (4 x)3
= 0 , (x = 0 ou x = 4)
(iii)
x 1 1 1
1 x 1 1
1 1 x 1
1 1 1 x
= 0 ,
x 1 1 1
0 x 1 0 1 x
0 0 x 1 1 x
1 1 1 x
= 0 ,
212
,
x 1 x 1 x 1 x
0 x 1 0 1 x
0 0 x 1 1 x
1 0 0 x 1
= 0 ,
0 1 x 1 x 1 x2
0 x 1 0 1 x
0 0 x 1 1 x
1 0 0 x 1
= 0 ,
,
0 0 0 3 2x x2
0 x 1 0 1 x
0 0 x 1 1 x
1 0 0 0
= 0 ,
0 0 0 3 2x x2
0 x 1 0 0
0 0 x 1 0
1 0 0 0
= 0 ,
,
1 0 0 0
0 x 1 0 0
0 0 x 1 0
0 0 0 3 2x x2
= 0 , (x 1)2
(3 2x x2
) = 0 , (x = 1 ou x = 3)
27.
5 3 3
7 1 5
8 7 1
=
5 53 3
7 71 5
8 87 1
=
5 53 533
7 71 715
8 87 871
. Como 533; 715 e 871 são múltiplos de
13 então a 3a
coluna é também múltipla de 13. Logo
5 3 3
7 1 5
8 7 1
é múltiplo de 13.
28.
2 1 8
1 0 10
3 7 4
=
2 1 8 + ( 3) 1
1 0 10 + ( 3) 0
3 7 4 + ( 3) ( 7)
=
2 1 5
1 0 10
3 7 25
. Como a 3a
coluna é múltipla de 5, logo
2 1 5
1 0 10
3 7 25
é múltiplo de 5.
29. Seja A = (aij)n n com n ímpar e tal que aij + aji = 0, para todos os i; j = 1; :::; n:
Mostre que A não é invertível.
Dem. (aij + aji = 0, para todos os i; j = 1; :::; n), AT
= A. Logo
det A = det AT
= det ( A) = ( 1)n
det A =
n é ímpar
det A , det A = 0:
Pelo que A não é invertível.
30. Se A (real) fôr ortogonal então det A = 1 ou det A = 1:
Dem. Sendo A ortogonal, tem-se
AT
A = AAT
= I
213
pelo que
(det A)2
= det A det A = det AT
det A = det AT
A = det I = 1 ,
, (det A = 1 ou det A = 1) .
Sendo A unitária, tem-se
AH
A = AAH
= I
pelo que
jdet Aj2
= det A det A = det AH
det A = det AH
A = det I = 1 ,
, jdet Aj = 1.
214
Resolução da 3a
Ficha de exercícios para as aulas de problemas
1. (i) Seja U = f(x; y) 2 R2
: x 0g. Por exemplo:
(1; 1) 2 U, mas ( 1)(1; 1) = ( 1; 1) =2 U.
Logo, U não é subespaço de R2
.
(ii) Seja U = f(x; y) 2 R2
: xy = 0g. Por exemplo:
(1; 0); (0; 1) 2 U, mas (1; 0) + (0; 1) = (1; 1) =2 U.
Logo, U não é subespaço de R2
.
(iii) Seja U = f(x; y) 2 R2
: y = x2
g. Por exemplo:
(1; 1) 2 U, mas 2(1; 1) = (2; 2) =2 U.
Logo, U não é subespaço de R2
.
2. Atendendo às respectivas dimensões, os seguintes subespaços de R2
, com as operações
usuais, são todos os subespaços de R2
.
(i) f(0; 0)g é subespaço de R2
.
(ii) Seja Vk = f(x; kx) : x 2 Rg com k 2 R (…xo). Vk 6= ? pois (0; 0) 2 Vk. Sejam
(x1; kx1); (x2; kx2) 2 Vk e 2 R. Tem-se
(x1; kx1) + (x2; kx2) = (x1 + x2; k (x1 + x2)) 2 Vk
e, com (x; kx) 2 Vk,
(x; kx) = ( x; k ( x)) 2 Vk.
Logo, para todo o k 2 R, Vk é subespaço de R2
.
Em alternativa, uma vez que
Vk = L (f(1; k)g) ,
para todo o k 2 R, conclui-se que Vk é subespaço de R2
(para todo o k 2 R).
(iii) Seja U = f(0; a) : a 2 Rg. U 6= ? pois (0; 0) 2 U. Sejam (0; a1) ; (0; a2) 2 U e
2 R. Tem-se
(0; a1) + (0; a2) = (0; a1 + a2) 2 U
e, com (0; a) 2 U,
(0; a) = (0; a) 2 U.
Logo, U é subespaço de R2
.
Em alternativa, uma vez que
U = L (f(0; 1)g) ,
conclui-se que U é subespaço de R2
.
215
(iv) R2
é subespaço de R2
.
3. Uk é subespaço de R3
se e só se k = 0.
4. (i) Seja U = f(x; y; z) 2 R3
: z = 2g. Ora (0; 0; 0) =2 U. Logo, U não é subespaço de
R3
.
(ii) Seja U = f(x; y; z) 2 R3
: x + y z = 0g. Tem-se
U = f(x; y; x + y) : x; y 2 Rg .
Uma vez que
(x; y; x + y) = (x; 0; x) + (0; y; y) = x(1; 0; 1) + y(0; 1; 1),
para quaisquer x; y 2 R, tem-se:
U = L (f(1; 0; 1); (0; 1; 1)g) .
Logo, U é subespaço de R3
.
Alternativamente, note que U = N (A) é subespaço de R3
, com A = 1 1 1 :
(iii) Seja U = f(x; y; z) 2 R3
: x > 0g. Ora (0; 0; 0) =2 U. Logo, U não é subespaço de
R3
.
(iv) Seja U = f(0; 0; z) : z 2 Rg. Uma vez que (0; 0; z) = z(0; 0; 1), para qualquer z 2 R,
tem-se:
U = L (f(0; 0; 1)g) .
Logo, U é subespaço de R3
.
(v) Seja U = f(x; y; z) 2 R3
: y = 2x e z = 3xg. Tem-se U = f(x; 2x; 3x) : x 2 Rg.
Uma vez que (x; 2x; 3x) = x(1; 2; 3), para qualquer x 2 R, tem-se:
U = L (f(1; 2; 3)g) .
Logo, U é subespaço de R3
.
Alternativamente, note que U = N (A) é subespaço de R3
, com A =
2 1 0
3 0 1
:
(vi) Seja U = f(x; y; z) 2 R3
: x + y = 1g. Ora (0; 0; 0) =2 U. Logo, U não é subespaço
de R3
.
(vii) Seja U = f(x; y; z) 2 R3
: x + y + z = 0 e x y z = 0g. Tem-se
U = f(0; y; y) : y 2 Rg .
Uma vez que
(0; y; y) = y(0; 1; 1),
para qualquer y 2 R, tem-se:
U = L (f(0; 1; 1)g) .
216
Logo, U é subespaço de R3
.
Alternativamente, note que U = N (A) é subespaço de R3
, com A =
1 1 1
1 1 1
:
(viii) Seja U = f(x; y; z) 2 R3
: x = y ou y = zg. Tem-se:
U = (x; y; z) 2 R3
: x = y [ (x; y; z) 2 R3
: y = z
Por exemplo:
(1; 1; 2); (1; 2; 2) 2 U, mas (1; 1; 2) + (1; 2; 2) = (2; 3; 4) =2 U.
Logo, U não é subespaço de R3
.
(ix) Seja U = f(x; y; z) 2 R3
: x y = 0 e 2y + z = 0g. Tem-se
U = f(x; x; 2x) : x 2 Rg .
Uma vez que
(x; x; 2x) = x(1; 1; 2),
para qualquer x 2 R, tem-se:
U = L (f(1; 1; 2)g) .
Logo, U é subespaço de R3
.
Alternativamente, note que U = N (A) é subespaço de R3
, com A =
1 1 0
0 2 1
:
(x) Seja U = f(x; y; z) 2 R3
: xy = 0g. Por exemplo:
(1; 0; 1); (0; 1; 0) 2 U, mas (1; 0; 1) + (0; 1; 0) = (1; 1; 1) =2 U.
Logo, U não é subespaço de R3
.
O conjunto de todos os polinómios reais de grau igual a n:
U = fa0 + a1t + + antn
2 Pn : a0; a1; :::; an 2 R e an 6= 0g ,
com as operações usuais, não é um espaço linear. Por exemplo: o polinómio nulo p(t) = 0 =2
U.
5. Seja P2 o espaço linear de todos os polinómios reais de variável real e de grau menor
ou igual a 2, com as operações usuais:
(i) Seja U = fa0 + a1t + a2t2
2 P2 : a0 = 0g. Tem-se
U = a1t + a2t2
: a1; a2 2 R = L t; t2
.
Logo, U é subespaço de P2.
(ii) Seja U = fa0 + a1t + a2t2
2 P2 : a2 = 2a0 e a1 = 0g. Tem-se
U = a0 + 2a0t2
: a0 2 R .
217
Uma vez que
a0 + 2a0t2
= a0(1 + 2t2
),
para qualquer a0 2 R, tem-se:
U = L 1 + 2t2
.
Logo, U é subespaço de P2.
(iii) Seja U = fa0 + a1t + a2t2
2 P2 : a1 = 1g. Por exemplo: o polinómio nulo p(t) =
0 =2 U. Logo, U não é subespaço de P2.
(iv) Seja U = fa0 + a1t + a2t2
2 P2 : a2 a1 = 2g. Por exemplo: o polinómio nulo
p(t) = 0 =2 U. Logo, U não é subespaço de P2.
(v) Seja U = fa0 + a1t + a2t2
2 P2 : a2 a1 + 2a0 = 0g. Tem-se
U = a0 + a1t + (a1 2a0) t2
: a0; a1 2 R .
Uma vez que
a0 + a1t + (a1 2a0) t2
= a0(1 2t2
) + a1(t + t2
),
para quaisquer a0; a1 2 R, tem-se:
U = L 1 2t2
; t + t2
.
Logo, U é subespaço de P2.
6. Seja M2 3(R) o espaço linear de todas as matrizes do tipo 2 3 com entradas reais.
(i) Seja U =
a b c
d 0 0
2 M2 3(R) : b = a + c . Tem-se
U =
a a + c c
d 0 0
: a; c; d 2 R .
Uma vez que
a a + c c
d 0 0
= a
1 1 0
0 0 0
+ c
0 1 1
0 0 0
+ d
0 0 0
1 0 0
,
para quaisquer a; c; d 2 R, tem-se:
U = L
1 1 0
0 0 0
;
0 1 1
0 0 0
;
0 0 0
1 0 0
.
Logo, U é subespaço de M2 3(R).
(ii) Seja U =
a b c
d 0 f
2 M2 3(R) : b < 0 . Por exemplo: a matriz nula
0 0 0
0 0 0
=2 U.
218
Logo, U não é subespaço de M2 3(R).
(iii) Seja U =
a b c
d e f
2 M2 3(R) : a = 2c e f = 2e + d . Tem-se
U =
2c b c
d e 2e + d
: b; c; d; e 2 R .
Uma vez que
2c b c
d e 2e + d
= b
0 1 0
0 0 0
+ c
2 0 1
0 0 0
+ d
0 0 0
1 0 1
+ e
0 0 0
0 1 2
,
para quaisquer b; c; d; e 2 R, tem-se:
U = L
0 1 0
0 0 0
;
2 0 1
0 0 0
;
0 0 0
1 0 1
;
0 0 0
0 1 2
.
Logo, U é subespaço de M2 3(R). :
7. (i) Seja A =
1 1
0 0
. Tem-se C(A) = L (f(1; 0)g) e L(A) = L (f(1; 1)g).
Seja u = (x; y) 2 R2
. Atendendo a que
1 1
0 0
x
y
= 0 , x y = 0,
o núcleo de A é dado por:
N(A) = u 2 R2
: Au = 0 = (x; y) 2 R2
: x y = 0 =
= f(x; x) : x 2 Rg = fx(1; 1) : x 2 Rg = L (f(1; 1)g) .
(ii) Seja A =
1 2 3
0 0 0
. Tem-se C(A) = L (f(1; 0)g) e L(A) = L (f(1; 2; 3)g).
Seja u = (x; y; z) 2 R3
. Atendendo a que
1 2 3
0 0 0
2
4
x
y
z
3
5 = 0 , x + 2y + 3z = 0,
o núcleo de A é dado por:
N(A) = u 2 R3
: Au = 0 = (x; y; z) 2 R3
: x + 2y + 3z = 0 =
= f( 2y 3z; y; z) : y; z 2 Rg = fy( 2; 1; 0) + z( 3; 0; 1) : y; z 2 Rg
= L (f( 2; 1; 0); ( 3; 0; 1)g) .
219
(iii) Seja A =
0 0 0
0 0 0
. Tem-se C(A) = f(0; 0)g e L(A) = f(0; 0; 0)g.
O núcleo de A é dado por: N(A) = R3
.
(iv) Seja A =
2
4
2 1 1
0 0 1
0 0 0
3
5. Tem-se
C(A) = L (f(2; 0; 0); (1; 1; 0)g) e L(A) = L (f(2; 1; 1); (0; 0; 1)g) :
Seja u = (x; y; z) 2 R3
. Atendendo a que
2
4
2 1 1
0 0 1
0 0 0
3
5
2
4
x
y
z
3
5 = 0 ,
8
<
:
2x + y + z = 0
z = 0
o núcleo de A é dado por:
N(A) = u 2 R3
: Au = 0 = (x; y; z) 2 R3
: 2x + y + z = 0 e z = 0 =
= f(x; 2x; 0) : x 2 Rg = fx(1; 2; 0) : x 2 Rg = L (f(1; 2; 0)g) .
(v) Seja A =
2
4
1 0
2 3
2 1
3
5. Tem-se
C(A) = L (f(1; 2; 2); (0; 3; 1)g) e L(A) = L (f(1; 0); (2; 3)g) ,
pois
(2; 1) =
4
3
(1; 0) +
1
3
(2; 3).
Seja u = (x; y) 2 R2
. Atendendo a que
2
4
1 0
2 3
2 1
3
5 x
y
= 0 ,
8
>>>><
>>>>:
x = 0
2x + 3y = 0
2x + y = 0
o núcleo de A é dado por:
N(A) = u 2 R2
: Au = 0 = (x; y) 2 R2
: x = 0 e 2x + 3y = 0 e 2x + y = 0 = f(0; 0)g .
(vi) Seja A =
2
4
1 2
2 4
2 4
3
5. Tem-se
C(A) = L (f(1; 2; 2)g) e L(A) = L (f(1; 2)g) .
220
Seja u = (x; y) 2 R2
. Atendendo a que
2
4
1 2
2 4
2 4
3
5 x
y
= 0 ,
8
<
:
x + 2y = 0
2x + 4y = 0
o núcleo de A é dado por:
N(A) = u 2 R2
: Au = 0 = (x; y) 2 R2
: x + 2y = 0 =
= f( 2y; y) : y 2 Rg = fy( 2; 1) : y 2 Rg = L (f( 2; 1)g) .
(vii) Seja A =
2
4
0 0
0 0
0 0
3
5. Tem-se
C(A) = f(0; 0; 0)g e L(A) = f(0; 0)g .
O núcleo de A é dado por:
N(A) = R2
.
(viii) Seja A =
2
4
1 0 1
2 3 0
2 1 0
3
5. Tem-se
C(A) = L (f(1; 2; 2); (0; 3; 1); (1; 0; 0)g) e L(A) = L (f(1; 0; 1); (2; 3; 0); (2; 1; 0)g) .
Seja u = (x; y; z) 2 R3
. Atendendo a que
2
4
1 0 1
2 3 0
2 1 0
3
5
2
4
x
y
z
3
5 = 0 ,
2
4
1 0 1
0 1 2
0 0 4
3
5
2
4
x
y
z
3
5 = 0 ,
8
>>>><
>>>>:
x + z = 0
y 2z = 0
4z = 0
o núcleo de A é dado por:
N(A) = u 2 R3
: Au = 0 = f(0; 0; 0)g .
Observação: Como N(A) = f(0; 0; 0)g e sendo A quadrada 3 3, tem-se L(A) = C(A) = R3
.
8. Seja
U =
8
<
:
2
4
a 0
b c
0 d
3
5 2 M3 2(R) : a; b; c; d 2 R
9
=
;
.
Uma vez que
2
4
a 0
b c
0 d
3
5 = a
2
4
1 0
0 0
0 0
3
5 + b
2
4
0 0
1 0
0 0
3
5 + c
2
4
0 0
0 1
0 0
3
5 + d
2
4
0 0
0 0
0 1
3
5 ,
221
com a; b; c; d 2 R, tem-se
U = L
0
@
8
<
:
2
4
1 0
0 0
0 0
3
5 ;
2
4
0 0
1 0
0 0
3
5 ;
2
4
0 0
0 1
0 0
3
5 ;
2
4
0 0
0 0
0 1
3
5
9
=
;
1
A .
9. Considere, no espaço linear R3
, os vectores v1 = (1; 2; 1), v2 = (1; 0; 2) e v3 = (1; 1; 0).
Tem-se
(i) (3; 3; 0) = 0(1; 2; 1) + 0(1; 0; 2) + 3(1; 1; 0)
(ii) (2; 1; 5) = 1(1; 2; 1) + 2(1; 0; 2) + ( 1)(1; 1; 0)
(iii) ( 1; 2; 0) = 2(1; 2; 1) + ( 1)(1; 0; 2) + ( 2)(1; 1; 0)
(iv) (1; 1; 1) = 1
3
(1; 2; 1) + 1
3
(1; 0; 2) + 1
3
(1; 1; 0).
10. Considere, no espaço linear R4
, os vectores v1 = (1; 0; 0; 1), v2 = (1; 1; 0; 0) e
v3 = (0; 1; 2; 1). Tem-se
2
6
6
4
1 1 0 j 1 j 2 j 1 j 0
0 1 1 j 4 j 0 j 1 j 1
0 0 2 j 2 j 2 j 2 j 1
1 0 1 j 2 j 2 j 2 j 0
3
7
7
5 !
L1+L4!L4
2
6
6
4
1 1 0 j 1 j 2 j 1 j 0
0 1 1 j 4 j 0 j 1 j 1
0 0 2 j 2 j 2 j 2 j 1
0 1 1 j 3 j 0 j 1 j 0
3
7
7
5 !
L2+L4!L4
!
L2+L4!L4
2
6
6
4
1 1 0 j 1 j 2 j 1 j 0
0 1 1 j 4 j 0 j 1 j 1
0 0 2 j 2 j 2 j 2 j 1
0 0 0 j 1 j 0 j 0 j 1
3
7
7
5 : (*)
Logo, (2; 0; 2; 2); (1; 1; 2; 2) 2 L (fv1; v2; v3g), com
(2; 0; 2; 2) = (1; 0; 0; 1) + (1; 1; 0; 0) + (0; 1; 2; 1)
(1; 1; 2; 2) = 3(1; 0; 0; 1) + ( 2)(1; 1; 0; 0) + ( 1)(0; 1; 2; 1).
Atendendo a (*), ( 1; 4; 2; 2); (0; 1; 1; 0) =2 L (fv1; v2; v3g).
11. Tem-se
2
4
3 2 j 1
0 1 j 2
2 5 j k
3
5 !2
3
L1+L3!L3
2
4
3 2 j 1
0 1 j 2
0 11=3 j k + 2=3
3
5 !11
3
L2+L3!L3
2
4
3 2 j 1
0 1 j 2
0 0 j k + 8
3
5 :
Logo, 8 é o único valor de k para o qual o vector u = (1; 2; k) 2 R3
é combinação
linear dos vectores
v = (3; 0; 2) e w = (2; 1; 5):
222
12. Considere, no espaço linear P2, os vectores p1(t) = 2 + t + 2t2
, p2(t) = 2t + t2
,
p3(t) = 2 5t + 5t2
e p4(t) = 2 3t t2
. O vector
q(t) = 2 + t + t2
pertence à expansão linear L (fp1(t); p2(t); p3(t); p4(t)g)? Podem os vectores p1(t), p2(t),
p3(t) e p4(t) gerar P2? Tem-se
2
4
2 0 2 2 j 2
1 2 5 3 j 1
2 1 5 1 j 1
3
5 !1
2
L1+L2!L2
L1+L3!L3
2
4
2 0 2 2 j 2
0 2 6 2 j 0
0 1 3 1 j 1
3
5 !1
2
L2+L3!L3
!
2
4
2 0 2 2 j 2
0 2 6 2 j 0
0 0 0 0 j 1
3
5 . (**)
Atendendo a (**), q(t) = 2 + t + t2
=2 L (fp1(t); p2(t); p3(t); p4(t)g). Logo,
fp1(t); p2(t); p3(t); p4(t)g não pode gerar P2:
13. (i) Seja U = f(1; 0; 0); (0; 1; 0); (0; 0; 1)g. Seja (x; y; z) 2 R3
. Tem-se
(x; y; z) = x(1; 0; 0) + y(0; 1; 0) + z(0; 0; 1).
Logo, U gera R3
.
(ii) Seja U = f(1; 1; 1); (0; 1; 1); (0; 0; 1)g. Seja (x; y; z) 2 R3
. Tem-se
(x; y; z) = x(1; 1; 1) + (y x) (0; 1; 1) + (z y) (0; 0; 1).
Logo, U gera R3
.
(iii) Seja U = f(1; 1; 1) ; ( 1; 1; 1); (1; 1; 1); ( 1; 1; 1)g. Seja (x; y; z) 2 R3
. Deter-
minemos os valores dos escalares 1; 2; 3; 4 para os quais se tem
2
4
x
y
z
3
5 = 1
2
4
1
1
1
3
5 + 2
2
4
1
1
1
3
5 + 3
2
4
1
1
1
3
5 + 4
2
4
1
1
1
3
5 .
Ora a última igualdade é equivalente a
2
4
x
y
z
3
5 =
2
4
1 1 1 1
1 1 1 1
1 1 1 1
3
5
2
6
6
4
1
2
3
4
3
7
7
5 .
2
4
1 1 1 1 j x
1 1 1 1 j y
1 1 1 1 j z
3
5 !
L1+L2!L2
L1+L3!L3
2
4
1 1 1 1 j x
0 2 2 0 j y x
0 0 2 2 j z x
3
5 .
223
Logo 8
>>>>>>>><
>>>>>>>>:
1 = 1
2
x + 1
2
y + s
2 = 1
2
y 1
2
z + s
3 = 1
2
x 1
2
z + s
4 = s, s 2 R
e assim
2
4
x
y
z
3
5 =
1
2
x +
1
2
y + s
2
4
1
1
1
3
5+
1
2
y
1
2
z + s
2
4
1
1
1
3
5+
1
2
x
1
2
z + s
2
4
1
1
1
3
5+s
2
4
1
1
1
3
5 ,
com s 2 R. Logo, U gera R3
.
14.
3 1
1 1
= 1A+ 2B+ 3C = 1 1 + 2 3
1 + 2 2 3
,
8
>><
>>:
1 = 3
1 + 2 3 = 1
1 + 2 = 1
2 3 = 1
,
8
<
:
1 = 3
2 = 2
3 = 1.
Logo
3 1
1 1
= 3
1 1
1 0
2
0 0
1 1
0 2
0 1
.
Seja U = L
1 1
1 0
;
0 0
1 1
;
0 2
0 1
.
Existe D 2 M2 2 (R) tal que D =2 U uma vez que
U M2 2 (R) e dim U| {z }
3
< dim M2 2 (R)
| {z }
=4
.
Seja
a b
c d
2 U. Tem-se
a b
c d
2 U se e só se existirem escalares ; ; 2 R tais
que
a b
c d
= A + B + C.
a b
c d
= A + B + C ,
a b
c d
= 1 1 + 2 3
1 + 2 2 3
,
8
>><
>>:
1 = a
1 + 2 3 = b
1 + 2 = c
2 3 = d
2
6
6
4
1 0 0 j a
1 0 2 j b
1 1 0 j c
0 1 1 j d
3
7
7
5 !
L1+L2!L2
L1+L3!L3
2
6
6
4
1 0 0 j a
0 0 2 j b a
0 1 0 j c a
0 1 1 j d
3
7
7
5 !
L3+L4!L4
1
2
L2+L4!L4
224
!
L3+L4!L4
1
2
L2+L4!L4
2
6
6
4
1 0 0 j a
0 0 2 j b a
0 1 0 j c a
0 0 0 j d + 1
2
(b + a) c
3
7
7
5 !
L2$L3
2
6
6
4
1 0 0 j a
0 1 0 j c a
0 0 2 j b a
0 0 0 j d + 1
2
(b + a) c.
3
7
7
5
Logo, para que o sistema linear anterior seja possível é necessário que se tenha
d +
1
2
(b + a) c = 0.
Deste modo podemos escrever
U =
a b
c d
2 M2 2 (R) : d +
1
2
(b + a) c = 0
e assim, sendo V =
a b
c d
2 M2 2 (R) : d + 1
2
(b + a) c 6= 0 , tem-se
M2 2 (R) = U V .
Ou seja, qualquer vector de V que não seja o vector nulo, esse vector não pertence a U. Por
exemplo
1 1
1 1
=2 U = L
1 1
1 0
;
0 0
1 1
;
0 2
0 1
.
15. Sejam
u = (2; 1; 0); v = (1; 1; 2) e w = (0; 3; 4):
O vector (a; b; c) de R3
pertencerá a L (fu; v; wg) se existirem ; ; 2 R tais que
(a; b; c) = (2; 1; 0) + (1; 1; 2) + (0; 3; 4),
isto é, se o seguinte sistema (nas variáveis , e ) fôr possível e determinado:
8
<
:
2 + = a
+ 3 = b
2 4 = c.
Considerando então a matriz aumentada deste sistema, tem-se:
2
4
2 1 0 j a
1 1 3 j b
0 2 4 j c
3
5 !1
2
L1+L2!L2
2
4
2 1 0 j a
0 3=2 3 j b a=2
0 2 4 j c
3
5 !4
3
L2+L3!L3
!4
3
L2+L3!L3
2
4
2 1 0 j a
0 3=2 3 j b a
2
0 0 0 j c + 4
3
b 2
3
a
3
5 .
Assim, o vector (a; b; c) de R3
pertencerá a L (fu; v; wg) se:
c +
4
3
b
2
3
a = 0.
225
Observação: Deste modo, tem-se L (fu; v; wg) 6= R3
. De facto, uma vez que
v =
1
2
u
1
2
w
tem-se L (fu; v; wg) = L (fu; wg) e como tal fu; v; wg não pode gerar R3
.
16. Sejam
A =
1 1 5
2 3 13
e B =
2
4
1 1 1
4 3 1
3 1 3
3
5 :
Tem-se
A =
1 1 5
2 3 13
!
2L1+L2!L2
1 1 5
0 1 3
= A0
e
B =
2
4
1 1 1
4 3 1
3 1 3
3
5 !
4L1+L2!L2
3L1+L3!L3
2
4
1 1 1
0 1 3
0 2 6
3
5 !
2L2+L3!L3
2
4
1 1 1
0 1 3
0 0 0
3
5 = B0
.
Atendendo ao método de eliminação de Gauss:
L(A) = L(A0
) e L(B) = L(B0
).
Além disso, uma vez que
(1; 1; 1) = (1; 1; 5) 2(0; 1; 3),
tem-se
L(A) = L(A0
) = L(B0
) = L(B).
Finalmente, como se tem sempre
C(AT
) = L(A) e L(B) = C(BT
),
conclui-se que C(AT
) = C(BT
).
17. (i) Seja U = f(x; y; z; w) 2 R4
: x = 0 e y = zg. Tem-se
U = f(0; z; z; w) : z; w 2 Rg .
Atendendo a que
(0; z; z; w) = z(0; 1; 1; 0) + w(0; 0; 0; 1),
tem-se
U = L (f(0; 1; 1; 0); (0; 0; 0; 1)g) .
(ii) Seja U = f(x; y; z; w) 2 R4
: x + y + z + w = 0g. Tem-se
U = f( y z w; y; z; w) : y; z; w 2 Rg .
226
Atendendo a que
( y z w; y; z; w) = y( 1; 1; 0; 0) + z( 1; 0; 1; 0) + w( 1; 0; 0; 1),
tem-se
U = L (f( 1; 1; 0; 0); ( 1; 0; 1; 0); ( 1; 0; 0; 1)g) .
(iii) Seja U = f(x; y; z; w) 2 R4
: x + 2y z = 0 e x + y + 2w = 0 e y z + w = 0g.
Observe-se que
U = N(A), com A =
2
4
1 2 1 0
1 1 0 2
0 1 1 1
3
5 .
Tem-se
A =
2
4
1 2 1 0
1 1 0 2
0 1 1 1
3
5 !
L1+L2!L2
2
4
1 2 1 0
0 1 1 2
0 1 1 1
3
5 !
L2+L3!L3
2
4
1 2 1 0
0 1 1 2
0 0 0 3
3
5 = A0
.
Logo, U = N(A) = N(A0
). Assim,
U = (x; y; z; w) 2 R4
: x + 2y z = 0 e y + z + 2w = 0 e 3w = 0 =
= f( z; z; z; 0) : z 2 Rg = fz( 1; 1; 1; 0) : z 2 Rg = L (f( 1; 1; 1; 0)g) .
18. (i) Seja U = L (f1 t2
; 1 + tg) um subespaço de P2. Seja p (t) 2 U, com p (t) =
a0 + a1t + a2t2
. Então, existirão ; 2 R tais que
p (t) = a0 + a1t + a2t2
= 1 t2
+ (1 + t) .
Tem-se então a matriz aumentada
2
4
1 1 j a0
0 1 j a1
1 0 j a2
3
5 !
L1+L3 !L3
2
4
1 1 j a0
0 1 j a1
0 1 j a0 + a2
3
5 !
L2+L3 !L3
2
4
1 1 j a0
0 1 j a1
0 0 j a0 + a2 a1
3
5 .
Logo, para que o sistema linear anterior seja possível é preciso que a0 + a2 a1 = 0. Assim,
U = p (t) = a0 + a1t + a2t2
2 P2 : a0 + a2 a1 = 0 .
(ii) Seja U = L (f(1; 0; 1); (0; 1; 0); ( 2; 1; 2)g). Seja (x; y; z) 2 U. Então, existirão
; ; 2 R tais que
(x; y; z) = (1; 0; 1) + (0; 1; 0) + ( 2; 1; 2).
Tem-se então a matriz aumentada
2
4
1 0 2 j x
0 1 1 j y
1 0 2 j z
3
5 !
L1+L3 !L3
2
4
1 0 2 j x
0 1 1 j y
0 0 0 j z x
3
5 .
227
Assim,
U = (x; y; z) 2 R3
: z x = 0 .
Observação extra: U = L (f(1; 0; 1); (0; 1; 0); ( 2; 1; 2)g) = L (f(1; 0; 1); (0; 1; 0)g),
uma vez que
( 2; 1; 2) = ( 2)(1; 0; 1) + (0; 1; 0).
(iii) Seja V = L (f(0; 1; 0); ( 2; 1; 2)g). Seja (x; y; z) 2 V . Então, existirão ; 2 R
tais que
(x; y; z) = (0; 1; 0) + ( 2; 1; 2).
Tem-se então a matriz aumentada
2
4
0 2 j x
1 1 j y
0 2 j z
3
5 !
L1 !L2
2
4
1 1 j y
0 2 j x
0 2 j z
3
5 !
L2+L3 !L3
2
4
1 1 j y
0 2 j x
0 0 j z x
3
5 .
Assim,
V = (x; y; z) 2 R3
: z x = 0 .
Observação extra: V = L (f(0; 1; 0); ( 2; 1; 2)g) = L (f(1; 0; 1); (0; 1; 0)g), uma vez
que
( 2; 1; 2) = ( 2)(1; 0; 1) + (0; 1; 0) e (1; 0; 1) =
1
2
( 2; 1; 2) +
1
2
(0; 1; 0).
(iv) Seja W = L (f(1; 1; 2); (2; 1; 1)g). Seja (x; y; z) 2 V . Então, existirão ; 2 R tais
que
(x; y; z) = (1; 1; 2) + (2; 1; 1).
Tem-se então a matriz aumentada
2
4
1 2 j x
1 1 j y
2 1 j z
3
5 !
L1+L2!L2
2L1+L3!L3
2
4
1 2 j x
0 1 j y x
0 3 j z 2x
3
5 !
3L2+L3!L3
2
4
1 2 j x
0 1 j y x
0 0 j z 3y + x
3
5 .
Assim,
W = (x; y; z) 2 R3
: x 3y + z = 0 .
Observação extra: W = L (f(3; 1; 0); ( 1; 0; 1)g) = L (f(1; 1; 2); (2; 1; 1)g), uma vez
que
(3; 1; 0) = 2(2; 1; 1) + ( 1)(1; 1; 2), ( 1; 0; 1) = (1; 1; 2) + ( 1)(2; 1; 1)
e
(1; 1; 2) = (3; 1; 0) + 2( 1; 0; 1), (2; 1; 1) = (3; 1; 0) + ( 1; 0; 1).
(v) Seja U = L (f(1; 0; 1; 1)g). Seja (x; y; z; w) 2 U. Então, existirá 2 R tal que
(x; y; z; w) = (1; 0; 1; 1).
228
Tem-se então a matriz aumentada
2
6
6
4
1 j x
0 j y
1 j z
1 j w
3
7
7
5 !
L1+L3 !L3
L1+L4 !L4
2
6
6
4
1 j x
0 j y
0 j x + z
0 j w x
3
7
7
5 .
Assim,
U = (x; y; z; w) 2 R4
: y = 0 e x + z = 0 e w x = 0 .
(vi) Seja U = L (f(1; 2; 5; 3); (2; 4; 6; 2); (3; 6; 11; 1); (0; 0; 1; 2)g). Como
(3; 6; 11; 1) = (1; 2; 5; 3)+(2; 4; 6; 2) e (0; 0; 1; 2) =
1
2
(1; 2; 5; 3)
1
4
(2; 4; 6; 2)
então
U = L (f(1; 2; 5; 3); (2; 4; 6; 2)g) .
Seja (x; y; z; w) 2 U. Então, existirão ; 2 R tais que
(x; y; z; w) = (1; 2; 5; 3) + (2; 4; 6; 2).
Tem-se então a matriz aumentada
2
6
6
4
1 2 j x
2 4 j y
5 6 j z
3 2 j w
3
7
7
5 !
2L1+L2 !L2
5L1+L3 !L3
3L1+L4 !L4
2
6
6
4
1 2 j x
0 0 j 2x + y
0 4 j 5x + z
0 8 j 3x + w
3
7
7
5 !
2L3+L4 !L4
.
!
2L3+L4 !L4
2
6
6
4
1 2 j x
0 0 j 2x + y
0 4 j 5x + z
0 0 j 7x + 2z + w
3
7
7
5 !
L2$L3
2
6
6
4
1 2 j x
0 4 j 5x + z
0 0 j 2x + y
0 0 j 7x + 2z + w
3
7
7
5 :
Assim,
U = (x; y; z; w) 2 R4
: 2x + y = 0 e 7x + 2z + w = 0 .
19. Podemos colocar os vectores do conjunto f( 1; 1; 3); ( 2; 2; 9)g como colunas de
uma matriz A e de seguida aplicar a essa matriz o método de eliminação de Gauss. Se
1 6= 0, tem-se
A =
2
4
1 2
1 2
3 9
3
5 !
1
1
L1+L2!L2
3
1
L1+L3!L3
2
6
6
6
6
6
6
6
4
1 2
0 1
1
2 + 2
0
3
1
2 + 9
3
7
7
7
7
7
7
7
5
= A0
.
As colunas da matriz A correspondentes às colunas da matriz em escada A0
que contêm
os pivots, formam um conjunto de vectores linearmente independente. Logo, o conjunto
229
f( 1; 1; 3); ( 2; 2; 9)g é linearmente independente se 1 6= 0 e 2 6= 1
1
2 ou 2
1
6= 3 .
Se 1 = 0, tem-se
2
4
0 2
1 2
3 9
3
5 !
L1$L3
2
4
3 9
1 2
0 2
3
5 !
1
3
L1+L2!L2
2
4
3 9
0 3 1 + 2
0 2
3
5 .
Logo, o conjunto f( 1; 1; 3); ( 2; 2; 9)g é linearmente independente se 1 = 0 e ( 2 6= 3 1
ou 2 6= 0). Assim, o conjunto f( 1; 1; 3); ( 2; 2; 9)g é linearmente independente se e só se
1 6= 0 e 2 6= 1
1
2 ou
2
1
6= 3 ou ( 1 = 0 e ( 2 6= 3 1 ou 2 6= 0)) .
20. (i) Podemos colocar os vectores do conjunto f(4; 2; 1); (2; 6; 5); (1; 2; 3)g como
colunas de uma matriz A e de seguida aplicar a essa matriz o método de eliminação de
Gauss:
A =
2
4
4 2 1
2 6 2
1 5 3
3
5 !
L1$L3
2
4
1 5 3
2 6 2
4 2 1
3
5 !
2L1+L2!L2
4L1+L3!L3
!
2
4
1 5 3
0 16 8
0 22 11
3
5 !1
8
L2!L2
1
11
L3!L3
2
4
1 5 3
0 2 1
0 2 1
3
5 !
L2+L3!L3
2
4
1 5 3
0 2 1
0 0 0
3
5 = A0
.
As colunas da matriz A correspondentes às colunas da matriz em escada A0
que contêm
os pivots, formam um conjunto de vectores linearmente independente. Logo, o conjunto
f(4; 2; 1); (2; 6; 5); (1; 2; 3)g é linearmente dependente, mas o conjunto f(4; 2; 1); (2; 6; 5)g
é linearmente independente. Procuremos então ; 2 R tais que
(1; 2; 3) = (4; 2; 1) + (2; 6; 5).
Atendendo ao que já se fez e considerando a 3a
coluna como o termo independente do sistema,
tem-se 8
>>>><
>>>>:
4 + 2 = 1
2 + 6 = 2
5 = 3
,
8
<
:
5 = 3
2 = 1
,
8
<
:
= 1
2
= 1
2
.
Pelo que
(1; 2; 3) =
1
2
(4; 2; 1)
1
2
(2; 6; 5).
(ii) Podemos colocar os vectores do conjunto
f(1; 2; 1); (3; 2; 5)g
230
como colunas de uma matriz e de seguida aplicar a essa matriz o método de eliminação de
Gauss.
A =
2
4
1 3
2 2
1 5
3
5 !
2L1+L2!L2
L1+L3!L3
2
4
1 3
0 4
0 8
3
5 !
2L2+L3!L3
2
4
1 3
0 4
0 0
3
5 = A0
As colunas da matriz A correspondentes às colunas da matriz em escada A0
que contêm
os pivots, formam um conjunto de vectores linearmente independente. Logo, o conjunto
f(1; 2; 1); (3; 2; 5)g é linearmente independente.
(iii) Podemos colocar os vectores do conjunto f(1; 2; 3); (1; 1; 1); (1; 0; 1)g como colunas
de uma matriz A e de seguida aplicar a essa matriz o método de eliminação de Gauss.
A =
2
4
1 1 1
2 1 0
3 1 1
3
5 !
2L1+L2!L2
3L1+L3!L3
2
4
1 1 1
0 1 2
0 2 2
3
5 !
2L2+L3!L3
2
4
1 1 1
0 1 2
0 0 2
3
5 = A0
.
As colunas da matriz A correspondentes às colunas da matriz em escada A0
que contêm
os pivots, formam um conjunto de vectores linearmente independente. Logo, o conjunto
f(1; 2; 3); (1; 1; 1); (1; 0; 1)g é linearmente independente.
Observação extra: encontrámos três vectores de R3
linearmente independentes. Como
a dimensão de R3
é 3, então o conjunto f(1; 2; 3); (1; 1; 1); (1; 0; 1)g é desde logo uma base de
R3
, sem ser preciso veri…car se gera R3
.
(iv) O conjunto f(1; 0; 1); (0; 0; 0); (0; 1; 1)g contém o vector nulo, logo é linearmente de-
pendente. Facilmente se vê que f(1; 0; 1); (0; 1; 1)g é linearmente independente. Facilmente
também se vê que
(0; 0; 0) = 0(1; 0; 1) + 0(0; 1; 1).
(v) Como a dimensão de R3
é 3, então qualquer conjunto de vectores de R3
com mais
do que três vectores é linearmente dependente. O conjunto
f(1; 1; 0); (0; 2; 3); (1; 2; 3); (x; y; z)g
é formado por quatro vectores de R3
, logo é linearmente dependente para quaisquer x; y; z 2
R.
Resolução alternativa para veri…car a dependência linear: Podemos colocar os
vectores do conjunto f(1; 1; 0); (0; 2; 3); (1; 2; 3); (x; y; z)g como colunas de uma matriz A e
de seguida aplicar a essa matriz o método de eliminação de Gauss.
A =
2
4
1 0 1 x
1 2 2 y
0 3 3 z
3
5 !
L1+L2!L2
2
4
1 0 1 x
0 2 1 y x
0 3 3 z
3
5 !3
2
L2+L3!L3
!3
2
L2+L3!L3
2
4
1 0 1 x
0 2 1 y x
0 0 3
2
z 3
2
(y x)
3
5 = A0
.
231
As colunas da matriz A correspondentes às colunas da matriz em escada A0
que contêm os
pivots, formam um conjunto de vectores linearmente independente. Logo, o conjunto
f(1; 1; 0); (0; 2; 3); (1; 2; 3); (x; y; z)g
é linearmente dependente para quaisquer x; y; z 2 R, mas o conjunto f(1; 1; 0); (0; 2; 3); (1; 2; 3)g
é linearmente independente.
Observação extra: encontrámos três vectores de R3
linearmente independentes. Como
a dimensão de R3
é 3, então o conjunto f(1; 1; 0); (0; 2; 3); (1; 2; 3)g é desde logo uma base de
R3
, sem ser preciso veri…car se gera R3
.
Procuremos então ; ; 2 R tais que
(x; y; z) = (1; 1; 0) + (0; 2; 3) + (1; 2; 3).
Atendendo ao que já se fez e considerando a 4a
coluna como o termo independente do sistema,
tem-se
8
>>>><
>>>>:
+ = x
+ 2 + = y
3 + 3 = z
,
8
>>>><
>>>>:
+ = x
2 + = y x
3
2
= z 3
2
(y x)
,
8
>>>><
>>>>:
= x 2
3
z + y
= (y x) 1
3
z
= 2
3
z y + x.
Pelo que
(x; y; z) = x
2
3
z + y (1; 1; 0) + (y x)
1
3
z (0; 2; 3) +
2
3
z y + x (1; 2; 3).
21. Podemos colocar os vectores do conjunto f(a2
; 0; 1); (0; a; 2); (1; 0; 1)g como colunas
de uma A matriz e de seguida aplicar a essa matriz o método de eliminação de Gauss.
A =
2
4
a2
0 1
0 a 0
1 2 1
3
5 !
L1$L3
2
4
1 2 1
0 a 0
a2
0 1
3
5 !
a2L1+L3!L3
!
a2L1+L3!L3
2
4
1 2 1
0 a 0
0 2a2
1 a2
3
5 !
2aL2+L3!L3
2
4
1 2 1
0 a 0
0 0 1 a2
3
5 = A0
.
As colunas da matriz A correspondentes às colunas da matriz em escada A0
que contêm os
pivots, formam um conjunto de vectores linearmente independente. Logo, o conjunto
Sa = (a2
; 0; 1); (0; a; 2); (1; 0; 1)
é linearmente independente se e só se a =2 f 1; 0; 1g. Logo, uma vez que dim R3
= 3 e Sa
tem 3 vectores, Sa será uma base de R3
se e só se a =2 f 1; 0; 1g.
232
22. Sejam U = L (f(1; 1; 0; 0); (0; 1; 1; 0)g) e Vk = L (f(2; k; 1; 0); (0; 0; 0; 1)g) subespaços
de R4
: Determine os valores de k para os quais dim (U  Vk) = 1. Coloquemos os vectores
geradores de U e de V como colunas da matriz:
2
6
6
4
1 0 2 0
1 1 k 0
0 1 1 0
0 0 0 1
3
7
7
5 !
L2$L3
2
6
6
4
1 0 2 0
0 1 1 0
1 1 k 0
0 0 0 1
3
7
7
5 !
L1+L3!L3
!
L1+L3!L3
2
6
6
4
1 0 2 0
0 1 1 0
0 1 k 2 0
0 0 0 1
3
7
7
5 !
L2+L3!L3
2
6
6
4
1 0 2 0
0 1 1 0
0 0 k 3 0
0 0 0 1
3
7
7
5 .
Note que U + Vk = L (U [ Vk). Como
dim (U  Vk) = dim U + dim Vk dim (U + Vk) = 2 + 2 dim (U + Vk) = 4 dim (U + Vk)
e
dim (U + Vk) =
3 se k = 3
4 se k 6= 3
então dim (U  Vk) = 1 se e só se k = 3.
23. (i) Seja (x; y; z) 2 R3
. Podemos colocar os vectores do conjunto
f(1; 0; 2); (0; 1; 2); (x; y; z)g
como colunas de uma matriz A e de seguida aplicar a essa matriz o método de eliminação
de Gauss.
A =
2
4
1 0 x
0 1 y
2 2 z
3
5 !
2L1+L3!L3
2
4
1 0 x
0 1 y
0 2 z 2x
3
5 !
2L2+L3!L3
2
4
1 0 x
0 1 y
0 0 z 2x 2y
3
5 = A0
.
As colunas da matriz A correspondentes às colunas da matriz em escada A0
que contêm
os pivots, formam um conjunto de vectores linearmente independente. Qualquer conjunto
f(1; 0; 2); (0; 1; 2); (x; y; z)g em que z 2x 2y 6= 0 constitui uma base de R3
.
(ii) Seja (x; y; z) 2 R3
. Podemos colocar os vectores do conjunto
f(2; 1; 1); ( 4; 2; 1); (x; y; z)g
como colunas de uma matriz A e de seguida aplicar a essa matriz o método de eliminação
de Gauss.
A =
2
4
2 4 x
1 2 y
1 1 z
3
5 !1
2
L1+L2!L2
1
2
L1+L3!L3
2
4
2 4 x
0 0 y + x
2
0 3 z x
2
3
5 !
L2$L3
2
4
2 4 x
0 3 z x
2
0 0 y + x
2
3
5 = A0
.
233
As colunas da matriz A correspondentes às colunas da matriz em escada A0
que contêm os
pivots, formam um conjunto de vectores linearmente independente. Logo, qualquer conjunto
f(2; 1; 1); ( 4; 2; 1); (x; y; z)g
em que y + x
2
6= 0 constitui uma base de R3
.
(iii) Seja (x; y; z) 2 R3
. Podemos colocar os vectores do conjunto
f( 1; 2; 1); (1; 0; 1); (x; y; z)g
como colunas de uma matriz A e de seguida aplicar a essa matriz o método de eliminação
de Gauss.
A =
2
4
1 1 x
2 0 y
1 1 z
3
5 !
2L1+L2!L2
L1+L3!L3
2
4
1 1 x
0 2 y + 2x
0 0 z + x
3
5 = A0
.
As colunas da matriz A correspondentes às colunas da matriz em escada A0
que contêm os
pivots, formam um conjunto de vectores linearmente independente. Logo, qualquer conjunto
f( 1; 2; 1); (1; 0; 1); (x; y; z)g
em que z + x 6= 0 constitui uma base de R3
.
24. (i) Seja
S = cos2
t; sen2
t; cos 2t .
O conjunto S é linearmente dependente, pois:
cos 2t = cos2
t sen2
t.
Mas, o conjunto
S0
= cos2
t; sen2
t
é linearmente independente pois se tivermos ; 2 R tais que
cos2
t + sen2
t = 0,
para todo o t 2 R, então se …zermos t = 2
obtemos = 0 e a seguir se …zermos t = 0
obtemos = 0. Logo, = = 0. Pelo que, o conjunto S0
= fcos2
t; sen2
tg é uma base de
L(S), pois gera L(S) e é linearmente independente. E então,
dim L(S) = 2.
(ii) Seja
S = 2; sen2
t; cos2
t .
O conjunto S é linearmente dependente, pois:
2 = 2 cos2
t + 2 sen2
t.
234
Mas, o conjunto
S0
= cos2
t; sen2
t
é linearmente independente pois se tivermos ; 2 R tais que
cos2
t + sen2
t = 0,
para todo o t 2 R, então se …zermos t = 2
obtemos = 0 e a seguir se …zermos t = 0
obtemos = 0. Logo, = = 0. Pelo que, o conjunto S0
= fcos2
t; sen2
tg é uma base de
L(S), pois gera L(S) e é linearmente independente. E então,
dim L(S) = 2.
(iii) Seja
S = et
; e t
; cosh t .
O conjunto S é linearmente dependente, pois:
cosh t =
et
+ e t
2
.
Mas, o conjunto
S0
= et
; e t
é linearmente independente pois se tivermos ; 2 R tais que
et
+ e t
= 0,
para todo o t 2 R, então se …zermos t = 0 obtemos + = 0 e a seguir se …zermos t = 1
obtemos e1
+ e 1
= 0. Logo, = = 0. Pelo que, o conjunto S0
= fet
; e t
g é uma base
de L(S), pois gera L(S) e é linearmente independente. E então,
dim L(S) = 2.
(iv) Seja
S = 1; t; t2
; (t + 1)2
.
O conjunto S é linearmente dependente, pois:
dim P2 = 3 e S tem 4 vectores.
Mas, o conjunto
S0
= 1; t; t2
é linearmente independente pois trata-se da base canónica de P2. Logo,
L(S) = P2 e dim L(S) = dim P2 = 3.
25. Seja V o espaço linear de todas as funções reais de variável real. Sejam f; g; h 2 V ,
com f (t) = sen t, g (t) = cos t e h (t) = t. Vejamos que o conjunto ff; g; hg é linearmente
independente. Sejam ; ; 2 R tais que
f + g + h = 0.
235
Note que
f + g + h = 0 , f (t) + g (t) + h (t) = 0, para todo o t 2 R ,
, sen t + cos t + t = 0, para todo o t 2 R.
Para t = 0, t = , t =
2
tem-se respectivamente as seguintes equações
8
>>>>><
>>>>>:
sen 0 + cos 0 + 0 = 0
sen + cos + = 0
sen
2
+ cos
2
+
2
= 0
,
8
>>>>><
>>>>>:
= 0
+ = 0
+
2
= 0
,
8
<
:
= 0
= 0
= 0.
Logo = = = 0, e assim o conjunto ff; g; hg é linearmente independente.
Observação. Como ff; gg ff; g; hg, as funções sen t e cos t são linearmente indepen-
dentes.
26. (i) Podemos colocar os vectores do conjunto f(1; 3); (1; 1)g como colunas de uma
matriz A e de seguida aplicar a essa matriz o método de eliminação de Gauss:
A =
1 1
3 1
!
3L1+L2!L2
1 1
0 4
= A0
.
As colunas da matriz A correspondentes às colunas da matriz em escada A0
que contêm
os pivots, formam um conjunto de vectores linearmente independente. Logo, o conjunto
formado pelos vectores das colunas 1 e 2 da matriz A:
f(1; 3); (1; 1)g
é linearmente independente. Temos assim, dois vectores de R2
linearmente independentes.
Como a dimensão de R2
é 2, então o conjunto B = f(1; 3); (1; 1)g é desde logo uma
base de R2
. (Não foi preciso veri…car se B gera R2
). Isto é, B é base de L(B) = R2
e
dim L(B) = dim R2
= 2.
Determinemos agora as coordenadas do vector (0; 1) em relação à base
B = f(1; 3); (1; 1)g
de R2
. Isto é, queremos encontrar ; 2 R tais que
(0; 1) = (1; 3) + (1; 1).
Formando a matriz aumentada do sistema, tem-se
1 1 j 0
3 1 j 1
!
3L1+L2!L2
1 1 j 0
0 4 j 1
.
Logo, 8
<
:
+ = 0
4 = 1
,
8
<
:
= 1
4
= 1
4
236
e assim,
(0; 1) =
1
4
(1; 3) +
1
4
(1; 1).
Finalmente e ainda em relação à base B de R2
, o vector cujas coordenadas são (0; 1) nessa
base, é dado por:
0(1; 3) + ( 1)(1; 1) = ( 1; 1).
(ii) O conjunto S = f(0; 0); (1; 2)g contém o vector nulo, logo o conjunto é linearmente
dependente, pelo que não pode ser base de R2
. No entanto, S0
= f(1; 2)g é linearmente
independente e S0
é base de L(S0
) = L(S). Logo, dim L(S) = 1.
(iii) O conjunto S = f(2; 4)g não pode ser base de R2
uma vez que tem só um vector e
qualquer base de R2
tem sempre dois vectores (pois dim R2
= 2). No entanto, S = f(2; 4)g
é linearmente independente e S é base de L(S). Logo, dim L(S) = 1.
(iv) Facilmente se vê que o conjunto B = f( 5; 0); (0; 2)g é linearmente independente.
Temos assim, dois vectores de R2
linearmente independentes. Como a dimensão de R2
é 2,
então o conjunto B = f( 5; 0); (0; 2)g é desde logo uma base de R2
. (Não foi preciso veri…car
se B gera R2
).
Determinemos agora as coordenadas do vector (0; 1) em relação à base
B = f( 5; 0); (0; 2)g
de R2
. Isto é, queremos encontrar ; 2 R tais que
(0; 1) = ( 5; 0) + (0; 2).
Facilmente se vê que = 1
2
e = 0. Isto é,
(0; 1) = 0( 5; 0) +
1
2
(0; 2).
Finalmente e ainda em relação à base B de R2
, o vector cujas coordenadas são (0; 1) nessa
base, é dado por:
0( 5; 0) + ( 1)(0; 2) = (0; 2).
(v) Como a dimensão de R2
é 2, então qualquer conjunto de vectores de R2
com mais do
que 2 vectores é linearmente dependente. O conjunto S = f(1; 2); (2; 3); (3; 2)g é formado
por três vectores de R2
, logo é linearmente dependente e como tal não pode ser uma base
de R2
. No entanto, podemos colocar os vectores do conjunto S = f(1; 2); (2; 3); (3; 2)g
como colunas de uma matriz A e de seguida aplicar a essa matriz o método de eliminação
de Gauss:
A =
1 2 3
2 3 2
!
2L1+L2!L2
1 2 3
0 7 4
= A0
.
As colunas da matriz A correspondentes às colunas da matriz em escada A0
que contêm
os pivots, formam um conjunto de vectores linearmente independente. Logo, o conjunto
formado pelos vectores das colunas 1 e 2 da matriz A:
B = f(1; 2); (2; 3)g
237
é linearmente independente. Temos assim, dois vectores de R2
linearmente independentes.
Como a dimensão de R2
é 2, então o conjunto B = f(1; 2); (2; 3)g é desde logo uma base
de R2
. (Não foi preciso veri…car se B gera R2
).
Determinemos agora as coordenadas do vector (0; 1) em relação à base
B = f(1; 2); (2; 3)g
de R2
. Isto é, queremos encontrar ; 2 R tais que
(0; 1) = f(1; 2) + (2; 3)g .
Formando a matriz aumentada do sistema, tem-se
1 2 j 0
2 3 j 1
!
2L1+L2!L2
1 2 j 0
0 7 j 1
.
Logo, 8
<
:
+ 2 = 0
7 = 1
,
8
<
:
= 2
7
= 1
7
e assim,
(0; 1) =
2
7
(1; 2) +
1
7
(2; 3).
Finalmente e ainda em relação à base B de R2
, o vector cujas coordenadas são (0; 1) nessa
base, é dado por:
0(1; 2) + ( 1)(2; 3) = ( 2; 3).
(vi) B2
c = f(1; 0); (0; 1)g é a base canónica de R2
. As coordenadas do vector (0; 1) em
relação à base B2
c são precisamente 0 e 1. Ainda em relação à base B2
c , o vector cujas
coordenadas nessa base são (0; 1) é precisamente o vector (0; 1).
27. (i) O conjunto f(1; 2; 3); (0; 0; 0); (0; 1; 2)g contém o vector nulo, logo o conjunto é
linearmente dependente, pelo que não pode ser base. Mas,
L (f(1; 2; 3); (0; 0; 0); (0; 1; 2)g) = L (f(1; 2; 3); (0; 1; 2)g)
e facilmente se vê que o conjunto f(1; 2; 3); (0; 1; 2)g é linearmente independente. Logo,
dim L (f(1; 2; 3); (0; 0; 0); (0; 1; 2)g) = 2
e o conjunto f(1; 2; 3); (0; 1; 2)g é uma base de L (f(1; 2; 3); (0; 0; 0); (0; 1; 2)g).
(ii) Facilmente se vê que o conjunto f(1; 2; 0); (0; 1; 1)g é linearmente independente.
Logo, o conjunto f(1; 2; 0); (0; 1; 1)g é uma base de L (f(1; 2; 0); (0; 1; 1)g) e
dim L (f(1; 2; 0); (0; 1; 1)g) = 2.
238
(iii) Podemos colocar os vectores do conjunto f(3; 2; 2); ( 1; 2; 1); (0; 1; 0)g como colunas
de uma matriz A e de seguida aplicar a essa matriz o método de eliminação de Gauss:
A =
2
4
3 1 0
2 2 1
2 1 0
3
5 !2
3
L1+L2!L2
2
3
L1+L3!L3
2
4
3 1 0
0 8=3 1
0 5=3 0
3
5 !5
8
L2+L3!L3
2
4
3 1 0
0 8=3 1
0 0 5=8
3
5 = A0
.
As colunas da matriz A correspondentes às colunas da matriz em escada A0
que contêm
os pivots, formam um conjunto de vectores linearmente independente. Logo, o conjunto
f(3; 2; 2); ( 1; 2; 1); (0; 1; 0)g é linearmente independente. Temos assim, três vectores de R3
linearmente independentes. Como a dimensão de R3
é 3, então o conjunto f(3; 2; 2); ( 1; 2; 1); (0; 1; 0)g
é desde logo uma base de R3
. Vamos agora escrever o vector ( 1; 1; 2) como combinação
linear dos vectores desta base. Isto é, procuremos ; ; 2 R tais que
( 1; 1; 2) = (3; 2; 2) + ( 1; 2; 1) + (0; 1; 0).
Temos então
2
4
3 1 0 j 1
2 2 1 j 1
2 1 0 j 2
3
5 !2
3
L1+L2!L2
2
3
L1+L3!L3
2
4
3 1 0 j 1
0 8=3 1 j 5=3
0 5=3 0 j 4=3
3
5 !5
8
L2+L3!L3
2
4
3 1 0 j 1
0 8=3 1 j 5=3
0 0 5=8 j 19=8
3
5 .
Logo, 8
>>>><
>>>>:
3 = 1
8
3
+ = 5
3
5
8
= 19
8
,
8
>>>><
>>>>:
= 3
5
= 4
5
= 19
5
.
Pelo que
( 1; 1; 2) =
3
5
(3; 2; 2) +
4
5
( 1; 2; 1) +
19
5
(0; 1; 0).
Finalmente e ainda em relação à base f(3; 2; 2); ( 1; 2; 1); (0; 1; 0)g de R3
, o vector cujas
coordenadas são ( 1; 1; 2) nessa base, é dado por:
( 1)(3; 2; 2) + ( 1; 2; 1) + ( 2)(0; 1; 0) = ( 4; 2; 1).
(iv) Facilmente se vê que o conjunto f(1; 1; 1); (0; 1; 1); (0; 0; 1)g é linearmente indepen-
dente. Temos então três vectores de R3
linearmente independentes. Como a dimensão de
R3
é 3, então o conjunto f(1; 1; 1); (0; 1; 1); (0; 0; 1)g é desde logo uma base de R3
. Vamos
agora escrever o vector ( 1; 1; 2) como combinação linear dos vectores desta base. Isto é,
procuremos ; ; 2 R tais que
( 1; 1; 2) = (1; 1; 1) + (0; 1; 1) + (0; 0; 1).
Temos então: 8
<
:
= 1
+ = 1
+ + = 2
,
8
<
:
= 1
= 2
= 3.
239
Pelo que
( 1; 1; 2) = ( 1)(1; 1; 1) + 2(0; 1; 1) + ( 3)(0; 0; 1).
Finalmente e ainda em relação à base B de R2
, o vector cujas coordenadas são ( 1; 1; 2)
nessa base, é dado por:
( 1)(1; 1; 1) + (0; 1; 1) + ( 2)(0; 0; 1) = ( 1; 0; 2).
(v) Como a dimensão de R3
é 3, então qualquer conjunto de vectores de R3
com mais
do que três vectores é linearmente dependente. O conjunto
f(1; 1; 1); (2; 3; 4); (4; 1; 1); (0; 1; 1)g
é formado por quatro vectores de R3
, logo é linearmente dependente. Vamos procurar o
número máximo de vectores linearmente independentes que, em conjunto, geram
L (f(1; 1; 1); (2; 3; 4); (4; 1; 1); (0; 1; 1)g) .
Podemos colocar os vectores do conjunto f(1; 1; 1); (2; 3; 4); (4; 1; 1); (0; 1; 1)g como lin-
has de uma A matriz e de seguida aplicar a essa matriz o método de eliminação de Gauss:
A =
2
6
6
4
1 1 1
2 3 4
4 1 1
0 1 1
3
7
7
5 !
2L1+L2!L2
4L1+L3!L3
2
6
6
4
1 1 1
0 1 6
0 3 3
0 1 1
3
7
7
5 !
3L2+L3!L3
L2+L4!L4
!
3L2+L3!L3
L2+L4!L4
2
6
6
4
1 1 1
0 1 6
0 0 21
0 0 7
3
7
7
5 !1
21
L3!L3
1
7
L4!L4
2
6
6
4
1 1 1
0 1 6
0 0 1
0 0 1
3
7
7
5 !
L3+L4!L4
2
6
6
4
1 1 1
0 1 6
0 0 1
0 0 0
3
7
7
5 = A0
.
As linhas não nulas da matriz em escada A0
são linearmente independentes. Logo, o conjunto
f(1; 1; 1); (0; 1; 6); (0; 0; 1)g é formado por três vectores de R3
, linearmente independentes.
Atendendo a que a dimensão de R3
é 3, o conjunto
f(1; 1; 1); (0; 1; 6); (0; 0; 1)g
é desde logo uma base de R3
. Uma vez que L(A) = L(A0
) temos então:
L (f(1; 1; 1); (2; 3; 4); (4; 1; 1); (0; 1; 1)g) = L (f(1; 1; 1); (0; 1; 6); (0; 0; 1)g) = R3
.
Logo,
dim L (f(1; 1; 1); (2; 3; 4); (4; 1; 1); (0; 1; 1)g) = 3.
Vamos agora escrever o vector ( 1; 1; 2) como combinação linear dos vectores da base
f(1; 1; 1); (0; 1; 6); (0; 0; 1)g :
Isto é, procuremos ; ; 2 R tais que
( 1; 1; 2) = (1; 1; 1) + (0; 1; 6) + (0; 0; 1).
240
Temos então: 8
<
:
= 1
+ = 1
+ 6 + = 2,
,
8
<
:
= 1
= 2
= 15.
Pelo que
( 1; 1; 2) = ( 1)(1; 1; 1) + 2(0; 1; 6) + ( 15)(0; 0; 1).
Finalmente e ainda em relação à base f(1; 1; 1); (0; 1; 6); (0; 0; 1)g de R3
, o vector cujas
coordenadas são ( 1; 1; 2) nessa base, é dado por:
( 1)(1; 1; 1) + (0; 1; 6) + ( 2)(0; 0; 1) = ( 1; 0; 5).
(vi) B3
c = f(1; 0; 0); (0; 1; 0); (0; 0; 1)g é a base canónica de R3
. As coordenadas do vector
( 1; 1; 2) em relação à base B3
c são precisamente 1; 1 e 2. Ainda em relação à base B3
c ,
o vector cujas coordenadas nessa base são ( 1; 1; 2) é precisamente o vector ( 1; 1; 2).
28. (i) Podemos colocar os vectores do conjunto f(1; 0; 0; 1); (0; 1; 0; 0); (1; 1; 1; 1); (0; 1; 1; 1)g
como colunas de uma matriz e de seguida aplicar a essa matriz o método de eliminação de
Gauss: 2
6
6
4
1 0 1 0
0 1 1 1
0 0 1 1
1 0 1 1
3
7
7
5 !
L1+L4!L4
2
6
6
4
1 0 1 0
0 1 1 1
0 0 1 1
0 0 0 1
3
7
7
5 .
Logo, o conjunto f(1; 0; 0; 1); (0; 1; 0; 0); (1; 1; 1; 1); (0; 1; 1; 1)g é linearmente independente.
Temos assim, quatro vectores de R4
linearmente independentes. Como a dimensão de R4
é
4, então o conjunto f(1; 0; 0; 1); (0; 1; 0; 0); (1; 1; 1; 1); (0; 1; 1; 1)g é desde logo uma base de R4
e
dim L (f(1; 0; 0; 1); (0; 1; 0; 0); (1; 1; 1; 1); (0; 1; 1; 1)g) = dim R4
= 4.
(ii) Podemos colocar os vectores do conjunto f(1; 1; 0; 2); (3; 1; 2; 1); (1; 0; 0; 1)g como
colunas de uma matriz e de seguida aplicar a essa matriz o método de eliminação de Gauss:
2
6
6
4
1 3 1
1 1 0
0 2 0
2 1 1
3
7
7
5 !
L1+L2!L2
2L1+L4!L4
2
6
6
4
1 3 1
0 2 1
0 2 0
0 5 1
3
7
7
5 !
L2+L3!L3
5
2
L2+L4!L4
!
L2+L3!L3
5
2
L2+L4!L4
2
6
6
4
1 3 1
0 2 1
0 0 1
0 0 3
2
3
7
7
5 !3
2
L3+L4!L4
2
6
6
4
1 3 1
0 2 1
0 0 1
0 0 0
3
7
7
5 .
Logo, o conjunto f(1; 1; 0; 2); (3; 1; 2; 1); (1; 0; 0; 1)g é linearmente independente e é assim
uma base do subespaço de R4
:
L (f(1; 1; 0; 2); (3; 1; 2; 1); (1; 0; 0; 1)g)
tendo-se
dim L (f(1; 1; 0; 2); (3; 1; 2; 1); (1; 0; 0; 1)g) = 3.
241
Atendendo ainda ao método de eliminação de Gauss, uma base de R4
que inclui pelo
menos dois vectores do conjunto apresentado:
f(1; 1; 0; 2); (1; 0; 0; 1); (0; 0; 1; 0); (0; 0; 0; 1)g
uma vez que 2
6
6
4
1 1 0 0
1 0 0 0
0 0 1 0
2 1 0 1
3
7
7
5 !
:::
2
6
6
4
1 1 0 0
0 1 0 0
0 0 1 0
0 0 0 1
3
7
7
5
| {z }
car=4
.
(iii) Podemos colocar os vectores do conjunto
f(1; 0; 0; 1); (0; 1; 1; 0); (0; 1; 0; 1); (1; 0; 1; 0); (0; 0; 1; 1)g
como colunas de uma matriz e de seguida aplicar a essa matriz o método de eliminação de
Gauss:
A =
2
6
6
4
1 0 0 1 0
0 1 1 0 0
0 1 0 1 1
1 0 1 0 1
3
7
7
5 !
L1+L4!L4
2
6
6
4
1 0 0 1 0
0 1 1 0 0
0 1 0 1 1
0 0 1 1 1
3
7
7
5 !
L2+L3!L3
!
L2+L3!L3
2
6
6
4
1 0 0 1 0
0 1 1 0 0
0 0 1 1 1
0 0 1 1 1
3
7
7
5 !
L3+L4!L4
2
6
6
4
1 0 0 1 0
0 1 1 0 0
0 0 1 1 1
0 0 0 0 2
3
7
7
5 = A0
.
As colunas da matriz A correspondentes às colunas da matriz A0
que contêm os pivots,
formam um conjunto de vectores linearmente independente. Logo, os vectores das colunas
1; 2; 3 e 5 da matriz A:
f(1; 0; 0; 1); (0; 1; 1; 0); (0; 1; 0; 1); (0; 0; 1; 1)g
são uma base de R4
, por serem quatro vectores linearmente independentes de um espaço
linear de dimensão 4. E
dim L (f(1; 0; 0; 1); (0; 1; 1; 0); (0; 1; 0; 1); (0; 0; 1; 1)g) = dim R4
= 4.
(iv) Facilmente se vê que o conjunto f(1; 0; 0; 2); (1; 0; 2; 0); (1; 2; 0; 0); (3; 0; 0; 0)g é li-
nearmente independente. Temos então quatro vectores de R4
linearmente independentes.
Como a dimensão de R4
é 4, então o conjunto
f(1; 0; 0; 2); (1; 0; 2; 0); (1; 2; 0; 0); (3; 0; 0; 0)g
é desde logo uma base de R4
e
dim L (f(1; 0; 0; 2); (1; 0; 2; 0); (1; 2; 0; 0); (3; 0; 0; 0)g) = dim R4
= 4.
(v) Podemos colocar os vectores do conjunto
f(1; 2; 5; 3); (2; 4; 6; 2); (3; 6; 11; 1); (0; 0; 5; 5)g
242
como colunas de uma matriz e de seguida aplicar a essa matriz o método de eliminação de
Gauss:
A =
2
6
6
4
1 2 3 0
2 4 6 0
5 6 11 5
3 2 1 5
3
7
7
5 !
L2$L4
2
6
6
4
1 2 3 0
3 2 1 5
5 6 11 5
2 4 6 0
3
7
7
5 !
3L1+L2!L2
5L1+L3!L3
2L1+L4!L4
!
3L1+L2!L2
5L1+L3!L3
2L1+L4!L4
2
6
6
4
1 2 3 0
0 8 8 5
0 4 4 5
0 0 0 0
3
7
7
5 !1
2
L2+L3!L3
2
6
6
4
1 2 3 0
0 8 8 5
0 0 0 15
0 0 0 0
3
7
7
5 = A0
.
As colunas da matriz A correspondentes às colunas da matriz A0
que contêm os pivots,
formam um conjunto de vectores linearmente independente. Logo, os vectores das colunas
1; 2 e 4 da matriz A formam um conjunto linearmente independente:
f(1; 2; 5; 3); (2; 4; 6; 2); (0; 0; 5; 5)g .
Assim, o conjunto f(1; 2; 5; 3); (2; 4; 6; 2); (0; 0; 5; 5)g é uma base de
L (f(1; 2; 5; 3); (2; 4; 6; 2); (0; 0; 5; 5)g) ,
tendo-se
dim L (f(1; 2; 5; 3); (2; 4; 6; 2); (0; 0; 5; 5)g) = 3.
Atendendo ainda ao método de eliminação de Gauss, uma base de R4
que inclui pelo
menos dois vectores do conjunto inicial:
f(1; 2; 5; 3); (0; 1; 0; 0); (2; 4; 6; 2); (0; 0; 5; 5)g
uma vez que 2
6
6
4
1 0 2 0
2 1 4 0
5 0 6 5
3 0 2 5
3
7
7
5 !
:::
2
6
6
4
1 0 2 0
0 1 0 0
0 0 4 5
0 0 0 15
3
7
7
5
| {z }
car=4
.
(vi) Podemos colocar os vectores do conjunto
f(2; 1; 1; 2); ( 1; 1; 1; 2); (4; 2; 2; 2); (5; 2; 2; 2)g
como colunas de uma matriz e de seguida aplicar a essa matriz o método de eliminação de
Gauss:
A =
2
6
6
4
2 1 4 5
1 1 2 2
1 1 2 2
2 2 2 2
3
7
7
5 !
L1$L2
L3$L4
2
6
6
4
1 1 2 2
2 1 4 5
2 2 2 2
1 1 2 2
3
7
7
5 !
2L1+L2!L2
2L1+L3!L3
L1+L4!L4
!
2L1+L2!L2
2L1+L3!L3
L1+L4!L4
2
6
6
4
1 1 2 2
0 1 8 9
0 4 2 6
0 0 0 0
3
7
7
5 !
4L2+L3!L3
2
6
6
4
1 1 2 2
0 1 8 9
0 0 30 30
0 0 0 0
3
7
7
5 = A0
.
243
As colunas da matriz A correspondentes às colunas da matriz A0
que contêm os pivots,
formam um conjunto de vectores linearmente independente. Logo, os vectores das colunas
1; 2 e 3 da matriz A formam um conjunto linearmente independente:
f(2; 1; 1; 2); ( 1; 1; 1; 2); (4; 2; 2; 2)g .
Assim, o conjunto f(2; 1; 1; 2); ( 1; 1; 1; 2); (4; 2; 2; 2)g é uma base de
L (f(2; 1; 1; 2); ( 1; 1; 1; 2); (4; 2; 2; 2)g) ,
tendo-se
dim L (S) = dim L (f(2; 1; 1; 2); ( 1; 1; 1; 2); (4; 2; 2; 2)g) = 3.
Uma base de R4
que inclui pelo menos dois vectores do conjunto
f(2; 1; 1; 2); ( 1; 1; 1; 2); (4; 2; 2; 2)g :
f(2; 1; 1; 2); ( 1; 1; 1; 2); (4; 2; 2; 2); (0; 0; 0; 1)g .
Vejamos que (8; 3; 3; 5) 2 L (S) e determinemos uma base de L (S) que inclua o vector
(8; 3; 3; 5). Isto é, procuremos ; ; 2 R tais que
(8; 3; 3; 5) = (2; 1; 1; 2) + ( 1; 1; 1; 2) + (4; 2; 2; 2).
Temos então:
2
6
6
4
2 1 4 j 8
1 1 2 j 3
1 1 2 j 3
2 2 2 j 5
3
7
7
5 !
L1$L2
L3$L4
2
6
6
4
1 1 2 j 3
2 1 4 j 8
2 2 2 j 5
1 1 2 j 3
3
7
7
5 !
2L1+L2!L2
2L1+L3!L3
L1+L4!L4
!
2L1+L2!L2
2L1+L3!L3
L1+L4!L4
2
6
6
4
1 1 2 j 3
0 1 8 j 14
0 4 2 j 11
0 0 0 j 0
3
7
7
5 !
2L1+L2!L2
2L1+L3!L3
L1+L4!L4
2
6
6
4
1 1 2 j 3
0 1 8 j 14
0 0 30 j 45
0 0 0 j 0
3
7
7
5 . (*)
Logo, 8
>>>><
>>>>:
= 2
= 2
= 3
2
Pelo que
(8; 3; 3; 5) = 2(2; 1; 1; 2) + 2( 1; 1; 1; 2) +
3
2
(4; 2; 2; 2).
Atendendo a (*), o conjunto
f(2; 1; 1; 2); ( 1; 1; 1; 2); (8; 3; 3; 5)g
é uma base de L (S) que inclui o vector (8; 3; 3; 5):
244
Atendendo ainda ao método de eliminação de Gauss, uma base de R4
que inclui pelo
menos dois vectores do conjunto inicial:
f(2; 1; 1; 2); ( 1; 1; 1; 2); (0; 0; 1; 0); (8; 3; 3; 5)g
uma vez que 2
6
6
4
2 1 0 8
1 1 0 3
1 1 1 3
2 2 0 5
3
7
7
5 !
:::
2
6
6
4
2 1 0 8
0 1=2 0 7
0 0 4 0
0 0 0 45
3
7
7
5
| {z }
car=4
.
29. (i) Podemos colocar os coe…cientes dos vectores do conjunto
2 + t t2
; 2t + 2t2
; t2
como colunas de uma matriz A e de seguida aplicar a essa matriz o método de eliminação
de Gauss:
A =
2
4
2 0 0
1 2 0
1 2 1
3
5 !
L1$L3
2
4
1 2 1
1 2 0
2 0 0
3
5 !
L1+L2!L2
2L1+L3!L3
!
L1+L2!L2
2L1+L3!L3
2
4
1 2 1
0 4 1
0 4 2
3
5 !
L1+L2!L2
2L1+L3!L3
2
4
1 2 1
0 4 1
0 0 1
3
5 = A0
.
As colunas da matriz A correspondentes às colunas da matriz em escada A0
que contêm os
pivots, formam um conjunto de vectores linearmente independente. Logo, o conjunto
2 + t t2
; 2t + 2t2
; t2
,
formado por três vectores de P2, é linearmente independente. Como a dimensão de P2 é 3,
então o conjunto
2 + t t2
; 2t + 2t2
; t2
é desde logo uma base de P2 tendo-se
L 2 + t t2
; 2t + 2t2
; t2
= P2
e
dim L 2 + t t2
; 2t + 2t2
; t2
= dim P2 = 3.
Vamos agora escrever o vector 1 t como combinação linear dos vectores da base
2 + t t2
; 2t + 2t2
; t2
:
Isto é, procuremos ; ; 2 R tais que
1 t = (2 + t t2
) + (2t + 2t2
) + ( t2
).
245
Temos então: 8
>>>><
>>>>:
2 = 1
+ 2 = 1
+ 2 = 0,
,
8
>>>><
>>>>:
= 1
2
= 3
4
= 2.
Pelo que
1 t =
1
2
(2 + t t2
)
3
4
(2t + 2t2
) 2( t2
).
Finalmente e ainda em relação à base f2 + t t2
; 2t + 2t2
; t2
g de P2, o vector cujas coor-
denadas são ( 1; 3; 2) nessa base, é dado por:
( 1)(2 + t t2
) + 3(2t + 2t2
) + 2( t2
) = 2 + 5t + 5t2
.
(ii) Podemos colocar os coe…cientes dos vectores do conjunto
2t t2
; 1 2t2
; 2 + t; 1 4t
como colunas de uma matriz A e de seguida aplicar a essa matriz o método de eliminação
de Gauss:
A =
2
4
0 1 2 1
2 0 1 4
1 2 0 0
3
5 !
L1$L2
2
4
2 0 1 4
0 1 2 1
1 2 0 0
3
5 !1
2
L1+L3!L3
!1
2
L1+L3!L3
2
4
2 0 1 4
0 1 2 1
0 2 1
2
2
3
5 !
2L2+L3!L3
2
4
2 0 1 4
0 1 2 1
0 0 9
2
0
3
5 = A0
.
As colunas da matriz A correspondentes às colunas da matriz A0
que contêm os pivots,
formam um conjunto de vectores linearmente independente. Logo, o conjunto dos vectores
correspondentes às colunas 1; 2 e 3 da matriz A:
2t t2
; 1 2t2
; 2 + t
é uma base de
L 2t t2
; 1 2t2
; 2 + t; 1 4t .
Como a dimensão de P2 é 3, então o conjunto
2t t2
; 1 2t2
; 2 + t
é desde logo uma base de P2 tendo-se
L 2t t2
; 1 2t2
; 2 + t; 1 4t = L 2t t2
; 1 2t2
; 2 + t = P2
e
dim L 2t t2
; 1 2t2
; 2 + t; 1 4t = dim P2 = 3.
Vamos agora escrever o vector 1 t como combinação linear dos vectores da base f2t t2
; 1 2t2
; 2 + tg.
Isto é, procuremos ; ; 2 R tais que
1 t = (2t t2
) + (1 2t2
) + (2 + t).
246
Temos então: 8
>>>><
>>>>:
+ 2 = 1
2 + = 1
2 = 0,
,
8
>>>><
>>>>:
= 1
3
= 1 + 4
= 2 .
,
8
>>>><
>>>>:
= 1
3
= 1
3
= 2
3
.
Pelo que
1 t =
2
3
(2t t2
) +
1
3
(1 2t2
) +
1
3
(2 + t).
Finalmente e ainda em relação à base f2t t2
; 1 2t2
; 2 + tg de P2, o vector cujas coorde-
nadas são ( 1; 3; 2) nessa base, é dado por:
( 1)(2t t2
) + 3(1 2t2
) + 2(2 + t) = 7 5t2
.
(iii) Podemos colocar os coe…cientes dos vectores do conjunto
1 + t2
; t t2
; 1 t + 2t2
; 1 + t
como colunas de uma matriz A e de seguida aplicar a essa matriz o método de eliminação
de Gauss:
A =
2
4
1 0 1 1
0 1 1 1
1 1 2 0
3
5 !
L1+L3!L3
2
4
1 0 1 1
0 1 1 1
0 1 1 1
3
5 !
L2+L3!L3
2
4
1 0 1 1
0 1 1 1
0 0 0 0
3
5 = A0
.
As colunas da matriz A correspondentes às colunas da matriz A0
que contêm os pivots,
formam um conjunto de vectores linearmente independente. Logo, o conjunto dos vectores
correspondentes às colunas 1; 2 da matriz A:
1 + t2
; t t2
é uma base de
L 1 + t2
; t t2
; 1 t + 2t2
; 1 + t ,
tendo-se
L 1 + t2
; t t2
; 1 t + 2t2
; 1 + t = L 1 + t2
; t t2
e
dim L 1 + t2
; t t2
; 1 t + 2t2
; 1 + t = dim L 1 + t2
; t t2
= 2.
(iv) Facilmente se vê que o conjunto f 1 + 2t + t2
; 2 tg é linearmente independente.
Logo, ele próprio é uma base de
L 1 + 2t + t2
; 2 t ,
e tem-se
dim L 1 + 2t + t2
; 2 t = 2.
247
(v) Podemos colocar os coe…cientes dos vectores do conjunto
1 + 2t t2
; 3 + t2
; 5 + 4t t2
; 2 + 2t t2
como colunas de uma matriz A e de seguida aplicar a essa matriz o método de eliminação
de Gauss:
A =
2
4
1 3 5 2
2 0 4 2
1 1 1 1
3
5 !
2L1+L2!L2
L1+L3!L3
2
4
1 3 5 2
0 6 6 6
0 4 4 3
3
5 !1
6
L2!L2
!1
6
L2!L2
2
4
1 3 5 2
0 1 1 1
0 4 4 3
3
5 !
4L2+L3!L3
2
4
1 3 5 2
0 1 1 1
0 0 0 1
3
5 = A0
.
As colunas da matriz A correspondentes às colunas da matriz A0
que contêm os pivots,
formam um conjunto de vectores linearmente independente. Logo, o conjunto dos vectores
correspondentes às colunas 1; 2 e 4 da matriz A:
1 + 2t t2
; 3 + t2
; 2 + 2t t2
é uma base de
L 1 + 2t t2
; 3 + t2
; 5 + 4t t2
; 2 + 2t t2
.
Como a dimensão de P2 é 3, então o conjunto
1 + 2t t2
; 3 + t2
; 2 + 2t t2
é desde logo uma base de P2 tendo-se
L 1 + 2t t2
; 3 + t2
; 5 + 4t t2
; 2 + 2t t2
=
= L 1 + 2t t2
; 3 + t2
; 2 + 2t t2
= P2
e
dim L 1 + 2t t2
; 3 + t2
; 5 + 4t t2
; 2 + 2t t2
= dim P2 = 3.
Vamos agora escrever o vector 1 t como combinação linear dos vectores da base
1 + 2t t2
; 3 + t2
; 2 + 2t t2
:
Isto é, procuremos ; ; 2 R tais que
1 t = (1 + 2t t2
) + (3 + t2
) + ( 2 + 2t t2
).
Temos então: 2
4
1 3 2
2 0 2
1 1 1
3
5
2
4
3
5 =
2
4
1
1
0
3
5 .
Aplicando então o método de eliminação de Gauss à matriz aumentada do sistema anterior,
temos: 2
4
1 3 2 j 1
2 0 2 j 1
1 1 1 j 0
3
5 !
2L1+L2!L2
L1+L3!L3
2
4
1 3 2 j 1
0 6 6 j 3
0 4 3 j 1
3
5 !1
3
L2!L2
248
!1
3
L2!L2
2
4
1 3 2 j 1
0 2 2 j 1
0 4 3 j 1
3
5 !
2L2+L3!L3
2
4
1 3 2 j 1
0 2 2 j 1
0 0 1 j 1
3
5 .
Logo, 8
>>>><
>>>>:
= 1
2
= 1
2
= 1.
Pelo que
1 t =
1
2
(1 + 2t t2
) +
1
2
(3 + t2
) + ( 1) ( 2 + 2t t2
).
Finalmente e ainda em relação à base f1 + 2t t2
; 3 + t2
; 2 + 2t t2
g de P2, o vector cujas
coordenadas são ( 1; 3; 2) nessa base, é dado por:
( 1)(1 + 2t t2
) + 3(3 + t2
) + 2( 2 + 2t t2
) = 4 + 2t + 2t2
.
(vi) O conjunto f1; t; t2
g é a base canónica de P2. As coordenadas do vector 1+3t+2t2
em relação a essa base são precisamente 1; 3 e 2. Ainda em relação à base f1; t; t2
g, o vector
cujas coordenadas nessa base são ( 1; 3; 2) é precisamente o vector 1 + 3t + 2t2
.
30. Como o espaço linear M2 2(R) tem dimensão 4, então para veri…car que as matrizes
1 1
0 0
;
0 0
1 1
;
1 0
0 1
;
0 1
1 1
formam uma base de M2 2(R) basta ver que são linearmente independentes. Sejam ; ; ; 2
R tais que
1 1
0 0
+
0 0
1 1
+
1 0
0 1
+
0 1
1 1
= 0,
onde 0 é a matriz nula
0 0
0 0
. Queremos provar que = = = = 0.
Temos então:
+ +
+ + +
=
0 0
0 0
isto é, 8
>><
>>:
+ = 0
+ = 0
+ = 0
+ + = 0,
ou ainda 2
6
6
4
1 0 1 0
1 0 0 1
0 1 0 1
0 1 1 1
3
7
7
5
2
6
6
4
3
7
7
5 =
2
6
6
4
0
0
0
0
3
7
7
5 .
249
Aplicando então o método de eliminação de Gauss à matriz dos coe…cientes do sistema
homogéneo anterior, temos:
2
6
6
4
1 0 1 0
1 0 0 1
0 1 0 1
0 1 1 1
3
7
7
5 !
L1+L2!L2
2
6
6
4
1 0 1 0
0 0 1 1
0 1 0 1
0 1 1 1
3
7
7
5 !
L2$L3
!
L2$L3
2
6
6
4
1 0 1 0
0 1 0 1
0 0 1 1
0 1 1 1
3
7
7
5 !
L2+L4!L4
2
6
6
4
1 0 1 0
0 1 0 1
0 0 1 1
0 0 1 0
3
7
7
5 !
L3+L4!L4
2
6
6
4
1 0 1 0
0 1 0 1
0 0 1 1
0 0 0 1
3
7
7
5 .
Logo, a única solução do sistema é: ( ; ; ; ) = (0; 0; 0; 0). Assim, o conjunto
1 1
0 0
;
0 0
1 1
;
1 0
0 1
;
0 1
1 1
é uma base de M2 2(R).
31. Seja S =
1 3
1 2
;
0 11
5 3
;
2 5
3 1
,
4 1
1 5
;
3 2
2 3
. Seja W um
subespaço de M2 2(R) gerado por S. Determinemos uma base para W que inclua vectores
de S.
Sejam 1; 2; 3; 4; 5 2 R tais que
0 0
0 0
= 1
1 3
1 2
+ 2
0 11
5 3
+ 3
2 5
3 1
+ 4
4 1
1 5
+ 5
3 2
2 3
.
Temos então:
2
6
6
4
1 0 2 4 3
3 11 5 1 2
1 5 3 1 2
2 3 1 5 3
3
7
7
5 !
3L1+L2!L2
L1+L3!L3
2L1+L4!L4
2
6
6
4
1 0 2 4 3
0 11 11 11 11
0 5 5 5 5
0 3 3 3 3
3
7
7
5 !5
11
L2+L3!L3
3
11
L2+L4!L4
!5
11
L2+L3!L3
3
11
L2+L4!L4
2
6
6
4
1 0 2 4 3
0 11 11 11 11
0 0 0 0 0
0 0 0 0 0
3
7
7
5
pelo que sendo as 2 primeiras colunas da matriz em escada anterior independentes, o conjunto
de matrizes
1 3
1 2
;
0 11
5 3
é uma base de W, atendendo também a que
2 5
3 1
;
4 1
1 5
;
3 2
2 3
2 L
1 3
1 2
;
0 11
5 3
.
250
32. A dimensão do espaço linear M3 2(R) é 6. Assim, para encontrar uma base de
M3 2(R), basta encontrar 6 matrizes do tipo 3 2 que sejam linearmente independentes. O
seguinte conjunto de 6 matrizes do tipo 3 2:
8
<
:
2
4
1 0
0 0
0 0
3
5 ;
2
4
0 1
0 0
0 0
3
5 ;
2
4
0 0
1 0
0 0
3
5 ;
2
4
0 0
0 1
0 0
3
5 ;
2
4
0 0
0 0
1 0
3
5 ;
2
4
0 0
0 0
0 1
3
5
9
=
;
é linearmente independente. Logo, é uma base de M3 2(R). (Chama-se a esta base, a base
canónica de M3 2(R).)
33. (i) Uma matriz diagonal do tipo 3 3 tem a seguinte forma:
2
4
a 0 0
0 b 0
0 0 c
3
5 com a; b; c 2 R.
E tem-se 2
4
a 0 0
0 b 0
0 0 c
3
5 = a
2
4
1 0 0
0 0 0
0 0 0
3
5 + b
2
4
0 0 0
0 1 0
0 0 0
3
5 + c
2
4
0 0 0
0 0 0
0 0 1
3
5 .
Isto é, o subespaço formado por todas as matrizes diagonais do tipo 3 3, é gerado pelo
conjunto
D =
8
<
:
2
4
1 0 0
0 0 0
0 0 0
3
5 ;
2
4
0 0 0
0 1 0
0 0 0
3
5 ;
2
4
0 0 0
0 0 0
0 0 1
3
5
9
=
;
.
Além disso, este conjunto é linearmente independente. Temos então que o conjunto D é uma
base do subespaço formado por todas as matrizes diagonais do tipo 3 3. Logo, o subespaço
tem dimensão 3.
(ii) Uma matriz simétrica do tipo 3 3 tem a seguinte forma:
2
4
a b c
b d e
c e f
3
5 com a; b; c; d; e; f 2 R.
E tem-se
2
4
a b c
b d e
c e f
3
5 = a
2
4
1 0 0
0 0 0
0 0 0
3
5 + b
2
4
0 1 0
1 0 0
0 0 0
3
5 + c
2
4
0 0 1
0 0 0
1 0 0
3
5 +
+d
2
4
0 0 0
0 1 0
0 0 0
3
5 + e
2
4
0 0 0
0 0 1
0 1 0
3
5 + f
2
4
0 0 0
0 0 0
0 0 1
3
5 .
Isto é, o subespaço formado por todas as matrizes simétricas do tipo 3 3, é gerado pelo
conjunto
S =
8
<
:
2
4
1 0 0
0 0 0
0 0 0
3
5 ;
2
4
0 1 0
1 0 0
0 0 0
3
5 ;
2
4
0 0 1
0 0 0
1 0 0
3
5 ;
2
4
0 0 0
0 1 0
0 0 0
3
5 ;
2
4
0 0 0
0 0 1
0 1 0
3
5 ;
2
4
0 0 0
0 0 0
0 0 1
3
5
9
=
;
251
Além disso, este conjunto é linearmente independente. Temos então que o conjunto S é uma
base do subespaço formado por todas as matrizes simétricas do tipo 3 3. Logo, o subespaço
tem dimensão 6.
34. (i)
A =
3 1
6 2
!
2L1+L2!L2
3 1
0 0
= A0
.
As colunas da matriz A correspondentes às colunas da matriz A0
que contêm os pivots,
formam um conjunto de vectores linearmente independente. Logo,
C(A) = L (f(3; 6)g)
e o conjunto f(3; 6)g é uma base de C(A). Por outro lado,
L(A) = L (f(3; 1)g) ,
e o conjunto f(3; 1)g é uma base de L(A). Desta forma:
carA = dim C(A) = dim L(A) = 1.
Por de…nição:
N(A) = u 2 R2
: Au = 0 .
Temos então, pelo método de eliminação de Gauss,
Au = 0 , A0
u = 0.
A equação
3 1
0 0
u1
u2
=
0
0
é equivalente à equação
3u1 + u2 = 0.
Logo,
N(A) = f(u1; 3u1) : u1 2 Rg = L (f(1; 3)g) .
O conjunto S = f(1; 3)g é linearmente independente. Como S é linearmente independente
e gera N(A), temos então que S é uma base de N(A) e:
nulA = dim N(A) = 1.
(ii)
A =
3 0 6 0
1 0 2 0
!1
3
L1+L2!L2
3 0 6 0
0 0 0 0
= A0
.
As colunas da matriz A correspondentes às colunas da matriz A0
que contêm os pivots,
formam um conjunto de vectores linearmente independente. Logo,
C(A) = L (f(3; 1)g)
252
e o conjunto f(3; 1)g é uma base de C(A). Por outro lado,
L(A) = L (f(3; 0; 6; 0)g) ,
e o conjunto f(3; 0; 6; 0)g é uma base de L(A). Desta forma:
carA = dim C(A) = dim L(A) = 1.
Por de…nição:
N(A) = u 2 R4
: Au = 0 .
Temos então, pelo método de eliminação de Gauss,
Au = 0 , A0
u = 0.
A equação
3 0 6 0
0 0 0 0
2
6
6
4
u1
u2
u3
u4
3
7
7
5 =
2
6
6
4
0
0
0
0
3
7
7
5
é equivalente à equação
3u1 6u3 = 0,
ou seja a
u1 = 2u3.
Logo,
N(A) = f(2u3; u2; u3; u4) : u2; u3; u4 2 Rg .
Como
(2u3; u2; u3; u4) = u3(2; 0; 1; 0) + u2(0; 1; 0; 0) + u4(0; 0; 0; 1),
tem-se:
N(A) = L (f(2; 0; 1; 0); (0; 1; 0; 0); (0; 0; 0; 1)g) .
O conjunto S = f(2; 0; 1; 0); (0; 1; 0; 0); (0; 0; 0; 1)g é linearmente independente. Como S é
linearmente independente e gera N(A), temos então que S é uma base de N(A) e:
nulA = dim N(A) = 3.
(iii)
A =
2
4
0 1 0 0
0 0 1 0
0 0 0 1
3
5 .
As colunas da matriz A que contêm os pivots, formam um conjunto de vectores linearmente
independente. Logo,
C(A) = L (f(1; 0; 0); (0; 1; 0); (0; 0; 1)g)
e o conjunto f(1; 0; 0); (0; 1; 0); (0; 0; 1)g é uma base de C(A). Por outro lado,
L(A) = L (f(0; 1; 0; 0); (0; 0; 1; 0); (0; 0; 0; 1)g) ,
253
e o conjunto f(0; 1; 0; 0); (0; 0; 1; 0); (0; 0; 0; 1)g é uma base de L(A). Desta forma:
carA = dim C(A) = dim L(A) = 3.
Por de…nição:
N(A) = u 2 R4
: Au = 0 .
A equação
2
4
0 1 0 0
0 0 1 0
0 0 0 1
3
5
2
6
6
4
u1
u2
u3
u4
3
7
7
5 =
2
6
6
4
0
0
0
0
3
7
7
5
é equivalente ao sistema 8
<
:
u2 = 0
u3 = 0
u4 = 0.
Logo,
N(A) = f(u1; 0; 0; 0) : u1 2 Rg = L (f(1; 0; 0; 0)g) .
O conjunto S = f(1; 0; 0; 0)g é linearmente independente. Como S é linearmente indepen-
dente e gera N(A), temos então que S é uma base de N(A) e:
nulA = dim N(A) = 1.
(iv)
A =
2
4
1 1 2
1 2 1
0 1 1
3
5 !
L1+L2!L2
2
4
1 1 2
0 3 1
0 1 1
3
5 !1
3
L2+L3!L3
2
4
1 1 2
0 3 1
0 0 2
3
3
5 = A0
.
As colunas da matriz A correspondentes às colunas da matriz A0
que contêm os pivots,
formam um conjunto de vectores linearmente independente. Logo,
C(A) = L (f(1; 1; 0); (1; 2; 1); ( 2; 1; 1)g)
e o conjunto f(1; 1; 0); (1; 2; 1); ( 2; 1; 1)g é uma base de C(A). Por outro lado,
L(A) = L (f(1; 1; 2); ( 1; 2; 1); (0; 1; 1)g) = L (1; 1; 2); (0; 3; 1); (0; 0;
2
3
) ,
e quer o conjunto f(1; 1; 2); ( 1; 2; 1); (0; 1; 1)g ; quer o conjunto
(1; 1; 2); (0; 3; 1); (0; 0;
2
3
) ,
são bases para L(A). Desta forma:
carA = dim C(A) = dim L(A) = 3.
Por de…nição:
N(A) = u 2 R3
: Au = 0 .
254
Como se tem sempre:
no
de colunas de A = carA + nulA,
então
N(A) = f0g
e
nulA = dim N(A) = 0.
Alternativamente poderíamos veri…car que se tem mesmo
N(A) = f0g .
Pelo método de eliminação de Gauss, temos
Au = 0 , A0
u = 0.
A equação 2
4
1 1 2
0 3 1
0 0 2
3
3
5
2
4
u1
u2
u3
3
5 =
2
4
0
0
0
3
5
é equivalente ao sistema 8
<
:
u1 + u2 2u3 = 0
3u2 u3 = 0
2
3
u3 = 0
ou seja a
u1 = u2 = u3 = 0.
Logo,
N(A) = f(0; 0; 0)g
e como tal
nulA = dim N(A) = 0.
(v)
A =
2
6
6
4
1 0 0
0 1 0
0 0 1
0 0 0
3
7
7
5 .
As colunas da matriz A que contêm os pivots, formam um conjunto de vectores linearmente
independente. Logo,
C(A) = L (f(1; 0; 0; 0); (0; 1; 0; 0); (0; 0; 1; 0)g)
e o conjunto f(1; 0; 0; 0); (0; 1; 0; 0); (0; 0; 1; 0)g é uma base de C(A). Por outro lado,
L(A) = L (f(1; 0; 0); (0; 1; 0); (0; 0; 1)g) = R3
,
e o conjunto f(1; 0; 0); (0; 1; 0); (0; 0; 1)g é uma base de L(A). Desta forma:
carA = dim C(A) = dim L(A) = 3.
255
Por de…nição:
N(A) = u 2 R3
: Au = 0 .
A equação 2
6
6
4
1 0 0
0 1 0
0 0 1
0 0 0
3
7
7
5
2
4
u1
u2
u3
3
5 =
2
4
0
0
0
3
5
é equivalente ao sistema 8
<
:
u1 = 0
u2 = 0
u3 = 0.
Logo,
N(A) = f(0; 0; 0)g e nulA = dim N(A) = 0.
(vi)
A =
2
4
1 3 0 2
0 2 2 0
1 3 0 2
3
5 !
L1+L3!L3
2
4
1 3 0 2
0 2 2 0
0 0 0 0
3
5 = A0
.
As colunas da matriz A correspondentes às colunas da matriz A0
que contêm os pivots,
formam um conjunto de vectores linearmente independente. Logo,
C(A) = L (f( 1; 0; 1); (3; 2; 3)g)
e o conjunto f( 1; 0; 1); (3; 2; 3)g é uma base de C(A). Por outro lado,
L(A) = L(A0
) = L (f( 1; 3; 0; 2); (0; 2; 2; 0)g) ,
e o conjunto f( 1; 3; 0; 2); (0; 2; 2; 0)g é uma base de L(A). Desta forma:
carA = dim C(A) = dim L(A) = 2.
Por de…nição:
N(A) = u 2 R4
: Au = 0 .
Temos então, pelo método de eliminação de Gauss,
Au = 0 , A0
u = 0.
A equação
2
4
1 3 0 2
0 2 2 0
0 0 0 0
3
5
2
6
6
4
u1
u2
u3
u4
3
7
7
5 =
2
6
6
4
0
0
0
0
3
7
7
5
é equivalente ao sistema
u1 + 3u2 + 2u4 = 0
2u2 + 2u3 = 0
256
ou seja a
u1 = 3u2 + 2u4
u3 = u2.
Logo,
N(A) = f(3u2 + 2u4; u2; u2; u4) : u2; u4 2 Rg .
Como
(3u2 + 2u4; u2; u2; u4) = (3u2; u2; u2; 0) + (2u4; 0; 0; u4) = u2(3; 1; 1; 0) + u4(2; 0; 0; 1),
tem-se:
N(A) = L (f(3; 1; 1; 0); (2; 0; 0; 1)g) .
O conjunto S = f(3; 1; 1; 0); (2; 0; 0; 1)g é linearmente independente. Como S é linearmente
independente e gera N(A), temos então que S é uma base de N(A) e:
nulA = dim N(A) = 2.
(vii)
A =
2
6
6
4
1 2 3 1
2 3 2 0
3 4 1 1
1 1 1 1
3
7
7
5 !
2L1+L2!L2
3L1+L3!L3
L1+L4!L4
2
6
6
4
1 2 3 1
0 1 4 2
0 2 8 4
0 1 4 2
3
7
7
5 !
2L2+L3!L3
L2+L4!L4
2
6
6
4
1 2 3 1
0 1 4 2
0 0 0 0
0 0 0 0
3
7
7
5 = A0
.
As colunas da matriz A correspondentes às colunas da matriz A0
que contêm os pivots,
formam um conjunto de vectores linearmente independente. Logo,
C(A) = L (f(1; 2; 3; 1); (2; 3; 4; 1)g)
e o conjunto f(1; 2; 3; 1); (2; 3; 4; 1)g é uma base de C(A). Por outro lado,
L(A) = L (f(1; 2; 3; 1); (0; 1; 4; 2)g) ,
e o conjunto f(1; 2; 3; 1); (0; 1; 4; 2)g é uma base de L(A). Desta forma:
carA = dim C(A) = dim L(A) = 2.
Por de…nição:
N(A) = u 2 R4
: Au = 0 .
Temos então, pelo método de eliminação de Gauss,
Au = 0 , A0
u = 0.
A equação 2
6
6
4
1 2 3 1
0 1 4 2
0 0 0 0
0 0 0 0
3
7
7
5
2
6
6
4
u1
u2
u3
u4
3
7
7
5 =
2
6
6
4
0
0
0
0
3
7
7
5
257
é equivalente ao sistema
u1 + 2u2 + 3u3 u4 = 0
u2 4u3 + 2u4 = 0
ou seja a
u1 = 2u2 3u3 + u4
u2 = 4u3 + 2u4
e ainda a
u1 = 5u3 3u4
u2 = 4u3 + 2u4.
Logo,
N(A) = f(5u3 3u4; 4u3 + 2u4; u3; u4) : u3; u4 2 Rg .
Como
(5u3 3u4; 4u3 + 2u4; u3; u4) = (5u3; 4u3; u3; 0) + ( 3u4; 2u4; 0; u4)
= u3(5; 4; 1; 0) + u4( 3; 2; 0; 1),
tem-se:
N(A) = L (f(5; 4; 1; 0); ( 3; 2; 0; 1)g) .
O conjunto S = f(5; 4; 1; 0); ( 3; 2; 0; 1)g é linearmente independente. Como S é linear-
mente independente e gera N(A), temos então que S é uma base de N(A) e:
nulA = dim N(A) = 2.
35. Sejam U e V subespaços de W tais que dim U = 4; dim V = 5 e dim W = 7. Tem-se
dim (U  V ) = dim U + dim V dim (U + V ) = 9 dim (U + V ) :
Como U + V é subespaço de W, tem-se
5 = dim V dim (U + V ) dim W = 7
e assim dim (U + V ) 2 f5; 6; 7g. Logo,
dim (U  V ) 2 f2; 3; 4g :
36. Determine bases e calcule as dimensões de U + V e U  V , dizendo em que casos
U + V é a soma directa U V (determine-a) dos subespaços U e V .
(i) Em R3
, considere os subespaços:
U = L (f(1; 1; 1); (0; 1; 1)g) e V = L (f(1; 1; 2); ( 1; 1; 1)g) .
Logo, U + V = L (U [ V ) = L (f(1; 1; 1); (0; 1; 1); (1; 1; 2); ( 1; 1; 1)g). Facilmente se ver-
i…ca que f(1; 1; 1); (0; 1; 1); ( 1; 1; 1)g é uma base de U + V , ou melhor de R3
. Logo,
dim (U + V ) = 3 e
dim(U  V ) = dim U + dim V dim (U + V ) = 2 + 2 3 = 1.
258
Seja (x; y; z) 2 U. Tem-se
2
4
1 0 j x
1 1 j y
1 1 j z
3
5 !
L1+L2!L2
L1+L3!L3
2
4
1 0 j x
0 1 j x + y
0 1 j z x
3
5 !
L2+L3!L3
2
4
1 0 j x
0 1 j x + y
0 0 j z 2x y
3
5 .
Logo
U = (x; y; z) 2 R3
: z 2x y = 0 .
Seja (x; y; z) 2 V . Tem-se
2
4
1 1 j x
1 1 j y
2 1 j z
3
5 !
L1+L2!L2
2L1+L3!L3
2
4
1 1 j x
0 2 j y x
0 3 j z 2x
3
5 !3
2
L2+L3!L3
2
4
1 1 j x
0 2 j y x
0 0 j z 3
2
y 1
2
x
3
5 .
Logo
V = (x; y; z) 2 R3
: 2z 3y x = 0 .
Deste modo
U  V = (x; y; z) 2 R3
: z 2x y = 0 e 2z 3y x = 0 = L (f(1; 3; 5)g)
e como tal, f(1; 3; 5)g é uma base de U  V , tendo-se dim (U  V ) = 1
Neste caso, como U  V 6= f0g então U + V não é a soma directa dos subespaços U e V .
(ii) Sejam U = f(x; y; z) 2 R3
: x + y z = 0 e x + y = 0g ; V = L (f(1; 1; 1)g).
Tem-se (1; 1; 1) =2 U pois 1 + 1 1 6= 0. Logo
U  V = f0g e dim (U  V ) = 0.
Por outro lado, como
U = ( y; y; 0) 2 R3
: y 2 R = L (f( 1; 1; 0)g) ,
tem-se
U + V = L (f( 1; 1; 0); (1; 1; 1)g)
e sendo f( 1; 1; 0); (1; 1; 1)g uma base de U + V , dim (U + V ) = 2.
Além disso, como U  V = f0g,
U + V = U V = L (f( 1; 1; 0); (1; 1; 1)g) .
(iii) Em R3
, considere os subespaços:
U = L (f(1; 0; 1); ( 1; 1; 2)g) e V = f(x; y; z) : x + y + 3z = 0g .
Seja v 2 U, então
v = (1; 0; 1) + ( 1; 1; 2) = ( ; ; + 2 ),
com ; 2 R. Para que v esteja também em V é preciso que:
+ + 3 ( + 2 ) = 0.
259
isto é,
4 + 6 = 0 , =
3
2
.
Assim,
v = (1; 0; 1) + ( 1; 1; 2) =
5
2
; ;
1
2
=
5
2
; 1;
1
2
.
Logo,
U  V =
5
2
; 1;
1
2
: 2 R = L
5
2
; 1;
1
2
e como tal, 5
2
; 1; 1
2
é uma base de U  V , tendo-se dim (U  V ) = 1
Tem-se
V = L (f( 1; 1; 0); ( 3; 0; 1)g) .
Logo,
U + V = L (U [ V ) = L (f(1; 0; 1); ( 1; 1; 2); ( 1; 1; 0); ( 3; 0; 1)g) :
Facilmente se veri…ca que f(1; 0; 1); ( 1; 1; 2); ( 1; 1; 0)g é uma base de U +V , ou melhor de
R3
. Logo, dim (U + V ) = 3:
Neste caso, como U  V 6= f0g então U + V não é a soma directa dos subespaços U e V .
(iv) Em R3
, considere os subespaços:
U = (x; y; z) 2 R3
: x = y = z e V = (x; y; z) 2 R3
: x = 0 .
Tem-se U = L (f(1; 1; 1)g) e V = L (f(0; 1; 0); (0; 0; 1)g).
Como f(1; 1; 1); (0; 1; 0); (0; 0; 1)g é uma base de U + V = L (U [ V ) então
dim (U + V ) = 3 e U + V = U V = R3
.
Como U  V = f0g então dim (U  V ) = 0.
(v) Em P2, considere os subespaços:
U = L 1 + t; 1 t2
e V = a0 + a1t + a2t2
2 P2 : a2 a1 + a0 = 0 .
Seja p (t) 2 U. Então existem ; 2 R tais que
p (t) = a0 + a1t + a2t2
= (1 + t) + 1 t2
.
Atendendo a
2
4
1 1 j a0
1 0 j a1
0 1 j a2
3
5 !
L1+L2!L2
2
4
1 1 j a0
0 1 j a1 a0
0 1 j a2
3
5 !
L2+L3!L3
2
4
1 1 j a0
0 1 j a1 a0
0 0 j a2 a1 + a0
3
5 .
Logo, tem-se
U = V
pelo que
U + V = U = V e U  V = U = V .
260
Assim, f1 + t; 1 t2
g é uma base de U; de V , de U + V e de U  V , tendo-se
dim (U + V ) = dim (U  V ) = 2.
Neste caso, como U  V 6= f0g então U + V não é a soma directa dos subespaços U e V .
(vi) Em P3, considere os subespaços:
U = L 1 + t; 1 t3
e V = L 1 + t + t2
; t t3
; 1 + t + t3
.
Logo
U + V = L (U [ V ) = L 1 + t; 1 t3
; 1 + t + t2
; t t3
; 1 + t + t3
:
Vejamos quais dos vectores do conjunto
1 + t; 1 t3
; 1 + t + t2
; t t3
; 1 + t + t3
são linearmente independentes. Coloquemos então os coe…cientes desses vectores como col-
unas de uma matriz:
A =
2
6
6
4
1 1 1 0 1
1 0 1 1 1
0 0 1 0 0
0 1 0 1 1
3
7
7
5 !
L1+L2!L2
2
6
6
4
1 1 1 0 1
0 1 0 1 0
0 0 1 0 0
0 1 0 1 1
3
7
7
5 !
L2+L4!L4
2
6
6
4
1 1 1 0 1
0 1 0 1 0
0 0 1 0 0
0 0 0 2 1
3
7
7
5 = A0
. (*)
As colunas da matriz A correspondentes às colunas da matriz A0
que contêm os pivots,
formam um conjunto de vectores linearmente independente. Logo, o conjunto
1 + t; 1 t3
; 1 + t + t2
; t t3
é uma base de U + V , tendo-se dim (U + V ) = 4 e deste modo U + V = P3.
Por outro lado, também se conclui de (*) que o conjunto
1 + t; 1 t3
é base de U, tendo-se dim U = 2, e como
2
6
6
4
1 0 1
0 1 0
1 0 0
0 2 1
3
7
7
5 !
L1+L3!L3
L1+L3!L3
2
6
6
4
1 0 1
0 1 0
0 0 1
0 2 1
3
7
7
5 !
2L2+L4!L4
2
6
6
4
1 0 1
0 1 0
0 0 1
0 0 1
3
7
7
5 !
L3+L4!L4
2
6
6
4
1 0 1
0 1 0
0 0 1
0 0 0
3
7
7
5
o conjunto
1 + t + t2
; t t3
; 1 + t + t3
é base de V , tendo-se dim V = 3.
Logo,
dim(U  V ) = dim U + dim V dim (U + V ) = 2 + 3 4 = 1.
Neste caso, como U  V 6= f0g então U + V não é a soma directa dos subespaços U e V .
Determinemos U  V . Seja p (t) = a0 + a1t + a2t2
+ a3t3
2 U. Tem-se
2
6
6
4
1 1 j a0
1 0 j a1
0 0 j a2
0 1 j a3
3
7
7
5 !
L1+L2!L2
2
6
6
4
1 1 j a0
0 1 j a1 a0
0 0 j a2
0 1 j a3
3
7
7
5 !
L2+L4!L4
2
6
6
4
1 1 j a0
0 1 j a1 a0
0 0 j a2
0 0 j a3 + a0 a1
3
7
7
5 .
261
Logo
U = a0 + a1t + a2t2
+ a3t3
2 P3 : a2 = 0 e a3 + a0 a1 = 0 .
Seja q (t) = a0 + a1t + a2t2
+ a3t3
2 V . Tem-se
2
6
6
4
1 0 1 j a0
1 1 1 j a1
1 0 0 j a2
0 1 1 j a3
3
7
7
5 !
L1+L2!L2
L1+L3!L3
2
6
6
4
1 0 1 j a0
0 1 0 j a1 a0
0 0 1 j a2 a0
0 1 1 j a3
3
7
7
5 !
L2+L4!L4
!
L2+L4!L4
2
6
6
4
1 0 1 j a0
0 1 0 j a1 a0
0 0 1 j a2 a0
0 0 1 j a1 a0 + a3
3
7
7
5 !
L3+L4!L4
2
6
6
4
1 0 1 j a0
0 1 0 j a1 a0
0 0 1 j a2 a0
0 0 0 j a1 + a2 2a0 + a3
3
7
7
5 .
Logo
V = a0 + a1t + a2t2
+ a3t3
2 P3 : a1 + a2 2a0 + a3 = 0 .
Deste modo
UV = a0 + a1t + a2t2
+ a3t3
2 P3 : a2 = 0 e a0 a1 + a3 = 0 e 2a0 + a1 + a2 + a3 = 0 =
= a0 + a1t + a2t2
+ a3t3
2 P3 : (a0; a1; a2; a3) 2 N
0
@
2
4
0 0 1 0
1 1 0 1
2 1 1 1
3
5
1
A .
Atendendo a que
2
4
0 0 1 0
1 1 0 1
2 1 1 1
3
5 !
2L2+L3!L3
2
4
0 0 1 0
1 1 0 1
0 1 1 3
3
5 !
L1$L2
2
4
1 1 0 1
0 0 1 0
0 1 1 3
3
5 !
L2$L3
2
4
1 1 0 1
0 1 1 3
0 0 1 0
3
5
tem-se
UV = a0 + a1t + a2t2
+ a3t3
2 P3 : a0 a1 + a3 = 0 e a1 + a2 + 3a3 = 0 e a2 = 0 =
= a0 + a1t + a2t2
+ a3t3
2 P3 : a0 = 2a3 e a1 = 3a3 e a2 = 0 =
= 2a3 + 3a3t + a3t3
2 P3 : a3 2 R = a3 2 + 3t + t3
2 P3 : a3 2 R = L 2 + 3t + t3
.
e como tal, f2 + 3t + t3
g é uma base de U  V , tendo-se dim (U  V ) = 1.
(vii) Em R4
, considere os subespaços:
U = L (f(2; 2; 1; 2); ( 1; 1; 1; 3); (0; 0; 6; 8); ( 1; 1; 5; 5)g)
e
V = L (f(0; 0; 0; 1); (0; 1; 2; 3); (0; 2; 4; 8)g) .
Atendendo a que
A =
2
6
6
4
2 1 0 1 0 0 0
2 1 0 1 0 1 2
1 1 6 5 0 2 4
2 3 8 5 1 3 8
3
7
7
5 !
L1+L2!L2
1
2
L1+L3!L3
L1+L4!L4
2
6
6
4
2 1 0 1 0 0 0
0 0 0 0 0 1 2
0 3=2 6 9=2 0 2 4
0 2 8 6 1 3 8
3
7
7
5 !
L2$L4
262
!
L2$L4
2
6
6
4
2 1 0 1 0 0 0
0 2 8 6 1 3 8
0 3=2 6 9=2 0 2 4
0 0 0 0 0 1 2
3
7
7
5 !3
4
L2+L3!L3
2
6
6
4
2 1 0 1 0 0 0
0 2 8 6 1 3 8
0 0 0 0 3=4 1=4 2
0 0 0 0 0 1 2
3
7
7
5 = A0
(*).
As colunas da matriz A correspondentes às colunas da matriz A0
que contêm os pivots,
formam um conjunto de vectores linearmente independente. Logo, o conjunto
f(2; 2; 1; 2); ( 1; 1; 1; 3); (0; 1; 2; 3); (0; 2; 4; 8)g
é uma base de U + V , tendo-se dim (U + V ) = 4 e deste modo U + V = R4
.
Por outro lado, também se conclui de (*) que o conjunto
f(2; 2; 1; 2); ( 1; 1; 1; 3)g
é base de U, tendo-se dim U = 2, e como
2
6
6
4
0 0 0
1 3 8
3=4 1=4 2
0 1 2
3
7
7
5 !
L1$L2
2
6
6
4
1 3 8
0 0 0
3=4 1=4 2
0 1 2
3
7
7
5 !
L2$L4
4L3!L3
2
6
6
4
1 3 8
0 1 2
3 1 8
0 0 0
3
7
7
5 !
3L1+L3!L3
!
3L1+L3!L3
2
6
6
4
1 3 8
0 1 2
0 8 16
0 0 0
3
7
7
5 !
8L2+L3!L3
2
6
6
4
1 3 8
0 1 2
0 0 0
0 0 0
3
7
7
5
o conjunto
f(0; 0; 0; 1); (0; 1; 2; 3)g
é base de V , tendo-se dim V = 2.
Logo,
dim(U  V ) = dim U + dim V dim (U + V ) = 2 + 2 4 = 0.
Neste caso, como U  V = f0g então
U + V = U V = R4
:
(viii) Em R4
, considere os subespaços:
U = (x; y; z; w) 2 R4
: x + 2y + 3z = 0 e y + 2z + 3w = 0
e
V = L (f(2; 5; 4; 1); (0; 9; 6; 1); ( 4; 1; 2; 1)g) .
Seja (x; y; z; w) 2 V . Então existem ; ; 2 R tais que
(x; y; z; w) = (2; 5; 4; 1) + (0; 9; 6; 1) + ( 4; 1; 2; 1).
Atendendo a
2
6
6
4
2 0 4 j x
5 9 1 j y
4 6 2 j z
1 1 1 j w
3
7
7
5 !
L1$L4
2
6
6
4
1 1 1 j w
5 9 1 j y
4 6 2 j z
2 0 4 j x
3
7
7
5 !
5L1+L2!L2
4L1+L3!L3
2L1+L4!L4
263
!
5L1+L2!L2
4L1+L3!L3
2L1+L4!L4
2
6
6
4
1 1 1 j w
0 4 4 j y 5w
0 2 2 j z + 4w
0 2 2 j x 2w
3
7
7
5 !1
2
L2+L3!L3
1
2
L2+L4!L4
2
6
6
4
1 1 1 j w
0 4 4 j y 5w
0 0 0 j 3
2
w + 1
2
y + z
0 0 0 j x 9
2
w + 1
2
y
3
7
7
5 (*)
Logo, tem-se
V = (x; y; z; w) 2 R4
:
3
2
w +
1
2
y + z = 0 e x
9
2
w +
1
2
y = 0 =
= (x; y; z; w) 2 R4
: y + 2z + 3w = 0 e x + 2y + 3z = 0 = U
pelo que
U + V = U = V e U  V = U = V .
Atendendo ainda a (*), o conjunto f(2; 5; 4; 1); (0; 9; 6; 1); ( 4; 1; 2; 1)g é linearmente
dependente, sendo linearmente independente o seguinte seu subconjunto
f(2; 5; 4; 1); (0; 9; 6; 1)g .
Assim, f(2; 5; 4; 1); (0; 9; 6; 1)g é uma base de U; de V , de U + V e de U  V , tendo-se
dim (U + V ) = dim (U  V ) = 2.
Neste caso, como U  V 6= f0g então U + V não é a soma directa dos subespaços U e V .
(ix) Seja U o subespaço de R5
gerado por
f(1; 1; 1; 2; 0); (1; 2; 2; 0; 3); (1; 1; 2; 2; 1)g .
Seja V o subespaço de R5
gerado por
f(1; 2; 3; 0; 2); (1; 1; 3; 2; 4); (1; 1; 2; 2; 5)g .
Atendendo a que
A =
2
6
6
6
6
4
1 1 1 1 1 1
1 2 1 2 1 1
1 2 2 3 3 2
2 0 2 0 2 2
0 3 1 2 4 5
3
7
7
7
7
5
!
L1+L2!L2
L1+L3!L3
2L1+L4!L4
2
6
6
6
6
4
1 1 1 1 1 1
0 1 0 1 0 0
0 1 1 2 2 1
0 2 0 2 4 4
0 3 1 2 4 5
3
7
7
7
7
5
!
L2+L3!L3
2L2+L4!L4
3L2+L5!L5
!
L2+L3!L3
2L2+L4!L4
3L2+L5!L5
2
6
6
6
6
4
1 1 1 1 1 1
0 1 0 1 0 0
0 0 1 1 2 1
0 0 0 0 4 4
0 0 1 1 4 5
3
7
7
7
7
5
!
L3+L5!L5
2
6
6
6
6
4
1 1 1 1 1 1
0 1 0 1 0 0
0 0 1 1 2 1
0 0 0 0 4 4
0 0 0 0 6 6
3
7
7
7
7
5
!3
2
L4+L5!L5
!3
2
L4+L5!L5
2
6
6
6
6
4
1 1 1 1 1 1
0 1 0 1 0 0
0 0 1 1 2 1
0 0 0 0 4 4
0 0 0 0 0 0
3
7
7
7
7
5
= A0
(*).
264
As colunas da matriz A correspondentes às colunas da matriz A0
que contêm os pivots,
formam um conjunto de vectores linearmente independente. Logo, o conjunto
f(1; 1; 1; 2; 0); (1; 2; 2; 0; 3); (1; 1; 2; 2; 1); (1; 1; 3; 2; 4)g
é uma base de U + V , tendo-se dim (U + V ) = 4.
Por outro lado, também se conclui de (*) que o conjunto
f(1; 1; 1; 2; 0); (1; 2; 2; 0; 3); (1; 1; 2; 2; 1)g
é base de U, tendo-se dim U = 3, e como
2
6
6
6
6
4
1 1 1
1 0 0
1 2 1
0 4 4
0 0 0
3
7
7
7
7
5
!
L1+L2!L2
L1+L3!L3
2
6
6
6
6
4
1 1 1
0 1 1
0 1 0
0 4 4
0 0 0
3
7
7
7
7
5
!
L2+L3!L3
4L2+L4!L4
2
6
6
6
6
4
1 1 1
0 1 1
0 0 1
0 0 0
0 0 0
3
7
7
7
7
5
o conjunto
f(1; 2; 3; 0; 2); (1; 1; 3; 2; 4); (1; 1; 2; 2; 5)g
é base de V , tendo-se dim V = 3.
Logo,
dim(U  V ) = dim U + dim V dim (U + V ) = 3 + 3 4 = 2.
Neste caso, como U  V 6= f0g então U + V não é a soma directa dos subespaços U e V .
Determinemos uma base para U  V .
Atendendo a
2
6
6
6
6
4
1 1 1 j x1
1 2 1 j x2
1 2 2 j x3
2 0 2 j x4
0 3 1 j x5
3
7
7
7
7
5
!
L1+L2!L2
L1+L3!L3
2L1+L4!L4
2
6
6
6
6
4
1 1 1 j x1
0 1 0 j x1 + x2
0 1 1 j x1 + x3
0 2 0 j 2x1 + x4
0 3 1 j x5
3
7
7
7
7
5
!
L2+L3!L3
2L2+L4!L4
3L2+L5!L5
!
L2+L3!L3
2L2+L4!L4
3L2+L5!L5
2
6
6
6
6
4
1 1 1 j x1
0 1 0 j x1 + x2
0 0 1 j x2 + x3
0 0 0 j 4x1 + 2x2 + x4
0 0 1 j 3x1 3x2 + x5
3
7
7
7
7
5
!
L3+L5!L5
2
6
6
6
6
4
1 1 1 j x1
0 1 0 j x1 + x2
0 0 1 j x2 + x3
0 0 0 j 4x1 + 2x2 + x4
0 0 0 j 3x1 4x2 + x3 + x5
3
7
7
7
7
5
tem-se
U = (x1; x2; x3; x4; x5) 2 R5
: 4x1 + 2x2 + x4 = 0 e 3x1 4x2 + x3 + x5 = 0 .
Por outro lado, atendendo a
2
6
6
6
6
4
1 1 1 j x1
2 1 1 j x2
3 3 2 j x3
0 2 2 j x4
2 4 5 j x5
3
7
7
7
7
5
!
2L1+L2!L2
3L1+L3!L3
2L1+L5!L5
2
6
6
6
6
4
1 1 1 j x1
0 1 1 j 2x1 + x2
0 0 1 j 3x1 + x3
0 2 2 j x4
0 2 3 j 2x1 + x5
3
7
7
7
7
5
!
2L2+L4!L4
L3+L5!L5
265
!
2L2+L4!L4
L3+L5!L5
2
6
6
6
6
4
1 1 1 j x1
0 1 1 j 2x1 + x2
0 0 1 j 3x1 + x3
0 0 0 j 4x1 2x2 + x4
0 2 2 j 5x1 + x3 + x5
3
7
7
7
7
5
!
2L2+L5!L5
2
6
6
6
6
4
1 1 1 j x1
0 1 1 j 2x1 + x2
0 0 1 j 3x1 + x3
0 0 0 j 4x1 2x2 + x4
0 0 0 j 9x1 + 2x2 + x3 + x5
3
7
7
7
7
5
tem-se
V = (x1; x2; x3; x4; x5) 2 R5
: 4x1 2x2 + x4 = 0 e 9x1 + 2x2 + x3 + x5 = 0 .
Logo
U  V =
(x1; x2; x3; x4; x5) 2 R5
: 4x1 + 2x2 + x4 = 0 e 3x1 4x2 + x3 + x5 = 0
e 4x1 2x2 + x4 = 0 e 9x1 + 2x2 + x3 + x5 = 0
Como
2
6
6
4
4 2 0 1 0
3 4 1 0 1
4 2 0 1 0
9 2 1 0 1
3
7
7
5 !
L1+L3!L3
3L2+L4!L4
2
6
6
4
4 2 0 1 0
3 4 1 0 1
0 0 0 2 0
0 10 4 0 4
3
7
7
5 !3
4
L1+L2!L2
2
6
6
4
4 2 0 1 0
0 5
2
1 3
4
1
0 0 0 2 0
0 10 4 0 4
3
7
7
5 !
4L2+L4!L4
!
4L2+L4!L4
2
6
6
4
4 2 0 1 0
0 5
2
1 3
4
1
0 0 0 2 0
0 0 0 3 0
3
7
7
5 !
4L2!L2
3
2
L3+L4!L44
2
6
6
4
4 2 0 1 0
0 10 4 3 4
0 0 0 2 0
0 0 0 0 0
3
7
7
5
tem-se 8
<
:
4x1 + 2x2 + x4 = 0
10x2 + 4x3 + 3x4 + 4x5 = 0
2x4 = 0
,
8
<
:
x1 = 1
2
x2 = 1
5
x3
1
5
x5
x2 = 2
5
x3 + 2
5
x5
x4 = 0
pelo que
U  V =
1
5
x3
1
5
x5;
2
5
x3 +
2
5
x5; x3; 0; x5 2 R5
: x3; x5 2 R =
= L
1
5
;
2
5
; 1; 0; 0 ;
1
5
;
2
5
; 0; 0; 1 .
Como o conjunto
1
5
;
2
5
; 1; 0; 0 ;
1
5
;
2
5
; 0; 0; 1
gera U V e é linearmente independente, então é uma base de U V , tendo-se dim (U  V ) =
2.
(x) Atendendo a que
A =
2
6
6
4
1 0 1 0 1 1 0
0 1 0 0 1 2 0
1 1 0 1 1 0 1
0 1 2 2 1 1 1
3
7
7
5 !
L1+L3!L3
1
2
L1+L3!L3
L1+L4!L4
2
6
6
4
1 0 1 0 1 1 0
0 1 0 0 1 2 0
0 1 1 1 2 1 1
0 1 2 2 1 1 1
3
7
7
5 !
L2+L3!L3
L2+L4!L4
266
!
L2+L3!L3
L2+L4!L4
2
6
6
4
1 0 1 0 1 1 0
0 1 0 0 1 2 0
0 0 1 1 1 1 1
0 0 2 2 0 3 1
3
7
7
5 !
2L3+L4!L4
2
6
6
4
1 0 1 0 1 1 0
0 1 0 0 1 2 0
0 0 1 1 1 1 1
0 0 0 0 2 5 3
3
7
7
5 = A0
(*).
As colunas da matriz A correspondentes às colunas da matriz A0
que contêm os pivots,
formam um conjunto de vectores linearmente independente. Logo, o conjunto
f(1; 0; 1; 0); (0; 1; 1; 1); (1; 0; 0; 2) ; (1; 1; 1; 1)g
é uma base de U + V , tendo-se dim (U + V ) = 4 e assim U + V = R4
.
Por outro lado, também se conclui de (*) que o conjunto
f(1; 0; 1; 0); (0; 1; 1; 1); (1; 0; 0; 2)g
é base de U, tendo-se dim U = 3, e como
2
6
6
4
1 1 0
1 2 0
1 1 1
2 5 3
3
7
7
5 !
L1+L2!L2
L1+L3!L3
2L1+L4!L4
2
6
6
4
1 1 0
0 1 0
0 2 1
0 7 3
3
7
7
5 !
2L2+L3!L3
7L2+L4!L4
2
6
6
4
1 1 0
0 1 0
0 0 1
0 0 3
3
7
7
5 !
3L3+L4!L4
2
6
6
4
1 1 0
0 1 0
0 0 1
0 0 0
3
7
7
5
o conjunto
f(1; 1; 1; 1); (1; 2; 0; 1); (0; 0; 1; 1)g
é base de V , tendo-se dim V = 3.
Logo,
dim(U  V ) = dim U + dim V dim (U + V ) = 3 + 3 4 = 2.
Uma base para U  V .
Atendendo a
2
6
6
4
1 0 1 j x1
0 1 0 j x2
1 1 0 j x3
0 1 2 j x4
3
7
7
5 !
L1+L3!L3
2
6
6
4
1 0 1 j x1
0 1 0 j x2
0 1 1 j x1 + x3
0 1 2 j x4
3
7
7
5 !
L2+L3!L3
L2+L4!L4
!
L2+L3!L3
L2+L4!L4
2
6
6
4
1 0 1 j x1
0 1 0 j x2
0 0 1 j x1 + x3 x2
0 0 2 j x4 x2
3
7
7
5 !
2L3+L4!L4
2
6
6
4
1 0 1 j x1
0 1 0 j x2
0 0 1 j x1 + x3 x2
0 0 0 j 2x1 3x2 + 2x3 + x4
3
7
7
5
tem-se
U = (x1; x2; x3; x4) 2 R4
: 2x1 3x2 + 2x3 + x4 = 0
Por outro lado, atendendo a
2
6
6
4
1 1 0 j x1
1 2 0 j x2
1 0 1 j x3
1 1 1 j x4
3
7
7
5 !
L1+L2!L2
L1+L3!L3
L1+L4!L4
2
6
6
4
1 1 0 j x1
0 1 0 j x2 x1
0 1 1 j x3 x1
0 2 1 j x4 x1
3
7
7
5 !
L2+L3!L3
2L2+L4!L4
267
!
L2+L3!L3
2L2+L4!L4
2
6
6
4
1 1 0 j x1
0 1 0 j x2 x1
0 0 1 j x2 2x1 + x3
0 0 1 j 2x2 3x1 + x4
3
7
7
5 !
L3+L4!L4
2
6
6
4
1 1 0 j x1
0 1 0 j x2 x1
0 0 1 j x2 2x1 + x3
0 0 0 j x2 x1 x3 + x4
3
7
7
5
tem-se
V = (x1; x2; x3; x4) 2 R4
: x1 + x2 x3 + x4 = 0 .
Logo
U  V = (x1; x2; x3; x4) 2 R4
: 2x1 3x2 + 2x3 + x4 = 0 e x1 + x2 x3 + x4 = 0 =
= (x1; x2; x3; x4) 2 R4
: x2 = 3x4 e x1 = x3 + 4x4 =
= f( x3 + 4x4; 3x4; x3; x4) : x3; x4) 2 Rg = L (f( 1; 0; 1; 0) ; (4; 3; 0; 1)g)
Como o conjunto
f( 1; 0; 1; 0) ; (4; 3; 0; 1)g
gera U V e é linearmente independente, então é uma base de U V , tendo-se dim (U  V ) =
2.
37.
A =
2
6
6
6
6
4
1 1 0 2 1
0 0 2 4 0
2 2 1 2 1
1 1 2 2 1
0 0 0 0 0
3
7
7
7
7
5
!
2L1+L3!L3
L1+L4!L4
2
6
6
6
6
4
1 1 0 2 1
0 0 2 4 0
0 0 1 2 1
0 0 2 4 2
0 0 0 0 0
3
7
7
7
7
5
!1
2
L2+L3!L3
L2+L4!L4
!1
2
L2+L3!L3
L2+L4!L4
2
6
6
6
6
4
1 1 0 2 1
0 0 2 4 0
0 0 0 0 1
0 0 0 0 2
0 0 0 0 0
3
7
7
7
7
5
!
2L3+L4!L4
2
6
6
6
6
4
1 1 0 2 1
0 0 2 4 0
0 0 0 0 1
0 0 0 0 0
0 0 0 0 0
3
7
7
7
7
5
= A0
.
(i)
carA = dim C(A) = dim L(A) = 3.
Como A tem 5 colunas e
no
de colunas de A = carA + nulA,
então
nulA = 2, isto é, dim N(A) = 2.
(ii) As colunas da matriz A correspondentes às colunas da matriz A0
que contêm os
pivots, formam um conjunto de vectores linearmente independente. Logo,
C(A) = L (f(1; 0; 2; 1; 0); (0; 2; 1; 2; 0); (1; 0; 1; 1; 0)g)
268
e o conjunto f(1; 0; 2; 1; 0); (0; 2; 1; 2; 0); (1; 0; 1; 1; 0)g é uma base de C(A).
Por de…nição:
N(A) = u 2 R5
: Au = 0 .
Temos então, pelo método de eliminação de Gauss,
Au = 0 , A0
u = 0.
A equação matricial 2
6
6
6
6
4
1 1 0 2 1
0 0 2 4 0
0 0 0 0 1
0 0 0 0 0
0 0 0 0 0
3
7
7
7
7
5
2
6
6
6
6
4
u1
u2
u3
u4
u5
3
7
7
7
7
5
=
2
6
6
6
6
4
0
0
0
0
0
3
7
7
7
7
5
é equivalente ao sistema 8
<
:
u1 u2 + 2u4 + u5 = 0
2u3 + 4u4 = 0
u5 = 0
ou seja a 8
<
:
u1 = u2 2u4
u3 = 2u4
u5 = 0.
Logo,
N(A) = f(u2 2u4; u2; 2u4; u4; 0) : u2; u4 2 Rg .
Como
(u2 2u4; u2; 2u4; u4; 0) = (u2; u2; 0; 0; 0) + ( 2u4; 0; 2u4; u4; 0)
= u2(1; 1; 0; 0; 0) + u4( 2; 0; 2; 1; 0),
tem-se:
N(A) = L (f(1; 1; 0; 0; 0); ( 2; 0; 2; 1; 0)g) .
Facilmente se veri…ca que o conjunto S = f(1; 1; 0; 0; 0); ( 2; 0; 2; 1; 0)g é linearmente in-
dependente. Como S é linearmente independente e gera N(A), temos então que S é uma
base de N(A).
(iii) A solução geral do sistema de equações lineares homogéneo Au = 0 é dada por
(1; 1; 0; 0; 0) + ( 2; 0; 2; 1; 0),
com ; 2 R.
(iv) Uma solução particular de Au = b, com b = (1; 0; 2; 1; 0), é por exemplo u =
(1; 0; 0; 0; 0). Logo, a solução geral de Au = b é dada por:
(1; 0; 0; 0; 0) + (1; 1; 0; 0; 0) + ( 2; 0; 2; 1; 0).
Observação. Note que se tem sempre:
no
de colunas de A = carA + nulA.
269
38. (i) Se A 2 M3 3(R) é tal que car A = 3 e car[A j B] = 3 então
car A = dim L(A) = dim C(A) = 3.
Logo,
nul A = dim N(A) = 0.
Como carAT
= dim L(AT
) = dim C(AT
) = 3 então
nul AT
= dim N(AT
) = 0.
O correspondente sistema de equações lineares não homogéneo AX = B é possível e deter-
minado. Neste caso, na solução geral de AX = B, não existe nenhum parâmetro.
(ii) Se A 2 M3 3(R) é tal que car A = 2 e car[A j B] = 3 então
car A = dim L(A) = dim C(A) = 2:
Logo,
nul A = dim N(A) = 1:
Como carAT
= dim L(AT
) = dim C(AT
) = 2 então
nul AT
= dim N(AT
) = 1:
O correspondente sistema de equações lineares não homogéneo AX = B é impossível.
(iii) Se A 2 M3 3(R) é tal que car A = 1 e car[A j B] = 1 então
car A = dim L(A) = dim C(A) = 1:
Logo,
nul A = dim N(A) = 2:
Como carAT
= dim L(AT
) = dim C(AT
) = 1 então
nul AT
= dim N(AT
) = 2:
O correspondente sistema de equações lineares não homogéneo AX = B é possível e inde-
terminado. Neste caso, na solução geral de AX = B, existem dois parâmetros.
(iv) Se A 2 M5 9(R) é tal que car A = 2 e car[A j B] = 2 então
car A = dim L(A) = dim C(A) = 2:
Logo,
nul A = dim N(A) = 7:
Como carAT
= dim L(AT
) = dim C(AT
) = 2 então
nul AT
= dim N(AT
) = 3:
O correspondente sistema de equações lineares não homogéneo AX = B é possível e inde-
terminado. Neste caso, na solução geral de AX = B, existem 7 parâmetros.
270
(v) Se A 2 M9 5(R) é tal que car A = 2 e car[A j B] = 3 então
car A = dim L(A) = dim C(A) = 2:
Logo,
nul A = dim N(A) = 3:
Como carAT
= dim L(AT
) = dim C(AT
) = 2 então
nul AT
= dim N(AT
) = 7:
O correspondente sistema de equações lineares não homogéneo AX = B é impossível.
(vi) Se A 2 M4 4(R) é tal que car A = 0 e car[A j B] = 0 então
car A = dim L(A) = dim C(A) = 0:
Logo,
nul A = dim N(A) = 4:
Como carAT
= dim L(AT
) = dim C(AT
) = 0 então
nul AT
= dim N(AT
) = 4:
O correspondente sistema de equações lineares não homogéneo AX = B é possível e inde-
terminado. Neste caso, na solução geral de AX = B, existem 4 parâmetros.
(vii) Se A 2 M6 2(R) é tal que car A = 2 e car[A j B] = 2 então
car A = dim L(A) = dim C(A) = 2:
Logo,
nul A = dim N(A) = 0:
Como carAT
= dim L(AT
) = dim C(AT
) = 2 então
nul AT
= dim N(AT
) = 4:
O correspondente sistema de equações lineares não homogéneo AX = B é possível e deter-
minado. Neste caso, na solução geral de AX = B, não existe nenhum parâmetro.
39. Queremos encontrar A tal que N(A) = L (f(2; 0; 1)g). Por de…nição N(A) =
fu 2 R3
: Au = 0g. Por outro lado, temos
L (f(2; 0; 1)g) = f (2; 0; 1) : 2 Rg = (u1; u2; u3) 2 R3
: u2 = 0 e u1 = 2u3 .
Por exemplo:
A =
1 0 2
0 1 0
veri…ca
N(A) = L (f(2; 0; 1)g) ,
271
pois
Au = 0 ,
2
6
6
4
1 0 2
0 1 0
0 0 0
0 0 0
3
7
7
5
2
4
u1
u2
u3
3
5 =
2
4
0
0
0
3
5 ,
8
<
:
u1 + 2u3 = 0
u2 = 0.
40. Não é possível encontrar A tal que
(1; 1; 1) 2 L(A) e (1; 0; 0) 2 N(A),
pois se (1; 0; 0) 2 N(A) então a primeira entrada de todas as linhas de A é 0. Pelo que, nesse
caso, não se pode ter (1; 1; 1) 2 L(A).
41. Seja A 2 M3 3(R) tal que nul A = 3. Uma vez que
no
de colunas de A = carA + nulA,
então car A = 0. Isto é, A =
2
4
0 0 0
0 0 0
0 0 0
3
5.
42. Seja A 2 Mm n(R) tal que
C(A) = N(A):
Logo, o no
de linhas de A é igual ao no
de colunas de A. Isto é, m = n. Além disso, como
n = carA + nulA,
tem-se
n = 2 dim N(A).
Pelo que, A 2 Mn n(R) com n par. Exemplo:
A =
2
6
6
4
0 0 1 0
0 0 0 1
0 0 0 0
0 0 0 0
3
7
7
5 :
43. Seja A 2 Mn n(R) tal que car A = n. Logo, A é invertível. Isto é, existe A 1
tal
que AA 1
= A 1
A = I. Além disso, se A fôr tal que A2
= A, então
A = AI = A(AA 1
) = (AA)A 1
= A2
A 1
= AA 1
= I.
Logo, A = I.
272
44. Sejam B1 = f(1; 2); (0; 1)g e B2 = f(1; 1); (2; 3)g duas bases ordenadas de R2
. Seja
v = (1; 5).
(i) Tem-se v = (1; 2)+3(0; 1). Logo, 1 e 3 são as coordenadas de v em relação à base B1.
(ii) Tem-se
SB1!B2 =
1 2
1 1
,
uma vez que (1; 2) = (1; 1) + (2; 3) e (0; 1) = 2(1; 1) + (2; 3).
(iii) As coordenadas de v = (1; 5) em relação à base B2, são dadas por:
SB1!B2
1
5
=
1 2
1 1
1
3
=
7
4
,
uma vez que 1 e 3 são as coordenadas de v em relação à base B1.
(iv) Tem-se v = (1; 5) = 7(1; 1) + 4(2; 3).
(v) Tem-se
SB2!B1 =
1 2
1 1
,
uma vez que (1; 1) = (1; 2) (0; 1) e (2; 3) = 2(1; 2) (0; 1).
Observação:
SB2!B1 = (SB1!B2 ) 1
e SB1!B2 = (SB2!B1 ) 1
.
(vi) As coordenadas de v = (1; 5) em relação à base B1, são dadas por:
SB2!B1
7
4
=
1 2
1 1
7
4
=
1
3
,
uma vez que 7 e 4 são as coordenadas de v em relação à base B2.
45. Sejam B1 = fv1; v2g e B2 = fw1; w2g duas bases ordenadas de R2
, onde
v1 = (1; 2), v2 = (0; 1).
Seja
SB2!B1 =
2 1
1 1
,
a matriz de mudança da base B2 para a base B1. Determinemos B2.
Uma vez que
SB2!B1 =
2 1
1 1
,
então w1 = 2v1 + v2 = 2(1; 2) + (0; 1) = (2; 5) e w2 = v1 + v2 = (1; 2) + (0; 1) = (1; 3).
Logo,
B2 = f(2; 5); (1; 3)g .
273
46. Sejam B1 = fv1; v2g e B2 = fw1; w2g duas bases ordenadas de P1, onde
w1 = 1 + t, w2 = 1 + t.
Seja
SB1!B2 =
2 3
1 2
,
a matriz de mudança da base B1 para a base B2. Determinemos B1.
Uma vez que
SB1!B2 =
2 3
1 2
,
então v1 = 2 ( 1 + t) (1 + t) = 3 + t e v2 = 3 ( 1 + t) + 2 (1 + t) = 1 + 5t. Logo,
B1 = f 3 + t; 1 + 5tg .
47. Sejam B1 = f1; 1 t; t2
g e B2 = f1; 1 + t; 1 + t + t2
g duas bases ordenadas de P2.
(i) Sejam 1; 2 e 3 as coordenadas de um vector p(t) 2 P2 em relação à base B2. Deter-
minemos as coordenadas do mesmo vector p(t) em relação à base B1.
Tem-se
p(t) = 1 + 2 (1 + t) + 3 1 + t + t2
= 6 + 5t + 3t2
= 1 + (1 t) + t2
.
É fácil ver que = 11, = 5 e = 3.
Resolução alternativa: Tem-se
SB2!B1 =
2
4
1 2 2
0 1 1
0 0 1
3
5 ,
uma vez que 1 = 1 + 0 (1 t) + 0t2
, 1 + t = 2 (1 t) + 0t2
e 1 + t + t2
= 2 (1 t) + t2
.
Logo, as coordenadas de p(t) em relação à base B1 são dadas por:
SB2!B1
2
4
1
2
3
3
5 =
2
4
1 2 2
0 1 1
0 0 1
3
5
2
4
1
2
3
3
5 =
2
4
11
5
3
3
5 ,
onde 1; 2 e 3 são as coordenadas de p(t) em relação à base B2.
(ii) Determinemos a matriz SB1!B2 de mudança da base B1 para a base B2.
Como
1 = 1 1 + 0 (1 + t) + 0 (1 + t + t2
)
1 t = 2 1 (1 + t) + 0 (1 + t + t2
)
t2
= 0 1 (1 + t) + (1 + t + t2
)
274
então
SB1!B2 =
2
4
1 2 0
0 1 1
0 0 1
3
5 .
Além disso, bastaria ver que
SB1!B2 = (SB2!B1 ) 1
=
2
4
1 2 2
0 1 1
0 0 1
3
5
1
=
2
4
1 2 0
0 1 1
0 0 1
3
5 .
Logo, como
2 t + t2
= 1 + (1 t) + t2
as coordenadas do vector 2 t + t2
na base B2 são dadas por
SB1!B2
2
4
1
1
1
3
5 =
2
4
1 2 0
0 1 1
0 0 1
3
5
2
4
1
1
1
3
5 =
2
4
3
2
1
3
5 ,
ou seja
2 t + t2
= 3 2 (1 + t) + 1 + t + t2
.
48. Sejam B1 = fv1; v2g e B2 = fw1; w2g duas bases ordenadas de P1, onde
w1 = t, w2 = 1 t.
Seja
SB2!B1 =
2 3
1 2
,
a matriz de mudança da base B2 para a base B1. Determinemos B1.
Uma vez que
SB2!B1 =
2 3
1 2
,
então w1 = 2v1 v2 e w2 = 3v1 + 2v2. Isto é, tem-se o sistema
8
<
:
2v1 v2 = t
3v1 + 2v2 = 1 t,
cuja matriz aumentada é dada por
2 1 j t
3 2 j 1 t
.
Pelo método de eliminação de Gauss:
2 1 j t
3 2 j 1 t
!3
2
L1+L2!L2
2 1 j t
0 7
2
j 1 5
2
t
.
275
Logo, v2 = 2
7
5
7
t e v1 = 1
2
(v2 + t) = 1
7
+ 1
7
t. Logo,
B1 =
1
7
+
1
7
t;
2
7
5
7
t .
49. Sejam B1 = fv1; v2; v3g e B2 = fw1; w2; w3g duas bases ordenadas de R3
, onde
v1 = (1; 0; 1), v2 = (1; 1; 0), v3 = (0; 0; 1).
Seja
SB1!B2 =
2
4
1 1 2
2 1 1
1 1 1
3
5 ,
a matriz de mudança da base B1 para a base B2. Determinemos B2 = fw1; w2; w3g. Uma
vez que
SB1!B2 =
2
4
1 1 2
2 1 1
1 1 1
3
5 ,
então v1 = w1 + 2w2 w3; v2 = w1 + w2 w3 e v3 = 2w1 + w2 + w3. Isto é, tem-se o
sistema 8
<
:
w1 + 2w2 w3 = (1; 0; 1)
w1 + w2 w3 = (1; 1; 0)
2w1 + w2 + w3 = (0; 0; 1),
cuja matriz aumentada é dada por
2
4
1 2 1 j 1 0 1
1 1 1 j 1 1 0
2 1 1 j 0 0 1
3
5 .
Pelo método de eliminação de Gauss:
2
4
1 2 1 j (1; 0; 1)
1 1 1 j (1; 1; 0)
2 1 1 j (0; 0; 1)
3
5 !
L1+L2!L2
2L1+L3!L3
2
4
1 2 1 j (1; 0; 1)
0 1 0 j (0; 1; 1)
0 3 3 j ( 2; 0; 1)
3
5 !
3L2+L3!L3
!
3L2+L3!L3
2
4
1 2 1 j (1; 0; 1)
0 1 0 j (0; 1; 1)
0 0 3 j ( 2; 3; 2)
3
5 .
Tem-se então o sistema 8
>>>><
>>>>:
w1 + 2w2 w3 = (1; 0; 1)
w2 = (0; 1; 1)
3w3 = ( 2; 3; 2).
Logo, w3 = 2
3
; 1; 2
3
; w2 = (0; 1; 1) e w1 = (1; 0; 1) 2(0; 1; 1) + 2
3
; 1; 2
3
=
1
3
; 1; 1
3
. Logo,
B2 =
1
3
; 1;
1
3
; (0; 1; 1);
2
3
; 1;
2
3
.
276
Note que 2
4
1
3
0 2
3
1 1 1
1
3
1 2
3
3
5
2
4
1 1 2
2 1 1
1 1 1
3
5 =
2
4
1 1 0
0 1 0
1 0 1
3
5 ,
,
2
4
1
3
0 2
3
1 1 1
1
3
1 2
3
3
5 =
2
4
1 1 0
0 1 0
1 0 1
3
5
2
4
2
3
1 1
3
1 1 1
1
3
0 1
3
3
5
em que
SB2!B1 =
2
4
1 1 2
2 1 1
1 1 1
3
5
1
=
2
4
2
3
1 1
3
1 1 1
1
3
0 1
3
3
5 ;
SB1!B2 =
2
4
1 1 2
2 1 1
1 1 1
3
5 ,
B1 = f(1; 0; 1); (1; 1; 0); (0; 0; 1)g ,
B2 =
1
3
; 1;
1
3
; (0; 1; 1);
2
3
; 1;
2
3
.
50. Sejam
B1 =
1 0
0 0
;
0 1
0 0
;
0 0
1 0
,
0 0
0 1
e
B2 =
1 1
1 1
;
1 1
1 1
;
1 1
1 1
,
1 1
1 1
duas bases ordenadas de M2 2(R). Determinemos a matriz SB1!B2 de mudança da base B1
para a base B2.
Queremos encontrar a1; a2; a3; a4; b1; b2; b3; b4; c1; c2; c3; c4; d1; d2; d3; d4 2 R tais que
1 0
0 0
= a1
1 1
1 1
+ a2
1 1
1 1
+ a3
1 1
1 1
+ a4
1 1
1 1
0 1
0 0
= b1
1 1
1 1
+ b2
1 1
1 1
+ b3
1 1
1 1
+ b4
1 1
1 1
0 0
1 0
= c1
1 1
1 1
+ c2
1 1
1 1
+ c3
1 1
1 1
+ c4
1 1
1 1
0 0
0 1
= d1
1 1
1 1
+ d2
1 1
1 1
+ d3
1 1
1 1
+ d4
1 1
1 1
.
Atendendo a
2
6
6
4
1 1 1 1 j 1 0 0 0
1 1 1 1 j 0 1 0 0
1 1 1 1 j 0 0 1 0
1 1 1 1 j 0 0 0 1
3
7
7
5 !
L1+L2!L2
L1+L3!L3
L1+L4!L4
2
6
6
4
1 1 1 1 j 1 0 0 0
0 0 2 2 j 1 1 0 0
0 2 0 2 j 1 0 1 0
0 2 2 0 j 1 0 0 1
3
7
7
5 !
L2$L4
277
!
L2$L4
2
6
6
4
1 1 1 1 j 1 0 0 0
0 2 2 0 j 1 0 0 1
0 2 0 2 j 1 0 1 0
0 0 2 2 j 1 1 0 0
3
7
7
5 !
L2+L3!L3
2
6
6
4
1 1 1 1 j 1 0 0 0
0 2 2 0 j 1 0 0 1
0 0 2 2 j 0 0 1 1
0 0 2 2 j 1 1 0 0
3
7
7
5 !
L3+L4!L4
!
L2+L3!L3
2
6
6
4
1 1 1 1 j 1 0 0 0
0 2 2 0 j 1 0 0 1
0 0 2 2 j 0 0 1 1
0 0 0 4 j 1 1 1 1
3
7
7
5 .
Logo, tem-se
1 1
0 1
= a1
1 0
0 0
+ a2
1 2
0 0
+ a3
1 2
2 0
+ a4
1 0
2 4
0 0
0 1
= b1
1 0
0 0
+ b2
1 2
0 0
+ b3
1 2
2 0
+ b4
1 0
2 4
0 0
1 1
= c1
1 0
0 0
+ c2
1 2
0 0
+ c3
1 2
2 0
+ c4
1 0
2 4
0 1
1 1
= d1
1 0
0 0
+ d2
1 2
0 0
+ d3
1 2
2 0
+ d4
1 0
2 4
.
Isto é, tem-se os seguintes sistemas:
8
>><
>>:
1 = a1 + a2 + a3 + a4
1 = 2a2 + 2a3
0 = 2a3 + 2a4
1 = 4a4
8
>><
>>:
0 = b1 + b2 + b3 + b4
0 = 2b2 + 2b3
0 = 2b3 + 2b4
1 = 4b4
8
>><
>>:
0 = c1 + c2 + c3 + c4
0 = 2c2 + 2c3
1 = 2c3 + 2c4
1 = 4c4
8
>><
>>:
0 = d1 + d2 + d3 + d4
1 = 2d2 + 2d3
1 = 2d3 + 2d4
1 = 4d4
que são equivalentes a 8
>>>>>>>><
>>>>>>>>:
a1 = 1
4
a2 = 1
4
a3 = 1
4
a4 = 1
4
8
>>>>>>>><
>>>>>>>>:
b1 = 1
4
b2 = 1
4
b3 = 1
4
b4 = 1
4
8
>>>>>>>><
>>>>>>>>:
c1 = 1
4
c2 = 1
4
c3 = 1
4
c4 = 1
4
8
>>>>>>>><
>>>>>>>>:
d1 = 1
4
d2 = 1
4
d3 = 1
4
d4 = 1
4
.
278
Logo, a matriz SB1!B2 de mudança da base B1 para a base B2 é dada por:
SB1!B2 =
2
6
6
6
6
6
6
6
6
4
1
4
1
4
1
4
1
4
1
4
1
4
1
4
1
4
1
4
1
4
1
4
1
4
1
4
1
4
1
4
1
4
3
7
7
7
7
7
7
7
7
5
.
Assim, as coordenadas do vector
1 2
3 4
em relação à base B2 são dadas por
2
6
6
6
6
6
6
6
6
4
1
4
1
4
1
4
1
4
1
4
1
4
1
4
1
4
1
4
1
4
1
4
1
4
1
4
1
4
1
4
1
4
3
7
7
7
7
7
7
7
7
5
2
6
6
4
1
2
3
4
3
7
7
5 =
2
6
6
6
6
6
6
6
6
4
2
3
2
1
1
2
3
7
7
7
7
7
7
7
7
5
.
Isto é,
1 2
3 4
= 2
1 1
1 1
+
3
2
1 1
1 1
+
1 1
1 1
+
1
2
1 1
1 1
.
51. Seja B = fv1; v2g uma base ordenada de P1. Sejam (1; 1) e (2; 2) respectivamente
as coordenadas de dois polinómios 1 + t e 1 t em relação à base B: Determine B.
Tem-se
1 + t = v1 v2
1 t = 2v1 + 2v2
,
1 + t
1 t
=
1 1
2 2
v1
v2
,
,
v1
v2
=
1 1
2 2
1
1 + t
1 t
=
3
4
+ 1
4
t
1
4
3
4
t
.
Logo B = 3
4
+ 1
4
t; 1
4
3
4
t .
52. Sejam B1 = fv1; v2g e B2 = fw1; w2g duas bases ordenadas de P1. Suponha que
(1; 1) e (2; 2) são respectivamente as coordenadas de um polinómio p (t) em relação às
bases B1 e B2: Suponha ainda que (1; 1) e (2; 2) são respectivamente as coordenadas de
um polinómio q (t) em relação às bases B1 e B2: Determine a matriz SB1!B2 de mudança da
base B1 para a base B2.
Seja
SB1!B2 =
a b
c d
.
Tem-se
2
2
=
a b
c d
1
1
e
2
2
=
a b
c d
1
1
.
279
Logo 8
>><
>>:
2 = a b
2 = c d
2 = a + b
2 = c + d
,
2
6
6
4
2
2
2
2
3
7
7
5 =
2
6
6
4
1 1 0 0
0 0 1 1
1 1 0 0
0 0 1 1
3
7
7
5
2
6
6
4
a
b
c
d
3
7
7
5 ,
,
2
6
6
4
a
b
c
d
3
7
7
5 =
2
6
6
4
1 1 0 0
0 0 1 1
1 1 0 0
0 0 1 1
3
7
7
5
1 2
6
6
4
2
2
2
2
3
7
7
5 =
2
6
6
4
2
0
0
2
3
7
7
5 e assim SB1!B2 =
2 0
0 2
.
280
Resolução da 2a
Ficha de exercícios facultativos
1. Seja V um espaço linear real e 0 o seu vector nulo.
(i) Suponhamos que u + v = u + w. Queremos ver que v = w. Ora,
v = 0 + v = (( u) + u) + v = ( u) + (u + v) =
u+v=u+w
= ( u) + (u + w) = (( u) + u) + w = 0 + w = w.
Logo, v = w:
(ii) Queremos ver que 0 = 0 para todo o escalar 2 R. Ora,
0 + 0 = 0 = (0 + 0) = 0 + 0 =)
por (i)
0 = 0.
(iii) Queremos ver que 0u = 0 para todo o vector u 2 V. Ora,
0u + 0 = 0u = (0 + 0) u = 0u + 0u =)
por (i)
0 = 0u.
(iv) Queremos ver que ( u) = u para todo o u 2 V. Ora,
u + ( u) = 0 =) ( u) = u.
(v) Queremos ver que o vector nulo 0 2 V é único. Ora, seja w 2 V tal que u+w = u,
para todo o u 2 V. Então,
u + w = u = u + 0 =)
por (i)
w = 0.
(vi) Queremos ver que o simétrico u de um qualquer vector u de V é único. Ora,
seja w 2 V tal que u + w = 0. Então,
u + w = 0 = u + ( u) =)
por (i)
w = u.
(vii) Queremos ver que ( 1)u = u para todo o u 2 V. Ora,
u + ( 1) u = 1u + ( 1) u = (1 + ( 1)) u = 0u = 0.
Logo, como o simétrico é único, ( 1)u = u.
(viii) Queremos ver que: se u = 0, então = 0 ou u = 0: Suponhamos que u = 0.
Se 6= 0, então
u = 1u =
1
u =
1
( u) =
1
0 =
por (iv)
0.
Como 6= 0 =) u = 0, então u 6= 0 =) = 0. Logo,
u = 0 =) = 0 _ u = 0
(ix) Queremos ver que: se u 6= 0 e u = u, então = . Suponhamos que u 6= 0 e
u = u. Ora, como u 6= 0 e ( ) u = 0, então = 0, atendendo a (viii). Isto
é, = .
281
2. O conjunto de todos os polinómios reais de grau igual a n:
U = fa0 + a1t + + antn
2 Pn : a0; a1; :::; an 2 R e an 6= 0g ,
com as operações usuais, não é um espaço linear. Por exemplo: o polinómio nulo
p(t) = 0 =2 U.
3. (i) ? 6= P2 P3 e:
P2 = L 1; t; t2
.
Logo, P2 é subespaço de P3.
(ii) ? 6= Pn Pn+1 e:
Pn = L (f1; t; :::; tn
g) .
Logo, Pn é subespaço de Pn+1.
(iii) ? 6= Pn P e:
Pn = L (f1; t; :::; tn
g) .
Logo, Pn é subespaço de P.
4. (i) Seja
U = A 2 Mn n(R) : A = AT
:
Sejam A1; A2 2 U e 2 R. Tem-se
A1 + A2 = AT
1 + AT
2 = (A1 + A2)T
2 U
e, com A 2 U,
A = AT
= ( A)T
2 U.
Logo, U é subespaço de Mn n(R).
(ii) Seja
U = fA 2 Mn n(R) : A é invertívelg :
Por exemplo: a matriz nula não pertence a U. Logo, U não é subespaço de Mn n(R).
(iii) Seja
U = f(aij) 2 Mn n(R) : aij = 0 se i 6= j, com i; j = 1; :::; ng :
Sejam
(bij); (cij) 2 U e 2 R:
Tem-se
(bij) + (cij) = (bij + cij) 2 U,
pois bij + cij = 0 se i 6= j, com i; j = 1; :::; n. E, com (aij) 2 U,
(aij) = ( aij) 2 U,
pois aij = 0 se i 6= j, com i; j = 1; :::; n. Logo, U é subespaço de Mn n(R).
(iv) Seja
U = fA 2 Mn n(R) : A é singularg :
282
Por exemplo, para n = 2:
1 0
0 0
;
0 0
0 1
2 U, mas
1 0
0 0
+
0 0
0 1
=
1 0
0 1
=2 U.
Logo, U não é subespaço de Mn n(R).
(v) Seja
U = f(aij) 2 Mn n(R) : aij = 0 se i > j, com i; j = 1; :::; ng :
Sejam
(bij); (cij) 2 U e 2 R:
Tem-se
(bij) + (cij) = (bij + cij) 2 U,
pois bij + cij = 0 se i > j, com i; j = 1; :::; n. E, com (aij) 2 U,
(aij) = ( aij) 2 U,
pois aij = 0 se i > j, com i; j = 1; :::; n. Logo, U é subespaço de Mn n(R).
5. Seja V o espaço linear de todas as funções reais de variável real.
(i) Seja
U = ff : Dom f R ! R tais que 9k > 0 : jf(x)j k; 8x 2 Dom fg
o conjunto de todas as funções limitadas. Sejam f1; f2 2 U e 2 R. Tem-se
f1 + f2 2 U,
pois
j(f1 + f2) (x)j = jf1(x) + f2(x)j jf1(x)j + jf2(x)j
f1;f22U
k1 + k2,
para todo o x 2 Dom f1  Dom f2. E, com f 2 U,
f 2 U,
pois
j( f) (x)j = j j jf(x)j
f2U
j j k,
para todo o x 2 Dom f. Logo, U é subespaço de V .
(ii) Seja
U = ff : Dom f R ! R tais que f(x) = f( x); 8x 2 Dom fg
o conjunto de todas as funções pares. Sejam f1; f2 2 U e 2 R. Tem-se
f1 + f2 2 U,
pois
(f1 + f2) (x) = f1(x) + f2(x) =
f1;f22U
f1( x) + f2( x) = (f1 + f2) ( x),
283
para todo o x 2 Dom f1  Dom f2. E, com f 2 U,
f 2 U,
pois
( f) (x) = f(x) =
f2U
f( x) = ( f) ( x),
para todo o x 2 Dom f. Logo, U é subespaço de V .
(iii) O conjunto de todas as funções racionais, isto é, as que são quocientes de funções
polinomiais, é um subespaço de V
(iv) Seja
U = ff : Domf R ! R tais que f é crescenteg:
Se f fôr crescente então f é decrescente, isto é, f 2 U =) f =2 U. Logo, U não é
subespaço de V .
(v) Seja
U = ff : Dom f R ! R tais que f(0) = f(1); 8x 2 Dom fg
Sejam f1; f2 2 U e 2 R. Tem-se
f1 + f2 2 U,
pois
(f1 + f2) (0) = f1(0) + f2(0) =
f1;f22U
f1(1) + f2(1) = (f1 + f2) (1),
para todo o x 2 Dom f1  Dom f2. E, com f 2 U,
f 2 U,
pois
( f) (0) = f(0) =
f2U
f(1) = ( f) (1),
para todo o x 2 Dom f. Logo, U é subespaço de V .
(vi) Seja
U = ff : Domf R ! R tais que f(0) = 1 + f(1)g:
Sejam f1; f2 2 U. Tem-se
(f1 + f2) (0) = f1(0) + f2(0) =
f1;f22U
2 + f1(1) + f2(1) = 2 + (f1 + f2) (1),
isto é, f1 + f2 =2 U. Logo, U não é subespaço de V .
6. Dem. Seja fv1; v2; v3g uma base de um espaço linear V . Observe-se que
fv1 + v2; v2 + v3; v1 + v3g L (fv1; v2; v3g) ,
pelo que
L(fv1 + v2; v2 + v3; v1 + v3g) L (fv1; v2; v3g) .
284
Mas, como 8
>>>><
>>>>:
v1 = 1
2
(v1 + v2) 1
2
(v2 + v3) + 1
2
(v1 + v3)
v2 = 1
2
(v1 + v2) 1
2
(v1 + v3) + 1
2
(v2 + v3)
v3 = 1
2
(v1 + v3) 1
2
(v1 + v2) + 1
2
(v2 + v3)
tem-se
L (fv1; v2; v3g) L(fv1 + v2; v2 + v3; v1 + v3g).
Logo,
L(fv1 + v2; v2 + v3; v1 + v3g) = L (fv1; v2; v3g) = V .
Vejamos agora que o conjunto fv1 + v2; v2 + v3; v1 + v3g é linearmente independente:
Sejam 1; 2; 3 2 R tais que 1(v1 + v2) + 2(v2 + v3) + 3(v1 + v3) = 0. Isto é,
( 1 + 3)v1 + ( 1 + 2)v2 + ( 2 + 3)v3 = 0.
Como fv1; v2; v3g é uma base de V , em particular é linearmente independente. Logo,
8
<
:
1 + 3 = 0
1 + 2 = 0
2 + 3 = 0
o que é equivalente ao sistema homogéneo:
A
2
4
1
2
3
3
5 =
2
4
0
0
0
3
5 :
com A =
2
4
1 0 1
1 1 0
0 1 1
3
5. Como det A = 2 6= 0, então A é invertível e tem-se 1 = 2 =
3 = 0. Logo, fv1 + v2; v2 + v3; v1 + v3g é uma base de V pois trata-se de um conjunto
de vectores linearmente independente que gera V .
7. Seja A uma matriz (real) invertível do tipo n n. Suponhamos que fv1; v2; : : : ; vng é
uma base de Rn
. Queremos provar que fAv1; Av2; : : : ; Avng é também uma base de
Rn
.
Dem. Vejamos primeiro que o conjunto fAv1; Av2; : : : ; Avng é linearmente indepen-
dente. Sejam 1; 2; : : : ; n 2 R tais que
1(Av1) + 2(Av2) + + n(Avn) = 0.
Queremos ver que 1 = 2 = : : : = n = 0. Observe-se que
1(Av1) + 2(Av2) + + n(Avn) = A( 1v1) + A( 2v2) + + A( nvn)
= A( 1v1 + 2v2 + + nvn).
Logo,
1(Av1) + 2(Av2) + + n(Avn) = 0 () A( 1v1 + 2v2 + + nvn) = 0.
285
Como A é invertível, tem-se
A 1
A( 1v1 + 2v2 + + nvn) = A 1
0 ,
I( 1v1 + 2v2 + + nvn) = 0 ,
1v1 + 2v2 + + nvn = 0.
Como fv1; v2; : : : ; vng é uma base de Rn
, então
1 = 2 = : : : = n = 0:
Logo, fAv1; Av2; : : : ; Avng é um subconjunto de Rn
formado por n vectores linearmente
independentes. Como a dimensão de Rn
é n, então
fAv1; Av2; : : : ; Avng
é uma base de Rn
.
8. Sejam V um espaço linear e S = fv1; v2; : : : ; vng.
Dem. ()) Suponhamos que S é uma base de V . Queremos provar que todo o vector
de V se escreve de maneira única como combinação linear dos elementos de S. Assim,
seja v um vector qualquer de V . Como S é uma base de V , então em particular gera
V . Pelo que, existem 1; 2; : : : ; n 2 R tais que
v = 1v1 + 2v2 + + nvn.
Suponhamos que também existiam 1; 2; : : : ; n 2 R tais que
v = 1v1 + 2v2 + + nvn.
Logo,
( 1 1)v1 + ( 2 2)v2 + + ( n n)vn = 0.
Como fv1; v2; : : : ; vng é um conjunto linearmente independente (por ser base), então
temos
1 = 1; 2 = 2; : : : ; n = n.
Logo, conclui-se que todo o vector de V se escreve de maneira única como combinação
linear dos elementos de S.
(() Suponhamos agora que todo o vector de V se escreve de maneira única como
combinação linear dos elementos de S. Queremos provar que S = fv1; v2; : : : ; vng é
uma base de V . Como todo o vector de V se escreve como combinação linear dos
elementos de S, então S gera V . Falta ver que S é linearmente independente. Assim,
sejam 1; 2; : : : ; n 2 R tais que
1v1 + 2v2 + + nvn = 0.
Como
0 = 0v1 + 0v2 + + 0vn,
e uma vez que por hipótese todo o vector de V se escreve de maneira única como
combinação linear dos elementos de S, conclui-se que
1 = 2 = : : : = n = 0.
Logo, S = fv1; v2; : : : ; vng é uma base de V . Fica assim provada a equivalência referida
na questão.
286
9. Seja fv1; v2g uma base de um espaço linear U. Considere os vectores
w1 = av1 + bv2 e w2 = cv1 + dv2;
com a; b; c; d 2 R. Queremos provar que fw1; w2g é também uma base de U se e só se
ad 6= bc.
Dem. (() Suponhamos que ad 6= bc. Vejamos que fw1; w2g é uma base de U.
Vamos começar por veri…car que o conjunto fw1; w2g é linearmente independente:
Sejam 1; 2 2 R tais que
1w1 + 2w2 = 0.
Queremos ver que 1 = 2 = 0. Observe-se que
1w1 + 2w2 = 1(av1 + bv2) + 2(cv1 + dv2)
= ( 1a + 2c)v1 + ( 1b + 2d)v2.
Logo,
1w1 + 2w2 = 0 , ( 1a + 2c)v1 + ( 1b + 2d)v2 = 0.
Como o conjunto fv1; v2g é uma base de U, em particular é linearmente independente.
Logo,
1a + 2c = 1b + 2d = 0 2 R.
Isto é,
a c
b d
1
2
=
0
0
.
Ou seja,
A = 0,
onde A =
a c
b d
, = 1
2
e 0 =
0
0
. Como ad 6= bc e det A = ad bc, então
det A 6= 0, isto é, A é invertível e como tal:
A 1
A = A 1
0 , I = 0 , = 0.
Logo, 1 = 2 = 0 e deste modo o conjunto fw1; w2g é linearmente independente.
Como dim U = 2 e como w1; w2 são dois vectores de U, linearmente independentes,
então conclui-se que fw1; w2g é uma base de U (não sendo necessário veri…car se o
conjunto fw1; w2g gera U).
()) Reciprocamente, se fw1; w2g é uma base de U, em particular é linearmente inde-
pendente, e como tal tem-se
( 1w1 + 2w2 = 0) ) ( 1 = 2 = 0) .
Isto é, a equação
A = 0,
onde A =
a c
b d
, = 1
2
e 0 =
0
0
, tem como solução única = 0. O que é
equivalente a ter-se det A 6= 0, isto é, ad 6= bc.
287
Demonstração alternativa. Como o conjunto fv1; v2g é uma base do espaço linear
U então dim U = 2. Logo, se o conjunto fw1; w2g fôr linearmente independente então
será uma base do espaço linear U. Assim, bastará provar que o conjunto fw1; w2g é
linearmente independente se e só se a matriz
a b
c d
fôr invertível. Seja 0 o vector
nulo do espaço linear U. Sejam 1; 2 2 R tais que
1w1 + 2w2 = 0:
Queremos ver que 1 = 2 = 0 se e só se a matriz
a b
c d
fôr invertível. Observe-se
que
1w1 + 2w2 = 1(av1 + bv2) + 2(cv1 + dv2)
= ( 1a + 2c)v1 + ( 1b + 2d)v2.
Logo,
1w1 + 2w2 = 0 , ( 1a + 2c)v1 + ( 1b + 2d)v2 = 0.
Como o conjunto fv1; v2g é uma base do espaço linear U, em particular é linearmente
independente. Logo,
1a + 2c = 1b + 2d = 0 2 R.
Isto é,
a c
b d
1
2
=
0
0
.
Ou seja, A = 00
, onde A =
a c
b d
, = 1
2
e 00
=
0
0
. Como a equação
A = 00
apenas admite a solução trivial = 00
se e só se a matriz A fôr invertível e
como a matriz A é invertível se e só se a matriz AT
=
a b
c d
fôr invertível, tem-se
então o resultado pretendido.
10. Sejam A uma matriz m n e B uma matriz n p. Mostre que
dim C (AB) = dim C (B) dim (N (A)  C (B)) .
Sugestão: Considere (no caso em que N (A)  C (B) 6= f0g) uma base fx1; : : : ; xsg
para N (A)  C (B) e suponha (no caso em que AB 6= 0) que fx1; : : : ; xs; y1; : : : ; ytg é
uma base para C (B). Mostre que fAy1; : : : ; Aytg é uma base para C (AB).
Dem. Se N (A)  C (B) = f0g, então dim (N (A)  C (B)) = 0 e dim C (AB) =
dim C (B) :
Suponhamos então que N (A)C (B) 6= f0g. Seja fx1; : : : ; xsg uma base para N (A)
C (B) e suponhamos que AB 6= 0 (no caso em que AB = 0 tem-se dim C (AB) = 0 e
dim C (B) = dim (N (A)  C (B)) uma vez que C (B) N (A)):
Seja fx1; : : : ; xs; y1; : : : ; ytg é uma base para C (B). Nesse caso dim C (AB) = s + t.
Vejamos que fAy1; : : : ; Aytg é uma base para C (AB).
288
Seja b 2 C (AB). Tem-se ABz = b para algum z. Mas, como Bz 2 C (B), então
existem escalares 1; : : : ; s; 1; : : : ; t tais que
Bz =
sX
i=1
ixi +
tX
j=1
jyj.
Logo,
b = ABz = A
sX
i=1
ixi +
tX
i=1
jyj
!
=
sX
i=1
iAxi +
tX
j=1
jAyj =
fx1;:::;xsg N(A)
tX
j=1
jAyj,
isto é, fAy1; : : : ; Aytg gera C (AB).
Vejamos que fAy1; : : : ; Aytg é linearmente independente. Suponhamos que existiam
escalares 1; : : : ; t tais que
0 =
tX
j=1
jAyj.
Tem-se
0 =
tX
j=1
jAyj = A
tX
j=1
jyj
!
e então
tX
j=1
jyj 2 N (A)  C (B). E assim, existem escalares 1; : : : ; s tais que
tX
j=1
jyj =
sX
i=1
ixi:
Como
tX
j=1
jyj =
sX
i=1
ixi ,
tX
j=1
jyj
sX
i=1
ixi = 0
!
e atendendo a que fx1; : : : ; xs; y1; : : : ; ytg é uma base para C (B), tem-se
1 = : : : = t = 1 = : : : = s = 0
e assim o conjunto fAy1; : : : ; Aytg é linearmente independente.
Logo, o conjunto fAy1; : : : ; Aytg é uma base para C (AB) e assim
dim C (B) = s + t = dim (N (A)  C (B)) + dim C (AB) ,
, dim C (AB) = dim C (B) dim (N (A)  C (B)) .
11. Considere os seguintes r vectores de Rn
:
x1
= (x11; x12; : : : ; x1n); x2
= (x21; x22; : : : ; x2n); : : : ; xr
= (xr1; xr2; : : : ; xrn):
Mostre que se jxjjj >
rP
i=1(i6=j)
jxijj para todo o j = 1; : : : ; r então o conjunto
x1
; x2
; : : : ; xr
289
é linearmente independente.
Sugestão: Considere
v = (v1; : : : ; vn) = 1x1
+ 2x2
+ + rxr
;
com 1; 2; : : : ; r 2 R e mostre que se existir j 6= 0 (com j 2 f1; : : : ; rg) tal que
j jj > j ij;
para todo o i = 1; : : : ; r; então vj 6= 0.
Dem. Seja
v = (v1; : : : ; vn) = 1x1
+ 2x2
+ + rxr
;
com 1; 2; : : : ; r 2 R. Suponhamos que existe j 6= 0 (com j 2 f1; : : : ; rg) tal que
j jj > j ij;
para todo o i = 1; : : : ; r. Queremos mostrar que vj 6= 0.
Suponhamos então (com vista a uma contradição) que vj = 0. Nesse caso, teríamos
rX
i=1
ixij
| {z }
= vj
= 0 , jxjj =
rX
i=1
i6=j
ixij.
Como
j jj jxjjj = j jxjjj =
rX
i=1
i6=j
ixij
rX
i=1
i6=j
j ixijj =
rX
i=1
i6=j
j ij jxijj
j ij j jj
i=1;:::;r
j jj
0
B
@
rX
i=1
i6=j
jxijj
1
C
A
e j 6= 0 (com j 2 f1; : : : ; rg) então teríamos
jxjjj
0
B
@
rX
i=1
i6=j
jxijj
1
C
A
o que contradiz a hipótese de se ter
jxjjj >
rX
i=1(i6=j)
jxijj
para todo o j = 1; : : : ; r. Logo mostrámos que a existir j 6= 0 (com j 2 f1; : : : ; rg)
tal que j jj > j ij; para todo o i = 1; : : : ; r; então vj 6= 0, o que equivale a dizer que o
conjunto
x1
; x2
; : : : ; xr
é linearmente independente.
290
12. Seja y 2 C (A + B). Então existe x tal que
y = (A + B) x = Ax + Bx 2 C (A) + C (B) :
Logo
C (A + B) C (A) + C (B) :
13. Seja A 2 Mm n(R). Vejamos que
N AT
 C (A) = f0g :
Seja y 2 N AT
 C (A). Então existe x tal que
AT
y = 0 e y = Ax:
Logo
yT
= xT
AT
e
0 = xT
AT
y = xT
AT
y = yT
y:
Isto é
0 = yT
y =
nX
i=1
y2
i
ou seja
y = (y1; :::; yn) = (0; :::; 0) = 0.
Logo, sem perda de generalidade,
N (A)  L (A) = f0g :
14. Como B = C + B C e C (B) = C (C + B C) C (C) + C (B C) então
car B = dim C (B) dim C (C) + dim C (B C) = car C + car (B C) :
Pelo que car B car C car (B C). De um modo análogo, como
C = B + [ (B C)]
e
C (C) = C (B + [ (B C)]) C (B) + C (B C)
então
car C car B car (B C) :
Logo
jcar B car Cj car (B C) :
15. Sejam ; ; ; 2 R tais que
v + Av + A2
v + A3
v = 0:
Multiplicando a igualdade anterior por A3
e atendendo a que A4
= 0 e assim A5
=
A6
= A7
= 0, então A3
v = 0 e deste modo = 0 uma vez que A3
v 6= 0 (v =2 N(A3
)).
Analogamente: multiplicando a igualdade Av+ A2
v+ A3
v = 0 por A2
tem-se = 0,
multiplicando a igualdade A2
v+ A3
v = 0 por A tem-se = 0 e …nalmente de A3
v =
0 obtém-se = 0. Logo, o conjunto fv; Av; A2
v; A3
vg é linearmente independente.
291
Resolução da 4a
Ficha de exercícios para as aulas de problemas
1. Sejam a; b 2 R. A aplicação Ta;b : R ! R de…nida por Ta;b (x) = ax + b é linear se e
só se b = 0 e a 2 R.
2. (i) Seja T : R2
! R2
com T(x; y) = (x + 2y; 3x y). T é linear e tem-se
M(T; B2
c ; B2
c ) =
1 2
3 1
,
uma vez que T(1; 0) = (1; 3) e T(0; 1) = (2; 1). Tem-se
N(T) = (x; y) 2 R2
: T(x; y) = (0; 0) = (x; y) 2 R2
: (x + 2y; 3x y) = (0; 0) =
= (x; y) 2 R2
: x = 2y e 3x = y = f(0; 0)g .
Logo T é injectiva e dim N(T) = 0. Uma vez que
dim R2
|{z}
espaço de partida
= dim N(T) + dim I(T),
então dim I(T) = 2. Vejamos como encontrar uma base para I(T). Tem-se
I(T) = f(x + 2y; 3x y) : x; y 2 Rg = fx(1; 3) + y(2; 1) : x; y 2 Rg = L (f(1; 3); (2; 1)g) .
Como o conjunto f(1; 3); (2; 1)g é linearmente independente e como gera I(T) então f(1; 3); (2; 1)g
é uma base de I(T).
Por outro lado, como I(T) é subespaço de R2
e dim I(T) = dim R2
então I(T) = R2
, isto
é, T é sobrejectiva. Sendo T sobrejectiva e tendo-se dim (espaço de partida) = dim (espaço de
chegada) então T também é injectiva, como se constatou no facto de se ter N(T) = f(0; 0)g.
Como T é injectiva e sobrejectiva, então T é bijectiva.
Observação: T é injectiva se e só se N(T) = f0g, onde 0 é o vector nulo do espaço de
partida.
Resolução alternativa para encontrar uma base para I(T). Sendo
M(T; B2
c ; B2
c ) =
1 2
3 1
,
a matriz que representa a transformação linear T em relação à base canónica B2
c no espaço
de partida e no espaço de chegada, tem-se
T(x; y) = M(T; B2
c ; B2
c )
x
y
.
Logo,
N(T) = N M(T; B2
c ; B2
c ) = N
1 2
3 1
= N
1 2
0 7
= f(0; 0)g
292
e
I(T) = C M(T; B2
c ; B2
c ) = C
1 2
3 1
= L (f(1; 3); (2; 1)g) .
O conjunto f(1; 3); (2; 1)g é uma base de I(T).
(ii) Seja T : R2
! R2
com T(x; y) = (1 y; 2x). T não é linear pois T(0; 0) = (1; 0) 6=
(0; 0).
(iii) Seja T : R3
! R3
com T(x; y; z) = (x; 2x; x). T é linear e tem-se
M(T; B3
c ; B3
c ) =
2
4
1 0 0
2 0 0
1 0 0
3
5 ,
uma vez que T(1; 0; 0) = (1; 2; 1); T(0; 1; 0) = (0; 0; 0) e T(0; 0; 1) = (0; 0; 0). Tem-se
N(T) = (x; y; z) 2 R3
: T(x; y; z) = (0; 0; 0) = (x; y; z) 2 R3
: (x; 2x; x) = (0; 0; 0) =
= (0; y; z) 2 R3
: y; z 2 R = y(0; 1; 0) + z(0; 0; 1) 2 R3
: y; z 2 R =
= L (f(0; 1; 0); (0; 0; 1)g) .
Como o conjunto f(0; 1; 0); (0; 0; 1)g é linearmente independente e como gera N(T) então
f(0; 1; 0); (0; 0; 1)g
é uma base de N(T). Logo, dim N(T) = 2. Uma vez que
dim R3
|{z}
espaço de partida
= dim N(T) + dim I(T),
então dim I(T) = 1. Vejamos como encontrar uma base para I(T). Tem-se
I(T) = f(x; 2x; x) : x 2 Rg = fx(1; 2; 1) : x 2 Rg = L (f(1; 2; 1)g) .
Como o conjunto f(1; 2; 1)g é linearmente independente e como gera I(T) então f(1; 2; 1)g
é uma base de I(T).
Por outro lado, como I(T) 6= R3
então T não é sobrejectiva. Como N(T) 6= f(0; 0; 0)g
então T não é injectiva.
Resolução alternativa para encontrar bases para N(T) e I(T). Sendo
M(T; B3
c ; B3
c ) =
2
4
1 0 0
2 0 0
1 0 0
3
5 ,
a matriz que representa a transformação linear T em relação à base canónica B3
c no espaço
de partida e no espaço de chegada, tem-se
T(x; y; z) = M(T; B3
c ; B3
c )
2
4
x
y
z
3
5 .
293
Logo,
N(T) = N M(T; B3
c ; B3
c ) = N
0
@
2
4
1 0 0
2 0 0
1 0 0
3
5
1
A = N
0
@
2
4
1 0 0
0 0 0
0 0 0
3
5
1
A = L (f(0; 1; 0); (0; 0; 1)g)
e
I(T) = C M(T; B3
c ; B3
c ) = C
0
@
2
4
1 0 0
2 0 0
1 0 0
3
5
1
A = L (f(1; 2; 1)g) .
O conjunto f(0; 1; 0); (0; 0; 1)g é uma base de N(T) e o conjunto f(1; 2; 1)g é uma base de
I(T).
(iv) Seja T : R3
! R2
com T(x; y; z) = (0; 0). T é linear e tem-se
M(T; B3
c ; B2
c ) =
0 0 0
0 0 0
,
uma vez que T(1; 0; 0) = T(0; 1; 0) = T(0; 0; 1) = (0; 0). Tem-se
N(T) = (x; y; z) 2 R3
: T(x; y; z) = (0; 0) = (x; y; z) 2 R3
: x; y; z 2 R = R3
.
Uma base para N(T) poderá ser a base canónica B3
c . Logo, dim N(T) = 3. Uma vez que
dim R3
|{z}
espaço de partida
= dim N(T) + dim I(T),
então dim I(T) = 0. De facto
I(T) = f(0; 0)g .
Por outro lado, como I(T) 6= R2
então T não é sobrejectiva. Como N(T) 6= f(0; 0; 0)g
então T não é injectiva.
Resolução alternativa para encontrar uma base para N(T). Sendo
M(T; B3
c ; B2
c ) =
0 0 0
0 0 0
,
a matriz que representa a transformação linear T em relação às bases canónicas B3
c e B2
c nos
espaços de partida e de chegada respectivamente, tem-se
T(x; y; z) = M(T; B3
c ; B2
c )
2
4
x
y
z
3
5 .
Logo,
N(T) = N M(T; B3
c ; B2
c ) = N
0 0 0
0 0 0
= R3
= L (f(1; 0; 0); (0; 1; 0); (0; 0; 1)g)
e
I(T) = C M(T; B3
c ; B2
c ) = C
0 0 0
0 0 0
= f(0; 0)g .
294
Uma base para N(T) poderá ser a base canónica B3
c .
(v) Seja T : R2
! R com T(x; y) = 3x. T é linear e tem-se
M(T; B2
c ; Bc) = 3 0 ,
uma vez que T(1; 0) = 3 e T(0; 1) = 0. Note que Bc = f1g é a base canónica de R.
Tem-se
N(T) = (x; y) 2 R2
: T(x; y) = 0 = (x; y) 2 R2
: 3x = 0 =
= (0; y) 2 R2
: y 2 R = y(0; 1) 2 R2
: y 2 R = L (f(0; 1)g) .
Como o conjunto f(0; 1)g é linearmente independente e como gera N(T) então f(0; 1)g é
uma base de N(T). Logo, dim N(T) = 1. Uma vez que
dim R2
|{z}
espaço de partida
= dim N(T) + dim I(T),
então dim I(T) = 1. Vejamos como encontrar uma base para I(T). Tem-se
I(T) = f 3x : x 2 Rg = L (f1g) .
Como o conjunto f1g é linearmente independente e como gera I(T) então f1g é uma base
de I(T), a base canónica de R.
Por outro lado, como I(T) é subespaço de R e dim I(T) = dim R então I(T) = R, isto
é, T é sobrejectiva. Como N(T) 6= f(0; 0)g então T não é injectiva.
Resolução alternativa para encontrar bases para N(T) e I(T). Sendo
M(T; B2
c ; Bc) = 3 0 ,
a matriz que representa a transformação linear T em relação às bases canónicas B2
c no espaço
de partida e Bc no espaço de chegada, tem-se
T(x; y) = M(T; B2
c ; Bc)
x
y
.
Logo,
N(T) = N M(T; B2
c ; Bc) = N 3 0 = L (f(0; 1)g)
e
I(T) = C M(T; B2
c ; Bc) = C 3 0 = L (f 3g) = L (f1g) .
O conjunto f(0; 1)g é uma base de N(T) e o conjunto f1g é uma base de I(T).
(vi) T : R3
! R3
com T(x; y; z) = (0; 1; 2). T não é linear pois T(0; 0; 0) = (0; 1; 2) 6=
(0; 0; 0).
(vii) T : R ! R3
com T(x) = (2x; 0; x). T é linear e tem-se
M(T; Bc; B3
c ) =
2
4
2
0
1
3
5 ,
295
uma vez que T(1) = (2; 0; 1). Tem-se
N(T) = fx 2 R : T(x) = (0; 0; 0)g = fx 2 R : (2x; 0; x) = (0; 0; 0)g = f0g .
Logo, dim N(T) = 0. Uma vez que
dim R|{z}
espaço de partida
= dim N(T) + dim I(T),
então dim I(T) = 1. Vejamos como encontrar uma base para I(T). Tem-se
I(T) = f(2x; 0; x) : x 2 Rg = fx(2; 0; 1) : x 2 Rg = L (f(2; 0; 1)g) .
Como o conjunto f(2; 0; 1)g é linearmente independente e como gera I(T) então f(2; 0; 1)g
é uma base de I(T).
Por outro lado, como I(T) 6= R3
então T não é sobrejectiva. Como N(T) = f0g então T
é injectiva.
Resolução alternativa para encontrar uma base para I(T). Sendo
M(T; Bc; B3
c ) =
2
4
2
0
1
3
5 ,
a matriz que representa a transformação linear T em relação às bases canónicas Bc no espaço
de partida e B3
c no espaço de chegada, tem-se
T(x) = M(T; B3
c ; B3
c ) [x] .
Logo,
N(T) = N M(T; Bc; B3
c ) = N
0
@
2
4
2
0
1
3
5
1
A = N
0
@
2
4
2
0
0
3
5
1
A = L (f0g) = f0g
e
I(T) = C M(T; Bc; B3
c ) = C
0
@
2
4
2
0
1
3
5
1
A = L (f(2; 0; 1)g) .
O conjunto f(2; 0; 1)g é uma base de I(T).
(viii) T : R3
! R2
com T(x; y; z) = (x2
y; 2y). T não é linear, pois por exemplo:
T ((1; 0; 0) + (1; 0; 0)) = T(2; 0; 0) = (4; 0) 6= (2; 0) = T(1; 0; 0) + T(1; 0; 0).
(ix) Seja T : R4
! R2
com T(x; y; z; w) = (x y; 3w). T é linear e tem-se
M(T; B4
c ; B2
c ) =
1 1 0 0
0 0 0 3
,
296
uma vez que T(1; 0; 0; 0) = (1; 0); T(0; 1; 0; 0) = ( 1; 0); T(0; 0; 1; 0) = (0; 0) e T(0; 0; 0; 1) =
(0; 3). Tem-se
N(T) = (x; y; z; w) 2 R4
: T(x; y; z; w) = (0; 0) = (x; y; z; w) 2 R4
: (x y; 3w) = (0; 0) =
= (x; y; z; w) 2 R4
: x = y e w = 0 = (y; y; z; 0) 2 R4
: y; z 2 R =
= y(1; 1; 0; 0) + z(0; 0; 1; 0) 2 R4
: y; z 2 R = L (f(1; 1; 0; 0); (0; 0; 1; 0)g) .
Como o conjunto f(1; 1; 0; 0); (0; 0; 1; 0)g é linearmente independente e como gera N(T) então
f(1; 1; 0; 0); (0; 0; 1; 0)g é uma base de N(T). Logo, dim N(T) = 2. Uma vez que
dim R4
|{z}
espaço de partida
= dim N(T) + dim I(T),
então dim I(T) = 2. Vejamos como encontrar uma base para I(T). Tem-se
I(T) = f(x y; 3w) : x; y; w 2 Rg = fx(1; 0) + y( 1; 0) + w(0; 3) : x; y; w 2 Rg =
= L (f(1; 0); ( 1; 0); (0; 3)g) .
Como o conjunto f(1; 0); (0; 3)g é linearmente independente e como gera I(T) então f(1; 0); (0; 3)g
é uma base de I(T).
Por outro lado, como I(T) é subespaço de R2
e dim I(T) = dim R2
então I(T) = R2
,
isto é, T é sobrejectiva. Como N(T) 6= f(0; 0; 0; 0)g então T não é injectiva.
Resolução alternativa para encontrar bases para N(T) e I(T). Sendo
M(T; B4
c ; B2
c ) =
1 1 0 0
0 0 0 3
,
a matriz que representa a transformação linear T em relação às bases canónicas B4
c no espaço
de partida e B2
c no espaço de chegada, tem-se
T(x; y; z; w) = M(T; B4
c ; B2
c )
2
6
6
4
x
y
z
w
3
7
7
5 .
Logo,
N(T) = N M(T; B4
c ; B2
c ) = N
1 1 0 0
0 0 0 3
= L (f(1; 1; 0; 0); (0; 0; 1; 0)g)
e
I(T) = C M(T; B2
c ; B2
c ) = C
1 1 0 0
0 0 0 3
= L (f(1; 0); (0; 3)g) .
O conjunto f(1; 1; 0; 0); (0; 0; 1; 0)g é uma base de N(T) e o conjunto f(1; 0); (0; 3)g é uma
base de I(T).
(x) Seja T : R3
! R4
com T(x; y; z) = ( z; y 2z; 2y; y + z). T é linear e tem-se
M(T; B3
c ; B4
c ) =
2
6
6
4
0 0 1
0 1 2
0 2 0
0 1 1
3
7
7
5 ,
297
uma vez que T(1; 0; 0) = (0; 0; 0); T(0; 1; 0) = (0; 1; 2; 1) e T(0; 0; 1) = ( 1; 2; 0; 1).
Tem-se
N(T) = (x; y; z) 2 R3
: T(x; y; z) = (0; 0; 0; 0) =
= (x; y; z) 2 R3
: ( z; y 2z; 2y; y + z) = (0; 0; 0; 0) =
= (x; 0; 0) 2 R3
: x 2 R = L (f(1; 0; 0)g) .
Como o conjunto f(1; 0; 0)g é linearmente independente e como gera N(T) então f(1; 0; 0)g
é uma base de N(T). Logo, dim N(T) = 1. Uma vez que
dim R3
|{z}
espaço de partida
= dim N(T) + dim I(T),
então dim I(T) = 2. Vejamos como encontrar uma base para I(T). Tem-se
I(T) = f( z; y 2z; 2y; y + z) : y; z 2 Rg = L (f(0; 1; 2; 1); ( 1; 2; 0; 1)g) .
Como o conjunto f(0; 1; 2; 1); ( 1; 2; 0; 1)g é linearmente independente e como gera I(T)
então f(0; 1; 2; 1); ( 1; 2; 0; 1)g é uma base de I(T).
Por outro lado, como I(T) 6= R4
então T não é sobrejectiva. Como N(T) 6= f(0; 0; 0)g
então T não é injectiva.
Resolução alternativa para encontrar bases para N(T) e I(T). Sendo
M(T; B3
c ; B4
c ) =
2
6
6
4
0 0 1
0 1 2
0 2 0
0 1 1
3
7
7
5 ,
a matriz que representa a transformação linear T em relação à base canónica B3
c no espaço
de partida e no espaço de chegada, tem-se
T(x; y; z) = M(T; B3
c ; B4
c )
2
4
x
y
z
3
5 .
Logo,
N(T) = N M(T; B3
c ; B4
c ) = N
0
B
B
@
2
6
6
4
0 0 1
0 1 2
0 2 0
0 1 1
3
7
7
5
1
C
C
A =
= N
0
B
B
@
2
6
6
4
0 0 1
0 1 0
0 2 0
0 1 0
3
7
7
5
1
C
C
A = N
0
B
B
@
2
6
6
4
0 0 1
0 1 0
0 0 0
0 0 0
3
7
7
5
1
C
C
A = L (f(1; 0; 0)g)
e
I(T) = C M(T; B3
c ; B4
c ) = C
0
B
B
@
2
6
6
4
2
6
6
4
0 0 1
0 1 2
0 2 0
0 1 1
3
7
7
5
3
7
7
5
1
C
C
A = L (f(0; 1; 2; 1); ( 1; 2; 0; 1)g) .
298
O conjunto f(1; 0; 0)g é uma base de N(T) e o conjunto f(0; 1; 2; 1); ( 1; 2; 0; 1)g é uma
base de I(T).
(xi) Seja T : R ! R2
com T(x) = (0; 0). T é linear e tem-se
M(T; Bc; B2
c ) =
0
0
,
uma vez que T(1) = (0; 0). Tem-se
N(T) = fx 2 R : T(x) = (0; 0)g = fx : x 2 Rg = R.
Uma base para N(T) poderá ser a base canónica Bc = f1g. Logo, dim N(T) = 1. Uma vez
que
dim R|{z}
espaço de partida
= dim N(T) + dim I(T),
então dim I(T) = 0. De facto
I(T) = f(0; 0)g .
Por outro lado, como I(T) 6= R2
então T não é sobrejectiva. Como N(T) 6= f0g então T
não é injectiva.
Resolução alternativa para encontrar uma base para N(T). Sendo
M(T; Bc; B2
c ) =
0
0
,
a matriz que representa a transformação linear T em relação às bases canónicas Bc e B2
c nos
espaços de partida e de chegada respectivamente, tem-se
T(x) = M(T; Bc; B2
c ) x .
Logo,
N(T) = N M(T; Bc; B2
c ) = N
0
0
= R = L (f1g)
e
I(T) = C M(T; Bc; B2
c ) = C
0
0
= f(0; 0)g .
Uma base para N(T) poderá ser a base canónica Bc = f1g.
(xii) Seja T : R3
! R3
com T(x; y; z) = (x + 2y; 3z; x z). T é linear e tem-se
M(T; B3
c ; B3
c ) =
2
4
1 2 0
0 0 3
1 0 1
3
5 ,
uma vez que T(1; 0; 0) = (1; 0; 1); T(0; 1; 0) = (2; 0; 0) e T(0; 0; 1) = (0; 3; 1). Tem-se
N(T) = (x; y; z) 2 R3
: T(x; y; z) = (0; 0; 0) =
= (x; y; z) 2 R3
: (x + 2y; 3z; x z) = (0; 0; 0) =
= f(0; 0; 0)g .
299
Logo, dim N(T) = 0 e T é injectiva. Uma vez que
dim R3
|{z}
espaço de partida
= dim N(T) + dim I(T),
então dim I(T) = 3. Vejamos como encontrar uma base para I(T). Tem-se
I(T) = f(x + 2y; 3z; x z) : x; y; z 2 Rg =
= fx(1; 0; 1) + y(2; 0; 0) + z(0; 3; 1) : x; y; z 2 Rg
= L (f(1; 0; 1); (2; 0; 0); (0; 3; 1)g) .
Como o conjunto f(1; 0; 1); (2; 0; 0); (0; 3; 1)g é linearmente independente e como gera I(T)
então f(1; 0; 1); (2; 0; 0); (0; 3; 1)g é uma base de I(T).
Por outro lado, como I(T) é subespaço de R3
e dim I(T) = dim R3
então I(T) = R3
,
isto é, T é sobrejectiva.
Como T é injectiva e sobrejectiva, então T é bijectiva.
Resolução alternativa para encontrar uma base para I(T). Sendo
M(T; B3
c ; B3
c ) =
2
4
1 2 0
0 0 3
1 0 1
3
5 ,
a matriz que representa a transformação linear T em relação à base canónica B3
c no espaço
de partida e no espaço de chegada, tem-se
T(x; y; z) = M(T; B3
c ; B3
c )
2
4
x
y
z
3
5 .
Logo,
N(T) = N M(T; B3
c ; B3
c ) = N
0
@
2
4
1 2 0
0 0 3
1 0 1
3
5
1
A =
= N
0
@
2
4
1 2 0
1 0 1
0 0 3
3
5
1
A = N
0
@
2
4
1 2 0
0 2 1
0 0 3
3
5
1
A = f(0; 0; 0)g
e
I(T) = C M(T; B3
c ; B3
c ) = C
0
@
2
4
1 2 0
0 0 3
1 0 1
3
5
1
A = L (f(1; 0; 1); (2; 0; 0); (0; 3; 1)g) .
O conjunto f(1; 0; 1); (2; 0; 0); (0; 3; 1)g é uma base de I(T).
(xiii) Seja T : R3
! R3
com T(x; y; z) = (x; y; z). T é linear e tem-se
M(T; B3
c ; B3
c ) =
2
4
1 0 0
0 1 0
0 0 1
3
5 ,
300
uma vez que T(1; 0; 0) = (1; 0; 0); T(0; 1; 0) = (0; 1; 0) e T(0; 0; 1) = (0; 0; 1). Tem-se
N(T) = (x; y; z) 2 R3
: T(x; y; z) = (0; 0; 0) = f(0; 0; 0)g .
Logo, dim N(T) = 0 e T é injectiva. Uma vez que
dim R3
|{z}
espaço de partida
= dim N(T) + dim I(T),
então dim I(T) = 3. Vejamos como encontrar uma base para I(T). Tem-se
I(T) = f(x; y; z) : x; y; z 2 Rg = R3
,
isto é, T é sobrejectiva. Como o conjunto f(1; 0; 0); (0; 1; 0); (0; 0; 1)g é linearmente indepen-
dente e como gera I(T) então f(1; 0; 0); (0; 1; 0); (0; 0; 1)g é uma base de I(T).
Como T é injectiva e sobrejectiva, então T é bijectiva.
(xiv) Seja T : R2
! R2
com T(x; y) = (x cos y sen ; x sen + y cos ), 2 R. T é
linear e
M(T; B3
c ; B3
c ) =
cos sen
sen cos
!
cos sen
sen cos
,
uma vez que T(1; 0) = (cos ; sen ) e T(0; 1) = ( sen ; cos ).
Atendendo ao exo
4 (viii) da …cha 2, tem-se, para todo o 2 R,
M(T; B3
c ; B3
c )
1
=
cos sen
sen cos
.
Logo
N(T) = (x; y) 2 R2
: T(x; y) = (0; 0) = f(0; 0)g
e dim N(T) = 0, isto é, T é injectiva.
Sendo T injectiva e tendo-se dim (espaço de partida) = dim (espaço de chegada) então
T também é sobrejectiva.
Como T é injectiva e sobrejectiva, então T é bijectiva.
Como o conjunto f(1; 0); (0; 1)g é linearmente independente e como gera I(T) então
f(1; 0); (0; 1)g é uma base de I(T).
(xv) Seja T : P2 ! P2 com
T(p (t)) = 2p (1 t) tp0
(t) :
T é linear uma vez que, para todos os p (t) ; p1 (t) ; p2 (t) 2 P2, para todo o 2 R,
T(p1 (t) + p2 (t)) = T((p1 + p2) (t)) = 2 (p1 + p2) (1 t) t (p1 + p2)0
(t) =
= 2p1 (1 t) + 2p2 (1 t) tp0
1 (t) tp0
2 (t) =
= 2p1 (1 t) tp0
1 (t) + 2p2 (1 t) tp0
2 (t) =
= T (p1 (t)) + T (p2 (t)) ,
T( p (t)) = T(( p) (t)) = 2 ( p) (1 t) t ( p)0
(t) =
= 2p (1 t) t p0
(t) = (2p (1 t) tp0
(t)) = T(p (t)).
301
Sendo B = f1; t; t2
g a base canónica de P2, tem-se
M(T; B; B) =
2
4
2 2 2
0 3 4
0 0 0
3
5 ,
uma vez que T(1) = 2 1 t 0 = 2; T(t) = 2 (1 t) t 1 = 2 3t e
T(t2
) = 2 (1 t)2
t2t = 2 4t + 2t2
2t2
= 2 4t:
Uma base para N(T):
Como
N (M(T; B; B)) = N
0
@
2
4
2 2 2
0 3 4
0 0 0
3
5
1
A = L (f(1; 4; 3)g) ,
então
N (T) = a0 + a1t + a2t2
2 P2 : (a0; a1; a2) 2 L (f(1; 4; 3)g) = L 1 4t + 3t2
.
Como f1 4t + 3t2
g é uma base de N (T), dim N (T) = 1. Logo, T não é injectiva, uma
vez que dim N (T) 6= 0.
Resolução alternativa para encontrar uma base para N(T):
N (T) = a0 + a1t + a2t2
2 P2 : T a0 + a1t + a2t2
= 0 =
= a0 + a1t + a2t2
2 P2 : 2 a0 + a1 (1 t) + a2 (1 t)2
t (a1 + 2a2t) = 0 =
= a0 + a1t + a2t2
2 P2 : 2a0 + 2a1 2a1t + 2a2 4a2t + 2a2t2
a1t 2a2t2
= 0 =
= a0 + a1t + a2t2
2 P2 : 2a0 + 2a1 + 2a2 + ( 3a1 4a2) t = 0 =
= a0 + a1t + a2t2
2 P2 : a1 =
4
3
a2 e a0 =
1
3
a2 =
=
1
3
a2
4
3
a2t + a2t2
2 P2 : a2 2 R = L
1
3
4
3
t + t2
= L 1 4t + 3t2
.
Como f1 4t + 3t2
g é uma base de N (T), dim N (T) = 1.
Uma base para I(T):
Como f1; t; t2
g gera P2, tem-se
I (T) = L T (1) ; T (t) ; T t2
= L (f2; 2 3t; 2 4tg) = L (f2; 2 3tg) :
Uma vez que o conjunto f2; 2 3tg é linearmente independente e gera I (T), então f2; 2 3tg
é uma base de I (T), tendo-se dim I (T) = 2.
Como dim P2 = 3, tem-se I (T) 6= P2, pelo que T não é sobrejectiva.
Resolução alternativa para encontrar uma base para I(T):
Sendo p (t) = a0 + a1t + a2t2
, com a0; a1; a2 2 R, tem-se
T (p (t)) = 2 a0 + a1 (1 t) + a2 (1 t)2
t (a1 + 2a2t) =
= 2a0 + 2a1 2a1t + 2a2 4a2t + 2a2t2
a1t 2a2t2
=
= a02 + a1 (2 3t) + a2 (2 4t) .
302
Logo, I(T) = L (f2; 2 3t; 2 4tg) = L (f2; 2 3tg). Uma vez que o conjunto f2; 2 3tg é
linearmente independente e gera I (T), então f2; 2 3tg é uma base de I (T).
(xvi) Seja T : P2 ! P2 com
T(p (t)) = p (0) p ( 1) + (p ( 1) + p (1)) t + (p ( 1) p (1) 2p (0)) t2
:
T é linear uma vez que, para todos os p (t) ; p1 (t) ; p2 (t) 2 P2, para todo o 2 R,
T(p1 (t) + p2 (t)) = T((p1 + p2) (t)) =
= (p1 + p2) (0) (p1 + p2) ( 1) + ((p1 + p2) ( 1) + (p1 + p2) (1)) t +
+ ((p1 + p2) ( 1) (p1 + p2) (1) 2 (p1 + p2) (0)) t2
= p1 (0) p1 ( 1) + (p1 ( 1) + p1 (1)) t + (p1 ( 1) p1 (1) 2p1 (0)) t2
+
+p2 (0) p2 ( 1) + (p2 ( 1) + p2 (1)) t + (p2 ( 1) p2 (1) 2p2 (0)) t2
= T (p1 (t)) + T (p2 (t)) ,
T( p (t)) = T(( p) (t)) = p (0) p ( 1) + (p ( 1) + p (1)) t + (p ( 1) p (1) 2p (0)) t2
=
= T(p (t)).
Sendo B = f1; t; t2
g a base canónica de P2, tem-se
M(T; B; B) =
2
4
0 1 1
2 0 2
2 2 0
3
5 ,
uma vez que T(1) = 1 1 + (1 + 1) t + (1 1 2) t2
= 2t 2t2
;
T(t) = 0 ( 1) + (( 1) + 1) t + (( 1) 1 2 0) t2
= 1 2t2
e
T(t2
) = 0 1 + (1 + 1) t + (1 1 2 0) t2
= 1 + 2t:
Uma base para N(T):
Como
N (M(T; B; B)) = N
0
@
2
4
0 1 1
2 0 2
2 2 0
3
5
1
A = N
0
@
2
4
0 1 1
2 0 2
0 2 2
3
5
1
A = N
0
@
2
4
2 0 2
0 1 1
0 0 0
3
5
1
A =
= L (f( 1; 1; 1)g) ,
então
N (T) = a0 + a1t + a2t2
2 P2 : (a0; a1; a2) 2 L (f( 1; 1; 1)g) = L 1 + t + t2
.
Como f 1 + t + t2
g é uma base de N (T), dim N (T) = 1. Logo, T não é injectiva, uma vez
que dim N (T) 6= 0.
303
Resolução alternativa para encontrar uma base para N(T):
N (T) = a0 + a1t + a2t2
2 P2 : T a0 + a1t + a2t2
= 0 =
=
a0 + a1t + a2t2
2 P2 : p (0) p ( 1) + (p ( 1) + p (1)) t+
+ (p ( 1) p (1) 2p (0)) t2
= 0
=
=
a0 + a1t + a2t2
2 P2 : p (0) p ( 1) = 0 e p ( 1) + p (1) = 0 e
p ( 1) p (1) 2p (0) = 0
=
=
8
<
:
a0 + a1t + a2t2
2 P2 : a0 (a0 a1 + a2) = 0 e
(a0 a1 + a2) + (a0 + a1 + a2) = 0 e
(a0 a1 + a2) (a0 + a1 + a2) 2a0 = 0
9
=
;
=
= a0 + a1t + a2t2
2 P2 : a1 = a2 e a0 = a2 =
= a2 + a2t + a2t2
2 P2 : a2 2 R = a2 1 + t + t2
2 P2 : a2 2 R =
= L 1 + t + t2
.
Como f 1 + t + t2
g é uma base de N (T), dim N (T) = 1.
Uma base para I(T):
Como f1; t; t2
g gera P2, tem-se
I (T) = L T (1) ; T (t) ; T t2
= L 2t 2t2
; 1 2t2
; 1 + 2t = L 1 2t2
; 1 + 2t :
Uma vez que o conjunto f1 2t2
; 1 + 2tg é linearmente independente e gera I (T), então
1 2t2
; 1 + 2t
é uma base de I (T), tendo-se dim I (T) = 2.
Como dim P2 = 3, tem-se I (T) 6= P2, pelo que T não é sobrejectiva.
Resolução alternativa para encontrar uma base para I(T):
Sendo p (t) = a0 + a1t + a2t2
, com a0; a1; a2 2 R, tem-se
T (p (t)) = p (0) p ( 1) + (p ( 1) + p (1)) t + (p ( 1) p (1) 2p (0)) t2
=
= a0 a0 + a1 ( 1) + a2 ( 1)2
+ a0 + a1 ( 1) + a2 ( 1)2
+ a0 + a1 + a2 t+
+ a0 + a1 ( 1) + a2 ( 1)2
(a0 + a1 + a2) 2a0 t2
=
= a1 a2 + (2a0 + 2a2) t + ( 2a0 2a1) t2
= a0 2t 2t2
+ a1 1 2t2
+ a2 ( 1 + 2t) .
Logo, I(T) = L (f2t 2t2
; 1 2t2
; 1 + 2tg) = L (f2t 2t2
; 1 2t2
g). Como o conjunto
2t 2t2
; 1 2t2
é linearmente independente e gera I (T), então f2t 2t2
; 1 2t2
g é uma base de I (T).
(xvii) Seja T : P2 ! M2 2 (R) com T(p (t)) =
p (1) p (0)
p (0) p ( 1)
.
T é linear uma vez que, para todos os p (t) ; p1 (t) ; p2 (t) 2 P2, para todo o 2 R,
T(p1 (t) + p2 (t)) = T((p1 + p2) (t)) =
(p1 + p2) (1) (p1 + p2) (0)
(p1 + p2) (0) (p1 + p2) ( 1)
304
=
p1 (1) + p2 (1) p1 (0) + p2 (0)
p1 (0) + p2 (0) p1 ( 1) + p2 ( 1)
=
p1 (1) p1 (0)
p1 (0) p1 ( 1)
+
p2 (1) p2 (0)
p2 (0) p2 ( 1)
=
= T (p1 (t)) + T (p2 (t)) ,
T( p (t)) = T(( p) (t)) =
( p) (1) ( p) (0)
( p) (0) ( p) ( 1)
=
p (1) p (0)
p (0) p ( 1)
=
=
p (1) p (0)
p (0) p ( 1)
= T(p (t)).
Sendo B1 = f1; t; t2
g a base canónica de P2 e
B2 =
1 0
0 0
;
0 1
0 0
;
0 0
1 0
;
0 0
0 1
a base canónica de M2 2 (R) tem-se
M(T; B1; B2) =
2
6
6
4
1 1 1
1 0 0
1 0 0
1 1 1
3
7
7
5 ,
uma vez que
T(1) =
1 1
1 1
; T(t) =
1 0
0 1
; T(t2
) =
1 0
0 1
Cálculo de N(T):
Como
N (M(T; B1; B2)) = N
0
B
B
@
2
6
6
4
1 1 1
1 0 0
1 0 0
1 1 1
3
7
7
5
1
C
C
A = N
0
B
B
@
2
6
6
4
1 1 1
0 1 1
0 1 1
0 2 0
3
7
7
5
1
C
C
A =
= N
0
B
B
@
2
6
6
4
1 1 1
0 2 0
0 0 1
0 0 0
3
7
7
5
1
C
C
A = f(0; 0; 0)g ;
então
N (T) = a0 + a1t + a2t2
2 P2 : (a0; a1; a2) = (0; 0; 0) = f0g .
Logo, T é injectiva uma vez que dim N (T) = 0.
Resolução alternativa para calcular N(T):
N (T) = p (t) = a0 + a1t + a2t2
2 P2 : T (p (t)) =
0 0
0 0
=
= p (t) = a0 + a1t + a2t2
2 P2 :
p (1) p (0)
p (0) p ( 1)
=
0 0
0 0
=
= a0 + a1t + a2t2
2 P2 :
a0 + a1 + a2 a0
a0 a0 a1 + a2
=
0 0
0 0
=
= a0 + a1t + a2t2
2 P2 : a0 = 0 e a1 = a2 = 0 = f0g .
305
Uma base para I(T):
Como f1; t; t2
g gera P2, tem-se
I (T) = L T (1) ; T (t) ; T t2
= L
1 1
1 1
;
1 0
0 1
;
1 0
0 1
:
Uma vez que o conjunto
1 1
1 1
;
1 0
0 1
;
1 0
0 1
é linearmente independente e
gera I (T), então
1 1
1 1
;
1 0
0 1
;
1 0
0 1
é uma base de I (T), tendo-se dim I (T) = 3.
Como dim M2 2 (R) = 4, tem-se I (T) 6= M2 2 (R), pelo que T não é sobrejectiva.
Resolução alternativa para encontrar uma base para I(T):
Sendo p (t) = a0 + a1t + a2t2
, com a0; a1; a2 2 R, tem-se
T (p (t)) =
p (1) p (0)
p (0) p ( 1)
=
a0 + a1 + a2 a0
a0 a0 a1 + a2
=
=
a0 a0
a0 a0
+
a1 0
0 a1
+
a2 0
0 a2
=
= a0
1 1
1 1
+ a1
1 0
0 1
+ a2
1 0
0 1
.
Logo, I(T) = L
1 1
1 1
;
1 0
0 1
;
1 0
0 1
. Como o conjunto
1 1
1 1
;
1 0
0 1
;
1 0
0 1
é linearmente independente e gera I (T), então é uma base de I (T).
3. Considere a transformação linear T : R3
! R3
que em relação à base canónica
(ordenada) B3
c = f(1; 0; 0); (0; 1; 0); (0; 0; 1)g de R3
é representada pela matriz
M(T; B3
c ; B3
c ) =
2
4
1 2 1
1 1 0
2 1 0
3
5 .
Tem-se
T(x; y; z) = M(T; B3
c ; B3
c )
2
4
x
y
z
3
5 =
2
4
1 2 1
1 1 0
2 1 0
3
5
2
4
x
y
z
3
5 = (x + 2y + z; x + y; 2x y).
Tem-se
N(T) = (x; y; z) 2 R3
: T(x; y; z) = (0; 0; 0) =
= (x; y; z) 2 R3
: (x + 2y + z; x + y; 2x y) = (0; 0; 0) =
= f(0; 0; 0)g .
306
Logo, dim N(T) = 0 e T é injectiva. Uma vez que
dim R3
|{z}
espaço de partida
= dim N(T) + dim I(T),
então dim I(T) = 3. Vejamos como encontrar uma base para I(T). Tem-se
I(T) = f(x + 2y + z; x + y; 2x y) : x; y; z 2 Rg = L (f(1; 1; 2); (2; 1; 1); (1; 0; 0)g) .
Como o conjunto f(1; 1; 2); (2; 1; 1); (1; 0; 0)g é linearmente independente e como gera I(T)
então f(1; 1; 2); (2; 1; 1); (1; 0; 0)g é uma base de I(T).
Por outro lado, como I(T) é subespaço de R3
e dim I(T) = dim R3
então I(T) = R3
,
isto é, T é sobrejectiva.
Como T é injectiva e sobrejectiva, então T é bijectiva.
Resolução alternativa para encontrar uma base para I(T). Sendo
M(T; B3
c ; B3
c ) =
2
4
1 2 1
1 1 0
2 1 0
3
5 ,
a matriz que representa a transformação linear T em relação à base canónica B3
c no espaço
de partida e no espaço de chegada, tem-se
T(x; y; z) = M(T; B3
c ; B3
c )
2
4
x
y
z
3
5 .
Logo,
N(T) = N M(T; B3
c ; B3
c ) = N
0
@
2
4
1 2 1
1 1 0
2 1 0
3
5
1
A =
= N
0
@
2
4
1 2 1
0 1 1
0 5 2
3
5
1
A = N
0
@
2
4
1 2 1
0 1 1
0 0 3
3
5
1
A = f(0; 0; 0)g
e
I(T) = C M(T; B3
c ; B3
c ) = C
0
@
2
4
1 2 1
1 1 0
2 1 0
3
5
1
A = L (f(1; 1; 2); (2; 1; 1); (1; 0; 0)g) .
O conjunto f(1; 1; 2); (2; 1; 1); (1; 0; 0)g é uma base de I(T).
4. Considere a base ordenada B = fv1; v2g de R2
, em que v1 = (1; 1) e v2 = (1; 0) e seja
T : R2
! R2
a transformação linear tal que
T(v1) = (1; 2), T(v2) = ( 3; 1).
(i) Tem-se T(2; 1) = T ((1; 1) + (1; 0)) =|{z}
T é linear
T(1; 1) + T(1; 0) = (1; 2) + ( 3; 1) =
( 2; 1).
307
(ii) Seja (x; y) 2 R2
. Tem-se
(x; y) = y(1; 1) + (x y)(1; 0).
Logo,
T(x; y) = T (y(1; 1) + (x y)(1; 0)) =|{z}
T é linear
yT(1; 1) + (x y)T(1; 0) =
= y(1; 2) + (x y)( 3; 1) = ( 3x + 4y; x 3y).
(iii) Tem-se
M(T; B2
c ; B2
c ) =
3 4
1 3
,
uma vez que, pela alínea (ii), T(1; 0) = ( 3; 1) e T(0; 1) = (4; 3).
Observação: Poderíamos ter calculado T(1; 0) e T(0; 1) sem recorrer à alinea (ii), uma
vez que
(1; 0) = 0(1; 1) + (1; 0) e (0; 1) = (1; 1) (1; 0).
Logo, sendo T linear, tem-se (usando só o enunciado)
T(1; 0) = ( 3; 1) e T(0; 1) = T(1; 1) T(1; 0) = (1; 2) ( 3; 1) = (4; 3).
(iv) Tem-se
SB2
c !B =
0 1
1 1
uma vez que
(1; 0) = 0(1; 1) + (1; 0) e (0; 1) = (1; 1) (1; 0).
Tem-se
SB!B2
c
=
1 1
1 0
uma vez que
(1; 1) = (1; 0) + (0; 1) e (1; 0) = (1; 0) + 0(0; 1).
As coordenadas do vector (2; 1) na base B são dadas por:
SB2
c !B
2
1
=
0 1
1 1
2
1
=
1
1
.
Observação 1: Na verdade poderíamos ter determinado as coordenadas do vector (2; 1) na
base B usando a de…nição de coordenadas de um vector numa base:
(2; 1) = (1; 1) + (1; 0).
Logo, as coordenadas do vector (2; 1) na base B são precisamente 1 e 1.
Observação 2: Tem-se
SB!B2
c
= SB2
c !B
1
e SB2
c !B = SB!B2
c
1
.
308
(v) Determinemos a matriz M(T; B; B) usando só a de…nição de matriz que representa
uma transformação linear em relação a uma base ordenada B no espaço de partida e no
espaço de chegada. Tem-se
M(T; B; B) =
2 1
3 4
,
uma vez que
T(1; 1) = (1; 2) = 2(1; 1) + 3(1; 0) e T(1; 0) = ( 3; 1) = (1; 1) 4(1; 0).
Determinemos agora as coordenadas do vector T(2; 1) na base B sem usar as alíneas anteri-
ores. Tem-se
T(2; 1) = T ((1; 1) + (1; 0)) =|{z}
T é linear
T(1; 1) + T(1; 0) =
= (1; 2) + ( 3; 1) = ( 2; 1) = (1; 1) (1; 0).
Logo, as coordenadas do vector T(2; 1) na base B são 1 e 1.
Resolução alternativa: Determinemos a matriz M(T; B; B) e as coordenadas do vector
T(2; 1) na base B usando as alíneas anteriores. Tem-se
(R2
; B2
c )
M(T;B2
c ;B2
c )
!
T
(R2
; B2
c )
SB2
c !B # I I # SB2
c !B
(R2
; B)
T
!
M(T;B;B)
(R2
; B)
Logo,
M(T; B; B) = SB2
c !BM(T; B2
c ; B2
c ) SB2
c !B
1
= SB2
c !BM(T; B2
c ; B2
c )SB!B2
c
=
=
0 1
1 1
3 4
1 3
1 1
1 0
=
1 3
4 7
1 1
1 0
=
2 1
3 4
.
Além disso tem-se
coordenadas de (2; 1)
na base B2
c
M(T;B2
c ;B2
c )
!
T
coordenadas de T(2; 1)
na base B2
c
SB2
c !B # I I # SB2
c !B
coordenadas de (2; 1)
na base B
T
!
M(T;B;B)
coordenadas de T(2; 1)
na base B.
Logo, sendo 2 e 1 as coordenadas do vector (2; 1) na base B2
c então as coordenadas do vector
T(2; 1) na base B são dadas por
M(T; B; B)SB2
c !B
2
1
=
2 1
3 4
0 1
1 1
2
1
=
1 3
4 7
2
1
=
1
1
.
(vi) Determinemos a matriz M(T; B2
c ; B) usando só a de…nição de matriz que representa
uma transformação linear em relação às bases ordenadas no espaço de partida e no espaço
de chegada. Tem-se
M(T; B2
c ; B) =
1 3
4 7
,
309
uma vez que
T(1; 0) = ( 3; 1) = (1; 1) 4(1; 0)
e
T(0; 1) = T ((1; 1) (1; 0)) = T(1; 1) T(1; 0) =
= (1; 2) ( 3; 1) = (4; 3) = 3(1; 1) + 7(1; 0).
Resolução alternativa: Tendo em conta o diagrama
(R2
; B2
c )
M(T;B2
c ;B2
c )
!
T
(R2
; B2
c )
SB2
c !B # I I # SB2
c !B
(R2
; B)
T
!
M(T;B;B)
(R2
; B)
tem-se
M(T; B2
c ; B) = M(T; B; B)SB2
c !B =
2 1
3 4
0 1
1 1
=
1 3
4 7
.
(vii) Determinemos a matriz M(T; B; B2
c ) usando só a de…nição de matriz que representa
uma transformação linear em relação às bases ordenadas no espaço de partida e no espaço
de chegada. Tem-se
M(T; B; B2
c ) =
1 3
2 1
,
uma vez que
T(1; 1) = (1; 2) = (1; 0) 2(0; 1)
e
T(1; 0) = ( 3; 1) = 3(1; 0) + (0; 1).
Resolução alternativa: Tendo em conta o diagrama
(R2
; B)
M(T;B;B)
!
T
(R2
; B)
SB!B2
c
# I I # SB!B2
c
(R2
; B2
c )
T
!
M(T;B2
c ;B2
c )
(R2
; B2
c )
tem-se
M(T; B; B2
c ) = M(T; B2
c ; B2
c )SB!B2
c
=
3 4
1 3
1 1
1 0
=
1 3
2 1
.
5. Considere as transformações lineares T1 e T2 cujas matrizes que as representam em
relação às bases canónicas (ordenadas) de R2
e R3
são dadas respectivamente por
M(T1; B3
c ; B2
c ) =
2 0 1
1 1 0
e M(T2; B2
c ; B3
c ) =
2
4
0 1
0 1
1 1
3
5 .
310
Tem-se T1 : R3
! R2
com
T1(x; y; z) = M(T1; B3
c ; B2
c )
2
4
x
y
z
3
5 =
2 0 1
1 1 0
2
4
x
y
z
3
5 = (2x + z; x + y).
Tem-se T2 : R2
! R3
com
T2(x; y) = M(T2; B2
c ; B3
c )
x
y
=
2
4
0 1
0 1
1 1
3
5 x
y
= (y; y; x + y).
Logo, tem-se T1 T2 : R2
! R2
linear com
(T1 T2) (x; y) = M(T1; B3
c ; B2
c )M(T2; B2
c ; B3
c )
x
y
=
=
2 0 1
1 1 0
2
4
0 1
0 1
1 1
3
5 x
y
=
1 3
0 2
x
y
= (x + 3y; 2y)
e T2 T1 : R3
! R3
linear com
(T2 T1) (x; y; z) = M(T2; B2
c ; B3
c )M(T1; B3
c ; B2
c )
2
4
x
y
z
3
5 =
2
4
0 1
0 1
1 1
3
5 2 0 1
1 1 0
2
4
x
y
z
3
5 =
=
2
4
1 1 0
1 1 0
3 1 1
3
5
2
4
x
y
z
3
5 = (x + y; x + y; 3x + y + z).
Resolução alternativa: Tendo-se T1 : R3
! R2
com T1(x; y; z) = (2x + z; x + y) e
T2 : R2
! R3
com T2(x; y) = (y; y; x + y), então T1 T2 : R2
! R2
é linear com
(T1 T2) (x; y) = T1 (T2(x; y)) = T1(y; y; x + y) = (x + 3y; 2y)
e T2 T1 : R3
! R3
é linear com
(T2 T1) (x; y; z) = T2 (T1(x; y; z)) = T2(2x + z; x + y) = (x + y; x + y; 3x + y + z).
6. Considere a transformação linear T : R3
! R3
de…nida por
T(x; y; z) = (2y; y x; x).
Considere a base ordenada B = fv1; v2; v3g de R3
com
v1 = (1; 0; 1), v2 = (1; 2; 0), v3 = ( 1; 1; 1).
Tem-se
M(T; B; B) =
2
4
2 4 5
1 3 3
1 5 4
3
5 ,
311
uma vez que
T(1; 0; 1) = (0; 1; 1) = 2(1; 0; 1) (1; 2; 0) + ( 1; 1; 1),
T(1; 2; 0) = (4; 1; 1) = 4(1; 0; 1) + 3(1; 2; 0) 5( 1; 1; 1) e
T( 1; 1; 1) = (2; 2; 1) = 5(1; 0; 1) + 3(1; 2; 0) 4( 1; 1; 1):
7. Seja
B2 2
c =
1 0
0 0
;
0 1
0 0
;
0 0
1 0
;
0 0
0 1
a base canónica (ordenada) de M2 2(R). Considere a transformação linear
S : M2 2(R) ! M2 2(R) de…nida por S(A) = AT
.
Tem-se
M(S; B2 2
c ; B2 2
c ) =
2
6
6
4
1 0 0 0
0 0 1 0
0 1 0 0
0 0 0 1
3
7
7
5 ,
uma vez que
S
1 0
0 0
=
1 0
0 0
S
0 1
0 0
=
0 0
1 0
;
S
0 0
1 0
=
0 1
0 0
S
0 0
0 1
=
0 0
0 1
:
8. Considere a transformação linear T : R3
! R3
e a base canónica (ordenada)
B3
c = fv1; v2; v3g de R3
, com v1 = (1; 0; 0), v2 = (0; 1; 0), v3 = (0; 0; 1).
Suponha que se tem
T(v3) = 3v1 + v2 2v3, T(v2 + v3) = v1 e T(v1 + v2 + v3) = v2 + v3.
Logo,
T(0; 0; 1) = T(v3) = (3; 1; 2),
T(0; 1; 0) = T(v2) = T(v2 + v3) T(v3) = 2v1 v2 + 2v3 = ( 2; 1; 2)
e
T(1; 0; 0) = T(v1) = T(v1 + v2 + v3) T(v2 + v3) = v1 + v2 + v3 = ( 1; 1; 1).
Assim:
(i)
T(2v1 v2 + 3v3) = 2T (v1) T (v2) + 3T (v3) =
312
= 2( 1; 1; 1) ( 2; 1; 2) + 3(3; 1; 2) = (9; 6; 6);
(ii)
M(T; B3
c ; B3
c ) =
2
4
1 2 3
1 1 1
1 2 2
3
5 .
(iii) Seja B1 = B3
c a base canónica ordenada de R3
. Determinemos uma base ordenada
B2 = fw1; w2; w3g de R3
de modo a que a matriz M(T; B1; B2) que represente T em relação
a essas bases B1 e B2 seja a matriz identidade:
2
4
1 0 0
0 1 0
0 0 1
3
5 .
Tem-se T(1; 0; 0) = w1; T(0; 1; 0) = w2 e T(0; 0; 1) = w3. Logo,
B2 = f( 1; 1; 1); ( 2; 1; 2); (3; 1; 2)g .
9. Considere a transformação linear T : R2
! R3
que em relação às bases ordenadas
B1 = fu1; u2g de R2
e B2 = fv1; v2; v3g de R3
com
u1 = (1; 1), u2 = (2; 1), v1 = (1; 0; 1), v2 = (1; 1; 2), v3 = (0; 1; 1),
é representada pela matriz
M(T; B1; B2) =
2
4
1 2
1 1
3 0
3
5 .
Considere ainda as bases ordenadas B
0
1 = u
0
1; u
0
2 de R2
e B
0
2 = v
0
1; v
0
2; v
0
3 de R3
com
u
0
1 = (1; 0), u
0
2 = (1; 1), v
0
1 = (1; 0; 0), v
0
2 = (1; 1; 0), v
0
3 = (1; 1; 1).
(i) Tem-se
( 1; 2) = (1; 1) (2; 1).
Logo, as coordenadas do vector ( 1; 2) na base B1 são 1 e 1. Deste modo, as coordenadas
do vector T( 1; 2) na base B2 são dadas por
M(T; B1; B2)
1
1
=
2
4
1 2
1 1
3 0
3
5 1
1
=
2
4
1
2
3
3
5 .
(ii) Tem-se
( 1; 2) = 3(1; 0) + 2(1; 1).
Logo, as coordenadas do vector ( 1; 2) na base B0
1 são 3 e 2.
313
Resolução alternativa: Tem-se
SB1!B0
1
=
0 3
1 1
,
uma vez que u1 = 0u
0
1 + u
0
2 e u2 = 3u
0
1 u
0
2. Tendo em conta (por (i)) que as coordenadas
do vector ( 1; 2) na base B1 são 1 e 1, então as coordenadas do vector ( 1; 2) na base B0
1
são dadas por
SB1!B0
1
1
1
=
0 3
1 1
1
1
=
3
2
.
(iii) Uma vez que (por (i)) as coordenadas do vector T( 1; 2) na base B2 são 1; 2 e
3, então
T( 1; 2) = (1; 0; 1) 2(1; 1; 2) + 3(0; 1; 1) = ( 3; 1; 8).
Por outro lado, tem-se
( 3; 1; 8) = 4(1; 0; 0) + 9(1; 1; 0) 8(1; 1; 1).
Logo, as coordenadas do vector T( 1; 2) na base B0
2 são 4; 9 e 8.
Resolução alternativa: Determinemos a matriz de mudança de base SB2!B0
2
. Tem-se
SB2!B0
2
=
2
4
1 0 1
1 1 2
1 2 1
3
5 ,
uma vez que v1 = v
0
1 v
0
2 + v
0
3; v2 = 0v
0
1 v
0
2 + 2v
0
3 e v3 = v
0
1 + 2v
0
2 v
0
3. Tendo em
conta que (por (i)) as coordenadas do vector T( 1; 2) na base B2 são 1; 2 e 3, então as
coordenadas do vector T( 1; 2) na base B0
2 são dadas por
SB2!B0
2
2
4
1
2
3
3
5 =
2
4
1 0 1
1 1 2
1 2 1
3
5
2
4
1
2
3
3
5 =
2
4
4
9
8
3
5 .
(iv) Determinemos uma base para N (T). Seja u 2 R2
e sejam ( 1; 2) as coordenadas
de u em relação à base
B1 = f(1; 1); (2; 1)g :
Tem-se
u 2 N(T) , ( 1; 2) 2 N(M(T; B1; B2))
e como
N(M(T; B1; B2)) = N
0
@
2
4
1 2
1 1
3 0
3
5
1
A = N
0
@
2
4
1 2
0 3
0 6
3
5
1
A = N
0
@
2
4
1 2
0 3
0 0
3
5
1
A = f(0; 0)g ,
N(T) = f0(1; 1) + 0(2; 1)g = f(0; 0)g .
Assim, dim N(T) = 0 e T é injectiva.
314
(v) Determinemos uma base para I (T). Como f(1; 1); (2; 1)g gera R2
, tem-se
I(T) = L (fT(1; 1); T(2; 1)g) =
= L (f1(1; 0; 1) + ( 1) (1; 1; 2) + 3(0; 1; 1); 2(1; 0; 1) + 1(1; 1; 2) + 0(0; 1; 1)g) =
= L (f(0; 2; 4); (3; 1; 4)g) .
Uma vez que o conjunto f(0; 2; 4); (3; 1; 4)g é linearmente independente e gera I (T), então
f(0; 2; 4); (3; 1; 4)g
é uma base de I (T), tendo-se dim I (T) = 2.
Como dim R3
= 3, tem-se I (T) 6= R3
, pelo que T não é sobrejectiva.
(vi) Determinemos a expressão geral de T, isto é, T (x; y), para todo o (x; y) 2 R2
.
Considerando as bases canónicas de R2
e de R3
respectivamente:
B2
c = f(1; 0); (0; 1)g ; B3
c = f(1; 0; 0); (0; 1; 0); (0; 0; 1)g ,
tem-se
M(T; B2
c ; B3
c ) = SB2!B3
c
M(T; B1; B2) SB1!B2
c
1
=
=
2
4
1 1 0
0 1 1
1 2 1
3
5
2
4
1 2
1 1
3 0
3
5 1 2
1 1
1
=
2
4
0 3
2 1
4 4
3
5
1
3
2
3
1
3
1
3
=
2
4
1 1
1 1
0 4
3
5 .
Logo, para todo o (x; y) 2 R2
,
T (x; y) = M(T; B2
c ; B3
c )
x
y
=
2
4
1 1
1 1
0 4
3
5 x
y
=
2
4
x y
x + y
4y
3
5 = (x y; x + y; 4y) .
Resolução alternativa à alínea (v) para encontrar uma base para I(T):
Tem-se
I(T) = T (x; y) : (x; y) 2 R2
= (x y; x + y; 4y) : (x; y) 2 R2
=
= (x; x; 0) + ( y; y; 4y) : (x; y) 2 R2
=
= x (1; 1; 0) + y ( 1; 1; 4) : (x; y) 2 R2
=
= L (f(1; 1; 0) ; ( 1; 1; 4)g)
Como o conjunto f(1; 1; 0) ; ( 1; 1; 4)g é linearmente independente e gera I (T), então
f(1; 1; 0) ; ( 1; 1; 4)g
é uma base de I (T).
Note que:
L (f(1; 1; 0) ; ( 1; 1; 4)g) = L (f(0; 2; 4); (3; 1; 4)g) .
315
(vii) Tem-se
(R2
; B1)
M(T;B1;B2)
!
T
(R3
; B2)
SB1!B0
1
# I I # SB2!B0
2
(R2
; B0
1)
T
!
M(T;B0
1;B0
2)
(R3
; B0
2)
Logo,
M(T; B0
1; B0
2) = SB2!B0
2
M(T; B1; B2) SB1!B0
1
1
= SB2!B0
2
M(T; B1; B2)SB0
1!B1
=
=
2
4
1 0 1
1 1 2
1 2 1
3
5
2
4
1 2
1 1
3 0
3
5 1=3 1
1=3 0
=
2
4
2 2
6 3
4 4
3
5 1=3 1
1=3 0
=
2
4
0 2
1 6
0 4
3
5 .
10. Considere a transformação linear T : R3
! R2
de…nida por
T(x; y; z) = (x + y; x + y z).
(i) Tem-se
M(T; B3
c ; B2
c ) =
1 1 0
1 1 1
,
uma vez que T(1; 0; 0) = (1; 1); T(0; 1; 0) = (1; 1) e T(0; 0; 1) = (0; 1).
(ii) Tem-se
N(T) = (x; y; z) 2 R3
: T(x; y; z) = (0; 0) =
= (x; y; z) 2 R3
: (x + y; x + y z) = (0; 0) =
= (x; x; 0) 2 R3
: x 2 R = L (f(1; 1; 0)g) .
Logo, o conjunto f(1; 1; 0)g é uma base de N(T) e dim N(T) = 1. T não é injectiva, uma
vez que N(T) 6= f(0; 0)g.
(iii) Tem-se
I(T) = f(x + y; x + y z) : x; y; z 2 Rg = C
1 1 0
1 1 1
= L (f(1; 1); (0; 1)g) .
Como o conjunto f(1; 1); (0; 1)g é linearmente independente e como gera I(T) então f(1; 1); (0; 1)g
é uma base de I(T) e tem-se dim I(T) = 2.
Por outro lado, como I(T) é subespaço de R2
e dim I(T) = dim R2
então I(T) = R2
,
isto é, T é sobrejectiva.
(iv) O vector (1; 0; 0) é uma solução particular da equação linear
T(x; y; z) = (1; 1).
Logo, a solução geral da equação linear T(x; y; z) = (1; 1) é dada por:
f(1; 0; 0)g + N(T) = (1 + t; t; 0) 2 R3
: t 2 R .
316
(v) Não existe nenhum vector (a; b) 2 R2
para o qual a equação linear T(x; y; z) = (a; b)
seja impossível, uma vez que T é sobrejectiva.
(vi) Não existe nenhum vector (a; b) 2 R2
para o qual a equação linear T(x; y; z) = (a; b)
seja possível e determinada, uma vez que T não é injectiva.
11. Considere a transformação linear T : R3
! R3
cuja matriz M(T; B3
c ; B3
c ) que a
representa em relação à base canónica (ordenada) B3
c de R3
é dada por
M(T; B3
c ; B3
c ) =
2
4
1 2 2
2 1 4
0 0 2
3
5 .
(i) Seja (x; y; z) 2 R3
. Tem-se
T(x; y; z) = M(T; B3
c ; B3
c )
2
4
x
y
z
3
5 =
2
4
1 2 2
2 1 4
0 0 2
3
5
2
4
x
y
z
3
5 = (x + 2y + 2z; 2x + y + 4z; 2z).
(ii) Tem-se
N(T) = N
0
@
2
4
1 2 2
2 1 4
0 0 2
3
5
1
A = N
0
@
2
4
1 2 2
0 3 0
0 0 2
3
5
1
A = f(0; 0; 0)g .
Logo, T é injectiva e dim N(T) = 0.
(iii) Tem-se
I(T) = f(x + 2y + 2z; 2x + y + 4z; 2z) : x; y; z 2 Rg =
= fx(1; 2; 0) + y(2; 1; 0) + z(2; 4; 2) : x; y; z 2 Rg
= L (f(1; 2; 0); (2; 1; 0); (2; 4; 2)g) .
Como o conjunto f(1; 2; 0); (2; 1; 0); (2; 4; 2)g é linearmente independente e como gera I(T)
então f(1; 2; 0); (2; 1; 0); (2; 4; 2)g é uma base de I(T) e tem-se dim I(T) = 3. Por outro lado,
como I(T) é subespaço de R3
e dim I(T) = dim R3
então I(T) = R3
, isto é, T é sobrejectiva.
(iv) Como T(1; 1; 0) = T(1; 0; 0) + T(0; 1; 0) = (2; 1; 0) + (1; 2; 0) = (3; 3; 0), então o
vector (1; 1; 0) é uma solução particular da equação linear
T(x; y; z) = (3; 3; 0).
Logo, a solução geral da equação linear T(x; y; z) = (3; 3; 0) é dada por:
f(1; 1; 0)g + N(T) = f(1; 1; 0)g .
(v) Não existe nenhum vector (a; b; c) 2 R3
para o qual a equação linear T(x; y; z) =
(a; b; c) seja impossível, uma vez que T é sobrejectiva.
317
(vi) Não existe nenhum vector (a; b; c) 2 R3
para o qual a equação linear T(x; y; z) =
(a; b; c) seja possível e indeterminada, uma vez que T é injectiva.
12. Considere a transformação linear T : R3
! R3
cuja matriz M(T; B; B) que a
representa em relação à base (ordenada) B = fv1; v2; v3g de R3
com
v1 = (1; 1; 1), v2 = (1; 1; 0), v3 = (1; 0; 0),
é dada por
M(T; B; B) =
2
4
1 2 2
2 4 4
0 0 2
3
5 .
(i) Seja A = M(T; B; B). Seja u 2 R3
e sejam ( 1; 2; 3) as coordenadas de u em relação
à base B. Tem-se
u 2 N(T) , ( 1; 2; 3) 2 N(A)
e como
N(A) = N
0
@
2
4
1 2 2
2 4 4
0 0 2
3
5
1
A = N
0
@
2
4
1 2 0
0 0 0
0 0 2
3
5
1
A = f( 2y; y; 0) : y 2 Rg = L (f( 2; 1; 0)g) ,
N(T) = L (f( 2) (1; 1; 1) + 1(1; 1; 0) + 0(1; 0; 0)g) = L (f(1; 1; 2)g) .
O conjunto f(1; 1; 2)g é uma base de N(T) pois gera N(T) e é linearmente independente.
Assim, dim N(T) = 1. T não é injectiva, uma vez que N(T) 6= f(0; 0; 0)g.
Como
dim R3
|{z}
espaço de partida
= dim N(T) + dim I(T),
então dim I(T) = 2 e assim I(T) 6= R3
(pois dim R3
= 3), isto é, T não é sobrejectiva.
Expressão geral de T:
T(x; y; z) =
2
4
1 1 1
1 1 0
1 0 0
3
5
2
4
1 2 2
2 4 4
0 0 2
3
5
2
4
1 1 1
1 1 0
1 0 0
3
5
1 2
4
x
y
z
3
5 =
= (8x 2y 3z; 6x 3z; 2x z).
Cálculo alternativo de N(T): Tem-se
N(T) = (x; y; z) 2 R3
: T(x; y; z) = (0; 0; 0) =
= (x; y; z) 2 R3
: (8x 2y 3z; 6x 3z; 2x z) = (0; 0; 0) =
= (x; y; z) 2 R3
: z = 2x e x = y
= (x; x; 2x) 2 R3
: x 2 R =
= L (f(1; 1; 2)g) .
(ii) Quanto ao contradomínio:
I(T) = L (fT(1; 1; 1); T(1; 1; 0); T(1; 0; 0)g) =
318
= L(f1(1; 1; 1) + 2(1; 1; 0) + 0(1; 0; 0); 2(1; 1; 1)+
+4(1; 1; 0) + 0(1; 0; 0); 2(1; 1; 1) + 4(1; 1; 0) + 2(1; 0; 0)g) =
= L (f(3; 3; 1); (6; 6; 2); (8; 6; 2)g) = L (f(6; 6; 2); (8; 6; 2)g) = L (f(8; 6; 2); ( 2; 0; 0)g) .
Como o conjunto f(8; 6; 2); ( 2; 0; 0)g é linearmente independente e como gera I(T) então
f(8; 6; 2); ( 2; 0; 0)g
é uma base de I(T) e tem-se dim I(T) = 2.
Cálculo alternativo de I(T): Tem-se
I(T) = f(8x 2y 3z; 6x 3z; 2x z) : x; y; z 2 Rg =
= L (f(8; 6; 2); ( 2; 0; 0); ( 3; 3; 1)g) =
= L (f(8; 6; 2); ( 2; 0; 0)g) = C M(T; B3
c ; B3
c ) .
(iii) É fácil ver que (2; 4; 0) =2 I(T). Logo, a equação linear T(x; y; z) = (2; 4; 0) não tem
soluções.
(iv) Tem-se T(1; 1; 1) = 1(1; 1; 1) + 2(1; 1; 0) + 0(1; 0; 0) = (3; 3; 1) e assim
T
1
3
;
1
3
;
1
3
= 1; 1;
1
3
Logo, a solução geral de
T (x; y; z) = 1; 1;
1
3
é dada por:
(x; y; z) 2 R3
: T (x; y; z) = 1; 1;
1
3
=
1
3
;
1
3
;
1
3
+ N (T) =
=
1
3
;
1
3
;
1
3
) + s (1; 1; 2) : s 2 R .
(v) Por exemplo o vector (1; 0; 0) ou qualquer vector (a; b; c) 2 I(T), uma vez que sendo
T não injectiva, sempre que a equação linear fôr possível, ela será indeterminada.
(vi) Tem-se
T(v1) = (1; 1; 1) + 2(1; 1; 0) + 0(1; 0; 0) = (3; 3; 1);
T(v2) = 2(1; 1; 1) + 4(1; 1; 0) + 0(1; 0; 0) = (6; 6; 2)
e
T(v3) = 2(1; 1; 1) + 4(1; 1; 0) + 2(1; 0; 0) = (8; 6; 2).
Logo,
T(1; 0; 0) = T(v3) = (8; 6; 2);
T(0; 1; 0) = T(v2) T(v3) = ( 2; 0; 0)
319
e
T(0; 0; 1) = T(v1) T(v2) = ( 3; 3; 1).
Assim,
M(T; B3
c ; B3
c ) =
2
4
8 2 3
6 0 3
2 0 1
3
5
e deste modo, para (x; y; z) 2 R3
,
T(x; y; z) = M(T; B3
c ; B3
c )
2
4
x
y
z
3
5 =
2
4
8 2 3
6 0 3
2 0 1
3
5
2
4
x
y
z
3
5 =
= (8x 2y 3z; 6x 3z; 2x z).
13. Considere a transformação linear T : R3
! R3
de…nida por
T(x; y; z) = (x + y + z; x + 2y 4z; z).
(i) Tendo em conta que T(1; 0; 0) = (1; 1; 0); T(0; 1; 0) = (1; 2; 0) e T(0; 0; 1) = (1; 4; 1),
tem-se
M(T; B3
c ; B3
c ) =
2
4
1 1 1
1 2 4
0 0 1
3
5
que representa T em relação à base canónica (ordenada) B3
c de R3
.
(ii) A matriz M(T; B3
c ; B3
c ) é invertível pois
M(T; B3
c ; B3
c ) =
2
4
1 1 1
1 2 4
0 0 1
3
5 !
2
4
1 1 1
0 1 5
0 0 1
3
5 .
Logo, T é injectiva e como tal invertível, tendo-se
M(T; B3
c ; B3
c )
1
= M(T 1
; B3
c ; B3
c ).
Determinemos (M(T; B3
c ; B3
c ))
1
.
M(T; B3
c ; B3
c ) j I =
2
4
1 1 1 j 1 0 0
1 2 4 j 0 1 0
0 0 1 j 0 0 1
3
5 !
2
4
1 1 1 j 1 0 0
0 1 5 j 1 1 0
0 0 1 j 0 0 1
3
5 !
!
2
4
1 1 0 j 1 0 1
0 1 0 j 1 1 5
0 0 1 j 0 0 1
3
5 !
2
4
1 0 0 j 2 1 6
0 1 0 j 1 1 5
0 0 1 j 0 0 1
3
5 .
Logo,
M(T; B3
c ; B3
c )
1
=
2
4
2 1 6
1 1 5
0 0 1
3
5
320
e como tal, para (x; y; z) 2 R3
,
T 1
(x; y; z) = M(T; B3
c ; B3
c )
1
2
4
x
y
z
3
5 =
2
4
2 1 6
1 1 5
0 0 1
3
5
2
4
x
y
z
3
5 =
= (2x y 6z; x + y + 5z; z).
Observação: T 1
T = T T 1
= I. Isto é, para qualquer (x; y; z) 2 R3
;
T 1
T (x; y; z) = T T 1
(x; y; z) = (x; y; z),
como se pode ver:
T 1
T (x; y; z) = T 1
(T(x; y; z)) = T 1
(x + y + z; x + 2y 4z; z) =
= (2x + 2y + 2z x 2y + 4z 6z; x y z + x + 2y 4z + 5z; z) =
= (x; y; z);
T T 1
(x; y; z) = T T 1
(x; y; z) = T(2x y 6z; x + y + 5z; z) =
= (2x y 6z x + y + 5z + z; 2x y 6z 2x + 2y + 10z 4z; z) =
= (x; y; z).
Demonstração alternativa da injectividade de T: Tem-se
N(T) = (x; y; z) 2 R3
: T(x; y; z) = (0; 0; 0) =
= (x; y; z) 2 R3
: (x + y + z; x + 2y 4z; z) = (0; 0; 0) =
= f(0; 0; 0)g .
Logo, T é injectiva.
(iii) Sendo T injectiva, como os espaços de partida e de chegada têm a mesma dimensão,
então T é sobrejectiva. Logo, T é linear e bijectiva, isto é, T é um isomor…smo.
(iv) Tem-se
T(x; y; z) = (1; 1; 2) , (x; y; z) = T 1
(1; 1; 2) = ( 11; 10; 2).
Logo, a solução geral da equação linear T(x; y; z) = (1; 1; 2) é: f( 11; 10; 2)g.
14. Seja
B2 2
c =
1 0
0 0
;
0 1
0 0
;
0 0
1 0
;
0 0
0 1
a base canónica (ordenada) de M2 2(R). Considere a transformação
T : M2 2(R) ! M2 2(R) de…nida por T(X) = AX XA, com A =
0 1
1 0
:
321
(i) Sejam X; X1; X2 2 M2 2(R) e 2 R. Tem-se
T(X1 + X2) = A(X1 + X2) (X1 + X2)A = AX1 + AX2 X1A X2A =
= AX1 X1A + AX2 X2A = T(X1) + T(X2)
e
T( X) = A( X) ( X)A = (AX XA) = T(X).
(ii) Seja
a b
c d
2 M2 2(R). Tem-se
T
a b
c d
=
0 1
1 0
a b
c d
a b
c d
0 1
1 0
=
b + c d a
d a b c
.
Logo, a expressão geral de T é dada por:
T
a b
c d
=
b + c d a
d a b c
.
(iii) Tem-se
M(T; B2 2
c ; B2 2
c ) =
2
6
6
4
0 1 1 0
1 0 0 1
1 0 0 1
0 1 1 0
3
7
7
5 ,
uma vez que
T
1 0
0 0
=
0 1
1 0
1 0
0 0
1 0
0 0
0 1
1 0
=
0 1
1 0
,
T
0 1
0 0
=
0 1
1 0
0 1
0 0
0 1
0 0
0 1
1 0
=
1 0
0 1
,
T
0 0
1 0
=
0 1
1 0
0 0
1 0
0 0
1 0
0 1
1 0
=
1 0
0 1
,
T
0 0
0 1
=
0 1
1 0
0 0
0 1
0 0
0 1
0 1
1 0
=
0 1
1 0
:
(iv) Tem-se
N(T) = X =
a b
c d
2 M2 2(R) : T(X) =
0 0
0 0
=
=
a b
b a
2 M2 2(R) : a; b 2 R = L
1 0
0 1
;
0 1
1 0
.
Logo, dim N(T) = 2. Como N(T) 6=
0 0
0 0
então T não é injectiva.
322
(v) Atendendo a que dim N(T) = 2 e dim M2 2(R) = 4, então dim I(T) = 2. T não é
sobrejectiva uma vez que I(T) 6= M2 2(R). Determinemos uma base para I(T). Tem-se
I(T) = T(X) : X =
a b
c d
2 M2 2(R) =
=
b + c d a
a + d b c
2 M2 2(R) : a; b; c; d 2 R =
= L
0 1
1 0
;
1 0
0 1
;
0 1
1 0
=
= L
1 0
0 1
;
0 1
1 0
.
Como o conjunto
1 0
0 1
;
0 1
1 0
gera I(T) e é linearmente independente, então é
uma base de I(T).
15. Considere as transformações lineares T1; T2 : R2
! R2
de…nidas respectivamente por
T1(x; y) = (x + y; x y) e T2(x; y) = (2x + y; x 2y).
(i) Tem-se
M(T1; B2
c ; B2
c ) =
1 1
1 1
e
M(T2; B2
c ; B2
c ) =
2 1
1 2
uma vez que T1(1; 0) = (1; 1); T1(0; 1) = (1; 1); T2(1; 0) = (2; 1) e T2(0; 1) = (1; 2).
(ii) A matriz M(T2 T1; B2
c ; B2
c ) que representa T2 T1 em relação à base canónica (or-
denada) B2
c de R2
, é dada por
M(T2 T1; B2
c ; B2
c ) = M(T2; B2
c ; B2
c )M(T1; B2
c ; B2
c ) =
=
2 1
1 2
1 1
1 1
=
3 1
1 3
.
(iii) Tem-se, para qualquer (x; y) 2 R2
,
(T2 T1)(x; y) = M(T2 T1; B2
c ; B2
c )
x
y
=
=
3 1
1 3
x
y
= (3x + y; x + 3y).
(iv) Tem-se, para qualquer (x; y) 2 R2
,
T1(x; y) = M(T1; B2
c ; B2
c )
x
y
=
=
1 1
1 1
x
y
= (x + y; x y)
323
e
T2(x; y) = M(T2; B2
c ; B2
c )
x
y
=
=
2 1
1 2
x
y
= (2x + y; x 2y).
Logo,
(T2 T1)(x; y) = T2 (T1(x; y)) = T2(x + y; x y) =
= (2x + 2y + x y; x + y 2x + 2y) = (3x + y; x + 3y):
(v) Tem-se
N(T1) = (x; y) 2 R2
: T(x; y) = (0; 0) = (x; y) 2 R2
: (x + y; x y) = (0; 0) = f(0; 0)g
e
N(T2) = (x; y) 2 R2
: T(x; y) = (0; 0) = (x; y) 2 R2
: (2x + y; x 2y) = (0; 0) = f(0; 0)g .
Logo, T1 e T2 são injectivas e como tal são invertíveis.
(vi) Tem-se então
M(T1; B2
c ; B2
c )
1
= M(T 1
1 ; B2
c ; B2
c ) e M(T2; B2
c ; B2
c )
1
= M(T 1
2 ; B2
c ; B2
c )
Determinemos (M(T1; B2
c ; B2
c ))
1
e (M(T2; B2
c ; B2
c ))
1
.
M(T1; B2
c ; B2
c ) j I =
1 1 j 1 0
1 1 j 0 1
!
1 1 j 1 0
0 2 j 1 1
!
!
1 0 j 1=2 1=2
0 2 j 1 1
!
1 0 j 1=2 1=2
0 1 j 1=2 1=2
;
M(T2; B2
c ; B2
c ) j I =
2 1 j 1 0
1 2 j 0 1
!
2 1 j 1 0
0 5=2 j 1=2 1
!
!
2 0 j 4=5 2=5
0 5=2 j 1=2 1
!
1 0 j 2=5 1=5
0 1 j 1=5 2=5
.
Logo,
M(T1; B2
c ; B2
c )
1
=
1=2 1=2
1=2 1=2
e M(T2; B2
c ; B2
c )
1
=
2=5 1=5
1=5 2=5
e como tal, para (x; y) 2 R2
,
T 1
1 (x; y) = M(T1; B2
c ; B2
c )
1 x
y
=
1=2 1=2
1=2 1=2
x
y
=
1
2
x +
1
2
y;
1
2
x
1
2
y ,
T 1
2 (x; y) = M(T2; B2
c ; B2
c )
1 x
y
=
2=5 1=5
1=5 2=5
x
y
=
2
5
x +
1
5
y;
1
5
x
2
5
y ,
324
e …nalmente
T 1
1 T 1
2 (x; y) = T 1
1 T 1
2 (x; y) =
= T 1
1
2
5
x +
1
5
y;
1
5
x
2
5
y =
=
3
10
x
1
10
y;
1
10
x +
3
10
y .
(vii) Tem-se
M((T2 T1) 1
; B2
c ; B2
c ) = M(T 1
1 T 1
2 ; B2
c ; B2
c ) = M(T 1
1 ; B2
c ; B2
c )M(T 1
2 ; B2
c ; B2
c ) =
= M(T1; B2
c ; B2
c )
1
M(T2; B2
c ; B2
c )
1
=
1=2 1=2
1=2 1=2
2=5 1=5
1=5 2=5
=
3=10 1=10
1=10 3=10
:
De facto,
M((T2 T1) 1
; B2
c ; B2
c ) =
3=10 1=10
1=10 3=10
=
3 1
1 3
1
= M(T2 T1; B2
c ; B2
c )
1
.
(viii) Tendo em conta (vii) tem-se
(T2 T1) 1
(x; y) =
3=10 1=10
1=10 3=10
x
y
=
3
10
x
1
10
y;
1
10
x +
3
10
y .
Logo, como seria de esperar,
(T2 T1) 1
(x; y) = T 1
1 T 1
2 (x; y).
16. Seja A = M (T; B2
c ; B2
c ). Como A =
1 0
2 1
é invertível, pois det A = 1 6= 0,
T é injectiva. Logo, se a equação linear T(x; y) = (1; 2) tiver solução, ela é única. Como
C (A) = I (T) e uma vez que
1
2
2 C (A) pois:
1
2
= 1
1
2
+ 0
0
1
, então (1; 0) é a
solução única da equação linear T(x; y) = (1; 2).
Resolução alternativa da equação linear T(x; y) = (1; 2):
Como A é invertível, T é invertível e
T(x; y) = (1; 2) , (x; y) = T 1
(1; 2) = A 1 1
2
=
1 0
2 1
1
2
=
1
0
.
17. Tem-se M (T1; B2
c ; B1
c ) = 1 0 , pois T1 (1; 0) = 1 e T1 (0; 1) = 0. Logo
M T2 T1; B2
c ; B2
c = M T2; B1
c ; B2
c M T1; B2
c ; B1
c =
1
0
1 0 =
1 0
0 0
325
e assim N(T2 T1) = N(M (T2 T1; B2
c ; B2
c )) = N
1 0
0 0
= L (f(0; 1)g). Pelo que
f(0; 1)g é base de N(T2 T1), uma vez que f(0; 1)g é linearmente independente e gera
N(T2 T1).
18. Como M(T; B1; B2) =
1 0 1
1 0 1
, tem-se T(1; 0; 1) = 1(1; 1) (0; 1) = (1; 0),
T(0; 1; 1) = 0(1; 1)+0(0; 1) = (0; 0) e T(1; 0; 1) = 1(1; 1) (0; 1) = (1; 0). Por outro lado,
como B1 = f(1; 0; 1); (0; 1; 1); (0; 0; 1)g gera o "espaço de partida" R3
, tem-se
I (T) = L (fT(1; 0; 1); T(0; 1; 1); T(0; 0; 1)g) = L (f(1; 0)g) .
Pelo que f(1; 0)g é base de I (T), pois (1; 0) é linearmente independente e gera I (T).
Tem-se dim I (T) = car (M(T; B1; B2)) = car
1 0 1
0 0 0
= 1. Como I (T) 6= R2
,
pois dim I (T) = 1 6= 2 = dim R2
, então T não é sobrejectiva.
19. Considere a transformação linear T1 : R3
! R2
de…nida por T1(x; y; z) = (2x+y; y +
2z). Considere ainda a transformação linear T2 : R2
! R3
cuja representação matricial em
relação à base (ordenada) B = f(2; 1); (1; 2)g de R2
e à base canónica B3
c de R3
é dada pela
matriz M(T2; B; B3
c ) =
2
4
2 1
1 1
1 2
3
5.
(i)
N(T1) = (x; y; z) 2 R3
: T1(x; y; z) = (0; 0) = (x; y; z) 2 R3
: (2x + y; y + 2z) = (0; 0) =
=
n
(x; y; z) 2 R3
: x = z =
y
2
o
=
n y
2
; y;
y
2
: y 2 R
o
= L (f(1; 2; 1)g) .
O conjunto f(1; 2; 1)g gera N(T1) e é linearmente independente, logo é uma base de N(T1).
Tem-se
dim N(T1) = 1 e dim N(T1) + dim I(T1) = dim R3
,
e assim dim I(T1) = 2. Logo, como I(T1) é um subespaço de R2
e dim I(T1) = dim R2
= 2,
então I(T1) = R2
e assim, T1 é sobrejectiva.
(ii) Como B = f(2; 1); (1; 2)g gera o "espaço de partida" R2
, tem-se
I (T2) = L (fT2(2; 1); T2(1; 2)g) = L (f(2; 1; 1) ; (1; 1; 2)g) .
Como o conjunto f(2; 1; 1) ; (1; 1; 2)g gera I (T2) e é linearmente independente, então é uma
base de I (T2).
Tem-se
dim I (T2) = 2 e dim N(T2) + dim I (T2) = dim R2
,
e assim dim N(T2) = 0. Logo, T2 é injectiva.
(iii) Tem-se
2
4
1 2 1
2 1 1
1 1 2
3
5 !
2L1+L2!L2
L1+L3!L3
2
4
1 2 1
0 5 1
0 3 1
3
5 !3
5
L2+L3!L3
2
4
1 2 1
0 5 1
0 0 8
5
3
5
326
logo o conjunto f(1; 2; 1) ; (2; 1; 1) ; (1; 1; 2)g gera N(T1) + I(T2) e é linearmente indepen-
dente, então é uma base de N(T1) + I(T2).
Logo, como N(T1) + I(T2) é um subespaço de R3
e dim (N(T1) + I(T2)) = dim R3
= 3,
então N(T1) + I(T2) = R3
.
Tem-se
dim (N(T1)  I(T2)) = dim N(T1) + dim I(T2) dim (N(T1) + I(T2)) = 1 + 2 3 = 0.
(iv) Como (1; 0) =
2
3
(2; 1)
1
3
(1; 2) e (0; 1) =
1
3
(2; 1) +
2
3
(1; 2), tem-se
T2(1; 0) = T2
2
3
(2; 1)
1
3
(1; 2) =
T é linear
2
3
T2(2; 1)
1
3
T2(1; 2) =
=
2
3
(2; 1; 1)
1
3
(1; 1; 2) =
4
3
;
2
3
;
2
3
+
1
3
;
1
3
;
2
3
= 1;
1
3
; 0
e
T2(0; 1) = T2
1
3
(2; 1) +
2
3
(1; 2) =
T é linear
1
3
T2(2; 1) +
2
3
T2(1; 2) =
=
1
3
(2; 1; 1) +
2
3
(1; 1; 2) =
2
3
;
1
3
;
1
3
+
2
3
;
2
3
;
4
3
= 0;
1
3
; 1
Logo, a matriz M(T2; B2
c ; B3
c ) que representa T2 em relação às bases canónicas B2
c e B3
c de R2
e R3
respectivamente, é dada por
M(T2; B2
c ; B3
c ) =
2
4
1 0
1=3 1=3
0 1
3
5 .
(v) A matriz M(T1; B3
c ; B2
c ) que representa T1 em relação às bases canónicas B3
c e B2
c de
R3
e R2
respectivamente, é dada por
M(T1; B3
c ; B2
c ) =
2 1 0
0 1 2
,
uma vez que
T1(1; 0; 0) = (2; 0); T1(0; 1; 0) = (1; 1) e T1(0; 0; 1) = (0; 2).
Logo, a matriz que representa T1 T2 em relação à base canónica B2
c de R2
é dada por
M(T1 T2; B2
c ; B2
c ) = M(T1; B3
c ; B2
c )M(T2; B2
c ; B3
c ) =
2 1 0
0 1 2
2
4
1 0
1=3 1=3
0 1
3
5 =
7=3 1=3
1=3 7=3
.
Logo, tem-se
(T1 T2) (x; y) =
7=3 1=3
1=3 7=3
x
y
.
327
Assim, como a matriz
7=3 1=3
1=3 7=3
é invertível, a solução geral da equação (T1 T2) (x; y) =
8=3
8=3
, é dada
x
y
=
7=3 1=3
1=3 7=3
1
8=3
8=3
=
7=16 1=16
1=16 7=16
8=3
8=3
=
1
1
.
20. Considere a transformação linear T1 : R2
! R3
de…nida por T1(x; y) = (2x+y; 0; x+
2y). Considere ainda a transformação linear T2 : R3
! R2
cuja representação matricial em
relação à base (ordenada) B = f(1; 1; 1); (1; 1; 0); (1; 0; 0)g de R3
e à base canónica B2
c de R2
é dada pela matriz:
M(T2; B; B2
c ) =
1 1 1
1 1 1
.
(i) T2 (0; 1; 0) = T2(1; 1; 0) T2(1; 0; 0) = ( 1; 1) (1; 1) = ( 2; 2).
T2 (0; 0; 1) = T2(1; 1; 1) T2(1; 1; 0) = (1; 1) ( 1; 1) = (2; 2).
(ii) Tem-se
I (T1) = T1(x; y) : (x; y) 2 R2
= (2x + y; 0; x + 2y) : (x; y) 2 R2
=
= fx(2; 0; 1) + y(1; 0; 2) : x; y 2 Rg = L (f(2; 0; 1); (1; 0; 2)g) .
Como o conjunto f(2; 0; 1); (1; 0; 2)g gera I (T1) e é linearmente independente, então é uma
base de I (T1).
Como dim I(T1) = 2 < 3 = dim R3
então I(T1) 6= R3
e assim, T1 não é sobrejectiva.
(iii)
N M(T2; B; B2
c ) = N
1 1 1
1 1 1
= N
1 1 1
0 0 0
=
= f(y z; y; z) : y; z 2 Rg = L (f(1; 1; 0); ( 1; 0; 1)g) :
Como os vectores (1; 1; 0) e ( 1; 0; 1) são as coordenadas na base B de vectores que geram o
núcleo de T2, tem-se
1(1; 1; 1) + 1(1; 1; 0) + 0(1; 0; 0) = (2; 2; 1)
e
1(1; 1; 1) + 0(1; 1; 0) + 1(1; 0; 0) = (0; 1; 1)
Como o conjunto f(2; 2; 1); (0; 1; 1)g gera N (T2) e é linearmente independente, então é
uma base de N (T2). Como N(T2) 6= f0g então T2 não é injectiva.
(iv) Pela de…nição de M(T2; B; B2
c ) tem-se T2 (1; 0; 0) = (1; 1). Atendendo à alínea
a), tem-se T2 (0; 1; 0) = ( 2; 2) e T2 (0; 0; 1) = (2; 2). Logo, a matriz M(T2; B3
c ; B2
c ) que
representa T2 em relação às bases canónicas B3
c e B2
c de R3
e R2
respectivamente, é dada por
M(T2; B3
c ; B2
c ) =
1 2 2
1 2 2
.
328
Por outro lado, como T1 (1; 0) = (2; 0; 1) e T1 (0; 1) = (1; 0; 2). Logo, a matriz M(T1; B2
c ; B3
c )
que representa T1 em relação às bases canónicas B2
c e B3
c de R2
e R3
respectivamente, é dada
por
M(T1; B2
c ; B3
c ) =
2
4
2 1
0 0
1 2
3
5 .
Logo, a matriz que representa T2 T1 em relação à base canónica B2
c de R2
é dada por
M(T2 T1; B2
c ; B2
c ) = M(T2; B3
c ; B2
c )M(T1; B2
c ; B3
c ) =
1 2 2
1 2 2
2
4
2 1
0 0
1 2
3
5 =
4 5
4 5
.
Logo, tem-se
(T2 T1) (x; y) =
4 5
4 5
x
y
e assim,
(T2 T1) (x; y) = ( 1; 1) ,
4 5
4 5
x
y
=
1
1
.
A solução geral de (T2 T1) (x; y) = ( 1; 1) é dada por:
Solução particular de
4 5
4 5
x
y
=
1
1
+ Solução geral de
4 5
4 5
x
y
=
0
0
.
Como o vector
1
4
; 0 é uma solução particular de
4 5
4 5
x
y
=
1
1
e
N
4 5
4 5
= N
4 5
0 0
= L
5
4
; 1
então, a solução geral de (T2 T1) (x; y) = ( 1; 1) é dada por:
1
4
; 0 + N
4 5
4 5
=
1
4
; 0 + s
5
4
; 1 : s 2 R .
21. Considere a transformação linear T : R3
! P3 de…nida por
T(1; 1; 1) = 2 + 2t2
; T(1; 1; 1) = t t3
e T( 1; 1; 1) = 2 + t + 2t2
+ t3
.
(i) Determinemos a expressão geral de T, isto é, determinemos T(x; y; z) para qualquer
(x; y; z) 2 R3
.
Seja (x; y; z) 2 R3
. Como f(1; 1; 1); (1; 1; 1); ( 1; 1; 1)g gera R3
, existem escalares
; ; 2 R tais que
(x; y; z) = (1; 1; 1) + (1; 1; 1) + ( 1; 1; 1).
Atendendo a
2
4
1 1 1 j x
1 1 1 j y
1 1 1 j z
3
5 !
2
4
1 1 1 j x
0 2 2 j y x
0 2 0 j z + x
3
5 !
2
4
1 1 1 j x
0 2 2 j y x
0 0 2 j y + z
3
5 ,
329
tem-se
8
<
:
+ = x
2 + 2 = y x
2 = y + z
,
8
>>>><
>>>>:
=
1
2
(x + y)
=
1
2
(x + z)
=
1
2
(y + z) .
Logo
(x; y; z) =
1
2
(x + y) (1; 1; 1) +
1
2
(x + z) (1; 1; 1) +
1
2
(y + z) ( 1; 1; 1),
e assim, como T é linear,
T(x; y; z) =
1
2
(x + y) T(1; 1; 1) +
1
2
(x + z) T(1; 1; 1) +
1
2
(y + z) T( 1; 1; 1) =
=
1
2
(x + y) 2 + 2t2
+
1
2
(x + z) t t3
+
1
2
(y + z) 2 + t + 2t2
+ t3
=
= x + 2y + z +
1
2
(y x) t + (x + 2y + z) t2
+
1
2
(y x) t3
.
(ii) Tem-se
N(T) = (x; y; z) 2 R3
: T(x; y; z) = 0 =
= (x; y; z) 2 R3
: x + 2y + z +
1
2
(y x) t + (x + 2y + z) t2
+
1
2
(y x) t3
= 0 + 0t + 0t2
+ 0t3
=
= (x; y; z) 2 R3
: x + 2y + z = 0 e
1
2
(y x) = 0 =
= (x; y; z) 2 R3
: x = y e z = 3y = y(1; 1; 3) 2 R3
: y 2 R = L (f(1; 1; 3)g)
Logo, o conjunto f(1; 1; 3)g é uma base de N(T) e dim N(T) = 1. T não é injectiva, uma
vez que N(T) 6= f(0; 0; 0)g.
(iii) Determine, se possível, uma base para o contradomínio I(T). Determine a dimensão
de I(T). Diga se T é sobrejectiva.
Como f(1; 1; 1); (1; 1; 1); ( 1; 1; 1)g gera R3
; tem-se
I (T) = L (fT(1; 1; 1); T(1; 1; 1); T( 1; 1; 1)g) = L 2 + 2t2
; t t3
; 2 + t + 2t2
+ t3
:
Como: 2
6
6
4
2 0 2
0 1 1
2 0 2
0 1 1
3
7
7
5 !
2
6
6
4
2 0 2
0 1 1
0 0 0
0 0 0
3
7
7
5
então o conjunto f2 + 2t2
; t t3
g é linearmente independente e gera I(T); sendo assim
uma base de I(T).
Logo, tem-se dim I(T) = 2.
Por outro lado, como I(T) é subespaço de P3 e dim P3 = 4 então I(T) 6= P3, isto é, T
não é sobrejectiva.
330
(iv) Atendendo a ter-se
T(1; 1; 1) = 2 + 2t2
; T(1; 1; 1) = t t3
e T( 1; 1; 1) = 2 + t + 2t2
+ t3
.
1 + t + t2
+ t3
= 2 + t + 2t2
+ t3
| {z }
= T( 1;1;1)
1
2
2 + 2t2
| {z }
= T(1;1; 1)
= T( 1; 1; 1)
1
2
T(1; 1; 1) =
T é linear
= T ( 1; 1; 1)
1
2
(1; 1; 1) = T
3
2
;
1
2
;
3
2
,
3
2
; 1
2
; 3
2
é uma solução particular da equação linear T(x; y; z) = 1 + t + t2
+ t3
.
Como, a solução geral de T(x; y; z) = 1 + t + t2
+ t3
é dada por:
Solução particular de T(x; y; z) = 1 + t + t2
+ t3
+ (Solução geral de T(x; y; z) = 0)
e como a solução geral de T(x; y; z) = 0 é dada por
N(T) = (x; y; z) 2 R3
: T(x; y; z) = 0 = L (f(1; 1; 3)g)
então, a solução geral de T(x; y; z) = 1 + t + t2
+ t3
é dada por:
3
2
;
1
2
;
3
2
+ L (f(1; 1; 3)g) =
3
2
;
1
2
;
3
2
+ s(1; 1; 3) : s 2 R .
22. Seja 2 R. Considere a transformação linear T : R3
! P2 de…nida por
T (x; y; z) = z y + (y x) t + xt2
.
(i) Tem-se
N(T ) = (x; y; z) 2 R3
: T (x; y; z) = 0 =
= (x; y; z) 2 R3
: z y + (y x) t + xt2
= 0 + 0t + 0t2
+ 0t3
=
= (x; y; z) 2 R3
: z = y e (y = x ou = 0) e x = 0 =
= (0; y; z) 2 R3
: z = y e (y = 0 ou = 0) =
=
8
<
:
f(0; 0; 0)g se 6= 0
fy(0; 1; 1) 2 R3
: y 2 Rg se = 0
=
8
<
:
f(0; 0; 0)g se 6= 0
L (f(0; 1; 1)g) se = 0
Logo, se = 0 então f(0; 1; 1)g é uma base de N(T0) e assim T0 não é injectiva.
dim N(T ) =
8
<
:
0 se 6= 0
1 se = 0:
Logo, como N(T ) = f(0; 0; 0)g, para todo o 2 Rn f0g, então T é injectiva, para todo o
2 Rn f0g.
(ii) Seja (x; y; z) 2 R3
, tem-se
T (x; y; z) = z y + (y x) t + xt2
= z + x t + t2
+ y ( 1 + t)
331
Logo,
I(T ) = T (x; y; z) : (x; y; z) 2 R3
= z + x t + t2
+ y ( 1 + t) : x; y; z 2 R =
= L 1; t + t2
; 1 + t =
8
<
:
L (f1; t + t2
; 1 + tg) se 6= 0
L (f1; t2
g) se = 0
Se 6= 0 então o conjunto f1; t + t2
; 1 + tg é linearmente independente e gera
I (T ), sendo assim uma base de I (T ).
Se = 0 então o conjunto f1; t2
g é linearmente independente e gera I (T0), sendo assim
uma base de I (T0).
Logo
dim I(T ) =
8
<
:
3 se 6= 0
2 se = 0:
Como I (T ) é um subespaço de P2 e neste caso ( 6= 0) dim I (T ) = dim P2, então
I (T ) = P2, isto é, T é sobrejectiva se 6= 0.
Se = 0, como I (T0) 6= P3, T0 não é sobrejectiva.
Note que: para todo o 2 R,
dim R3
|{z}
espaço de partida
= dim N(T ) + dim I(T ),
(iii) Considere = 0 e resolva a equação linear T0(x; y; z) = 1 + t2
.Atendendo a ter-se
T0(1; 0; 1) = 1 + t2
então (1; 0; 1) é uma solução particular da equação linear T0(x; y; z) = 1 + t2
.
Como, a solução geral de T0(x; y; z) = 1 + t2
é dada por:
Solução particular de T0(x; y; z) = 1 + t2
+ (Solução geral de T0(x; y; z) = 0)
e como a solução geral de T0(x; y; z) = 0 é dada por
N(T0) = (x; y; z) 2 R3
: T0(x; y; z) = 0 = L (f(0; 1; 1)g)
então, a solução geral de T0(x; y; z) = 1 + t2
é dada por:
(1; 0; 1) + L (f(0; 1; 1)g) = f(1; 0; 1) + s(0; 1; 1) : s 2 Rg .
23. Considere o espaço linear P2 dos polinómios reais de variável real e de grau menor
ou igual a 2. Considere a transformação linear T : P2 ! P2 de…nida por
T (p (t)) = p0
(t) 2p (t) ,
onde p0
(t) é a derivada de primeira ordem de p (t).
332
(i) Seja p (t) 2 P2. p (t) = a0 + a1t + a2t2
; com a0; a1; a2 2 R. Tem-se
T a0 + a1t + a2t2
= a0 + a1t + a2t2 0
2 a0 + a1t + a2t2
=
= a1 + 2a2t 2a0 2a1t 2a2t2
= 2a0 + a1 + (2a2 2a1) t 2a2t2
.
Logo, a expressão geral de T : P2 ! P2 é dada por:
T a0 + a1t + a2t2
= 2a0 + a1 + (2a2 2a1) t 2a2t2
.
(ii) Seja B = f1; t; t2
g a base canónica (ordenada) de P2. Determinemos a matriz
M(T; B; B) que representa T em relação à base B.
Como
T (1) = 0 2 = 2, T (t) = 1 2t; T t2
= 2t 2t2
tem-se
M(T; B; B) =
2
4
2 1 0
0 2 2
0 0 2
3
5
(iii) Como a transformação linear T : P2 ! P2 é invertível, pois M(T; B; B) é invertível
então T é linear e bijectiva, isto é, T é um isomor…smo. Sendo T um isomor…smo, T 1
também é um isomor…smo.
Seja p (t) 2 P2. p (t) = a0 + a1t + a2t2
; com a0; a1; a2 2 R.
Tem-se
1
2
p (t)
1
4
p0
(t)
1
8
p00
(t) =
1
2
a0 + a1t + a2t2 1
4
(a1 + 2a2t)
1
8
2a2 =
=
1
2
a0
1
4
a1
1
4
a2 +
1
2
a1
1
2
a2 t
a2
2
t2
(*)
e
(M(T; B; B)) 1
2
4
a0
a1
a2
3
5 =
2
4
2 1 0
0 2 2
0 0 2
3
5
1 2
4
a0
a1
a2
3
5 =
=
2
4
1
2
1
4
1
4
0 1
2
1
2
0 0 1
2
3
5
2
4
a0
a1
a2
3
5 =
2
4
1
2
a0
1
4
a1
1
4
a2
1
2
a1
1
2
a2
1
2
a2
3
5
Logo
T 1
(p (t)) =
1
2
a0
1
4
a1
1
4
a2 +
1
2
a1
1
2
a2 t
a2
2
t2
(**)
Atendendo a (*) e a (**) conclui-se que a expressão geral do isomor…smo T 1
é dada por
T 1
(p (t)) =
1
2
p (t)
1
4
p0
(t)
1
8
p00
(t)
para todo o p (t) 2 P2.
333
(iv) Tem-se
p0
(t) 2p (t) = (2 3t)2
, T (p (t)) = (2 3t)2
,
T é um isomor…smo
p (t) = T 1
(2 3t)2
=
(ii)
=
(ii)
1
2
(2 3t)2 1
4
(2 (2 3t) ( 3))
1
8
(2 ( 3) ( 3)) =
5
4
+
3
2
t
9
2
t2
.
Logo, p (t) = 5
4
+ 3
2
t 9
2
t2
é a única solução da equação diferencial linear
p0
(t) 2p (t) = (2 3t)2
.
24. Considere o espaço linear P2 dos polinómios reais de variável real e de grau menor
ou igual a 2. Considere a transformação linear T : P2 ! P2 de…nida por
T (p (t)) = t2
p00
(t) 2p (t) ,
onde p00
(t) é a derivada de segunda ordem de p (t).
(i) Seja p (t) 2 P2. p (t) = a0 + a1t + a2t2
; com a0; a1; a2 2 R. Tem-se
T a0 + a1t + a2t2
= t2
a0 + a1t + a2t2 00
2 a0 + a1t + a2t2
=
= t2
2a2 2a0 2a1t 2a2t2
= 2a0 2a1t.
Logo, a expressão geral de T : P2 ! P2 é dada por:
T a0 + a1t + a2t2
= 2a0 2a1t.
(ii) Seja B = f1; t; t2
g a base canónica (ordenada) de P2. Determinemos a matriz
M(T; B; B) que representa T em relação à base B.
Como
T (1) = 0 2 = 2, T (t) = 2t; T t2
= 2t2
2t2
= 0
tem-se
M(T; B; B) =
2
4
2 0 0
0 2 0
0 0 0
3
5
(iii) Uma base para N(T):
Como
N (M(T; B; B)) = N
0
@
2
4
2 0 0
0 2 0
0 0 0
3
5
1
A = L (f(0; 0; 1)g) ,
então
N (T) = a0 + a1t + a2t2
2 P2 : (a0; a1; a2) 2 L (f(0; 0; 1)g) = L t2
.
Como ft2
g é uma base de N (T), dim N (T) = 1. Logo, T não é injectiva, uma vez que
dim N (T) 6= 0.
334
Resolução alternativa para encontrar uma base para N(T):
N (T) = a0 + a1t + a2t2
2 P2 : T a0 + a1t + a2t2
= 0 =
= a0 + a1t + a2t2
2 P2 : t2
2a2 2 a0 + a1t + a2t2
= 0 =
= a0 + a1t + a2t2
2 P2 : 2a0 2a1t = 0 =
= a0 + a1t + a2t2
2 P2 : a0 = 0 e a1 = 0 = L t2
.
Como ft2
g é uma base de N (T), dim N (T) = 1.
Uma base para I(T):
Como f1; t; t2
g gera P2, tem-se
I (T) = L T (1) ; T (t) ; T t2
= L (f 2; 2t; 0g) = L (f 2; 2tg) :
Uma vez que o conjunto f 2; 2tg é linearmente independente e gera I (T), então f 2; 2tg
é uma base de I (T), tendo-se dim I (T) = 2.
Como dim P2 = 3, tem-se I (T) 6= P2, pelo que T não é sobrejectiva.
(iv) (a) Resolva, em P2; a equação diferencial linear t2
p00
(t) 2p (t) = 2 t.
Como 2
4
2
1
0
3
5 2 C (M(T; B; B)) = C
0
@
2
4
2 0 0
0 2 0
0 0 0
3
5
1
A ;
uma vez que 2
4
2
1
0
3
5 =
2
4
2 0 0
0 2 0
0 0 0
3
5
2
4
1
1
2
0
3
5 ,
então 1 +
1
2
t é uma solução particular da equação diferencial linear
t2
p00
(t) 2p (t) = 2 t:
Como a solução geral de t2
p00
(t) 2p (t) = 2 t é dada por:
Solução particular de t2
p00
(t) 2p (t) = 2 t + Solução geral de t2
p00
(t) 2p (t) = 0
e como a solução geral de t2
p00
(t) 2p (t) = 0 é dada por
N(T) = L t2
,
então a solução geral de t2
p00
(t) 2p (t) = 2 t é dada por:
1 +
1
2
t + L t2
= 1 +
1
2
t + at2
: a 2 R .
(b) Resolva, em P2; a equação diferencial linear 2tp0
(t) 2p (0) = 2 t.
335
Seja T1 (p (t)) = 2tp0
(t) 2p (0), em que p (t) = a0 + a1t + a2t2
; com a0; a1; a2 2 R.
Logo
T1 (p (t)) = 2tp0
(t) 2p (0) = 2t (a1 + 2a2t) 2a0 = 2a0 + 2a1t + 4a2t2
Como
M(T1; B; B) =
2
4
2 0 0
0 2 0
0 0 4
3
5 ;
uma vez que T1 (1) = 2; T1 (t) = 2t; T1 (t2
) = 4t2
, onde B = f1; t; t2
g é a base canónica
(ordenada) de P2
Logo
2tp0
(t) 2p (0) = 2 t , T1 (p (t)) = 2 t , M(T1; B; B)
2
4
a0
a1
a2
3
5 =
2
4
2
1
0
3
5 ,
,
M(T1;B;B) é invertível
2
4
a0
a1
a2
3
5 = (M(T1; B; B)) 1
2
4
2
1
0
3
5
,
2
4
a0
a1
a2
3
5 =
2
4
2 0 0
0 2 0
0 0 4
3
5
1 2
4
2
1
0
3
5 =
2
4
1
2
0 0
0 1
2
0
0 0 1
4
3
5
2
4
2
1
0
3
5 =
2
4
1
1
2
0
3
5 .
Isto é, a solução geral de
2tp0
(t) 2p (0) = 2 t
é:
1
1
2
t .
Veri…cação:
T1 1
1
2
t = 2t 1
1
2
t
0
2 1
1
2
0 = 2t
1
2
+ 2 = 2 t.
Nota importante: Como
dim N (T1) = dim N (M(T1; B; B)) = 0
então T1 é injectiva e tendo-se
dim R3
|{z}
espaço de partida
= dim N(T1) + dim I(T1) = dim I(T1),
então I(T1) = R3
, isto é, T1 é sobrejectiva e uma base para I(T1) é por exemplo
B = 1; t; t2
a base canónica (ordenada) de P2.
Cálculo alternativo de uma base de I(T1):
336
Seja p (t) = a0 + a1t + a2t2
; com a0; a1; a2 2 R. Como
T1 (p (t)) = T1 a0 + a1t + a2t2
= 2tp0
(t) 2p (0) = 2a0 + 2a1t + 4a2t2
então
I(T1) = fT1 (p (t)) : p (t) 2 P2g = L 2; 2t; 4t2
.
Como f1; t; t2
g gera P2, tem-se
I (T1) = L T (1) ; T (t) ; T t2
= L 2; 2t; 4t2
e sendo o conjunto f 2; 2t; 4t2
g linearmente independente então
2; 2t; 4t2
é uma base de I (T1), tendo-se
dim R3
|{z}
espaço de partida
= dim N(T1) + dim I(T1) = dim N(T1) + 3 , dim N(T1) = 0,
isto é, T1 é injectiva.
25. Seja U o subespaço das matrizes simétricas de M2 2 (R), isto é,
U = A 2 M2 2 (R) : A = AT
.
Considere a transformação linear T : U ! U de…nida por
T (A) = AB + BA
com B =
0 1
1 0
.
(i) Seja
a b
b c
2 U, com a; b; c 2 R. Tem-se
T
a b
b c
=
a b
b c
0 1
1 0
+
0 1
1 0
a b
b c
=
2b a + c
a + c 2b
Logo, a expressão geral de T : U ! U é dada por:
T
a b
b c
=
2b a + c
a + c 2b
.
(ii) Determinemos uma base para U e a matriz que representa T em relação a essa base.
Seja A 2 U. Tem-se
A =
a b
b c
= a
1 0
0 0
+ b
0 1
1 0
+ c
0 0
0 1
337
com a; b; c 2 R. Como o conjunto
B =
1 0
0 0
;
0 1
1 0
;
0 0
0 1
gera U e é linearmente independente, então B é uma base de U. Por outro lado, como
T
1 0
0 0
=
1 0
0 0
0 1
1 0
+
0 1
1 0
1 0
0 0
=
0 1
1 0
=
= 0
1 0
0 0
+ 1
0 1
1 0
+ 0
0 0
0 1
T
0 1
1 0
=
0 1
1 0
0 1
1 0
+
0 1
1 0
0 1
1 0
=
2 0
0 2
=
= 2
1 0
0 0
+ 0
0 1
1 0
+ 2
0 0
0 1
T
0 0
0 1
=
0 0
0 1
0 1
1 0
+
0 1
1 0
0 0
0 1
=
0 1
1 0
=
= 0
1 0
0 0
+ 1
0 1
1 0
+ 0
0 0
0 1
então a matriz que representa T em relação à base B é dada por:
M (T; B; B) =
2
4
0 2 0
1 0 1
0 2 0
3
5 .
(iii) Uma base para N(T):
Como
N (M(T; B; B)) = N
0
@
2
4
0 2 0
1 0 1
0 2 0
3
5
1
A = N
0
@
2
4
1 0 1
0 2 0
0 0 0
3
5
1
A = L (f(1; 0; 1)g) ,
então
N (T) = A =
a b
b c
2 U : (a; b; c) 2 L (f(1; 0; 1)g) = L
1 0
0 1
.
Como
1 0
0 1
é uma base de N (T), dim N (T) = 1. Logo, T não é injectiva, uma
vez que dim N (T) 6= 0.
Resolução alternativa para encontrar uma base para N(T):
338
N (T) = A =
a b
b c
2 U : T (A) =
0 0
0 0
=
A =
a b
b c
2 U : A
0 1
1 0
+
0 1
1 0
A =
0 0
0 0
= A =
a b
b c
2 U :
2b a + c
a + c 2b
=
0 0
0 0
=
= A =
a b
b c
2 U : 2b = 0 e a + c = 0 =
= A =
c 0
0 c
: c 2 R = L
1 0
0 1
= L
1 0
0 1
.
Como
1 0
0 1
é uma base de N (T), dim N (T) = 1.
Uma base para I(T):
Como
1 0
0 0
;
0 1
1 0
;
0 0
0 1
gera U, tem-se
I (T) = L T
1 0
0 0
; T
0 1
1 0
; T
0 0
0 1
=
= L
0 1
1 0
;
2 0
0 2
;
0 1
1 0
=
= L
0 1
1 0
;
2 0
0 2
:
Uma vez que o conjunto
0 1
1 0
;
2 0
0 2
é linearmente independente e gera I (T),
então
0 1
1 0
;
2 0
0 2
é uma base de I (T), tendo-se dim I (T) = 2.
Como dim U = 3, tem-se I (T) 6= U, pelo que T não é sobrejectiva.
(iv) Resolva, em U; a equação linear T (A) = B.
Como
0 1
1 0
=
1
2
0
0 1
2
0 1
1 0
+
0 1
1 0
1
2
0
0 1
2
= T
1
2
0
0 1
2
então
1
2
0
0 1
2
é uma solução particular da equação linear T (A) = B.
Como a solução geral de T (A) = B é dada por:
(Solução particular de T (A) = B) + (Solução geral de T (A) = 0)
339
e como a solução geral de T (A) = 0 é dada por
N(T) = L
1 0
0 1
,
então a solução geral de T (A) = B é dada por:
1
2
0
0 1
2
+ L
1 0
0 1
=
1
2
+ a 0
0 1
2
a
: a 2 R .
26. Considere a transformação linear T : M2 2 (R) ! P3 cuja matriz M(T; B1; B2) que
a representa em relação às bases ordenadas
B1 =
1 1
1 0
;
1 1
0 1
;
0 1
1 1
;
1 0
1 1
de M2 2 (R) e B2 = f1 + t; t + t2
; t2
+ t3
; t3
g de P3 é dada por
M(T; B1; B2) =
2
6
6
4
1 1 1 1
0 1 1 1
0 0 1 1
0 0 0 1
3
7
7
5 . (*)
(i) Seja
a b
c d
2 M2 2 (R), com a; b; c; d 2 R. De (*), tem-se
T
1 1
1 0
= 1 + t
T
1 1
0 1
= 1 + t + t + t2
= 1 + 2t + t2
T
0 1
1 1
= 1 + t + t + t2
+ t2
+ t3
= 1 + 2t + 2t2
+ t3
T
1 0
1 1
= 1 + t + t + t2
+ t2
+ t3
+ t3
= 1 + 2t + 2t2
+ 2t3
como
1 0
0 0
=
1
3
1 1
1 0
+
1
3
1 1
0 1
2
3
0 1
1 1
+
1
3
1 0
1 1
0 1
0 0
=
1
3
1 1
1 0
+
1
3
1 1
0 1
+
1
3
0 1
1 1
2
3
1 0
1 1
0 0
1 0
=
1
3
1 1
1 0
2
3
1 1
0 1
+
1
3
0 1
1 1
+
1
3
1 0
1 1
0 0
0 1
=
2
3
1 1
1 0
+
1
3
1 1
0 1
+
1
3
0 1
1 1
+
1
3
1 0
1 1
340
então
T
a b
c d
=
T é linear
aT
1 0
0 0
+bT
0 1
0 0
+cT
0 0
1 0
+dT
0 0
0 1
=
= a
1
3
(1 + t) +
1
3
1 + 2t + t2 2
3
1 + 2t + 2t2
+ t3
+
1
3
1 + 2t + 2t2
+ 2t3
+
+b
1
3
(1 + t) +
1
3
1 + 2t + t2
+
1
3
1 + 2t + 2t2
+ t3 2
3
1 + 2t + 2t2
+ 2t3
+
+c
1
3
(1 + t)
2
3
1 + 2t + t2
+
1
3
1 + 2t + 2t2
+ t3
+
1
3
1 + 2t + 2t2
+ 2t3
+
+d
2
3
(1 + t) +
1
3
1 + 2t + t2
+
1
3
1 + 2t + 2t2
+ t3
+
1
3
1 + 2t + 2t2
+ 2t3
= a
1
3
+
1
3
t
1
3
t2
+b
1
3
+
1
3
t
1
3
t2
t3
+c
1
3
+
1
3
t +
2
3
t2
+ t3
+d
1
3
+
4
3
t +
5
3
t2
+ t3
=
=
1
3
a+
1
3
b+
1
3
c+
1
3
d+
1
3
a +
1
3
b +
1
3
c +
4
3
d t+
1
3
a
1
3
b +
2
3
c +
5
3
d t2
+( b + c + d) t3
Logo, a expressão geral de T : M2 2 (R) ! P3 é dada por:
T
a b
b c
=
1
3
a+
1
3
b+
1
3
c+
1
3
d+
1
3
a +
1
3
b +
1
3
c +
4
3
d t+
1
3
a
1
3
b +
2
3
c +
5
3
d t2
+( b + c + d) t3
.
(ii) Como a transformação linear T : M2 2 (R) ! P3 é invertível, pois M(T; B1; B2) é
invertível então T é linear e bijectiva, isto é, T é um isomor…smo. Sendo T um isomor…smo,
T 1
também é um isomor…smo.
Determinemos a expressão geral do isomor…smo T 1
, isto é, determinemos
T 1
a0 + a1t + a2t2
+ a3t3
.
Primeiro determinemos M(T; Bc
2 2; Bc
3), onde
Bc
2 2 =
1 0
0 0
;
0 1
0 0
;
0 0
1 0
;
0 0
0 1
e
Bc
3 = 1; t; t2
; t3
são respectivamente as bases canónicas de M2 2 (R) e de P3.
A matriz de mudança da base B1 para a base Bc
2 2 é dada por:
SB1!Bc
2 2
=
2
6
6
4
1 1 0 1
1 1 1 0
1 0 1 1
0 1 1 1
3
7
7
5 .
341
A matriz de mudança da base B2 para a base Bc
3 é dada por:
SB2!Bc
3
=
2
6
6
4
1 0 0 0
1 1 0 0
0 1 1 0
0 0 1 1
3
7
7
5 .
Logo, a matriz que representa T em relação às bases Bc
2 2 e Bc
3 é dada por:
M(T; Bc
2 2; Bc
3) = SB2!Bc
3
M(T; B1; B2) SB1!Bc
2 2
1
=
=
2
6
6
4
1 0 0 0
1 1 0 0
0 1 1 0
0 0 1 1
3
7
7
5
2
6
6
4
1 1 1 1
0 1 1 1
0 0 1 1
0 0 0 1
3
7
7
5
2
6
6
4
1 1 0 1
1 1 1 0
1 0 1 1
0 1 1 1
3
7
7
5
1
=
=
2
6
6
4
1 1 1 1
1 2 2 2
0 1 2 2
0 0 1 2
3
7
7
5
2
6
6
6
6
6
6
6
6
4
1
3
1
3
1
3
2
3
1
3
1
3
2
3
1
3
2
3
1
3
1
3
1
3
1
3
2
3
1
3
1
3
3
7
7
7
7
7
7
7
7
5
=
2
6
6
6
6
6
6
6
6
4
1
3
1
3
1
3
1
3
1
3
1
3
1
3
4
3
1
3
1
3
2
3
5
3
0 1 1 1
3
7
7
7
7
7
7
7
7
5
.
Note que a expressão geral de T obtida na alínea (i) pode ser obtida através da matriz
M(T; Bc
2 2; Bc
3) anterior:
as coordenadas de T
a b
b c
na base Bc
3 são dadas por
M(T; Bc
2 2; Bc
3)
2
6
6
4
a
b
c
d
3
7
7
5 =
2
6
6
6
6
6
6
6
6
4
1
3
1
3
1
3
1
3
1
3
1
3
1
3
4
3
1
3
1
3
2
3
5
3
0 1 1 1
3
7
7
7
7
7
7
7
7
5
2
6
6
4
a
b
c
d
3
7
7
5 =
2
6
6
4
1
3
a + 1
3
b + 1
3
c + 1
3
d
1
3
a + 1
3
b + 1
3
c + 4
3
d
2
3
c 1
3
b 1
3
a + 5
3
d
c b + d
3
7
7
5 .
Logo
T
a b
b c
=
1
3
a+
1
3
b+
1
3
c+
1
3
d+
1
3
a +
1
3
b +
1
3
c +
4
3
d t+
1
3
a
1
3
b +
2
3
c +
5
3
d t2
+( b + c + d) t3
Seja p (t) 2 P3, isto é, p (t) = a0 + a1t + a2t2
+ a3t3
, com a0; a1; a2; a3 2 R.
342
Atendendo a que as coordenadas de T 1
(a0 + a1t + a2t2
+ a3t3
) em relação à base Bc
2 2
são dadas por:
M(T; Bc
2 2; Bc
3)
1
2
6
6
4
a0
a1
a2
a3
3
7
7
5 =
2
6
6
4
1 2 2 1
2 1 1 1
3 2 1 0
1 1 0 0
3
7
7
5
2
6
6
4
a0
a1
a2
a3
3
7
7
5 =
2
6
6
4
2a1 a0 2a2 + a3
2a0 a1 + a2 a3
3a0 2a1 + a2
a1 a0
3
7
7
5 ,
tem-se
T 1
a0 + a1t + a2t2
+ a3t3
= (2a1 a0 2a2 + a3)
1 0
0 0
+
+ (2a0 a1 + a2 a3)
0 1
0 0
+ (3a0 2a1 + a2)
0 0
1 0
+ (a1 a0)
0 0
0 1
=
=
2a1 a0 2a2 + a3 2a0 a1 + a2 a3
3a0 2a1 + a2 a1 a0
.
Ou seja, a expressão geral do isomor…smo T 1
: P3 ! M2 2 (R) é dada por:
T 1
a0 + a1t + a2t2
+ a3t3
=
2a1 a0 2a2 + a3 2a0 a1 + a2 a3
3a0 2a1 + a2 a1 a0
.
Tem-se de facto:
T 1
T = IM2 2(R) e T T 1
= IP3 .
(iii) Atendendo à alínea anterior, a solução geral da equação linear
T
a b
c d
= 1 + 2t + 3t2
+ 4t3
é dada por:
a b
c d
= T 1
1 + 2t + 3t2
+ 4t3
=
4 1 6 + 4 2 2 + 3 4
3 4 + 3 2 1
=
1 1
2 1
.
27. Seja U o espaço linear das funções reais de variável real duas vezes diferenciável.
Considere a transformação linear T : U ! U de…nida por
T (f) = f00
2f0
+ f.
Considere o subespaço S = ff 2 U : f00
2f0
+ f = 0g de U.
(i) Mostre que o conjunto fet
; tet
g é uma base de S. Sugestão: Mostre que se f 2 S,
então f (t) e t
é um polinómio de grau menor ou igual a 1.
Seja f 2 S. Como
f (t) e t 00
= f0
(t) e t
f (t) e t 0
= f00
(t) e t
f0
(t) e t
f0
(t) e t
+ f (t) e t
=
= (f00
(t) 2f0
(t) + f (t)) e t
=
f2S
0
343
então existe c 2 R tal que para todo o t 2 R
f (t) e t 0
= c.
Assim, existe d 2 R tal que para todo o t 2 R
f (t) e t
= ct + d 2 P1 = L (f1; tg) .
Logo
f (t) 2 L et
; tet
.
Tem-se assim:
S = L et
; tet
;
onde o conjunto fet
; tet
g é linearmente independente uma vez que o conjunto f1; tg é linear-
mente independente.
Logo o conjunto fet
; tet
g é uma base de S.
(ii) Mostre que dados a; b 2 R, existe uma única função f 2 S tal que f (0) = a e
f0
(0) = b.
Sejam a; b 2 R. Sejam f; g 2 S tais que
f (0) = g (0) = a e f0
(0) = g0
(0) = b:
Como S = L (fet
; tet
g), existem 1; 2; 1; 2 2 R tais que
f (t) = 1et
+ 1tet
e g (t) = 2et
+ 2tet
.
Como f (0) = g (0) = a tem-se
a = f (0) = 1 e a = g (0) = 2.
Logo
1 = 2:
Por outro lado, como f0
(0) = g0
(0) = b,
b = f0
(0) = 1et
+ 1tet 0
t=0
= 1et
+ 1et
+ 1tet
t=0
= 1 + 1
e
b = g0
(0) = 2et
+ 2tet 0
t=0
= 2et
+ 2et
+ 2tet
t=0
= 2 + 2
Assim,
1 + 1 = 2 + 2
e uma vez que 1 = 2, então
1 = 2.
Deste modo, para todo o t 2 R
f (t) = 1et
+ 1tet
= 2et
+ 2tet
= g (t) ;
isto é,
f = g.
344
Pelo que dados a; b 2 R, existe uma única função f 2 S tal que f (0) = a e f0
(0) = b.
(iii) Determine a única solução f da equação diferencial linear T (f) = 1 que veri…ca
f (0) = 1 e f0
(0) = 0.
A função identicamente igual a 1 : f = 1 (f (t) = 1;para todo o t 2 R) é uma solução
particular de
ff 2 U : T (f) = 1 e f (0) = 1 e f0
(0) = 0g :
Atendendo à alínea anterior, existe uma única função f 2 S tal que f (0) = 0 e f0
(0) = 0.
Como
f (t) = et
+ tet
e
0 = f (0) = e 0 = f0
(0) =
então
f (t) = 0,
para todo o t 2 R, é a solução geral de
ff 2 U : T (f) = 0 e f (0) = 0 e f0
(0) = 0g
Como a solução geral de
ff 2 U : T (f) = 1 e f (0) = 1 e f0
(0) = 0g :
é dada por:
(Solução particular de ff 2 U : T (f) = 1 e f (0) = 1 e f0
(0) = 0g) +
+ (Solução geral de ff 2 U : T (f) = 0 e f (0) = 0 e f0
(0) = 0g) ,
então a solução geral de
ff 2 U : T (f) = 1 e f (0) = 1 e f0
(0) = 0g
é dada por:
f (t) = 1,
para todo o t 2 R.
28) (i)
M(T; B; B) =
0 1
1 0
:
(ii) Como det M(T; B; B) 6= 0 então T é invertível e
T(u) = (2; 3; 3; 2) , u = T 1
(2; 3; 3; 2).
Como
M(T 1
; B; B) =
0 1
1 0
1
=
0 1
1 0
;
345
então atendendo a que as coordenadas de (2; 3; 3; 2) em B são 2 e 3 pois (2; 3; 3; 2) =
2v1 3v2, tem-se que
0 1
1 0
2
3
=
3
2
são as coordenadas de u na base B. Logo
T(u) = (2; 3; 3; 2) , u = 3v1 2v2 = ( 3; 2; 2; 3);
ou seja u = ( 3; 2; 2; 3) é a única solução da equação linear T(u) = (2; 3; 3; 2):
(iii) Como
R(1; 0; 0; 0) = R (v1) + R (w2) = v2 = (0; 1; 1; 0);
R(0; 1; 0; 0) = R (v2) + R (w1) R (w2) = v1 = (1; 0; 0; 1);
R(0; 0; 1; 0) = R (w1) R (w2) = (0; 0; 0; 0)
e
R(0; 0; 0; 1) = R (w2) = (0; 0; 0; 0)
então, sendo Bc a base canónica de R4
,
M(R; Bc; Bc) =
2
6
6
4
0 1 0 0
1 0 0 0
1 0 0 0
0 1 0 0
3
7
7
5
pelo que
R(u) = (2; 3; 3; 2) , M(R; Bc; Bc)u =
2
6
6
4
2
3
3
2
3
7
7
5 ,
, u 2 f(a; b; c; d) 2 R4
: b = 2; a = 3; c; d 2 Rg = f( 3; 2; c; d) : c; d 2 Rg:
Isto é, a solução geral de R
(u) = (2; 3; 3; 2)
é:
f( 3; 2; c; d) : c; d 2 Rg:
29) a)
T2(1) = 1 t = 0 (1 + t) + 1 (1 t) + 0t2
;
T2(t) = 2 + 8t 2t2
= 5 (1 + t) 3 (1 t) 2t2
;
logo
M(T2; B; B1) =
2
4
0 5
1 3
0 2
3
5 :
346
b)
N (M(T1; B1; B2)) = N
1 2 0
0 1 1
= f( 2y; y; y) : y 2 Rg = L (f( 2; 1; 1)g) :
Logo
N(T1) = L ( 2) (1 + t) + 1 (1 t) + 1t2
= L 1 3t + t2
:
Base para
N(T1) : 1 3t + t2
:
T1 é sobrejectiva:
dim I(T1) = dim P2 dim N(T1) = 2 = dim P1:
c)
T1(t) =
1
2
[T1 (1 + t) T1 (1 t)] =
=
1
2
[1 (1 + t) + 0 (1 + 2t) 2 (1 + t) + 1 (1 + 2t)] =
1
2
t , T1(2t) = t
(uma vez que T1 é linear), logo a solução geral da equação T1(p (t)) = t é:
f2tg + N(T1) = 2t + c 1 3t + t2
: c 2 R :
d) f1; tg é uma base de P1. Como
(T1 T2) (1) = T1 (T2(1)) = T1 (1 t) = 2 (1 + t) 1 (1 + 2t) = 1
e
(T1 T2) (t) = T1 (T2(t)) = T1 2 + 8t 2t2
=
= 5T1 (1 + t) 3T1 (1 t) 2T1t2
=
= 5 [1 (1 + t) + 0 (1 + 2t)] 3 [2 (1 + t) (1 + 2t)] 2 [0 (1 + t) + 1 (1 + 2t)] = t;
então T1 T2 = I.
347
Resolução da 5a
Ficha de exercícios para as aulas de problemas
1. Seja
A =
2
4
9 8 7
6 5 4
3 2 1
3
5 .
Como
det (A 0I) = det
2
4
9 8 7
6 5 4
3 2 1
3
5 = det
2
4
3 2 1
6 5 4
9 8 7
3
5 = det
2
4
1 2 3
4 5 6
7 8 9
3
5 =
= det
2
4
1 2 3
0 3 6
0 6 12
3
5 = det
2
4
1 2 3
0 3 6
0 0 0
3
5
| {z }
= 0
então 0 é valor próprio de A e atendendo a (*) (1; 2; 1) 2 N (A) = L f(1; 2; 1)g, logo
tem-se
A
2
4
1
2
1
3
5 =
2
4
0
0
0
3
5 = 0
2
4
1
2
1
3
5
isto é, (1; 2; 1) é um vector próprio de A associado ao valor próprio 0.
2. Tem-se
2
4
5 5 5
5 5 5
5 5 5
3
5
2
4
0
1
1
3
5 = 0
2
4
0
1
1
3
5 e
2
4
5 5 5
5 5 5
5 5 5
3
5
2
4
1
1
0
3
5 = 0
2
4
1
1
0
3
5 .
Logo, 0 é um valor próprio de
2
4
5 5 5
5 5 5
5 5 5
3
5 e (0; 1; 1) e (1; 1; 0) são dois vectores próprios
(associados ao valor próprio 0) linearmente independentes.
3. Determinemos os valores próprios de uma matriz A 2 2 cujo traço seja igual a 5 e
cujo determinante seja igual a 6.
Seja A =
a b
c d
2 M2 2 (R). Tem-se
tr A = 5 , a + d = 5 e det A = 6 , ad bc = 6.
Sejam 1 e 2 dois valores próprios de A. Como
tr A = 1 + 2 e det A = 1 2
348
então
1 + 2 = 5 e 1 2 = 6
Logo
[ 1 = 5 2 e (5 2) 2 = 6] , ( = 3 ou = 2),
isto é, os valores próprios de A são 3 e 2.
4. Determinemos uma matriz A real simétrica (AT
= A) 2 2 cujos valores próprios
sejam 2 e 2 e tal que (2; 1) seja um vector próprio associado ao valor próprio 2.
Seja A =
a b
c d
2 M2 2 (R) tal que A = AT
. Logo b = c. Além disso, sendo 2 e 2
dois valores próprios de A tem-se
0 = det (A + 2I) = det
a + 2 b
b d + 2
= b2
+ 2a + 2d + ad + 4
e
0 = det (A 2I) = det
a 2 b
b d 2
= b2
2a 2d + ad + 4
sendo (2; 1) um vector próprio associado ao valor próprio 2 tem-se
a b
b d
2
1
= 2
2
1
, (2a + b = 4 e 2b + d = 2).
Logo
8
>><
>>:
b2
+ 2a + 2d + ad + 4 = 0
b2
2a 2d + ad + 4 = 0
2a + b = 4
2b + d = 2
,
8
>>>><
>>>>:
a = 6
5
b = 8
5
d = 6
5
e assim
A =
a b
b d
=
2
4
6
5
8
5
8
5
6
5
3
5 .
5. Considere a transformação linear T : R3
! R3
que admite os vectores próprios
v1 = (1; 2; 1); v2 = ( 1; 0; 1); v3 = (0; 1; 0);
associados respectivamente aos valores próprios 1; 2 e 3.
Determinemos a expressão geral de T.
Seja (x; y; z) 2 R3
. Existem ; ; 2 R tais que
(x; y; z) = (1; 2; 1) + ( 1; 0; 1) + (0; 1; 0).
349
Logo
2
4
1 1 0 j x
2 0 1 j y
1 1 0 j z
3
5 !
2
4
1 1 0 j x
0 2 1 j y 2x
0 2 0 j z x
3
5 !
2
4
1 1 0 j x
0 2 1 j y 2x
0 0 1 j z y + x
3
5
e assim = x + y z, = 1
2
( x + z), = 1
2
(x + z). Pelo que
T (x; y; z) =
1
2
(x + z) T(1; 2; 1) +
1
2
( x + z) T( 1; 0; 1) + ( x + y z) T(0; 1; 0) =
=
1
2
(x + z) (1; 2; 1) +
1
2
( x + z) 2( 1; 0; 1) + ( x + y z) 3(0; 1; 0) =
=
3
2
x
1
2
z; 3y 2x 2z;
3
2
z
1
2
x
ou seja, a expressão geral de T é dada por:
T (x; y; z) =
3
2
x
1
2
z; 3y 2x 2z;
3
2
z
1
2
x .
6. Considere a transformação linear T : R3
! R3
de…nida por
T(x; y; z) = (0; y + 3z; 3y + z).
(i) T(v1) = (0; 4; 4). Como não existe 2 R tal que T(v1) = v1, então v1 não é vector
próprio de T.
T(v2) = (0; 2; 2) = ( 2)(0; 1; 1) = ( 2)v2. Logo, v2 é um vector próprio de T
associado ao valor próprio 2.
T(v3) = (0; 0; 0) = 0(1; 0; 0) = 0v3. Logo, v3 é um vector próprio de T associado ao valor
próprio 0.
T(v4) = (0; 10; 6). Como não existe 2 R tal que T(v4) = v4, então v4 não é vector
próprio de T.
T(v5) = (0; 12; 12) = 4(0; 3; 3) = 4v5. Logo, v5 é um vector próprio de T associado ao
valor próprio 4.
(ii) Determinemos os valores próprios de T. Seja A = M(T; B3
c ; B3
c ). Tem-se
A =
2
4
0 0 0
0 1 3
0 3 1
3
5 ,
uma vez que T(1; 0; 0) = (0; 0; 0), T(0; 1; 0) = (0; 1; 3) e T(0; 0; 1) = (0; 3; 1) constituem
respectivamente a 1a
, 2a
e 3a
colunas de A.
O polinómio característico é dado por
det(A I) =
0 0
0 1 3
0 3 1
= (1 )2
9 =
= ((1 ) 3) ((1 ) + 3) = ( 2 ) (4 ) .
350
Os valores próprios de T são os valores próprios de A, isto é, são os valores de para os
quais det(A I) = 0. Logo, os valores próprios de T são
1 = 0, 2 = 2 e 3 = 4.
(iii) Como 0 é valor próprio de T então T não é invertível. Como T tem 3 valores
próprios distintos, os vectores próprios correspondentes a cada um deles irão ser linearmente
independentes e como tal irá existir uma base de R3
formada só com vectores próprios de T,
ou seja, T é diagonalizável.
(iv) O subespaço próprio E 1 é dado por
E 1 = N (T 1I) =
base canónica
N (A 1I) = N (A)
= N
0
@
2
4
0 0 0
0 1 3
0 3 1
3
5
1
A = N
0
@
2
4
0 0 0
0 1 3
0 0 8
3
5
1
A =
= f(x; y; z) : y = z = 0g =
= f(x; 0; 0) : x 2 Rg = L (f(1; 0; 0)g) .
O conjunto f(1; 0; 0)g é uma base de E 1 .
Os vectores próprios de T associados ao valor próprio 1 = 0 são
u = (s; 0; 0), com s 2 Rn f0g .
O subespaço próprio E 2 é dado por
E 2 = N (T 2I) =
base canónica
N (A 2I) = N (A + 2I)
= N
0
@
2
4
2 0 0
0 3 3
0 3 3
3
5
1
A = N
0
@
2
4
2 0 0
0 3 3
0 0 0
3
5
1
A =
= f(x; y; z) : x = 0 e y + z = 0g =
= f(x; y; z) : x = 0 e y + z = 0g =
= f(0; z; z) : z 2 Rg = L (f(0; 1; 1)g) .
O conjunto f(0; 1; 1)g é uma base de E 2 .
Os vectores próprios de T associados ao valor próprio 2 = 2 são
u = (0; s; s), com s 2 Rn f0g .
O subespaço próprio E 3 é dado por
E 3 = N (T 3I) =
base canónica
N (A 3I) = N (A 4I)
= N
0
@
2
4
4 0 0
0 3 3
0 3 3
3
5
1
A = N
0
@
2
4
4 0 0
0 3 3
0 0 0
3
5
1
A =
= f(x; y; z) : x = 0 e y + z = 0g =
= f(x; y; z) : x = 0 e y = zg =
= f(0; z; z) : z 2 Rg = L (f(0; 1; 1)g) .
351
O conjunto f(0; 1; 1)g é uma base de E 3 .
Os vectores próprios de T associados ao valor próprio 3 = 4 são
u = (0; s; s) , com s 2 Rn f0g .
7. Considere a transformação linear T : R2
! R2
de…nida por
T(1; 2) = (5; 5) = T(2; 1).
(i) Como
(1; 1) = (1; 2) + (2; 1)
Tem-se
T (v1) = T(1; 1) = T [ (1; 2) + (2; 1)] =
T é linear
T(1; 2) + T(2; 1) =
= (5; 5) + (5; 5) = (0; 0) = 0(1; 1) = 0v1:
Como
(1; 1) =
1
3
(1; 2) +
1
3
(2; 1)
Tem-se
T (v2) = T(1; 1) = T
1
3
(1; 2) +
1
3
(2; 1) =
T é linear
1
3
T(1; 2) +
1
3
T(2; 1) =
=
1
3
[(5; 5) + (5; 5)] =
10
3
(1; 1) =
10
3
v2:
Logo, v2 é um vector próprio de T associado ao valor próprio 10
3
.
(ii) Como 0 é valor próprio de T então T não é invertível. Como os vectores v1 = (1; 1)
e v2 = (1; 1) formam uma base de R2
pois são dois vectores linearmente independentes em
R2
e dim R2
= 2 e além disso, v1 e v2 são vectores próprios de T, então existe uma base de
R2
formada só com vectores próprios de T, ou seja, T é diagonalizável.
(iii) Seja Bvp = fv1; v2g = f(1; 1); (1; 1)g. Tem-se
M(T; Bvp; Bvp) =
0 0
0 10
3
,
uma vez que T(v1) = 0v1 = 0v1+0v2 e T(v2) = 10
3
v2 = 0v1+10
3
v2 e deste modo as coordenadas
(0; 0) e (0; 10
3
) constituem respectivamente a 1a
e 2a
colunas de M(T; Bvp; Bvp).
Logo, Bvp é uma base de R2
em relação à qual T pode ser representada por uma matriz
diagonal, por ser uma base formada só com vectores próprios de T.
(iv) Seja A = M(T; Bvp; Bvp), com Bvp = f(1; 1); (1; 1)g. O polinómio característico é
dado por
det(A I) =
0
0 10
3
=
10
3
.
352
Os valores próprios de T são os valores próprios de A, isto é, são os valores de para os
quais det(A I) = 0. Logo, os valores próprios de T são
1 = 0 e 2 =
10
3
.
O subespaço próprio E 1 é dado por
E 1 = N (T 1I) = f (1; 1) + (1; 1) : ( ; ) 2 N (A 1I)g =
= f (1; 1) + (1; 1) : ( ; ) 2 L (f(1; 0)g)g =
= f (1; 1) : 2 Rg = L (f(1; 1)g) .
O conjunto f(1; 1)g é uma base de E 1 .
Os vectores próprios de T associados ao valor próprio 1 = 0 são
u = (s; s) , com s 2 Rn f0g .
O subespaço próprio E 2 é dado por
E 2 = N (T 2I) = f (1; 1) + (1; 1) : ( ; ) 2 N (A 2I)g =
= f (1; 1) + (1; 1) : ( ; ) 2 L (f(0; 1)g)g =
= f (1; 1) : 2 Rg = L (f(1; 1)g) .
O conjunto f(1; 1)g é uma base de E 2 .
Os vectores próprios de T associados ao valor próprio 2 = 10
3
são
u = (s; s) , com s 2 Rn f0g .
8. Considere a transformação linear T : R3
! R3
que em relação à base canónica de
R3
é representada pela matriz:
A =
2
4
0 1 0
0 1 0
0 1 0
3
5 .
(i) Sejam v1 = (1; 0; 0), v2 = (1; 1; 1), v3 = (0; 0; 1). Atendendo à matriz, tem-se
T(v1) = T(1; 0; 0) = 0(1; 0; 0) + 0(0; 1; 0) + 0(0; 0; 1) =
= (0; 0; 0) = 0(1; 0; 0) = 0v1;
T(v2) = T(1; 1; 1) = 1(1; 0; 0) + 1(0; 1; 0) + 1(0; 0; 1) =
(1; 1; 1) = 1(1; 1; 1) = 1v2;
T(v3) = T(0; 0; 1) = 0(1; 0; 0) + 0(0; 1; 0) + 0(0; 0; 1) =
(0; 0; 0) = 0(0; 0; 1) = 0v3:
Logo, v1 é um vector próprio de T associado ao valor próprio 0; v2 é um vector próprio de T
associado ao valor próprio 1; v3 é um vector próprio de T associado ao valor próprio 0.
353
(ii) Como 0 é valor próprio de T então T não é invertível. Como os vectores v1 =
(1; 0; 0); v2 = (1; 1; 1) e v3 = (0; 0; 1) formam uma base de R3
pois são três vectores linear-
mente independentes em R3
e dim R3
= 3 e além disso, v1; v2 e v3 são vectores próprios
de T, então existe uma base de R3
formada só com vectores próprios de T, ou seja, T é
diagonalizável.
(iii) Seja A = M(T; B3
c ; B3
c ). Tem-se
A =
2
4
0 1 0
0 1 0
0 1 0
3
5 ,
uma vez que T(1; 0; 0) = (0; 0; 0), T(0; 1; 0) = (1; 1; 1) e T(0; 0; 1) = (0; 0; 0) constituem
respectivamente a 1a
, 2a
e 3a
colunas de A.
Determinemos os valores próprios de T. Os valores próprios de T são os valores próprios
de A, isto é, são os valores de para os quais det(A I) = 0.
O polinómio característico é dado por
det(A I) =
1 0
0 1 0
0 1
= 2
(1 ) .
Logo, os valores próprios de T são
1 = 0 e 2 = 1.
O subespaço próprio E 1 é dado por
E 1 = N (T 1I) = N (A 1I) =
= N
0
@
2
4
1 1 0
0 1 1 0
0 1 1
3
5
1
A = N
0
@
2
4
0 1 0
0 1 0
0 1 0
3
5
1
A =
= N
0
@
2
4
0 1 0
0 0 0
0 0 0
3
5
1
A = (x; y; z) 2 R3
: y = 0 =
= f(x; 0; z) : x; z 2 Rg = L (f(1; 0; 0); (0; 0; 1)g) .
O conjunto f(1; 0; 0); (0; 0; 1)g é uma base de E 1 .
Os vectores próprios de T associados ao valor próprio 1 = 0 são
u = (s; 0; t), com s; t 2 Rn f0g .
O subespaço próprio E 2 é dado por
E 2 = N (T 2I) = N (A 2I) =
= N
0
@
2
4
2 1 0
0 1 2 0
0 1 2
3
5
1
A = N
0
@
2
4
1 1 0
0 0 0
0 1 1
3
5
1
A =
= f(x; y; z) : x + y = 0 e y z = 0g =
= f(x; x; x) : x 2 Rg = L (f(1; 1; 1)g) .
354
O conjunto f(1; 1; 1)g é uma base de E 2 .
Os vectores próprios de T associados ao valor próprio 2 = 1 são
u = (s; s; s), com s 2 Rn f0g .
(iv) É possível ter então uma base de R3
constituída só por vectores próprios de T:
Bvp = f(1; 0; 0); (1; 1; 1); (0; 0; 1)g ,
uma vez que
dim E 1 + dim E 2 = 3.
Note ainda que
M(T; Bvp; Bvp) =
2
4
1 0 0
0 2 0
0 0 1
3
5
e
M(T; Bvp; Bvp) =
2
4
1 0 0
0 2 0
0 0 1
3
5 = SB3
c !Bvp
A SB3
c !Bvp
1
com
SB3
c !Bvp
1
= SBvp!B3
c
=
2
4
1 1 0
0 1 0
0 1 1
3
5 e A = M(T; B3
c ; B3
c ).
Isto é, a matriz A é diagonalizável e a matriz M(T; Bvp; Bvp) é diagonal tendo-se
(R3
; B3
c )
A
!
T
(R3
; B3
c )
SB3
c !Bvp
# I I # SB3
c !Bvp
(R3
; Bvp)
T
!
M(T;Bvp;Bvp)
(R3
; Bvp)
Em resumo, existe P 1
= SBvp!B3
c
tal que
D = PAP 1
com D = M(T; Bvp; Bvp) =
2
4
1 0 0
0 2 0
0 0 1
3
5.
9. Considere a transformação linear T : R2
! R2
que em relação à base ordenada
B1 = f(1; 2) ; (2; 1)g de R2
é representada pela matriz:
A =
2 3
3 2
.
(i) Tem-se
det (A 0I) = det A = 5 6= 0.
355
Logo, como 0 não é valor próprio de T então T é invertível.
Os valores próprios de T são os valores próprios de A, isto é, são os valores de para os
quais det(A I) = 0.
O polinómio característico é dado por
det(A I) =
2 3
3 2
= (2 )2
9 = [(2 ) 3] [(2 ) + 3] =
= ( 1 ) (5 )
Logo, os valores próprios de T são
1 = 1 e 2 = 5.
Como T tem 2 valores próprios distintos, os vectores próprios correspondentes a cada um
deles irão ser linearmente independentes e como tal irá existir uma base de R2
formada só
com vectores próprios de T, ou seja, T é diagonalizável.
(ii) O subespaço próprio E 1 é dado por
E 1 = N (T 1I) = f (1; 2) + (2; 1) : ( ; ) 2 N (A ( 1) I)g =
= (1; 2) + (2; 1) : ( ; ) 2 N
3 3
3 3
=
= (1; 2) + (2; 1) : ( ; ) 2 N
3 3
0 0
=
= f (1; 2) + (2; 1) : ( ; ) 2 L (f( 1; 1)g)g =
= f ( 1; 1) : 2 Rg = L (f( 1; 1)g) .
O conjunto f( 1; 1)g é uma base de E 1 .
Os vectores próprios de T associados ao valor próprio 1 = 1 são
u = ( s; s), com s 2 Rn f0g .
O subespaço próprio E 2 é dado por
E 1 = N (T 1I) = f (1; 2) + (2; 1) : ( ; ) 2 N (A 5I)g =
= (1; 2) + (2; 1) : ( ; ) 2 N
3 3
3 3
=
= (1; 2) + (2; 1) : ( ; ) 2 N
3 3
0 0
=
= f (1; 2) + (2; 1) : ( ; ) 2 L (f(1; 1)g)g =
= f (1; 1) : 2 Rg = L (f(1; 1)g) .
O conjunto f(1; 1)g é uma base de E 2 .
Os vectores próprios de T associados ao valor próprio 2 = 5 são
u = (s; s), com s 2 Rn f0g .
356
(iii) É possível ter uma base de R2
constituída só por vectores próprios de T:
Bvp = f( 1; 1); (1; 1)g ,
uma vez que
dim E 1 + dim E 2 = 2 = dim R2
.
Logo,
M(T; Bvp; Bvp) = 1 0
0 2
=
1 0
0 5
uma vez que
T( 1; 1) = 1( 1; 1) = 1( 1; 1) + 0(1; 1)
e
T(1; 1) = 2(1; 1) = 0( 1; 1) + 2(1; 1).
Deste modo, ( 1; 0) e (0; 2) constituem respectivamente a 1a
e 2a
colunas de M(T; Bvp; Bvp).
Além disso, sendo B1 = f(1; 2) ; (2; 1)g, tem-se
M(T; Bvp; Bvp) = SB1!Bvp A SB1!Bvp
1
com
SB1!Bvp
1
= SBvp!B1 =
1 1
3
1 1
3
e A = M(T; B1; B1)
uma vez que
( 1; 1) = (1; 2) (2; 1) e (1; 1) =
1
3
(1; 2) +
1
3
(2; 1) .
Logo, a matriz A é diagonalizável e tem-se
D = PAP 1
com
P 1
= SBvp!B1 =
1 1
3
1 1
3
e D = M(T; Bvp; Bvp) =
1 0
0 5
Observação:
(R2
; B1)
A
!
T
(R2
; B1)
P 1
" I I # P
(R2
; Bvp)
T
!
D
(R2
; Bvp)
10. Seja V um espaço linear de dimensão …nita. Seja T : V ! V uma transformação lin-
ear tal que T2
= T. Uma tranformação linear nas condições anteriores chama-se projecção.
(i) Mostre que os valores próprios de T são 0 e 1:
Dem. Seja um valor próprio de T. Logo existe v 6= 0 tal que
T (v) = v.
Por outro lado, como
v = T (v) = T2
(v) = (T T) (v) = T (T (v)) = T ( v) =
T é linear
T (v) = v = 2
v
357
tem-se
v = 2
v , (1 ) v = 0 ,
v6=0
( = 0 ou = 1) .
Logo, os valores próprios de T são 0 e 1.
(ii) Tem-se
T2
= T , (T I) T = 0
logo, para todo o u 2 V
(T I) (T (u)) = 0 (u) = 0 ,T (u) 2 N (T I)
pelo que
I (T) N (T I) .
Seja agora u 2 N (T I). Logo (T I) (u) = 0, isto é, T (u) = u, ou seja u 2 I (T). Deste
modo
N (T I) I (T)
e assim
I (T) = N (T I) .
Por outro lado, sendo n = dim V , atendendo a que
n = dim V|{z}
espaço de partida
= dim N (T) + dim I (T) =
= dim N (T 0I) + dim N (T 1I) = mg (0) + mg (1)
isto é,
n = mg (0) + mg (1)
então T é diagonalizável, uma vez que existirá assim uma base de V formada só com vectores
próprios de T.
11. Considere a transformação linear T : R3
! R3
de…nida por
T(x; y; z) = (x; y; x y) .
(i) Determinemos os valores próprios e os subespaços próprios de T.
Seja B3
c = f(1; 0; 0); (0; 1; 0); (0; 0; 1)g a base canónica de R3
. Seja A = M(T; B3
c ; B3
c ).
Tem-se
A =
2
4
1 0 0
0 1 0
1 1 0
3
5 ,
uma vez que T(1; 0; 0) = (1; 0; 1), T(0; 1; 0) = (0; 1; 1) e T(0; 0; 1) = (0; 0; 0) constituem
respectivamente a 1a
, 2a
e 3a
colunas de A.
Determinemos os valores próprios de T. Os valores próprios de T são os valores próprios
de A, isto é, são os valores de para os quais det(A I) = 0.
358
O polinómio característico é dado por
det(A I) =
1 0 0
0 1 0
1 1
= (1 )2
.
Logo, os valores próprios de T são
1 = 0 e 2 = 1.
O subespaço próprio E 1 é dado por
E 1 = N (T 1I) = N (A 0I) =
= N
0
@
2
4
1 0 0
0 1 0
1 1 0
3
5
1
A = N
0
@
2
4
1 0 0
0 1 0
0 0 0
3
5
1
A =
= f(0; 0; z) : z 2 Rg = L (f(0; 0; 1)g) .
O conjunto f(0; 0; 1)g é uma base de E 1 .
Os vectores próprios de T associados ao valor próprio 1 = 0 são
u = (0; 0; s), com s 2 Rn f0g .
O subespaço próprio E 2 é dado por
E 2 = N (T 2I) = N (A I) = N
0
@
2
4
0 0 0
0 0 0
1 1 1
3
5
1
A =
= (x; y; z) 2 R3
: x + y + z = 0 =
= (x; y; z) 2 R3
: x = y z =
= f( y z; y; z) : y; z 2 Rg = L (f( 1; 1; 0); ( 1; 0; 1)g) .
O conjunto f( 1; 1; 0); ( 1; 0; 1)g é uma base de E 2 .
Os vectores próprios de T associados ao valor próprio 2 = 1 são
u = ( s t; s; t), com s; t 2 Rn f0g .
(ii) Tem-se T2
= T, razão pela qual a transformação linear T é uma projecção. Como
f( 1; 1; 0); ( 1; 0; 1); (0; 0; 1)g é uma base de R3
formada só por vectores próprios de T, cujos
valores próprios associados são respectivamente 1 e 0, tendo-se
T( 1; 1; 0) = 1( 1; 1; 0) = ( 1; 1; 0)
T( 1; 0; 1) = 1( 1; 0; 1) = ( 1; 0; 1)
T(0; 0; 1) = 0(0; 0; 1) = (0; 0; 0).
Assim, T projecta os elementos de R3
sobre um plano, paralelamente a um vector, sendo o
plano dado por:
L (f( 1; 1; 0); ( 1; 0; 1)g)
359
isto é, por:
x + y + z = 0
e o vector dado por:
(0; 0; 1).
12. Considere a transformação linear T : R3
! R3
que representa geometricamente a
projecção sobre o plano x + y + z = 0, paralelamente ao vector (0; 0; 1).
(i) O plano
(x; y; z) 2 R3
: x + y + z = 0 = L (f( 1; 1; 0); ( 1; 0; 1)g)
é tal que
T( 1; 1; 0) = ( 1; 1; 0) e T( 1; 0; 1) = ( 1; 0; 1)
e o vector (0; 0; 1) é tal que
T(0; 0; 1) = (0; 0; 0)
Ou seja, os vectores que de…nem o plano são vectores (de I (T)) (linearmente independentes)
próprios de T associados ao valor próprio 1 e o vector (0; 0; 1) é um vector (de N (T)) próprio
de T associado ao valor próprio 0:
(ii) Seja (x; y; z) 2 R3
. Como
f( 1; 1; 0); ( 1; 0; 1); (0; 0; 1)g
é uma base de R3
, as coordenadas de (x; y; z) em relação à base ordenada anterior irão ser
; ; tais que
(x; y; z) = ( 1; 1; 0) + ( 1; 0; 1) + (0; 0; 1).
Atendendo a
2
4
1 1 0 j x
1 0 0 j y
0 1 1 j z
3
5 !
2
4
1 1 0 j x
0 1 0 j x + y
0 1 1 j z
3
5 !
2
4
1 1 0 j x
0 1 0 j x + y
0 0 1 j x + y + z
3
5
e assim = x + y + z, = x y; = y. Pelo que
T (x; y; z) = yT( 1; 1; 0) + ( x y) T( 1; 0; 1) + (x + y + z) T(0; 0; 1) =
= y( 1; 1; 0) + ( x y) ( 1; 0; 1) + (x + y + z) (0; 0; 0) =
= (x; y; x y),
isto é, a expressão geral de T é dada por:
T (x; y; z) = (x; y; x y).
13. Considere a transformação linear T : R2
! R2
que em relação à base canónica de
R2
é representada pela matriz:
A =
2 1
0 2
.
360
(i) O polinómio característico é dado por
det(A I) =
2 1
0 2
= (2 )2
= 2
4 + 4.
Os valores próprios de T são os valores próprios de A, isto é, são os valores de para os
quais det(A I) = 0. Logo, o valor próprio de T é
= 2.
O subespaço próprio E é dado por
E = N (T I) = N (A 2I) = N
0 1
0 0
= (x; y) 2 R2
: y = 0 = f(x; 0) : x 2 Rg = L (f(1; 0)g) .
O conjunto f(1; 0)g é uma base de E .
Os vectores próprios de T associados ao valor próprio = 2 são
u = (s; 0), com s 2 Rn f0g .
(ii) Não existe nenhuma base de R2
constituída só por vectores próprios de T uma vez
que dim E = 1 < 2 = dim R2
. Logo, T não é diagonalizável.
14. Considere a transformação linear T : R3
! R3
de…nida por
T(x; y; z) = (3x; 2y + z; 2z).
Seja A = M(T; B3
c ; B3
c ). Tem-se
A =
2
4
3 0 0
0 2 1
0 0 2
3
5 ,
uma vez que T(1; 0; 0) = (3; 0; 0), T(0; 1; 0) = (0; 2; 0) e T(0; 0; 1) = (0; 1; 2) constituem
respectivamente a 1a
, 2a
e 3a
colunas de A.
(i) O polinómio característico é dado por
det(A I) =
3 0 0
0 2 1
0 0 2
= (3 ) (2 )2
= 3
+ 7 2
16 + 12.
Os valores próprios de T são os valores próprios de A, isto é, são os valores de para os
quais det(A I) = 0. Logo, os valores próprios de T são
1 = 3 e 2 = 2.
361
O subespaço próprio E 1 é dado por
E 1 = N (T 1I) = N (A 1I) =
= N
0
@
2
4
0 0 0
0 1 1
0 0 1
3
5
1
A = N
0
@
2
4
0 0 0
0 1 0
0 0 1
3
5
1
A =
= f(x; y; z) : y = z = 0g =
= f(x; 0; 0) : x 2 Rg = L (f(1; 0; 0)g) .
O conjunto f(1; 0; 0)g é uma base de E 1 .
Os vectores próprios de T associados ao valor próprio 1 = 3 são
u = (s; 0; 0), com s 2 Rn f0g .
O subespaço próprio E 2 é dado por
E 2 = N (T 2I) = N (A 2I) =
= N
0
@
2
4
1 0 0
0 0 1
0 0 0
3
5
1
A = f(x; y; z) : x = z = 0g =
= f(0; y; 0) : y 2 Rg = L (f(0; 1; 0)g) .
O conjunto f(0; 1; 0)g é uma base de E 2 .
Os vectores próprios de T associados ao valor próprio 2 = 2 são
u = (0; s; 0), com s 2 Rn f0g .
(ii) Não existe nenhuma base de R3
constituída só por vectores próprios de T uma vez
que
dim E 1 + dim E 2 = 2 < 3 = dim R3
:
Logo, a matriz A não é diagonalizável, isto é, não existe nenhuma base de R3
em relação à
qual T possa ser representada por uma matriz diagonal.
15. Considere a transformação linear T : R3
! R3
de…nida por
T(x; y; z) = (y + z; 2y + z; y + 2z).
Seja A = M(T; B3
c ; B3
c ). Tem-se
A =
2
4
0 1 1
0 2 1
0 1 2
3
5 ,
uma vez que T(1; 0; 0) = (0; 0; 0), T(0; 1; 0) = (1; 2; 1) e T(0; 0; 1) = (1; 1; 2) constituem
respectivamente a 1a
, 2a
e 3a
colunas de A.
362
(i) O polinómio característico é dado por
det(A I) =
1 1
0 2 1
0 1 2
= (2 )2
+ = (2 )2
1 =
= [((2 ) 1) ((2 ) + 1)] = (1 ) (3 )
= 3
+ 4 2
3 .
(ii) Os valores próprios de T são os valores próprios de A, isto é, são os valores de para
os quais det(A I) = 0. Logo, os valores próprios de T são
1 = 0, 2 = 1 e 3 = 3.
O subespaço próprio E 1 é dado por
E 1 = N (T 1I) = N (A 1I) =
= N
0
@
2
4
0 1 1
0 2 1
0 1 2
3
5
1
A = N
0
@
2
4
0 1 1
0 1 0
0 0 1
3
5
1
A =
= f(x; y; z) : y = z = 0g =
= f(x; 0; 0) : x 2 Rg = L (f(1; 0; 0)g) .
O conjunto f(1; 0; 0)g é uma base de E 1 .
Os vectores próprios de T associados ao valor próprio 1 = 0 são
u = (s; 0; 0), com s 2 Rn f0g .
O subespaço próprio E 2 é dado por
E 2 = N (T 2I) = N (A 2I) =
= N
0
@
2
4
1 1 1
0 1 1
0 1 1
3
5
1
A = N
0
@
2
4
1 1 1
0 1 1
0 0 0
3
5
1
A =
= f(x; y; z) : x + y + z = 0 e y + z = 0g =
= f(x; y; z) : x = 0 e y + z = 0g =
= f(0; z; z) : z 2 Rg = L (f(0; 1; 1)g) .
O conjunto f(0; 1; 1)g é uma base de E 2 .
Os vectores próprios de T associados ao valor próprio 2 = 1 são
u = (0; s; s), com s 2 Rn f0g .
363
O subespaço próprio E 3 é dado por
E 3 = N (T 3I) = N (A 3I) =
= N
0
@
2
4
3 1 1
0 1 1
0 1 1
3
5
1
A = N
0
@
2
4
3 1 1
0 1 1
0 0 0
3
5
1
A =
= f(x; y; z) : 3x + y + z = 0 e y + z = 0g =
= (x; y; z) : x =
2
3
z e y = z =
=
2
3
z; z; z : z 2 R = L (f(2; 3; 3)g) .
O conjunto f(2; 3; 3)g é uma base de E 3 .
Os vectores próprios de T associados ao valor próprio 3 = 3 são
u = (2s; 3s; 3s) , com s 2 Rn f0g .
(iii) É possível ter uma base de R3
constituída só por vectores próprios de T:
Bvp = f(1; 0; 0); (0; 1; 1); (2; 3; 3)g ,
uma vez que
dim E 1 + dim E 2 + dim E 3 = 3 = dim R3
.
Logo, a matriz que representa T na base Bvp é dada por
M(T; Bvp; Bvp) =
2
4
0 0 0
0 1 0
0 0 3
3
5 =
2
4
1 0 0
0 2 0
0 0 3
3
5 ,
uma vez que
T(1; 0; 0) = (0; 0; 0) = 0(1; 0; 0) + 0(0; 1; 1) + 0 (2; 3; 3) ,
T(0; 1; 1) = (0; 1; 1) = 0(1; 0; 0) + 1(0; 1; 1) + 0 (2; 3; 3)
e
T (2; 3; 3) = (6; 9; 9) = 0(1; 0; 0) + 0(0; 1; 1) + 3 (2; 3; 3) .
Deste modo, ( 1; 0; 0), (0; 2; 0) e (0; 0; 3) constituem respectivamente a 1a
, 2a
e 3a
colunas
de M(T; Bvp; Bvp).
(iv) Seja A a matriz que representa T na base canónica de R3
, isto é, A = M(T; B3
c ; B3
c ).
Tem-se, por (iii),
M(T; Bvp; Bvp) =
2
4
1 0 0
0 2 0
0 0 3
3
5 =
2
4
0 0 0
0 1 0
0 0 3
3
5 .
364
Logo, atendendo ao diagrama
(R3
; B3
c )
A
!
T
(R3
; B3
c )
SB3
c !Bvp
1
" I I # SB3
c !Bvp
(R3
; Bvp)
T
!
M(T;Bvp;Bvp)
(R3
; Bvp)
tem-se
D = PAP 1
,
com
D = M(T; Bvp; Bvp) =
2
4
1 0 0
0 2 0
0 0 3
3
5 =
2
4
0 0 0
0 1 0
0 0 3
3
5 ,
com
P 1
= SB3
c !Bvp
1
= SBvp!B3
c
=
2
4
1 0 2
0 1 3
0 1 3
3
5 e A = M(T; B3
c ; B3
c ).
Isto é, a matriz A é diagonalizável e a matriz M(T; Bvp; Bvp) é diagonal.
(v) Atendendo a que
D = PAP 1
,
tem-se
A = P 1
DP.
Logo,
An
= P 1
Dn
P =
2
4
1 0 2
0 1 3
0 1 3
3
5
2
4
0n
0 0
0 1n
0
0 0 3n
3
5
2
4
1 0 2
0 1 3
0 1 3
3
5
1
=
=
2
4
0 1
3
3n 1
3
3n
0 1
2
+ 1
2
3n 1
2
+ 1
2
3n
0 1
2
+ 1
2
3n 1
2
+ 1
2
3n
3
5
e
Tn
(x; y; z) = An
2
4
x
y
z
3
5 =
2
4
1
3
3n
y + 1
3
3n
z
1
2
+ 1
2
3n
y + 1
2
+ 1
2
3n
z
1
2
+ 1
2
3n
y + 1
2
+ 1
2
3n
z
3
5 ,
para todo o (x; y; z) 2 R3
.
16. Considere a transformação linear T : R3
! R3
que em relação à base B =
f(0; 1; 0) ; (1; 0; 1) ; (1; 0; 1)g (ordenada) de R3
é representada pela matriz:
A =
2
4
7 4 2
1 7 1
1 2 10
3
5 .
365
Logo, a matriz que representa T em relação à base canónica Bc de R3
é dada por:
B = M (T; Bc; Bc) = SB!Bc
2
4
7 4 2
1 7 1
1 2 10
3
5 (SB!Bc ) 1
=
=
2
4
0 1 1
1 0 0
0 1 1
3
5
2
4
7 4 2
1 7 1
1 2 10
3
5
2
4
0 1 0
1
2
0 1
2
1
2
0 1
2
3
5 =
2
4
9 0 0
3 7 1
3 2 8
3
5 .
Note que deste modo, para todo o (x; y; z) 2 R3
tem-se
T(x; y; z) = B
2
4
x
y
z
3
5 = (9x; 3x + 7y z; 3x 2y + 8z) .
(i) O polinómio característico é dado por
det(A I) = det(B I) =
9 0 0
3 7 1
3 2 8
= (9 ) [(7 ) (8 ) 2] =
= (9 ) 2
15 + 54 = (9 ) ( 9) ( 6) =
= ( 9)2
( 6) .
(ii) Os valores próprios de T são os valores próprios de B, isto é, são os valores de para
os quais det(B I) = 0. Logo, os valores próprios de T são
1 = 9 e 2 = 6.
O subespaço próprio E 1 é dado por
E 1 = N (T 1I) = N (B 1I) =
= N
0
@
2
4
0 0 0
3 2 1
3 2 1
3
5
1
A = N
0
@
2
4
0 0 0
0 0 0
3 2 1
3
5
1
A =
= (x; y; z) 2 R3
: 3x 2y z = 0 =
= f(x; y; 3x 2y) : x; y 2 Rg = L (f(1; 0; 3); (0; 1; 2)g) .
O conjunto f(1; 0; 3); (0; 1; 2)g é uma base de E 1 .
Os vectores próprios de T associados ao valor próprio 1 = 9 são
u = (s; t; 3s 2t), com s; t 2 Rn f0g .
O subespaço próprio E 2 é dado por
E 2 = N (T 2I) = N (B 2I) =
= N
0
@
2
4
3 0 0
3 1 1
3 2 2
3
5
1
A = N
0
@
2
4
3 0 0
0 1 1
0 0 0
3
5
1
A =
= f(x; y; z) : 3x = 0 e y z = 0g =
= f(0; z; z) : z 2 Rg = L (f(0; 1; 1)g) .
366
O conjunto f(0; 1; 1)g é uma base de E 2 .
Os vectores próprios de T associados ao valor próprio 2 = 6 são
u = (0; s; s), com s 2 Rn f0g .
(iii) É possível ter uma base de R3
constituída só por vectores próprios de T:
Bvp = f(1; 0; 3); (0; 1; 2); (0; 1; 1)g ,
uma vez que
dim E 1 + dim E 2 = 3 = dim R3
.
Logo, a matriz que representa T na base Bvp é dada por
M(T; Bvp; Bvp) =
2
4
9 0 0
0 9 0
0 0 6
3
5 =
2
4
1 0 0
0 1 0
0 0 2
3
5 ,
uma vez que
T(1; 0; 3) = (9; 0; 27) = 9(1; 0; 3) + 0(0; 1; 2) + 0(0; 1; 1),
T(0; 1; 2) = (0; 9; 18) = 0(1; 0; 3) + 9(0; 1; 2) + 0(0; 1; 1)
e
T(0; 1; 1) = (0; 6; 6) = 0(1; 0; 3) + 0(0; 1; 2) + 6(0; 1; 1).
Deste modo, ( 1; 0; 0), (0; 2; 0) e (0; 0; 3) constituem respectivamente a 1a
, 2a
e 3a
colunas
de M(T; Bvp; Bvp).
Logo, atendendo ao diagrama
(R3
; B3
c )
B
!
T
(R3
; B3
c )
SB3
c !Bvp
1
" I I # SB3
c !Bvp
(R3
; Bvp)
T
!
M(T;Bvp;Bvp)
(R3
; Bvp)
tem-se
D = PBP 1
,
com
D = M(T; Bvp; Bvp) =
2
4
1 0 0
0 1 0
0 0 2
3
5 =
2
4
9 0 0
0 9 0
0 0 6
3
5 ,
com
P 1
= SB3
c !Bvp
1
= SBvp!B3
c
=
2
4
1 0 0
0 1 1
3 2 1
3
5 e B = M(T; B3
c ; B3
c ).
Isto é, a matriz B é diagonalizável e a matriz M(T; Bvp; Bvp) é diagonal.
(iv) Atendendo a que
D = PBP 1
,
367
tem-se
B = P 1
DP.
Logo,
Bn
= P 1
Dn
P =
2
4
1 0 0
0 1 1
3 2 1
3
5
2
4
9n
0 0
0 9n
0
0 0 6n
3
5
2
4
1 0 0
0 1 1
3 2 1
3
5
1
=
=
2
4
1 0 0
0 1 1
3 2 1
3
5
2
4
9n
0 0
0 9n
0
0 0 6n
3
5
2
4
1 0 0
1 1=3 1=3
1 2=3 1=3
3
5 =
=
2
4
9n
0 0
0 9n
6n
9n
3 9n
( 2) 6n
3
5
2
4
1 0 0
1 1=3 1=3
1 2=3 1=3
3
5 =
=
2
4
9n
0 0
9n
6n 1
3
9n
+ 2
3
6n 1
3
9n
+ 1
3
6n
9n
6n 2
3
9n
+ 2
3
6n 2
3
9n
+ 1
3
6n
3
5
e
An
= (SB!Bc ) 1
Bn
SB!Bc =
=
2
4
0 1 1
1 0 0
0 1 1
3
5
1 2
4
9n
0 0
9n
6n 1
3
9n
+ 2
3
6n 1
3
9n
+ 1
3
6n
9n
6n 2
3
9n
+ 2
3
6n 2
3
9n
+ 1
3
6n
3
5
2
4
0 1 1
1 0 0
0 1 1
3
5 =
=
2
4
2
3
6n
+ 1
3
9n 4
3
9n 4
3
6n 2
3
9n 2
3
6n
1
3
9n 1
3
6n 2
3
6n
+ 1
3
9n 1
3
6n 1
3
9n
1
3
6n 1
3
9n 2
3
9n 2
3
6n 4
3
9n 1
3
6n
3
5 .
Por outro lado,
Tn
(x; y; z) = Bn
2
4
x
y
z
3
5 =
2
4
9n
x
(9n
6n
) x + 1
3
9n
+ 2
3
6n
y + 1
3
9n
+ 1
3
6n
z
(9n
6n
) x + 2
3
9n
+ 2
3
6n
y + 2
3
9n
+ 1
3
6n
z
3
5 ,
para todo o (x; y; z) 2 R3
.
17. Sabendo que os vectores (1; 1; 1); (1; 0; 1) e (1; 1; 0) são vectores próprios da matriz
A =
2
4
1 1 1
a b c
d e f
3
5 ,
existem 1; 2 e 3 2 R tais que
(1; 1; 1) 2 N(A 1I), (1; 0; 1) 2 N(A 2I) e (1; 1; 0) 2 N(A 3I),
isto é, 2
4
1 1 1 1
a b 1 c
d e f 1
3
5
2
4
1
1
1
3
5 =
2
4
0
0
0
3
5 ,
368
2
4
1 2 1 1
a b 2 c
d e f 2
3
5
2
4
1
0
1
3
5 =
2
4
0
0
0
3
5
e 2
4
1 3 1 1
a b 3 c
d e f 3
3
5
2
4
1
1
0
3
5 =
2
4
0
0
0
3
5 .
Logo, tem-se respectivamente
8
>>>><
>>>>:
3 1 = 0
a + b + c 1 = 0
d + e + f 1 = 0
,
8
>>>><
>>>>:
1 = 3
a + b + c = 3
d + e + f = 3,
8
>>>><
>>>>:
2 = 0
a c = 0
d f + 2 = 0
,
8
>>>><
>>>>:
2 = 0
a = c
d = f
e 8
>>>><
>>>>:
3 = 0
a b + 3 = 0
d e = 0
,
8
>>>><
>>>>:
3 = 0
a = b
d = e.
Assim, 8
>>>>>>>><
>>>>>>>>:
1 = 3
2 = 0
3 = 0
a = b = c = d = e = f = 1.
18. Considere a transformação linear T : M2 2(R) ! M2 2(R) de…nida por
T(A) = A + AT
.
(i) Seja
B2 2
c =
1 0
0 0
;
0 1
0 0
;
0 0
1 0
;
0 0
0 1
a base canónica (ordenada) de M2 2(R).
369
A matriz M(T; B2 2
c ; B2 2
c ) que representa T em relação à base canónica (ordenada) B2 2
c
é dada por
M(T; B2 2
c ; B2 2
c ) =
2
6
6
4
2 0 0 0
0 1 1 0
0 1 1 0
0 0 0 2
3
7
7
5 ,
uma vez que
T
1 0
0 0
=
2 0
0 0
= 2
1 0
0 0
+ 0
0 1
0 0
+ 0
0 0
1 0
+ 0
0 0
0 1
,
T
0 1
0 0
=
0 1
1 0
= 0
1 0
0 0
+
0 1
0 0
+
0 0
1 0
+ 0
0 0
0 1
,
T
0 0
1 0
=
0 1
1 0
= 0
1 0
0 0
+
0 1
0 0
+
0 0
1 0
+ 0
0 0
0 1
,
e
T
0 0
0 1
=
0 0
0 2
= 0
1 0
0 0
+ 0
0 1
0 0
+ 0
0 0
1 0
+ 2
0 0
0 1
.
(ii) Seja A = M(T; B2 2
c ; B2 2
c ). O polinómio característico é dado por
det(A I) =
2 0 0 0
0 1 1 0
0 1 1 0
0 0 0 2
= (2 )2
(1 )2
1 =
= (2 )2
[((1 ) 1) ((1 ) + 1)] =
= (2 )3
.
Os valores próprios de T são os valores próprios de A, isto é, são os valores de para os
quais det(A I) = 0. Logo, os valores próprios de T são
1 = 0 e 2 = 2.
370
O subespaço próprio E 1 é dado por
E 1 = N (T 1I) =
a b
c d
2 M2 2(R) : (T 1I)
a b
c d
=
0 0
0 0
=
=
a b
c d
2 M2 2(R) : T
a b
c d 1I
a b
c d
=
0 0
0 0
=
=
a b
c d
2 M2 2(R) :
2a b + c
c + b 2d
1a 1b
1c 1d
=
0 0
0 0
=
=
a b
c d
2 M2 2(R) :
2a b + c
c + b 2d
0 0
0 0
=
0 0
0 0
=
=
a b
c d
2 M2 2(R) :
2a b + c
c + b 2d
=
0 0
0 0
=
=
a b
c d
2 M2 2(R) : 2a = 0 e b + c = 0 e 2d = 0 =
=
0 c
c 0
2 M2 2(R) : c 2 R =
= L
0 1
1 0
.
O conjunto
0 1
1 0
é uma base de E 1 .
Os vectores próprios de T associados ao valor próprio 1 = 0 são
U =
0 s
s 0
, com s 2 Rn f0g .
O subespaço próprio E 2 é dado por
E 2 = N (T 2I) =
a b
c d
2 M2 2(R) : (T 2I)
a b
c d
=
0 0
0 0
=
=
a b
c d
2 M2 2(R) : T
a b
c d 2I
a b
c d
=
0 0
0 0
=
=
a b
c d
2 M2 2(R) :
2a b + c
c + b 2d
2a 2b
2c 2d
=
0 0
0 0
=
=
a b
c d
2 M2 2(R) :
2a b + c
c + b 2d
2a 2b
2c 2d
=
0 0
0 0
=
=
a b
c d
2 M2 2(R) :
0 b + c
c + b 0
=
0 0
0 0
=
=
a b
c d
2 M2 2(R) : b = c =
=
a c
c d
2 M2 2(R) : a; c; d 2 R =
= L
1 0
0 0
;
0 1
1 0
;
0 0
0 1
.
371
O conjunto
1 0
0 0
;
0 1
1 0
;
0 0
0 1
é uma base de E 2 .
Os vectores próprios de T associados ao valor próprio 2 = 2 são
U =
r s
s t
, com r; s; t 2 Rn f0g .
(iii) É possível ter uma base de M2 2(R) constituída só por vectores próprios de T:
Bvp =
1 0
0 0
;
0 1
1 0
;
0 1
1 0
;
0 0
0 1
,
uma vez que
dim E 1 + dim E 2 = 4 = dim M2 2(R).
Logo, a matriz que representa T na base Bvp é dada por
M(T; Bvp; Bvp) =
2
6
6
4
2 0 0 0
0 2 0 0
0 0 0 0
0 0 0 2
3
7
7
5 =
2
6
6
4
2 0 0 0
0 2 0 0
0 0 1 0
0 0 0 2
3
7
7
5 ,
uma vez que
T
1 0
0 0
=
2 0
0 0
= 2
1 0
0 0
+ 0
0 1
1 0
+ 0
0 1
1 0
+ 0
0 0
0 1
,
T
0 1
1 0
=
0 2
2 0
= 0
1 0
0 0
+ 2
0 1
1 0
+ 0
0 1
1 0
+ 0
0 0
0 1
,
T
0 1
1 0
=
0 0
0 0
= 0
1 0
0 0
+ 0
0 1
1 0
+ 0
0 1
1 0
+ 0
0 0
0 1
,
e
T
0 0
0 1
=
0 0
0 2
= 0
1 0
0 0
+ 0
0 1
1 0
+ 0
0 1
1 0
+ 2
0 0
0 1
.
Deste modo, ( 2; 0; 0; 0), (0; 2; 0; 0), (0; 0; 1; 0) e (0; 0; 0; 2) constituem respectivamente a
1a
, 2a
, 3a
e 4a
colunas de M(T; Bvp; Bvp).
Logo, atendendo ao diagrama
(M2 2(R); B2 2
c )
A
!
T
(M2 2(R); B2 2
c )
SB2 2
c !Bvp
1
" I I # SB2 2
c !Bvp
(M2 2(R); Bvp)
T
!
M(T;Bvp;Bvp)
(M2 2(R); Bvp)
tem-se
D = PAP 1
,
372
com
D = M(T; Bvp; Bvp) =
2
6
6
4
2 0 0 0
0 2 0 0
0 0 1 0
0 0 0 2
3
7
7
5 =
2
6
6
4
2 0 0 0
0 2 0 0
0 0 0 0
0 0 0 2
3
7
7
5 ,
com
P 1
= SB2 2
c !Bvp
1
= SBvp!B2 2
c
e A = M(T; B2 2
c ; B2 2
c ).
Isto é, a matriz A é diagonalizável e a matriz M(T; Bvp; Bvp) é diagonal.
19. (i) Seja A1 =
2 1
2 5
. Tem-se
det(A1 I) =
2 1
2 5
= (2 ) (5 ) + 2 = 2
7 + 12 = (3 ) (4 ) .
Os valores próprios de A1 são
1 = 3 e 2 = 4.
O subespaço próprio E 1 é dado por
E 1 = N (A 1I) =
= N
2 1 1
2 5 1
= N
1 1
2 2
=
= N
1 1
0 0
= (x; y) 2 R2
: x + y = 0 =
= f(y; y) : y 2 Rg = L (f(1; 1)g) .
O conjunto f(1; 1)g é uma base de E 1 .
Os vectores próprios de A1 associados ao valor próprio 1 = 3 são
u = (s; s), com s 2 Rn f0g .
O subespaço próprio E 2 é dado por
E 2 = N (A2 2I) =
= N
2 2 1
2 5 2
= N
2 1
2 1
=
= N
2 1
0 0
= (x; y) 2 R2
: 2x + y = 0 =
= f(x; 2x) : x 2 Rg = L (f(1; 2)g) .
O conjunto f(1; 2)g é uma base de E 2 .
Os vectores próprios de A1 associados ao valor próprio 2 = 4 são
u = (s; 2s), com s 2 Rn f0g .
373
É possível ter uma base de R2
constituída só por vectores próprios de A1:
Bvp = f(1; 1); (1; 2)g ,
uma vez que
dim E 1 + dim E 2 = 2.
Logo, a matriz A1 é diagonalizável e tem-se
D1 = P1A1P 1
1 ,
com
P 1
1 = SBvp!B2
c
=
1 1
1 2
e
D1 = 1 0
0 2
=
3 0
0 4
.
(ii) Seja A2 =
2
4
2 1 1
0 3 1
0 1 3
3
5. Tem-se
det(A2 I) =
2 1 1
0 3 1
0 1 3
= (2 ) (3 )2
1 =
= (2 ) [(3 ) 1] [(3 ) + 1] = (2 )2
(4 ) .
Os valores próprios de A2 são
1 = 2 e 2 = 4.
O subespaço próprio E 1 é dado por
E 1 = N (A2 1I) =
= N
0
@
2
4
2 1 1 1
0 3 1 1
0 1 3 1
3
5
1
A = N
0
@
2
4
0 1 1
0 1 1
0 1 1
3
5
1
A =
= N
0
@
2
4
0 1 1
0 0 0
0 0 0
3
5
1
A = (x; y; z) 2 R3
: y + z = 0 =
= f(x; z; z) : x; z 2 Rg = L (f(1; 0; 0); (0; 1; 1)g) .
O conjunto f(1; 0; 0); (0; 1; 1)g é uma base de E 1 .
Os vectores próprios de A2 associados ao valor próprio 1 = 2 são
u = (s; t; t), com s; t 2 Rn f0g .
374
O subespaço próprio E 2 é dado por
E 2 = N (A2 2I) =
= N
0
@
2
4
2 2 1 1
0 3 2 1
0 1 3 2
3
5
1
A = N
0
@
2
4
2 1 1
0 1 1
0 1 1
3
5
1
A =
= N
0
@
2
4
2 1 1
0 1 1
0 0 0
3
5
1
A = (x; y) 2 R2
: 2x + y + z = 0 e y + z = 0 =
= f(z; z; z) : z 2 Rg = L (f(1; 1; 1)g) .
O conjunto f(1; 1; 1)g é uma base de E 2 .
Os vectores próprios de A2 associados ao valor próprio 2 = 4 são
u = (s; s; s), com s 2 Rn f0g .
É possível ter uma base de R3
constituída só por vectores próprios de A2:
Bvp = f(1; 0; 0); (0; 1; 1); (1; 1; 1)g ,
uma vez que
dim E 1 + dim E 2 = 3.
Logo, a matriz A2 é diagonalizável e tem-se
D2 = P2A2P 1
2 ,
com
P 1
2 = SBvp!B3
c
=
2
4
1 0 1
0 1 1
0 1 1
3
5
e
D2 =
2
4
1 0 0
0 1 0
0 0 2
3
5 =
2
4
2 0 0
0 2 0
0 0 4
3
5 .
(iii) Seja A3 =
2
4
1 1 0
1 1 0
0 0 0
3
5. Tem-se
det(A3 I) =
1 1 0
1 1 0
0 0
= ( ) (1 )2
1 =
= ( ) [(1 ) 1] [(1 ) + 1] = 2
(2 ) .
Os valores próprios de A3 são
1 = 0 e 2 = 2.
375
O subespaço próprio E 1 é dado por
E 1 = N (A3 1I) =
= N
0
@
2
4
1 1 1 0
1 1 1 0
0 0 1
3
5
1
A = N
0
@
2
4
1 1 0
1 1 0
0 0 0
3
5
1
A =
= N
0
@
2
4
1 1 0
0 0 0
0 0 0
3
5
1
A = (x; y; z) 2 R3
: x + y = 0 =
= f( y; y; z) : y; z 2 Rg = L (f( 1; 1; 0); (0; 0; 1)g) .
O conjunto f( 1; 1; 0); (0; 0; 1)g é uma base de E 1 .
Os vectores próprios de A2 associados ao valor próprio 1 = 0 são
u = ( s; s; t), com s; t 2 Rn f0g .
O subespaço próprio E 2 é dado por
E 2 = N (A2 2I) =
= N
0
@
2
4
1 2 1 0
1 1 2 0
0 0 2
3
5
1
A = N
0
@
2
4
1 1 0
1 1 0
0 0 2
3
5
1
A =
= N
0
@
2
4
1 1 0
0 0 0
0 0 2
3
5
1
A = (x; y) 2 R2
: x + y = 0 e 2z = 0 =
= f(y; y; 0) : y 2 Rg = L (f(1; 1; 0)g) .
O conjunto f(1; 1; 0)g é uma base de E 2 .
Os vectores próprios de A3 associados ao valor próprio 2 = 2 são
u = (s; s; 0), com s 2 Rn f0g .
É possível ter uma base de R3
constituída só por vectores próprios de A3:
Bvp = f( 1; 1; 0); (0; 0; 1); (1; 1; 0)g ,
uma vez que
dim E 1 + dim E 2 = 3.
Logo, a matriz A3 é diagonalizável e tem-se
D3 = P3A3P 1
3 ,
com
P 1
3 = SBvp!B3
c
=
2
4
1 0 1
1 0 1
0 1 0
3
5 e D3 =
2
4
1 0 0
0 1 0
0 0 2
3
5 =
2
4
0 0 0
0 0 0
0 0 2
3
5 .
376
20. Considere a transformação linear T : R4
! R4
que em relação à base canónica de
R4
é representada pela matriz 2
6
6
4
0 0 0 0
a 0 0 0
0 b 0 0
0 0 c 0
3
7
7
5 ,
com a; b; c 2 R.
Determinemos os valores próprios de T. Tem-se
0 0 0
a 0 0
0 b 0
0 0 c
= ( )4
= 4
.
O valor próprio de T é = 0.
O subespaço próprio E é dado por
E = N
0
B
B
@
2
6
6
4
0 0 0
a 0 0
0 b 0
0 0 c
3
7
7
5
1
C
C
A = N
0
B
B
@
2
6
6
4
0 0 0 0
a 0 0 0
0 b 0 0
0 0 c 0
3
7
7
5
1
C
C
A =
= (x; y; z; w) 2 R4
: ax = 0 e by = 0 e cz = 0 .
Assim, para que exista uma base de R4
constituída só por vectores próprios de T é necessário
que se tenha
a = b = c = 0.
Caso contrário, teríamos
dim E < 4.
21. (i) Como Au1 = ( + 1)u1 e Au2 = ( 1)u2 então u1; u2 são vectores próprios de
A, associados respectivamente aos valores próprios + 1 e 1.
(ii)
p( ) = det(A I) = (3 ) ( )2
1 = (3 )( 1)( + 1):
Para ( + 1 6= 3 e 1 6= 3) , 62 f2; 4g os valores próprios de A: 3; + 1 e 1 são
todos distintos.
(iii) Para 62 f2; 4g, fu1g; fu2g e f(3 ; 2
6 + 8; 1)g são bases de E +1, E 1 e
E3, respectivamente.
Para = 2, E3 = E +1. Além disso, fu2g é uma base de E 1 e fu1g é uma base de E3.
Para = 4, E3 = E 1. Além disso, fu2g é uma base de E3 e fu1g é uma base de E +1.
(iv) Para 62 f2; 4g a matriz A é diagonalizável, pois os seus valores próprios são todos
distintos. Se = 2 ou = 4 então 3 é valor próprio de A e mg(3) = 1 < 2 = ma(3), pelo
que A não é diagonalizável. Logo A é diagonalizável , 62 f2; 4g.
377
Resolução da 3a
Ficha de exercícios facultativos
1. Seja T : Rn
! Rn
uma transformação linear invertível. Seja u um vector próprio de
T associado a um valor próprio de T. Veri…que que u é também um vector próprio de T 1
e determine o valor próprio de T 1
que lhe está associado.
Dem. Tem-se
T(u) = u,
com u 6= 0. Como T é invertível e T 1
é linear,
u = T 1
( u) = T 1
(u).
Por outro lado, tem-se 6= 0 uma vez que u 6= 0 e T é invertível. Logo,
T 1
(u) = 1
u.
Isto é, u é um vector próprio de T 1
associado ao valor próprio 1
de T 1
.
2. Seja V um espaço linear. Seja T : V ! V uma transformação linear. Seja u um
vector próprio de T associado a um valor próprio de T. Veri…que que u é também um
vector próprio de T2
associado ao valor próprio 2
de T2
.
Dem. Tem-se
T(u) = u,
com u 6= 0. Logo, como T é linear,
T2
(u) = (T T) (u) = T(T(u)) = T( u) = T(u) = u = 2
u,
isto é, u é um vector próprio de T2
associado ao valor próprio 2
de T2
.
3. Seja A uma matriz do tipo n n. Mostre que se é um valor próprio de A então k
é um valor próprio de Ak
, onde k é um inteiro positivo.
Dem. Sendo k um inteiro positivo, tem-se
Ak k
I = (A I)(Ak 1
+ Ak 2
+ + A k 2
+ k 1
I).
Logo, se é um valor próprio de A então k
é um valor próprio de Ak
, onde k é um inteiro
positivo.
4. Uma matriz A do tipo n n diz-se nilpotente se Al
= 0 para algum inteiro positivo
l. Mostre que se A é nilpotente então o único valor próprio de A é 0.
Dem. Suponhamos que Al
= 0 para algum inteiro positivo l. Seja um valor próprio
de A. Pelo exo
anterior, l
é um valor próprio de Al
. Como Al
= 0, então:
0 = det(Al l
I) = det( l
I) = ( 1)n l
.
378
Logo = 0 e como tal, 0 é o único valor próprio de A.
5. Seja A uma matriz n n. Veri…que que A e AT
têm os mesmos valores próprios.
Dem. Tem-se
det(A I) = det (A I)T
= det(AT
I).
Isto é, as matrizes A e AT
têm os mesmos valores próprios.
6. Seja A uma matriz n n cuja soma das suas colunas é constante e igual a r. Mostre
que r é um valor próprio de A:
Dem. Tem-se
A
2
6
6
6
4
1
1
...
1
3
7
7
7
5
=
2
6
6
6
4
a11 a12 a1n
a21 a22 a2n
...
...
...
...
an1 an2 ann
3
7
7
7
5
2
6
6
6
4
1
1
...
1
3
7
7
7
5
=
=
2
6
6
6
4
a11
a21
...
an1
3
7
7
7
5
+
2
6
6
6
4
a12
a22
...
an2
3
7
7
7
5
+ +
2
6
6
6
4
a1n
a2n
...
ann
3
7
7
7
5
=
2
6
6
6
4
r
r
...
r
3
7
7
7
5
= r
2
6
6
6
4
1
1
...
1
3
7
7
7
5
.
Logo r é um valor próprio de A, associado ao vector próprio (1; 1; : : : ; 1).
7. Seja A 2 Mn n(R). Seja P uma matriz diagonalizante para A. Determine uma
matriz diagonalizante para AT
em termos de P.
Dem. Tem-se
D = PAP 1
e
D = DT
= PAP 1 T
= P 1 T
AT
PT
.
Logo, a matriz (P 1
)
T
é uma matriz diagonalizante para AT
.
8. Seja Q uma matriz n n real ortogonal, isto é, tal que Q 1
= QT
. Mostre que se n
fôr ímpar então Q tem o valor próprio 1 ou tem o valor próprio 1.
Dem. Atendendo a que QQT
= I tem-se
(det Q)2
= det Q det Q = det Q det QT
= det QQT
= det I = 1 , (det Q = 1 ou det Q = 1).
Logo:
Se det Q = 1
det (Q I) = det Q I QT
= det Q det I QT
=
379
= ( 1)n
det Q det QT
I =
n é ímpar
det Q det
h
(Q I)T
i
= det (Q I) ,
, 2 det (Q I) = 0 , det (Q I) = 0
isto é, 1 é valor próprio de Q;
Se det Q = 1
det (Q + I) = det Q I + QT
= det Q det I + QT
=
= det Q det QT
+ I = det
h
(Q + I)T
i
= det (Q + I) ,
, 2 det (Q + I) = 0 , det (Q + I) = 0 , det (Q ( 1) I) = 0
isto é, 1 é valor próprio de Q.
9. Determine uma matriz A real 2 2 tal que det A < 0. Mostre que A é diagonalizável.
Dem. Seja A =
a b
c d
2 M2 2 (R). Sejam 1 e 2 dois valores próprios de A. Como
1 2 = det A < 0
então 1 e 2 são dois valores próprios distintos de A, pelo que os vectores próprios corre-
spondentes são linearmente independentes, constituindo assim uma base de R2
, razão pela
qual A é diagonalizável.
10. Seja A uma matriz n n e seja um valor próprio de A com multiplicidade algébrica
igual a n. Mostre que se A fôr diagonalizável então A é uma matriz diagonal.
Dem. Seja um valor próprio de A com multiplicidade algébrica igual a n. Como A é
do tipo n n, então é o único valor próprio de A. Assim, A fôr diagonalizável se e só se
dim N (A I) = mg ( ) = ma ( ) = n
o que é equivalente a ter-se
A I = 0 (matriz nula)
isto é,
A = I =
2
6
6
6
4
0 0
0
... ...
...
...
...
... 0
0 0
3
7
7
7
5
ou seja, A é uma matriz diagonal.
11. Seja V um espaço linear e seja T : V ! V uma transformação linear tal que todos
os vectores não nulos de V são vectores próprios. Mostre que T tem um único valor próprio.
380
Dem. Suponhamos, com vista a uma contradição, que 1 e 2 eram dois valores próprios
distintos de T. Sejam v1 e v2 vectores próprios de T associados respectivamente aos valores
próprios 1 e 2. Logo, o conjunto fv1; v2g é linearmente independente. Por outro lado
T (v1 + v2) = T (v1) + T (v2) = 1v1 + 2v2
e como cada vector não nulo de V é um vector próprio de T, então v1 + v2 é um vector
próprio de T e assim, existe um escalar 3 tal que
T (v1 + v2) = 3 (v1 + v2) = 3v1 + 3v2.
Deste modo, tem-se
1v1 + 2v2 = 3v1 + 3v2
ou seja
( 1 3) v1 + ( 3 2) v2 = 0.
Como o conjunto fv1; v2g é linearmente independente, então ter-se-ia
1 = 3 e 3 = 2
isto é,
1 = 2
contrariando o facto de se ter assumido que 1 e 2 eram dois valores próprios distintos de
T.
Logo, T tem um único valor próprio.
12. Sejam A e B duas matrizes do tipo n n. Mostre que AB e BA têm os mesmos
valores próprios.
Dem. Sejam A; B 2 Mn n(R). Atendendo a que
det (AB 0I) = det (AB) = det (BA) = det (BA 0I) ;
0 é valor próprio de AB se e só se 0 é valor próprio de BA.
Seja um valor próprio de AB, com 6= 0. Então existe u 6= 0 tal que ABu = u. Seja
w = Bu: Como u 6= 0 e B é invertível então w 6= 0. Logo,
(BA) w = (BA) Bu = B (AB) u = B u = (Bu) = w.
Isto é, é valor próprio de BA com w como vector próprio associado.
Seja um valor próprio de BA, com 6= 0. Então existe u 6= 0 tal que BAu = u. Seja
w = Au: Como u 6= 0 e A é invertível então w 6= 0. Logo,
(AB) w = (AB) Au = A (BA) u = A u = (Au) = w.
Isto é, é valor próprio de AB com w como vector próprio associado.
13. Sejam A e B duas matrizes tais que AB = BA. Mostre que A e B têm um vector
próprio em comum.
381
Sugestão: Sendo um valor próprio de A, considere C a matriz cujas colunas formam
uma base ordenada S de N (A I) e veri…que que (A I) BC = 0. Finalmente considere
a matriz P cujas colunas são respectivamente as coordenadas das colunas de BC em relação
à base S e sendo v um vector próprio de P mostre que Cv é um vector próprio comum a A
e B.
Dem. Suponhamos que as matrizes quadradas A e B são do tipo n n. Seja um valor
próprio de A. Tem-se N (A I) 6= f0g. Seja r = dim N (A I). Seja C a matriz n r
cujas colunas formam uma base ordenada S de N (A I). Tem–se
(A I) BC = ABC BC =
AB=BA
BAC BC = B (A I) C = B0 = 0
Seja P = (pij) a matriz r r cujas colunas são respectivamente as coordenadas das
colunas de BC em relação à base S. Tem-se, para k = 1; :::; r
[BC] k
| {z }
coluna k de BC
=
rX
i=1
pik [C] i
|{z}
coluna i de C
=
rX
i=1
[C] i pik.
Logo, tem-se
BC = CP.
Seja v um vector próprio de P associado a um valor próprio . Tem-se v 6= 0 e Cv 6= 0
pois C tem característica máxima (= no
de colunas). Além disso,
B (Cv) = (BC) v = (CP) v = C (Pv) = C ( vI) = (Cv) ,
isto é, Cv é um vector próprio de B associado ao valor próprio .
Por outro lado, tem-se
A (Cv) = (AC) v = ( IC) v = (Cv) ,
isto é, Cv é um vector próprio de A associado ao valor próprio .
Logo, Cv é um vector próprio comum a A e B.
14. Seja A uma matriz n n e sejam 1; 2 escalares, com 1 6= 2, tais que
(A 1I) (A 2I) = 0:
Atendendo a que
det (A 1I) det (A 2I) = 0 , (det (A 1I) = 0 ou det (A 2I) = 0)
então 1 é valor próprio de A ou 2 é valor próprio de A. Suponhamos sem perda de
generalidade (uma vez que (A 1I) (A 2I) = (A 2I) (A 1I)) que 1 é um valor
próprio de A. Atendendo a que
C (A 2I) N (A 1I) 6= f0g
então
n nul (A 2I) = car (A 2I) = dim C (A 2I) dim N (A 1I) = nul (A 1I)
isto é,
n nul (A 1I) + nul (A 2I) .
Logo, atendendo a que nul (A 1I) + nul (A 2I) n, tem-se
nul (A 1I) + nul (A 2I) = n
ou seja, A é diagonalizável.
382
Resolução da 6a
Ficha de exercícios para as aulas de problemas
1. (i) Consideremos a aplicação h; i : R2
R2
! R, de…nida por
h(x1; x2); (y1; y2)i = x2
1y2
1 + x2
2y2
2,
com (x1; x2); (y1; y2) 2 R2
.
Por exemplo
h(1; 1); (1; 0) + (1; 0)i = h(1; 1); (2; 0)i = 4 6= 2 = h(1; 1); (1; 0)i + h(1; 1); (1; 0)i .
Logo, esta aplicação h; i não é um produto interno, uma vez que a condição de linearidade
não é veri…cada.
(ii) Consideremos a aplicação h; i : R2
R2
! R, de…nida por
h(x1; x2); (y1; y2)i = x1y1 x2y1 x1y2 + 3x2y2,
com (x1; x2); (y1; y2) 2 R2
.
Tem-se
h(x1; x2); (y1; y2)i = x1 x2
1 1
1 3
y1
y2
e como
1 1
1 3
é simétrica e os seus valores próprios (
p
2 + 2 e 2
p
2) são todos
positivos, logo, a aplicação h; i de…ne um produto interno em R2
.
Resolução alternativa: Para todos os (x1; x2); (x
0
1; x
0
2); (y1; y2) 2 R2
e 2 R tem-se:
h(x1; x2); (y1; y2)i = x1y1 x2y1 x1y2 + 3x2y2 =
= y1x1 y1x2 y2x1 + 3y2x2 =
= y1x1 y2x1 y1x2 + 3y2x2 =
= h(y1; y2); (x1; x2)i .
D
(x1; x2) + (x
0
1; x
0
2); (y1; y2)
E
=
D
(x1 + x
0
1; x2 + x
0
2); (y1; y2)
E
=
= (x1 + x
0
1)y1 (x2 + x
0
2)y1 (x1 + x
0
1)y2 + 3(x2 + x
0
2)y2 =
= x1y1 + x
0
1y1 x2y1 x
0
2y1 x1y2 x
0
1y2 + 3x2y2 + 3x
0
2y2 =
= x1y1 x2y1 x1y2 + 3x2y2 + x
0
1y1 x
0
2y1 x
0
1y2 + 3x
0
2y2 =
= h(x1; x2); (y1; y2)i +
D
(x
0
1; x
0
2); (y1; y2)
E
.
h (x1; x2); (y1; y2)i = h x1; x2); (y1; y2)i =
= x1y1 x2y1 x1y2 + 3 x2y2 =
= (x1y1 x2y1 x1y2 + 3x2y2) =
= h(x1; x2); (y1; y2)i .
383
h(x1; x2); (x1; x2)i = x2
1 2x1x2 + 3x2
2 = (x1 x2)2
+ (
p
2x2)2
0
e
h(x1; x2); (x1; x2)i = 0 , (x1 x2 = 0 e
p
2x2 = 0) ,
, (x1 = x2 e x2 = 0)
, (x1 = 0 e x2 = 0):
Logo:
h(x1; x2); (x1; x2)i > 0,
para todo o (x1; x2) 6= (0; 0).
Assim, a aplicação h; i : R2
R2
! R, de…nida por
h(x1; x2); (y1; y2)i = x1y1 x2y1 x1y2 + 3x2y2
é um produto interno.
(iii) Consideremos a aplicação h; i : R2
R2
! R, de…nida por
h(x1; x2); (y1; y2)i = 2x1y1 + 3x2y2,
com (x1; x2); (y1; y2) 2 R2
.
Tem-se
h(x1; x2); (y1; y2)i = x1 x2
2 0
0 3
y1
y2
:
Como os valores próprios de
2 0
0 3
não são todos positivos ( 2 e 3), logo, a aplicação
h; i não de…ne um produto interno em R2
, uma vez que a condição de positividade não é
satisfeita.
Resolução alternativa: Vejamos que a condição de positividade não é satisfeita.
h(x1; x2); (x1; x2)i = 0 , 2x2
1 + 3x2
2 = 0 , x1 =
r
3
2
jx2j .
Logo, por exemplo tem-se:
* r
3
2
; 1
!
;
r
3
2
; 1
!+
= 0 e
r
3
2
; 1
!
6= (0; 0).
Assim, a condição:
h(x1; x2); (x1; x2)i > 0, 8(x1; x2) 6= (0; 0)
não é satisfeita. Logo, a aplicação h; i : R2
R2
! R, de…nida por
h(x1; x2); (y1; y2)i = 2x1y1 + 3x2y2
não é um produto interno.
384
2. (i) Consideremos a aplicação h; i : R3
R3
! R, de…nida por
h(x1; x2; x3); (y1; y2; y3)i = x1y1 + x2y2 + x3y3,
com (x1; x2; x3); (y1; y2; y3) 2 R3
.
Tem-se
h(x1; x2; x3); (y1; y2; y3)i = x1 x2 x3
2
4
1 0 0
0 1 0
0 0 1
3
5
2
4
y1
y2
y3
3
5 .
e como
2
4
1 0 0
0 1 0
0 0 1
3
5 é simétrica e os seus valores próprios (1) são todos positivos, logo, a
aplicação h; i de…ne um produto interno em R3
.
Resolução alternativa: Para todos os (x1; x2; x3); (x
0
1; x
0
2; x
0
3)(y1; y2; y3) 2 R3
e 2 R
tem-se:
h(x1; x2; x3); (y1; y2; y3)i = x1y1 + x2y2 + x3y3 =
= y1x1 + y2x2 + y3x3 =
= h(y1; y2; y3); (x1; x2; x3)i .
D
(x1; x2; x3) + (x
0
1; x
0
2; x
0
3); (y1; y2; y3)
E
=
=
D
(x1 + x
0
1; x2 + x
0
2; x3 + x
0
3); (y1; y2; y3)
E
=
= (x1 + x
0
1)y1 + (x2 + x
0
2)y2 + (x3 + x
0
3)y3 =
= x1y1 + x
0
1y1 + x2y2 + x
0
2y2 + x3y3 + x
0
3y3 =
= x1y1 + x2y2 + x3y3 + x
0
1y1 + x
0
2y2 + x
0
3y3 =
= h(x1; x2; x3); (y1; y2; y3)i +
D
(x
0
1; x
0
2; x
0
3); (y1; y2; y3)
E
.
h (x1; x2; x3); (y1; y2; y3)i = h x1; x2; x3); (y1; y2; y3)i =
= x1y1 + x2y2 + x3y3 =
= (x1y1 + x2y2 + x3y3) =
= h(x1; x2; x3); (y1; y2; y3)i .
h(x1; x2; x3); (x1; x2; x3)i = x2
1 + x2
2 + x2
3 0
e
h(x1; x2; x3); (x1; x2; x3)i = 0 , (x1 = 0 e x2 = 0 e x3 = 0):
Logo:
h(x1; x2; x3); (x1; x2; x3)i > 0, 8(x1; x2; x3) 6= (0; 0; 0).
385
Assim, a aplicação h; i : R3
R3
! R, de…nida por
h(x1; x2; x3); (y1; y2; y3)i = x1y1 + x2y2 + x3y3
é um produto interno, o chamado produto interno usual de R3
.
(ii) Consideremos a aplicação h; i : R3
R3
! R, de…nida por
h(x1; x2; x3); (y1; y2; y3)i = x1y2 x2y1.
Tem-se
h(x1; x2; x3); (y1; y2; y3)i = x1 x2 x3
2
4
0 1 0
1 0 0
0 0 0
3
5
2
4
y1
y2
y3
3
5 .
e como
2
4
0 1 0
1 0 0
0 0 0
3
5 não é simétrica, logo, a aplicação h; i não de…ne um produto interno
em R3
.
Resolução alternativa: Por exemplo
h(1; 1; 1); (1; 0; 0)i = 1 6= 1 = h(1; 0; 0); (1; 1; 1)i .
Logo, esta aplicação h; i não é um produto interno, uma vez que a condição de simetria não
é veri…cada.
(iii) Consideremos a aplicação h; i : R3
R3
! R, de…nida por
h(x1; x2; x3); (y1; y2; y3)i = 2x1y1 + x1y3 + x3y1 + 2x2y2 + x3y3,
com (x1; x2; x3); (y1; y2; y3) 2 R3
.
Tem-se
h(x1; x2; x3); (y1; y2; y3)i = x1 x2 x3
2
4
2 0 1
0 2 0
1 0 1
3
5
2
4
y1
y2
y3
3
5 .
e como
2
4
2 0 1
0 2 0
1 0 1
3
5 é simétrica e os seus valores próprios
det
2
4
2 0 1
0 2 0
1 0 1
3
5 = (2 ) det
2 1
1 1
=
= (2 ) [(2 ) (1 ) 1] = (2 ) 2
3 + 1 =
= (2 )
3
2
p
5
2
!
3
2
+
p
5
2
!
386
(3
2
+
p
5
2
; 3
2
p
5
2
; 2 ) são todos positivos, logo, a aplicação h; i de…ne um produto interno em
R3
.
Resolução alternativa: Para todos os (x1; x2; x3); (x
0
1; x
0
2; x
0
3)(y1; y2; y3) 2 R3
e 2 R
tem-se:
h(x1; x2; x3); (y1; y2; y3)i = 2x1y1 + x1y3 + x3y1 + 2x2y2 + x3y3 =
= 2y1x1 + y3x1 + y1x3 + 2y2x2 + y3x3 =
= h(y1; y2; y3); (x1; x2; x3)i .
D
(x1; x2; x3) + (x
0
1; x
0
2; x
0
3); (y1; y2; y3)
E
=
D
(x1 + x
0
1; x2 + x
0
2; x3 + x
0
3); (y1; y2; y3)
E
=
= 2(x1 + x
0
1)y1 + (x1 + x
0
1)y3 + (x3 + x
0
3)y1 + 2(x2 + x
0
2)y2 + (x3 + x
0
3)y3 =
= 2x1y1 + 2x
0
1y1 + x1y3 + x
0
1y3 + x3y1 + x
0
3y1 + 2x2y2 + 2x
0
2y2 + x3y3 + x
0
3y3 =
= 2x1y1 + x1y3 + x3y1 + 2x2y2 + x3y3 + 2x
0
1y1 + x
0
1y3 + x
0
3y1 + 2x
0
2y2 + x
0
3y3 =
= h(x1; x2; x3); (y1; y2; y3)i +
D
(x
0
1; x
0
2; x
0
3); (y1; y2; y3)
E
.
h (x1; x2; x3); (y1; y2; y3)i = h x1; x2; x3); (y1; y2; y3)i =
= 2 x1y1 + x1y3 + x3y1 + 2 x2y2 + x3y3 =
= (2x1y1 + x1y3 + x3y1 + 2x2y2 + x3y3) =
= h(x1; x2; x3); (y1; y2; y3)i .
h(x1; x2; x3); (x1; x2; x3)i = 2x2
1 + 2x1x3 + 2x2
2 + x2
3 =
= x2
1 + (x1 + x3)2
+
p
2x2
2
0
e
h(x1; x2; x3); (x1; x2; x3)i = 0 , (x1 = 0 e x1 + x3 = 0 e
p
2x2 = 0) ,
, (x1 = 0 e x2 = 0 e x3 = 0):
Logo:
h(x1; x2; x3); (x1; x2; x3)i > 0, 8(x1; x2; x3) 6= (0; 0; 0).
Assim, a aplicação h; i : R3
R3
! R, de…nida por
h(x1; x2; x3); (y1; y2; y3)i = 2x1y1 + x1y3 + x3y1 + 2x2y2 + x3y3
é um produto interno.
3. Sejam (x1; x2); (y1; y2) 2 R2
. Consideremos a aplicação h; i : R2
R2
! R, de…nida
por
h(x1; x2); (y1; y2)i = x1 x2
3 2
2 3
y1
y2
= 3x1y1 + 2x2y1 + 2x1y2 + 3x2y2.
387
Atendendo a que a matriz
3 2
2 3
é simétrica e tem os seus valores próprios (1 e 5) todos
positivos, então esta aplicação de…ne em R2
um produto interno. Além disso, veri…ca-se
h(1; 0); (0; 1)i = 2, uma vez que
3 2
2 3
=
h(1; 0); (1; 0)i h(1; 0); (0; 1)i
h(0; 1); (1; 0)i h(0; 1); (0; 1)i
.
4. Considere os vectores u = 1p
5
; 1p
5
e v = 2p
30
; 3p
30
. Considere o produto interno
de…nido em R2
por
h(x1; x2); (y1; y2)i = 3x1y1 + 2x2y2.
Tem-se
hu; vi =
1
p
5
;
1
p
5
;
2
p
30
;
3
p
30
= 3
1
p
5
2
p
30
+ 2
1
p
5
3
p
30
= 0
e
hu; ui = 3
1
p
5
2
+ 2
1
p
5
2
= 1 e hv; vi = 3
2
p
30
2
+ 2
3
p
30
2
= 1.
Logo, o conjunto fu; vg é ortonormado relativamente ao produto interno anterior.
No entanto, relativamente ao produto interno usual h; i0
de…nido em R2
:
h(x1; x2); (y1; y2)i0
= x1y1 + x2y2,
tem-se
hu; vi0
=
1
p
150
, hu; ui0
=
2
5
e hv; vi0
=
13
30
.
Logo, o conjunto fu; vg não é ortonormado relativamente ao produto interno usual de…nido
em R2
.
5. Considere em R4
o produto interno usual.
Seja U = L (f(1; 0; 0; 0); (1; 0; 0; 1)g). Logo, o subespaço de R4
ortogonal a U é dado por:
U?
=
(x; y; z; w) 2 R4
: h(x; y; z; w); (1; 0; 0; 0)i = 0 e
h(x; y; z; w); (1; 0; 0; 1)i = 0
=
= N
1 0 0 0
1 0 0 1
= N
1 0 0 0
0 0 0 1
=
= (x; y; z; w) 2 R4
: x = 0 e w = 0 = (0; y; z; 0) 2 R4
: y; z 2 R =
= L (f(0; 1; 0; 0); (0; 0; 1; 0)g) .
Como o conjunto f(0; 1; 0; 0); (0; 0; 1; 0)g é independente e gera U?
então é uma base de
U?
e tem-se
R4
= U U?
=
388
= L (f(1; 0; 0; 0); (1; 0; 0; 1)g) L (f(0; 1; 0; 0); (0; 0; 1; 0)g) .
6. Considere em R3
o produto interno de…nido por:
h(x1; x2; x3); (y1; y2; y3)i = x1y1 + x1y2 + x2y1 + 2x2y2 + x3y3,
isto é, por
h(x1; x2; x3); (y1; y2; y3)i = x1 x2 x3
2
4
1 1 0
1 2 0
0 0 1
3
5
2
4
y1
y2
y3
3
5 .
(i) Seja u = (x1; x2; x3) 2 R3
. Tem-se
kuk =
p
h(x1; x2; x3); (x1; x2; x3)i =
q
x2
1 + 2x1x2 + 2x2
2 + x2
3.
(ii) Considere os vectores u1 = (1; 0; 0), u2 = ( 1; 1; 0) e u3 = (0; 0; 1). Tem-se
arccos
hu1; u2i
ku1k ku2k
= arccos
0
1:1
=
2
,
arccos
hu2; u3i
ku2k ku3k
= arccos
0
1:1
=
2
e
arccos
hu1; u3i
ku1k ku3k
= arccos
0
1:1
=
2
(iii) Atendendo a que
hu1; u2i = hu2; u3i = hu1; u3i = 0 e ku1k = ku2k = ku3k = 1
então o conjunto fu1; u2; u3g é uma base ortonormada de R3
.
Seja u = (x1; x2; x3) 2 R3
. Tem-se
u = hu; u1i u1 + hu; u2i u2 + hu; u3i u3 =
= (x1 + x2) u1 + x2u2 + x3u3.
Logo, as coordenadas de um vector u = (x1; x2; x3) 2 R3
em relação à base ortonormada
fu1; u2; u3g são dadas por:
x1 + x2, x2 e x3.
7. Considere R4
com o produto interno usual. Seja
U = L (f(1; 0; 1; 0); ( 1; 2; 0; 1); (2; 0; 2; 1)g) .
389
Determinemos a dimensão de U e uma base ortonormada para U. Tem-se
2
6
6
4
1 1 2
0 2 0
1 0 2
0 1 1
3
7
7
5 !
2
6
6
4
1 1 2
0 2 0
0 1 4
0 1 1
3
7
7
5 !
2
6
6
4
1 1 2
0 2 0
0 0 4
0 0 1
3
7
7
5 !
2
6
6
4
1 1 2
0 2 0
0 0 4
0 0 0
3
7
7
5 .
Logo, o conjunto fv1; v2; v3g, com v1 = (1; 0; 1; 0); v2 = ( 1; 2; 0; 1) e v3 = (2; 0; 2; 1), é uma
base de U e como tal dim U = 3.
Sejam
u1 = v1, u2 = v2 proju1
v2 e u3 = v3 proju1
v3 proju2
v3.
Logo, o conjunto fu1; u2; u3g, com u1 = (1; 0; 1; 0),
u2 = ( 1; 2; 0; 1)
1
2
(1; 0; 1; 0) =
1
2
; 2;
1
2
; 1
e
u3 = (2; 0; 2; 1)
0
2
(1; 0; 1; 0)
1
11=2
1
2
; 2;
1
2
; 1 =
= (2; 0; 2; 1) +
1
11
( 1; 4; 1; 2) =
21
11
;
4
11
;
21
11
;
13
11
é uma base ortogonal de U. Uma base ortonormada para U:
u1
ku1k
;
u2
ku2k
;
u3
ku3k
=
=
( p
2
2
; 0;
p
2
2
; 0
!
;
p
22
22
;
2
p
22
11
;
p
22
22
;
p
22
11
!
;
21
p
1067
;
4
p
1067
;
21
p
1067
;
13
p
1067
)
:
8. (i) O conjunto f(0; 1; 1); (0; 0; 1)g gera U e é linearmente independente logo é uma
base de U. Atendendo ao método de ortogonalização de Gram-Schmidt, uma base ortogonal
para U é: fu1; u2g em que u1 = (0; 1; 1) e
u2 = (0; 0; 1) Proj
(0;1;1)
(0; 0; 1) = (0; 0; 1)
h(0; 0; 1); (0; 1; 1)i
k(0; 1; 1)k2 (0; 1; 1) =
= (0; 0; 1)
1
2
(0; 1; 1) = 0;
1
2
;
1
2
.
Assim uma base ortogonal para U é: (0; 1; 1); 0; 1
2
; 1
2
.
Tem-se
V = (x; y; z) 2 R3
: y z = 0 = f(x; y; y) : x; y 2 Rg = L (f(1; 0; 0); (0; 1; 1)g) :
Atendendo a que h(1; 0; 0); (0; 1; 1)i = 0, uma base ortonormada para V é:
390
(1; 0; 0)
k(1; 0; 0)k
;
(0; 1; 1)
k(0; 1; 1)k
=
(
(1; 0; 0); 0;
p
2
2
;
p
2
2
!)
:
(ii) Como
U?
= L (0; 1; 1); 0;
1
2
;
1
2
?
= L (f(1; 0; 0)g) ;
uma base ortonormada para R3
que inclui dois vectores geradores de U é:
(
(1; 0; 0); 0;
p
2
2
;
p
2
2
!
; 0;
p
2
2
;
p
2
2
!)
:
Como
V ?
= (x; y; z) 2 R3
: y z = 0
?
= (x; y; z) 2 R3
: h(x; y; z); (0; 1; 1)i = 0
?
=
= (L (f(0; 1; 1)g))?
?
= L (f(0; 1; 1)g) ;
e atendendo à alínea anterior, uma base ortonormada para R3
que inclui dois vectores ger-
adores de V é: (
(1; 0; 0); 0;
p
2
2
;
p
2
2
!
; 0;
p
2
2
;
p
2
2
!)
:
(iii) O elemento de U mais próximo de (1; 1; 1) é:
PU (1; 1; 1) = (1; 1; 1) PU? (1; 1; 1) =
= (1; 1; 1) h(1; 1; 1); (1; 0; 0)i (1; 0; 0) = (0; 1; 1):
A distância entre (1; 1; 1) e V ?
é:
d (1; 1; 1); V ?
= kPV (1; 1; 1)k =
(1;1;1)2V
k(1; 1; 1)k =
p
3
9. Seja A =
2
4
1 0 2
0 0 0
2 0 1
3
5 e considere o produto interno usual. Sejam N (A), C (A) e
L (A) respectivamente o núcleo, espaço das colunas e espaço das linhas de A.
(i) O conjunto f(1; 0; 2); (2; 0; 1)g é uma base para C (A) pois gera C (A) e é linearmente
independente.
391
O conjunto f(1; 0; 2); (2; 0; 1); (0; 1; 0)g é uma base para R3
. Como (2; 0; 1) e (0; 1; 0) são
ortogonais, basta aplicar Gram-Schmidt a (1; 0; 2):
(1; 0; 2) P(2;0;1)(1; 0; 2) P(0;1;0)(1; 0; 2) =
= (1; 0; 2)
h(1; 0; 2); (2; 0; 1)i
k(2; 0; 1)k2 (2; 0; 1)
h(1; 0; 2); (0; 1; 0)i
k(0; 1; 0)k2 (0; 1; 0) =
= (1; 0; 2)
4
5
(2; 0; 1) =
3
5
; 0;
6
5
.
Logo, o conjunto
(
(2; 0; 1)
k(2; 0; 1)k
;
(0; 1; 0)
k(0; 1; 0)k
;
3
5
; 0; 6
5
3
5
; 0; 6
5
)
=
(
2
p
5
5
; 0;
p
5
5
!
; (0; 1; 0);
p
5
5
; 0;
2
p
5
5
!)
é uma base ortonormada para R3
que inclui dois vectores de C (A): 2
p
5
5
; 0;
p
5
5
e
p
5
5
; 0; 2
p
5
5
.
(ii) O elemento de L (A) mais próximo de (1; 1; 1) é:
PL(A)(1; 1; 1) = (1; 1; 1) PN(A)(1; 1; 1) =
N(A)=L(f(0;1;0)g)
= (1; 1; 1)
h(1; 1; 1); (0; 1; 0)i
k(0; 1; 0)k2 (0; 1; 0) =
= (1; 1; 1) (0; 1; 0) = (1; 0; 1).
A distância entre (1; 1; 1) e N (A) é:
d ((1; 1; 1); N (A)) = P(N(A))? (1; 1; 1) = PL(A)(1; 1; 1) = k(1; 0; 1)k =
p
2:
10. Seja A =
2
4
1 0 1
0 2 0
1 0 1
3
5 e considere o produto interno usual. Sejam N (A), C (A) e
L (A) respectivamente o núcleo, espaço das colunas e espaço das linhas de A.
(i) Tem-se (N (A))?
= L (A). O conjunto f(1; 0; 1); (0; 2; 0)g é uma base para N (A) pois
gera N (A) e é linearmente independente. Como h(1; 0; 1); (0; 2; 0)i = 0, os vectores (1; 0; 1)
e (0; 2; 0) são ortogonais. Logo, o conjunto
(1; 0; 1)
k(1; 0; 1)k
;
(0; 2; 0)
k(0; 2; 0)k
=
( p
2
2
; 0;
p
2
2
!
; (0; 1; 0)
)
é uma base ortonormada para (N (A))?
.
392
(ii) O conjunto f(1; 0; 1); (0; 2; 0)g é uma base para C (A) pois gera C (A) e é linearmente
independente.
O conjunto f(1; 0; 1); (0; 2; 0); (0; 0; 1)g é uma base para R3
. Como (1; 0; 1) e (0; 2; 0) são
ortogonais, basta aplicar Gram-Schmidt a (0; 0; 1):
(0; 0; 1) P(1;0;1)(0; 0; 1) P(0;2;0)(0; 0; 1) =
= (0; 0; 1)
h(0; 0; 1); (1; 0; 1)i
k(1; 0; 1)k2 (1; 0; 1)
h(0; 0; 1); (0; 2; 0)i
k(0; 2; 0)k2 (0; 2; 0) =
= (0; 0; 1)
1
2
(1; 0; 1) =
1
2
; 0;
1
2
.
Logo, o conjunto
(
(1; 0; 1)
k(1; 0; 1)k
;
(0; 2; 0)
k(0; 2; 0)k
;
1
2
; 0; 1
2
1
2
; 0; 1
2
)
=
( p
2
2
; 0;
p
2
2
!
; (0; 1; 0);
p
2
2
; 0;
p
2
2
!)
é uma base ortonormada para R3
que inclui dois vectores de C (A):
p
2
2
; 0;
p
2
2
e (0; 1; 0).
(iii) O elemento de L (A) mais próximo de (1; 2; 3) é:
PL(A)(1; 2; 3) = (1; 2; 3) PN(A)(1; 2; 3) =
N(A)=L(f( 1;0;1)g)
= (1; 2; 3)
h(1; 2; 3); ( 1; 0; 1)i
k( 1; 0; 1)k2 ( 1; 0; 1) =
= (1; 2; 3) ( 1; 0; 1) = (2; 2; 2).
A distância entre (1; 2; 3) e L (A)?
é:
d (1; 2; 3); (L (A))?
= PL(A)(1; 2; 3) = k(2; 2; 2)k = 2
p
3:
11. Seja U = L (f(1; 1; 1; 0); (0; 1; 1; 1)g). Seja (x; y; z; w) 2 U. Então existem x; y 2 R
tais que
(x; y; z; w) = x(1; 1; 1; 0) + y(0; 1; 1; 1):
Deste modo, o seguinte sistema (nas variáveis x e y) tem que ser possível e determinado:
8
>><
>>:
x = x
x + y = y
x + y = z
y = w
Considerando então a matriz aumentada deste sistema, tem-se:
2
6
6
4
1 0 j x
1 1 j y
1 1 j z
0 1 j w
3
7
7
5 !
L1+L2!L2
L1+L3!L3
2
6
6
4
2
6
6
4
1 0 j x
0 1 j y x
0 1 j z x
0 1 j w
3
7
7
5
3
7
7
5 !
L2+L3!L3
L2+L4!L4
2
6
6
4
2
6
6
4
1 0 j x
0 1 j y x
0 0 j z y
0 0 j x y + w
3
7
7
5
3
7
7
5 .
393
Logo, para que o sistema anterior seja possível e determinado, é preciso que se tenha z y = 0
e x y + w = 0.
Assim, U = f(x; y; z; w) 2 R4
: x y + w = 0 e z y = 0g, isto é,
U = N(A), com A =
1 1 0 1
0 1 1 0
.
12. Seja B = f(1; 0); (1; 1)g uma base de R2
. Vamos de…nir um produto interno em R2
em relação ao qual a base B é ortonormada.
Seja B2
c = f(1; 0); (0; 1)g a base canónica de R2
. A matriz de mudança de base de B2
c
para B é dada por
SB2
c !B = SB!B2
c
1
=
1 1
0 1
1
=
1 1
0 1
.
Sejam u; v 2 R2
. Tem-se
u = (x1; x2) e v = (y1; y2) ,
onde x1; x2 e y1; y2 são as coordenadas na base B2
c de u e v respectivamente. Seja S = SB2
c !B.
Logo, tem-se a aplicação h; i : R2
R2
de…nida por
hu; vi = (Su)T
G (Sv) , com G =
hv1; v1i hv1; v2i
hv2; v1i hv2; v2i
=
1 0
0 1
,
ou seja,
h(x1; x2) ; (y1; y2)i =
1 1
0 1
x1
x2
T
1 0
0 1
1 1
0 1
y1
y2
=
= x1y1 + x1y2 + x2y1 + 2x2y2.
Como
h(x1; x2) ; (y1; y2)i = x1y1 + x1y2 + x2y1 + 2x2y2 = x1 x2
1 1
1 2
y1
y2
e a matriz
1 1
1 2
é simétrica, sendo os seus valores próprios (1
2
p
5+ 3
2
e 3
2
1
2
p
5) positivos,
então a expressão
h(x1; x2) ; (y1; y2)i = x1y1 + x1y2 + x2y1 + 2x2y2
de…ne um produto interno em R2
. Além disso, é fácil veri…car que para este produto interno
a base B = f(1; 0); (1; 1)g é ortonormada:
h(1; 0) ; (1; 1)i = 0 e h(1; 0) ; (1; 0)i = h(1; 1) ; (1; 1)i = 1.
13. Considere a aplicação h; i : R3
R3
! R de…nida por
h(x1; x2; x3); (y1; y2; y3)i = x1y1 x1y2 x2y1 + 4x2y2 + x3y3.
394
(i) Tem-se
h(x1; x2; x3); (y1; y2; y3)i = x1 x2 x3
2
4
1 1 0
1 4 0
0 0 1
3
5
2
4
y1
y2
y3
3
5 .
Como
2
4
1 1 0
1 4 0
0 0 1
3
5 é simétrica e os seus valores próprios (5+
p
13
2
e 5
p
13
2
) são todos
positivos, logo, a aplicação h; i de…ne um produto interno em R3
.
(ii) Seja V = L (f(3; 4; 0)g) R3
. Uma base ortonormada para V :
(3; 4; 0)
k(3; 4; 0)k
=
(3; 4; 0)
7
=
3
7
;
4
7
; 0
O ponto de V mais próximo de (0; 1; 0) é
PV (0; 1; 0) = (0; 1; 0);
3
7
;
4
7
; 0
3
7
;
4
7
; 0 =
13
7
3
7
;
4
7
; 0 =
39
49
;
52
49
; 0 .
Nota. Em alternativa, como dim V = 1,
PV (0; 1; 0) = proj(3;4;0)(0; 1; 0) =
h(0; 1; 0); (3; 4; 0)i
k(3; 4; 0)k2 (3; 4; 0) =
13
49
(3; 4; 0) =
39
49
;
52
49
; 0 .
(iii) Tem-se
V ?
= (x; y; z) 2 R3
: h(x; y; z); (3; 4; 0)i = 0 =
= (x; y; z) 2 R3
: 3x 4x 3y + 16y = 0 =
= (x; y; z) 2 R3
: x + 13y = 0 =
= (13y; y; z) 2 R3
: y; z 2 R =
= L (f(13; 1; 0); (0; 0; 1)g) .
Como o conjunto fv1; v2g, com v1 = (13; 1; 0) e v2 = (0; 0; 1), é independente e gera V ?
então
é uma base de V ?
. Sejam
u1 = v1 e u2 = v2 proju1
v2.
Logo, o conjunto fu1; u2g, com u1 = (13; 1; 0) e u2 = (0; 0; 1) 0(13; 1; 0) = (0; 0; 1), é uma
base ortogonal de V ?
.
(iv) Seja
B =
3
7
;
4
7
; 0 ;
13
p
147
;
1
p
147
; 0 ; (0; 0; 1) :
395
Como
13
p
147
;
1
p
147
; 0 ; (0; 0; 1)
é uma base ortonormada para V ?
, então B é uma base ortonormada de R3
. Atendendo a
que
PV
3
7
;
4
7
; 0 =
3
7
;
4
7
; 0 ;
3
7
;
4
7
; 0
3
7
;
4
7
; 0 =
=
3
7
;
4
7
; 0
2
3
7
;
4
7
; 0 =
3
7
;
4
7
; 0 =
= 1
3
7
;
4
7
; 0 + 0
13
p
147
;
1
p
147
; 0 + 0(0; 0; 1),
PV
13
p
147
;
1
p
147
; 0 =
13
p
147
;
1
p
147
; 0 ;
3
7
;
4
7
; 0
3
7
;
4
7
; 0 =
= 0
3
7
;
4
7
; 0 = (0; 0; 0) =
= 0
3
7
;
4
7
; 0 + 0
13
p
147
;
1
p
147
; 0 + 0(0; 0; 1)
e
PV (0; 0; 1) = (0; 0; 1);
3
7
;
4
7
; 0
3
7
;
4
7
; 0 =
= 0
3
7
;
4
7
; 0 = (0; 0; 0) =
= 0
3
7
;
4
7
; 0 + 0
13
p
147
;
1
p
147
; 0 + 0(0; 0; 1),
a matriz que representa PV em relação à base B é dada por:
2
4
1 0 0
0 0 0
0 0 0
3
5 .
14. Consideremos em R3
o produto interno usual. Seja U = L (0; 1; 0); 4
5
; 0; 3
5
.
Tem-se
U?
= N
0 1 0
4=5 0 3=5
= N
0 1 0
4 0 3
= L (f(3; 0; 4)g) .
Logo,
PU? (1; 2; 3) =
h(1; 2; 3); (3; 0; 4)i
k(3; 0; 4)k2 (3; 0; 4) =
9
5
; 0;
12
5
396
e assim
PU (1; 2; 3) = (1; 2; 3) PU? (1; 2; 3) = (1; 2; 3)
9
5
; 0;
12
5
=
4
5
; 2;
3
5
.
Deste modo,
(1; 2; 3) =
4
5
; 2;
3
5
+
9
5
; 0;
12
5
,
com 4
5
; 2; 3
5
2 U e 9
5
; 0; 12
5
2 U?
.
15. Considere R4
com o produto interno usual.
(i) Seja U = L (f(1; 0; 0; 0); (1; 1; 0; 1)g). Logo,
U?
= (x; y; z; w) 2 R4
: h(x; y; z; w); (1; 0; 0; 0)i = 0 e h(x; y; z; w); (1; 1; 0; 1)i = 0 .
Tem-se então: 8
<
:
x = 0
x + y + w = 0
,
8
<
:
x = 0
y = w.
Logo,
U?
= (0; w; z; w) 2 R4
: z; w 2 R = L (f(0; 1; 0; 1); (0; 0; 1; 0)g) .
Como
h(0; 1; 0; 1); (0; 0; 1; 0)i = 0
então o conjunto f(0; 1; 0; 1); (0; 0; 1; 0)g é uma base ortogonal de U?
.
(ii) Seja U = L (f(1; 0; 1; 1)g). Logo,
U?
= (x; y; z; w) 2 R4
: h(x; y; z; w); (1; 0; 1; 1)i = 0 .
Tem-se então:
x + z + w = 0 , x = z w.
Logo,
U?
= ( z w; y; z; w) 2 R4
: y; z; w 2 R = L (f(0; 1; 0; 0); ( 1; 0; 1; 0); ( 1; 0; 0; 1)g) ,
pois
( z w; y; z; w) = y(0; 1; 0; 0) + z( 1; 0; 1; 0) + w( 1; 0; 0; 1).
Como o conjunto f(0; 1; 0; 0); ( 1; 0; 1; 0); ( 1; 0; 0; 1)g é independente (basta colocar esses
três vectores como linhas ou como colunas de uma matriz e aplicar de seguida o método de
eliminação de Gauss obtendo-se uma matriz em escada de linhas) e gera U?
então é uma
base de U?
.
Como (0; 1; 0; 0) e ( 1; 0; 1; 0) são ortogonais, basta aplicar Gram-Schmidt a ( 1; 0; 0; 1):
( 1; 0; 0; 1) P(0;1;0;0)( 1; 0; 0; 1) P( 1;0;1;0)( 1; 0; 0; 1) =
397
= ( 1; 0; 0; 1)
h( 1; 0; 0; 1); (0; 1; 0; 0)i
k(0; 1; 0; 0)k2 (0; 1; 0; 0)
h( 1; 0; 0; 1); ( 1; 0; 1; 0)i
k( 1; 0; 1; 0)k2 ( 1; 0; 1; 0) =
= ( 1; 0; 0; 1)
1
2
( 1; 0; 1; 0) =
1
2
; 0;
1
2
; 1 .
Logo, o conjunto
(0; 1; 0; 0); ( 1; 0; 1; 0);
1
2
; 0;
1
2
; 1
é uma base ortogonal de U?
.
(iii) Seja U = f(x; y; z; w) 2 R4
: x + 2y + z + 2w = 0g. Logo, atendendo a que o pro-
duto interno é o usual (de R4
), Tem-se:
U = (x; y; z; w) 2 R4
: h(x; y; z; w); (1; 2; 1; 2)i = 0 = (L (f(1; 2; 1; 2)g))?
.
Assim,
U?
= (L (f(1; 2; 1; 2)g))??
= L (f(1; 2; 1; 2)g) .
Logo, o conjunto f(1; 2; 1; 2)g é uma base ortogonal de U?
.
(iv) Seja U = f(x; y; z; w) 2 R4
: x z = 0 e 2x y + 2z w = 0g. Logo, atendendo
a que o produto interno é o usual (de R4
), Tem-se:
U = (x; y; z; w) 2 R4
: h(x; y; z; w); (1; 0; 1; 0)i = 0 e h(x; y; z; w); (2; 1; 2; 1)i = 0
= (L (f(1; 0; 1; 0); (2; 1; 2; 1)g))?
.
Assim,
U?
= (L (f(1; 0; 1; 0); (2; 1; 2; 1)g))??
= L (f(1; 0; 1; 0); (2; 1; 2; 1)g) .
Como
h(1; 0; 1; 0); (2; 1; 2; 1)i = 0
então o conjunto f(1; 0; 1; 0); (2; 1; 2; 1)g é uma base ortogonal de U?
.
16. Considere R3
com o produto interno usual. Considere também o seguinte subespaço
de R3
:
U = L (f(1; 1; 1); (1; 0; 0)g) .
(i) Aplicando o método de ortogonalização de Gram-Schmidt, sejam
v1 = (1; 1; 1) e v2 = (1; 0; 0) proj(1;1;1)(1; 0; 0).
398
Tem-se então:
v2 = (1; 0; 0) proj(1;1;1)(1; 0; 0)
= (1; 0; 0)
h(1; 0; 0); (1; 1; 1)i
k(1; 1; 1)k2 (1; 1; 1)
= (1; 0; 0)
1
3
(1; 1; 1)
=
2
3
;
1
3
;
1
3
.
Logo, o conjunto
(1; 1; 1);
2
3
;
1
3
;
1
3
é uma base ortogonal de U.
(ii) Como o conjunto (1; 1; 1); 2
3
; 1
3
; 1
3
é uma base ortogonal de U, então
k(1; 1; 1)k =
p
3 e
2
3
;
1
3
;
1
3
=
p
6
3
,
então o conjunto
(
(1; 1; 1)
k(1; 1; 1)k
;
2
3
; 1
3
; 1
3
2
3
; 1
3
; 1
3
)
=
( p
3
3
;
p
3
3
;
p
3
3
!
;
p
6
3
;
p
6
6
;
p
6
6
!)
é uma base ortonormada de U.
Por outro lado, tem-se:
U?
= (x; y; z) 2 R3
: h(x; y; z); (1; 1; 1)i = 0 e h(x; y; z); (1; 0; 0)i = 0 =
= N
1 1 1
1 0 0
= N
0 1 1
1 0 0
.
Logo, 8
<
:
y + z = 0
x = 0
,
8
<
:
y = z
x = 0.
Assim,
U?
= (0; z; z) 2 R3
: z 2 R = L (f(0; 1; 1)g) .
Como
k(0; 1; 1)k =
p
2,
então o conjunto
0;
1
p
2
;
1
p
2
=
(
0;
p
2
2
;
p
2
2
!)
é uma base ortonormada de U?
.
399
Deste modo, uma vez que se tem
R3
= U U?
,
então
(3; 2; 1) = PU (3; 2; 1) + PU? (3; 2; 1) =
=
*
(3; 2; 1);
p
3
3
;
p
3
3
;
p
3
3
!+ p
3
3
;
p
3
3
;
p
3
3
!
+
+
*
(3; 2; 1);
p
6
3
;
p
6
6
;
p
6
6
!+ p
6
3
;
p
6
6
;
p
6
6
!
+
+
*
(3; 2; 1); 0;
p
2
2
;
p
2
2
!+
0;
p
2
2
;
p
2
2
!
=
= 3;
3
2
;
3
2
| {z }
2U
+ 0;
1
2
;
1
2
| {z }
2U?
.
Isto é,
(3; 2; 1) = 3;
3
2
;
3
2
| {z }
2U
+ 0;
1
2
;
1
2
| {z }
2U?
.
(iii) A distância entre o ponto (1; 0; 1) e o plano f(1; 1; 0)g + U é dada por:
d((1; 0; 1); f(1; 1; 0)g+U) = kPU? ((1; 0; 1) (1; 1; 0))k = kPU? (0; 1; 1)k =
(0; 1;1)2U?
k(0; 1; 1)k =
p
2.
(iv) A distância entre o ponto (x; y; z) e o subespaço U é dada por:
d((x; y; z); U) = kPU? ((x; y; z) (0; 0; 0))k = kPU? (x; y; z)k
=
*
(x; y; z); 0;
p
2
2
;
p
2
2
!+
0;
p
2
2
;
p
2
2
!
= j y + zj
p
2
2
.
17. Considere R4
com o produto interno usual. Considere também o seguinte subespaço
de R4
:
U = (x; y; z; w) 2 R4
: x y + z = 0 e y z + w = 0 .
(i) Tem-se então
U = (y z; y; z; z y) 2 R4
: y; z 2 R = L(f(1; 1; 0; 1); ( 1; 0; 1; 1)g).
400
Aplicando o método de ortogonalização de Gram-Schmidt, sejam
v1 = (1; 1; 0; 1) e v2 = ( 1; 0; 1; 1) proj(1;1;0; 1)( 1; 0; 1; 1).
Tem-se então:
v2 = ( 1; 0; 1; 1) proj(1;1;0; 1)( 1; 0; 1; 1)
= ( 1; 0; 1; 1)
h( 1; 0; 1; 1); (1; 1; 0; 1)i
k(1; 1; 0; 1)k2 (1; 1; 0; 1)
= ( 1; 0; 1; 1) +
2
3
(1; 1; 0; 1)
=
1
3
;
2
3
; 1;
1
3
.
Logo, o conjunto
(1; 1; 0; 1);
1
3
;
2
3
; 1;
1
3
é uma base ortogonal de U. Como
k(1; 1; 0; 1)k =
p
3 e
1
3
;
2
3
; 1;
1
3
=
p
15
3
,
então o conjunto
( p
3
3
;
p
3
3
; 0;
p
3
3
!
;
p
15
15
;
2
p
15
15
;
3
p
15
15
;
p
15
15
!)
é uma base ortonormada de U.
(ii) Como
U = (x; y; z; w) 2 R4
: x y + z = 0 e y z + w = 0
e atendendo ao produto interno usual de R4
, Tem-se:
U = (x; y; z; w) 2 R4
: h(x; y; z; w); (1; 1; 1; 0)i = 0 e h(x; y; z; w); (0; 1; 1; 1)i = 0
= (L (f(1; 1; 1; 0) ; (0; 1; 1; 1)g))?
.
Logo,
U?
= (L (f(1; 1; 1; 0) ; (0; 1; 1; 1)g))??
= L (f(1; 1; 1; 0) ; (0; 1; 1; 1)g) .
Aplicando o método de ortogonalização de Gram-Schmidt, sejam
v1 = (1; 1; 1; 0) e v2 = (0; 1; 1; 1) proj(1; 1;1;0) (0; 1; 1; 1) .
401
Tem-se então:
v2 = (0; 1; 1; 1) proj(1; 1;1;0) (0; 1; 1; 1)
= (0; 1; 1; 1)
h(0; 1; 1; 1) ; (1; 1; 1; 0)i
k(1; 1; 1; 0)k2 (1; 1; 1; 0)
= (0; 1; 1; 1) +
2
3
(1; 1; 1; 0)
=
2
3
;
1
3
;
1
3
; 1 .
Logo, o conjunto
(1; 1; 1; 0) ;
2
3
;
1
3
;
1
3
; 1
é uma base ortogonal de U?
. Como
k(1; 1; 1; 0)k =
p
3 e
2
3
;
1
3
;
1
3
; 1 =
p
15
3
,
então o conjunto
( p
3
3
;
p
3
3
;
p
3
3
; 0
!
;
2
p
15
15
;
p
15
15
;
p
15
15
;
p
15
5
!)
é uma base ortonormada de U?
.
(iii) A projecção ortogonal PU de R4
sobre U é de…nida por:
PU : R4
! R4
(x; y; z; w) !
*
(x; y; z; w);
p
3
3
;
p
3
3
; 0;
p
3
3
!+ p
3
3
;
p
3
3
; 0;
p
3
3
!
+
+
*
(x; y; z; w);
p
15
15
;
2
p
15
15
;
3
p
15
15
;
p
15
15
!+ p
15
15
;
2
p
15
15
;
3
p
15
15
;
p
15
15
!
,
uma vez que o conjunto
( p
3
3
;
p
3
3
; 0;
p
3
3
!
;
p
15
15
;
2
p
15
15
;
3
p
15
15
;
p
15
15
!)
é uma base ortonormada de U. Logo, a projecção ortogonal de (0; 0; 1; 0) sobre U é dada
por:
PU (0; 0; 1; 0) =
*
(0; 0; 1; 0);
p
3
3
;
p
3
3
; 0;
p
3
3
!+ p
3
3
;
p
3
3
; 0;
p
3
3
!
+
+
*
(0; 0; 1; 0);
p
15
15
;
2
p
15
15
;
3
p
15
15
;
p
15
15
!+ p
15
15
;
2
p
15
15
;
3
p
15
15
;
p
15
15
!
=
1
5
;
2
5
;
3
5
;
1
5
:
402
A projecção ortogonal PU? de R4
sobre U?
é de…nida por:
PU? : R4
! R4
(x; y; z; w) !
*
(x; y; z; w);
p
3
3
;
p
3
3
;
p
3
3
; 0
!+ p
3
3
;
p
3
3
;
p
3
3
; 0
!
+
+
*
(x; y; z; w);
2
p
15
15
;
p
15
15
;
p
15
15
;
p
15
5
!+
2
p
15
15
;
p
15
15
;
p
15
15
;
p
15
5
!
,
uma vez que o conjunto
( p
3
3
;
p
3
3
;
p
3
3
; 0
!
;
2
p
15
15
;
p
15
15
;
p
15
15
;
p
15
5
!)
é uma base ortonormada de U?
. Logo, a projecção ortogonal de (0; 0; 1; 0) sobre U?
é dada
por:
PU? (0; 0; 1; 0) =
*
(0; 0; 1; 0);
p
3
3
;
p
3
3
;
p
3
3
; 0
!+ p
3
3
;
p
3
3
;
p
3
3
; 0
!
+
+
*
(0; 0; 1; 0);
2
p
15
15
;
p
15
15
;
p
15
15
;
p
15
5
!+
2
p
15
15
;
p
15
15
;
p
15
15
;
p
15
5
!
=
1
3
;
1
3
;
1
3
; 0 +
2
15
;
1
15
;
1
15
;
1
5
=
1
5
;
2
5
;
2
5
;
1
5
:
Nota muito importante: Uma vez que se tem
R4
= U U?
,
então para todo o (x; y; z; w) 2 R4
,
(x; y; z; w) = PU (x; y; z; w) + PU? (x; y; z; w).
Logo, uma vez calculado PU (0; 0; 1; 0) pela de…nição, como se fêz atrás, obtendo-se PU (0; 0; 1; 0) =
1
5
; 2
5
; 3
5
; 1
5
, então não precisamos de efectuar o cálculo de PU? (0; 0; 1; 0) pela de…nição.
Basta efectuar:
PU? (0; 0; 1; 0) = (0; 0; 1; 0) PU (0; 0; 1; 0)
= (0; 0; 1; 0)
1
5
;
2
5
;
3
5
;
1
5
=
1
5
;
2
5
;
2
5
;
1
5
.
(iv) Seja B4
c = f(1; 0; 0; 0); (0; 1; 0; 0); (0; 0; 1; 0); (0; 0; 0; 1)g a base canónica de R4
. Tem-
se:
PU (1; 0; 0; 0) =
*
(1; 0; 0; 0);
p
3
3
;
p
3
3
; 0;
p
3
3
!+ p
3
3
;
p
3
3
; 0;
p
3
3
!
+
*
(1; 0; 0; 0);
p
15
15
;
2
p
15
15
;
3
p
15
15
;
p
15
15
!+ p
15
15
;
2
p
15
15
;
3
p
15
15
;
p
15
15
!
=
1
3
;
1
3
; 0;
1
3
+
1
15
;
2
15
;
3
15
;
1
15
=
2
5
;
1
5
;
1
5
;
2
5
.
403
PU (0; 1; 0; 0) =
*
(0; 1; 0; 0);
p
3
3
;
p
3
3
; 0;
p
3
3
!+ p
3
3
;
p
3
3
; 0;
p
3
3
!
+
*
(0; 1; 0; 0);
p
15
15
;
2
p
15
15
;
3
p
15
15
;
p
15
15
!+ p
15
15
;
2
p
15
15
;
3
p
15
15
;
p
15
15
!
=
1
3
;
1
3
; 0;
1
3
+
2
15
;
4
15
;
6
15
;
2
15
=
1
5
;
3
5
;
2
5
;
1
5
.
PU (0; 0; 1; 0) =
*
(0; 0; 1; 0);
p
3
3
;
p
3
3
; 0;
p
3
3
!+ p
3
3
;
p
3
3
; 0;
p
3
3
!
+
*
(0; 0; 1; 0);
p
15
15
;
2
p
15
15
;
3
p
15
15
;
p
15
15
!+ p
15
15
;
2
p
15
15
;
3
p
15
15
;
p
15
15
!
=
1
5
;
2
5
;
3
5
;
1
5
.
PU (0; 0; 0; 1) =
*
(0; 0; 0; 1);
p
3
3
;
p
3
3
; 0;
p
3
3
!+ p
3
3
;
p
3
3
; 0;
p
3
3
!
+
*
(0; 0; 0; 1);
p
15
15
;
2
p
15
15
;
3
p
15
15
;
p
15
15
!+ p
15
15
;
2
p
15
15
;
3
p
15
15
;
p
15
15
!
=
1
3
;
1
3
; 0;
1
3
+
1
15
;
2
15
;
3
15
;
1
15
=
2
5
;
1
5
;
1
5
;
2
5
.
Logo, a representação matricial de PU : R4
! R4
em relação à base canónica de R4
, é dada
por:
M(PU ; B4
c ; B4
c ) =
2
6
6
4
2=5 1=5 1=5 2=5
1=5 3=5 2=5 1=5
1=5 2=5 3=5 1=5
2=5 1=5 1=5 2=5
3
7
7
5 .
Tem-se:
PU? (1; 0; 0; 0) =
*
(1; 0; 0; 0);
p
3
3
;
p
3
3
;
p
3
3
; 0
!+ p
3
3
;
p
3
3
;
p
3
3
; 0
!
+
*
(1; 0; 0; 0);
2
p
15
15
;
p
15
15
;
p
15
15
;
p
15
5
!+
2
p
15
15
;
p
15
15
;
p
15
15
;
p
15
5
!
=
1
3
;
1
3
;
1
3
; 0 +
4
15
;
2
15
;
2
15
;
2
5
=
3
5
;
1
5
;
1
5
;
2
5
.
PU? (0; 1; 0; 0) =
*
(0; 1; 0; 0);
p
3
3
;
p
3
3
;
p
3
3
; 0
!+ p
3
3
;
p
3
3
;
p
3
3
; 0
!
+
*
(0; 1; 0; 0);
2
p
15
15
;
p
15
15
;
p
15
15
;
p
15
5
!+
2
p
15
15
;
p
15
15
;
p
15
15
;
p
15
5
!
=
1
3
;
1
3
;
1
3
; 0 +
2
15
;
1
15
;
1
15
;
1
5
=
1
5
;
2
5
;
2
5
;
1
5
.
404
PU? (0; 0; 1; 0) =
*
(0; 0; 1; 0);
p
3
3
;
p
3
3
;
p
3
3
; 0
!+ p
3
3
;
p
3
3
;
p
3
3
; 0
!
+
*
(0; 0; 1; 0);
2
p
15
15
;
p
15
15
;
p
15
15
;
p
15
5
!+
2
p
15
15
;
p
15
15
;
p
15
15
;
p
15
5
!
=
1
3
;
1
3
;
1
3
; 0 +
2
15
;
1
15
;
1
15
;
1
5
=
1
5
;
2
5
;
2
5
;
1
5
.
PU? (0; 0; 0; 1) =
*
(0; 0; 0; 1);
p
3
3
;
p
3
3
;
p
3
3
; 0
!+ p
3
3
;
p
3
3
;
p
3
3
; 0
!
+
*
(0; 0; 0; 1);
2
p
15
15
;
p
15
15
;
p
15
15
;
p
15
5
!+
2
p
15
15
;
p
15
15
;
p
15
15
;
p
15
5
!
=
2
5
;
1
5
;
1
5
;
3
5
.
Logo, a representação matricial de PU? : R4
! R4
em relação à base canónica de R4
, é dada
por:
M(PU? ; B4
c ; B4
c ) =
2
6
6
4
3=5 1=5 1=5 2=5
1=5 2=5 2=5 1=5
1=5 2=5 2=5 1=5
2=5 1=5 1=5 3=5
3
7
7
5 .
(v) Escolhendo um ponto de U, por exemplo (0; 0; 0; 0), a distância entre (0; 0; 1; 0) e U
é dada por:
d((0; 0; 1; 0); U) = kPU? ((0; 0; 1; 0) (0; 0; 0; 0))k = kPU? (0; 0; 1; 0)k =
=
*
(0; 0; 1; 0);
p
3
3
;
p
3
3
;
p
3
3
; 0
!+ p
3
3
;
p
3
3
;
p
3
3
; 0
!
+
+
*
(0; 0; 1; 0);
2
p
15
15
;
p
15
15
;
p
15
15
;
p
15
5
!+
2
p
15
15
;
p
15
15
;
p
15
15
;
p
15
5
!
=
1
3
;
1
3
;
1
3
; 0 +
2
15
;
1
15
;
1
15
;
1
5
=
1
5
;
2
5
;
2
5
;
1
5
=
p
10
5
.
(vi) A distância entre (x; y; z; w) e U é dada por:
d((x; y; z; w); U) = kPU? ((x; y; z; w) (0; 0; 0; 0))k = kPU? (x; y; z; w)k =
=
*
(x; y; z; w);
p
3
3
;
p
3
3
;
p
3
3
; 0
!+ p
3
3
;
p
3
3
;
p
3
3
; 0
!
+
+
*
(x; y; z; w);
2
p
15
15
;
p
15
15
;
p
15
15
;
p
15
5
!+
2
p
15
15
;
p
15
15
;
p
15
15
;
p
15
5
!
=
405
= x
p
3
3
y
p
3
3
+ z
p
3
3
! p
3
3
;
p
3
3
;
p
3
3
; 0
!
+
+ x
2
p
15
15
+ y
p
15
15
z
p
15
15
+ w
p
15
5
!
2
p
15
15
;
p
15
15
;
p
15
15
;
p
15
5
!
=
=
2
5
w +
3
5
x
1
5
y +
1
5
z;
1
5
w
1
5
x +
2
5
y
2
5
z;
1
5
x
1
5
w
2
5
y +
2
5
z;
3
5
w +
2
5
x +
1
5
y
1
5
z =
=
1
5
q
(2w + 3x y + z)2
+ (w x + 2y 2z)2
+ (x w 2y + 2z)2
+ (3w + 2x + y z)2
.
18. Em P2:
hp(t); q(t)i = p( 1)q( 1) + p(0)q(0) + p(1)q(1).
Considere também o seguinte subespaço de P2:
U = fp(t) 2 P2 : p(0) = 0g .
(i) Em P2, para p(t) = a0 + a1t + a2t2
e q(t) = b0 + b1t + b2t2
tem-se
hp(t); q(t)i = p( 1)q( 1) + p(0)q(0) + p(1)q(1) =
= (a0 a1 + a2) (b0 b1 + b2) + a0b0 + (a0 + a1 + a2) (b0 + b1 + b2) =
= 3a0b0 + 2a0b2 + 2a1b1 + 2a2b0 + 2a2b2 =
= a0 a1 a1
2
4
3 0 2
0 2 0
2 0 2
3
5
2
4
b0
b1
b1
3
5 .
Assim, relativamente à base canónica ordenada f1; t; t2
g de P2:
hp(t); q(t)i = a0 a1 a1
2
4
3 0 2
0 2 0
2 0 2
3
5
2
4
b0
b1
b1
3
5
onde 2
4
3 0 2
0 2 0
2 0 2
3
5 =
2
4
h1; 1i h1; ti h1; t2
i
ht; 1i ht; ti ht; t2
i
ht2
; 1i ht2
; ti ht2
; t2
i
3
5
Como
2
4
3 0 2
0 2 0
2 0 2
3
5 é simétrica e os seus valores próprios (1
2
p
17+ 5
2
; 5
2
1
2
p
17 e 2) são todos
positivos, logo, a aplicação h; i de…ne um produto interno em P2.
(ii) Tem-se:
U = a1t + a2t2
: a1; a2 2 R = L(ft; t2
g).
406
Aplicando o método de ortogonalização de Gram-Schmidt, sejam
p1(t) = t e p2(t) = t2 ht2
; ti
ktk2 t.
Logo,
p2(t) = t2 ( 1)2
( 1) + 02
0 + 12
1
( 1):( 1) + 0:0 + 1:1
t = t2
.
Logo, o conjunto ft; t2
g é uma base ortogonal de U. Assim, o conjunto
t
ktk
;
t2
kt2k
=
t
p
2
;
t2
p
2
=
(p
2
2
t;
p
2
2
t2
)
é uma base ortonormada de U.
(iii) Tem-se:
U?
= p(t) 2 P2 : hp(t); ti = 0 e p(t); t2
= 0 .
Logo, 8
<
:
(a0 a1 + a2)( 1)2
+ a00 + a0 + a1 + a2 = 0
(a0 a1 + a2)( 1) + a00 + a0 + a1 + a2 = 0
,
8
<
:
a0 = a2
a1 = 0.
Logo,
U?
= a2 + a2t2
: a2 2 R = L(f 1 + t2
g).
Como k 1 + t2
k = 1 então f 1 + t2
g é uma base ortonormada de U?
.
Observação. Note que P2 = U U?
, tendo-se, neste caso, dim U = 2 e dim U?
= 1.
(iv) A projecção ortogonal PU de P2 sobre U é de…nida por:
PU : P2 ! P2
p(t) !
*
p(t);
p
2
2
t
+ p
2
2
t +
*
p(t);
p
2
2
t2
+ p
2
2
t2
,
uma vez que o conjunto (p
2
2
t;
p
2
2
t2
)
é uma base ortonormada de U. Logo, a projecção ortogonal de 1 + t sobre U é dada por:
PU (1 + t) =
*
1 + t;
p
2
2
t
+ p
2
2
t +
*
1 + t;
p
2
2
t2
+ p
2
2
t2
= t + t2
A projecção ortogonal PU? de R3
sobre U?
é de…nida por:
PU? : P2 ! P2
p(t) ! p(t); 1 + t2
( 1 + t2
),
407
uma vez que o conjunto
f 1 + t2
g
é uma base ortonormada de U?
. Logo, a projecção ortogonal de 1 + t sobre U?
é dada por:
PU? (1 + t) = 1 + t; 1 + t2
( 1 + t2
) = 1 t2
Nota muito importante: Uma vez que se tem
P2 = U U?
,
então para todo o p(t) 2 P2,
p(t) = PU (p(t)) + PU? (p(t)).
Logo, uma vez calculado PU? (1+t) pela de…nição, como se fêz atrás, obtendo-se PU? (1+t) =
1 t2
, então não precisamos de efectuar o cálculo de PU (1+t) pela de…nição. Basta efectuar:
PU (1 + t) = 1 + t PU? (1 + t) = t + t2
.
(v) Seja B = f1; t; t2
g a base canónica de P2. Atendendo à alínea (iii), tem-se
PU (1) =
*
1;
p
2
2
t
+ p
2
2
t +
*
1;
p
2
2
t2
+ p
2
2
t2
= t2
PU (t) =
*
t;
p
2
2
t
+ p
2
2
t +
*
t;
p
2
2
t2
+ p
2
2
t2
= t
PU (t2
) =
*
t2
;
p
2
2
t
+ p
2
2
t +
*
t2
;
p
2
2
t2
+ p
2
2
t2
= t2
PU? (1) = 1; 1 + t2
1 + t2
= 1 t2
PU? (t) = t; 1 + t2
1 + t2
= 0
PU? (t2
) = t2
; 1 + t2
1 + t2
= 0
e assim
M(PU ; B; B) =
2
4
0 0 0
0 1 0
1 0 1
3
5
e
M(PU? ; B; B) =
2
4
1 0 0
0 0 0
1 0 0
3
5 .
Note que
I = PU + PU? .
(vi) Escolhendo um ponto de U, por exemplo t, a distância entre 1 + t e U é dada por:
d(1 + t; U) = kPU? (1 + t t)k = kPU? (1)k = 1; 1 + t2
( 1 + t2
) = 1.
408
(vii) Escolhendo um ponto de U, por exemplo o polinómio nulo 0, a distância entre
a0 + a1t + a2t2
e U, com a0; a1; a2 2 R, é dada por:
d(a0 + a1t + a2t2
; U) = PU? (a0 + a1t + a2t2
) =
= a0 + a1t + a2t2
; 1 + t2
( 1 + t2
) = ja0j 1 t2
= ja0j .
19. Considere no espaço linear M2 2(R) o produto interno de…nido da seguinte forma:
hA; Bi = tr(ABT
).
Considere também o subespaço U de M2 2(R) constituído por todas as matrizes simétricas
reais do tipo 2 2:
U =
a b
c d
2 M2 2(R) : b = c .
(i) Sejam x; y 2 R e A; A0
; B 2 M2 2(R). Tem-se
hxA + yA0
; Bi = tr((xA + yA0
) BT
) = tr(xABT
+ yA0
BT
) =
tr é linear
= xtr(ABT
) + ytr(A0
BT
) = x hA; Bi + y hA0
; Bi
hA; Bi = tr(ABT
) = tr( AT T
BT
) = tr( BAT T
) = tr(BAT
) = hB; Ai
hA; Ai = tr(AAT
) = tr
a b
c d
a b
c d
T
!
= a2
+ b2
+ c2
+ d2
0
para todo o
a b
c d
2 M2 2(R) e
a b
c d
;
a b
c d
= 0 , a = b = c = d = 0 ,
a b
c d
=
0 0
0 0
.
Logo, a aplicação h; i de…ne um produto interno em M2 2(R).
(ii) Tem-se:
U =
a b
b d
: a; b; d 2 R =
= L
1 0
0 0
;
0 1
1 0
;
0 0
0 1
pois
a b
b d
= a
1 0
0 0
+ b
0 1
1 0
+ d
0 0
0 1
.
O conjunto
1 0
0 0
;
0 1
1 0
;
0 0
0 1
é uma base de U, uma vez que gera U, e é
linearmente independente pois se tivermos:
1
1 0
0 0
+ 2
0 1
1 0
+ 3
0 0
0 1
=
0 0
0 0
409
então
1 2
2 3
=
0 0
0 0
:
Logo, 1 = 2 = 3 e como tal, o conjunto
1 0
0 0
;
0 1
1 0
;
0 0
0 1
é linearmente
independente. Vamos aplicar agora a este conjunto o método de ortogonalização de Gram-
Schmidt. Sejam
A1 =
1 0
0 0
, A2 =
0 1
1 0
projA1
0 1
1 0
,
A3 =
0 0
0 1
projA1
0 0
0 1
projA2
0 0
0 1
.
Logo,
A2 =
0 1
1 0
projA1
0 1
1 0
=
=
0 1
1 0
0 1
1 0
; A1 A1
kA1k2 =
=
0 1
1 0
tr
0 1
1 0
AT
1 A1
kA1k2 =
=
0 1
1 0
tr
0 0
1 0
A1
kA1k2 =
=
0 1
1 0
0A1
kA1k2 =
0 1
1 0
.
e
A3 =
0 0
0 1
projA1
0 0
0 1
projA2
0 0
0 1
=
=
0 0
0 1
0 0
0 1
; A1 A1
kA1k2
0 0
0 1
; A2 A2
kA2k2 =
=
0 0
0 1
tr
0 0
0 1
AT
1 A1
kA1k2
tr
0 0
0 1
AT
2 A2
kA2k2 =
=
0 0
0 1
tr
0 0
0 0
A1
kA1k2
tr
0 0
1 0
A2
kA2k2 =
=
0 0
0 1
0A1
kA1k2
0A2
kA2k2 =
0 0
0 1
.
410
Logo, o conjunto
1 0
0 0
;
0 1
1 0
;
0 0
0 1
é uma base ortogonal de U. Como:
kA1k =
p
hA1; A1i =
q
tr (A1AT
1 ) =
s
tr
1 0
0 0
= 1,
kA2k =
p
hA2; A2i =
q
tr (A2AT
2 ) =
s
tr
1 0
0 1
=
p
2,
kA3k =
p
hA3; A3i =
q
tr (A3AT
3 ) =
s
tr
0 0
0 1
= 1,
então o conjunto
1 0
0 0
;
1
p
2
0 1
1 0
;
0 0
0 1
=
(
1 0
0 0
;
"
0
p
2
2p
2
2
0
#
;
0 0
0 1
)
é uma base ortonormada de U.
(iii) Tem-se
U?
=
a b
c d
2 M2 2(R) :
a b
c d
;
1 0
0 0
= 0 e
a b
c d
;
0 1
1 0
= 0 e
a b
c d
;
0 0
0 1
= 0 .
Logo, 8
>>>><
>>>>:
a = 0
b + c = 0
d = 0.
Ou seja,
U?
=
0 b
b 0
: b 2 R = L
0 1
1 0
.
Como
0 1
1 0
=
s
0 1
1 0
;
0 1
1 0
=
v
u
u
ttr
0 1
1 0
0 1
1 0
T
!
=
s
tr
0 1
1 0
0 1
1 0
=
s
tr
1 0
0 1
=
p
2,
411
então o conjunto ("
0
p
2
2p
2
2
0
#)
é uma base ortonormada de U?
.
(iv) Seja B =
1 0
0 0
;
0 1
0 0
;
0 0
1 0
;
0 0
0 1
a base canónica de M2 2(R).
Atendendo à alínea (iii), tem-se
PU
1 0
0 0
=
1 0
0 0
;
1 0
0 0
1 0
0 0
+
+
*
1 0
0 0
;
"
0
p
2
2p
2
2
0
#+ "
0
p
2
2p
2
2
0
#
+
+
1 0
0 0
;
0 0
0 1
0 0
0 1
=
1 0
0 0
PU
0 1
0 0
=
0 1
0 0
;
1 0
0 0
1 0
0 0
+
+
*
0 1
0 0
;
"
0
p
2
2p
2
2
0
#+ "
0
p
2
2p
2
2
0
#
+
+
0 1
0 0
;
0 0
0 1
0 0
0 1
=
0 1
2
1
2
0
PU
0 0
1 0
=
0 0
1 0
;
1 0
0 0
1 0
0 0
+
+
*
0 0
1 0
;
"
0
p
2
2p
2
2
0
#+ "
0
p
2
2p
2
2
0
#
+
+
0 0
1 0
;
0 0
0 1
0 0
0 1
=
0 1
2
1
2
0
PU
0 0
0 1
=
0 0
0 1
;
1 0
0 0
1 0
0 0
+
+
*
0 0
0 1
;
"
0
p
2
2p
2
2
0
#+ "
0
p
2
2p
2
2
0
#
+
+
0 0
0 1
;
0 0
0 1
0 0
0 1
=
0 0
0 1
PU?
1 0
0 0
=
*
1 0
0 0
;
"
0
p
2
2p
2
2
0
#+ "
0
p
2
2p
2
2
0
#
=
0 0
0 0
PU?
0 1
0 0
=
*
0 1
0 0
;
"
0
p
2
2p
2
2
0
#+ "
0
p
2
2p
2
2
0
#
=
0 1
2
1
2
0
412
PU?
0 0
1 0
=
*
0 0
1 0
;
"
0
p
2
2p
2
2
0
#+ "
0
p
2
2p
2
2
0
#
=
0 1
2
1
2
0
PU?
0 0
0 1
=
*
0 0
0 1
;
"
0
p
2
2p
2
2
0
#+ "
0
p
2
2p
2
2
0
#
=
0 0
0 0
e assim
M(PU ; B; B) =
2
6
6
4
1 0 0 0
0 1
2
1
2
0
0 1
2
1
2
0
0 0 0 1
3
7
7
5
e
M(PU? ; B; B) =
2
6
6
4
0 0 0 0
0 1
2
1
2
0
0 1
2
1
2
0
0 0 0 0
3
7
7
5 .
Note que
I = PU + PU? .
(v) A projecção ortogonal da matriz
1 1
0 1
sobre U?
é dada por:
PU?
1 1
0 1
= proj2
6
4
0
p
2
2p
2
2
0
3
7
5
1 1
0 1
=
=
*
1 1
0 1
;
"
0
p
2
2p
2
2
0
#+ "
0
p
2
2p
2
2
0
#
=
= tr
0
@ 1 1
0 1
"
0
p
2
2p
2
2
0
#T
1
A
"
0
p
2
2p
2
2
0
#
=
= tr
1 1
0 1
"
0
p
2
2p
2
2
0
#! "
0
p
2
2p
2
2
0
#
=
= tr
" p
2
2
p
2
2p
2
2
0
#! "
0
p
2
2p
2
2
0
#
=
=
p
2
2
"
0
p
2
2p
2
2
0
#
=
0 1
2
1
2
0
.
Como se tem:
M2 2(R) = U U?
,
então para todo
a b
c d
2 M2 2(R),
a b
c d
= PU
a b
c d
+ PU?
a b
c d
.
413
Logo,
PU
1 1
0 1
=
1 1
0 1
PU?
1 1
0 1
=
=
1 1
0 1
0 1
2
1
2
0
=
=
1 1
2
1
2
1
.
(vi) A matriz simétrica mais próxima da matriz
1 1
0 1
é a matriz
PU
1 1
0 1
=
1 1
2
1
2
1
.
(vii) A distância entre
1 1
0 1
e U é dada por:
d
1 1
0 1
; U = PU?
1 1
0 1
=
0 1
2
1
2
0
=
=
s
0 1
2
1
2
0
;
0 1
2
1
2
0
=
=
s
tr
0 1
2
1
2
0
0 1
2
1
2
0
=
=
s
tr
1
4
0
0 1
4
=
p
2
2
.
414
(viii) A distância entre
a b
c d
e U é dada por:
d
a b
c d
; U = PU?
a b
c d
=
= proj2
6
4
0
p
2
2p
2
2
0
3
7
5
a b
c d
=
=
*
a b
c d
;
"
0
p
2
2p
2
2
0
#+ "
0
p
2
2p
2
2
0
#
=
=
*
a b
c d
;
"
0
p
2
2p
2
2
0
#+
=
= tr
a b
c d
"
0
p
2
2p
2
2
0
#!
=
= tr
1
2
p
2b 1
2
p
2a
1
2
p
2d 1
2
p
2c
=
p
2
2
jb cj .
415
Resolução da 4a
Ficha de exercícios facultativos
1. Seja V um espaço euclidiano real. As alíneas (i), (ii), (iii) e (iv) são consequência da
de…nição de produto interno.
Sejam u; v; w 2 V; 2 R.
(v) Atendendo à condição de linearidade do produto interno:
hu + w; v + wi = hu; vi + hu; wi + hw; vi + hw; wi =
= hu; vi + hu; wi + hw; vi + kwk2
.
(vi) Atendendo à condição de linearidade do produto interno:
hu; 0i = hu; 0vi = 0 hu; vi = 0 e h0; ui = h0v; ui = 0 hv; ui = 0.
(vii) Se hu; vi = 0 então
ku + vk2
= hu + v; u + vi = kuk2
+ 2 hu; vi + kvk2
=
= kuk2
+ kvk2
=
= kuk2
2 hu; vi + kvk2
=
= hu v; u vi =
= ku vk2
,
isto é, ku + vk = ku vk.
Se ku + vk = ku vk então ku + vk2
= ku vk2
e esta última equação é equivalente
à equação
kuk2
+ 2 hu; vi + kvk2
= kuk2
2 hu; vi + kvk2
,
isto é, hu; vi = 0.
(viii) Atendendo a que
ku + vk2
= hu + v; u + vi = kuk2
+ 2 hu; vi + kvk2
,
então tem-se ku + vk2
= kuk2
+ kvk2
se e só se hu; vi = 0.
(ix) Seja c 2 R. Se hu; vi = 0 então
ku + cvk2
= hu + cv; u + cvi = kuk2
+ 2c hu; vi + c2
kvk2
=
= kuk2
+ c2
kvk2
kuk2
,
para todo o real c, isto é, ku + cvk kuk para todo o real c.
Se ku + cvk kuk para todo o real c, então
kvk2
c2
+ 2 hu; vi c 0,
para todo o real c, se e só se hu; vi = 0 (fórmula resolvente).
416
(x) Se hu + v; u vi = 0 então
0 = hu + v; u vi = kuk2
kvk2
.
Logo, kuk = kvk.
Se kuk = kvk então
0 = kuk2
kvk2
= hu + v; u vi .
Logo, hu + v; u vi = 0.
(xi)
ku vk2
+ ku + vk2
= hu v; u vi + hu + v; u + vi =
= kuk2
2 hu; vi + kvk2
+ kuk2
+ 2 hu; vi + kvk2
=
= 2 kuk2
+ 2 kvk2
.
2. Seja V um espaço euclidiano real.
(i) Seja u 2 V . Se hu; vi = 0 para qualquer v 2 V então, em particular para v = u,
tem-se
hu; ui = 0.
Logo, u = 0.
(ii) Sejam u; v 2 V . Se u = v então
hu; wi = hv; wi ,
para qualquer w 2 V .
Se hu; wi = hv; wi para qualquer w 2 V , então
hu v; wi = 0,
para qualquer w 2 V . Logo, atendendo à alínea anterior, tem-se u = v.
3. Seja V um espaço euclidiano com dim V = n. Seja S = fu1; :::; ung uma base orto-
normada de V . Seja T : V ! V uma transformação linear. A matriz A = (aij) que
representa T em relação à base S é dada por
A = (aij) = (hT(uj); uii) ,
uma vez que, para j = 1; :::; n,
T(uj) = hT(uj); u1i u1 + ::: + hT(uj); uni un.
4. Seja V um espaço euclidiano de dimensão n. Seja fu1; :::; ukg um conjunto linearmente
independente de k vectores de V . Considere a transformação linear T : V ! V de…nida
por
T(v) =
kX
i=1
hv; uii ui,
com v 2 V .
417
Mostre que T é invertível se e só se k = n.
Dem. Atendendo a que T é invertível se e só se N(T) = f0g, bastará ver que
N(T) = f0g se e só se k = n.
Se N(T) = f0g então teremos k = n, caso contrário, isto é, caso k < n ter-se-ia
(L (fu1; :::; ukg))?
6= f0g :
Assim, para v 2 (L (fu1; :::; ukg))?
, com v 6= 0, teríamos T(v) = 0, ou seja N(T) 6=
f0g. O que não pode ser pois suposemos N(T) = f0g. Logo, se N(T) = f0g então
tem-se k = n.
Suponhamos agora que se tem k = n. Nesse caso, o conjunto fu1; :::; ung é uma base
de V . Queremos ver que se tem N(T) = f0g. Seja v 2 V tal que T(v) = 0. Logo,
nX
i=1
hv; uii ui = 0.
Assim, atendendo a que o conjunto fu1; :::; ung é linearmente independente, tem-se
hv; uii = 0, para todo o i = 1; :::; n. Finalmente, como o conjunto fu1; :::; ung gera V ,
tem-se hv; ui = 0, para qualquer u 2 V . Logo v = 0 e assim N(T) = f0g.
5. Seja V um espaço euclidiano real. Seja T : V ! V uma transformação linear tal que
kT (w)k = kwk para qualquer w 2 V . Mostre que
hT(u); T(v)i = hu; vi ,
para quaisquer u; v 2 V .
Dem. Sejam u; v 2 V . Tem-se
hu; vi =
1
2
ku + vk2
kuk2
kvk2
=
1
2
kT (u + v)k2
kT (u)k2
kT (v)k2
=
=
1
2
kT (u) + T (v)k2
kT (u)k2
kT (v)k2
= hT(u); T(v)i .
6. Seja U uma matriz unitária. Isto é:
UH
= U 1
.
Seja um valor próprio de U e v um vector próprio associado:
Uv = v.
Logo
vH
UH
= (Uv)H
= ( v)H
= vH
e assim
vH
UH
Uv = vH
Uv , vH
UH
U v = vH
(Uv) ,
, vH
Iv = vH
v , vH
v = vH
v j j2
, 1 j j2
kvk2
= 0 ,
v6=0
j j = 1.
418
Resolução da 7a
Ficha de exercícios para as aulas de problemas
1. A =
2
4
2 0 1
0 1 0
1 0 2
3
5.
det(A I) = det
0
@
2
4
2 0 1
0 1 0
1 0 2
3
5
1
A = ( 3) ( 1)2
:
Tem-se
dim N (A 3I) = mg (3) =
A é simétrica
ma (3) = 1
dim N (A 1I) = mg (1) =
A é simétrica
ma (1) = 2.
2. A =
2
4
3 1 2
1 3 2
2 2 0
3
5. Como A é simétrica então é ortogonalmente diagonalizável,
isto é, existem uma matriz ortogonal PT
(PT
P = PPT
= I; isto é, PT
= P 1
) e uma matriz
diagonal D tais que
D = PAPT
.
Como
det(A I) =
3 1 2
1 3 2
2 2
= ( 2) ( + 4)2
,
os valores próprios de A são 2 e 4 e tem-se
N (A 2I) = L
1
2
;
1
2
; 1
N (A + 4I) = L (f(1; 1; 0) ; (2; 0; 1)g) .
Note-se que os vectores de N (A 2I) são ortogonais aos vectores de N (A + 4I). Para
determinar uma base ortonormada de R3
formada só com vectores próprios de A basta
aplicar o método de Gram-Schmidt ao conjunto
1
2
;
1
2
; 1 ; (2; 0; 1) ; (1; 1; 0) .
Como, relativamente ao produto interno usual em R3
,
1
2
;
1
2
; 1 ; (2; 0; 1) = 0
basta substituir (1; 1; 0) pelo vector: (1; 1; 0) proj( 1
2
; 1
2
;1) (1; 1; 0) proj(2;0;1) (1; 1; 0) =
(1; 1; 0)
(1; 1; 0) ; 1
2
; 1
2
; 1
1
2
; 1
2
; 1 ; 1
2
; 1
2
; 1
1
2
;
1
2
; 1
h(1; 1; 0) ; (2; 0; 1)i
h(2; 0; 1) ; (2; 0; 1)i
(2; 0; 1) =
419
= (1; 1; 0)
0
3
2
1
2
;
1
2
; 1
2
5
(2; 0; 1) =
1
5
; 1;
2
5
.
Base ortonormada de R3
formada só com vectores próprios de A:
(
1
1
2
; 1
2
; 1
1
2
;
1
2
; 1 ;
1
k(2; 0; 1)k
(2; 0; 1) ;
1
1
5
; 1; 2
5
1
5
; 1;
2
5
)
=
=
( p
6
6
;
p
6
6
;
p
6
3
!
;
2
p
5
5
; 0;
p
5
5
!
;
p
30
30
;
p
30
6
;
p
30
15
!)
.
Logo
PT
= SBvp!Bc =
2
6
4
p
6
6
2
p
5
5
p
30
30p
6
6
0
p
30
6p
6
3
p
5
5
p
30
15
3
7
5
e
D =
2
4
2 0 0
0 4 0
0 0 4
3
5 =
2
4
1
6
p
6 1
6
p
6 1
3
p
6
2
5
p
5 0 1
5
p
5
1
30
p
30 1
6
p
30 1
15
p
30
3
5
| {z }
=P
2
4
3 1 2
1 3 2
2 2 0
3
5
2
6
4
p
6
6
2
p
5
5
p
30
30p
6
6
0
p
30
6p
6
3
p
5
5
p
30
15
3
7
5
| {z }
=PT
3. A =
2
4
3 1 0
1 2 1
0 1 3
3
5. Como
det(A I) =
3 1 0
1 2 1
0 1 3
= ( 1) ( 3) ( 4) ,
os valores próprios de A são 1; 3 e 4. Como A é simétrica (A = AT
) e de…nida positiva uma vez
que os valores próprios de A são todos positivos, então existe B simétrica e de…nidas positiva
tal que A = B2
. De facto, como A é ortogonalmente diagonalizável (por ser simétrica) tem-se
A = PT
DP = PT
(D0
)
2
P = PT
D0
P PT
D0
P = BB = B2
com
D =
2
4
1 0 0
0 3 0
0 0 4
3
5
Note-se que sendo os 3 valores próprios distintos, os correspondentes espaços próprios são
ortogonais entre si. Base ordenada ortonormada de R3
formada só com vectores próprios de
A:
1
k(1; 2; 1)k
(1; 2; 1) ;
1
k( 1; 0; 1)k
( 1; 0; 1) ;
1
k(1; 1; 1)k
(1; 1; 1) =
=
( p
6
6
;
p
6
3
;
p
6
6
!
;
p
2
2
; 0;
p
2
2
!
;
p
3
3
;
p
3
3
;
p
3
3
!)
.
420
Logo
PT
= SBvp!Bc =
2
6
4
p
6
6
p
2
2
p
3
3p
6
3
0
p
3
3p
6
6
p
2
2
p
3
3
3
7
5 .
Assim pode ter-se por exemplo
D0
=
2
4
1 0 0
0
p
3 0
0 0 2
3
5 ou D0
=
2
4
1 0 0
0
p
3 0
0 0 2
3
5 ou D0
=
2
4
1 0 0
0
p
3 0
0 0 2
3
5
e nesse caso tem-se as 3 raízes quadradas seguintes:
B =
2
6
4
p
6
6
p
2
2
p
3
3p
6
3
0
p
3
3p
6
6
p
2
2
p
3
3
3
7
5
2
4
1 0 0
0
p
3 0
0 0 2
3
5
2
6
4
p
6
6
p
2
2
p
3
3p
6
3
0
p
3
3p
6
6
p
2
2
p
3
3
3
7
5
T
=
2
4
1
2
p
3 + 5
6
1
3
5
6
1
2
p
3
1
3
4
3
1
3
5
6
1
2
p
3 1
3
1
2
p
3 + 5
6
3
5
ou
B =
2
6
4
p
6
6
p
2
2
p
3
3p
6
3
0
p
3
3p
6
6
p
2
2
p
3
3
3
7
5
2
4
1 0 0
0
p
3 0
0 0 2
3
5
2
6
4
p
6
6
p
2
2
p
3
3p
6
3
0
p
3
3p
6
6
p
2
2
p
3
3
3
7
5
T
=
2
4
1
2
p
3 + 1
2
1 1
2
1
2
p
3
1 0 1
1
2
1
2
p
3 1 1
2
p
3 + 1
2
3
5
ou
B =
2
6
4
p
6
6
p
2
2
p
3
3p
6
3
0
p
3
3p
6
6
p
2
2
p
3
3
3
7
5
2
4
1 0 0
0
p
3 0
0 0 2
3
5
2
6
4
p
6
6
p
2
2
p
3
3p
6
3
0
p
3
3p
6
6
p
2
2
p
3
3
3
7
5
T
=
2
4
5
6
1
2
p
3 1
3
1
2
p
3 + 5
6
1
3
4
3
1
3
1
2
p
3 + 5
6
1
3
5
6
1
2
p
3
3
5 .
De facto:
2
4
1
2
p
3 + 5
6
1
3
5
6
1
2
p
3
1
3
4
3
1
3
5
6
1
2
p
3 1
3
1
2
p
3 + 5
6
3
5
2
=
2
4
1
2
p
3 + 1
2
1 1
2
1
2
p
3
1 0 1
1
2
1
2
p
3 1 1
2
p
3 + 1
2
3
5
2
=
2
4
5
6
1
2
p
3 1
3
1
2
p
3 + 5
6
1
3
4
3
1
3
1
2
p
3 + 5
6
1
3
5
6
1
2
p
3
3
5
2
=
=
2
4
3 1 0
1 2 1
0 1 3
3
5 .
4.
Q : R3
! R
Q (x1; x2; x3) = 3x2
1 2x1x2 + 2x2
2 2x2x3 + 3x2
3 =
= x1 x2 x3
2
4
3 1 0
1 2 1
0 1 3
3
5
2
4
x1
x2
x3
3
5 =
=
3)
x1 x2 x3
2
6
4
p
6
6
p
2
2
p
3
3p
6
3
0
p
3
3p
6
6
p
2
2
p
3
3
3
7
5
2
4
1 0 0
0 3 0
0 0 4
3
5
2
6
4
p
6
6
p
2
2
p
3
3p
6
3
0
p
3
3p
6
6
p
2
2
p
3
3
3
7
5
T 2
4
x1
x2
x3
3
5 =
421
=
0
B
@
2
6
4
p
6
6
p
2
2
p
3
3p
6
3
0
p
3
3p
6
6
p
2
2
p
3
3
3
7
5
T 2
4
x1
x2
x3
3
5
1
C
A
T 2
4
1 0 0
0 3 0
0 0 4
3
5
2
6
4
p
6
6
p
2
2
p
3
3p
6
3
0
p
3
3p
6
6
p
2
2
p
3
3
3
7
5
T 2
4
x1
x2
x3
3
5 =
= y1 y2 y3
2
4
1 0 0
0 3 0
0 0 4
3
5
2
4
y1
y2
y3
3
5
fazendo a mudança de variável
2
6
4
p
6
6
p
2
2
p
3
3p
6
3
0
p
3
3p
6
6
p
2
2
p
3
3
3
7
5
T 2
4
x1
x2
x3
3
5 =
2
4
y1
y2
y3
3
5 .
Tem-se então a forma quadrática diagonal:
Q0
(y1; y2; y3) = y2
1 + 3y2
2 + 4y2
3.
5. A =
2 1 + i
1 i 3
.
(i)
AAH
=
2 1 + i
1 i 3
2 1 + i
1 i 3
H
=
6 5 + 5i
5 5i 11
AH
A =
2 1 + i
1 i 3
H
2 1 + i
1 i 3
=
6 5 + 5i
5 5i 11
.
Logo A é normal.
(ii)
A =
2 1 + i
1 i 3
=
2 1 + i
1 i 3
H
= AH
logo A é hermitiana e em particular é normal:
AAH
= AA = AH
A.
(iii) Como A é hermitiana então é unitariamente diagonalizável (embora o recíproco
não seja verdadeiro), isto é, existem uma matriz unitária UH
(UH
U = UUH
= I; isto é,
UH
= U 1
) e uma matriz diagonal D tais que
D = UAUH
.
Note-se que: A normal , A unitariamente diagonalizável.
Como
det(A I) =
2 1 + i
1 i 3
= ( 1) ( 4) ,
422
os valores próprios de A são 1 e 4 e tem-se
N (A 1I) = L (f( 1 i; 1)g)
N (A 4I) = L
1
2
+
1
2
i; 1 .
Note-se que os vectores de N (A 1I) são ortogonais aos vectores de N (A 4I). Logo,
uma base ortonormada de C2
formada só com vectores próprios de A pode ser:
(
1
k( 1 i; 1)k
( 1 i; 1) ;
1
1
2
+ 1
2
i; 1
1
2
+
1
2
i; 1
)
=
=
( p
3
3
p
3
3
i;
p
3
3
!
;
p
6
6
+
p
6
6
i;
p
6
3
!)
.
Logo
UH
= SBvp!Bc =
" p
3
3
p
3
3
i
p
6
6
+
p
6
6
ip
3
3
p
6
3
#
e
D =
1 0
0 4
=
" p
3
3
p
3
3
i
p
6
6
+
p
6
6
ip
3
3
p
6
3
#H
| {z }
=U
2 1 + i
1 i 3
" p
3
3
p
3
3
i
p
6
6
+
p
6
6
ip
3
3
p
6
3
#
| {z }
=UH
.
6. Determine a solução de mínimos quadrados de Au = b, com
A =
2
4
1 2
2 4
1 2
3
5 e b =
2
4
3
2
1
3
5
calculando o correspondente vector erro de mínimos quadrados.
Tem-se car AT
A = car A = 2 e como tal a solução de mínimos quadrados é única e
dada por:
u = AT
A
1
AT
b =
=
0
@ 1 2 1
2 4 2
2
4
1 2
2 4
1 2
3
5
1
A
1
1 2 1
2 4 2
2
4
3
2
1
3
5 =
6=5
1=10
.
O vector erro de mínimos quadrados b Au é dado por:
b Au =
2
4
3
2
1
3
5
2
4
1 2
2 4
1 2
3
5 6=5
1=10
=
2
4
8
5
4
5
0
3
5
sendo o erro de mínimos quadrados dado por:
kb Auk =
8
5
;
4
5
; 0 =
4
5
p
5.
423
7. Resolva o seguinte sistema de equações diferenciais determinando a respectiva solução
geral. 8
<
:
u0
1 = 2u3
u0
2 = u1 + 2u2 + u3
u0
3 = u1 + 3u3
com
2
4
u1 (0)
u2 (0)
u3 (0)
3
5 =
2
4
2
1
0
3
5 .
8
<
:
u0
1 = 2u3
u0
2 = u1 + 2u2 + u3
u0
3 = u1 + 3u3
,
2
4
u0
1 (t)
u0
2 (t)
u0
3 (t)
3
5 =
2
4
0 0 2
1 2 1
1 0 3
3
5
2
4
u1 (t)
u2 (t)
u3 (t)
3
5 : ( )
1 e 2 são os valores próprios da matriz A =
2
4
0 0 2
1 2 1
1 0 3
3
5, sendo os espaços próprios
dados por:
N (A 1I) = L (f( 2; 1; 1)g)
N (A 2I) = L (f(0; 1; 0) ; ( 1; 0; 1)g) .
Como existe uma base de R3
formada só por vectores próprios: f(0; 1; 0) ; ( 1; 0; 1) ; ( 2; 1; 1)g
então a matriz
2
4
0 0 2
1 2 1
1 0 3
3
5 é diagonalizável. Assim, fazendo
P 1
=
2
4
0 1 2
1 0 1
0 1 1
3
5 tem-se P =
2
4
1 1 1
1 0 2
1 0 1
3
5
e
, D =
2
4
2 0 0
0 2 0
0 0 1
3
5 = P
2
4
0 0 2
1 2 1
1 0 3
3
5 P 1
,
,
2
4
0 0 2
1 2 1
1 0 3
3
5 = P 1
2
4
2 0 0
0 2 0
0 0 1
3
5 P.
o sistema (*) é equivalente a
2
4
u0
1 (t)
u0
2 (t)
u0
3 (t)
3
5 =
0
@P 1
2
4
2 0 0
0 2 0
0 0 1
3
5 P
1
A
2
4
u1 (t)
u2 (t)
u3 (t)
3
5 ,
, P
2
4
u0
1 (t)
u0
2 (t)
u0
3 (t)
3
5 =
2
4
2 0 0
0 2 0
0 0 1
3
5
0
@P
2
4
u1 (t)
u2 (t)
u3 (t)
3
5
1
A
Assim, considerando a mudança de variável
2
4
v1 (t)
v2 (t)
v3 (t)
3
5 = P
2
4
u1 (t)
u2 (t)
u3 (t)
3
5
424
tem-se 2
4
v0
1 (t)
v0
2 (t)
v0
3 (t)
3
5 =
2
4
2 0 0
0 2 0
0 0 1
3
5
0
@P
2
4
v1 (t)
v2 (t)
v3 (t)
3
5
1
A ,
,
8
<
:
v0
1 (t) = 2v1 (t)
v0
2 (t) = 2v2 (t)
v0
3 (t) = v3 (t)
,
Se v16=0;
v26=0 e v36=0
8
>>>>>><
>>>>>>:
v0
1 (t)
v1 (t)
= 2
v0
2 (t)
v2 (t)
= 1
v0
3 (t)
v3 (t)
= 1
,
,
8
<
:
log jv1 (t)j = 2t + k1
log jv2 (t)j = t + k2
log jv3 (t)j = t + k2
,
8
<
:
v1 (t) = c1e2t
v2 (t) = c2et
v3 (t) = c3et
com c1; c2; c3 2 R. Logo
2
4
u1 (t)
u2 (t)
u3 (t)
3
5 = P 1
2
4
c1e2t
c2et
c3et
3
5 =
2
4
0 1 2
1 0 1
0 1 1
3
5
2
4
c1e2t
c2et
c3et
3
5 =
2
4
c2et
2c3et
c3et
+ c1e2t
c2et
+ c3et
3
5 .
Como 8
<
:
u1 (0) = 2
u2 (0) = 1
u3 (0) = 0
tem-se 2
4
c1
c2
c3
3
5 =
2
4
1 1 1
1 0 2
1 0 1
3
5
2
4
2
1
0
3
5 =
2
4
1
2
2
3
5
e então a solução geral do sistema de equações diferenciais lineares é dada por
2
4
u1 (t)
u2 (t)
u3 (t)
3
5 =
2
4
2et
+ 4et
2et
+ e2t
2et
2et
3
5 .
425

Altp

  • 1.
    . Aulas Teóricas ede Problemas de Álgebra Linear Nuno Martins Departamento de Matemática Instituto Superior Técnico Maio de 2011 1
  • 2.
    Índice Parte I (Aulasteóricas e …chas de exercícios) Matrizes e sistemas de equações lineares.................................................................3 1a …cha de exercícios para as aulas de problemas............................................................23 1a …cha de exercícios facultativos....................................................................................29 Determinantes.............................................................................................................33 2a …cha de exercícios para as aulas de problemas...........................................................39 Espaços lineares (ou Espaços vectoriais)...............................................................44 3a …cha de exercícios para as aulas de problemas...........................................................63 2a …cha de exercícios facultativos....................................................................................71 Transformações lineares............................................................................................73 4a …cha de exercícios para as aulas de problemas...........................................................88 Valores próprios e vectores próprios. Diagonalização..........................................98 5a …cha de exercícios para as aulas de problemas..........................................................111 3a …cha de exercícios facultativos..................................................................................115 Produtos internos e ortogonalização.....................................................................116 6a …cha de exercícios para as aulas de problemas...........................................................130 4a …cha de exercícios facultativos..................................................................................134 Produto externo e produto misto..........................................................................135 Diagonalização unitária e diagonalização ortogonal...........................................137 Formas quadráticas..................................................................................................141 Mínimos quadrados..................................................................................................147 7a …cha de exercícios para as aulas de problemas............................................................151 Bibliogra…a...................................................................................................................152 Parte II (Resoluções das …chas de exercícios) Resolução da 1a …cha de exercícios para as aulas de problemas.......................................153 Resolução da 1a …cha de exercícios facultativos..............................................................186 Resolução da 2a …cha de exercícios para as aulas de problemas.......................................200 Resolução da 3a …cha de exercícios para as aulas de problemas.......................................215 Resolução da 2a …cha de exercícios facultativos..............................................................281 Resolução da 4a …cha de exercícios para as aulas de problemas.......................................292 Resolução da 5a …cha de exercícios para as aulas de problemas.......................................348 Resolução da 3a …cha de exercícios facultativos..............................................................378 Resolução da 6a …cha de exercícios para as aulas de problemas.......................................383 Resolução da 4a …cha de exercícios facultativos..............................................................416 Resolução da 7a …cha de exercícios para as aulas de problemas.......................................419 2
  • 3.
    Matrizes e sistemasde equações lineares De…nição 1. (i) Sejam m; n 2 N. Uma matriz A, do tipo m n (lê-se m por n), é uma tabela de mn números dispostos em m linhas e n colunas: A = 2 6 6 6 4 a11 a12 a1n a21 a22 a2n ... ... ... am1 am2 amn 3 7 7 7 5 : Usa-se também a notação A = (aij)m n ou simplesmente A = (aij), na qual aij é a entrada (i; j) da matriz A. Se m = n, diz-se que A é uma matriz quadrada do tipo n n (ou de ordem n) e as entradas a11; a22; :::; ann formam a chamada diagonal principal de A. Se m 6= n, diz-se que A é uma matriz rectangular. (ii) A matriz linha i de A é: ai1 ai2 ain , para i = 1; :::; m. A matriz coluna j de A é: 2 6 6 6 4 a1j a2j ... amj 3 7 7 7 5 para j = 1; :::; n. (iii) À matriz do tipo m n cujas entradas são todas iguais a zero, chama-se matriz nula e representa-se por 0m n ou simplesmente por 0. Por exemplo 02 2 = 0 0 0 0 e 02 3 = 0 0 0 0 0 0 . (iv) À matriz do tipo n n 2 6 6 6 4 a11 0 0 0 a22 0 ... ... ... 0 0 ann 3 7 7 7 5 tal que aij = 0 se i 6= j para todos os i; j, isto é, à matriz cujas entradas fora da diagonal principal são todas nulas, chama-se matriz diagonal. (v) À matriz do tipo n n 2 6 6 6 4 1 0 0 0 1 0 ... ... ... 0 0 1 3 7 7 7 5 , chama-se matriz identidade e representa-se por In n ou simplesmente por I. 3
  • 4.
    (vi) À matrizdo tipo n n 2 6 6 6 4 a11 a12 a1n 0 a22 a2n ... ... ... ... 0 0 ann 3 7 7 7 5 cujas entradas por baixo da diagonal principal são todas nulas, isto é, tais que aij = 0 se i > j, chama-se matriz triangular superior. À matriz do tipo n n 2 6 6 6 4 a11 0 0 a21 a22 ... ... ... ... ... 0 an1 an2 ann 3 7 7 7 5 cujas entradas por cima da diagonal principal são todas nulas, isto é, tais que aij = 0 se i < j, chama-se matriz triangular inferior. Uma matriz diz-se triangular se fôr triangular superior ou triangular inferior. Exemplo 1. As matrizes A = 1 1 2 2 , B = 1 2 3 4 2 0 2 0 , C = 0 0 7 e D = 2 6 6 4 4 3 2 1 3 7 7 5 são dos seguintes tipos: A é 2 2, B é 2 4, C é 1 3, D é 4 1. Tem-se, por exemplo, a21 = 2, b13 = 3, c12 = 0 e d41 = 1. Observação 1. Uma matriz (real) A do tipo m n é uma aplicação: A : f1; :::; mg f1; :::; ng ! R (i; j) ! aij Notação 1. O conjunto de todas as matrizes reais (complexas) do tipo m n é denotado por Mm n (R) (Mm n (C)). Tem-se Mm n (R) Mm n (C). De…nição 2. Duas matrizes são iguais se forem do mesmo tipo e se as entradas corres- pondentes forem iguais, isto é, A = (aij)m n e B = (bij)p q são iguais se m = p, n = q e aij = bij, para i = 1; :::; m e j = 1; :::; n. De…nição 3. A soma de duas matrizes do mesmo tipo A = (aij)m n e B = (bij)m n é a matriz A + B = (aij + bij)m n. 4
  • 5.
    Exemplo 2. Sejam A= 1 4 1 3 2 3 , B = 0 2 4 7 3 9 , C = 2 4 1 1=2p 2 3 5 e D = 2 4 1 1=2p 2 3 5 : A + B = 1 2 3 4 5 6 , C + D = 2 4 0 0 0 3 5 e não é possível, por exemplo, somar B com C. De…nição 4. O produto de um escalar (número real ou complexo) por uma matriz A = (aij)m n é a matriz: A = ( aij)m n. Notação 2. A matriz ( 1)A será denotada por A. Exemplo 3. Seja A = 1 4 1 3 2 6 . Tem-se, por exemplo, 2A = 2 8 2 6 4 12 . Observação 2. 1A = A, 0A = 0 (matriz nula), A + A = 2A, A + ::: + A| {z } n vezes = nA. De…nição 5. A diferença entre duas matrizes A e B do mesmo tipo é de…nida por A B = A + ( B), ou seja, é a soma de A com o simétrico de B. De…nição 6. (i) O produto AB de duas matrizes A e B só pode ser efectuado se o número de colunas da 1a matriz, A, fôr igual ao número de linhas da 2a matriz, B. Nesse caso, o produto AB de A = (aij)m p por B = (bij)p n é de…nido por: AB = (ai1b1j + ::: + aipbpj)m n = p X k=1 aikbkj ! m n , isto é, 2 6 6 6 6 6 4 a11 a1p ... ... ai1 aip ... ... am1 amp 3 7 7 7 7 7 5 2 6 4 b11 b1j b1n ... ... ... bp1 bpj bpn 3 7 5 = 2 6 6 6 6 6 6 4 pP k=1 a1kbk1 pP k=1 a1kbkn pP k=1 aikbkj pP k=1 amkbk1 pP k=1 amkbkn 3 7 7 7 7 7 7 5 5
  • 6.
    Note que sendob1; :::; bp as colunas da matriz B, então AB = A b1 bp = Ab1 Abp e sendo a1; :::; ap as linhas da matriz A, então AB = 2 6 4 a1 ... am 3 7 5 B = 2 6 4 a1B ... amB 3 7 5 (ii) Sejam A uma matriz do tipo n n e p 2 N. A potência p de A é de…nida por Ap = A:::A| {z } p vezes e para p = 0 de…ne-se (se A fôr não nula) A0 = I. (iii) Diz-se que duas matrizes A e B comutam se AB = BA. Exemplo 4. (i) 0 2 2 3 1 1 1 3 2 2 = = 0 1 + ( 2) ( 3) 0 1 + ( 2) 2 0 ( 1) + ( 2) ( 2) 2 1 + 3 ( 3) 2 1 + 3 2 2 ( 1) + 3 ( 2) = 6 4 4 7 8 8 (ii) 1 1 1 2 4 1 1=2p 2 3 5 = 1 ( 1) + 1 1 2 + ( 1) p 2 = p 2 1 2 (iii) 2 4 1 1=2p 2 3 5 1 1 1 = 2 4 ( 1) 1 ( 1) 1 ( 1) ( 1) 1 2 1 1 2 1 1 2 ( 1)p 2 1 p 2 1 p 2 ( 1) 3 5 = 2 4 1 1 1 1 2 1 2 1 2p 2 p 2 p 2 3 5 (iv) n 2 N, 2 6 6 6 4 a11 0 0 0 a22 0 ... ... ... 0 0 ann 3 7 7 7 5 n = 2 6 6 6 4 (a11)n 0 0 0 (a22)n 0 ... ... ... 0 0 (ann)n 3 7 7 7 5 . Observação 3. (i) O produto de matrizes não é comutativo. Por exemplo, para A = 0 1 1 0 e B = 0 1 1 0 tem-se AB = 1 0 0 1 e BA = 1 0 0 1 . Logo AB 6= BA. (ii) CD = 0 ; (C = 0 ou D = 0), pois, por exemplo, para C = 1 1 1 1 e D = 1 1 1 1 ; CD = 0: (iii) Se A (B) tem uma linha (coluna) nula então AB tem uma linha (coluna) nula. 6
  • 7.
    De…nição 7. (i)A transposta de uma matriz A = (aij)m n é a matriz AT = (aji)n m, isto é 2 6 6 6 4 a11 a12 a1n a21 a22 a2n ... ... ... am1 am2 amn 3 7 7 7 5 T = 2 6 6 6 4 a11 a21 am1 a12 a22 am2 ... ... ... a1n a2n amn 3 7 7 7 5 : (ii) Sendo A = (aij)m n 2 Mm n (C), à matriz A = (aij)m n chama-se matriz conju- gada de A. (iii) Sendo A = (aij)m n 2 Mm n (C), à matriz AH = A T chama-se matriz transposta conjugada de A. Exemplo 5. 2 4 1 3 4 2 1 6 3 5 T = 1 4 1 3 2 6 . 2 4 1 + 2i 3 4 i 1 6 3 5 H = 1 2i 4 1 3 i 6 : Teorema 1. Sejam A, B, C e D matrizes de tipos apropriados, e escalares. São válidas as seguintes propriedades para as operações matriciais. (a) (Comutatividade da soma) A + B = B + A. (b) (Associatividade da soma) A + (B + C) = (A + B) + C. (c) (Elemento neutro da soma) Existe uma única matriz 0 do tipo m n tal que A+0 = 0 + A = A, para toda a matriz A do tipo m n. (d) (Simétrico) Para cada matriz A existe uma única matriz B tal que A+B = B+A = 0. Esta matriz B denota-se por A. (e) (Associatividade do produto por escalares) ( A) = ( ) A. (f) (Distributividade) ( + ) A = A + A. (g) (Distributividade) (A + B) = A + B. (h) (Associatividade do produto de matrizes) A (BC) = (AB) C. (i) (Distributividade) A (B + C) = AB + AC e (B + C) D = BD + CD. (j) (AB) = ( A) B = A ( B). (k) AI = A e IB = B, para todas as matrizes A = (aij)m n e B = (bij)n m, onde I é a matriz identidade do tipo n n. (l) A0 = 0 e 0B = 0, para todas as matrizes A = (aij)m n e B = (bij)n m, onde 0 é a matriz nula do tipo n n. (m) AT T = A: AH H = A: 7
  • 8.
    (n) (A +B)T = AT + BT . (A + B)H = AH + BH . (o) ( A)T = AT . ( A)H = AH . (p) (AB)T = BT AT . (AB)H = BH AH . (q) (A1A2:::An)T = AT n :::AT 2 AT 1 , com A1, A2, :::, An matrizes de tipos apropriados. (A1A2:::An)H = AH n :::AH 2 AH 1 De…nição 8. Uma matriz A do (tipo n n) diz-se invertível se existir uma matriz B (do tipo n n) tal que AB = BA = I. À matriz B chama-se matriz inversa de A e denota-se por A 1 . Exemplo 6. 0 1 1 0 é invertível e 0 1 1 0 1 = 0 1 1 0 . Observação 4. (i) Sendo A 1 a matriz inversa de A, então A 1 é invertível e a sua inversa é a própria matriz A, isto é, (A 1 ) 1 = A. (ii) A matriz nula não é invertível. No entanto, a matriz identidade I é invertível tendo-se I 1 = I. (iii) Se uma matriz quadrada tiver uma linha ou uma coluna nula então não é invertível. Teorema 2. A inversa de uma matriz invertível é única. Dem. Sejam B e C as inversas de A. Então, B = BI = B (AC) = (BA) C = IC = C. De…nição 9. (i) Uma matriz A diz-se simétrica se A = AT , isto é, se aij = aji, para i; j = 1; :::; n. Diz-se que A é anti-simétrica se A = AT , isto é, se aij = aji, para i; j = 1; :::; n. (ii) Uma matriz A 2 Mm n (C) diz-se hermitiana (ou hermítica) se AH = A. Diz-se que A é anti-hermitiana se AH = A. (iii) Uma matriz A 2 Mn n (R) diz-se ortogonal se fôr invertível e se A 1 = AT . (iv) Uma matriz A 2 Mn n (C) diz-se unitária se fôr invertível e se A 1 = AH . (v) Uma matriz A diz-se normal se AH A = AAH . Exemplo 7. 0 1 1 0 é uma matriz simétrica. 0 1 1 0 T = 0 1 1 0 . 8
  • 9.
    1 1 +i 1 i 1 é uma matriz hermitiana. 1 1 + i 1 i 1 H = 1 1 + i 1 i 1 . cos sen sen cos é uma matriz ortogonal ( 2 R): 1 2 2 3 i 2 3 i 2 3 i 1 3 2 3 i é uma matriz unitária. 2 3i 1 i 1 2i é uma matriz normal. Teorema 3. (i) Se A = (aij)n n e B = (bij)n n são duas matrizes invertíveis, então AB é invertível e (AB) 1 = B 1 A 1 . (ii) Sendo um escalar não nulo e A uma matriz invertível então A é invertível e ( A) 1 = 1 A 1 . (iii) Seja m 2 N. Se A = (aij)n n é uma matriz invertível, então Am é invertível e (Am ) 1 = (A 1 ) m e escreve-se A m = (Am ) 1 . (iv) Seja A = (aij)n n uma matriz. Se existir l 2 N tal que Al = 0 então A não é invertível. (v) Sejam A e B matrizes com A invertível tais que AB = 0. Então B = 0. (vi) Sejam A e B matrizes com B invertível tais que AB = 0. Então A = 0. (vii) Sejam A, B e C matrizes com A invertível tais que AB = AC. Então B = C. (viii) Sejam A, B e C matrizes com B invertível tais que AB = CB. Então A = C. (ix) A = (aij)n n é uma matriz invertível se e só se AT é invertível e AT 1 = (A 1 ) T : (x) A = (aij)n n é invertível se e só se AH é invertível e AH 1 = (A 1 ) H : (xi) Se A = (aij)n n é uma matriz simétrica invertível, então A 1 é simétrica. (xii) Se A = (aij)n n é uma matriz hermitiana invertível, então A 1 é hermitiana. (xiii) Se A = (aij)n n é uma matriz ortogonal, então AT e A 1 são matrizes ortogonais. (xiv) Se A = (aij)n n é uma matriz unitária, então AH e A 1 são matrizes unitárias. (xv) Se A e B são duas matrizes ortogonais então AB é uma matriz ortogonal. (xvi) Se A e B são duas matrizes unitárias então AB é uma matriz unitária. (xvii) Se A e B são duas matrizes simétricas então AB é uma matriz simétrica se e só se A e B comutarem. (xviii) Se A e B são duas matrizes hermitianas então AB é uma matriz hermitiana se e só se A e B comutarem. 9
  • 10.
    De…nição 10. Umaequação linear com n incógnitas x1; x2; :::; xn é uma equação da forma a1x1 + a2x2 + ::: + anxn = b; em que a1; a2; :::; an e b são constantes (reais ou complexas). A b chama-se termo indepen- dente. De…nição 11. Um sistema de m equações lineares com n incógnitas é um conjunto de equações da forma ( ) 8 >>< >>: a11x1 + a12x2 + ::: + a1nxn = b1 a21x1 + a22x2 + ::: + a2nxn = b2 ::: am1x1 + am2x2 + ::: + amnxn = bm em que aij e bk são constantes (reais ou complexas), para i; k = 1; :::; m e j = 1; :::; n. Usando o produto de matrizes de…nido na secção anterior, o sistema de equações lineares acima pode ser escrito como uma equação matricial AX = B em que A = 2 6 6 6 4 a11 a12 a1n a21 a22 a2n ... ... ... am1 am2 amn 3 7 7 7 5 , X = 2 6 6 6 4 x1 x2 ... xn 3 7 7 7 5 e B = 2 6 6 6 4 b1 b2 ... bm 3 7 7 7 5 . A matriz A é a matriz dos coe…cientes do sistema, X é a matriz coluna das incógnitas e B é a matriz coluna dos termos independentes. A matriz [A j B] = 2 6 6 6 4 a11 a12 a1n j b1 a21 a22 a2n j b2 ... ... ... ... ... am1 am2 amn j bm 3 7 7 7 5 associada ao sistema ( ) chama-se matriz aumentada do sistema. MUITO IMPORTANTE: Note que AX = 2 6 6 6 4 a11 a21 ... am1 3 7 7 7 5 x1 + 2 6 6 6 4 a12 a22 ... am2 3 7 7 7 5 x2 + ::: + 2 6 6 6 4 a1n a2n ... amn 3 7 7 7 5 xn. 10
  • 11.
    De…nição 12. Umasolução do sistema de equações lineares ( ) de variáveis reais, é o elemento (s1; s2; :::; sn) 2 Rn := f(a1; a2; :::; an) : a1; a2; :::; an 2 Rg tal que as equações do sistema são satisfeitas quando substituímos x1 = s1; x2 = s2; :::; xn = sn. (No caso das variáveis serem complexas ter-se-ia soluções em Cn .) Note que isso equivale a dizer que S = 2 6 6 6 4 s1 s2 ... sn 3 7 7 7 5 satisfaz a equação matricial AX = B, isto é, fazendo X = S tem-se a condição verdadeira AS = B. Ao conjunto de todas as soluções do sistema chama-se conjunto solução ou solução geral do sistema. Exemplo 8. O sistema linear de duas equações e duas incógnitas x + 2y = 1 2x + y = 0 pode ser escrito do seguinte modo: 1 2 2 1 x y = 1 0 . A solução geral do sistema acima é dada por f(x; y) : x + 2y = 1 e 2x + y = 0g = f( 1=3; 2=3)g, isto é, X = 1=3 2=3 é a única matriz que satisfaz AX = B, com A = 1 2 2 1 e B = 1 0 . Teorema 4. Sejam A uma matriz do tipo m n e B uma matriz do tipo m 1. Se o sistema de equações lineares AX = B tem duas soluções distintas X0 e X1 (X0 6= X1), então terá in…nitas soluções. Dem. Basta veri…car que X = (1 ) X0 + X1 é solução do sistema AX = B, para qualquer 2 R. De…nição 13. A um sistema de equações lineares da forma 8 >>< >>: a11x1 + a12x2 + ::: + a1nxn = 0 a21x1 + a22x2 + ::: + a2nxn = 0 ::: am1x1 + am2x2 + ::: + amnxn = 0 chama-se sistema linear homogéneo. Este sistema pode ser escrito na forma AX = 0. 11
  • 12.
    Observação 5. (i)Todo o sistema linear homogéneo AX = 0 admite pelo menos a solução trivial: X = 2 6 6 6 4 x1 x2 ... xn 3 7 7 7 5 = 2 6 6 6 4 0 0 ... 0 3 7 7 7 5 . Assim, todo o sistema linear homogéneo tem solução. Além disso, ou tem apenas a solução trivial ou tem in…nitas soluções. (ii) Como iremos ver num próximo capítulo, à solução geral do sistema linear homogéneo AX = 0 dá-se o nome de núcleo de A e escreve-se N (A). Teorema 5. Se A = (aij)m n é tal que m < n, então o sistema linear homogéneo AX = 0 tem in…nitas soluções. Dem. Como o sistema tem menos equações do que incógnitas (m < n), o no de linhas não nulas r da matriz em escada de linhas obtida da matriz aumentada do sistema também é tal que r < n. Assim, há r pivots e n r incógnitas livres as quais podem assumir qualquer valor. Logo, o sistema linear homogéneo AX = 0 tem in…nitas soluções. Teorema 6. Sejam A = (aij)m n e ; escalares. (i) Se Y e W são soluções do sistema AX = 0, então Y + W também o é. (ii) Se Y é solução do sistema AX = 0, então Y também o é. (iii) Se Y e W são soluções do sistema AX = 0, então Y + W também o é. (iv) Sejam Y e W soluções do sistema AX = B. Se Y + W (para quaisquer escalares ; ) também é solução de AX = B, então B = 0. (Sugestão: basta fazer = = 0.) Teorema 7. Seja A uma matriz do tipo m n e B 6= 0 uma matriz do tipo m 1. Qualquer solução X do sistema AX = B escreve-se na forma X = X0 + Y onde X0 é uma solução particular do sistema AX = B e Y é uma solução do sistema linear homogéneo AX = 0. Assim: solução geral de AX = B = solução particular de AX = B + solução geral de AX = 0 . Dem. Sendo X0 uma solução particular do sistema AX = B e Y1 uma solução qualquer de AY = 0 então A (X0 + Y1) = AX0 = B pelo que X0 + Y1 é também uma solução de AX = B e não há solução de AX = B que não seja deste tipo uma vez que, se X1 fôr uma solução qualquer de AX = B tem-se AX1 = B = AX0 , A (X1 X0) = 0 e assim X1 X0 = Y2 é solução de AY = 0 tendo-se X1 = X0 + Y2. 12
  • 13.
    Teorema 8. SejaA uma matriz do tipo n n. (i) O sistema AX = B tem solução única se e só se A fôr invertível. Neste caso a solução geral é X = A 1 B: (ii) O sistema homogéneo AX = 0 tem solução não trivial se e só se A fôr não invertível. Teorema 9. (i) Sejam A e B duas matrizes do tipo n n. Se AB é invertível, então A e B são invertíveis. (ii) Se A é uma matriz do tipo n n tal que AB = I então BA = I e B = A 1 : Dem. (i) Considere o sistema (AB) X = 0. Se B não fosse invertível, então pelo teorema anterior existiria X 6= 0 tal que BX = 0. Logo, X 6= 0 seria solução não trivial de ABX = 0, o que contraria o teorema anterior uma vez que por hipótese AB é invertível. Assim, B é invertível. Finalmente, A é invertível por ser o produto de duas matrizes invertíveis: A = (AB) B 1 . (ii) Atendendo à alínea anterior, B é invertível. Logo B 1 também é invertível e A = AI = A BB 1 = (AB) B 1 = IB 1 = B 1 , isto é, A é invertível e A 1 = (B 1 ) 1 = B. De…nição 14. (i) Às seguintes operações que se podem aplicar às equações de um sistema de equações lineares, chamam-se operações elementares. (a) Trocar a posição de duas equações do sistema; (b) Multiplicar uma equação por um escalar diferente de zero; (c) Substituição de uma equação pela sua soma com um múltiplo escalar de outra equação. (ii) Dois sistemas de equações lineares que se obtêm um do outro através de um número …nito de operações elementares, dizem-se equivalentes. Observação 6. (i) Dois sistemas de equações lineares que se obtêm um do outro através de um número …nito de operações elementares, têm o mesmo conjunto solução. (ii) Quando aplicamos operações elementares às equações de um sistema de equações lineares, só os coe…cientes e os termos independentes do sistema são alterados. Logo, aplicar as operações elementares anteriores às equações de um sistema linear ( ) equivale a aplicar às linhas da matriz aumentada [A j B] = 2 6 6 6 4 a11 a12 a1n j b1 a21 a22 a2n j b2 ... ... ... ... ... am1 am2 amn j bm 3 7 7 7 5 as seguintes operações. 13
  • 14.
    De…nição 15. Asoperações elementares que podem ser aplicadas às linhas (i e j) de uma matriz são: (i) Trocar a posição de duas linhas (i e j) da matriz: Li $ Lj (ii) Multiplicar uma linha (i) da matriz por um escalar ( ) diferente de zero: Li ! Li (iii) Substituição de uma linha (j) pela sua soma com um múltiplo escalar ( ) de outra linha (i): Li + Lj ! Lj Teorema 10. Se dois sistemas lineares AX = B e CX = D são tais que a matriz aumentada [C j D] é obtida de [A j B] através de uma ou mais operações elementares, então os dois sistemas são equivalentes. De…nição 16. Uma matriz A = (aij)m n diz-se em escada de linhas se: (i) Todas as linhas nulas (formadas inteiramente por zeros) estão por baixo das linhas não nulas; (ii) Por baixo (e na mesma coluna) do primeiro elemento não nulo de cada linha e por baixo dos elementos nulos anteriores da mesma linha, todas as entradas são nulas. Esse primeiro elemento não nulo de cada linha tem o nome de pivot. Exemplo 9. As seguintes matrizes estão em escada de linhas: A1 = 4 1 0 0 ; A2 = 0 1 3 0 0 0 5 1 ; A3 = 2 6 6 6 6 4 2 1 1=2 0 0 0 0 3 0 p 2 0 0 0 0 5 0 0 0 0 0 0 0 0 0 0 3 7 7 7 7 5 . De…nição 17. O método de resolver sistemas lineares que consiste em aplicar operações elementares às linhas da matriz aumentada do respectivo sistema de modo a que essa matriz …que em escada de linhas, chama-se método de eliminação de Gauss. Exemplo 10. O sistema de equações lineares de variáveis reais x; y e z 8 < : x + z = 3 x + 2y + 2z = 6 3y + 3z = 6 é equivalente a 2 4 1 0 1 1 2 2 0 3 3 3 5 2 4 x y z 3 5 = 2 4 3 6 6 3 5 . Considere-se então a matriz aumentada e o consequente método de eliminação de Gauss: 2 4 1 0 1 j 3 1 2 2 j 6 0 3 3 j 6 3 5 ! L1+L2!L2 2 4 1 0 1 j 3 0 2 1 j 3 0 3 3 j 6 3 5 !3 2 L2+L3!L3 2 4 1 0 1 j 3 0 2 1 j 3 0 0 3 2 j 3 2 3 5 . 14
  • 15.
    Logo, 8 < : x +z = 3 2y + z = 3 3 2 z = 3 2 , 8 < : x = 2 y = 1 z = 1. Neste exemplo o sistema tem a solução única f(2; 1; 1)g e diz-se possível e determi- nado. Exemplo 11. O sistema de equações lineares de variáveis reais x; y; z e w 8 < : 3z 9w = 6 5x + 15y 10z + 40w = 45 x + 3y z + 5w = 7 é equivalente a 2 4 0 0 3 9 5 15 10 40 1 3 1 5 3 5 2 6 6 4 x y z w 3 7 7 5 = 2 4 6 45 7 3 5 . Considere-se então a matriz aumentada e o consequente método de eliminação de Gauss: 2 4 0 0 3 9 j 6 5 15 10 40 j 45 1 3 1 5 j 7 3 5 ! L1$L3 1 5 L2!L2 2 4 1 3 1 5 j 7 1 3 2 8 j 9 0 0 3 9 j 6 3 5 ! L1+L2!L2 ! L1+L2!L2 2 4 1 3 1 5 j 7 0 0 1 3 j 2 0 0 3 9 j 6 3 5 ! 3L2+L3!L3 2 4 1 3 1 5 j 7 0 0 1 3 j 2 0 0 0 0 j 0 3 5 . Logo, x + 3y z + 5w = 7 z + 3w = 2 , x = 3y 2w 5 z = 3w + 2. As incógnitas y e w são livres e as incógnitas x e z são não livres. A solução geral do sistema é: 8 >>< >>: 2 6 6 4 3s 2t 5 s 3t + 2 t 3 7 7 5 : s; t 2 R 9 >>= >>; isto é, o conjunto solução é dado por: f( 3s 2t 5; s; 3t + 2; t) : s; t 2 Rg. Neste exemplo o sistema tem in…nitas soluções e diz-se possível e indeterminado. Exemplo 12. Seja a 2 R. O sistema de equações lineares de variáveis reais x; y e z 8 < : x + 2y + z = 3 x + y z = 2 x + y + (a2 5) z = a é equivalente a 2 4 1 2 1 1 1 1 1 1 a2 5 3 5 2 4 x y z 3 5 = 2 4 3 2 a 3 5 . Considere-se então a matriz aumentada e o consequente método de eliminação de Gauss: 2 4 1 2 1 j 3 1 1 1 j 2 1 1 a2 5 j a 3 5 ! L1+L2!L2 L1+L3!L3 2 4 1 2 1 j 3 0 1 2 j 1 0 1 a2 6 j a 3 3 5 ! L2+L3!L3 15
  • 16.
    ! L2+L3!L3 2 4 1 2 1j 3 0 1 2 j 1 0 0 (a 2) (a + 2) j a 2 3 5 . Se a = 2, então o sistema é possível e indeterminado: x + 2y + z = 3 y 2z = 1 , x = 3z + 1 y = 2z + 1, a incógnita z é livre, as incógnitas x e y são não livres e a solução geral do sistema é 8 < : 2 4 3t + 1 2t + 1 t 3 5 : t 2 R 9 = ; isto é, o conjunto solução é dado por: f(3t + 1; 2t + 1; t) : t 2 Rg. Assim, se a = 2, o sistema tem in…nitas soluções e diz-se possível e indeterminado. Se a = 2, o sistema não tem solução e diz-se impossível. Se a 6= 2 e a 6= 2, o sistema tem a solução única a+5 a+2 ; a a+2 ; 1 a+2 e diz-se possível e determinado. Observação 7. (Como inverter matrizes invertíveis do tipo n n). Seja A uma matriz do tipo n n e consideremos a equação AX = B. Se A fôr invertível temos AX = B , X = A 1 B, isto é, AX = IB , IX = A 1 B. Assim, para determinar a inversa de A, iremos transformar a matriz aumentada [A j I] na matriz [I j A 1 ], por meio de operações elementares aplicadas às linhas de [A j I]: [A j I] ! ::: I j A 1 Este método tem o nome de método de eliminação de Gauss-Jordan e consistirá na continuação do método de eliminação de Gauss agora aplicado a [matriz triangular superior j ], efectuando-se as eliminações de baixo para cima de modo a obter-se [I j A 1 ]. Exemplo 13. Vejamos que 2 1 1 2 1 = 2 3 1 3 1 3 2 3 : Tem-se 2 1 j 1 0 1 2 j 0 1 !1 2 L1+L2!L2 !1 2 L1+L2!L2 2 1 j 1 0 0 3 2 j 1 2 1 !2 3 L2+L1!L1 2 0 j 4 3 2 3 0 3 2 j 1 2 1 !2 3 L2!L2 1 2 L1!L1 1 0 j 2 3 1 3 0 1 j 1 3 2 3 . Isto é 2 1 1 2 1 = 2 3 1 3 1 3 2 3 . De facto 2 1 1 2 2 3 1 3 1 3 2 3 = 2 3 1 3 1 3 2 3 2 1 1 2 = I 16
  • 17.
    Exemplo 14. (i)Seja A = 2 4 0 1 1 1 5 4 1 2 1 1 2 0 3 5. Tem-se [A j I] = 2 4 0 1 1 j 1 0 0 1 5 4 1 2 j 0 1 0 1 1 2 0 j 0 0 1 3 5 ! ::: 2 4 1 0 0 j 1 2 3 0 1 0 j 2 4 4 0 0 1 j 3 4 4 3 5 . Logo, 2 4 0 1 1 1 5 4 1 2 1 1 2 0 3 5 1 = 2 4 1 2 3 2 4 4 3 4 4 3 5 : Veri…que(!) que: AA 1 = I. (ii) Seja A = 2 4 9 8 7 6 5 4 3 2 1 3 5. Tem-se [A j I] = 2 4 9 8 7 j 1 0 0 6 5 4 j 0 1 0 3 2 1 j 0 0 1 3 5 ! ::: 2 4 3 2 1 j 0 0 1 0 1 2 j 0 1 2 0 0 0 j 1 2 1 3 5 Logo, A não é invertível. (iii) Sejam A = 1 2 3 4 B = 4 0 0 8 C = 0 1 8 1 4 0 . Determine-se X tal que A I 2XT 1 B 1 = C: Tem-se A I 2XT 1 B 1 = C , I 2XT 1 = A 1 CB , I 2XT = A 1 CB 1 , , XT = 1 2 I B 1 C 1 A , X = 1 2 I AT CT 1 BT 1 , , X = 1 2 1 0 0 1 1 3 2 4 0 1 4 1 8 0 1 4 0 0 8 1 ! , X = 1 1 2 2 1 2 : De…nição 18. (Ver-se-á mais adiante a consistência desta de…nição.) Seja A uma matriz em escada de linhas. Ao no de colunas de A que não contêm pivots chama-se nulidade de A e escreve-se nul A. Ao no de pivots de A, isto é, ao no de linhas não nulas de A, dá-se o nome de característica de A e escreve-se car A. Se A fôr a matriz em escada de linhas obtida de C através de operações elementares então diz-se que a característica de C é car A, tendo-se car C = car A e diz-se que a nulidade de C é nul A, tendo-se nul C = nul A. 17
  • 18.
    Exemplo 15. Considere-seas matrizes do exemplo 9. Pivot de A1: 4. Pivots de A2: 1; 5. Pivots de A3: 2; 3; 5. Tem-se: car A1 = 1, car A2 = 2 e car A3 = 3. Além disso: nul A1 = 1, nul A2 = 2 e nul A3 = 2. De…nição 19. Uma matriz A = (aij)n n diz-se não singular se após o método de eliminação de Gauss esta fôr transformada numa matriz triangular superior cujas entradas da diagonal principal sejam todas não nulas. Uma matriz A = (aij)n n diz-se singular se após o método de eliminação de Gauss existir (pelo menos) uma linha nula na matriz obtida de A. Teorema 11. Seja A = (aij)n n. Tem-se A é invertível , A é não singular , car A = n , , para todo o B o sistema AX = B tem uma única solução (X = A 1 B), isto é, A não é invertível , A é singular , car A < n , , existe pelo menos um B para o qual o sistema AX = B não tem solução. Observação 8. Seja [A j B] a matriz aumentada associada a um sistema de equações lineares com n incógnitas. (i) Se car A = car [A j B] = n então o sistema é possível e determinado (tem uma única solução). (ii) Se car A = car [A j B] < n então o sistema é possível e indeterminado (tem um no in…nito de soluções). (iii) Se car A < car [A j B] então o sistema é impossível (não tem solução). (iv) As incógnitas livres (podem tomar valores arbitrários) do sistema são aquelas que correspondem às colunas, que não contenham pivots, da matriz em escada de linhas obtida de A através de operações elementares. (v) As incógnitas não livres do sistema são aquelas que correspondem às colunas, que contenham pivots, da matriz em escada de linhas obtida de A através de operações elementares. (vi) car A = no de linhas não nulas da matriz em escada de linhas obtida de A = = no de pivots = no de incógnitas não livres: nul A = no de incógnitas livres: (vii) Seja A uma matriz do tipo m n. Então 0 car A min fm; ng e car A + nul A = n: 18
  • 19.
    De…nição 20. Umamatriz elementar é uma matriz do tipo n n obtida da matriz identidade I (do tipo n n) através de uma única operação elementar. (i) A matriz Pij, chamada matriz de permutação, é a matriz elementar obtida por troca da linha i com a linha j da matriz I. Tem-se: Pij = 2 6 6 6 6 6 6 6 6 6 6 6 6 6 6 6 6 6 6 6 4 1 0 0 0 ... ... ... ... ... 1 0 1 1 ... 1 1 0 1 ... ... ... ... ... 0 0 0 1 3 7 7 7 7 7 7 7 7 7 7 7 7 7 7 7 7 7 7 7 5 i j . (ii) A matriz Ei( ) é a matriz elementar obtida da matriz I através do produto do escalar 6= 0 pela linha i da matriz I. Tem-se: Ei( ) = 2 6 6 6 6 6 6 6 6 6 6 6 4 1 0 0 0 ... ... ... ... ... 1 1 ... ... ... ... ... 0 0 0 1 3 7 7 7 7 7 7 7 7 7 7 7 5 i . (iii) A matriz Eij( ) é a matriz elementar obtida da matriz I por soma da linha j com um múltiplo escalar da linha i. Por exemplo para i < j tem-se: Eij( ) = 2 6 6 6 6 6 6 6 6 6 6 6 4 1 0 0 0 ... ... ... ... ... 1 ... 1 ... ... ... ... ... 0 0 0 1 3 7 7 7 7 7 7 7 7 7 7 7 5 i j . 19
  • 20.
    Observação 9. (i)As matrizes elementares Eij( ), com i < j, são matrizes triangulares inferiores. (ii) As matrizes elementares Eij( ) e Eik( ) comutam, isto é, Eij( )Eik( ) = Eik( )Eij( ). Exemplo 16. Sejam ; escalares com 6= 0. As matrizes elementares do tipo 2 2 são: P12 = P21 = 0 1 1 0 , E1( ) = 0 0 1 , E2( ) = 1 0 0 , E12( ) = 1 0 1 e E21( ) = 1 0 1 . Teorema 12. Sejam E uma matriz elementar do tipo m m e A uma matriz qualquer do tipo m n. Então, EA é a matriz obtida de A através da mesma operação elementar que originou E. Isto é, aplicar uma operação elementar a uma matriz corresponde a multiplicar essa matriz à esquerda por uma matriz elementar. Exemplo 17. Considere-se a matriz aumentada 2 4 0 0 3 9 j 6 5 15 10 40 j 45 1 3 1 5 j 7 3 5. A op- eração elementar: 2 4 0 0 3 9 j 6 5 15 10 40 j 45 1 3 1 5 j 7 3 5 ! L1$L3 2 4 1 3 1 5 j 7 5 15 10 40 j 45 0 0 3 9 j 6 3 5 , corresponde à seguinte multiplicação (à esquerda): 2 4 0 0 1 0 1 0 1 0 0 3 5 2 4 0 0 3 9 j 6 5 15 10 40 j 45 1 3 1 5 j 7 3 5 = 2 4 1 3 1 5 j 7 5 15 10 40 j 45 0 0 3 9 j 6 3 5 . A operação elementar: 2 4 1 3 1 5 j 7 5 15 10 40 j 45 0 0 3 9 j 6 3 5 !1 5 L2!L2 2 4 1 3 1 5 j 7 1 3 2 8 j 9 0 0 3 9 j 6 3 5 , corresponde à seguinte multiplicação (à esquerda): 2 4 1 0 0 0 1=5 0 0 0 1 3 5 2 4 1 3 1 5 j 7 5 15 10 40 j 45 0 0 3 9 j 6 3 5 = 2 4 1 3 1 5 j 7 1 3 2 8 j 9 0 0 3 9 j 6 3 5 . A operação elementar: 2 4 1 3 1 5 j 7 1 3 2 8 j 9 0 0 3 9 j 6 3 5 ! L1+L2!L2 2 4 1 3 1 5 j 7 0 0 1 3 j 2 0 0 3 9 j 6 3 5 , 20
  • 21.
    corresponde à seguintemultiplicação (à esquerda): 2 4 1 0 0 1 1 0 0 0 1 3 5 2 4 1 3 1 5 j 7 1 3 2 8 j 9 0 0 3 9 j 6 3 5 = 2 4 1 3 1 5 j 7 0 0 1 3 j 2 0 0 3 9 j 6 3 5 . Finalmente, a operação elementar: 2 4 1 3 1 5 j 7 0 0 1 3 j 2 0 0 3 9 j 6 3 5 ! 3L2+L3!L3 2 4 1 3 1 5 j 7 0 0 1 3 j 2 0 0 0 0 j 0 3 5 , corresponde à seguinte multiplicação (à esquerda): 2 4 1 0 0 0 1 0 0 3 1 3 5 2 4 1 3 1 5 j 7 0 0 1 3 j 2 0 0 3 9 j 6 3 5 = 2 4 1 3 1 5 j 7 0 0 1 3 j 2 0 0 0 0 j 0 3 5 . Tem-se então: E23 (3) E12 ( 1) E2 1 5 P13 2 4 0 0 3 9 j 6 5 15 10 40 j 45 1 3 1 5 j 7 3 5 = 2 4 1 3 1 5 j 7 0 0 1 3 j 2 0 0 0 0 j 0 3 5 . Teorema 13. Toda a matriz elementar é invertível e a respectiva inversa é também uma matriz elementar. Tem-se: (i) (Pij) 1 = Pij. (ii) (Ei( )) 1 = Ei(1= ), para 6= 0. (iii) (Eij( )) 1 = Eij( ). Teorema 14. Uma matriz A é invertível se e só se fôr igual ao produto de matrizes elementares. Observação 10. O teorema anterior indica um modo alternativo para calcular a matriz inversa de uma matriz invertível. Teorema 15. (Factorização triangular). Duas consequências do método de eliminação de Gauss: (i) Seja A uma matriz do tipo m n. Então ou A admite a factorização A = LU ou existe uma matriz de permutação P tal que PA admite a factorização PA = LU, onde L é uma matriz triangular inferior com as entradas da diagonal principal todas iguais a 1 e U é uma matriz em escada. (ii) Seja A uma matriz não singular do tipo n n. Então ou A admite a factorização única A = LU ou existe uma matriz de permutação P tal que PA admite a factorização única PA = LU, onde L é uma matriz triangular inferior com as entradas da diagonal principal todas iguais a 1 e U é uma matriz triangular superior cujas entradas da diagonal 21
  • 22.
    principal são ospivots que resultam de aplicar o método de eliminação de Gauss à matriz A. Exemplo 18. Seja A = 2 4 1 1 1 2 1 4 2 3 5 3 5. Tem-se: E23(1)E13( 2)E12( 2)A = 2 4 1 1 1 0 1 2 0 0 5 3 5 . Logo, A = (E12( 2)) 1 (E13( 2)) 1 (E23(1)) 1 2 4 1 1 1 0 1 2 0 0 5 3 5 . Isto é, A = E12(2)E13(2)E23( 1) 2 4 1 1 1 0 1 2 0 0 5 3 5 , ou ainda, A = LU, com L = E12(2)E13(2)E23( 1) = 2 4 1 0 0 2 1 0 2 1 1 3 5 e U = 2 4 1 1 1 0 1 2 0 0 5 3 5 . Exemplo 19. Seja A = 2 6 6 4 1 2 3 4 0 0 5 6 0 0 10 6 0 1 7 8 3 7 7 5. Tem-se P24A = 2 6 6 4 1 2 3 4 0 1 7 8 0 0 10 6 0 0 5 6 3 7 7 5 e E34 ( 1=2) P24A = 2 6 6 4 1 2 3 4 0 1 7 8 0 0 10 6 0 0 0 3 3 7 7 5 Logo P24A = (E34 ( 1=2)) 1 2 6 6 4 1 2 3 4 0 1 7 8 0 0 10 6 0 0 0 3 3 7 7 5 Isto é, P24A = E34 (1=2) 2 6 6 4 1 2 3 4 0 1 7 8 0 0 10 6 0 0 0 3 3 7 7 5 , ou ainda, PA = LU, com P = P24, L = E34 (1=2) = 2 6 6 4 1 0 0 0 0 1 0 0 0 0 1 0 0 0 1=2 1 3 7 7 5 e U = 2 6 6 4 1 2 3 4 0 1 7 8 0 0 10 6 0 0 0 3 3 7 7 5 : 22
  • 23.
    1a Ficha de exercíciospara as aulas de problemas 1. Veri…que que: (i) 6 9 4 6 2 = 0 0 0 0 (ii) 1 1 0 1 1000 = I (iii) 0 1 1 0 2 = I (iv) 0 1 1 0 222 + 0 1 1 0 220 = 0 0 0 0 (v) 1 2 3 4 5 4 6 11 = 5 4 6 11 1 2 3 4 (vi) 2 4 1 1 1 1 1 1 2 2 2 3 5 2 = 2 4 0 0 0 0 0 0 0 0 0 3 5 (vii) 2 4 2 2 4 1 3 4 1 2 3 3 5 2 = 2 4 2 2 4 1 3 4 1 2 3 3 5 (viii) 2 4 1 2 3 3 5 1 0 1 = 2 4 1 0 1 2 0 2 3 0 3 3 5 (ix) 3 1 1 1 1 1 2 0 2 1 1 2 = 4 2 7 2 5 2 (x) 4 2 1 2 1 T 2 2 1 2 1 1 4 2 3 p 2 T = 7 2 p 2 11 9 2 p 2 + 10 (xi) a b c d 1 = 1 ad bc d b c a (se ad bc 6= 0) A 2a coluna de 2 4 1 1 1 1 1 1 1 1 1 3 5 2 4 6 2 9 7 1 6 9 1 7 3 5 é 2 4 1 1 1 1 1 1 1 1 1 3 5 2 4 2 1 1 3 5 = 2 4 2 2 0 3 5 (xiii) cos sen sen cos é ortogonal ( 2 R). Isto é, cos sen sen cos cos sen sen cos T = cos sen sen cos T cos sen sen cos = I (xiv) 2 6 4 p 3 3 p 2 2 p 6 6p 3 3 p 2 2 p 6 6p 3 3 0 p 6 3 3 7 5 é ortogonal. (xv) 1 2 2 3 i 2 3 i 2 3 i 1 3 2 3 i é unitária. Isto é, 1 2 2 3 i 2 3 i 2 3 i 1 3 2 3 i 1 2 2 3 i 2 3 i 2 3 i 1 3 2 3 i H = 1 2 2 3 i 2 3 i 2 3 i 1 3 2 3 i H 1 2 2 3 i 2 3 i 2 3 i 1 3 2 3 i = I (xvi) 2 3i 1 i 1 2i é uma matriz normal. Isto é, 2 3i 1 i 1 2i 2 3i 1 i 1 2i H = 2 3i 1 i 1 2i H 2 3i 1 i 1 2i (xvii) As constantes a; b e c que de…nem a função y = ax2 + bx + c cujo grá…co passa pelos pontos (x1; y1) ; (x2; y2) e (x3; y3) (de abcissas distintas entre si), constituem a solução 2 4 a b c 3 5 do sistema linear cuja matriz aumentada é dada por: 2 4 x2 1 x1 1 j y1 x2 2 x2 1 j y2 x2 3 x3 1 j y3 3 5. 23
  • 24.
    2. Efectue, sempreque possível, as seguintes operações. (i) 1 3 2 3 (ii) 0 1 + 1 0 (iii) 3 2 2 1 1 1 3 2 4 3 p 5 1 2 (iv) 2 1 0 3 1 2 1 3 0 6 2 3 (v) 1 3 0 2 1 1 (vi) 2 p 3 4 0 1 (vii) p 2 3 4 1 2 2 (viii) 0 @ 2 4 2 1 4 1 3 5 2 p 2 3 1 A T (ix) 0 B B B B @ 2 2 4 1 3 0 1 2 1 3 1 2 1 3 5 T 2 4 1 0 1 2 1 3 1 2 1 3 5 2 6 6 6 6 4 8 9 1 3 1 1 3 1 2 1 5 3 1 5 2 3 7 7 7 7 5 1 C C C C A T (x) 2 4 1 1 2 0 2 0 1 1 4 0 6 2 5 1 3 5 T 2 4 1 0 2 4 1 3 3 3 5 (xi) 2 4 1 0 2 4 1 3 3 3 5 T 2 4 1 1 2 0 2 0 1 1 4 0 6 2 5 1 3 5 3. Pretende-se arrumar livros em caixas. Ao colocar 7 livros em cada caixa, …ca um livro de fora. Ao colocar 8 livros por caixa, há uma caixa que só tem 1 livro. Quantos livros se pretende arrumar? Quantas caixas existem? 4. C = Celsius, F = Fahrenheit. A partir do ponto de congelação (C; F) = (0; 32) e do ponto de ebulição (C; F) = (100; 212), deduza a equação linear F = 9 5 C + 32: Veri…que que o único valor comum a ambas as escalas é 40 . 5. Escreva a matriz A = (aij)4 4 2 M4 4 (R) em cada um dos seguintes casos: a) aij = j2 ( 1)i+j b) aij = 8 < : 0 se i > j 1 i+j 1 caso contrário, c) 8 >>>>< >>>>: i se i = j j se j = i + 1 i j caso contrário, d) aij = 8 < : aji para todo i; j j se j > i 6. Veri…que se a matriz (aij) 2 M2 2 (R) de…nida por aij = 3i + 2j, para todo i; j = 1; 2, é simétrica. 7. Determine as características e as nulidades das seguintes matrizes reais, identi…cando os respectivos pivots. (i) 2 4 0 0 0 0 0 0 3 5 (ii) 2 4 1 2 3 0 1 1 1 2 3 3 5 (iii) 2 4 2 1 2 4 1 2 3 5 (iv) 2 4 1 2 3 4 5 6 7 8 9 10 11 12 3 5 24
  • 25.
    (v) 2 4 0 1 11 1 1 1 0 1 1 2 1 3 5 (vi) 2 6 6 4 1 2 1 3 2 1 1 3 2 1 2 7 1 9 8 3 3 2 4 6 3 7 7 5 (vii) 2 6 6 4 1 3 1 2 0 11 5 3 2 5 3 1 4 1 1 5 3 7 7 5 (viii) 5 1 2 0 2 0 (ix) 2 4 3 6 9 2 4 6 1 2 3 3 5 (x) 2 4 2 10 6 8 4 1 5 3 4 2 2 10 6 8 4 3 5 8. Quais das seguintes equações são equações lineares em x; y e z ? (a) 3 x + p 3y + z = 1 (b) 1 2 x + z = 0 (c) x 1 + 3y z = 2 (d) x yz = 1 9. Diga qual dos seguintes pontos: (0; 0) ; (1; 1) ; (1; 1) ; ( 1; 1) é a solução do seguinte sistema de equações lineares nas variáveis x; y. 8 < : x + y = 0 x 2y = 3 x y = 2. 10. Diga quais dos seguintes pontos: (0; 0; 0; 0) ; (1; 1; 1; 0) ; (1; 1; 1; 2) ; 3; 9; 7; 3 p 2 são soluções do sistema de equações lineares nas variáveis x; y; z e w. x 2y 3z = 0 x + y + z = 1. 11. (i) Determine os coe…cientes a; b; c e d da função polinomial p(x) = ax3 + bx2 + cx + d, cujo grá…co passa pelos pontos P1 = (0; 10); P2 = (1; 7); P3 = (3; 11) e P4 = (4; 14). (ii) Determine os coe…cientes a; b e c da equação da circunferência x2 + y2 + ax + by + c = 0; que passa pelos pontos P1 = ( 2; 7); P2 = ( 4; 5) e P3 = (4; 3). 12. Seja 2 R. Em função do parâmetro , calcule a característica e a nulidade das seguintes matrizes. Em cada alínea, indique ainda (se existirem), justi…cando, os val- ores de para os quais essas matrizes são invertíveis: (i) 2 4 1 0 1 1 0 1 3 5 (ii) 2 4 1 2 1 2 3 2 1 3 5 (iii) 2 4 2 2 2 1 1 0 2 1 + 1 3 5 (iv) 2 6 6 4 1 0 1 0 1 0 0 3 0 0 1 1 1 2 3 7 7 5 (v) 2 6 6 4 1 0 1 0 1 1 0 1 0 2 1 2 0 2 2 3 7 7 5 (vi) 2 6 6 4 1 1 0 1 1 0 1 1 3 0 1 1 2 1 3 7 7 5 13. Determine valores para x; y; z e w de modo a que nas reacções químicas seguintes os elementos químicos envolventes ocorram em iguais quantidades em cada lado da respectiva equação. (a) xC3H8 + yO2 ! zCO2 + wH2O (b) xCO2+yH2O ! zC6H12O6 + wO2 25
  • 26.
    14. Resolva osseguintes sistemas de equações lineares. (a) 2x + 3y = 1 5x + 7y = 3 (b) 2x + 4y = 10 3x + 6y = 15 (c) 4x 2y = 5 6x + 3y = 1 (d) 8 < : 2x + y 3z = 5 3x 2y + 2z = 5 5x 3y z = 16 (e) 8 < : 2x + 3y 2z = 5 x 2y + 3z = 2 4x y + 4z = 1 (f) 8 < : x + 2y + 3z = 3 2x + 3y + 8z = 4 3x + 2y + 17z = 1 (g) 8 < : 2x + 3y = 3 x 2y = 5 3x + 2y = 7 (h) 8 < : x + 2y z + 3w = 3 2x + 4y + 4z + 3w = 9 3x + 6y z + 8w = 10 (i) 8 < : x + 5y + 4z 13w = 3 3x y + 2z + 5w = 2 2x + 2y + 3z 4w = 1 (j) 8 >>< >>: 2x3 + 3x4 = 4 2x1 6x3 + 9x4 = 7 2x1 + 2x2 5x3 + 2x4 = 4 100x2 + 150x3 200x4 = 50 (k) 8 < : x 2y + 3z w = 1 3x y + 2z + 5w = 2 3x + 6y 9z + 3w = 6 15. Discuta em função do parâmetro real os seguintes sistemas de equações lineares (nas variáveis x; y e z). Nos casos em que existirem soluções, determine-as. (a) 8 < : x + y + z = 1 x + y + z = 1 x + y + z = 1 (b) x + 2y + z = 1 2x + y + 8z = 3 (c) 8 < : x + y + z = 2 3x + 4y + 2z = 2x + 3y z = 1 (d) 8 < : x + y + z = 1 x + y + z = x + y + z = 2 (e) 8 < : x + y + z = 1 2x + y 2 z = x + y + z = 1 + 2 16. Discuta os seguintes sistemas de equações lineares em termos dos parâmetros reais e . Nos casos em que existirem soluções, determine-as. (a) 8 < : x + 4y + 3z = 10 2x + 7y 2z = 10 x + 5y + z = (b) 8 >>< >>: 2z + w = x + y + z + 3w = 1 2x + 2y + z + w = 2 x + y + 3z + 14w = 4 (c) 8 < : x + y z + w = 0 x 2y + 2z + w = 1 x y + z + ( + 1) w = 17. Diga para que valores de a; b e c têm soluções os sistemas. (a) 8 < : x + 2y 3z = a 3x y + 2z = b x 5y + 8z = c (b) 8 < : x 2y + 4z = a 2x + 3y z = b 3x + y + 2z = c 18. Determine um sistema de equações lineares cujo conjunto de soluções seja: (a) S = f(1 + t; 1 t) : t 2 Rg (b) S = f(t; 1 2t; 1) : t 2 Rg (c) S = f(3t; 2t; t) : t 2 Rg (d) S = f(3t s; t + 2s 1; s 2t + 1) : s; t 2 Rg (e) S = f(2t 3s; t + s 1; 2s + 1; t 1) : s; t 2 Rg (f) S = f(1 s; s t; 2s; t 1) : s; t 2 Rg (g) S = ? 26
  • 27.
    19. Determine todasas matrizes reais 2 2 que comutam com a matriz 1 2 3 4 . 20. Existem 16 matrizes 2 2 só com 0 e 1 nas respectivas entradas. Quantas são in- vertíveis? 21. Seja A 2 Mn n (R) tal que A2 + 2A + 2I = 0:Veri…que que A é invertível e determine a sua inversa. 22. Sejam A; B; X 2 Mn n (R) matrizes invertíveis tais que (AB)2 = 3 4 7 9 . Em cada um dos seguintes casos, determine a matriz X que satisfaz a equação (i) AXB + AB = 0 (ii) BXA A 1 B 1 = 0 23. Determine A 2 M2 2 (R) tal que 2I (3A 1 ) T 1 = 4 3 7 5 : 24. Determine (se existirem) as inversas das seguintes matrizes. (i) 0 1 1 0 (ii) 1 0 0 1 (iii) [1] (iv) 1 2 3 4 (v) 2 4 1 2 3 4 5 6 7 8 9 3 5 (vi) 2 4 1 2 3 0 1 2 0 0 1 3 5 (vii) 1 3 2 4 2 2 1 1 2 2 2 1 2 3 5 (viii) 2 4 1 0 2 0 3 0 4 0 5 3 5 (ix) 2 4 1 2 1 4 0 6 1 8 1 3 5 (x) cos sen sen cos (xi) 2 6 6 4 k 0 0 0 1 k 0 0 0 1 k 0 0 0 1 k 3 7 7 5, com k 6= 0 (xii) 2 6 6 4 0 0 0 k1 0 0 k2 0 0 k3 0 0 k4 0 0 0 3 7 7 5, com k1; k2; k3; k4 6= 0 (xiii) 2 6 6 6 6 6 6 6 6 4 5 13 2 13 2 13 8 13 2 13 7 13 6 13 2 13 2 13 6 13 7 13 2 13 8 13 2 13 2 13 5 13 3 7 7 7 7 7 7 7 7 5 (xiv) 2 6 6 6 6 6 6 6 6 4 1 1 2 1 2 1 2 1 2 1 0 1 2 1 2 0 1 1 2 1 2 1 2 1 2 1 3 7 7 7 7 7 7 7 7 5 25. (i) Seja A 2 Mn n (R) tal que Ak = 0 para algum k 2 Nn f1g. Veri…que que (I A) 1 = I + A + ::: + Ak 1 (ii) Calcule 2 4 1 1 0 0 1 1 0 0 1 3 5 1 : 27
  • 28.
    26. Seja A= 2 4 2 2 2 5 1 3 1 5 3 3 5. (i) Veri…que que A3 = 2 4 0 0 0 0 0 0 0 0 0 3 5. (ii) Calcule (I A) (I + A + A2 ) : 27. Para cada parâmetro real , considere o sistema de equações lineares de variáveis reais cuja matriz aumentada é dada por: 2 4 1 4 2 j 10 2 7 2 j 20 1 5 j 10 3 5 . a) Discuta em termos de a existência ou não de solução do sistema de equações lineares anterior. b) Para = 4, determine o conjunto solução do sistema de equações lineares corre- spondente. 28. Seja A ; = 2 6 6 4 1 0 1 0 1 2 + 0 1 1 2 + + 3 7 7 5, com ; 2 R: (a) Determine a característica e a nulidade de A ; em função de e . (b) Determine os valores dos parâmetros e para os quais A ; é invertível. 29. Seja A = 2 6 6 4 1 0 2 2 2 4 4 0 3 8 0 2 2 3 7 7 5, com 2 R. (a) Determine a característica e a nulidade de A em função do parâmetro e diga, justi…cando, quais são os valores de para os quais A é invertível. (b) Para = 1; determine a inversa da matriz A1. 30. Seja Ba;b = 2 6 6 4 0 0 a 1 2 2 0 a 0 0 a b 3 0 6 0 3 7 7 5, com a; b 2 R: (a) Determine a característica e a nulidade de Ba;b em função de a e b. (b) Para a = 1 e b = 0 calcule a matriz inversa da matriz B1;0, isto é, (B1;0) 1 . (c) Determine a solução geral do sistema linear B1;0X = C, C = 1 2 3 1 T . (d) Para b = 1, determine a solução geral do sistema linear Ba;1X = D, em que D é o simétrico da 3a coluna de Ba;1. 28
  • 29.
    1a Ficha de exercíciosfacultativos 1. Sendo A; B; C matrizes de tipos apropriados, mostre que: (i) (AB) C = A (BC) (ii) A (B + C) = AB + AC (iii) (AB)T = BT AT 2. Sendo A uma matriz do tipo m n, mostre que se AT A = 0 então A = 0. 3. Sendo A = 1 2 2 4 , determine todos os u 6= 0 tais que Au = 5u. 4. Obtenha, por indução, uma fórmula para An onde A é dada por: (i) 0 1 1 0 (ii) 1 0 2 1 (iii) 2 4 1 1 0 0 1 1 0 0 1 3 5 (iv) 2 6 6 4 0 1 0 0 0 0 1 0 0 0 0 1 0 0 0 0 3 7 7 5 (v) cos sen sen cos ( 2 R) 5. Mostre que se AB = A e BA = B então A2 = A e B2 = B. 6. Sendo A uma matriz 2 2 ortogonal, isto é, tal que AAT = AT A = I, mostre que A = cos sen sen cos ou A = cos sen sen cos ; ( 2 R): 7. Diga de que tipos deverão ser as matrizes A e B de modo a poderem ser efectuados os seguintes produtos e desenvolva esses mesmos produtos. (i) (A + B)(A B) (ii) (AB)2 (iii) (A + B)2 8. (i) Veri…que que as matrizes A = 1 0 2 0 e B = 0 0 3 4 não satisfazem a relação: AB = 0 ) A = 0 ou B = 0. O que pode concluir? E no caso de A ser invertível, o que concluiria acerca da veracidade da relação anterior? (ii) Veri…que que as matrizes A = 1 2 1 2 , B = 0 0 1 1 e C = 2 2 0 0 não satisfazem a relação: AB = AC ) B = C. O que pode concluir? E no caso de A ser invertível, o que concluiria acerca da veracidade da relação anterior? 9. Sejam A uma matriz do tipo n n e B uma matriz do tipo m n quaisquer. (i) Prove que se A é simétrica (isto é A = AT ) então BABT tambem é simétrica. (ii) Prove que se A é normal (isto é AH A = AAH ) e B é unitária então BABH é normal. (iii) Prove que BT B e BBT são matrizes simétricas e que BH B e BBH são matrizes hermitianas. 29
  • 30.
    10. Uma matrizA do tipo n n diz-se anti-simétrica se AT = A. Mostre que: (i) Os elementos da diagonal principal de uma qualquer matriz anti-simétrica são todos nulos. (ii) Para qualquer matriz A do tipo n n, a matriz A AT é anti-simétrica. (iii) Escrevendo A = 1 2 (A + AT ) + 1 2 (A AT ), toda a matriz quadrada pode ser decomposta de modo único pela soma de uma matriz simétrica com uma anti-simétrica. 11. Veri…que que todas as matrizes X = a b c d que satisfazem a equação X2 = I são: I; 1 0 c 1 ; 1 b 0 1 ; a b 1 a2 b a . Observe assim que a equação matricial X2 = I tem um número in…nito de soluções em contraste com a equação escalar x2 = 1 que tem apenas duas soluções (1 e 1). 12. Mostre que: fX 2 M2 2(R) : XA = AX; para todo o A 2 M2 2(R)g = 0 0 : 2 R . Isto é, as matrizes 2 2 que comutam com todas as matrizes 2 2 são múltiplos escalares da matriz I. 13. Sendo A uma matriz do tipo m n, seja N (A) = fX : AX = 0g. Mostre que: (i) Sendo A e B matrizes de tipos apropriados, então N (B) N (AB). (ii) Sendo A 2 Mm n (R), tem-se N AT A = N (A) : (iii) Sendo A e B matrizes do tipo m n com m < n tais que ABT é invertível, então BT A não é invertível. Além disso, nenhuma linha de B pertence a N (A). (iv) Sendo A 2 Mm n (R) tal que para todo o B 2 Rm ; o sistema AX = B é possível, então N AT = f0g. 14. Sejam A; B 2 Mn n(R) tais que que Au = Bu para qualquer u 2 Mn 1(R). Prove que A = B. 15. Sejam A; B matrizes não nulas do tipo n 1. Determine a característica de ABT . Justi…que. 16. Sendo A uma matriz do tipo m n tal que car A = m, mostre que existe B do tipo n m tal que AB = I. 17. Duas matrizes A e B do tipo n n dizem-se semelhantes se existir S invertível tal que A = SBS 1 . Mostre que: (i) Sendo A ou B invertíveis então AB e BA são semelhantes. (ii) Sendo A e B semelhantes então X 2 N (A) se e só se S 1 X 2 N (B). 30
  • 31.
    18. Seja Auma matriz quadrada (do tipo n n). Mostre que: (i) Se A fôr invertível então A 1 tambem é invertível e (A 1 ) 1 = A. (ii) Se A fôr invertível então AT tambem é invertível e (AT ) 1 = (A 1 )T . (iii) Se A fôr invertível e simétrica então A 1 tambem é simétrica. 19. Sejam A e B matrizes do tipo n n. Mostre que: (i) Se A; B forem invertíveis então A + B não é necessariamente invertível. (ii) Se A; B e A + B forem invertíveis então A 1 + B 1 é invertível e (A 1 + B 1 ) 1 = A(A + B) 1 B = B(A + B) 1 A. Sugestão: comece por veri…car que I + B 1 A = B 1 (A + B) e I + A 1 B = A 1 (A + B): 20. Seja A do tipo n n tal que A2 = A (A diz-se idempotente). Mostre que: (i) I A é idempotente. (ii) 2A I é invertível e (2A I) 1 = 2A I. Além disso, se A fôr simétrica então 2A I é uma matriz ortogonal. (iii) Se car A = n, então A = I. 21. Uma matriz B (do tipo n n) diz-se idempotente se B2 = B. Mostre que A2 = I , 1 2 (I + A) é idempotente 22. Sendo A = (aij) uma matriz invertível e B = (bij) a inversa da A, mostre, para k 6= 0, a matriz (ki j aij) é invertível e a sua inversa é (ki j bij). 23. Seja A uma matriz do tipo 2 2. Mostre que A = a b c d é invertível se e só se ad bc 6= 0. No caso de A ser invertível, utilize o método de eliminação de Gauss-Jordan para encontrar a matriz inversa de A. 24. Que condições devem ser veri…cadas para que a seguinte matriz diagonal do tipo n n D = 2 6 6 6 4 k1 0 0 0 k2 ... ... ... ... ... 0 0 0 kn 3 7 7 7 5 seja invertível? Qual é a sua inversa? 31
  • 32.
    25. Para matrizesquadradas A = (aij)n n de…ne-se o traço de A, tr(A), como sendo a soma de todas as entradas da diagonal principal de A, isto é, tr(A) = nX i=1 aii: Sejam A = (aij)n n e B = (bij)n n duas matrizes do tipo n n e um escalar. Mostre que (i) tr(A + B) = tr(A) + tr(B); (ii) tr( A) = tr(A); (iii) tr(AT ) = tr(A); (iv) tr(AB) = tr(BA): Esta última igualdade continua a ser verdadeira se A = (aij)m n e B = (bij)n m. 26. Para cada matriz A do tipo n n, veri…que que não existe X do tipo n n tal que AX XA = I. 27. Sejam A e B matrizes do tipo n n tais que A é simétrica e B é anti-simétrica. Mostre que tr(AB) = 0: 28. Seja A 2 Mm n (R). Mostre que tr(AT A) = 0 se e só se A = 0. 29. Sejam u; v 2 Mn 1 (R) tais que uT v 6= 1. Seja A = I + uvT . Veri…que que A é invertível e que A 1 = I 1 1 + uT v uvT . Além disso veri…que que uT v = tr uvT 32
  • 33.
    Determinantes De…nição 21. Dadosos números naturais 1; 2; :::; n chama-se permutação desses n números a qualquer lista em que os mesmos sejam apresentados por ordem arbitrária. De…nição 22. Seja (i1i2:::in) uma permutação dos números naturais 1; 2; :::; n. Diz- -se que um par (ijik) é uma inversão quando (j k) (ij ik) < 0 (isto é, quando ij e ik aparecerem na permutação por ordem decrescente). De…nição 23. Uma permutação (i1i2:::in) diz-se par (ímpar) quando o no máximo de inversões incluídas fôr par (ímpar). Exemplo 20. A permutação (21453) é ímpar pois o no máximo de inversões nela incluí- das é ímpar: (21); (43) e (53). De…nição 24. Seja A uma matriz do tipo n n. Chama-se determinante de A, e escreve-se jAj ou det A, o número que se obtém do seguinte modo: (i) Formam-se todos os produtos possíveis de n factores em que intervenha um elemento de cada linha e, simultaneamente, um elemento de cada coluna de A. (ii) Afecta-se cada produto do sinal + ou do sinal conforme as permutações (dos números naturais 1; 2; :::; n) que …guram nos índices de linha e de coluna tenham a mesma paridade ou não. (iii) Somam-se as parcelas obtidas. Em resumo: …xando, por exemplo, a permutação (i1i2:::in) de 1; 2; :::; n jAj = X (j1j2:::jn) permutação de 1;2;:::;n ( 1) ai1j1 ai2j2 :::ainjn , em que = 8 < : 0 se (i1i2:::in) e (j1j2:::jn) têm a mesma paridade 1 se (i1i2:::in) e (j1j2:::jn) têm paridade diferente. Observação 11. Pode ainda escrever-se jAj = X (j1j2:::jn) permutação de 1;2;:::;n ( 1) a1j1 a2j2 :::anjn , em que = 8 < : 0 se (j1j2:::jn) é par 1 se (j1j2:::jn) é ímpar. 33
  • 34.
    ou jAj = X (i1i2:::in) permutação de1;2;:::;n ( 1) ai11ai22:::ainn, em que = 8 < : 0 se (i1i2:::in) é par 1 se (i1i2:::in) é ímpar. De…nição 25. Seja A = (aij)n n. O traço de A, tr(A), é a soma de todas as entradas da diagonal principal de A, isto é, tr(A) = nX i=1 aii: Teorema 16. Sejam A = (aij)n n e B = (bij)n n duas matrizes do tipo n n e um escalar. Tem-se (i) tr(A + B) = tr(A) + tr(B); (ii) tr( A) = tr(A); (iii) tr(AT ) = tr(A); (iv) tr(AB) = tr(BA): Teorema 17. (i) Se A é do tipo 2 2, então jAj = a11 a12 a21 a22 = a11a22 a12a21 = Só no caso 2 2 1 2 (tr A)2 tr A2 : (ii) Se A é do tipo 3 3, então jAj = a11 a12 a13 a21 a22 a23 a31 a32 a33 = a11a22a33 +a12a23a31 +a13a21a32 a13a22a31 a12a21a33 a11a23a32. Observação 12. (i) Se A é uma matriz do tipo n n então jAj tem n! parcelas. (ii) O determinante de cada um dos três tipos de matrizes elementares é dado por det Pij = 1; det Ei ( ) = ; det Eij ( ) = 1: 34
  • 35.
    Exemplo 21. (i) 11 2 2 = 1( 2) ( 1)2 = 0: (ii) 1 2 1 3 1 2 2 1 3 = 1( 1)( 3) + 3 + 8 1( 1)2 6( 3) 2 = 32: De…nição 26. Seja A = (aij) uma matriz do tipo n n, com n > 1. Seja Aij a matriz do tipo (n 1) (n 1) que se obtem de A suprimindo a linha i e a coluna j de A. Chama-se a Aij o menor-ij da matriz A. Teorema 18. (Fórmula de Laplace.) Seja A uma matriz do tipo n n, com n > 1. Tem-se det A = nX j=1 aij( 1)i+j det Aij, com i 2 f1; :::; ng …xo: Observação 13. Seja A uma matriz do tipo n n, com n > 1. Tem-se det A = nX i=1 aij( 1)i+j det Aij, com j 2 f1; :::; ng …xo: Exemplo 22. 1 0 2 3 2 1 1 4 0 1 0 2 1 0 2 3 = ( 1)( 1)3+2 1 2 3 2 1 4 1 2 3 + ( 2)( 1)3+4 1 0 2 2 1 1 1 0 2 = = ( 1)( 3) + ( 2)4 + 2( 2)3 ( 1)3 ( 2)2( 3) 4( 2) + 2 [( 2) ( 2)] = 18 Teorema 19. Sejam A e B matrizes do tipo n n. Seja um escalar. (i) det AT = det A. (ii) Se A fôr uma matriz diagonal, triangular superior ou triangular inferior então o determinante de A é igual ao produto dos elementos da diagonal principal de A. (iii) Se A tiver uma linha (ou coluna) nula então det A = 0. (iv) Se B fôr obtida de A trocando duas linhas (ou colunas) de A então det B = det A. 35
  • 36.
    (v) Se Bfôr obtida de A multiplicando uma linha (ou coluna) de A por um escalar então det B = det A. (vi) Se duas linhas (ou colunas) de A forem iguais então det A = 0. (vii) Se B fôr obtida de A somando a uma linha (ou coluna) de A um múltiplo escalar de uma outra linha (ou coluna) de A então det B = det A. (viii) det A 6= 0 se e só se A é invertível. (ix) det ( A) = n det A. (x) det (EA) = det E det A, em que E é uma matriz elementar (Pij; Ei ( ) ou Eij ( )). (xi) det (AB) = det A det B. (xii) det (A1A2:::Al) = det A1 det A2::: det Al, em que A1; A2; :::; Al são l (l 2 N) matrizes do tipo n n. (xiii) Se A fôr invertível det (A 1 ) = 1 det A . (xiv) det (AB) = 0 ) det A = 0 ou det B = 0. (xv) det (AB) = det (BA). Exemplo 23. 9 7 5 3 1 7 7 5 3 1 5 5 5 3 1 3 3 3 3 1 1 1 1 1 1 = 1 1 1 1 1 3 3 3 3 1 5 5 5 3 1 7 7 5 3 1 9 7 5 3 1 = 1 1 1 1 1 1 3 3 3 3 1 3 5 5 5 1 3 5 7 7 1 3 5 7 9 = 1 1 1 1 1 0 2 2 2 2 0 2 4 4 4 0 2 4 6 6 0 2 4 6 8 = = 1 1 1 1 1 0 2 2 2 2 0 0 2 2 2 0 0 2 4 4 0 0 2 4 6 = 1 1 1 1 1 0 2 2 2 2 0 0 2 2 2 0 0 0 2 2 0 0 0 2 4 = 1 1 1 1 1 0 2 2 2 2 0 0 2 2 2 0 0 0 2 2 0 0 0 0 2 = 24 = 16. Observação 14. Sendo A e B matrizes do tipo n n, em geral: jA + Bj 6= jAj + jBj e jA Bj 6= jAj jBj . Por exemplo, se n é par, A = I e B = I, tem-se jA + Bj = 0 6= 2 = n é par 1 + ( 1)n = jAj + jBj : 36
  • 37.
    De…nição 27. SejaA = (aij) uma matriz do tipo n n, com n > 1. Seja a0 ij = ( 1)i+j det Aij onde Aij é o menor-ij da matriz A. Chama-se a a0 ij o cofactor-ij da matriz A e à matriz cof A = (a0 ij) do tipo n n, com n > 1, a matriz dos cofactores de A. Teorema 20. Para qualquer matriz A do tipo n n, com n > 1, tem-se A (cof A)T = (cof A)T A = (det A) I. Se det A 6= 0 então A é invertível e A 1 = 1 det A (cof A)T = 0 B B @ 1 det A ( 1)j+i det Aji | {z } entrada (i;j) de A 1 1 C C A n n . Exemplo 24. (i) Seja A = a b c d tal que det A 6= 0. Então A é invertível e A 1 = 1 ad bc d b c a . Note que ad bc = det A. (ii) Podemos usar o teorema anterior para calcular não só a inversa de uma matriz (não singular) mas também (e sobretudo) entradas concretas dessa inversa. Seja A = 2 4 1 0 3 4 5 6 7 8 9 3 5 . A entrada (1; 2) da matriz A 1 é dada por (A 1 )12 = 1 det A (cof A)T 12 = 1 det A ( 1)2+1 det A21 = 1 12 det 0 3 8 9 = 2. Note que apesar da entrada (1; 2) de A ser nula, a entrada (1; 2) de A 1 não é nula. (iii) Para calcular A 1 a partir do teorema anterior, é preciso calcular (cof A)T . Assim, usando por exemplo A da alínea anterior, tem-se cof A = 2 6 6 6 6 6 6 4 5 6 8 9 4 6 7 9 4 5 7 8 0 3 8 9 1 3 7 9 1 0 7 8 0 3 5 6 1 3 4 6 1 0 4 5 3 7 7 7 7 7 7 5 = 2 4 3 6 3 24 12 8 15 6 5 3 5 37
  • 38.
    pelo que (cof A)T = 2 4 324 15 6 12 6 3 8 5 3 5 e assim A 1 = 1 det A (cof A)T = 1 12 2 4 3 24 15 6 12 6 3 8 5 3 5 = 2 4 1 4 2 5 4 1 2 1 1 2 1 4 2 3 5 12 3 5 . De facto 2 4 1 4 2 5 4 1 2 1 1 2 1 4 2 3 5 12 3 5 2 4 1 0 3 4 5 6 7 8 9 3 5 = 2 4 1 0 0 0 1 0 0 0 1 3 5 . Teorema 21. (Regra de Cramer.) Seja A uma matriz do tipo n n tal que A é não singular. Então a única solução do sistema de equações lineares AX = B é dada por X = A 1 B = 1 det A (cof A)T B. Isto é, sendo X = x1 ::: xn T e B = b1 ::: bn T tem-se, para j = 1; :::; n, xj = 1 det A nX i=1 a0 jibi = det (Bj)T det A = det Bj det A , onde Bj é a matriz obtida de A substituindo a coluna j de A pela matriz coluna B dos termos independentes. Exemplo 25. O sistema de equações lineares 8 < : y + 2z = 8 4x + 2y z = 7 x z = 1 pode ser resolvido usando a regra de Cramer: x = 8 1 2 7 2 1 1 0 1 0 1 2 4 2 1 1 0 1 = 14, y = 0 8 2 4 7 1 1 1 1 0 1 2 4 2 1 1 0 1 = 18 e z = 0 1 8 4 2 7 1 0 1 0 1 2 4 2 1 1 0 1 = 13. 38
  • 39.
    2a Ficha de exercíciospara as aulas de problemas 1. Classi…que quanto à paridade as seguintes permutações de números de 1 a 6: (i) (312645) (ii) (234516) (iii) (654321) (iv) (123456) (v) (546321) (vi) (453261) (vii) (634125) (viii) (123465) 2. Na expressão do determinante de uma matriz do tipo 6 6 diga qual o sinal que afecta cada uma das seguintes parcelas: (i) a23a31a42a56a14a65 (ii) a16a25a34a43a52a61 (iii) a54a45a63a32a26a11 (iv) a16a23a34a41a62a55 3. Veri…que que (i) 0 0 a13 0 a22 a23 a31 a32 a33 = a13a22a31 (ii) 0 0 0 a14 0 0 a23 a24 0 a32 a33 a34 a41 a42 a43 a44 = a14a23a32a41 (iii) det 2 6 6 4 0 0 a1n 0 an 1 2 an 1 n an1 ann 3 7 7 5 = ( 1)nn 1 2 a1n:::an 1 2an1 4. Calcule os seguintes determinantes e diga quais são as matrizes singulares: (i) 1 2 3 4 (ii) 18563 18573 21472 21482 (iii) 1 + p 2 2 p 3 2 + p 3 1 p 2 (iv) cos sen sen cos (v) 2 0 1 5 3 0 5 1 2 (vi) 2 3 2 5 1 3 2 1 1 (vii) 2 1 1 5 1 3 2 3 2 (viii) 8 12 8 5 1 3 2 1 1 (ix) 1 2 3 4 5 6 7 8 9 (x) 0 1 0 0 1 0 1 0 0 1 0 1 0 0 1 0 (xi) 2 2 8 6 0 1 2 0 0 0 3 23 0 0 0 5 (xii) 1 3 1 1 1 2 1 1 2 1 1 1 2 0 2 0 (xiii) 0 0 0 5 0 0 3 23 0 1 2 0 2 2 8 6 (xiv) 12 22 32 42 22 32 42 52 32 42 52 62 42 52 62 72 (xv) 0 4 0 0 0 0 0 0 2 0 0 0 0 0 1 0 0 3 0 0 5 0 0 0 0 (xvi) a 0 0 0 b b a 0 0 0 0 b a 0 0 0 0 b a 0 0 0 0 b a 39
  • 40.
    (xvii) 7 4 05 1 2 0 2 2 1 3 8 2 2 0 4 (xviii) 9 0 6 4 2 5 3 0 1 2 8 0 4 1 1 6 0 3 1 3 7 0 5 2 3 (xix) 7 4 1 3 6 0 0 0 2 0 0 0 5 8 1 0 0 3 0 5 3 7 9 p 3 (xx) 2 1 0 0 7 3 0 2 3 1 1 3 9 0 0 (xxi) n n 1 ... 2 1 n 1 n 1 ... 2 1 ... ... ... 2 2 2 1 1 1 1 1 5. (i) Veri…que que a matriz 2 6 6 6 6 4 0 a 0 0 0 e 0 b 0 0 0 f 0 c 0 0 0 g 0 d 0 0 0 h 0 3 7 7 7 7 5 não é invertível para quaisquer a; b; c; d; e; f; g; h 2 R. (ii) Diga, para que valores de a; b; c; d; e; f; g; h; i; j 2 R, é invertível a seguinte matriz 2 6 6 6 6 6 6 4 0 a 0 0 0 0 f 0 b 0 0 0 0 g 0 c 0 0 0 0 h 0 d 0 0 0 0 i 0 e 0 0 0 0 j 0 3 7 7 7 7 7 7 5 6. Determine todos os valores do escalar para os quais a matriz A I é não invertível, onde A é dada por: (i) 0 3 2 1 (ii) 2 4 1 0 2 0 1 2 2 2 0 3 5 (iii) 2 4 1 1 1 1 1 1 1 1 1 3 5 (iv) 2 6 4 1 1 ... ... ... 1 1 3 7 5 n n 7. Indique três matrizes A do tipo 2 2 tais que tr A = = det A. 8. Seja A = 2 6 6 4 1 0 1 1 0 0 0 1 1 1 0 3 7 7 5 ; com 2 R a) Diga, justi…cando, quais são os valores de para os quais A é invertível. b) Seja n 2 N. Calcule det (A0)n + (A0)n+2 . c) Considerando os valores de para os quais A é invertível, calcule a entrada (3; 1) da matriz inversa de A . 40
  • 41.
    9. Use afórmula de inversão de matrizes para inverter: (i) 1 2 3 4 (ii) 2 4 1 1 1 0 1 1 0 0 1 3 5 (iii) 2 4 1 0 4 1 1 3 0 6 0 3 5 10. Sejam A = 2 6 6 4 3 2 0 2 1 0 0 3 0 9 2 0 3 1 0 2 3 7 7 5 B = 2 6 6 4 1 0 0 2 4 0 1 0 0 1 0 3 0 1 2 2 3 7 7 5 . (i) Sem calcular A 1 e B 1 , determine as entradas (2; 2) de A 1 e (2; 3) de B 1 . (ii) Veri…que que det (A + B) 6= det A + det B e det (A B) 6= det A det B. 11. Use a regra de Cramer para calcular as soluções dos sistemas: (i) 2x + 3y = 1 5x + 7y = 3 (ii) 8 < : x + y = 1 2x + z = 1 x + 2y + 2z = 1 12. Sejam C = 2 4 1 0 1 2 3 2 0 1 2 3 5 e D = 2 4 9 8 1 7 3 0 2 0 0 3 5. Veri…que que C e D são invertíveis e calcule: (i) det (2C 1 ) (ii) det C3 (2C) 1 (iii) det CT 2C 1 (iv) det CT 1 2 C 2 (v) det (C2 + 2D) (vi) det 2CT 2 3 D3 1 DT 1 C 1 Sugestão: Sejam m 2 N, escalar, A; B e S matrizes n n com S invertível, tem-se (a) det (AB) = (det A) (det B) (b) det ( B) = n det B (c) det AT = det A (d) det (A 1 ) = 1 det A (e) ( B)T = BT (f) S m = (S 1 ) m 13. Sejam A e B matrizes 3 3 tais que det A = p 3 e det B = 1 2 . Calcule det(2AT B 3 ). 14. Sejam a; b; c; d; e; f 2 R. Sabendo que a b 0 c d e 0 f g h 0 i x y 1 z = 5; calcule: (i) d e f g h i a b c (ii) a b c 2d 2e 2f g h i (iii) a + d b + e c + f d e f g h i (iv) 2i 2h 2g f 3c e 3b d 3a c b a (v) a g d b h e c i f 41
  • 42.
    15. Sejam a;b; c 2 R. Sabendo que a b c 2 1 0 1 2 1 = 1; calcule: (i) a b c 6 3 0 1 2 1 1 2 (ii) a b c 2a + 2 2b + 1 2c a + 1 b + 2 c + 1 (iii) a 1 b 2 c 1 3 3 1 1 2 1 (iv) 1 1 1 2 1 0 3a + 1 3b + 2 3c + 1 16. Sejam ; 2 R. Sabendo que 1 2 1 1 1 + 2 = 1; calcule 1 2 + 2 2 . 17. Seja 2 R. Veri…que que 1 1 1 1 1 + 1 2 2 2 2 + 1 + 2 3 3 3 + 1 + 2 + 3 4 4 + 1 + 2 + 3 + 4 5 + 1 + 2 + 3 + 4 + 5 = 6 . 18. Seja 2 R. Calcule o determinante da seguinte matriz do tipo n n. 2 6 6 6 6 6 6 6 6 4 1 + 1 1 1 ... 1 + 1 ... ... 1 ... 1 ... ... ... + 1 1 1 1 1 1 + 1 3 7 7 7 7 7 7 7 7 5 19. Sejam 6= 0 e A = (aij)n n. Mostre que det A = det i j aij . 20. Que condições devem os parâmetros reais a; b e c veri…car para que a matriz 2 4 1 a a2 1 b b2 1 c c2 3 5 seja invertível? 21. Veri…que que (i) det 2 4 1 1 1 x1 y1 y1 x2 x2 y2 3 5 = (y1 x1) (y2 x2) (ii) det 2 6 6 4 (x1)3 (x1)2 x1 1 (x2)3 (x2)2 x2 1 (x3)3 (x3)2 x3 1 (x4)3 (x4)2 x4 1 3 7 7 5 = (x1 x2) (x1 x3) (x1 x4) (x2 x3) (x2 x4) (x3 x4) 42
  • 43.
    22. Mostre que: (i) b+ c c + a b + a a b c 1 1 1 = 0 (ii) b1 + c1 b2 + c2 b3 + c3 c1 + a1 c2 + a2 c3 + a3 a1 + b1 a2 + b2 a3 + b3 = 2 a1 b1 c1 a2 b2 c2 a3 b3 c3 (iii) a1 + b1 a1 b1 c1 a2 + b2 a2 b2 c2 a3 + b3 a3 b3 c3 = 2 a1 b1 c1 a2 b2 c2 a3 b3 c3 (iv) a1 b1 a1 + b1 + c1 a2 b2 a2 + b2 + c2 a3 b3 a3 + b3 + c3 = a1 b1 c1 a2 b2 c2 a3 b3 c3 23. Veri…que que a1 + b1 c1 + d1 a2 + b2 c2 + d2 = a1 c1 a2 c2 + a1 c1 b2 d2 + b1 d1 a2 c2 + b1 d1 b2 d2 : 24. Sem calcular explicitamente o determinante, mostre que para x = 0 e x = 2 se tem x2 x 2 2 1 1 0 0 5 = 0. 25. Sem calcular o determinante, diga qual o coe…ciente de x3 na expressão 2x x 1 2 1 x 1 1 3 2 x 1 9 8 7 x . 26. Resolva as seguintes equações. (i) 1 x 1 0 1 1 1 0 2 = 0 (ii) x x x x x 4 x x x x 4 x x x x 4 = 0 (iii) x 1 1 1 1 x 1 1 1 1 x 1 1 1 1 x = 0 27. Sabendo que 533; 715 e 871 são múltiplos de 13, justi…que que 5 3 3 7 1 5 8 7 1 é também múltiplo de 13, sem calcular o determinante. 28. Sem calcular o determinante, veri…que que 2 1 8 1 0 10 3 7 4 é múltiplo de 5. 29. Seja A = (aij)n n com n ímpar e tal que aij + aji = 0, para todos os i; j = 1; :::; n: Mostre que A não é invertível. Isto é, toda a matriz anti-simétrica de ordem ímpar não é invertível. 30. Mostre que se uma matriz fôr ortogonal então o seu determinante ou é 1 ou é 1. E se a matriz fôr unitária? 43
  • 44.
    Espaços lineares (ouEspaços vectoriais) De…nição 28. Um conjunto não vazio V é um espaço linear (real) se existirem duas operações associadas a V , uma soma de elementos de V e um produto de escalares (números reais) por elementos de V , com as seguintes propriedades: (a) (Fecho da soma). Para quaisquer u; v 2 V u + v 2 V: (b) (Fecho do produto por escalares). Para quaisquer 2 R e u 2 V u 2 V: (c) (Comutatividade da soma). Para quaisquer u; v 2 V , u + v = v + u: (d) (Associatividade da soma). Para quaisquer u; v; w 2 V , u + (v + w) = (u + v) + w: (e) (Elemento neutro da soma). Existe um elemento de V designado por 0 tal que, para qualquer u 2 V , u + 0 = u: (f) (Simétrico). Para cada (qualquer) u 2 V existe v 2 V tal que u + v = 0: A v chama-se o simétrico de u e denota-se por u. (g) (Associatividade do produto por escalares). Para quaisquer ; 2 R e u 2 V , ( u) = ( ) u: (h) (Distributividade em relação à soma de vectores). Para quaisquer 2 R e u; v 2 V , (u + v) = u + v: (i) (Distributividade em relação à soma de escalares). Para quaisquer ; 2 R e u 2 V , ( + ) u = u + u: (j) Para qualquer u 2 V , 1u = u: 44
  • 45.
    Observação 15. Aoselementos de V chamaremos vectores. Exemplo 26. Exemplos de espaços lineares. Seja 2 R. (i) Rn = f(x1; :::; xn) : x1; :::; xn 2 Rg, com as operações usuais: (u1; :::; un) + (v1; :::; vn) = (u1 + v1; :::; un + vn), (u1; :::; un) = ( u1; :::; un). (ii) Mm n (R) (conjunto de todas as matrizes reais do tipo m n), com as operações (usuais): A + B e A. (iii) O conjunto de todas as funções reais de variável real de…nidas num conjunto S R, com as operações usuais: (f + g)(x) = f(x) + g(x), ( f)(x) = f(x). (iv) O conjunto P = fa0 + a1t + ::: + asts : a0; a1; :::; as 2 R e s 2 N0g de todos os polinómios reais de variável real, com as operações usuais. (v) Seja n 2 N …xo. O conjunto Pn = fa0 + a1t + ::: + antn : a0; a1; :::; an 2 Rg de todos os polinómios reais de variável real e de grau menor ou igual a n, com as operações usuais. (a0 + a1t + ::: + antn ) + (b0 + b1t + ::: + bntn ) = a0 + b0 + (a1 + b1) t + ::: + (an + bn) tn (a0 + a1t + ::: + antn ) = a0 + ( a1) t + ::: + ( an) tn . Observação 16. Existem espaços lineares com operações não usuais: (i) O conjunto dos números reais R, com a soma de…nida por u v = u + v + 1, e o produto por escalares de…nido por u = u + 1, é um espaço linear. (Neste caso o elemento neutro é 1.) (ii) O conjunto dos números reais maiores do que zero, com a soma de…nida por u v = uv, e o produto por escalares de…nido por u = u , é um espaço linear. (Neste caso o elemento neutro é 1.) 45
  • 46.
    Observação 17. Alteraçõesnos conjuntos considerados anteriormente podem resultar em conjuntos que não são espaços lineares. (i) O conjunto f(x; y) 2 R2 : x 0 e y 0g, com as operações usuais, não é um espaço linear. Por exemplo, os simétricos não estão no conjunto. (ii) O conjunto V = fa0 + a1t + ::: + antn : a0; a1; :::; an 2 R e an 6= 0g de todos os polinómios reais de grau igual a n, com as operações usuais, não é um espaço linear. Por exemplo, para n > 1: tn ; tn + t 2 V , mas tn + ( tn + t) = t =2 V . (iii) O conjunto U = ff : R ! R tais que f(1) = 2g, com as operações usuais, não é um espaço linear. Por exemplo, se f1; f2 2 U, (f1 + f2) (1) = f1(1) + f2(1) = 2 + 2 = 4 6= 2. Logo, f1 + f2 =2 U. De…nição 29. Seja V um espaço linear. Diz-se que S é um subespaço de V se S é um subconjunto de V e se S, com as operações de V , fôr um espaço linear. Observação 18. No entanto, para mostrar que um certo conjunto S V é um subespaço do espaço linear V , não será necessário veri…car as 10 propriedades da de…nição de espaço linear, como se pode ver no seguinte teorema. Teorema 22. Um subconjunto não vazio S de um espaço linear V é um subespaço de V se e só se: (i) Para quaisquer u; v 2 S tem-se u + v 2 S. (ii) Para quaisquer 2 R e u 2 S tem-se u 2 S. Exemplo 27. Exemplos de subespaços: (i) Os únicos subespaços do espaço linear R, com as operações usuais, são f0g e R. (ii) Os subespaços do espaço linear R3 , com as operações usuais, são: f(0; 0; 0)g, R3 , todas as rectas que passam pela origem e todos os planos que passam pela origem. (iii) O conjunto de todas as matrizes (reais) triangulares superiores (do tipo n n) é um subespaço do espaço linear Mn n (R), com as operações usuais. (iv) O conjunto de todas as funções reais de…nidas e contínuas em I R (I é um intervalo) é um subespaço do espaço linear de todas as funções f : I ! R, com as operações usuais. 46
  • 47.
    (v) Seja Auma matriz (real) do tipo m n. O conjunto C(A) = fb 2 Rm : Au = b tem pelo menos uma solução ug é um subespaço do espaço linear Rm , com as operações usuais, ao qual se dá o nome de espaço das colunas de A. (vi) Seja A uma matriz (real) do tipo m n. O conjunto N(A) = fu 2 Rn : Au = 0g é um subespaço do espaço linear Rn , com as operações usuais, ao qual se dá o nome de espaço nulo ou núcleo de A. Observação 19. (i) Se A é invertível então N(A) = f0g. (ii) Se N(A) = f0g então A é invertível. De…nição 30. Seja S um subconjunto não vazio de um espaço linear V . Diz-se que um vector u é combinação linear …nita dos elementos de S, se existir um no …nito de elementos de S, u1; :::; uk, e de escalares 1; :::; k tais que u = 1u1 + ::: + kuk = kX i=1 iui. Ao conjunto de todas as combinações lineares …nitas de elementos de S chama-se expansão linear de S e designa-se por L(S). Isto é, L(S) = f 1u1 + ::: + kuk : 1; :::; k 2 Rg , no caso do corpo dos escalares ser R. Se S é o conjunto vazio ?, escreve-se L(?) = f0g. Teorema 23. Seja S um subconjunto não vazio de um espaço linear V . A expansão linear L(S) de S é o menor subespaço de V que contém S. Deste modo, a L(S) também se chama o subespaço gerado por S, e diz-se que S gera L(S) ou ainda que S é um conjunto gerador de L(S). Observação 20. (i) Seja S e T dois subconjuntos não vazios de um espaço linear V , com S T. Se L(S) = V então L(T) = V . (ii) Todo o subespaço do espaço linear Rn pode ser escrito como o núcleo de uma matriz. Exemplo 28. (i) O espaço linear R2 é gerado por qualquer dos seguintes conjuntos de vectores: f(1; 0); (0; 1)g, f(1; 2); ( 1; 11)g e f(23; 8); (6; 14)g. 47
  • 48.
    (ii) O subespaçof(x; y) 2 R2 : y = 2xg do espaço linear R2 é gerado por qualquer dos seguintes conjuntos de vectores: f(1; 2)g, f( 2; 4)g e f(77; 154)g. (iii) O espaço linear Pn de todos os polinómios reais de variável real e de grau menor ou igual a n, é gerado por qualquer dos seguintes conjuntos de vectores: f1; t; t2 ; :::; tn g, f1; 1 + t; (1 + t)2 ; :::; (1 + t)n g e f1; t 1! ; t2 2! ; :::; tn n! g. (iv) O espaço linear P de todos os polinómios reais de variável real, é gerado pelo conjunto in…nito de vectores: f1; t; t2 ; :::g. (v) Seja U o espaço linear de todas as funções reais com primeira derivada contínua em R (isto é, pertencentes a C1 (R)) e tais que f0 (x) = af (x) (em R) com a 2 R. Então U é gerado pela função g (x) = eax , tendo-se U = L (fgg). (vi) Seja A uma matriz (real) do tipo m n. O espaço das colunas de A, C(A) = fb 2 Rm : Au = b tem pelo menos uma solução ug , é o subespaço (do espaço linear Rm ) gerado pelas colunas de A, uma vez que: 2 6 4 b1 ... bm 3 7 5 = 2 6 4 a11 a1n ... ... am1 amn 3 7 5 2 6 4 u1 ... un 3 7 5 = u1 2 6 4 a11 ... am1 3 7 5 + ::: + un 2 6 4 a1n ... amn 3 7 5 . (vii) Seja A uma matriz (real) do tipo m n. Ao subespaço linear de Rn gerado pelas linhas de A dá-se o nome de espaço das linhas de A e designa-se por L(A). (viii) A = 0 0 0 0 0 0 , B = 2 4 1 3 1 0 0 7 0 0 0 3 5, C = 2 4 1 2 2 4 2 4 3 5, D = 2 0 0 1 . C(A) = f(0; 0)g, N(A) = R3 , L(A) = f(0; 0; 0)g. C(B) = L (f(1; 0; 0) ; (1; 7; 0)g) , N(B) = L (f(3; 1; 0)g) ; L(B) = L (f(1; 3; 1) ; (0; 0; 7)g) . C(C) = L (f( 1; 2; 2)g) ; N(C) = L (f(2; 1)g) ; L(C) = L (f( 1; 2)g) : C(D) = L (f(2; 0) ; (0; 1)g) , N(D) = f(0; 0)g; L(D) = L (f(2; 0) ; (0; 1)g) . (ix) Seja U = fA 2 M3 2(R) : a12 = a21 = a32 = 0 e a11 + 2a31 = 0g. Tem-se, para A 2 U, A = 2 4 a11 a12 a21 a22 a31 a32 3 5 = 2 4 2a31 0 0 a22 a31 0 3 5 = a31 2 4 2 0 0 0 1 0 3 5 + a22 2 4 0 0 0 1 0 0 3 5 , 48
  • 49.
    com a31; a222 R. Logo, U = L 0 @ 8 < : 2 4 2 0 0 0 1 0 3 5 ; 2 4 0 0 0 1 0 0 3 5 9 = ; 1 A . (x) Seja U = fp(t) = a0 + a1t + a2t2 2 P2 : p(1) = p(0)g. Tem-se, para p(t) 2 U, p(1) = p(0) , a0 + a1 + a2 = a0 , a1 + a2 = 0 , a1 = a2. Logo, p(t) = a0 a2t + a2t2 = a01 + a2 ( t + t2 ), com a0; a2 2 R. Assim, U = L 1; t + t2 . Teorema 24. Se U e V são subespaços do espaço linear W, então: (i) O conjunto U V é um subespaço linear de W. (ii) O conjunto U + V = fu + v : u 2 U e v 2 V g é um subespaço de W. É o menor subespaço de W que contém U [ V . O conjunto U [ V em geral não é um subespaço. Escreve-se U + V = L(U [ V ). Exemplo 29. (i) Em R3 , considere os subespaços: U = f(x; y; z) 2 R3 : x + y 2z = 0g e V = L (f(1; 1; 1); (1; 2; 1)g) . Seja v 2 V , então v = (1; 1; 1) + (1; 2; 1) = ( + ; + 2 ; + ), com ; 2 R. Para que v esteja também em U é preciso que: ( + ) + ( + 2 ) 2 ( + ) = 0. A última equação é equivalente a 4 + = 0 , = 4 . Logo, U V = f( 3 ; 7 ; 5 ) : 2 Rg = f ( 3; 7; 5) : 2 Rg = L (f(3; 7; 5)g) . (ii) Em R3 , considere os subespaços: U = L (f(1; 1; 1); (1; 2; 2)g) e V = L (f(2; 1; 1); ( 1; 1; 3)g) . Seja v 2 U, então v = (1; 1; 1) + (1; 2; 2) = ( + ; + 2 ; + 2 ), com ; 2 R. Para que v esteja também em V é preciso que: ( + ; + 2 ; + 2 ) = (2; 1; 1) + ( 1; 1; 3) = (2 ; + ; + 3 ) , 49
  • 50.
    com ; 2R. Deste modo, 8 < : + = 2 + 2 = + + 2 = + 3 . Considerando a matriz aumentada tem-se 2 4 1 1 j 2 1 2 j + 1 2 j + 3 3 5 ! L1+L2!L2 L1+L3!L3 2 4 1 1 j 2 0 3 j 3 0 1 j + 4 3 5 !1 3 L2+L3!L3 2 4 1 1 j 2 0 3 j 3 0 0 j 2 + 4 3 5 . Logo, 8 < : + = 2 = 0 = 2 + 4 . , 8 < : = = 2 = 2 . Assim, (1; 1; 1) + (1; 2; 2) = (1; 1; 1) + 2 (1; 2; 2) = (3 ; 3 ; 5 ) = (3; 3; 5). Logo, U V = f(3 ; 3 ; 5 ) : 2 Rg =f (3; 3; 5) : 2 Rg = L (f(3; 3; 5)g) . Observação 21. Neste exemplo (ii), os subespaços U e V poderiam ter sido apresentados inicialmente na forma: U = f(x; y; z) 2 R3 : 4x + y 3z = 0g e V = f(x; y; z) 2 R3 : 2x 7y + 3z = 0g, uma vez que 2 4 1 1 x 1 2 y 1 2 z 3 5 ! L1+L2!L2 L1+L3!L3 2 4 1 1 x 0 3 x + y 0 1 z x 3 5 !1 3 L2+L3!L3 2 4 1 1 x 0 3 x + y 0 0 z 4 3 x 1 3 y 3 5 e logo (x; y; z) 2 U , z 4 3 x 1 3 y = 0 , 4x + y 3z = 0. Por outro lado, U = f(x; y; z) 2 R3 : 4x + y 3z = 0g = L (f(1; 4; 0); (0; 3; 1)g) = L (f(1; 1; 1); (1; 2; 2)g) pois sendo y = 4x + 3z, U = f(x; 4x+3z; z) : x; z 2 Rg = fx(1; 4; 0)+z(0; 3; 1) : x; z 2 Rg = L (f(1; 4; 0); (0; 3; 1)g) . De facto, como (1; 4; 0)) = 2(1; 1; 1) (1; 2; 2) e (0; 3; 1) = (1; 1; 1) + (1; 2; 2) (1; 1; 1) = (1; 4; 0) + (0; 3; 1) e (1; 2; 2) = (1; 4; 0) + 2(0; 3; 1) ou seja 2 4 1 1 1 2 1 2 3 5 = 2 4 1 0 4 3 0 1 3 5 1 1 1 2 , 2 4 1 1 1 2 1 2 3 5 2 1 1 1 = 2 4 1 0 4 3 0 1 3 5 50
  • 51.
    em que 2 1 11 = 1 1 1 2 1 , tem-se U = L (f(1; 4; 0); (0; 3; 1)g) = L (f(1; 1; 1); (1; 2; 2)g). Analogamente se mostra que V = f(x; y; z) 2 R3 : 2x 7y+3z = 0g = L (f(7; 2; 0); ( 3; 0; 2)g) = L (f(2; 1; 1); ( 1; 1; 3)g) . (iii) Seja U o subespaço de Mn n(R) das matrizes triangulares superiores e seja V o subespaço de Mn n(R) das matrizes triangulares inferiores. Então U + V = Mn n(R) e U V = subespaço das matrizes diagonais. (iv) Sejam U = L(f(1; 0)g) e V = L(f(0; 1)g) subespaços de R2 . O conjunto U [ V = f(x; y) 2 R2 : x = 0 _ y = 0g não é um espaço linear pois (1; 0) | {z } 2U + (0; 1) | {z } 2V = (1; 1) =2 U [ V . No entanto, tem-se U + V = R2 . Teorema 25. Se U e V subespaços do espaço linear W, então U [ V é subespaço de W se e só se U V ou V U. Teorema 26. Sejam W1 e W2 subespaços de um espaço linear V tais que W1 W2 = f0g: Se V = W1 + W2 então todo o vector v 2 V pode ser escrito de modo único na forma v = w1 + w2 com w1 2 W1 e w2 2 W2. Neste caso escreve-se V = W1 W2 e diz-se que V é a soma directa dos espaços W1 e W2. Teorema 27. Seja A 2 Mm n(R). Tem-se C(A) = L(AT ) e L(A) N(A) = f0g. Observação 22. Seja A 2 Mm n(R). Se A0 fôr a matriz em escada que se obtem de A por aplicação do método de eliminação de Gauss, tem-se C(A) 6= C(A0 ). Teorema 28. Seja A 2 Mm n(R). O espaço das linhas L(A) e o núcleo N(A) mantêm- se invariantes por aplicação do método de eliminação de Gauss. Isto é, sendo A0 a matriz em escada que se obtem de A por aplicação desse método, tem-se L(A) = L(A0 ) e N(A) = N(A0 ). 51
  • 52.
    Independência linear De…nição 31.Seja V um espaço linear. Seja S = fv1; :::; vkg V: Diz-se que o conjunto S é linearmente dependente se e só se algum dos vectores de S se escrever como combinação linear dos restantes, isto é, se e só se existir algum i 2 f1; :::; kg e escalares 1; :::; i 1; i+1; :::; k 2 R tais que vi = 1v1 + ::: + i 1vi 1 + i+1vi+1 + ::: + kvk. De…nição 32. Seja V um espaço linear. Seja S = fv1; :::; vkg V: Diz-se que o conjunto S é linearmente independente se e só se nenhum dos vectores de S se puder escrever como combinação linear dos restantes, isto é, se e só a única solução do sistema homogéneo 1v1 + ::: + kvk = 0 fôr a solução trivial, ou seja, 1 = ::: = k = 0. No caso em que V = Rn , sendo A a matriz cujas colunas são os vectores de S V , diz-se que S é linearmente independente se e só se N(A) = f0g. Teorema 29. Seja A0 uma matriz em escada de linhas. (i) As colunas de A0 que contêm pivots são linearmente independentes. (ii) As linhas não nulas de A0 são linearmente independentes. (iii) O no de linhas independentes e o no de colunas independentes (de A0 ) são ambos iguais à característica de A0 . Observação 23. (i) Assim, atendendo ao teorema anterior, a independência linear de S = fv1; v2; :::; vkg V (espaço linear) pode ser decidida aplicando o método de eliminação à matriz A cujas colunas são os vectores de S, de modo a colocá-la em escada de linhas. Sendo A0 essa matriz em escada, tem-se N(A) = N(A0 ) (*). Uma vez que as colunas de A0 que contêm pivots são linearmente independentes então, devido a (*), as colunas de A nas posições correspondentes também serão linearmente independentes. (ii) Em R, quaisquer dois vectores são linearmente dependentes. (iii) Em R2 , dois vectores são linearmente independentes se não forem colineares. 52
  • 53.
    (iv) Em R3 ,três vectores são linearmente independentes se não forem coplanares. (v) Qualquer conjunto que contenha o vector nulo (elemento neutro) é linearmente de- pendente. Em particular, o conjunto f0g, formado apenas pelo vector nulo, é linearmente dependente. (vi) O conjunto vazio ? é linearmente independente. Teorema 30. Sejam S1 e S2 dois subconjuntos …nitos de um espaço linear, tais que S1 S2. (i) Se S1 é linearmente dependente então S2 também é linearmente dependente. (ii) Se S2 é linearmente independente então S1 também é linearmente independente. Observação 24. Sejam S1 e S2 dois subconjuntos …nitos de um espaço linear, tais que S1 S2. (i) Se S2 fôr linearmente dependente então S1 tanto pode ser linearmente dependente como linearmente independente. (ii) Se S1 fôr linearmente independente então S2 tanto pode ser linearmente dependente como linearmente independente. Exemplo 30. Seja S = f(1; 0; 2); (2; 0; 4); (0; 1; 2)g. Tem-se A = 2 4 1 2 0 0 0 1 2 4 2 3 5 ! 2L1+L3!L3 2 4 1 2 0 0 0 1 0 0 2 3 5 ! 2L2+L3!L3 2 4 1 2 0 0 0 1 0 0 0 3 5 = A0 : Logo, como apenas existem dois pivots e portanto uma variável livre, as três colunas de A são linearmente dependentes, isto é, o conjunto S é linearmente dependente. O subconjunto de S: f(1; 0; 2); (2; 0; 4)g também é linearmente dependente. No entanto, uma vez que a 1a e 3a colunas de A são independentes pois correspondem às colunas da matriz em escada A0 que contêm os pivots, o subconjunto de S: f(1; 0; 2); (0; 1; 2)g é linearmente independente. 53
  • 54.
    Bases e dimensãode um espaço linear De…nição 33. Chama-se base de um espaço linear V a qualquer subconjunto B de V que veri…que as duas condições: (i) B gera V , isto é, L(B) = V . (ii) B é linearmente independente. Teorema 31. Qualquer espaço linear V 6= f0g tem pelo menos uma base. Observação 25. Qualquer espaço linear V 6= f0g tem um no in…nito de bases. Por exem- plo, se B = fu1; :::; ukg fôr uma base de V então para cada 6= 0 o conjunto f u1; :::; ukg é também uma base de V . Teorema 32. (i) Seja V 6= f0g um espaço linear. Sejam p; q 2 N tais que fu1; :::; upg é um conjunto gerador de V e fv1; :::; vqg é um subconjunto de V linearmente independente. Então p q. (ii) Todas as bases de um espaço linear V 6= f0g têm o mesmo no de vectores. De…nição 34. Chama-se dimensão de um espaço linear V 6= f0g ao no de vectores de uma base qualquer de V , e escreve-se dim V . Se V = f0g então dim V = 0 uma vez que o conjunto vazio ? é base de f0g. Um espaço linear terá dimensão …nita se uma sua base tiver um no …nito de vectores. Observação 26. A dimensão de um espaço linear, isto é, o no de elementos de uma sua base é igual ao no mínimo de vectores possam constituir um conjunto gerador desse espaço e é também igual ao no máximo de vectores que possam constituir um conjunto linearmente independente nesse espaço. Exemplo 31. (i) O conjunto f1g é uma base de R, chamada base canónica ou natural de R. Logo, dim R = 1. (ii) O conjunto f(1; 0); (0; 1)g é uma base de R2 , chamada base canónica ou natural de R2 . Logo, dim R2 = 2. (iii) O conjunto f(1; 0; 0); (0; 1; 0); (0; 0; 1)g é uma base de R3 , chamada base canónica ou natural de R3 . Logo, dim R3 = 3. (iv) O conjunto 1 0 0 0 0 0 ; 0 1 0 0 0 0 ; 0 0 1 0 0 0 ; 0 0 0 1 0 0 ; 0 0 0 0 1 0 ; 0 0 0 0 0 1 54
  • 55.
    é uma basede M2 3(R), chamada base canónica ou natural de M2 3(R). Logo, dim M2 3(R) = 6. (v) Tem-se dim Rn = n e dim Mm n(R) = mn. (vi) O conjunto f1; t; t2 ; :::; tn g é uma base de Pn (espaço linear de todos os polinómios reais de variável real e de grau menor ou igual a n), chamada base canónica ou natural de Pn. Logo, dim Pn = n + 1. (vii) O conjunto f1; t; t2 ; :::g é uma base de P (espaço linear de todos os polinómios reais de variável real), chamada base canónica ou natural de P. Logo, dim P = 1. Observação 27. Seja A uma matriz do tipo m n. Tem-se nul A = dim N(A) e car A = dim L(A). Teorema 33. Seja A uma matriz do tipo m n. Tem-se dim C(A) = dim L(A) = car A. Dem. Suponhamos que car A = k. Sendo A0 a matriz m n em escada (reduzida) de linhas, então A0 tem exactamente k linhas não nulas. Sejam R1; :::; Rk essas linhas. Como L(A) = L(A0 ), então as linhas L1; :::; Lm de A podem ser expressas como combinações lineares das linhas R1; :::; Rk, ou seja, existem escalares cij; com i = 1; :::; m e j = 1; :::; k tais que L1 = c11R1 + ::: + c1kRk ::: Lm = cm1R1 + ::: + cmkRk Para i = 1; :::; m, sejam aij e rij as componentes j das linhas Li e Ri respectivamente. Assim, tem-se a1j = c11r1j + ::: + c1krkj ::: amj = cm1r1j + ::: + cmkrkj ou seja, matricialmente, 2 6 4 a1j ... amj 3 7 5 = r1j 2 6 4 c11 ... cm1 3 7 5 + ::: + rkj 2 6 4 c1k ... cmk 3 7 5 . Como 2 6 4 a1j ... amj 3 7 5 é a coluna j de A, a última igualdade mostra que os vectores 2 6 4 c11 ... cm1 3 7 5 ; :::; 2 6 4 c1k ... cmk 3 7 5 55
  • 56.
    geram C (A).Logo, tem-se dim C (A) k = dim L (A) . Deste modo, substituindo A por AT tem-se também dim C AT | {z } =dim L(A) dim L AT | {z } =dim C(A) : Ou seja, tem-se dim C (A) dim L (A) e dim L (A) dim C (A) . Isto é, dim C (A) = dim L (A) . Teorema 34. Sejam W1 e W2 dois subespaços de dimensão …nita de um espaço linear V . Então, dim (W1 + W2) = dim W1 + dim W2 dim (W1 W2) . Teorema 35. Sejam V um espaço linear de dimensão …nita e W um subespaço de V . (i) Seja S = fu1; :::; ukg V . Se S é linearmente independente então S será um subcon- junto de uma base de V e ter-se-á dim V k. (ii) Se dim V = n, então quaisquer m vectores de V , com m > n, são linearmente dependentes. (iii) Se dim V = n, então nenhum conjunto com m vectores de V , em que m < n, pode gerar V . (iv) O subespaço W tem dimensão …nita e dim W dim V . (v) Se dim W = dim V , então W = V . (vi) Se dim V = n, então quaisquer n vectores de V linearmente independentes cons- tituem uma base de V . (vii) Se dim V = n, então quaisquer n vectores geradores de V constituem uma base de V . Exemplo 32. Seja A 2 Mm n(R). Recorde que: car A + nul A = n. Como L(A) e N(A) são subespaços de Rn então L(A) + N(A) = L (L(A) [ N(A)) 56
  • 57.
    é também umsubepaço de Rn . Por outro lado, atendendo a que L(A) N(A) = f0g tem-se dim (L(A) N(A)) = 0. Assim, dim (L(A) + N(A)) = dim L(A) + dim N(A) dim (L(A) N(A)) = = car A + nul A 0 = = n. Logo Rn = L(A) N(A). Exemplo 33. (i) Os seguintes conjuntos são todos os subespaços de R: f0g e R. (ii) Os seguintes conjuntos são todos os subespaços de R2 : f(0; 0)g , todas as rectas que contêm a origem e R2 . (iii) Os seguintes conjuntos são todos os subespaços de R3 : f(0; 0; 0)g , todas as rectas que contêm a origem, todos os planos que contêm a origem e R3 . Observação 28. O método de eliminação de Gauss permite determinar a dimensão e uma base quer para o espaço das linhas L(A) quer para o espaço das colunas C(A) de uma matriz A. Seja A0 a matriz em escada que se obtem de A por aplicação do método de eliminação de Gauss. Então, (i) Uma base para L(A) será formada pelas linhas não nulas de A0 . (ii) Uma base para C(A) será formada pelas colunas de A que correspondem às posições das colunas de A0 que contêm os pivots. Exemplo 34. Seja A = 2 4 2 1 1 1 4 2 3 3 6 3 1 1 3 5 . Tem-se A = 2 4 2 1 1 1 4 2 3 3 6 3 1 1 3 5 ! 2L1+L2!L2 3L1+L3!L3 2 4 2 1 1 1 0 0 1 1 0 0 4 4 3 5 ! 4L2+L3!L3 2 4 2 1 1 1 0 0 1 1 0 0 0 0 3 5 = A0 . 57
  • 58.
    Logo, f(2; 1;1; 1); (0; 0; 1; 1)g é uma base de L(A) e f(2; 4; 6); (1; 3; 1)g é uma base de C(A). Assim, dim L(A) = 2 = dim C(A) e L(A) = L (f(2; 1; 1; 1); (0; 0; 1; 1)g) , C(A) = L (f(2; 4; 6); (1; 3; 1)g) . Por outro lado, N(A0 ) = 8 >>< >>: (x; y; z; w) 2 R4 : A0 2 6 6 4 x y z w 3 7 7 5 = 2 6 6 4 0 0 0 0 3 7 7 5 9 >>= >>; = = f(x; 2x; w; w) : x; w 2 Rg = L (f(1; 2; 0; 0); (0; 0; 1; 1)g) . Como o conjunto f(1; 2; 0; 0); (0; 0; 1; 1)g é linearmente independente e gera N(A0 ) então é uma base de N(A0 ). Finalmente, uma vez que N(A) = N(A0 ), o conjunto f(1; 2; 0; 0); (0; 0; 1; 1)g é uma base de N(A) e portanto dim N(A) = 2, com N(A) = L (f(1; 2; 0; 0); (0; 0; 1; 1)g) . Exemplo 35. Seja S = f1; 2; 1); (2; 1; 1); ( 1; 2; 1); (0; 1; 0)g R3 . Determinemos uma base para L(S). Considerando a matriz cujas colunas são os vectores de S, tem-se 2 4 1 2 1 0 2 1 2 1 1 1 1 0 3 5 ! 2L1+L2!L2 L1+L3!L3 2 4 1 2 1 0 0 3 0 1 0 3 0 0 3 5 ! L2+L3!L3 2 4 1 2 1 0 0 3 0 1 0 0 0 1 3 5 . Logo, S0 = f1; 2; 1); (2; 1; 1); (0; 1; 0)g é uma base de L(S). Como dim R3 = 3, então tem-se mesmo: L(S) = R3 e S0 é uma base de R3 . Resolução alternativa: Considerando a matriz cujas linhas são os vectores de S, tem-se 2 6 6 4 1 2 1 2 1 1 1 2 1 0 1 0 3 7 7 5 ! 2L1+L2!L2 L1+L3!L3 2 6 6 4 1 2 1 0 3 3 0 0 0 0 1 0 3 7 7 5 ! L3$L4 2 6 6 4 1 2 1 0 3 3 0 1 0 0 0 0 3 7 7 5 !1 3 L2+L3!L3 2 6 6 4 1 2 1 0 3 3 0 0 1 0 0 0 3 7 7 5 . Logo, S0 = f1; 2; 1); (0; 3; 3); (0; 0; 1)g é uma base de L(S). Como dim R3 = 3, então tem-se mesmo: L(S) = R3 e S0 é uma base de R3 . Exemplo 36. Seja Sa;b = f1; 0; 1); (0; 1; a); (1; 1; b); (1; 1; 1)g R3 . Determinemos os valores dos parâmetros a e b para os quais Sa;b não gere R3 . 58
  • 59.
    Considerando a matrizcujas colunas são os vectores de S, tem-se 2 4 1 0 1 1 0 1 1 1 1 a b 1 3 5 ! L1+L3!L3 2 4 1 0 1 1 0 1 1 1 0 a b 1 0 3 5 ! aL2+L3!L3 2 4 1 0 1 1 0 1 1 1 0 0 b a 1 a 3 5 . Logo, Sa;b não gera R3 se e só se b a 1 = 0 e a = 0, isto é, se e só se a = 0 e b = 1. Teorema 36. (i) Seja A 2 Mm n(R). As colunas de A geram Rm se e só se car A = m. (ii) Seja A 2 Mm n(R). As colunas de A são linearmente independentes se e só se car A = n. (iii) Seja A 2 Mn n(R). A matriz A é invertível se e só se as colunas de A (ou as linhas de A) formarem uma base de Rn . No caso de A ser invertível tem-se C(A) = L(A) = Rn . Observação 29. Seja A 2 Mm n(R) e considere o sistema de equações lineares Au = b. (i) O sistema Au = b é impossível (não tem solução) se e só se b =2 C(A), isto é, se e só se car A < car [A j b]. (ii) O sistema Au = b é possível e indeterminado (tem um no in…nito de soluções) se e só se b 2 C(A) e as colunas de A forem linearmente dependentes, isto é, se e só se car A = car [A j b] < n, isto é, se e só se car A = car [A j b] e nul A 6= 0. (iii) O sistema Au = b é possível e determinado (tem uma única solução) se e só se b 2 C(A) e as colunas de A forem linearmente independentes, isto é, se e só se car A = car [A j b] = n, isto é, se e só se car A = car [A j b] e nul A = 0. Observação 30. Seja A 2 Mm n(R) e considere o sistema de equações lineares Au = b. (i) Existência de solução: Se m n então o sistema Au = b tem pelo menos uma solução u para cada b 2 Rm se e só se car A = m: (ii) Unicidade de solução: Se m n então o sistema Au = b tem no máximo uma solução u para cada b 2 Rm se e só se car A = n, isto é, se e só se nul A = 0: (iii) Existência e unicidade de solução: Se m = n então o sistema Au = b tem solução única u para cada b 2 Rm se e só se A fôr invertível. 59
  • 60.
    Teorema 37. SejaA 2 Mn n(R). As seguintes a…rmações são equivalentes. (i) A é não singular. (ii) A é igual ao produto de matrizes elementares. (iii) A é invertível. (iv) AT A é invertível. (v) nul A = 0. (vi) car A = n. (vii) Au = 0 tem apenas a solução trivial u = 0. (viii) Au = b tem solução única u para cada b 2 Rn . (ix) det A 6= 0. (x) N(A) = f0g. (xi) As colunas de A geram Rn . (xii) As colunas de A são independentes. (xiii) As colunas de A formam uma base de Rn . (xiv) As linhas de A geram Rn . (xv) As linhas de A são independentes. (xvi) As linhas de A formam uma base de Rn . (xvii) A transformação linear T : Rn ! Rn de…nida por T (u) = Au, para u 2 Rn , é sobrejectiva. (Num próximo capítulo.) (xviii) A transformação linear T : Rn ! Rn de…nida por T (u) = Au, para u 2 Rn , é injectiva. (Num próximo capítulo.) (xix) A transformação linear T : Rn ! Rn de…nida por T (u) = Au, para u 2 Rn , é bijectiva. (Num próximo capítulo.) (xx) A transformação linear T : Rn ! Rn de…nida por T (u) = Au, para u 2 Rn , é invertível. (Num próximo capítulo.) (xxi) 0 não é valor próprio de A. (Num próximo capítulo.) (xxii) (N (A))? = Rn . (Num próximo capítulo.) (xxiii) (L (A))? = f0g. (Num próximo capítulo.) 60
  • 61.
    Coordenadas de umvector numa base e matriz de mudança de base De…nição 35. Seja B = fv1; :::; vkg uma base ordenada de um espaço linear V e seja u um vector de V . Chamam-se coordenadas do vector u na base ordenada B aos escalares 1; :::; k da combinação linear: u = 1v1 + ::: + kvk. Teorema 38. Seja V um espaço linear. (i) Um conjunto B de vectores não nulos de V é uma base de V se e só se todo o vector de V puder ser escrito de modo único como combinação linear dos vectores de B. (ii) Se dim V = n, então dados u; w 2 V e B = fv1; :::; vng uma base ordenada de V , tem-se u = w se e só se as coordenadas de u e de w na base B forem iguais. Teorema 39. Seja V um espaço linear de dimensão n. Sejam B1 = fv1; :::; vng e B2 = fw1; :::; wng duas bases ordenadas de V . Seja SB1!B2 a matriz cujas colunas são as coordenadas dos vectores de B1 em relação à base B2. Isto é, SB1!B2 = (sij)n n com vj = nX i=1 sijwi para todo o j = 1; :::; n. A matriz SB1!B2 é não singular e chama-se matriz de mudança de base (da base B1 para B2). Assim, se tivermos u = nX i=1 ivi, isto é, se ( 1; :::; n) forem as coordenadas do vector u na base B1 então as coordenadas ( 1; :::; n) de u na base B2 são dadas por 2 6 4 1 ... n 3 7 5 = SB1!B2 2 6 4 1 ... n 3 7 5 . Dem. Tem-se u = nX i=1 iwi = nX j=1 jvj = nX j=1 j nX i=1 sijwi = nX i=1 nX j=1 sij j ! wi. como as coordenadas de um vector u numa base são únicas, tem-se para todo o i = 1; :::; n, i = nX j=1 sij j ! . Isto é, 2 6 4 1 ... n 3 7 5 = SB1!B2 2 6 4 1 ... n 3 7 5 . 61
  • 62.
    Observação 31. Tem-se SB2!B1= (SB1!B2 ) 1 : Exemplo 37. Consideremos Bc = f(1; 0); (0; 1)g a base canónica de R2 . Seja B = f(1; 2); (3; 4)g uma outra base ordenada de R2 . Sejam (5; 6) as coordenadas de um vector u na base canónica Bc e determinemos as coordenadas de u na base B usando a matriz de mudança de base SBc!B. Tem-se SBc!B = 2 3 2 1 1 2 , uma vez que (1; 0) = 2(1; 2) + 1(3; 4) e (0; 1) = 3 2 (1; 2) 1 2 (3; 4). (*) Logo, as coordenadas de u na base B são dadas por SBc!B 5 6 = 2 3 2 1 1 2 5 6 = 1 2 . Logo, 1 e 2 são as coordenadas de (5; 6) na base ordenada B, isto é (5; 6) = 1(1; 2) + 2(3; 4). Observação 32. Colocando os vectores em coluna, note que as duas igualdades em (*) podem ser escritas na forma: 1 0 0 1 = 1 3 2 4 2 3 2 1 1 2 sendo esta última igualdade equivalente a 1 0 0 1 1 3 2 4 | {z } = 2 4 2 3 2 1 1 2 3 5 1 = 1 3 2 4 , 8 < : (1; 2) = 1(1; 0) + 2(0; 1) (3; 4) = 3(1; 0) + 4(0; 1) querendo isto dizer que as coordenadas dos vectores (1; 2) e (3; 4) relativamente à base canónica (ordenada) f(1; 0); (0; 1)g são respectivamente (1; 2) e (3; 4). 62
  • 63.
    3a Ficha de exercíciospara as aulas de problemas 1. Veri…que que os seguintes subconjuntos de R2 , com as operações usuais, não são sube- spaços de R2 . (i) f(x; y) 2 R2 : x 0g (ii) f(x; y) 2 R2 : xy = 0g (iii) f(x; y) 2 R2 : y = x2 g 2. Veri…que que os seguintes conjuntos, com as operações usuais, são (todos os) subespaços de R2 . (i) f(0; 0)g (ii) Vk = f(x; kx) : x 2 Rg com k 2 R (iii) U = f(0; a) : a 2 Rg (iv) R2 3. No espaço linear R3 , considere o subconjunto Uk = f(x; y; k) : x; y 2 Rg onde k é uma constante real. Determine os valores de k para os quais Uk é subespaço de R3 . 4. Considere o espaço linear V = R3 . Diga quais dos seguintes subconjuntos de V , com as operações usuais, são subespaços de V e indique os respectivos conjuntos geradores. (i) f(x; y; z) 2 R3 : z = 2g (ii) f(x; y; z) 2 R3 : x + y z = 0g (iii) f(x; y; z) 2 R3 : x > 0g (iv) f(0; 0; z) : z 2 Rg (v) f(x; y; z) 2 R3 : y = 2x e z = 3xg (vi) f(x; y; z) 2 R3 : x + y = 1g (vii) f(x; y; z) 2 R3 : x + y + z = 0 e x y z = 0g (viii) f(x; y; z) 2 R3 : x = y ou y = zg (ix) f(x; y; z) 2 R3 : x y = 0 e 2y + z = 0g (x) f(x; y; z) 2 R3 : xy = 0g 5. Seja Pn o espaço linear de todos os polinómios reais de variável real e de grau menor ou igual a n, com as operações usuais: Diga quais dos seguintes subconjuntos de P2, com as operações usuais, são subespaços de P2 e indique os respectivos conjuntos geradores. (i) fa0 + a1t + a2t2 2 P2 : a0 = 0g (ii) fa0 + a1t + a2t2 2 P2 : a2 = 2a0 e a1 = 0g (iii) fa0 + a1t + a2t2 2 P2 : a1 = 1g (iv) fa0 + a1t + a2t2 2 P2 : a2 a1 = 2g (v) fa0 + a1t + a2t2 2 P2 : a2 a1 + 2a0 = 0g 6. Seja Mm n(R) o espaço linear de todas as matrizes do tipo m n com entradas reais. Diga quais dos seguintes subconjuntos de M2 3(R), com as operações usuais, são subespaços de M2 3(R) e indique os respectivos conjuntos geradores. (i) a b c d 0 0 2 M2 3(R) : b = a + c (ii) a b c d 0 f 2 M2 3(R) : b < 0 (iii) a b c d e f 2 M2 3(R) : a = 2c e f = 2e + d : 7. Determine o espaço das colunas, o espaço das linhas e o núcleo das seguintes matrizes. (i) 1 1 0 0 (ii) 1 2 3 0 0 0 (iii) 0 0 0 0 0 0 (iv) 2 4 2 1 1 0 0 1 0 0 0 3 5 (v) 2 4 1 0 2 3 2 1 3 5 (vi) 2 4 1 2 2 4 2 4 3 5 (vii) 2 4 0 0 0 0 0 0 3 5 (viii) 2 4 1 0 1 2 3 0 2 1 0 3 5 63
  • 64.
    8. Veri…que que,com as operações usuais, o seguinte conjunto de matrizes 8 < : 2 4 1 0 0 0 0 0 3 5 ; 2 4 0 0 1 0 0 0 3 5 ; 2 4 0 0 0 1 0 0 3 5 ; 2 4 0 0 0 0 0 1 3 5 9 = ; gera o subespaço 8 < : 2 4 a 0 b c 0 d 3 5 2 M3 2(R) : a; b; c; d 2 R 9 = ; do espaço linear M3 2(R). 9. Considere, no espaço linear R3 , os vectores v1 = (1; 2; 1), v2 = (1; 0; 2) e v3 = (1; 1; 0). Mostre que os seguintes vectores são combinações lineares de v1; v2 e v3. (i) (3; 3; 0) (ii) (2; 1; 5) (iii) ( 1; 2; 0) (iv) (1; 1; 1) 10. Considere, no espaço linear R4 , os vectores v1 = (1; 0; 0; 1), v2 = (1; 1; 0; 0) e v3 = (0; 1; 2; 1). Diga quais dos seguintes vectores pertencem ao subespaço L (fv1; v2; v3g). (i) ( 1; 4; 2; 2) (ii) (2; 0; 2; 2) (iii) (1; 1; 2; 2) (iv) (0; 1; 1; 0) 11. Determine o valor de k para o qual o vector u = (1; 2; k) 2 R3 é combinação linear dos vectores v = (3; 0; 2) e w = (2; 1; 5): 12. Considere, no espaço linear P2, os vectores p1(t) = 2 + t + 2t2 , p2(t) = 2t + t2 , p3(t) = 2 5t + 5t2 e p4(t) = 2 3t t2 . O vector q(t) = 2 + t + t2 pertence à expansão linear L (fp1(t); p2(t); p3(t); p4(t)g)? Podem os vectores p1(t), p2(t), p3(t) e p4(t) gerar P2? 13. Veri…que que os seguintes conjuntos de vectores geram R3 . (i) f(1; 0; 0); (0; 1; 0); (0; 0; 1)g (ii) f(1; 1; 1); (0; 1; 1); (0; 0; 1)g (iii) f(1; 1; 1) ; ( 1; 1; 1); (1; 1; 1); ( 1; 1; 1)g 14. Escreva a matriz 3 1 1 1 como combinação linear das matrizes A = 1 1 1 0 ; B = 0 0 1 1 , C = 0 2 0 1 : Encontre uma matriz 2 2 que não pertença a L 1 1 1 0 ; 0 0 1 1 ; 0 2 0 1 : Antes de a determinar, explique porque é que essa matriz existe. 15. Determine os vectores (a; b; c) de R3 que pertencem a L (fu; v; wg) onde u = (2; 1; 0); v = (1; 1; 2) e w = (0; 3; 4): 64
  • 65.
    16. Sejam A = 11 5 2 3 13 e B = 2 4 1 1 1 4 3 1 3 1 3 3 5 : Veri…que que o espaço das linhas de A é igual ao espaço das linhas de B: Conclua então que os espaços das colunas de AT e de BT são iguais. 17. Encontre um conjunto de geradores para cada um dos seguintes subespaços do espaço linear R4 . (i) f(x; y; z; w) 2 R4 : x = 0 e y + z = 0g (ii) f(x; y; z; w) 2 R4 : x + y + z + w = 0g (iii) f(x; y; z; w) 2 R4 : x + 2y z = 0 e x + y + 2w = 0 e y z + w = 0g 18. De…na por meio de sistemas de equações homogéneas os seguintes subespaços. (i) Em P2: L (f1 t2 ; 1 + tg) (ii) L (f(1; 0; 1); (0; 1; 0); ( 2; 1; 2)g) (iii) L (f(0; 1; 0); ( 2; 1; 2)g) (iv) L (f(1; 1; 2); (2; 1; 1)g) (v) L (f(1; 0; 1; 1)g) (vi) L (f(1; 2; 5; 3); (2; 4; 6; 2); (3; 6; 11; 1); (0; 0; 1; 2)g) 19. Determine as condições que os parametros i; i(i = 1; 2) devem veri…car para que os vectores ( 1; 1; 3) e ( 2; 2; 9), no espaço linear R3 , sejam linearmente independentes. 20. Diga se os seguintes conjuntos de vectores em R3 são linearmente dependentes ou linearmente independentes? Nos casos em que sejam linearmente dependentes, indique (para cada um) um subconjunto linearmente independente com o maior no possível de elementos e escreva os restantes como combinação linear desses vectores. (i) f(4; 2; 1); (2; 6; 5); (1; 2; 3)g (ii) f(1; 2; 1); (3; 2; 5)g (iii) f(1; 2; 3); (1; 1; 1); (1; 0; 1)g (iv) f(1; 0; 1); (0; 0; 0); (0; 1; 1)g (v) f(1; 1; 0); (0; 2; 3); (1; 2; 3); (x; y; z)g (com x; y; z 2 R). 21. Determine todos os valores de a para os quais f(a2 ; 0; 1); (0; a; 2); (1; 0; 1)g é uma base de R3 : 22. Sejam U = L (f(1; 1; 0; 0); (0; 1; 1; 0)g) e Vk = L (f(2; k; 1; 0); (0; 0; 0; 1)g) subespaços de R4 : Determine os valores de k para os quais dim (U Vk) = 1. 23. No espaço linear R3 , construa uma base que inclua os vectores: (i) (1; 0; 2) e (0; 1; 2). (ii) (2; 1; 1) e ( 4; 2; 1). (iii) ( 1; 2; 1) e (1; 0; 1). 24. Veri…que que os seguintes subconjuntos do espaço linear de todas as funções reais de variável real são linearmente dependentes. Indique (para cada um) um subconjunto linearmente independente com o maior no possível de elementos e escreva os restantes como combinação linear desses vectores. (i) S = fcos2 t; sen2 t; cos 2tg (ii) S = f2; sen2 t; cos2 tg (iii) S = fet ; e t ; cosh tg (iv) S = 1; t; t2 ; (t + 1)2 Determine uma base para cada subespaço L(S) e calcule a respectiva dimensão. 65
  • 66.
    25. Seja Vo espaço linear de todas as funções reais de variável real. Sejam f; g; h 2 V , com f (t) = sen t, g (t) = cos t e h (t) = t. Mostre que o conjunto ff; g; hg é linearmente independente. 26. Diga quais dos seguintes conjuntos de vectores são bases de R2 . Caso não sejam bases, determine subconjuntos desses conjuntos que sejam bases e as dimensões dos espaços gerados por cada um desses subconjuntos. Em cada base de R2 encontrada, exprima o vector (0; 1) como combinação linear dos vectores dessa base ordenada. Isto é, determine as coordenadas do vector (0; 1) em cada base ordenada encontrada. Relativamente a cada base ordenada de R2 , determine ainda o vector cujas coordenadas são (0; 1). (i) f(1; 3); (1; 1)g (ii) f(0; 0); (1; 2)g (iii) f(2; 4)g (iv) f( 5; 0); (0; 2)g (v) f(1; 2); (2; 3); (3; 2)g (vi) f(1; 0); (0; 1)g 27. Diga quais dos seguintes conjuntos de vectores são bases de R3 . Caso não sejam bases, determine subconjuntos desses conjuntos que sejam bases e as dimensões dos espaços gerados por cada um desses subconjuntos. Em cada base de R3 encontrada, exprima o vector ( 1; 1; 2) como combinação linear dos vectores dessa base ordenada. Isto é, determine as coordenadas do vector ( 1; 1; 2) em cada base ordenada encontrada. Relativamente a cada base ordenada de R3 , determine ainda o vector cujas coordenadas são ( 1; 1; 2). (i) f(1; 2; 3); (0; 0; 0); (0; 1; 2)g (ii) f(1; 2; 0); (0; 1; 1)g (iii) f(3; 2; 2); ( 1; 2; 1); (0; 1; 0)g (iv) f(1; 1; 1); (0; 1; 1); (0; 0; 1)g (v) f(1; 1; 1); (2; 3; 4); (4; 1; 1); (0; 1; 1)g (vi) f(1; 0; 0); (0; 1; 0); (0; 0; 1)g 28. Diga quais dos seguintes conjuntos de vectores são bases de R4 . Caso não sejam bases, determine subconjuntos desses conjuntos que sejam bases e as dimensões dos espaços gerados por cada um desses subconjuntos. Em cada alínea indique uma base de R4 que inclua pelo menos dois vectores do conjunto apresentado. (i) f(1; 0; 0; 1); (0; 1; 0; 0); (1; 1; 1; 1); (0; 1; 1; 1)g (ii) f(1; 1; 0; 2); (3; 1; 2; 1); (1; 0; 0; 1)g (iii) S = f(1; 0; 0; 1); (0; 1; 1; 0); (0; 1; 0; 1); (1; 0; 1; 0); (0; 0; 1; 1)g (iv) f(1; 0; 0; 2); (1; 0; 2; 0); (1; 2; 0; 0); (3; 0; 0; 0)g (v) f(1; 2; 5; 3); (2; 4; 6; 2); (3; 6; 11; 1); (0; 0; 5; 5)g (vi) S = f(2; 1; 1; 2); ( 1; 1; 1; 2); (4; 2; 2; 2); (5; 2; 2; 2)g : Nesta alínea, veri- …que que (8; 3; 3; 5) 2 L (S) e determine uma base de L (S) que inclua o vector (8; 3; 3; 5). 29. Diga quais dos seguintes conjuntos de vectores são bases de P2 (espaço linear dos polinómios reais de grau menor ou igual a 2). Caso não sejam bases, determine sub- conjuntos desses conjuntos que sejam bases e as dimensões dos espaços gerados por cada um desses subconjuntos. Determine as coordenadas do vector 1 t em cada base ordenada de P2 encontrada. Relativamente a cada base ordenada de P2, determine ainda o vector cujas coordenadas são ( 1; 3; 2). (i) f2 + t t2 ; 2t + 2t2 ; t2 g (ii) f2t t2 ; 1 2t2 ; 2 + t; 1 4tg 66
  • 67.
    (iii) f1 +t2 ; t t2 ; 1 t + 2t2 ; 1 + tg (iv) f 1 + 2t + t2 ; 2 tg (v) f1 + 2t t2 ; 3 + t2 ; 5 + 4t t2 ; 2 + 2t t2 g (vi) f1; t; t2 g 30. Mostre que as matrizes 1 1 0 0 ; 0 0 1 1 ; 1 0 0 1 e 0 1 1 1 formam uma base para o espaço linear M2 2(R): 31. Seja S = 1 3 1 2 ; 0 11 5 3 ; 2 5 3 1 , 4 1 1 5 ; 3 2 2 3 . Seja W um subespaço de M2 2(R) gerado por S. Determine uma base para W que inclua vectores de S. 32. Determine uma base para M3 2(R). Qual é a dimensão do espaço linear M3 2(R)? 33. Determine uma base para cada um dos seguintes subespaços de M3 3(R) e calcule a respectiva dimensão: (i) O conjunto de todas as matrizes (reais) diagonais do tipo 3 3: (ii) O conjunto de todas as matrizes (reais) simétricas do tipo 3 3: 34. Determine as dimensões e indique bases para: o núcleo, o espaço das linhas e o espaço das colunas das seguintes matrizes. (i) 3 1 6 2 (ii) 3 0 6 0 1 0 2 0 (iii) 2 4 0 1 0 0 0 0 1 0 0 0 0 1 3 5 (iv) 2 4 1 1 2 1 2 1 0 1 1 3 5 (v) 2 6 6 4 1 0 0 0 1 0 0 0 1 0 0 0 3 7 7 5 (vi) 2 4 1 3 0 2 0 2 2 0 1 3 0 2 3 5 (vii) 2 6 6 4 1 2 3 1 2 3 2 0 3 4 1 1 1 1 1 1 3 7 7 5 : Determine tambem a característica e a nulidade de cada uma delas. 35. Sejam U e V subespaços de W tais que dim U = 4; dim V = 5 e dim W = 7. Diga quais as dimensões possíveis para U V . 36. Determine bases e calcule as dimensões de U +V e U V , dizendo em que casos U +V é a soma directa U V (determine-a) dos subespaços U e V . (i) U = L (f(1; 1; 1); (0; 1; 1)g) ; V = L (f(1; 1; 2); ( 1; 1; 1)g) em R3 : (ii) U = f(x; y; z) 2 R3 : x + y z = 0 e x + y = 0g ; V = L (f(1; 1; 1)g) em R3 : (iii) U = L (f(1; 0; 1); ( 1; 1; 2)g) ; V = f(x; y; z) 2 R3 : x + y + 3z = 0g em R3 : (iv) U = f(x; y; z) 2 R3 : x = y = zg ; V = f(x; y; z) 2 R3 : x = 0g em R3 : (v) U = L (f1 + t; 1 t2 g), V = fa0 + a1t + a2t2 2 P2 : a2 a1 + a0 = 0g em P2. (vi) U = L (f1 + t; 1 t3 g), V = L (f1 + t + t2 ; t t3 ; 1 + t + t3 g) em P3. (vii) U = L (f(2; 2; 1; 2); ( 1; 1; 1; 3); (0; 0; 6; 8); ( 1; 1; 5; 5)g) ; V = L (f(0; 0; 0; 1); (0; 1; 2; 3); (0; 2; 4; 8)g) em R4 : (viii) U = f(x; y; z; w) 2 R4 : x + 2y + 3z = 0 e y + 2z + 3w = 0g, 67
  • 68.
    V = L(f(2; 5; 4; 1); (0; 9; 6; 1); ( 4; 1; 2; 1)g) em R4 : Neste alínea (viii) mostre que U = V . (ix) Seja U o subespaço de R5 gerado por f(1; 1; 1; 2; 0); (1; 2; 2; 0; 3); (1; 1; 2; 2; 1)g . Seja V o subespaço de R5 gerado por f(1; 2; 3; 0; 2); (1; 1; 3; 2; 4); (1; 1; 2; 2; 5)g . Comece por escrever U e V como soluções de sistemas de equações lineares homogéneas. (x) Sejam U e V subespaços de R4 gerados respectivamente por F e por G, com F = f(1; 0; 1; 0); (0; 1; 1; 1); (1; 0; 0; 2) ; (0; 0; 1; 2)g ; G = f(1; 1; 1; 1); (1; 2; 0; 1); (0; 0; 1; 1)g . 37. Seja A = 2 6 6 6 6 4 1 1 0 2 1 0 0 2 4 0 2 2 1 2 1 1 1 2 2 1 0 0 0 0 0 3 7 7 7 7 5 : (i) Calcule a nulidade e a característica de A: (ii) Determine bases para o espaço das colunas de A e para o núcleo de A: (iii) Usando a alínea anterior, determine a solução geral do sistema de equações lineares homogéneo Au = 0. (iv) Resolva o sistema de equações Au = b, com b = (1; 0; 2; 1; 0): Note que b é igual à 1a coluna de A e use esse facto de modo a encontrar uma solução particular de Au = b. 38. Utilize a informação da seguinte tabela para, em cada caso, determinar a dimensão do espaço gerado pelas linhas de A, do espaço gerado pelas colunas de A, do núcleo de A e do núcleo de AT . Diga tambem se o correspondente sistema de equações lineares não homogéneo AX = B é possível, determinando para esses casos, o número de parâmetros que entram na solução geral de AX = B. A 3 3 3 3 3 3 5 9 9 5 4 4 6 2 car A 3 2 1 2 2 0 2 car [A j B] 3 3 1 2 3 0 2 39. Construa uma matriz cujo núcleo seja gerado pelo vector (2; 0; 1). 40. Existe alguma matriz cujo espaço das linhas contém o vector (1; 1; 1) e cujo núcleo contém (1; 0; 0)? 41. Quais são as matrizes do tipo 3 3 cujo núcleo tem dimensão 3? 42. Seja A 2 Mm n(R) tal que C(A) = N(A). Prove que A 2 Mn n(R) com n par. Dê um exemplo para n = 4. 68
  • 69.
    43. Seja A2 Mn n(R) tal que car A = n e A2 = A. Prove que A = I. 44. Sejam B1 = f(1; 2); (0; 1)g e B2 = f(1; 1); (2; 3)g duas bases ordenadas de R2 . Seja v = (1; 5). (i) Determine as coordenadas de v em relação à base B1. (ii) Determine a matriz SB1!B2 de mudança da base B1 para a base B2. (iii) Determine as coordenadas de v em relação à base B2, usando as alíneas anteriores. (iv) Determine, directamente, as coordenadas de v em relação à base B2. (v) Determine a matriz SB2!B1 de mudança da base B2 para a base B1. (vi) Determine as coordenadas de v em relação à base B1, usando a alínea anterior, e compare com o resultado obtido em (i). 45. Sejam B1 = fv1; v2g e B2 = fw1; w2g duas bases ordenadas de R2 , onde v1 = (1; 2), v2 = (0; 1). Suponha que a matriz SB2!B1 de mudança da base B2 para a base B1, é dada por: SB2!B1 = 2 1 1 1 . Determine B2. 46. Sejam B1 = fv1; v2g e B2 = fw1; w2g duas bases ordenadas de P1, onde w1 = 1 + t, w2 = 1 + t. Suponha que a matriz SB1!B2 de mudança da base B1 para a base B2, é dada por: SB1!B2 = 2 3 1 2 . Determine B1. 47. Sejam B1 = f1; 1 t; t2 g e B2 = f1; 1 + t; 1 + t + t2 g duas bases ordenadas de P2. (i) Suponha que as coordenadas de um vector p(t) 2 P2 em relação à base B2 são dadas por (1; 2; 3). Determine as coordenadas do mesmo vector p(t) em relação à base B1. (ii) Determine a matriz SB1!B2 de mudança da base B1 para a base B2 e utilize-a para determinar as coordenadas do vector 2 t + t2 na base B2. 48. Sejam B1 = fv1; v2g e B2 = fw1; w2g duas bases ordenadas de P1, onde w1 = t, w2 = 1 t. Suponha que a matriz SB2!B1 de mudança da base B2 para a base B1, é dada por: SB2!B1 = 2 3 1 2 . Determine B1. 69
  • 70.
    49. Sejam B1= fv1; v2; v3g e B2 = fw1; w2; w3g duas bases ordenadas de R3 , onde v1 = (1; 0; 1), v2 = (1; 1; 0), v3 = (0; 0; 1). Suponha que a matriz SB1!B2 de mudança da base B1 para a base B2, é dada por: SB1!B2 = 2 4 1 1 2 2 1 1 1 1 1 3 5 . Determine B2. 50. Sejam B1 = 1 0 0 0 ; 0 1 0 0 ; 0 0 1 0 , 0 0 0 1 e B2 = 1 1 1 1 ; 1 1 1 1 ; 1 1 1 1 , 1 1 1 1 duas bases ordenadas de M2 2(R). Determine a matriz SB1!B2 de mudança da base B1 para a base B2 e utilize-a para determinar as coordenadas do vector 1 2 3 4 em relação à base B2. 51. Seja B = fv1; v2g uma base ordenada de P1. Sejam (1; 1) e (2; 2) respectivamente as coordenadas de dois polinómios 1 + t e 1 t em relação à base B: Determine B. 52. Sejam B1 = fv1; v2g e B2 = fw1; w2g duas bases ordenadas de P1. Suponha que (1; 1) e (2; 2) são respectivamente as coordenadas de um polinómio p (t) em relação às bases B1 e B2: Suponha ainda que (1; 1) e (2; 2) são respectivamente as coordenadas de um polinómio q (t) em relação às bases B1 e B2: Determine a matriz SB1!B2 de mudança da base B1 para a base B2. 70
  • 71.
    2a Ficha de exercíciosfacultativos 1. Seja V um espaço linear real e 0 o seu vector nulo. Mostre que: (i) Se u + v = u + w, então v = w: (ii) 0 = 0 para todo o escalar 2 R: (iii) 0u = 0 para todo o vector u 2 V: (iv) ( u) = u para todo o u 2 V: (v) Mostre que o vector nulo 0 2 V é único. (vi) Mostre que o simétrico u de um qualquer vector u de V é único. (vii) ( 1)u = u para todo o u 2 V: (viii) Se u = 0, então = 0 ou u = 0: (ix) Se u 6= 0 e u = u, então = : 2. Veri…que que o conjunto de todos os polinómios reais de grau igual a n: fa0 + a1t + + antn 2 Pn : an 6= 0g , munido das operações usuais, não é um espaço linear. 3. (i) Mostre que P2 é um subespaço de P3: (ii) Mostre que Pn é um subespaço de Pn+1: (iii) Seja P o espaço linear de todos os polinómios reais (de qualquer grau). Mostre que Pn é um subespaço de P: 4. Quais dos seguintes subconjuntos de Mn n(R), com as operações usuais, são sub- espaços? (i) O conjunto de todas as matrizes simétricas do tipo n n: (ii) O conjunto de todas as matrizes invertíveis do tipo n n: (iii) O conjunto de todas as matrizes diagonais do tipo n n: (iv) O conjunto de todas as matrizes singulares do tipo n n: (v) O conjunto de todas as matrizes triangulares superiores do tipo n n: 5. Seja V o espaço linear de todas as funções reais de variável real. Quais dos seguintes subconjuntos de V , com as operações usuais, são subespaços? (i) O conjunto de todas as funções limitadas. (ii) O conjunto de todas as funções pares, isto é, tais que f(x) = f( x): (iii) O conjunto de todas as funções racionais, isto é, as que são quocientes de funções polinomiais. (iv) O conjunto de todas as funções crescentes. (v) O conjunto de todas as funções f tais que f(0) = f(1): (vi) O conjunto de todas as funções f tais que f(0) = 1 + f(1): 6. Seja fv1; v2; v3g uma base de um espaço linear V . Prove que fv1 + v2; v2 + v3; v1 + v3g é também uma base de V . 7. Seja A uma matriz (real) invertível do tipo n n. Prove que, se fv1; v2; : : : ; vng é uma base de Rn , então fAv1; Av2; : : : ; Avng é também uma base de Rn . 71
  • 72.
    8. Sejam Vum espaço linear e S = fv1; v2; : : : ; vng. Prove que o conjunto S é uma base de V se e só se todo o vector de V se escrever de maneira única como combinação linear dos elementos de S. 9. Seja fv1; v2g uma base de um espaço linear U. Considere os vectores w1 = av1 + bv2 e w2 = cv1 + dv2, com a; b; c; d 2 R. Prove que fw1; w2g é também uma base de U se e só se ad 6= bc. 10. Sejam A uma matriz m n e B uma matriz n p. Mostre que dim C (AB) = dim C (B) dim (N (A) C (B)) . Sugestão: Considere (no caso em que N (A) C (B) 6= f0g) uma base fx1; : : : ; xsg para N (A) C (B) e suponha (no caso em que AB 6= 0) que fx1; : : : ; xs; y1; : : : ; ytg é uma base para C (B). Mostre que fAy1; : : : ; Aytg é uma base para C (AB). 11. Considere os seguintes r vectores de Rn : x1 = (x11; x12; : : : ; x1n); x2 = (x21; x22; : : : ; x2n); : : : ; xr = (xr1; xr2; : : : ; xrn): Mostre que se jxjjj > rP i=1(i6=j) jxijj para todo o j = 1; : : : ; r então o conjunto x1 ; x2 ; : : : ; xr é linearmente independente. Sugestão: Considere v = (v1; : : : ; vn) = 1x1 + 2x2 + + rxr ; com 1; 2; : : : ; r 2 R e mostre que se existir j 6= 0 (com j 2 f1; : : : ; rg) tal que j jj > j ij; para todo o i = 1; : : : ; r; então vj 6= 0. 12. Sejam A; B 2 Mm n(R). Mostre que C (A + B) C (A) + C (B) : 13. Seja A 2 Mm n(R). Mostre que N (A) L (A) = f0g. 14. Sejam B e C matrizes m n. Mostre que jcar B car Cj car (B C) . 15. Seja A 2 Mn n(R) tal que A3 6= 0 e A4 = 0. Seja v =2 N(A3 ). Prove que o conjunto v; Av; A2 v; A3 v é linearmente independente. 72
  • 73.
    Transformações lineares De…nição 36.Sejam U e V espaços lineares. Diz-se que T : U ! V é uma transformação linear se e só se veri…car as duas condições: (i) T(u + v) = T(u) + T(v), para todos os u; v 2 U. (ii) T( u) = T(u), para todos os u 2 U e escalares . Observação 33. Sejam U e V espaços lineares. Sejam 0 o vector nulo de U e 00 o vector nulo de V . (i) Se T : U ! V fôr uma transformação linear então T(U) é um subespaço de V e além disso tem-se T(0) = 00 (T(0) = T(0 + 0) = T(0) + T(0) , T(0) = 00 ). Logo, se T não veri…car T(0) = 00 então T não será uma transformação linear. (ii) T : U ! V é uma transformação linear se e só se T( u + v) = T(u) + T(v), para todos os u; v 2 U e escalares ; . (iii) Seja T : U ! V uma transformação linear, com U = L (fv1; :::; vng). Seja u 2 U. Logo, existem escalares 1; :::; n tais que u = 1v1 + ::: + nvn. Tem-se então T(u) = 1T(v1) + ::: + nT(vn). Exemplo 38. Consideremos a base canónica f(1; 0) ; (0; 1)g de R2 . Seja T : R2 ! R uma transformação linear tal que T (1; 0) = 1 e T (0; 1) = 1. Para qualquer (x; y) 2 R2 tem-se (x; y) = x(1; 0) + y(0; 1). Então, T(x; y) = T (x(1; 0) + y(0; 1)) = xT(1; 0) + yT(0; 1) = x + y. Logo, T : R2 ! R é a transformação linear de…nida explicitamente por T(x; y) = x + y. 73
  • 74.
    Teorema 40. SejamU e V espaços lineares e seja fv1; :::; vng uma base de U. Sejam T1; T2 : U ! V duas transformações lineares. Se T1(vi) = T2(vi) para todo o i = 1; :::; n, então T1(u) = T2(u), para todo o u 2 U, isto é, T1 = T2. Exemplo 39. (i) Sejam U e V espaços lineares e seja 0 o vector nulo de V . Seja O : U ! V de…nida por O(u) = 0, para todo o u 2 U. O é uma transformação linear e chama-se transformação nula. (ii) Seja A 2 Mm n(R). Seja T : Rn ! Rm de…nida por T(u) = Au, para todo o u 2 Rn . T é uma transformação linear. (iii) Sejam V um espaço linear e k um escalar (…xo). Seja Tk : V ! V de…nida por Tk(v) = kv; para todo o v 2 V . Tk é uma transformação linear. Diz-se que Tk é uma homotetia. Se 0 < k < 1 diz-se que Tk é uma contracção. Se k > 1 diz-se que Tk é uma dilatação. Se k = 1 então chama-se a T1 a transformação identidade e denota-se por I. Tem-se I(u) = u; para todo o u 2 U. (iv) T : R2 ! R2 de…nida por T(x; y) = (1 y; 2x) não é uma transformação linear. (v) T : R2 ! R de…nida por T(x; y) = xy não é uma transformação linear. (vi) Seja T : P2 ! P3 de…nida por T (p (t)) = tp (t) : T é uma transformação linear. (vii) Seja T : P3 ! P1 de…nida por T (p) = p00 : T é uma transformação linear. 74
  • 75.
    (viii) Seja T: C1 (R) ! C (R) de…nida por T (f) = f0 ; onde C1 (R) é o espaço linear de todas as funções reais com primeira derivada contínua em R e C (R) é o espaço linear de todas as funções reais contínuas em R. T é uma transformação linear. (ix) Seja a 2 R (…xo). Seja T : C1 (R) ! R de…nida por T (f) = f0 (a) . T é uma transformação linear. (x) Seja n 2 N. Seja T : Cn (R) ! C (R) de…nida por T (f) = f(n) ; onde f(n) é a derivada de ordem n de f, Cn (R) é o espaço linear de todas as funções reais com derivada de ordem n contínua em R e C (R) é o espaço linear de todas as funções reais contínuas em R. T é uma transformação linear. (xi) Seja T : C (R) ! C1 (R) de…nida por T (f) = Z x 0 f (t) dt: T é uma transformação linear. (xii) Seja T : C ([a; b]) ! R de…nida por T (f) = Z b a f (t) dt: T é uma transformação linear. (xiii) Seja T : Mn n(R) !Mn n(R) de…nida por T (X) = XT : T é uma transformação linear. (xiv) Seja T : Mn n(R) !Mn n(R) de…nida por T (X) = AX; com A 2 Mn n(R) …xa. T é uma transformação linear. (xv) Seja tr : Mn n(R) ! R de…nida por tr(A) = a11 + ::: + ann = nX i=1 aii, 75
  • 76.
    para todo oA = (aij)n n 2 Mn n(R). tr (traço) é uma transformação linear. De…nição 37. Sejam U e V espaços lineares e T : U ! V uma transformação linear. Seja 0 o vector nulo de V . (i) Chama-se contradomínio ou imagem de T ao conjunto T(U) = fT(u) : u 2 Ug , que também se denota por I(T). Note-se que se existir fu1; :::; ukg U tal que U = L (fu1; :::; ukg) então I(T) = L (fT (u1) ; :::; T (uk)g) : (ii) Chama-se núcleo ou espaço nulo de T ao conjunto N(T) = fu 2 U : T(u) = 0g . Teorema 41. Sejam U e V espaços lineares e T : U ! V uma transformação linear. Então, os conjuntos N(T) e I(T) são subespaços de U e V respectivamente. Exemplo 40. (i) Sejam U e V espaços lineares. Sejam 0 e 00 os vectores nulos de U e V respectivamente. Considere a transformação nula O : U ! V de…nida por O(u) = 00 , para todo o u 2 U. Tem-se N(O) = U e I(O) = f00 g . (ii) Considere a transformação identidade I : U ! U de…nida por I(u) = u, para todo o u 2 U. Tem-se N(I) = f0g e I(I) = U. (iii) Seja A 2 Mm n(R). Seja T : Rn ! Rm de…nida por T(u) = Au, para todo o u 2 Rn . Tem-se N(T) = N(A) e I(T) = C(A). 76
  • 77.
    (iv) Seja T: C1 (R) ! C (R) de…nida por T (f) = f0 : Tem-se N(T) = ff : R ! R tal que f é constante em Rg e I(T) = C (R) : (v) Seja T : C2 (R) ! C (R) de…nida por T (f (t)) = f00 (t) + !2 f (t) ; com ! 2 Rn f0g. Tem-se (pág. 72 de [1]) N(T) = L (fcos (!t) ; sen (!t)g) ; onde fcos (!t) ; sen (!t)g é uma base de N(T). Observe-se que N(T) é precisamente a solução geral da equação diferencial linear homogénea f00 (t) + !2 f (t) = 0: (vi) Seja T : C2 (R) ! C (R) de…nida por T (f (t)) = f00 (t) !2 f (t) ; com ! 2 Rn f0g. Tem-se (pág. 74 de [1]) N(T) = L e !t ; e!t ; onde fe !t ; e!t g é uma base de N(T). Note-se que N(T) é precisamente a solução geral da equação diferencial linear homogénea f00 (t) !2 f (t) = 0: Teorema 42. Sejam U um espaço linear de dimensão …nita e T uma transformação linear de…nida em U. Então, o subespaço I(T) tem dimensão …nita e dim N(T) + dim I(T) = dim U. De…nição 38. Sejam U e V espaços lineares e S; T : U ! V transformações lineares. Seja um escalar. Sejam S + T; T : U ! V de…nidas por (S + T) (u) = S(u) + T(u) e ( T)(u) = T(u), para todo o u 2 U. 77
  • 78.
    De…nição 39. SejamU e V espaços lineares. Chama-se a L(U; V ) o conjunto de todas as transformações lineares de U em V . Teorema 43. Sejam U e V espaços lineares e S; T : U ! V transformações lineares. Seja um escalar. Então: (i) S + T e T são transformações lineares. (ii) O conjunto L(U; V ), com as operações da de…nição 38, é um espaço linear. Exemplo 41. Seja B = fT1; T2; T3; T4g com T1; T2; T3; T4 2 L(R2 ; R2 ) de…nidas por T1(x; y) = (x; 0), T2(x; y) = (y; 0), T3(x; y) = (0; x) e T4(x; y) = (0; y), para todo o (x; y) 2 R2 . O conjunto B é uma base de L(R2 ; R2 ). Logo, dim L(R2 ; R2 ) = 4: De…nição 40. Sejam U; V e W espaços lineares e, T : U ! V e S : V ! W transfor- mações lineares. Seja S T : U ! W de…nida por (S T) (u) = S (T(u)) , para todo o u 2 U. S T é uma transformação linear. Chama-se a S T a composição de S com T. Observação 34. Em geral, tem-se S T 6= T S. Teorema 44. (i) Sejam T : U ! V; S : V ! W e R : W ! X. Então, tem-se R (S T) = (R S) T. (ii) Sejam R; S : U ! V e T : V ! W. Seja 2 R. Então, tem-se T (R + S) = T R + T S e T ( R) = (T R) . Se o contradomínio de Q estiver contido em U então (R + S) Q = R Q + S Q e ( R) Q = (R Q) . De…nição 41. De…ne-se T0 = I e Tk = T Tk 1 , para todo o k = 1; 2; :::. Observação 35. Tem-se Tm+n = Tm Tn para todos os m; n 2 N. 78
  • 79.
    De…nição 42. T: U ! V diz-se injectiva se e só se T(u) = T(w) ) u = w, para todos os u; w 2 U, isto é, se e só se u 6= w ) T(u) 6= T(w), para todos os u; w 2 U. De…nição 43. T : U ! V diz-se sobrejectiva se e só se T(U) = V . (iii) T : U ! V diz-se bijectiva se e só se fôr injectiva e sobrejectiva. De…nição 44. Sejam U e V espaços lineares. Diz-se que U e V são isomorfos se e só se existir um isomor…smo entre U e V , isto é, se e só se existir uma transformação linear bijectiva T : U ! V . Sendo U e V isomorfos escreve-se U = V . Teorema 45. Sejam U e V dois espaços lineares de dimensões …nitas. Então, U e V são isomorfos se e só se dim U = dim V . Observação 36. (i) Qualquer espaço linear real de dimensão n é isomorfo a Rn . (ii) Sejam U e V dois espaços lineares de dimensões …nitas. A transformação linear T : U ! V é sobrejectiva se e só se T transformar um qualquer conjunto gerador de U num conjunto gerador de V . (iii) Sejam U e V dois espaços lineares de dimensões …nitas. Se a transformação linear T : U ! V fôr sobrejectiva então dim V dim U. (iv) Sejam U e V dois espaços lineares de dimensões …nitas. Se a transformação linear T : U ! V fôr injectiva então dim U dim V . Exemplo 42. (i) A transformação linear T : Rn ! Mn 1(R) de…nida por T (a1; :::; an) = 2 6 4 a1 ... an 3 7 5 ; é um isomor…smo. Logo Rn = Mn 1(R). (ii) A transformação linear T : Mm n(R) ! Rmn de…nida por T 0 B @ 2 6 4 a11 a1n ... ... ... am1 amn 3 7 5 1 C A = (a11; :::; am1; :::; a1n; :::; amn) ; 79
  • 80.
    é um isomor…smo.Logo Mm n(R) = Rmn . (iii) A transformação linear T : Rn+1 ! Pn de…nida por T (a0; a1; :::; an) = a0 + a1t + ::: + antn ; é um isomor…smo. Logo Rn+1 = Pn. (iv) Seja A uma matriz m n. Os espaços C (A) e L (A) são isomorfos pois têm a mesma dimensão (car A). C (A) = L (A) . Teorema 46. Sejam U e V espaços lineares de dimensões …nitas tais que dim U = dim V: Seja T : U ! V uma transformação linear. Então, T é injectiva se e só se T é sobrejectiva. De…nição 45. Diz-se que T : U ! V é invertível se existir S : T(U) ! U tal que S T = IU e T S = IT(U), onde IU e IT(U) são as funções identidade em U e T(U) respectivamente. Chama-se a S a inversa de T e escreve-se S = T 1 . Teorema 47. Sejam U e V espaços lineares de dimensões …nitas. Seja T : U ! V uma transformação linear. Seja 0 o vector nulo de U. As seguintes a…rmações são equiva- lentes. (i) T é injectiva. (ii) T é invertível e a inversa T 1 : T(U) ! U é linear. (iii) N(T) = f0g. (iv) dim U = dim T(U). (v) T transforma vectores linearmente independentes de U em vectores linearmente in- dependentes de V . (vi) T transforma bases de U em bases de T(U). Teorema 48. Sejam U e V espaços lineares. Seja T : U ! V uma transformação linear. Seja b 2 V . Então: 80
  • 81.
    (i) Existência desolução: a equação linear T(u) = b tem sempre solução (para qual- quer b) se e só se T fôr sobrejectiva (T (U) = V ); (ii) Unicidade de solução: a equação linear T(u) = b a ter solução, ela é única se e só se T fôr injectiva; (iii) Existência e unicidade de solução: a equação linear T(u) = b tem solução única u se e só se T fôr bijectiva. Teorema 49. Sejam U e V espaços lineares. Seja T : U ! V uma transformação linear. Seja b 2 V . A solução geral da equação linear T(u) = b obtém-se somando a uma solução particular dessa equação, a solução geral da equação linear homogénea T(u) = 0 (N(T)). Teorema 50. (Representação matricial de uma transformação linear). Sejam U e V espaços lineares de dimensões …nitas tais que dim U = n e dim V = m. Sejam B1 = fu1; :::; ung e B2 = fv1; :::; vmg duas bases ordenadas de U e V respectivamente. Seja T : U ! V uma transformação linear. Considere-se a matriz A = (aij)m n cuja coluna j, para cada j = 1; :::; n, é formada pelas coordenadas de T(uj) na base B2. Isto é, T(uj) = mX i=1 aijvi. Chama-se a esta matriz A a representação matricial de T em relação às bases B1 e B2 e escreve-se A = M(T; B1; B2). Além disso, sendo 1; :::; n as coordenadas de um vector u 2 U na base ordenada B1 então as coordenadas 1; :::; m de T(u) 2 V na base ordenada B2 são dadas por 2 6 4 1 ... m 3 7 5 = M(T; B1; B2) 2 6 4 1 ... n 3 7 5 . Observação 37. MUITO IMPORTANTE. Nas condições do teorema anterior, tem- se u = nX j=1 juj 2 N(T) , ( 1; :::; n) 2 N(A) v = mX i=1 ivi 2 I(T) , ( 1; :::; m) 2 C(A) uma vez que T (u) = T nX j=1 juj ! = T é linear nX j=1 jT (uj) = nX j=1 j mX i=1 aijvi = mX i=1 nX j=1 aij j ! vi 81
  • 82.
    e sendo fv1;v2; :::; vmg uma base de V tem-se u 2 N(T) , T (u) = 0 , nX j=1 aij j = 0; para i = 1; :::; m ! , ( 1; :::; n) 2 N(A): Além disso: I(T) = L (fT(u1); :::; T(un)g) = = L (fa11v1 + ::: + am1vm; :::; a1nv1 + ::: + amnvmg) . Observação 38. Seja V um espaço linear de dimensão …nita, com dim V = n. Sejam B1 = fu1; :::; ung e B2 = fv1; :::; vng duas bases ordenadas de V . A representação matricial da transformação identidade I : V ! V em relação às bases B1 e B2 é igual à matriz de mudança da base B1 para B2. Isto é, M(I; B1; B2) = SB1!B2 . Teorema 51. Sejam U e V espaços lineares tais que dim U = n e dim V = m. Seja T : U ! V uma transformação linear. Sejam B1 e B2 bases (ordenadas) de U e V respecti- vamente. Seja A = M(T; B1; B2) 2 Mm n(R) a matriz que representa T em relação às bases B1 e B2. Tem-se então: (i) dim N(T) = nul A; (ii) dim I(T) = car A; (iii) T é injectiva se e só se nul A = 0, isto é, se e só se car A = n; (iv) T é sobrejectiva se e só se car A = m. Teorema 52. Sejam Bn c = fe1; :::; eng e Bm c = fe0 1; :::; e0 mg as bases canónicas (ordenadas) de Rn e Rm respectivamente. Seja T : Rn ! Rm uma transformação linear. Considere-se a matriz A = (aij)m n = M(T; Bn c ; Bm c ) 2 Mm n(R) cuja coluna j, para cada j = 1; :::; n, é formada pelas coordenadas de T(ej) na base Bm c . Isto é, T(ej) = mX i=1 aije0 i = a1j 2 6 6 6 4 1 0 ... 0 3 7 7 7 5 + ::: + amj 2 6 6 6 4 0 ... 0 1 3 7 7 7 5 = 2 6 4 a1j ... amj 3 7 5 . Então, tem-se, para todo o u 2 Rn , T(u) = Au. 82
  • 83.
    Dem. Seja u2 Rn . Então, existem 1; :::; n 2 R tais que u = 1e1 + ::: + nen = nX j=1 jej. Uma vez que, para todo o j = 1; :::; n, T(ej) = Pm i=1 aije0 i, tem-se T(u) = T nX j=1 jej ! = T é linear nX j=1 jT(ej) = nX j=1 j mX i=1 aije0 i = mX i=1 nX j=1 aij j ! e0 i = = nX j=1 a1j j; :::; nX j=1 amj j ! = 2 4 a11 a1n am1 amn 3 5 2 6 4 1 ... n 3 7 5 = Au. Observação 39. No caso em que U = Rn , V = Rm e B1 = Bn c , B2 = Bm c , tem-se: N(T) = N(A) e I(T) = C(A), uma vez que neste caso as coordenadas de um vector numa base coincidem com o próprio vector. Exemplo 43. (i) Seja T : R4 ! R3 de…nida por T(x; y; z; w) = (3x + y 2z; 0; x + 4z): T é uma transformação linear e a matriz M(T; B4 c ; B3 c ) que representa T em relação às bases canónicas (ordenadas) B4 c e B3 c de R4 e R3 respectivamente, é dada por A = M(T; B4 c ; B3 c ) = 2 4 3 1 2 0 0 0 0 0 1 0 4 0 3 5 , uma vez que T(1; 0; 0; 0) = (3; 0; 1), T(0; 1; 0; 0) = (1; 0; 0), T(0; 0; 1; 0) = ( 2; 0; 4) e T(0; 0; 0; 1) = (0; 0; 0). Tem-se então: T(x; y; z; w) = M(T; B4 c ; B3 c ) 2 6 6 4 x y z w 3 7 7 5 = (3x + y 2z; 0; x + 4z). Além disso, tem-se N (T) = N (A) = (x; y; z; w) 2 R4 : y = 14z e x = 4z = = f( 4z; 14z; z; w) : z; w 2 Rg = L (f( 4; 14; 1; 0); (0; 0; 0; 1)g) e I (T) = C (A) = L (f(3; 0; 1); (1; 0; 0)g) . 83
  • 84.
    Uma base deI (T) : f(3; 0; 1); (1; 0; 0)g. Uma base de N (T) : f( 4; 14; 1; 0); (0; 0; 0; 1)g. (ii) Sejam B1 = f1; t; t2 g e B2 = f1; t; t2 ; t3 g as bases canónicas (ordenadas) de P2 e P3 respectivamente. Seja D : P2 ! P3 tal que D(1) = 0, D(t) = 1 e D(t2 ) = 2t. D é uma transformação linear e a matriz M(D; B1; B2) que representa D em relação às bases canónicas B1 e B2, é dada por M(D; B1; B2) = 2 6 6 4 0 1 0 0 0 2 0 0 0 0 0 0 3 7 7 5 . Além disso tem-se M(D; B1; B2) 2 4 a0 a1 a2 3 5 = 2 6 6 4 0 1 0 0 0 2 0 0 0 0 0 0 3 7 7 5 2 4 a0 a1 a2 3 5 = 2 6 6 4 a1 2a2 0 0 3 7 7 5 , isto é, D (a0 + a1t + a2t2 ) = a1 + 2a2t, com a0; a1; a2 2 R. Além disso, como N (D) = a0 + a1t + a2t2 : D a0 + a1t + a2t2 = 0 = a0 + a1t + a2t2 : a1 = a2 = 0 e a0 2 R ; tem-se N (D) = fa0 : a0 2 Rg = L (f1g) e I (D) = L (f1; 2tg) . Uma base de I (D) : f1; 2tg. Uma base de N (D) : f1g. (iii) Seja T : R3 ! R2 a transformação linear cuja matriz que a representa em relação às bases ordenadas B1 = f(1; 1; 1); (0; 1; 1); (0; 0; 1)g e B2 = f(1; 1); (1; 1)g de R3 e R2 respectivamente, é dada por A = M(T; B1; B2) = 1 2 3 2 4 6 . Seja u 2 R3 e sejam ( 1; 2; 3) as coordenadas de u em relação à base B1. Tem-se u 2 N(T) , ( 1; 2; 3) 2 N(A) e como N(A) = N 1 2 3 0 0 0 = f( 2y 3z; y; z) : y; z 2 Rg = L (f( 2; 1; 0); ( 3; 0; 1)g) , logo f( 2; 1; 0); ( 3; 0; 1)g é uma base de N(A) (uma vez que gera N(A) e é linearmente independente). N(T) = f( 2) (1; 1; 1) + 1(0; 1; 1) + 0(0; 0; 1); ( 3) (1; 1; 1) + 0(0; 1; 1) + 1(0; 0; 1)g = = L (f( 2; 1; 1); ( 3; 3; 2)g) . 84
  • 85.
    Logo f( 2;1; 1); ( 3; 3; 2)g é uma base para N (T) (uma vez que gera N(T) e é linearmente independente). Quanto ao contradomínio: C(A) = L (f(1; 2)g) , logo f(1; 2)g é uma base de C(A) (uma vez que gera C(A) e é linearmente independente). I(T) = L (f1(1; 1) + 2(1; 1)g) = L (f(3; 1)g) . Uma base de I (T) : f(3; 1)g (uma vez que gera I (T) e é linearmente independente). Note-se que: dim N(T) = nul A dim I(T) = car A e dim N(T) + dim I(T) = dim U (espaço de partida). Teorema 53. Sejam U; V e W espaços lineares de dimensões …nitas. Sejam B1; B2 e B3 bases ordenadas de U; V e W respectivamente. Seja escalar. Sejam T; T1; T2 2 L(U; V ) e S 2 L(V; W). Então, tem-se M(T1 + T2; B1; B2) = M(T1; B1; B2) + M(T2; B1; B2) M(S T; B1; B3) = M(S; B2; B3)M(T; B1; B2) Teorema 54. Sejam U e V dois espaços lineares de dimensões …nitas. Seja T : U ! V uma transformação linear. Sejam B1 e B2 duas bases ordenadas de U e V respectivamente. Seja A = M(T; B1; B2) a matriz que representa T em relação às bases B1 e B2. Se V = T(U) então T é invertível se e só se A fôr uma matriz quadrada não singular. Tem-se então A 1 = M(T 1 ; B2; B1), isto é, A 1 será a matriz que representa T 1 em relação às bases B2 e B1. Teorema 55. Sejam U e V espaços lineares de dimensões …nitas respectivamente n e m. Isto é, dim U = n e dim V = m: Então, os espaços lineares L(U; V ) e Mm n(R) são isomorfos e escreve-se L(U; V ) = Mm n(R). Dem. Fixando bases ordenadas B1 e B2 para U e V respectivamente, L(U; V ) ! Mm n(R) T ! M(T; B1; B2) é uma transformação linear bijectiva. 85
  • 86.
    Observação 40. Noteorema anterior tem-se dim L(U; V ) = mn. Teorema 56. Seja V um espaço linear de dimensão …nita. Seja T : V ! V uma transformação linear. Sejam B1 e B2 duas bases ordenadas de V . Seja M(T; B1; B1) a matriz que representa T em relação à base B1. Então, a matriz M(T; B2; B2) que representa T em relação à base B2, é dada por M(T; B2; B2) = SB1!B2 M(T; B1; B1) (SB1!B2 ) 1 , onde SB1!B2 é a matriz de mudança da base B1 para B2. Isto é, o diagrama seguinte é comutativo. (V; B1) M(T;B1;B1) ! T (V; B1) SB1!B2 # I I # SB1!B2 (V; B2) T ! M(T;B2;B2) (V; B2) Teorema 57. Caso geral. Sejam U e V dois espaços lineares de dimensões …nitas. Seja T : U ! V uma transformação linear. Sejam B1 e B0 1 duas bases ordenadas de U. Sejam B2 e B0 2 duas bases ordenadas de V . Seja M(T; B1; B2) a matriz que representa T em relação às bases B1 e B2. Então, a matriz M(T; B0 1; B0 2) que representa T em relação às bases B0 1 e B0 2, é dada por M(T; B0 1; B0 2) = SB2!B0 2 M(T; B1; B2) SB1!B0 1 1 , onde SB2!B0 2 e SB1!B0 1 são as matrizes de mudança das bases B2 para B0 2 e de B1 para B0 1 respectivamente. Isto é, o diagrama seguinte é comutativo. (U; B1) M(T;B1;B2) ! T (V; B2) SB1!B0 1 # I I # SB2!B0 2 (U; B0 1) T ! M(T;B0 1;B0 2) (V; B0 2) Exemplo 44. Seja T : R2 ! R3 de…nida por T(x; y) = (y; x; y x). T é uma transfor- mação linear. A matriz M(T; B2 c ; B3 c ) que representa T em relação à base canónica (ordenada) B2 c de R2 e à base canónica (ordenada) B3 c de R3 , é dada por M(T; B2 c ; B3 c ) = 2 4 0 1 1 0 1 1 3 5 . Sejam B1 = f(1; 1); ( 1; 1)g uma base ordenada de R2 e B2 = f(0; 0; 1); (0; 1; 1); (1; 1; 1)g uma base ordenada de R3 86
  • 87.
    A matriz M(T;B1; B2) que representa T em relação à base ordenada B1 de R2 e à base ordenada B2 de R3 , é dada por M(T; B1; B2) = 2 4 1 3 0 2 1 1 3 5 , uma vez que T(1; 1) = (1; 1; 0) = (0; 0; 1) + 0(0; 1; 1) + 1 (1; 1; 1) T( 1; 1) = (1; 1; 2) = 3(0; 0; 1) 2(0; 1; 1) + 1 (1; 1; 1) : Vamos agora veri…car que se tem M(T; B1; B2) = SB3 c !B2 M(T; B2 c ; B3 c ) SB2 c !B1 1 . Uma vez que (1; 0; 0) = 0(0; 0; 1) 1(0; 1; 1) + 1 (1; 1; 1) ; (0; 1; 0) = (0; 0; 1) + 1(0; 1; 1) + 0 (1; 1; 1) ; (0; 0; 1) = 1(0; 0; 1) + 0(0; 1; 1) + 0 (1; 1; 1) tem-se então SB3 c !B2 = 2 4 0 1 1 1 1 0 1 0 0 3 5. Logo, SB3 c !B2 M(T; B2 c ; B3 c ) SB2 c !B1 1 = 2 4 0 1 1 1 1 0 1 0 0 3 5 2 4 0 1 1 0 1 1 3 5 SB1!B2 c = = 2 4 2 1 1 1 0 1 3 5 1 1 1 1 = 2 4 1 3 0 2 1 1 3 5 = M(T; B1; B2). Por exemplo, para (2; 1) 2 R2 , tem-se: coordenadas de (2; 1) na base B2 c M(T;B2 c ;B3 c ) ! T coordenadas de T(2; 1) na base B3 c SB2 c !B1 # I I # SB3 c !B2 coordenadas de (2; 1) na base B1 T ! M(T;B1;B2) coordenadas de T(2; 1) na base B2. ou seja 2 1 M(T;B2 c ;B3 c ) ! T 2 4 1 2 1 3 5 SB2 c !B1 # I I # SB3 c !B2 1 3 T ! M(T;B1;B2) 2 4 8 6 4 3 5 . 87
  • 88.
    4a Ficha de exercíciospara as aulas de problemas 1. Sejam a; b 2 R. Considere a aplicação Ta;b : R ! R de…nida por Ta;b (x) = ax + b. Determine os valores de a e de b para os quais Ta;b é linear. 2. Diga quais das seguintes transformações são lineares. Determine para cada trans- formação linear a correspondente matriz que a representa em relação às respectivas bases canónicas (ordenadas). Determine também, se possível, para cada uma dessas transformações lineares, bases para o núcleo N(T) e para o contradomínio I(T), bem como as respectivas dimensões (de N(T) e de I(T)). Diga ainda quais são injectivas, sobrejectivas e bijectivas. (i) T : R2 ! R2 com T(x; y) = (x + 2y; 3x y). (ii) T : R2 ! R2 com T(x; y) = (1 y; 2x). (iii) T : R3 ! R3 com T(x; y; z) = (x; 2x; x). (iv) T : R3 ! R2 com T(x; y; z) = (0; 0). (v) T : R2 ! R com T(x; y) = 3x. (vi) T : R3 ! R3 com T(x; y; z) = (0; 1; 2). (vii) T : R ! R3 com T(x) = (2x; 0; x). (viii) T : R3 ! R2 com T(x; y; z) = (x2 y; 2y). (ix) T : R4 ! R2 com T(x; y; z; w) = (x y; 3w). (x) T : R3 ! R4 com T(x; y; z) = ( z; y 2z; 2y; y + z). (xi) T : R ! R2 com T(x) = (0; 0). (xii) T : R3 ! R3 com T(x; y; z) = (x + 2y; 3z; x z). (xiii) T : R3 ! R3 com T(x; y; z) = (x; y; z). (xiv) T : R2 ! R2 com T(x; y) = (x cos y sen ; x sen +y cos ), 2 R. Aplicação que ao ponto de coordenadas (x; y) faz corresponder o ponto obtido por uma rotação de amplitude em torno da origem e no sentido contrário ao dos ponteiros de um relógio. (xv) T : P2 ! P2 com T(p (t)) = 2p (1 t) tp0 (t), onde P2 = fa0 + a1t + a2t2 : a0; a1; a2 2 Rg e p0 é a derivada de 1a ordem de p. (xvi) T : P2 ! P2 com T(p (t)) = p (0) p ( 1) + (p ( 1) + p (1)) t + (p ( 1) p (1) 2p (0)) t2 : (xvii) T : P2 ! M2 2 (R) com T(p (t)) = p (1) p (0) p (0) p ( 1) . 3. Considere a transformação linear T : R3 ! R3 que em relação à base canónica (orde- nada) B3 c = f(1; 0; 0); (0; 1; 0); (0; 0; 1)g de R3 é representada pela matriz M(T; B3 c ; B3 c ) = 2 4 1 2 1 1 1 0 2 1 0 3 5 . 88
  • 89.
    Determine a expressãogeral de T, isto é, determine T(x; y; z) para qualquer (x; y; z) 2 R3 . Determine, se possível, bases para o núcleo N(T) e para o contradomínio I(T), bem como as respectivas dimensões (de N(T) e de I(T)). 4. Considere a base ordenada B = fv1; v2g de R2 , em que v1 = (1; 1) e v2 = (1; 0) e seja T : R2 ! R2 a transformação linear tal que T(v1) = (1; 2), T(v2) = ( 3; 1). (i) Calcule T(2; 1). (ii) Determine a expressão geral de T, isto é, determine T(x; y) para qualquer (x; y) 2 R2 . (iii) Determine a matriz M(T; B2 c ; B2 c ) que representa T em relação à base canónica (ordenada) B2 c de R2 . (iv) Determine as matrizes de mudança de base SB2 c !B e SB!B2 c . Determine as coor- denadas do vector (2; 1) na base B. (v) Determine a matriz M(T; B; B) que representa T em relação à base ordenada B de R2 . Determine as coordenadas do vector T(2; 1) na base B. (vi) Determine a matriz M(T; B2 c ; B) que representa T em relação às bases ordenadas B2 c e B de R2 . (vii) Determine a matriz M(T; B; B2 c ) que representa T em relação às bases ordenadas B e B2 c de R2 . 5. Considere as transformações lineares T1 e T2 cujas matrizes que as representam em relação às bases canónicas (ordenadas) de R2 e R3 são dadas respectivamente por M(T1; B3 c ; B2 c ) = 2 0 1 1 1 0 e M(T2; B2 c ; B3 c ) = 2 4 0 1 0 1 1 1 3 5 . Determine as expressões gerais de (T1 T2)(x; y) e (T2 T1)(x; y; z) para quaisquer (x; y) 2 R2 ; (x; y; z) 2 R3 . 6. Considere a transformação linear T : R3 ! R3 de…nida por T(x; y; z) = (2y; y x; x). Determine a matriz M(T; B; B) que representa T em relação à base ordenada B = fv1; v2; v3g de R3 com v1 = (1; 0; 1), v2 = (1; 2; 0), v3 = ( 1; 1; 1). 7. Seja B2 2 c = 1 0 0 0 ; 0 1 0 0 ; 0 0 1 0 ; 0 0 0 1 a base canónica (ordenada) de M2 2(R). Considere a transformação linear S : M2 2(R) ! M2 2(R) de…nida por S(A) = AT . Determine a matriz M(S; B2 2 c ; B2 2 c ) que representa S em relação à base canónica (ordenada) B2 2 c . 89
  • 90.
    8. Considere atransformação linear T : R3 ! R3 e a base canónica (ordenada) B3 c = fv1; v2; v3g de R3 , com v1 = (1; 0; 0), v2 = (0; 1; 0), v3 = (0; 0; 1). Suponha que se tem T(v3) = 3v1 + v2 2v3, T(v2 + v3) = v1, T(v1 + v2 + v3) = v2 + v3. (i) Calcule T(2v1 v2 + 3v3). (ii) Determine a matriz M(T; B3 c ; B3 c ) que representa T em relação à base canónica (ordenada) B3 c de R3 . (iii) Determine duas bases ordenadas B1 = fu1; u2; u3g e B2 = fw1; w2; w3g de R3 de modo a que a matriz M(T; B1; B2) que represente T em relação a essas bases B1 e B2 seja a matriz identidade: 2 4 1 0 0 0 1 0 0 0 1 3 5 . 9. Considere a transformação linear T : R2 ! R3 que em relação às bases ordenadas B1 = fu1; u2g de R2 e B2 = fv1; v2; v3g de R3 com u1 = (1; 1), u2 = (2; 1), v1 = (1; 0; 1), v2 = (1; 1; 2), v3 = (0; 1; 1), é representada pela matriz M(T; B1; B2) = 2 4 1 2 1 1 3 0 3 5 . Considere ainda as bases ordenadas B 0 1 = u 0 1; u 0 2 de R2 e B 0 2 = v 0 1; v 0 2; v 0 3 de R3 com u 0 1 = (1; 0), u 0 2 = (1; 1), v 0 1 = (1; 0; 0), v 0 2 = (1; 1; 0), v 0 3 = (1; 1; 1). (i) Determine as coordenadas do vector T( 1; 2) na base B2. (ii) Determine as coordenadas do vector ( 1; 2) na base B0 1. (iii) Determine as coordenadas do vector T( 1; 2) na base B0 2. (iv) Determine, se possível, uma base para o núcleo N(T). Determine a dimensão de N(T). Diga se T é injectiva. (v) Determine, se possível, uma base para o contradomínio I(T). Determine a dimen- são de I(T). Diga se T é sobrejectiva. (vi) Determine a expressão geral de T, isto é, determine T(x; y) para qualquer (x; y) 2 R2 . (vii) Determine a matriz M(T; B 0 1; B 0 2) que representa T em relação às bases ordenadas B 0 1 e B 0 2. 90
  • 91.
    10. Considere atransformação linear T : R3 ! R2 de…nida por T(x; y; z) = (x + y; x + y z). (i) Determine a matriz M(T; B3 c ; B2 c ) que representa T em relação às bases canónicas (ordenadas) B3 c e B2 c de R3 e R2 respectivamente. (ii) Determine, se possível, uma base para o núcleo N(T). Determine a dimensão de N(T). Diga se T é injectiva. (iii) Determine, se possível, uma base para o contradomínio I(T). Determine a di- mensão de I(T). Diga se T é sobrejectiva. (iv) Determine a solução geral da equação linear T(x; y; z) = (1; 1). (v) Considere a equação linear T(x; y; z) = (a; b). Veri…que se existe algum vector (a; b) 2 R2 para o qual essa equação seja impossível. (vi) Considere a equação linear T(x; y; z) = (a; b). Veri…que se existe algum vector (a; b) 2 R2 para o qual essa equação seja possível e determinada. 11. Considere a transformação linear T : R3 ! R3 cuja matriz M(T; B3 c ; B3 c ) que a repre- senta em relação à base canónica (ordenada) B3 c de R3 é dada por M(T; B3 c ; B3 c ) = 2 4 1 2 2 2 1 4 0 0 2 3 5 . (i) Determine a expressão geral de T, isto é, determine T(x; y; z) para qualquer (x; y; z) 2 R3 . (ii) Determine, se possível, uma base para o núcleo N(T). Determine a dimensão de N(T). Diga se T é injectiva. (iii) Determine, se possível, uma base para o contradomínio I(T). Determine a di- mensão de I(T). Diga se T é sobrejectiva. (iv) Determine a solução geral da equação linear T(x; y; z) = (3; 3; 0). (v) Considere a equação linear T(x; y; z) = (a; b; c). Veri…que se existe algum vector (a; b; c) 2 R3 para o qual essa equação seja impossível. (vi) Considere a equação linear T(x; y; z) = (a; b; c). Veri…que se existe algum vector (a; b; c) 2 R3 para o qual essa equação seja possível e indeterminada. 12. Considere a transformação linear T : R3 ! R3 cuja matriz M(T; B; B) que a representa em relação à base (ordenada) B = fv1; v2; v3g de R3 com v1 = (1; 1; 1), v2 = (1; 1; 0), v3 = (1; 0; 0), é dada por M(T; B; B) = 2 4 1 2 2 2 4 4 0 0 2 3 5 . (i) Determine, se possível, uma base para o núcleo N(T). Determine a dimensão de N(T). Diga, justi…cando, se T é sobrejectiva e se T é injectiva. 91
  • 92.
    (ii) Determine, sepossível, uma base para o contradomínio I(T). Determine a dimen- são de I(T). (iii) Mostre que a equação linear T(x; y; z) = (2; 4; 0) não tem soluções. (iv) Determine T(1; 1; 1) e resolva a equação linear T(x; y; z) = ( 1; 1; 1 3 ). (v) Considere a equação linear T(x; y; z) = (a; b; c). Veri…que se existe algum vector (a; b; c) 2 R3 para o qual essa equação seja possível e indeterminada. (vi) Determine a expressão geral de T, isto é, determine T(x; y; z) para qualquer (x; y; z) 2 R3 . 13. Considere a transformação linear T : R3 ! R3 de…nida por T(x; y; z) = (x + y + z; x + 2y 4z; z). (i) Determine a matriz M(T; B3 c ; B3 c ) que representa T em relação à base canónica (ordenada) B3 c de R3 . (ii) Mostre que T é injectiva e determine a expressão geral de T 1 , isto é, determine T 1 (x; y; z) para qualquer (x; y; z) 2 R3 . (iii) Justi…que que T é um isomor…smo. (iv) Determine a solução geral da equação linear T(x; y; z) = (1; 1; 2). 14. Seja B2 2 c = 1 0 0 0 ; 0 1 0 0 ; 0 0 1 0 ; 0 0 0 1 a base canónica (ordenada) de M2 2(R). Considere a transformação T : M2 2(R) ! M2 2(R) de…nida por T(X) = AX XA, com A = 0 1 1 0 : (i) Veri…que que T é linear. (ii) Determine a expressão geral de T. (iii) Determine a matriz M(T; B2 2 c ; B2 2 c ) que representa T em relação à base canónica (ordenada) B2 2 c de M2 2(R). (iv) Determine, se possível, uma base para o núcleo N(T). Determine a dimensão de N(T). Diga se T é injectiva. (v) Determine, se possível, uma base para o contradomínio I(T). Determine a dimen- são de I(T). Diga se T é sobrejectiva. 15. Considere as transformações lineares T1; T2 : R2 ! R2 de…nidas respectivamente por T1(x; y) = (x + y; x y) e T2(x; y) = (2x + y; x 2y). (i) Determine as matrizes M(T1; B2 c ; B2 c ) e M(T2; B2 c ; B2 c ) que representam respectiva- mente T1 e T2 em relação à base canónica (ordenada) B2 c de R2 . (ii) Determine a matriz A = M(T2 T1; B2 c ; B2 c ) que representa T2 T1 em relação à base canónica (ordenada) B2 c de R2 . 92
  • 93.
    (iii) Determine, usandoa alínea anterior, a expressão geral de T2 T1, isto é, (T2 T1)(x; y) para qualquer (x; y) 2 R2 . (iv) Determine, directamente a partir das expressões de T1 e de T2, a expressão geral de T2 T1. (v) Mostre que T1 e T2 são invertíveis. (vi) Determine as expressões gerais de T 1 1 (x; y); T 1 2 (x; y) e T 1 1 T 1 2 (x; y) para qualquer (x; y) 2 R2 . (vii) Determine a matriz M((T2 T1) 1 ; B2 c ; B2 c ) que representa (T2 T1) 1 em relação à base canónica (ordenada) B2 c de R2 e veri…que que é igual a A 1 , onde A é a matriz determinada em (ii). (viii) Veri…que que (T2 T1) 1 = T 1 1 T 1 2 . 16. Considere a transformação linear T : R2 ! R2 que em relação à base canónica ordenada (B2 c = f(1; 0) ; (0; 1)g) de R2 é representada pela matriz: M T; B2 c ; B2 c = 1 0 2 1 : Justi…que que T é injectiva e resolva a equação linear T(x; y) = (1; 2). 17. Considere a transformação linear T1 : R2 ! R de…nida por T1(x; y) = x. Seja M T2; B1 c ; B2 c = 1 0 a matriz que representa a aplicação linear T2 : R ! R2 em relação às bases canónicas ordenadas B1 c = f1g e B2 c de R e R2 respectivamente. Determine uma base para o núcleo: N(T2 T1). 18. Considere a transformação linear T : R3 ! R2 cuja representação matricial em relação as bases ordenadas B1 = f(1; 0; 1); (0; 1; 1); (0; 0; 1)g de R3 e B2 = f(1; 1); (0; 1)g de R2 é dada pela matriz: M(T; B1; B2) = 1 0 1 1 0 1 . Determine uma base para o contradomínio I (T) e diga, justi…cando, se T é sobrejec- tiva. 19. Considere a transformação linear T1 : R3 ! R2 de…nida por T1(x; y; z) = (2x+y; y+2z). Considere ainda a transformação linear T2 : R2 ! R3 cuja representação matricial em relação à base (ordenada) B = f(2; 1); (1; 2)g de R2 e à base canónica B3 c de R3 é dada pela matriz: M(T2; B; B3 c ) = 2 4 2 1 1 1 1 2 3 5 . (i) Determine uma base para o núcleo N(T1) de T1 e diga, justi…cando, se T1 é sobre- jectiva. 93
  • 94.
    (ii) Determine umabase para o contradomínio I(T2) de T2 e diga, justi…cando, se T2 é injectiva. (iii) Diga, justi…cando, se se tem N(T1) + I(T2) = R3 e determine a dimensão de N(T1) I(T2). (iv) Determine a matriz M(T2; B2 c ; B3 c ) que representa T2 em relação às bases canónicas B2 c e B3 c de R2 e R3 respectivamente. (v) Determine a solução geral da equação (T1 T2) (x; y) = 8 3 ; 8 3 . 20. Considere a transformação linear T1 : R2 ! R3 de…nida por T1(x; y) = (2x+y; 0; x+2y). Considere ainda a transformação linear T2 : R3 ! R2 cuja representação matricial em relação à base (ordenada) B = f(1; 1; 1); (1; 1; 0); (1; 0; 0)g de R3 e à base canónica B2 c de R2 é dada pela matriz: M(T2; B; B2 c ) = 1 1 1 1 1 1 . (i) Determine T2 (0; 1; 0) e T2 (0; 0; 1). (ii) Determine uma base para o contradomínio I(T1) de T1 e diga, justi…cando, se T1 é sobrejectiva. (iii) Determine uma base para o núcleo N(T2) de T2 e diga, justi…cando, se T2 é injectiva. (iv) Determine a solução geral da equação (T2 T1) (x; y) = ( 1; 1). 21. Considere a transformação linear T : R3 ! P3 de…nida por T(1; 1; 1) = 2 + 2t2 ; T(1; 1; 1) = t t3 e T( 1; 1; 1) = 2 + t + 2t2 + t3 . (i) Determine a expressão geral de T, isto é, determine T(x; y; z) para qualquer (x; y; z) 2 R3 . (ii) Determine, se possível, uma base para o núcleo N(T). Determine a dimensão de N(T). Diga se T é injectiva. (iii) Determine, se possível, uma base para o contradomínio I(T). Determine a di- mensão de I(T). Diga se T é sobrejectiva. (iv) Resolva, em R3 ; a equação linear T(x; y; z) = 1 + t + t2 + t3 . 22. Seja 2 R. Considere a transformação linear T : R3 ! P2 de…nida por T (x; y; z) = z y + (y x) t + xt2 . (i) Determine, se possível, uma base para o núcleo N(T ). Determine a dimensão de N(T ). Diga se T é injectiva. (ii) Determine, se possível, uma base para o contradomínio I(T ). Determine a di- mensão de I(T ). Diga se T é sobrejectiva. (iii) Considere = 0 e resolva a equação linear T0(x; y; z) = 1 + t2 . 94
  • 95.
    23. Considere oespaço linear P2 dos polinómios reais de variável real e de grau menor ou igual a 2. Considere a transformação linear T : P2 ! P2 de…nida por T (p (t)) = p0 (t) 2p (t) , onde p0 (t) é a derivada de primeira ordem de p (t). (i) Determine a expressão geral de T. (ii) Sendo B = f1; t; t2 g a base canónica (ordenada) de P2, determine a matriz M(T; B; B) que representa T em relação à base B. (iii) Justi…que que T é um isomor…smo e veri…que que a expressão geral do isomor…smo T 1 é dada por T 1 (p (t)) = 1 2 p (t) 1 4 p0 (t) 1 8 p00 (t) para todo o p (t) 2 P2, onde p00 (t) é a derivada de segunda ordem de p (t). (iv) Resolva, em P2; a equação diferencial linear p0 (t) 2p (t) = (2 3t)2 . 24. Considere o espaço linear P2 dos polinómios reais de variável real e de grau menor ou igual a 2. Considere a transformação linear T : P2 ! P2 de…nida por T (p (t)) = t2 p00 (t) 2p (t) , onde p00 (t) é a derivada de segunda ordem de p (t). (i) Determine a expressão geral de T. (ii) Sendo B = f1; t; t2 g a base canónica (ordenada) de P2, determine a matriz M(T; B; B) que representa T em relação à base B. (iii) Determine, se possível, uma base para N (T) e uma base para I (T) e diga, justi…cando, se T é injectiva e/ou sobrejectiva. (iv) Resolva, em P2; as equações diferenciais lineares: a) t2 p00 (t) 2p (t) = 2 t; b) 2tp0 (t) 2p (0) = 2 t. 25. Seja U o subespaço das matrizes simétricas de M2 2 (R), isto é, U = A 2 M2 2 (R) : A = AT . Considere a transformação linear T : U ! U de…nida por T (A) = AB + BA com B = 0 1 1 0 . (i) Determine a expressão geral de T. (ii) Determine uma base para U e calcule a matriz que representa T em relação a essa base. (iii) Determine, se possível, uma base para N (T) e uma base para I (T) e diga, justi…cando, se T é injectiva e/ou sobrejectiva. (iv) Resolva, em U; a equação linear T (A) = B. 95
  • 96.
    26. Considere atransformação linear T : M2 2 (R) ! P3 cuja matriz M(T; B1; B2) que a representa em relação às bases ordenadas B1 = 1 1 1 0 ; 1 1 0 1 ; 0 1 1 1 ; 1 0 1 1 de M2 2 (R) e B2 = f1 + t; t + t2 ; t2 + t3 ; t3 g de P3 é dada por M(T; B1; B2) = 2 6 6 4 1 1 1 1 0 1 1 1 0 0 1 1 0 0 0 1 3 7 7 5 . (i) Determine a expressão geral de T. (ii) Justi…que que T é um isomor…smo e determine a expressão geral do isomor…smo T 1 , isto é, determine T 1 a0 + a1t + a2t2 + a3t3 . (iii) Resolva a equação linear T a b c d = 1 + 2t + 3t2 + 4t3 . 27. Seja U o espaço linear das funções reais de variável real duas vezes diferenciáveis. Considere a transformação linear T : U ! U de…nida por T (f) = f00 2f0 + f. Considere o subespaço S = ff 2 U : f00 2f0 + f = 0g de U. (i) Mostre que o conjunto fet ; tet g é uma base de S. Sugestão: Mostre que se f 2 S, então f (t) e t é um polinómio de grau menor ou igual a 1. (ii) Mostre que dados a; b 2 R, existe uma única função f 2 S tal que f (0) = a e f0 (0) = b. (iii) Determine a única solução f da equação diferencial linear T (f) = 1 que veri…ca f (0) = 1 e f0 (0) = 0. 28. Seja V o subespaço linear de R4 gerado pelos vectores v1 = (1; 0; 0; 1) e v2 = (0; 1; 1; 0). Considere ainda a transformação linear T : V ! V tal que T(v1) = v2; T(v2) = v1: (i) Determine a matriz M(T; B; B) que representa T em relação à base ordenada B = fv1; v2g de V . (ii) Encontre, em V , a solução geral da equação T(u) = (2; 3; 3; 2). (iii) Sejam w1 = (0; 0; 1; 1); w2 = (0; 0; 0; 1) e considere a transformação linear R : R4 ! R4 de…nida por R(v1) = v2; R(v2) = v1; R(w1) = R(w2) = (0; 0; 0; 0): Encontre, em R4 , a solução geral da equação R(u) = (2; 3; 3; 2). 96
  • 97.
    29. Seja Pn,com n 2 N, o espaço linear real dos polinómios reais de variável real e de grau menor ou igual a n. Considere a transformação linear T1 : P2 ! P1 cuja representação matricial em relação às bases ordenadas B1 = f1 + t; 1 t; t2 g de P2 e B2 = f1 + t; 1 + 2tg de P1, é dada pela matriz: M(T1; B1; B2) = 1 2 0 0 1 1 . Considere ainda a transformação linear T2 : P1 ! P2 tal que T2(1) = 1 t T2(t) = 2 + 8t 2t2 : a) Determine a matriz M(T2; B; B1) que representa T2 em relação às bases ordenadas B = f1; tg de P1 e B1 = f1 + t; 1 t; t2 g de P2. b) Determine uma base para N(T1) (núcleo de T1) e diga, justi…cando, se T1 é sobre- jectiva. c) Determine T1(t) e encontre, em P2, a solução geral da equação T1(p (t)) = t. d) Veri…que que T1 T2 = I. 97
  • 98.
    Valores próprios evectores próprios. Diagonalização. De…nição 46. Seja V espaço linear. Seja T : V ! V uma transformação linear. Diz-se que um escalar é um valor próprio de T se existir um vector não nulo v 2 V tal que T(v) = v. Aos vectores não nulos v que satisfaçam a equação anterior chamam-se vectores próprios associados ao valor próprio . Dado um valor próprio de T, o conjunto E = fv 2 V : T(v) = vg = N(T I) é um subespaço linear de V . Chama-se a E o subespaço próprio associado ao valor próprio . À dimensão de E chama-se multiplicidade geométrica de e denota-se por mg ( ), isto é, dim N(T I) = mg ( ) . Exemplo 45. (a) Seja V um espaço linear e I : V ! V a transformação identidade. En- tão todos os vectores de V , exceptuando o vector nulo, são vectores próprios de T associados ao valor próprio 1. (b) Seja V o espaço linear das funções reais inde…nidamente diferenciáveis em R e T : V ! V a (transfomação) função derivada. Como, por exemplo T e2x = 2e2x então e2x é vector próprio de T associado ao valor próprio 2. Observação 41. (i) Sejam V um espaço linear e 0 o vector nulo de V . Seja T : V ! V uma transformação linear. Um escalar é um valor próprio de T se e só se N(T I) 6= f0g. (ii) Se o espaço linear V tiver dimensão …nita n e se A = M (T; B; B) fôr a matriz n n que representa T em relação a uma base ordenada B de V , então um escalar é um valor próprio de T se e só se esse escalar fôr solução da equação det(A I) = 0, uma vez que se tem, para v 2 V , (T I) v = 0 , (A I) 2 6 4 1 ... n 3 7 5 = 0. onde 1; :::; n são as coordenadas de v na base ordenada B, daí que é um valor próprio de T , N(T I) 6= f0g , N(A I) 6= f0g , det(A I) = 0 98
  • 99.
    isto é é umvalor próprio de T , det(A I) = 0 Além disso, tem-se v é um vector próprio de T , v 2 N (T I) n f0g , ( 1; :::; n) 2 N (A I) n f0g isto é v é um vector próprio de T , ( 1; :::; n) 2 N (A I) n f0g e mg ( ) = dim N(T I) = dim N(A I). (iii) No caso em que V = Rn e A = M (T; Bn c ; Bn c ), como (neste caso) v = ( 1; :::; n), tem-se N (T I) = N (A I) : De…nição 47. Seja A uma matriz n n. Chama-se ao polinómio p( ) = det(A I) o polinómio característico da matriz A. Este polinómio tem grau n, o coe…ciente do termo de grau n é ( 1)n , o coe…ciente do termo de grau n 1 é ( 1)n 1 tr A e o termo constante é p(0) = det A. De…nição 48. Seja A uma matriz n n. Chama-se valor próprio de A a qualquer escalar tal que A I seja singular, isto é, tal que det(A I) = 0. Ao conjunto de todos os valores próprios de A chama-se espectro de A. À multiplicidade de como raíz do polinómio det(A I) chama-se multiplicidade algébrica de e denota-se por ma ( ). Chama-se vector próprio de A, associado ao valor próprio de A, a qualquer vector não nulo v que veri…que (A I)v = 0, isto é, a qualquer vector v 2 N(A I)n f0g . Observação 42. (i) Seja A uma matriz n n. O escalar 0 é valor próprio de A se e só se A fôr singular. Isto é, a matriz A é invertível se e só se 0 não fôr valor próprio de A. (ii) Seja A uma matriz n n. Então o polinómio característico de A pode ser escrito na forma: p( ) = det(A I) = ( 1 )m1 ( 2 )m2 ( k )mk , onde 1; 2; : : : ; k são os valores próprios distintos de A e m1; m2; : : : ; mk são as multipli- cidades algébricas desses valores próprios respectivamente, com m1 + m2 + + mk = n. (iii) Seja A uma matriz n n. Tem-se mg ( ) ma ( ), para qualquer valor próprio de A. 99
  • 100.
    (iv) Seja Auma matriz n n, com os valores próprios 1; 2; : : : ; n (repetidos de acordo com a respectiva multiplicidade algébrica). Então, atendendo à alínea anterior e à de…nição anterior tem-se det A = 1 2 n e tr A = 1 + 2 + + n. De…nição 49. Sejam A e B matrizes n n. As matrizes A e B dizem-se semelhantes se existir uma matriz S invertível tal que B = SAS 1 . Teorema 58. Duas matrizes são semelhantes se e só se existirem bases ordenadas em relação às quais essas matrizes representem a mesma transformação linear. Teorema 59. Sejam A e B matrizes n n. Se A e B forem semelhantes então A e B têm o(a) mesmo(a): (i) determinante; (ii) característica; (iii) nulidade; (iv) traço; (v) polinómio característico, e portanto têm os mesmos valores próprios com as mesmas multiplicidades algébricas e geométricas. Dem. (Matrizes semelhantes têm o mesmo polinómio característico.) det(B I) = det(SAS 1 I) = det(SAS 1 SS 1 ) = = det(S(A I)S 1 ) = det S det(A I) det S 1 = = det S det(A I) 1 det S = det(A I). Teorema 60. (i) Seja V um espaço linear. Seja T : V ! V uma transformação linear. Se T tiver valores próprios distintos 1; :::; k e se v1; :::; vk forem os vectores próprios associados a cada um destes valores próprios, então os vectores v1; :::; vk são linearmente independentes. (ii) Seja A uma matriz n n. Se A tiver valores próprios distintos 1; :::; k e se v1; :::; vk forem os vectores próprios associados a cada um destes valores próprios, então os vectores v1; :::; vk são linearmente independentes. Dem. (ii) Seja r = dim L (fv1; :::; vkg). Suponhamos que r < k. Suponhamos ainda, a menos de uma reordenação, que o conjunto fv1; :::; vrg é linearmente independente. Como o conjunto fv1; :::; vr; vr+1g é linearmente dependente, então existem escalares não todos nulos c1; :::; cr; cr+1 tais que c1v1 + + crvr + cr+1vr+1 = 0. (*) 100
  • 101.
    Note que temque se ter cr+1 6= 0 caso contrário o conjunto fv1; :::; vrg é linearmente depen- dente. Logo cr+1vr+1 6= 0 e assim c1; :::; cr não podem ser todos nulos. Por outro lado, atendendo a (*) tem-se A (c1v1 + + crvr + cr+1vr+1) = 0 ,c1Av1 + + crAvr + cr+1Avr+1 = 0 , , c1 1v1 + + cr rvr + cr+1 r+1vr+1 = 0 (**). Logo, multiplicando r+1 por (*) e somando a (**) tem-se: r+1 (c1v1 + + crvr + cr+1vr+1) + c1 1v1 + + cr rvr + cr+1 r+1vr+1 = 0 , , c1 ( 1 r+1) v1 + + cr ( r r+1) vr = 0 Assim, sendo os escalares c1; :::; cr não todos nulos e sendo os escalares 1; :::; k todos dis- tintos, então o conjunto fv1; :::; vrg seria linearmente dependente, contrariando a hipótese de o mesmo ser linearmente independente. Logo, tem que se ter r = k. De…nição 50. (i) Seja A uma matriz n n. Se existir uma matriz P invertível tal que D = PAP 1 , com D matriz diagonal, então diz-se que A é uma matriz diagonalizável e que P é a matriz diagonalizante. No caso de A ser uma matriz diagonal, a matriz diagonalizante é a matriz identidade. (ii) Seja V um espaço linear tal que dim V = n. Seja T : V ! V uma transformação linear. Diz-se que T é diagonalizável se existir uma base ordenada B de V em relação à qual a matriz M (T; B; B) que representa T nessa base seja uma matriz diagonal. Teorema 61. Seja A 2 Mn n(R). A matriz A é diagonalizável se e só se existir uma base Bvp de Rn apenas constituída por vectores próprios de A. Neste caso, as entradas da diagonal principal da matriz diagonal D serão os valores próprios de A apresentados pela ordem dos vectores próprios correspondentes na base ordenada Bvp. Além disso, a matriz P 1 será a matriz cujas colunas serão os vectores próprios de A, da base Bvp de Rn dispostos pela mesma ordem, tendo-se D = PAP 1 . O mesmo se aplica a Cn . Teorema 62. Seja A uma matriz n n. Então as a…rmações seguintes são equivalentes: (i) A é diagonalizável. (ii) A tem n vectores próprios linearmente independentes. (iii) A soma das multiplicidades geométricas dos valores próprios de A é n. 101
  • 102.
    (iv) A multiplicidadegeométrica de cada valor próprio de A é igual à multiplicidade algébrica desse valor próprio. Observação 43. (i) Seja V um espaço linear tal que dim V = n. Seja A = M (T; B; B) a matriz n n que representa a transformação linear T : V ! V em relação à base ordenada B. No caso de haver uma base Bvp (ordenada) de V apenas constituída por vectores próprios de T, então tem-se M (T; Bvp; Bvp) = PAP 1 , onde P 1 = SBvp!B, sendo deste modo M (T; Bvp; Bvp) a matriz diagonal cujas entradas da diagonal principal são os valores próprios de A apresentados pela ordem dos vectores próprios correspondentes na base Bvp. Assim, T é representada relativamente a uma base ordenada por uma matriz diagonal, isto é, T é diagonalizável. No caso de se ter V = Rn e B = Bn c (base canónica ordenada) as colunas da matriz P 1 = SBvp!Bn c são os vectores próprios de A da base Bvp dispostos pela mesma ordem. (ii) No caso de se ter D = PAP 1 , com P invertível e D matriz diagonal, tem-se, para k 2 N, Dk = PAk P 1 , ou seja, Ak = P 1 Dk P. Exemplo 46. Nos exemplos que se seguem as matrizes A consideradas poderão ser vistas como matrizes que representam transformações lineares T relativamente à base canónica (ou outras) ordenada de R3 , tendo-se no caso da base canónica, para todo o v 2 R3 , T(v) = Av. Deste modo, os valores próprios e vectores próprios de T serão respectivamente os valores próprios e vectores próprios de A. (i) Uma matriz com valores próprios distintos. A = 2 4 1 5 1 0 2 1 4 0 3 3 5 . O polinómio característico é dado por det(A I) = 1 5 1 0 2 1 4 0 3 = = (1 ) ( 2 ) (3 ) 20 + 4 (2 + ) = = (1 ) ( 2 ) (3 ) + 4 12 = = (3 ) [( 1) ( + 2) 4] = = (3 ) 2 + 6 = = (3 ) ( 2) ( + 3) . Os valores próprios de A são os valores de para os quais det(A I) = 0. Logo, os valores próprios de A são 1 = 3, 2 = 2 e 3 = 3. 102
  • 103.
    Os vectores própriosde A associados ao valor próprio são os vectores não nulos v 2 R3 para os quais (A I) v = 0, isto é, são os vectores não nulos de N (A I). Determinemos os vectores próprios de A associados ao valor próprio 1 = 3. Tem-se N (A 1I) = N 0 @ 2 4 2 5 1 0 5 1 4 0 0 3 5 1 A = L (f(0; 1; 5)g) . Logo, o subespaço próprio E 1 é dado por E 1 = N (A 1I) = L (f(0; 1; 5)g) . Os vectores próprios de A associados ao valor próprio 1 = 3 são v = (0; s; 5s) , com s 2 Rn f0g . Determinemos os vectores próprios de A associados ao valor próprio 2 = 2. Tem-se N (A 2I) = N 0 @ 2 4 1 5 1 0 4 1 4 0 1 3 5 1 A = L (f(1; 1; 4)g) . Logo, o subespaço próprio E 2 é dado por E 2 = N (A 2I) = L (f(1; 1; 4)g) . Os vectores próprios de A associados ao valor próprio 2 = 2 são v = (s; s; 4s) , com s 2 Rn f0g . Determinemos os vectores próprios de A associados ao valor próprio 3 = 3. Tem-se N (A 3I) = N 0 @ 2 4 4 5 1 0 1 1 4 0 6 3 5 1 A = L (f(3; 2; 2)g) . Logo, o subespaço próprio E 3 é dado por E 3 = N (A 3I) = L (f(3; 2; 2)g) . Os vectores próprios de A associados ao valor próprio 3 = 3 são v = (3s; 2s; 2s) , com s 2 Rn f0g . Atendendo a que os valores próprios de A são distintos, os vectores próprios de A asso- ciados a esses valores próprios são linearmente independentes. Como dim R3 = 3, então 3 vectores em R3 linearmente independentes formarão desde logo uma base de R3 . Logo, o conjunto B = f(0; 1; 5) ; (1; 1; 4) ; (3; 2; 2)g 103
  • 104.
    é uma basede R3 . Deste modo, temos uma base de R3 formada só por vectores próprios de A. Logo, a matriz A é diagonalizável, isto é, existe uma matriz invertível P diagonalizante tal que a matriz PAP 1 é diagonal, tendo-se D = PAP 1 = 2 4 1 0 0 0 2 0 0 0 3 3 5 = 2 4 3 0 0 0 2 0 0 0 3 3 5 , com P 1 = 2 4 0 1 3 1 1 2 5 4 2 3 5 . Note que cada coluna de P 1 é formada pelo vector próprio associado ao valor próprio respectivo e na posição respectiva. Além disso, tem-se (R3 ; B3 c ) M(T;B3 c ;B3 c ) ! T (R3 ; B3 c ) SB3 c !B # I I # SB3 c !B (R3 ; B) T ! M(T;B;B) (R3 ; B) com SB3 c !B = P, M(T; B; B) = D e M(T; B3 c ; B3 c ) = A. (ii) Uma matriz com valores próprios repetidos mas diagonalizável. A = 2 4 2 1 1 2 3 2 3 3 4 3 5 . O polinómio característico é dado por det(A I) = 2 1 1 2 3 2 3 3 4 = = (2 ) (3 ) (4 ) + 6 + 6 3 (3 ) 6 (2 ) 2 (4 ) = = 3 + 9 2 15 + 7 = = ( 1) ( 1) ( 7) . Os valores próprios de A são os valores de para os quais det(A I) = 0. Logo, os valores próprios de A são 1 = 1 e 2 = 7. Os vectores próprios de A associados ao valor próprio são os vectores não nulos v 2 R3 para os quais (A I) v = 0, isto é, são os vectores não nulos de N (A I). Determinemos os vectores próprios de A associados ao valor próprio 1 = 1. Tem-se N (A 1I) = N 0 @ 2 4 1 1 1 2 2 2 3 3 3 3 5 1 A = L (f( 1; 1; 0) ; ( 1; 0; 1)g) . Logo, o subespaço próprio E 1 é dado por E 1 = N (A 1I) = L (f( 1; 1; 0) ; ( 1; 0; 1)g) . 104
  • 105.
    Os vectores própriosde A associados ao valor próprio 1 = 1 são v = ( s t; s; t) , com s e t não simultâneamente nulos. Determinemos os vectores próprios de A associados ao valor próprio 2 = 7. Tem-se N (A 2I) = N 0 @ 2 4 5 1 1 2 4 2 3 3 3 3 5 1 A = L (f(1; 2; 3)g) . Logo, o subespaço próprio E 2 é dado por E 2 = N (A 2I) = L (f(1; 2; 3)g) . Os vectores próprios de A associados ao valor próprio 2 = 7 são v = (s; 2s; 3s) , com s 2 Rn f0g . Atendendo a que dim E 1 + dim E 2 = 3, podemos ter a seguinte base de R3 formada só por vectores próprios de A B = f( 1; 1; 0) ; ( 1; 0; 1) ; (1; 2; 3)g . Logo, a matriz A é diagonalizável, isto é, existe uma matriz invertível P diagonalizante tal que a matriz PAP 1 é diagonal, tendo-se D = PAP 1 = 2 4 1 0 0 0 1 0 0 0 2 3 5 = 2 4 1 0 0 0 1 0 0 0 7 3 5 , com P 1 = 2 4 1 1 1 1 0 2 0 1 3 3 5 . Note que cada coluna de P 1 é formada pelo vector próprio associado ao valor próprio respectivo e na posição respectiva. Além disso, tem-se (R3 ; B3 c ) M(T;B3 c ;B3 c ) ! T (R3 ; B3 c ) SB3 c !B # I I # SB3 c !B (R3 ; B) T ! M(T;B;B) (R3 ; B) com SB3 c !B = P, M(T; B; B) = D e M(T; B3 c ; B3 c ) = A. (iii) Uma matriz com valores próprios repetidos e não diagonalizável. A = 2 4 7 5 1 0 2 1 20 0 3 3 5 . 105
  • 106.
    O polinómio característicoé dado por det(A I) = 7 5 1 0 2 1 20 0 3 = = (7 ) ( 2 ) (3 ) + 100 20 (2 + ) = = (3 ) [(7 ) ( 2 ) + 20] = = (3 ) 2 5 + 6 = = (3 ) ( 3) ( 2) . Os valores próprios de A são os valores de para os quais det(A I) = 0. Logo, os valores próprios de A são 1 = 3 e 2 = 2. Os vectores próprios de A associados ao valor próprio são os vectores não nulos v 2 R3 para os quais (A I) v = 0, isto é, são os vectores não nulos de N (A I). Determinemos os vectores próprios de A associados ao valor próprio 1 = 3. Tem-se N (A 1I) = N 0 @ 2 4 4 5 1 0 5 1 20 0 0 3 5 1 A = L (f(0; 1; 5)g) . Logo, o subespaço próprio E 1 é dado por E 1 = N (A 1I) = L (f(0; 1; 5)g) . Os vectores próprios de A associados ao valor próprio 1 = 3 são v = (0; s; 5s) , com s 2 Rn f0g . Determinemos os vectores próprios de A associados ao valor próprio 2 = 2. Tem-se N (A 2I) = N 0 @ 2 4 5 5 1 0 4 1 20 0 1 3 5 1 A = L (f(1; 5; 20)g) . Logo, o subespaço próprio E 2 é dado por E 2 = N (A 2I) = L (f(1; 5; 20)g) . Os vectores próprios de A associados ao valor próprio 2 = 2 são v = (s; 5s; 20s) , com s 2 Rn f0g . Atendendo a que dim E 1 + dim E 2 = 2 < 3, não é possível ter uma base de R3 formada só por vectores próprios de A. Logo, a matriz A não é diagonalizável, isto é, não existe uma matriz invertível P diagonalizante tal que a matriz PAP 1 seja diagonal. 106
  • 107.
    (iv) Uma matrizcom apenas um valor próprio real. A = 2 4 1 0 0 0 0 1 0 1 0 3 5 . O polinómio característico é dado por det(A I) = 1 0 0 0 1 0 1 = = 2 (1 ) + (1 ) = = (1 ) 2 + 1 . Os valores próprios de A são os valores de para os quais det(A I) = 0. Logo, os valores próprios de A são 1 = 1, 2 = i e 3 = i. Logo, a matriz A não é diagonalizável numa matriz de entradas reais, isto é, não existe uma matriz invertível P diagonalizante tal que a matriz PAP 1 seja diagonal com entradas reais. No entanto e atendendo a que os três valores próprios são distintos, a matriz A é diagonalizável numa matriz de entradas complexas: 2 4 1 0 0 0 i 0 0 0 i 3 5 Exemplo 47. A sucessão de Fibonacci (Leonardo de Pisa, 1202). Seja (vn)n2N tal que v1 = 1; v2 = 1 e vn+2 = vn + vn+1, n 2 N. Considerando a igualdade vn+1 = vn+1, podemos escrever o sistema vn+1 = vn+1 vn+2 = vn + vn+1 isto é vn+1 vn+2 = 0 1 1 1 vn vn+1 para todo o n 2 N. Aplicando sucessivamente a igualdade anterior tem-se vn+1 vn+2 = 0 1 1 1 vn vn+1 = 0 1 1 1 0 1 1 1 vn 1 vn = = = 0 1 1 1 n v1 v2 = 0 1 1 1 n 1 1 . Calculemos agora os valores próprios de 0 1 1 1 : det 1 1 1 = 0 , ( ) (1 ) 1 = 0 , 2 1 = 0 , 107
  • 108.
    , = 1 + p 5 2 ou= 1 p 5 2 . Valores próprios: 1 = 1+ p 5 2 e 2 = 1 p 5 2 . Atendendo a que N 1 1 1 1 1 = N 0 1 + 1 2 1 1 1 1 = N 0 0 1 1 p 5 2 = L ( 1 + p 5 2 ; 1 !)! 1+ p 5 2 ; 1 é um vector próprio associado ao valor próprio 1+ p 5 2 , sendo todos os vectores próprios associados ao valor próprio 1+ p 5 2 dados por L n 1+ p 5 2 ; 1 o n f(0; 0)g. Atendendo a que N 2 1 1 1 2 = N 0 1 + 2 2 2 1 1 2 = N 0 0 1 1+ p 5 2 = L ( 1 + p 5 2 ; 1 !)! 1+ p 5 2 ; 1 é um vector próprio associado ao valor próprio 1 p 5 2 , sendo todos os vectores próprios associados ao valor próprio 1 p 5 2 dados por L n 1+ p 5 2 ; 1 o n f(0; 0)g. Como existe uma base de R2 formada só por vectores próprios (os dois valores próprios são distintos logo os vectores próprios correspondentes são linearmente independentes) então a matriz 0 1 1 1 é diagonalizável. Assim, fazendo P 1 = 1+ p 5 2 1+ p 5 2 1 1 tem-se P = " p 5 5 5+ p 5 10p 5 5 5 p 5 10 # e D = " 1+ p 5 2 0 0 1 p 5 2 # = P 0 1 1 1 P 1 , , 0 1 1 1 = P 1 " 1+ p 5 2 0 0 1 p 5 2 # P. Logo vn+1 vn+2 = 0 1 1 1 n 1 1 = P 1 " 1+ p 5 2 0 0 1 p 5 2 # P !n 1 1 = = P 1 " 1+ p 5 2 0 0 1 p 5 2 #n P 1 1 = P 1 2 4 1+ p 5 2 n 0 0 1 p 5 2 n 3 5 P 1 1 = = 1+ p 5 2 1+ p 5 2 1 1 2 4 1+ p 5 2 n 0 0 1 p 5 2 n 3 5 " p 5 5 5+ p 5 10p 5 5 5 p 5 10 # 1 1 = 108
  • 109.
    = 2 4 5 p 5 10 1 p 5 2 n + 5+ p 5 10 1+ p 5 2 n 5 3 p 5 10 1 p 5 2 n +3 p 5+5 10 1+ p 5 2 n 3 5 . Isto é, vn+1 = 5 p 5 10 1 p 5 2 !n + 5 + p 5 10 1 + p 5 2 !n para todo o n 2 N, com v1 = 1. Veri…que que (por exemplo) v2 = 1, v3 = 2; v4 = 3: Exemplo 48. (Um processo de difusão.) Considere duas células adjacentes separadas por uma membrana permeável e suponha que um ‡uído passa da 1a célula para a 2a a uma taxa (em mililitros por minuto) numericamente igual a 4 vezes o volume (em mililitros) do ‡uído da 1a célula. Em seguida, passa da 2a célula para a 1a a uma taxa (em mililitros por minuto) numericamente igual a 5 vezes o volume (em mililitros) do ‡uído da 2a célula. Sejam v1 (t) e v2 (t) respectivamente o volume da 1a célula e o volume da 2a célula no instante t. Suponha que inicialmente a primeira célula tem 10 mililitros de ‡uído e que a segunda tem 8 mililitros de ‡uído, isto é v1 (0) = 10 e v2 (0) = 8. Determinemos o volume de ‡uído de cada célula no instante t. Tem-se 8 < : v0 1 (t) = 4v1 (t) v0 2 (t) = 4v1 (t) 5v2 (t) isto é v0 1 (t) v0 2 (t) = 4 0 4 5 v1 (t) v2 (t) : (*) 4 e 5 são os valores próprios da matriz 4 0 4 5 , sendo os vectores próprios associados (1; 4) e (0; 1) respectivamente. Como existe uma base de R2 formada só por vectores próprios (os dois valores próprios são distintos logo os vectores próprios correspondentes são linearmente independentes) então a matriz 4 0 4 5 é diagonalizável. Assim, fazendo P 1 = 1 0 4 1 tem-se P = 1 0 4 1 e , D = 4 0 0 5 = P 4 0 4 5 P 1 , , 4 0 4 5 = P 1 4 0 0 5 P. o sistema (*) é equivalente a v0 1 (t) v0 2 (t) = P 1 4 0 0 5 P v1 (t) v2 (t) , 109
  • 110.
    , P v0 1 (t) v0 2(t) = 4 0 0 5 P v1 (t) v2 (t) Assim, considerando a mudança de variável u1 (t) u2 (t) = P v1 (t) v2 (t) P v0 1 (t) v0 2 (t) = 4 0 0 5 P v1 (t) v2 (t) , , u0 1 (t) u0 2 (t) = 4 0 0 5 u1 (t) u2 (t) , , 8 < : u0 1 (t) = 4u1 (t) u0 2 (t) = 5u2 (t) , Se u16=0 e u26=0 8 >>>>< >>>>: u0 1 (t) u1 (t) = 4 u0 2 (t) u2 (t) = 5 , , 8 < : log ju1 (t)j = 4t + k1 log ju2 (t)j = 5t + k2 , , 8 < : u1 (t) = c1e 4t u2 (t) = c2e 5t com c1; c2 2 R. Logo v1 (t) v2 (t) = P 1 c1e 4t c2e 5t = 1 0 4 1 c1e 4t c2e 5t = c1e 4t 4c1e 4t + c2e 5t . Como 8 < : v1 (0) = 10 v2 (0) = 8 então c1 = 10 e c2 = 32 e assim a solução geral do sistema de equações diferenciais lineares 8 < : v0 1 (t) = 4v1 (t) v0 2 (t) = 4v1 (t) 5v2 (t) com os valores iniciais 8 < : v1 (0) = 10 v2 (0) = 8 é dada por 2 4 v1 (t) v2 (t) 3 5 = 2 4 10e 4t 40e 4t 32e 5t 3 5 . 110
  • 111.
    5a Ficha de exercíciospara as aulas de problemas 1. Seja A = 2 4 9 8 7 6 5 4 3 2 1 3 5. Veri…que se 0 é valor próprio de A e caso seja determine um vector próprio associado. 2. Sem calcular o polinómio característico, indique um valor próprio e dois vectores próprios associados linearmente independentes para a matriz 2 4 5 5 5 5 5 5 5 5 5 3 5 : 3. Determine os valores próprios de uma matriz A 2 2 cujo traço seja igual a 5 e cujo determinante seja igual a 6. 4. Determine uma matriz A real simétrica (AT = A) 2 2 cujos valores próprios sejam 2 e 2 e tal que (2; 1) seja um vector próprio associado ao valor próprio 2. 5. Considere a transformação linear T : R3 ! R3 que admite os vectores próprios v1 = (1; 2; 1); v2 = ( 1; 0; 1); v3 = (0; 1; 0); associados respectivamente aos valores próprios 1; 2 e 3. Determine a expressão geral de T. 6. Considere a transformação linear T : R3 ! R3 de…nida por T(x; y; z) = (0; y + 3z; 3y + z): (i) Diga quais dos seguintes vectores: v1 = (2; 1; 1); v2 = (0; 1; 1); v3 = (1; 0; 0); v4 = ( 1; 1; 3); v5 = (0; 3; 3) são vectores próprios. (ii) Determine os valores próprios de T. (iii) Diga, justi…cando, se T é invertível e se T é diagonalizável. (iv) Determine os subespaços próprios de T. 7. Considere a transformação linear T : R2 ! R2 de…nida por T(1; 2) = (5; 5) = T (2; 1). (i) Veri…que que os vectores v1 = (1; 1) e v2 = (1; 1) são vectores próprios de T. (ii) Diga, justi…cando, se T é invertível e se T é diagonalizável. (iii) Indique uma base ordenada de R2 relativamente à qual a matriz que representa T seja uma matriz diagonal. (iv) Determine os valores próprios e os subespaços próprios de T. 111
  • 112.
    8. Considere atransformação linear T : R3 ! R3 que em relação à base canónica de R3 é representada pela matriz: A = 2 4 0 1 0 0 1 0 0 1 0 3 5 . (i) Veri…que que os vectores v1 = (1; 0; 0); v2 = (1; 1; 1) e v3 = (0; 0; 1) são vectores próprios de T. (ii) Diga, justi…cando, se T é invertível e se T é diagonalizável. (iii) Determine os valores próprios e os subespaços próprios de T. (iv) Diagonalize T. Isto é, determine uma matriz de mudança de base P 1 e uma matriz diagonal D tais que D = PAP 1 : 9. Considere a transformação linear T : R2 ! R2 que em relação à base ordenada f(1; 2) ; (2; 1)g de R2 é representada pela matriz: A = 2 3 3 2 . (i) Determine os valores próprios de T e diga, justi…cando, se T é invertível e se T é diagonalizável. (ii) Determine bases para os subespaços próprios de T. (iii) Diagonalize a transformação linear T, isto é, determine uma base ordenada de R2 relativamente à qual a matriz que represente T seja uma matriz diagonal. 10. Seja V um espaço linear de dimensão …nita. Seja T : V ! V uma transformação linear tal que T2 = T. Uma tranformação linear nas condições anteriores chama-se projecção. (i) Mostre que os valores próprios de T são 0 e 1: (ii) Justi…que que T é diagonalizável. 11. Considere a transformação linear T : R3 ! R3 de…nida por T(x; y; z) = (x; y; x y). (i) Determine os valores próprios e os subespaços próprios de T. (ii) A transformação linear T representa geometricamente uma projecção sobre um plano, paralelamente a um vector. Determine esse plano e esse vector. 12. Considere a transformação linear T : R3 ! R3 que representa geometricamente a projecção sobre o plano x + y + z = 0, paralelamente ao vector (0; 0; 1). (i) Explique o signi…cado do plano e do vector referidos no enunciado. (ii) Determine a expressão geral de T. 13. Considere a transformação linear T : R2 ! R2 que em relação à base canónica de R2 é representada pela matriz: A = 2 1 0 2 . 112
  • 113.
    (i) Determine osvalores próprios e os subespaços próprios de T. (ii) Mostre que não existe nenhuma base de R2 constituída por vectores próprios de T. T é diagonalizável? 14. Considere a transformação linear T : R3 ! R3 de…nida por T(x; y; z) = (3x; 2y + z; 2z): (i) Determine os valores próprios e bases dos subespaços próprios de T. (ii) Mostre que não existe nenhuma base de R3 em relação à qual T possa ser repre- sentada por uma matriz diagonal. 15. Considere a transformação linear T : R3 ! R3 de…nida por T(x; y; z) = (y + z; 2y + z; y + 2z). (i) Determine o polinómio característico de T. (ii) Determine os valores próprios e bases dos subespaços próprios de T. (iii) Determine uma base de R3 constituída por vectores próprios de T. Determine a matriz que representa T nesta base ordenada. (iv) Seja A a matriz que representa T na base canónica de R3 , isto é, A = M(T; B3 c ; B3 c ). Diagonalize a matriz A. Isto é, determine uma matriz de mudança de base P 1 e uma matriz diagonal D tais que D = PAP 1 . (v) Determine An e Tn (x; y; z). 16. Considere a transformação linear T : R3 ! R3 que em relação à base ordenada f(0; 1; 0) ; (1; 0; 1) ; (1; 0; 1)g de R3 é representada pela matriz: A = 2 4 7 4 2 1 7 1 1 2 10 3 5 . (i) Determine o polinómio característico de T. (ii) Determine os valores próprios e bases dos subespaços próprios de T. (iii) Diagonalize a transformação linear T, isto é, determine uma base ordenada de R3 relativamente à qual a matriz que represente T seja uma matriz diagonal. (iv) Determine An e Tn (x; y; z). 17. Sabendo que os vectores (1; 1; 1); (1; 0; 1) e (1; 1; 0) são vectores próprios da matriz 2 4 1 1 1 a b c d e f 3 5 , determine a; b; c; d; e; f. 113
  • 114.
    18. Considere atransformação linear T : M2 2(R) ! M2 2(R) de…nida por T(A) = A + AT : (i) Escolha uma base ordenada para M2 2(R) e determine a matriz que representa T em relação a essa base ordenada. (ii) Determine os valores próprios e os vectores próprios de T. (iii) Diga se T pode ou não ser representada por uma matriz diagonal em relação a uma base ordenada apropriada de M2 2(R). Em caso a…rmativo, indique uma tal base ordenada e a correspondente matriz diagonal que representa T. 19. Considere as matrizes A1 = 2 1 2 5 ; A2 = 2 4 2 1 1 0 3 1 0 1 3 3 5 ; A3 = 2 4 1 1 0 1 1 0 0 0 0 3 5. Veri…que que A1; A2 e A3 são diagonalizáveis. Isto é, determine matrizes de mudança de bases P 1 1 ; P 1 2 e P 1 3 e matrizes diagonais D1; D2 e D3 tais que D1 = P1A1P 1 1 , D2 = P2A2P 1 2 e D3 = P3A3P 1 3 . Ou seja, veri…que que existe uma base de R2 formada por vectores próprios de A1, uma base de R3 formada por vectores próprios de A2 e outra base de R3 formada por vectores próprios de A3. 20. Considere a transformação linear T : R4 ! R4 que em relação à base canónica de R4 é representada pela matriz 2 6 6 4 0 0 0 0 a 0 0 0 0 b 0 0 0 0 c 0 3 7 7 5 , com a; b; c 2 R. Determine os valores de a; b; c de modo a que exista uma base de R4 constituída só por vectores próprios de T. 21. Para cada parâmetro 2 R, sejam A = 2 4 1 1 0 3 0 1 0 3 5, u1 = 2 4 1 0 1 3 5, u2 = 2 4 1 0 1 3 5 : (i) Prove que u1 e u2 são vectores próprios de A. Determine os valores próprios associados. (ii) Determine os valores próprios de A e indique os valores de para os quais A tem 3 valores próprios todos distintos. (iii) Determine, em função de , bases para os espaços próprios associados. (iv) Identi…que, justi…cando, os valores de para os quais a matriz A é diagonalizável. 114
  • 115.
    3a Ficha de exercíciosfacultativos 1. Seja T : Rn ! Rn uma transformação linear invertível. Seja u um vector próprio de T associado a um valor próprio de T. Veri…que que u é também um vector próprio de T 1 e determine o valor próprio de T 1 que lhe está associado. 2. Seja V um espaço linear. Seja T : V ! V uma transformação linear. Seja u um vector próprio de T associado a um valor próprio de T. Veri…que que u é também um vector próprio de T2 associado ao valor próprio 2 de T2 . 3. Seja A uma matriz do tipo n n. Mostre que se é um valor próprio de A então k é um valor próprio de Ak , onde k é um inteiro positivo. 4. Uma matriz A do tipo n n diz-se nilpotente se Al = 0 para algum inteiro positivo l. Mostre que se A é nilpotente então o único valor próprio de A é 0. 5. Seja A uma matriz n n. Veri…que que A e AT têm os mesmos valores próprios. 6. Seja A uma matriz n n cuja soma das suas colunas é constante e igual a r. Mostre que r é um valor próprio de A: 7. Seja A 2 Mn n(R). Seja P uma matriz diagonalizante para A. Determine uma matriz diagonalizante para AT em termos de P. 8. Seja Q uma matriz n n real ortogonal, isto é, tal que Q 1 = QT . Mostre que se n fôr ímpar então Q tem o valor próprio 1 ou tem o valor próprio 1. 9. Determine uma matriz A real 2 2 tal que det A < 0. Mostre que A é diagonalizável. 10. Seja A uma matriz n n e seja um valor próprio de A com multiplicidade algébrica igual a n. Mostre que se A fôr diagonalizável então A é uma matriz diagonal. 11. Seja V um espaço linear e seja T : V ! V uma transformação linear tal que todos os vectores não nulos de V são vectores próprios. Mostre que T tem um único valor próprio. 12. Sejam A e B duas matrizes do tipo n n. Mostre que AB e BA têm os mesmos valores próprios. 13. Sejam A e B duas matrizes tais que AB = BA. Mostre que A e B têm um vector próprio em comum. Sugestão: Sendo um valor próprio de A, considere C a matriz cujas colunas formam uma base ordenada S de N (A I) e veri…que que (A I) BC = 0. Finalmente considere a matriz P cujas colunas são respectivamente as coordenadas das colunas de BC em relação à base S e sendo v um vector próprio de P mostre que Cv é um vector próprio comum a A e B. 14. Seja A uma matriz n n e sejam 1; 2 escalares, com 1 6= 2, tais que (A 1I) (A 2I) = 0: Mostre que A é diagonalizável. 115
  • 116.
    Produtos internos eortogonalização De…nição 51. Sejam V um espaço linear real e 0 o vector nulo de V . Chama-se produto interno em V a uma aplicação h; i : V V ! R (u; v) ! hu; vi que veri…que as três condições seguintes. (i) Simetria: para todos os u; v 2 V hu; vi = hv; ui . (ii) Linearidade: para todo o v 2 V (…xo) a aplicação V ! R u ! hu; vi é linear. (iii) Positividade: para todo o u 2 V tal que u 6= 0, hu; ui > 0. Tendo-se hu; ui = 0 se e só se u = 0. Observação 44. (a) Um produto interno num espaço linear real é uma forma bilinear, simétrica e de…nida positiva. (b) Num espaço linear V sobre C (espaço linear complexo), um produto interno é uma aplicação que a cada par de vectores (u; v) 2 V V associa o número complexo hu; vi e que veri…ca as seguintes condições: (i) Para todos os u; v 2 V hu; vi = hv; ui. (ii) Para todo o v 2 V (…xo) tem-se h u + w; vi = hu; vi + hw; vi para todos os u; w 2 V e ; 2 C, (onde por exemplo = a bi se = a+bi) e a aplicação, para todo o u 2 V (…xo) V ! C v ! hu; vi é linear. 116
  • 117.
    (iii) Para todoo u 2 V tal que u 6= 0, hu; ui > 0. Tendo-se hu; ui = 0 se e só se u = 0. (c) A um espaço linear real de dimensão …nita com um produto interno chama-se espaço euclidiano. A um espaço linear complexo de dimensão …nita com um produto interno chama-se espaço unitário. Observação 45. (i) Seja V um espaço linear real. Seja B = fw1; w2; :::; wng uma base ordenada de V . Sejam u; v 2 V . Sejam 1; 2; :::; n e 1; 2; :::; n as coordenadas de u e de v na base ordenada B respectivamente, isto é, u = 1w1 + 2w2 + ::: + nwn = nX i=1 iwi e v = 1w1 + 2w2 + ::: + nwn = nX i=1 iwi. Logo, hu; vi = * nX i=1 iwi; nX i=1 iwi + = nX i=1 nX j=1 i j hwi; wji = = 1 2 : : : n 2 6 6 6 4 hw1; w1i hw1; w2i : : : hw1; wni hw2; w1i hw2; w2i : : : hw2; wni ... ... ... hwn; w1i hwn; w2i : : : hwn; wni 3 7 7 7 5 2 6 6 6 4 1 2 ... n 3 7 7 7 5 . Assim, a aplicação h; i : V V ! R que a cada (u; v) 2 V V faz corresponder hu; vi, é um produto interno em V se e só se a matriz G = 2 6 6 6 4 hw1; w1i hw1; w2i : : : hw1; wni hw2; w1i hw2; w2i : : : hw2; wni ... ... ... hwn; w1i hwn; w2i : : : hwn; wni 3 7 7 7 5 fôr simétrica (G = GT ) e de…nida positiva (uT Gu > 0, para todo o u 6= 0). Note-se que a linearidade é consequência das propriedades referentes às operações matriciais envolvidas. (ii) À matriz G anterior dá-se o nome de matriz da métrica do produto interno. (iii) Num próximo capítulo, como consequência da diagonalização ortogonal, sendo G simétrica (G = GT ), será estabelecida a equivalência: (uT Gu > 0, para todo o u 6= 0) , (todos os valores próprios de G são positivos). 117
  • 118.
    (iv) Observe-se aindaque no caso de se ter um espaço unitário pode-se encontrar uma matriz G cujos valores próprios sejam todos positivos e tal que G = G T , (onde G é a matriz que se obtem de G passando todas as entradas desta ao complexo conjugado), tendo-se hu; vi = 1 2 : : : n G 2 6 6 6 4 1 2 ... n 3 7 7 7 5 . Uma matriz A que satisfaça a condição A = A T diz-se hermitiana. Teorema 63. Seja V um espaço linear real com dim V = n. Seja fw1; w2; :::; wng uma base ordenada de V . Então, uma aplicação h; i : V V ! R é um produto interno (em V ) se e só se hu; vi = 1 2 : : : n G 2 6 6 6 4 1 2 ... n 3 7 7 7 5 , com u = 1w1 + 2w2 + ::: + nwn v = 1w1 + 2w2 + ::: + nwn. e G é uma matriz simétrica cujos valores próprios são todos positivos. Se a aplicação h; i fôr um produto interno tem-se G = 2 6 6 6 4 hw1; w1i hw1; w2i : : : hw1; wni hw2; w1i hw2; w2i : : : hw2; wni ... ... ... hwn; w1i hwn; w2i : : : hwn; wni 3 7 7 7 5 . Exemplo 49. (i) Seja h; i : R2 R2 ! R a aplicação de…nida por: h( 1; 2) ; ( 1; 2)i = 1 1 + 2 2, com ( 1; 2) ; ( 1; 2) 2 R2 . Esta aplicação é um produto interno em R2 a que se dá o nome de produto interno usual em R2 , uma vez que h( 1; 2) ; ( 1; 2)i = 1 1 + 2 2 = 1 2 G 1 2 com G = 1 0 0 1 . 118
  • 119.
    A matriz Gé simétrica e o único valor próprio de G é 1 > 0. (ii) Seja h; i : R2 R2 ! R a aplicação de…nida por: h( 1; 2) ; ( 1; 2)i = 2 1 1 + 3 2 2, com ( 1; 2) ; ( 1; 2) 2 R2 . Esta aplicação não é um produto interno em R2 , uma vez que h( 1; 2) ; ( 1; 2)i = 2 1 1 + 3 2 2 = 1 2 G 1 2 com G = 2 0 0 3 . A matriz G é simétrica, no entanto, os valores próprios de G: 2 e 3 não são ambos positivos. (iii) O produto interno usual em Rn é dado por: h; i : Rn Rn ! R (u; v) ! hu; vi = uT v, onde uT = u1 u2 : : : un e v = 2 6 6 6 4 v1 v2 ... vn 3 7 7 7 5 . (iv) O produto interno usual em Cn é dado por: h; i : Cn Cn ! C (u; v) ! hu; vi = uH v, onde uH = uT = u1 u2 : : : un e v = 2 6 6 6 4 v1 v2 ... vn 3 7 7 7 5 . (v) Um produto interno em Mm n (R). h; i : Mm n (R) Mm n (R) ! R (A; B) ! hA; Bi = mX i=1 nX j=1 aijbij = tr AT B . (vi) Um produto interno em C ([a; b]). h; i : C ([a; b]) C ([a; b]) ! R (f; g) ! hf; gi = Z b a f (x) g (x) dx. 119
  • 120.
    Exemplo 50. R2 comum produto interno não usual. Seja h; i : R2 R2 ! R a aplicação de…nida por: h( 1; 2) ; ( 1; 2)i = 2 1 1 + 1 2 + 2 1 + 3 2 2, com ( 1; 2) ; ( 1; 2) 2 R2 . É fácil ver que esta aplicação é simétrica e linear em relação a ( 1; 2) (…xando ( 1; 2)). Vejamos por exemplo que a condição h( 1; 2) ; ( 1; 2)i > 0, para todo o ( 1; 2) 6= (0; 0), é satisfeita. Atendendo a que h( 1; 2) ; ( 1; 2)i = 2 2 1 + 2 1 2 + 3 2 2 = 2 1 + ( 1 + 2)2 + 2 2 2, tem-se h( 1; 2) ; ( 1; 2)i = 0 , , ( 1 = 0 e 1 + 2 = 0 e 2 = 0) , ( 1 = 0 e 2 = 0) , ( 1; 2) = (0; 0). Em alternativa, podemos escrever h( 1; 2) ; ( 1; 2)i = 2 1 1 + 1 2 + 2 1 + 3 2 2 = = 1 2 G 1 2 com G = 2 1 1 3 . A matriz G é simétrica e os valores próprios de G: 5+ p 5 2 e 5 p 5 2 são ambos positivos. De…nição 52. Sejam V um espaço linear com um produto interno e 0 o vector nulo de V . Sejam u; v 2 V . (i) Chama-se norma de u a: kuk = p hu; ui: (ii) Chama-se projecção ortogonal de v sobre u 6= 0 a: proju v = hv; ui kuk2 u: (iii) Diz-se que u e v são ortogonais se hu; vi = 0. (iv) Chama-se ângulo entre dois vectores não nulos u e v tais que hu; vi 2 R a: = arccos hu; vi kuk kvk . 120
  • 121.
    Note que esteângulo está bem de…nido atendendo ao próximo teorema. Observação 46. (i) O ângulo entre dois vectores não nulos u e v é 2 se e só se u e v são ortogonais. (ii) Para cada u 2 V (…xo) com u 6= 0, a aplicação proju : V ! V que a cada v 2 V faz corresponder proju v, é uma transformação linear. Teorema 64. Desigualdade de Cauchy-Schwarz. Seja V um espaço linear com um produto interno. Então, para todos os u; v 2 V , jhu; vij kuk kvk Observação 47. (i) Teorema de Pitágoras. Sejam u; v 2 R2 . Tem-se u e v ortogonais se e só se ku vk2 = kuk2 + kvk2 . Dem. ku vk2 = hu v; u vi = = hu; ui hv; ui hu; vi + hv; vi = = kuk2 2 hu; vi + kvk2 = kuk2 + kvk2 se e só se hu; vi = 0, isto é, se e só se u e v forem ortogonais. (ii) Em R2 com o produto interno usual, a desigualdade de Cauchy-Schwarz é dada por j 1 1 + 2 2j q 2 1 + 2 2 q 2 1 + 2 2, uma vez que h( 1; 2) ; ( 1; 2)i = 1 1 + 2 2, com ( 1; 2) ; ( 1; 2) 2 R2 . (iii) Em Rn com o produto interno usual, a desigualdade de Cauchy-Schwarz é dada por nX i=1 i i v u u t nX i=1 2 i v u u t nX i=1 2 i , uma vez que h( 1; :::; n) ; ( 1; :::; n)i = 1 1 + ::: + n n, com ( 1; :::; n) ; ( 1; :::; n) 2 Rn . 121
  • 122.
    Teorema 65. SejamV um espaço linear com um produto interno e 0 o vector nulo de V . Sejam u; v 2 V e escalar. A norma é uma aplicação kk : V ! R que satisfaz as seguintes propriedades. (i) Positividade: kuk > 0 se u 6= 0. (ii) Homogeneidade: k uk = j j kuk (iii) Desigualdade triangular: ku + vk kuk + kvk Observação 48. Pode de…nir-se norma num espaço linear V , sem estar associada a qualquer produto interno, como sendo uma aplicação de V em R que satisfaz as propriedades do teorema anterior. A um espaço linear com uma norma chama-se espaço normado. Observação 49. Seja V um espaço linear real com um produto interno. Sejam u; v 2 V . Tem-se hu; vi = 1 2 ku + vk2 kuk2 kvk2 . Observação 50. Seja V um espaço normado. Sejam u; v 2 V . Então, a norma pode dar origem a um produto interno se e só se ku vk2 + ku + vk2 = 2 kuk2 + 2 kvk2 . Esta última equação é conhecida por lei do paralelogramo. Exemplo 51. Uma norma que não dá origem a um produto interno. Seja kk : R2 ! R a aplicação de…nida por k( 1; 2)k = j 1j + j 2j , com ( 1; 2) 2 R2 . É fácil veri…car que esta aplicação satisfaz as três condições da norma. Logo, é uma norma. No entanto, é também fácil veri…car que esta norma não satisfaz a lei do paralelogramo. Logo, esta norma não poderá originar um produto interno. De…nição 53. Sejam V um espaço euclidiano (ou unitário) e S V . Diz-se que S é ortogonal se para todos os u; v 2 S com u 6= v, se tiver hu; vi = 0. Diz-se que S é ortonormado se fôr ortogonal e se, para todo o u 2 S, se tiver kuk = 1. Teorema 66. Sejam V um espaço linear com um produto interno e S V . Seja 0 o vector nulo de V . Se S é ortogonal e 0 =2 S então S é linearmente independente. Em 122
  • 123.
    particular, se n= dim V então qualquer conjunto S ortogonal de n vectores não nulos é uma base de V . Teorema 67. Seja V um espaço euclidiano (ou unitário) com dim V = n. Seja B = fu1; :::; ung uma base (ordenada) ortogonal de V . Então, as coordenadas de um vector v 2 V em relação à base (ordenada) B são dadas por: j = hv; uji huj; uji , com j = 1; :::; n. Se B fôr ortonormada então as coordenadas de um vector v 2 V em relação à base (ordenada) B são dadas por: j = hv; uji , com j = 1; :::; n. Teorema 68. Seja V um espaço euclidiano com dim V = n. Seja B = fw1; :::; wng uma base (ordenada) ortonormada de V . Então, para todos os u; v 2 V , tem-se hu; vi = nX i=1 hu; wii hv; wii (fórmula de Parseval) e kuk = v u u t nX i=1 hu; wii2 : Observação 51. Seja V um espaço euclidiano com dim V = n. Seja B = fw1; :::; wng uma base (ordenada) ortonormada de V . Sejam u; v 2 V , com u = 1w1 + 2w2 + ::: + nwn v = 1w1 + 2w2 + ::: + nwn. Então a fórmula de Parseval é dada por: hu; vi = nX i=1 i i = 1 1 + 2 2 + ::: + n n e tem-se kuk = v u u t nX i=1 2 i . Notação 3. Sejam V um espaço euclidiano (ou unitário) e 0 o vector nulo de V . Para qualquer v 2 V , com v 6= 0, o vector 1 kvk v será denotado por v kvk . 123
  • 124.
    Teorema 69. Métodode ortogonalização de Gram-Schmidt. Seja V um espaço euclidiano (ou unitário) não nulo. Então V tem bases ortonormadas. Mais concretamente, considere o conjunto linearmente independente: fv1; v2; :::; vkg V e sejam u1 = v1, u2 = v2 proju1 v2, ::: uk = vk proju1 vk ::: projuk 1 vk então (i) L(fu1; u2; :::; ukg) = L(fv1; v2; :::; vkg); (ii) o conjunto fu1; u2; :::; ukg é uma base ortogonal de L(fv1; v2; :::; vkg). (iii) o conjunto u1 ku1k ; u2 ku2k ; :::; uk kukk é uma base ortonormada de L(fv1; v2; :::; vkg). Exemplo 52. Considere-se R4 com o produto interno usual. Seja U = L(f(1; 1; 1; 1); (1; 2; 3; 4); (2; 1; 6; 7); (1; 3; 7; 9)g). Determinemos a dimensão de U e uma base ortonormada para U. Tem-se 2 6 6 4 1 1 2 1 1 2 1 3 1 3 6 7 1 4 7 9 3 7 7 5 ! 2 6 6 4 1 1 2 1 0 1 1 2 0 4 4 8 0 5 5 10 3 7 7 5 ! 2 6 6 4 1 1 2 1 0 1 1 2 0 0 0 0 0 0 0 0 3 7 7 5 . Logo, o conjunto fv1; v2g, com v1 = (1; 1; 1; 1) e v2 = (1; 2; 3; 4), é uma base de U e como tal dim U = 2. Sejam u1 = v1 e u2 = v2 proju1 v2. Logo, o conjunto fu1; u2g, com u1 = (1; 1; 1; 1) e u2 = (1; 2; 3; 4) 1 + 2 3 4 4 (1; 1; 1; 1) = (2; 3; 2; 3), é uma base ortogonal de U. Uma base ortonormada para U: u1 ku1k ; u2 ku2k = ( 1 2 ; 1 2 ; 1 2 ; 1 2 ; p 26 13 ; 3 p 26 26 ; p 26 13 ; 3 p 26 26 !) Teorema 70. Seja B = fu1; u2; :::; ung uma base (ordenada) de um espaço euclidiano (ou unitário). A base B é ortonormada se e só se a matriz da métrica G em relação a essa base fôr a matriz identidade. Em Rn o produto interno usual é aquele em relação ao qual a base canónica é ortonormada. 124
  • 125.
    Teorema 71. Sejafv1; v2; :::; vng uma base (ordenada) de Rn . Então, existe um único produto interno em Rn para o qual esta base é ortonormada. Exemplo 53. Considere em R2 a base (ordenada) B = fv1; v2g, com v1 = (1; 0) e v2 = (1; 1). Vejamos que existe um e um só produto interno para o qual a base B é ortonormada. Seja B2 c = f(1; 0); (0; 1)g a base canónica de R2 . Sejam u; v 2 R2 , com u = ( 1; 2) e v = ( 1; 2), onde 1; 2 e 1; 2 são as coordenadas na base B2 c de u e v respectivamente. Logo, a aplicação h; i : R2 R2 de…nida por hu; vi = h( 1; 2) ; ( 1; 2)i = SB2 c !B 1 2 T 1 0 0 1 SB2 c !B 1 2 = = 1 1 0 1 1 2 T 1 0 0 1 1 1 0 1 1 2 = 1 1 1 2 2 1 + 2 2 2 = = 1 2 1 1 1 2 1 2 é um produto interno e é o único para o qual a base B é ortonormada, onde SB2 c !B = SB!B2 c 1 = 1 1 0 1 1 = 1 1 0 1 : NOTE QUE: sendo G = 1 1 1 2 (é simétrica e os valores próprios 3+ p 5 2 e 3 p 5 2 são ambos positivos) a matriz da métrica em relação a B2 c e G0 = 1 0 0 1 (é simétrica e o único valor próprio 1 é positivo) a matriz da métrica em relação a B, tem-se G = SB2 c !B T G0 SB2 c !B É fácil veri…car que para este produto interno a base B é ortonormada: h(1; 0) ; (1; 1)i = 0 e h(1; 0) ; (1; 0)i = h(1; 1) ; (1; 1)i = 1. De…nição 54. Sejam V um espaço euclidiano (ou unitário) e U um subespaço de V . Diz-se que um elemento de V é ortogonal a U se fôr ortogonal a todos os elementos de U. Ao conjunto de todos os elementos ortogonais a U chama-se complemento ortogonal de U e designa-se por U? , U? = fv 2 V : hv; ui = 0 para todo o u 2 Ug . Observação 52. Seja V um espaço linear com produto interno. (i) Qualquer que seja o subespaço U de V , também U? é um subespaço de V . (ii) Sendo S um subconjunto de V , não necessariamente um subespaço de V , (também) pode de…nir-se S? : S? = fv 2 V : hv; ui = 0 para todo o u 2 Sg . 125
  • 126.
    Apesar de Snão ser necessariamente um subespaço de V , S? é sempre um subespaço de V , tendo-se S? = (L (S))? . Teorema 72. Seja V um espaço linear com produto interno. (i) Seja U um subespaço de V . Tem-se U U? = f0g : (ii) Seja S um subconjunto de V . Então S S? ? . No próximo teorema ver-se-á que no caso de se ter dim V < 1, então L (S) = S? ? ou ainda, sendo U um subespaço de V (de dimensão …nita) U = U? ? . (iii) Sejam S1; S2 subconjuntos de V . Então S1 S2 ) (S2)? (S1)? (iv) Seja U um subespaço de V . Se fv1; v2; :::; vng é uma base de U então U? = fv 2 V : hv; v1i = hv; v2i = ::: = hv; vni = 0g . (v) Sejam U1; U2 subespaços de V . Tem-se (U1 + U2)? = (U1)? (U2)? e (U1 U2)? (U1)? + (U2)? . Se dim V < 1 tem-se (U1 U2)? = (U1)? + (U2)? . Exemplo 54. (i) Se U R3 é um plano que passa pela origem, então U? é uma recta que passa pela origem e é perpendicular ao plano. (ii) Se U R3 é uma recta que passa pela origem, então U? é um plano que passa pela origem e é perpendicular à recta. (iii) Seja A 2 Mm n(R). Então, N(A) = (L(A))? = C(AT ) ? e N(AT ) = L(AT ) ? = (C(A))? : (iv) Seja A 2 Mn n(R) tal que A é invertível. Então, (N (A))? = Rn e (L (A))? = f0g : 126
  • 127.
    Teorema 73. SeU é um subespaço de um espaço euclidiano (ou unitário) V , então V é a soma directa de U e U? , isto é, V = U U? . Logo, cada elemento v 2 V pode ser escrito de modo único como soma de um elemento de U com um elemento de U? : v = vU + vU? , com vU 2 U e vU? 2 U? . À transformação linear PU : V ! V de…nida por PU (v) = vU e tal que PU = PU PU = (PU )2 chama-se projecção ortogonal de V sobre U e à transformação linear PU? : V ! V de…nida por PU? (v) = vU? e tal que PU? = PU? PU? = (PU? )2 chama-se projecção ortogonal de V sobre U? . Tem-se I = PU + PU? , dim U + dim U? = dim V; U? ? = U De facto, se fw1; w2; :::; wlg fôr uma base ortogonal de U, então PU (v) = lX i=1 hv; wii kwik2 wi = lX i=1 projwi v = vU I (PU ) = PU (V ) = U N (PU ) = U? para todo o v 2 V . Se fu1; u2; :::; ukg é uma base ortogonal de U? , então, para todo o v 2 V PU? (v) = kX j=1 hv; uji kujk2 uj = kX j=1 projuj v = vU? I (PU? ) = PU? (V ) = U? N (PU? ) = U Neste caso, fw1; w2; :::; wl; u1; u2; :::; ukg é uma base ortogonal de V . Tem-se ainda: (i) hPU (u) ; vi = hu; PU (v)i, hPU? (u) ; vi = hu; PU? (v)i, para todos os u; v 2 V ; (ii) kuk2 = kPU (u)k2 + kPU? (u)k2 , para todo o u 2 V (Teorema de Pitágoras); Teorema 74. Seja U é um subespaço de dimensão …nita de um espaço euclidiano (ou unitário) V . Seja v 2 V . Então, existe um elemento de U mais próximo de v do que qualquer dos outros pontos de U. Este elemento é a projecção ortogonal PU (v) de v sobre U e tem-se kv PU (v)k kv uk , para todo o u 2 U, e a igualdade veri…ca-se se e só se u = PU (v). Além disso, tendo-se 0 2 U, a distância d de um ponto v 2 V a um subespaço U é dada por: d (v; U) = kPU? (v 0)k = kPU? (v)k = kv PU (v)k . 127
  • 128.
    De…nição 55. SejaV um espaço euclidiano (ou unitário). Seja U é um subespaço de V com dim U = k. Seja q 2 V . Chama-se ao conjunto fqg + U um k-plano. A distância d de um ponto p 2 V a um k-plano P = fqg + U é dada por: d (p; P) = kPU? (p q)k . Observação 53. A distância entre dois k-planos paralelos P1 = fpg + U e P2 = fqg + U é dada por: d (P1; P2) = kPU? (p q)k . Exemplo 55. Considere-se R3 com o produto interno usual. (i) Seja P o plano (em R3 ) que passa pelos pontos: (1; 2; 1), (1; 0; 1) e (1; 1; 1): Tem-se P = f(1; 2; 1)g + L (f(0; 2; 2); (0; 1; 0)g) uma vez que (0; 2; 2) = (1; 0; 1) (1; 2; 1) e (0; 1; 0) = (1; 1; 1) (1; 2; 1). Equação vectorial de P: (x; y; z) = (1; 2; 1) + (0; 2; 2) + (0; 1; 0), com ; 2 R. Equações paramétricas de P: 8 < : x = 1 y = 2 2 z = 1 2 com ; 2 R. Equação cartesiana de P: x = 1. Podemos determinar uma equação cartesiana de P do seguinte modo. Atendendo a que P = f(1; 2; 1)g + L (f(0; 2; 2); (0; 1; 0)g) 128
  • 129.
    seja U = L(f(0; 2; 2); (0; 1; 0)g) . Logo, U? = (x; y; z) 2 R3 : h(x; y; z); (0; 2; 2)i = 0 e h(x; y; z); (0; 1; 0)i = 0 = = N 0 2 2 0 1 0 = L (f(1; 0; 0)g) e assim, a equação cartesiana do plano P que passa pelo ponto (1; 2; 1) é dada por: (h(x 1; y 2; z 1); (1; 0; 0)i = 0) , , (1 (x 1) + 0 (y 2) + 0 (z 1) = 0) , ou seja por x = 1. NOTE QUE: U = U? ? = (x; y; z) 2 R3 : h(x; y; z); (1; 0; 0)i = 0 = = (x; y; z) 2 R3 : x = 0 : (ii) Determinemos a equação cartesiana da recta que passa pelos pontos (1; 1; 0) e (1; 2; 1). Tem-se r = f(1; 1; 0)g + L (f(0; 1; 1)g) , uma vez que (0; 1; 1) = (1; 2; 1) (1; 1; 0): Seja U = L (f(0; 1; 1)g) . Logo, U? = (x; y; z) 2 R3 : h(x; y; z); (0; 1; 1)i = 0 = = N 0 1 1 = L (f(1; 0; 0); (0; 1; 1)g) e assim, a equação cartesiana da recta r é dada por: (h(x 1; y 1; z); (1; 0; 0)i = 0 e h(x 1; y 1; z); (0; 1; 1)i = 0) , , (1 (x 1) = 0 e 1 (y 1) 1z = 0) , ou seja por x = 1 y z = 1. NOTE QUE: U = U? ? = (x; y; z) 2 R3 : h(x; y; z); (1; 0; 0)i = 0 e h(x; y; z); (0; 1; 1)i = 0 = = (x; y; z) 2 R3 : x = 0 e y z = 0 : 129
  • 130.
    6a Ficha de exercíciospara as aulas de problemas 1. Diga quais das seguintes aplicações h; i : R2 R2 ! R de…nem em R2 um produto interno. (i) h(x1; x2); (y1; y2)i = x2 1y2 1 + x2 2y2 2 (ii) h(x1; x2); (y1; y2)i = x1y1 x2y1 x1y2 + 3x2y2 (iii) h(x1; x2); (y1; y2)i = 2x1y1 + 3x2y2 2. Diga quais das seguintes aplicações h; i : R3 R3 ! R de…nem em R3 um produto interno. (i) h(x1; x2; x3); (y1; y2; y3)i = x1y1 + x2y2 + x3y3 (ii) h(x1; x2; x3); (y1; y2; y3)i = x1y2 x2y1 (iii) h(x1; x2; x3); (y1; y2; y3)i = 2x1y1 + x1y3 + x3y1 + 2x2y2 + x3y3 3. Determine um produto interno em R2 tal que h(1; 0); (0; 1)i = 2. 4. Considere os vectores u = 1p 5 ; 1p 5 e v = 2p 30 ; 3p 30 . Veri…que que o conjunto fu; vg é ortonormado relativamente ao produto interno de…nido em R2 por: hu; vi = 3u1v1 + 2u2v2, onde u = (u1; u2) e v = (v1; v2). Veri…que porém que o mesmo conjunto fu; vg não é ortonormado relativamente ao produto interno usual de…nido em R2 . 5. Considere em R4 o produto interno usual. Determine o subespaço de R4 ortogonal aos vectores (1; 0; 0; 0) e (1; 0; 0; 1). 6. Considere em R3 o produto interno de…nido por: h(x1; x2; x3); (y1; y2; y3)i = x1y1 + x1y2 + x2y1 + 2x2y2 + x3y3. (i) Calcule kuk, para qualquer vector u = (x1; x2; x3) 2 R3 . (ii) Considere os vectores u1 = (1; 0; 0), u2 = ( 1; 1; 0) e u3 = (0; 0; 1). Calcule os ângulos formados pelos vectores: u1 e u2; u1 e u3; u2 e u3. (iii) Justi…que que o conjunto fu1; u2; u3g é uma base ortonormada de R3 . Calcule as coordenadas de um vector u 2 R3 em relação a esta base. 7. Considere R4 com o produto interno usual. Determine uma base ortonormada para o subespaço de R4 gerado pelos vectores: (1; 0; 1; 0); ( 1; 2; 0; 1) e (2; 0; 2; 1). 8. Considere R3 com o produto interno usual. Considere também os seguintes subespaços de R3 : U = L (f(0; 1; 1); (0; 0; 1)g) e V = (x; y; z) 2 R3 : y z = 0 . 130
  • 131.
    (i) Determine umabase ortogonal para U e uma base ortonormada para V . (ii) Determine duas bases ortonormadas para R3 : uma que inclua dois vectores de U e outra que inclua dois vectores de V . (iii) Determine o elemento de U mais próximo de (1; 1; 1) e a distância entre (1; 1; 1) e V ? . 9. Seja A = 2 4 1 0 2 0 0 0 2 0 1 3 5 e considere o produto interno usual. Sejam N (A), C (A) e L (A) respectivamente o núcleo, espaço das colunas e espaço das linhas de A. (i) Determine uma base ortonormada para R3 que inclua dois vectores de C (A). (ii) Determine o elemento de L (A) mais próximo de (1; 1; 1) e a distância entre (1; 1; 1) e N (A). 10. Seja A = 2 4 1 0 1 0 2 0 1 0 1 3 5 e considere o produto interno usual. Sejam N (A), C (A) e L (A) respectivamente o núcleo, espaço das colunas e espaço das linhas de A. (i) Determine uma base ortonormada para (N (A))? (o complemento ortogonal do núcleo de A). (ii) Determine uma base ortonormada para R3 que inclua dois vectores de C (A). (iii) Determine o elemento de L (A) mais próximo de (1; 2; 3) e a distância entre (1; 2; 3) e (L (A))? . 11. Considere em R4 o seguinte subespaço: U = L (f(1; 1; 1; 0); (0; 1; 1; 1)g). Determine uma matriz A do tipo 2 4 cujo núcleo seja igual a U, isto é, tal que U = N (A). 12. De…na o produto interno em R2 em relação ao qual a base f(1; 0); (1; 1)g é ortonor- mada. 13. Considere a aplicação h; i : R3 R3 ! R de…nida por h(x1; x2; x3); (y1; y2; y3)i = x1y1 x1y2 x2y1 + 4x2y2 + x3y3. (i) Veri…que que h; i de…ne um produto interno em R3 . (ii) Seja V = L (f(3; 4; 0)g) R3 . Diga qual é o ponto de V mais próximo de (0; 1; 0). (iii) Determine uma base ortogonal para o complemento ortogonal de V , em relação ao produto interno h; i. (iv) Seja PV : R3 ! R3 a projecção ortogonal de R3 sobre V . Indique, em relação ao produto interno h; i, uma base ortonormada de R3 para a qual a representação matricial de PV seja dada por 2 4 1 0 0 0 0 0 0 0 0 3 5 . 14. Seja U o subespaço de R3 gerado pelos vectores v1 = (0; 1; 0) e v2 = 4 5 ; 0; 3 5 . Escreva u = (1; 2; 3) na forma u = u1 + u2, com u1 2 U e u2 2 U? . 131
  • 132.
    15. Considere R4 como produto interno usual. Em cada alínea seguinte, determine uma base ortogonal para o complemento ortogonal de U, isto é, para U? . (i) U = L (f(1; 0; 0; 0); (1; 1; 0; 1)g) (ii) U = L (f(1; 0; 1; 1)g) (iii) U = f(x; y; z; w) 2 R4 : x + 2y + z + 2w = 0g (iv) U = f(x; y; z; w) 2 R4 : x z = 0 e 2x y + 2z w = 0g 16. Considere R3 com o produto interno usual. Considere também o seguinte subespaço de R3 : U = L (f(1; 1; 1); (1; 0; 0)g) . (i) Determine uma base ortogonal para U. (ii) Determine u 2 U e v 2 U? tais que (3; 2; 1) = u + v. (iii) Determine a distância entre o ponto (1; 0; 1) e o plano f(1; 1; 0)g + U. (iv) Determine a distância entre o ponto (x; y; z) e o plano U. 17. Considere R4 com o produto interno usual. Considere também o seguinte subespaço de R4 : U = (x; y; z; w) 2 R4 : x y + z = 0 e y z + w = 0 . (i) Determine uma base ortonormada para U. (ii) Determine uma base ortonormada para U? . (iii) Determine as projecções ortogonais de (0; 0; 1; 0) sobre U e U? respectivamente. (iv) Determine as representações matriciais de PU : R4 ! R4 e de PU? : R4 ! R4 em relação à base canónica de R4 . (v) Determine a distância entre o ponto (0; 0; 1; 0) e o subespaço U. (vi) Determine a distância entre o ponto (x; y; z; w) e o subespaço U. 18. Considere P2 = fa0 + a1t + a2t2 : a0; a1; a2 2 Rg a aplicação h; i : P2 P2 ! R de…nida por hp(t); q(t)i = p( 1)q( 1) + p(0)q(0) + p(1)q(1). Considere também o seguinte subespaço de P2: U = fp(t) 2 P2 : p(0) = 0g. (i) Veri…que que h; i de…ne um produto interno em P2. (ii) Determine uma base ortonormada para U. (iii) Determine uma base ortonormada para U? . (iv) Determine as projecções ortogonais do polinómio 1 + t sobre U e U? respectiva- mente. (v) Determine as representações matriciais de PU : P2 ! P2 e de PU? : P2 ! P2 em relação à base canónica f1; t; t2 g de P2. (vi) Determine a distância entre 1 + t e U. (vii) Determine a distância entre o polinómio a0 + a1t + a2t2 e o subespaço U. 132
  • 133.
    19. Considere aaplicação h; i : M2 2(R) M2 2(R) ! R de…nida por hA; Bi = tr(ABT ). Considere também o subespaço U de M2 2(R) constituído por todas as matrizes simétricas reais do tipo 2 2: U = a b c d 2 M2 2(R) : b = c . (i) Veri…que que h; i de…ne um produto interno em M2 2(R). (ii) Determine uma base ortonormada para U. (iii) Determine uma base ortonormada para U? . (iv) Determine as representações matriciais de PU : M2 2(R) ! M2 2(R) e de PU? : M2 2(R) ! M2 2(R) em relação à base canónica 1 0 0 0 ; 0 1 0 0 ; 0 0 1 0 ; 0 0 0 1 de M2 2(R). (v) Determine as projecções ortogonais da matriz 1 1 0 1 sobre U e U? respectiva- mente. (vi) Qual é a matriz simétrica mais próxima da matriz 1 1 0 1 ? (vii) Determine a distância entre 1 1 0 1 e U. (viii) Determine a distância entre a b c d e U. 133
  • 134.
    4a Ficha de exercíciosfacultativos 1. Seja V um espaço euclidiano real. Veri…que que para todos os u; v; w 2 V; 2 R se tem: (i) hu; vi = hv; ui (ii) h u; vi = hu; vi = hu; vi (iii) hu; v + wi = hu; vi + hu; wi (iv) hu + v; wi = hu; wi + hv; wi (v) hu + w; v + wi = hu; vi + hu; wi + hw; vi + kwk2 (vi) hu; 0i = h0; ui = 0 (vii) hu; vi = 0 se e só se ku + vk = ku vk. (viii) hu; vi = 0 se e só se ku + vk2 = kuk2 + kvk2 : (ix) hu; vi = 0 se e só se ku + cvk kuk para todo o real c. (x) hu + v; u vi = 0 se e só se kuk = kvk. (xi) Lei do paralelogramo ku vk2 + ku + vk2 = 2 kuk2 + 2 kvk2 . 2. Seja V um espaço euclidiano real. (i) Seja u 2 V . Veri…que que se hu; vi = 0 para qualquer v 2 V então u = 0. (ii) Sejam u; v 2 V . Veri…que que u = v se e só se hu; wi = hv; wi para qualquer w 2 V . 3. Seja V um espaço euclidiano com dim V = n. Seja S = fu1; :::; ung uma base orto- normada de V . Seja T : V ! V uma transformação linear. Veri…que que a matriz A = (aij) que representa T em relação à base S é dada por A = (aij) = (hT(uj); uii) . 4. Seja V um espaço euclidiano de dimensão n. Seja fu1; :::; ukg um conjunto linearmente independente de k vectores de V . Considere a transformação linear T : V ! V de…nida por T(v) = kX i=1 hv; uii ui, com v 2 V . Mostre que T é invertível se e só se k = n. 5. Seja V um espaço euclidiano real. Seja T : V ! V uma transformação linear tal que kT (w)k = kwk para qualquer w 2 V . Mostre que hT(u); T(v)i = hu; vi , para quaisquer u; v 2 V . 134
  • 135.
    Produto externo eproduto misto De…nição 56. Sejam u = (u1; u2; u3) ; v = (v1; v2; v3) 2 R3 . Então o produto externo (vectorial) de u por v, denotado por u v, é o vector de R3 de…nido por u v = (u2v3 u3v2; u3v1 u1v3; u1v2 u2v1) , isto é, u v = u2 u3 v2 v3 ; u1 u3 v1 v3 ; u1 u2 v1 v2 = = u2 u3 v2 v3 e1 u1 u3 v1 v3 e2 + u1 u2 v1 v2 e3 = e1 e2 e3 u1 u2 u3 v1 v2 v3 , onde fe1; e2; e3g é a base canónica de R3 . Observação 54. Sejam u; v; w 2 R3 e 2 R. Então, tem-se: (i) e1 e2 = e3 (ii) e2 e3 = e1 (iii) e3 e1 = e2 (iv) u v = (v u) (v) u (v + w) = u v + u w (vi) (u + v) w = u w + v w (vii) (u v) = ( u) v = u ( v) (viii) u 0 = 0 u = 0 (ix) u u = 0 (x) Se u e v forem linearmente dependentes então u v = 0 (xi) u (v w) = hu; wi v hu; vi w (xii) (u v) w = hw; ui v hw; vi u (xiii) ku vk2 + hu; vi2 = kuk2 kvk2 (xiv) u (v w) + v (w u) + w (u v) = 0 Teorema 75. Considere-se R3 com o produto interno usual. Sejam u = (u1; u2; u3) ; v = (v1; v2; v3) 2 R3 n f0g e seja 2 [0; ] o ângulo formado por u e v. Então tem-se: 135
  • 136.
    (i) ku vk= kuk kvk sen . (ii) A área do paralelogramo de lados adjacentes u e v é dada por: A = ku vk . Dem. (i) Como 2 [0; ], tem-se sen = p 1 cos2 e deste modo, kuk kvk sen = = kuk kvk p 1 cos2 = kuk kvk s 1 hu; vi2 kuk2 kvk2 = q kuk2 kvk2 hu; vi2 = = q (u2 1 + u2 2 + u2 3) (v2 1 + v2 2 + v2 3) (u1v1 + u2v2 + u3v3)2 = = q (u2v3 u3v2)2 + (u3v1 u1v3)2 + (u1v2 u2v1)2 = = k(u2v3 u3v2; u3v1 u1v3; u1v2 u2v1)k = ku vk . (ii) A = (base) (altura) = kuk kvk sen . De…nição 57. Considere-se R3 com o produto interno usual. Sejam u = (u1; u2; u3) ; v = (v1; v2; v3) ; w = (w1; w2; w3) 2 R3 . À expressão hu; v wi chama-se produto misto de u; v e w. Observação 55. Considere-se R3 com o produto interno usual. Sejam u = (u1; u2; u3) ; v = (v1; v2; v3) ; w = (w1; w2; w3) 2 R3 . Então, tem-se: (i) hu; v wi = u1 u2 u3 v1 v2 v3 w1 w2 w3 (ii) Sendo o ângulo formado por u e v w, o volume do paralelepípedo com um vértice e arestas u; v; w com origem em (0; 0; 0), é dado por V = kv wk | {z } área da face determinada por v e w kuk jcos j | {z } altura = = kv wk kuk jhu; v wij kuk kv wk = jhu; v wij = det 0 @ 2 4 u1 u2 u3 v1 v2 v3 w1 w2 w3 3 5 1 A (iii) hu; u vi = 0 (iv) hv; u vi = 0 (v) hu; v wi = hu v; wi. 136
  • 137.
    Matrizes hermitianas, matrizessimétricas e matrizes normais. Diagonalização unitária e diagonalização ortogonal De…nição 58. Seja A = (aij) 2 Mn n(C). Denota-se por AH a matriz A T , isto é, a transposta da matriz conjugada A = (aij), onde aij é o complexo conjugado de aij. Ou seja, escreve-se AH = A T . A matriz A diz-se hermitiana se AH = A. Observação 56. (a) Sejam ; 2 C, A; C 2 Mm n(C) e B 2 Mn r(C). Tem-se: (i) AH H = A (ii) ( A + B)H = AH + BH (iii) (AC)H = CH AH (b) Seja A 2 Mn n(R) tal que A é simétrica (AT = A). Então A é hermitiana uma vez que sendo A real tem-se AH = AT . Teorema 76. Todos os valores próprios de uma matriz hermitiana são reais. Além disso, os vectores próprios associados a valores próprios distintos, de uma matriz hermitiana, são ortogonais. Dem. Seja A 2 Mn n(C) tal que A é hermitiana. Seja um valor próprio de A e seja u um vector próprio associado. Seja = uH Au. Então, tem-se = H = uH Au H = uH AH uH H = A é hermitiana uH Au = . Ou seja, é real. Por outro lado, como = uH Au = uH u = kuk2 , tem-se = kuk2 2 R. Sejam agora u1 e u2 vectores próprios associados respectivamente a valores próprios distintos 1 e 2. Então, tem-se (Au1)H u2 = uH 1 AH u2 = A é hermitiana uH 1 Au2 = 2uH 1 u2 e (Au1)H u2 = ( 1u1)H u2 = 1uH 1 u2 = 12R 1uH 1 u2. Logo, tem-se 1uH 1 u2 = 2uH 1 u2 , ( 1 2) uH 1 u2 = 0. E assim, como 1 6= 2, então uH 1 u2 | {z } =hu1;u2i = 0, ou seja, u1 e u2 são ortogonais. Observação 57. Todos os valores próprios de uma matriz simétrica real são reais. Além disso, os vectores próprios associados a valores próprios distintos, de uma matriz simétrica, são ortogonais. 137
  • 138.
    De…nição 59. (i)Seja U 2 Mn n(C). A matriz U diz-se unitária se se tiver UH U = I, isto é, se UH = U 1 , ou seja, se as colunas de U constituirem um conjunto ortonormado em Cn . (ii) Seja A 2 Mn n(R). A matriz A diz-se ortogonal se se tiver AT A = I, isto é, se AT = A 1 , ou seja, se as colunas de A constituirem um conjunto ortonormado em Rn . Observação 58. (i) Seja U 2 Mn n(R) tal que U é unitária. Como, sendo U real, se tem UH = UT , então U é ortogonal. Isto é, toda a matriz real unitária é ortogonal. (ii) Seja A uma matriz hermitiana. Se os valores próprios de A forem distintos, então existe uma matriz unitária que diagonaliza A, isto é, existe U unitária tal que UAUH é uma matriz diagonal, ou seja, A diz-se unitariamente diagonalizável. (iii) A a…rmação anterior (ii) continua válida mesmo se os valores próprios não forem distintos, como será provado no Teorema 78. Teorema 77. Seja A uma matriz n n. Então, existe uma matriz unitária U tal que UAUH é triangular superior. Dem. A demonstração será efectuada por indução em n. O resultado é óbvio para n = 1. Suponhamos que a hipótese é válida para matrizes k k e seja A uma matriz (k + 1) (k + 1). Sejam 1 um valor próprio de A e w1 um vector próprio associado de norma 1. Aplicando o método de ortogonalização de Gram-Schmidt, seja fw1; : : : ; wk+1g uma base ortonormada para Ck+1 . Seja WH a matriz cuja coluna i é igual ao vector wi, para i = 1; : : : ; k+1. Então, por construção, a matriz WH é unitária. Por outro lado, a primeira coluna de WAWH é igual a WAw1, tendo-se WAw1 = W 1w1 = 1Ww1 = 1 2 6 6 6 4 1 0 ... 0 3 7 7 7 5 = 2 6 6 6 4 1 0 ... 0 3 7 7 7 5 . Logo, tem-se WAWH = 2 6 6 6 6 6 4 1 j j 0 j ... j M 0 j 3 7 7 7 7 7 5 , onde M é uma matriz k k. Pela hipótese de indução, existe uma matriz k k unitária V1 tal que V1M (V1)H = T1, onde T1 é uma matriz triangular. Seja V = 2 6 6 6 6 6 4 1 j 0 0 j 0 j ... j V1 0 j 3 7 7 7 7 7 5 . 138
  • 139.
    Então V éunitária e tem-se (V W) A (V W)H = V WAWH V H = 2 6 6 6 6 6 4 1 j j 0 j ... j V1M (V1)H 0 j 3 7 7 7 7 7 5 = 2 6 6 6 6 6 4 1 j j 0 j ... j T1 0 j 3 7 7 7 7 7 5 = T, onde T é uma matriz triangular. Como a matriz V W é unitária, pondo U = V W, tem-se UAUH = T, com T triangular e U unitária. Teorema 78. Seja A uma matriz hermitiana. Então existe uma matriz unitária U que diagonaliza A, isto é, A é diagonalizável unitariamente. Ou seja, existe U unitária tal que tal que a matriz UAUH é diagonal. Dem. Pelo teorema anterior, existe uma matriz unitária U tal que a matriz UAUH é triangular. Seja T = UAUH . Tem-se então TH = UAUH H = UH H AH UH = A é hermitiana UAUH = T. Logo, como T = TH e T é triangular então T é diagonal. Observação 59. Atendendo ao resultado anterior tem-se então o seguinte. Seja A 2 Mn n(R) tal que A é simétrica, isto é, tal que A = AT . Então existe uma matriz ortogonal P (matriz que veri…ca: PT = P 1 ) tal que PAPT é diagonal, isto é, A é ortogonalmente diagonalizável relativamente a uma base ortonormada formada só por vectores próprios de A. A matriz PT é a matriz cujas colunas são os vectores próprios de A que formam uma base ortonormada de Rn , sendo PAPT a matriz diagonal onde se coloca na entrada i da diagonal principal o valor próprio correspondente ao vector próprio da coluna i da matriz PT . Observação 60. (i) Existem matrizes não hermitianas que são diagonalizáveis rela- tivamente a bases ortonormadas formadas só por vectores próprios, como por exemplo as matrizes anti-hermitianas (AH = A) e as matrizes anti-simétricas (AT = A). (ii) Seja A 2 Mn n(R). Suponhamos que A é ortogonalmente diagonalizável relativa- mente a uma base ortonormada formada só por vectores próprios de A. Sejam D diagonal e P ortogonal tais que A = PT DP. Então AT = PT DP T = PT DT PT T = PT DP = A. Logo A é simétrica. Tem-se então, atendendo tambem à observação 59, sendo A real: A é ortogonalmente diagonalizável , A é simétrica 139
  • 140.
    (iii) Seja A2 Mn n(C). Suponhamos que A é unitariamente diagonalizável relati- vamente a uma base ortonormada formada só por vectores próprios de A. Sejam D diagonal e U unitária tais que A = UH DU. Como em geral se tem DH 6= D, então AH = UH DU H = UH DH U 6= UH DU = A. Logo A não tem que ser necessariamente hermitiana. (iv) O próximo teorema diz quais são as matrizes unitariamente diagonalizáveis. De…nição 60. Uma matriz A diz-se normal se AAH = AH A: Teorema 79. Uma matriz A é normal se e só se fôr unitariamente diagonalizável rela- tivamente a uma base ortonormada formada só por vectores próprios de A. Dem. ()) Suponhamos que A é normal. Pelo teorema 77, existe uma matriz unitária U e uma matriz triangular superior T tais que T = UAUH . Vejamos que T é normal. Tem-se TH T = UAUH H UAUH = UAH UH UAUH = UAH AUH = A é normal = UAAH UH = UAUH UAH UH = TTH . Logo T é normal. Seja T = (tij) do tipo n n. Comparando as entradas das diagonais principais de TTH e TH T tem-se: jt11j2 + jt12j2 + jt13j2 + + jt1nj2 = jt11j2 jt22j2 + jt23j2 + + jt2nj2 = jt12j2 + jt22j2 ... jtnnj2 = jt1nj2 + jt2nj2 + jt3nj2 + + jtnnj2 e assim, tij = 0 sempre que i 6= j. Logo T é diagonal e portanto A é unitariamente diagonalizável. (() Suponhamos agora que A é unitariamente diagonalizável. Queremos mostrar que A é normal. Sejam D diagonal e U unitária tais que D = UAUH , ou seja, A = UH DU. Tem-se AAH = UH DU UH DU H = UH DUUH DH U = UH DDH U e AH A = UH DU H UH DU = UH DH UUH DU = UH DH D U. Como DDH = DH D = 2 6 6 6 4 j 1j2 0 0 0 j 2j2 ... ... ... ... ... 0 0 0 j nj2 3 7 7 7 5 , então tem-se AAH = AH A e assim A é normal. 140
  • 141.
    Formas quadráticas De…nição 61.Uma equação quadrática em duas variáveis x1 e x2 é uma equação da forma ax2 1 + bx2 2 + 2cx1x2 + dx1 + ex2 + f = 0 a qual pode ser escrita na forma x1 x2 a c c b x1 x2 + d e x1 x2 + f = 0. Sejam x = x1 x2 e A = a c c b : (A é uma matriz real simétrica). À função real a duas variáveis reais Q : R2 ! R de…nida por Q (x) = xT Ax, com xT Ax = ax2 1 + bx2 2 + 2cx1x2 chama-se forma quadrática real a 2 variáveis reais associada à equação quadrática anterior. Podem haver equações do 2o grau e formas quadráticas com um no de variáveis superior a 2. Uma equação quadrática em n variáveis x1; x2; : : : ; xn é uma equação da forma xT Ax + Bx + = 0, onde x = 2 6 6 6 4 x1 x2 ... xn 3 7 7 7 5 , A = (aij) é uma matriz real simétrica do tipo n n, B 2 M1 n (R) e é um escalar. À função real a n variáveis reais Q : Rn ! R de…nida por Q (x) = xT Ax = nX i=1 nX j=1 aijxj ! xi chama-se forma quadrática real a n variáveis reais associada à equação quadrática anterior. Teorema 80. (Teorema dos eixos principais). Seja A 2 Mn n(R) tal que A é simétrica. Então existe uma mudança de variáveis ortogonal que transforma a forma quadrática xT Ax na forma quadrática yT Dy sem termos cruzados. Isto é, se P diagonalizar A ortogonalmente (D = PAPT ), então a mudança de variáveis x = PT y transforma a forma quadrática xT Ax na forma quadrática yT Dy: xT Ax = yT PAPT y = yT Dy = 1y2 1 + 2y2 2 + + ny2 n = = y1 y2 yn 2 6 6 6 4 1 0 0 0 2 0 ... ... ... ... 0 0 n 3 7 7 7 5 2 6 6 6 4 y1 y2 ... yn 3 7 7 7 5 , 141
  • 142.
    onde 1; 2;: : : ; n são os valores próprios de A associados respectivamente aos vectores próprios que constituem as colunas de PT e que formam uma base ortonormada de Rn . Observação 61. (i) Chama-se cónica ou secção cónica à curva plana obtida por meio de um corte efectuado por um plano relativamente a uma superfície cónica. As secções cónicas que se obtêm quando o plano que efectua o corte não passa pelo vértice da superfície cónica, são elipses (os valores próprios têm o mesmo sinal) (podendo ter-se circunferências: quando o corte é efectuado perpendicularmente ao eixo de simetria do cone), parábolas (um dos dois valores próprios é zero) e hipérboles (os dois valores próprios têm sinais contrários). (ii) Em R3 tem-se x = 2 4 x1 x2 x3 3 5 ; A = 2 4 a d e d b f e f c 3 5 e B = 2 4 g h i 3 5 e ax2 1 + bx2 2 + cx2 3 + 2dx1x2 + 2ex1x3 + 2fx2x3 + gx1 + hx2 + ix3 + = 0. À super…cie resultante da equação anterior chama-se quádrica. Existem quatro tipos de quádricas não degeneradas): elipsóides, hiperbolóides (de uma ou duas folhas), cones e parabolóides (elípticos ou hiperbólicos). Exemplo 56. Considere-se a forma quadrática Q : R2 ! R de…nida por Q(x; y) = 3x2 + 4xy + 3y2 . Tem-se Q(x; y) = x y A x y , com A = 3 2 2 3 . Os valores próprios de A são 1 = 1 e 2 = 5. Tem-se então a seguinte forma quadrática diagonal (isto é, sem termos cruzados) Q0 (x0 ; y0 ) = x0 y0 D x0 y0 = = x0 y0 1 0 0 5 x0 y0 com D = PAPT , x0 y0 = P x y , e PT = 2 6 4 p 2 2 p 2 2p 2 2 p 2 2 3 7 5 = 2 4 cos 4 sen 4 sen 4 cos 4 3 5 , 142
  • 143.
    em que PT éa matriz diagonalizante obtida colocando na 1a coluna um vector próprio de norma 1 associado ao valor próprio 1 e na 2a coluna um vector próprio de norma 1 associado ao valor próprio 2, de tal modo que ambos os vectores próprios constituam uma base ortonormada de R2 . Observe-se que a matriz P é ortogonal, isto é, tem-se PT = P 1 . Tem-se então Q(x; y) = x y A x y = x y PT DP x y = = P x y T DP x y = = x0 y0 D x0 y0 = Q0 (x0 ; y0 ). Por exemplo, relativamente à equação quadrática 3x2 + 4xy + 3y2 = 4 -5 -4 -3 -2 -1 1 2 3 4 5 -4 -2 2 4 x y tem-se a elipse: (x0 ) 2 + 5 (y0 ) 2 = 4 , x0 2 2 + y0 2 p 5 5 !2 = 1: De…nição 62. Seja A uma matriz real simétrica do tipo n n. Diz-se que A e a forma quadrática Q : Rn ! R dada por Q (x) = xT Ax são: (i) de…nidas positivas se xT Ax > 0, para todo o x 6= 0; (ii) de…nidas negativas se xT Ax < 0, para todo o x 6= 0; (iii) semide…nidas positivas se xT Ax 0, para todo o x; (iv) semide…nidas negativas se xT Ax 0, para todo o x; (v) inde…nidas se existirem pontos onde xT Ax seja positiva e pontos onde xT Ax seja negativa. 143
  • 144.
    Teorema 81. SejaA 2 Mn n(R) tal que A é simétrica. Então, (i) A é de…nida positiva se e só se todos os valores próprios de A forem positivos; (ii) A é de…nida negativa se e só se todos os valores próprios de A forem negativos; (iii) A é semide…nida positiva se e só se todos os valores próprios de A forem não negativos; (iv) A é semide…nida negativa se e só se todos os valores próprios de A forem não positivos; (v) A é inde…nida se e só se A tiver pelo menos um valor próprio positivo e outro negativo. Dem. (i) ()) Suponhamos que A é de…nida positiva, isto é, xT Ax > 0; para todo o x 6= 0. Seja um valor próprio de A. Então, para qualquer vector próprio x associado a tem-se xT Ax = xT x = kxk2 , com x 6= 0. Logo = xT Ax kxk2 > 0. (() Suponhamos que todos os valores próprios de A são positivos. Seja fx1; : : : ; xng um conjunto ortonormado de vectores próprios de A. Logo fx1; : : : ; xng é uma base ortonormada de Rn . Se x 6= 0, então tem-se x = 1x1 + + nxn, com 1; :::; n não todos nulos, pelo que xT Ax = ( 1x1 + + nxn)T A ( 1x1 + + nxn) = = 1 (x1)T + + n (xn)T ( 1Ax1 + + nAxn) = = 1 (x1)T + + n (xn)T ( 1 1x1 + + n nxn) = = nX i=1 ( i)2 i > 0. Logo A é de…nida positiva. 144
  • 145.
    Teorema 82. SejaA 2 Mn n(R) tal que A é simétrica. Então, as seguintes a…rmações são equivalentes. (i) A é de…nida positiva. (ii) Existe uma matriz simétrica de…nida positiva B tal que A = B2 . (iii) Existe uma matriz invertível S tal que A = ST S. Dem. (i) ) (ii) Supondo que A é de…nida positiva, vejamos que existe uma matriz simétrica de…nida positiva B tal que A = B2 . Como A é simétrica, então A é ortogonalmente diagonalizável, isto é, existe uma matriz ortogonal P tal que PAPT = D = 2 6 6 6 4 1 0 0 0 ... ... ... ... ... 0 0 0 n 3 7 7 7 5 onde 1; :::; n são os valores próprios de A, os quais são todos positivos por A ser de…nida positiva, tendo-se D = (D0 ) 2 com D0 = 2 6 6 6 4 p 1 0 0 0 ... ... ... ... ... 0 0 0 p n 3 7 7 7 5 . Assim A = PT DP = PT (D0 ) 2 P = PT D0 P PT D0 P = B2 com B = PT D0 P simétrica: BT = PT D0 P T = PT (D0 ) T PT T = PT D0 P = B e de…nida positiva uma vez que os valores próprios de PT D0 P são os de D0 . (ii) ) (iii) Supondo que existe uma matriz simétrica de…nida positiva B tal que A = B2 , vejamos que existe uma matriz invertível S tal que A = ST S: Como B é simétrica e de…nida positiva, basta fazer S = B para ter-se A = B2 = BB = ST S com S simétrica e invertível uma vez que sendo B de…nida positiva, 0 não é valor próprio de B. 145
  • 146.
    (iii) ) (i)Supondo que existe uma matriz invertível S tal que A = ST S, vejamos que A é de…nida positiva, isto é, vejamos que xT Ax > 0; para todo o x 6= 0. Tem-se xT Ax = xT ST Sx = (Sx)T Sx = kSxk2 > 0 para todo o x 6= 0, uma vez que S é invertível. Observação 62. (i) Relativamente à matriz da métrica G que de…ne um produto interno, sendo B = fw1; :::; wng uma base ordenada e ortonormada de um espaço euclidiano V de dimensão n tem-se hu; vi = 1 2 : : : n G 2 6 6 6 4 1 2 ... n 3 7 7 7 5 , G = 2 6 6 6 4 hw1; w1i hw1; w2i : : : hw1; wni hw2; w1i hw2; w2i : : : hw2; wni ... ... ... hwn; w1i hwn; w2i : : : hwn; wni 3 7 7 7 5 com u = 1w1 + 2w2 + ::: + nwn v = 1w1 + 2w2 + ::: + nwn e G = ST S = I onde a matriz invertível S é a matriz de mundança da base B para uma outra base ordenada B0 : SB!B0 . No caso da base ordenada B não ser ortonormada, a base ordenada B0 será ortonormada. Em particular, a matriz G é invertível. (ii) Sendo A matriz simétrica e de…nida positiva (ou semide…nida positiva), às matrizes reais B tais que A = B2 chamam-se "raízes quadradas" de A: (iii) Sendo V o volume do hiperparalelepípedo determinado por fw1; :::; wng, tem-se V 2 = det w1 wn 2 = det w1 wn det w1 wn = = det w1 wn T det w1 wn = det w1 wn T w1 wn = = det 0 @ 2 4 (w1)T (wn)T 3 5 w1 wn 1 A = det 0 B @ 2 6 4 (w1)T w1 (w1)T wn ... (wn)T w1 (wn)T wn 3 7 5 1 C A = = det 0 B @ 2 6 4 hw1; w1i hw1; wni ... hwn; w1i hwn; wni 3 7 5 1 C A = det G. Logo V 2 = det G. 146
  • 147.
    Mínimos quadrados Existem aplicaçõesrelativamente às quais os erros cometidos nas medições das entradas de A ou de b podem levar a que o sistema de equações lineares Au = b não tenha solução, quando teoricamente deveria ter. Em tais casos é natural a procura da "melhor solução aproximada" para esse problema. De…nição 63. Sejam A 2 Mm n(R) e b 2 Rn . Então, a bu 2 Rn chama-se melhor solução aproximada ou solução de mínimos quadrados de Au = b se kb Abuk kb Auk , para qualquer u 2 Rn . Ao vector b Abu chama-se vector erro de mínimos quadrados e ao escalar kb Abuk chama-se erro de mínimos quadrados. Observação 63. Sejam A 2 Mm n(R) e b 2 Rn . Procuremos então um método para determinar as soluções de mínimos quadrados de Au = b. Atendendo a que Au 2 C (A) para todo o u 2 Rn , então a distância kb Auk é mínima se Au = PC(A) (b) , onde PC(A) é a projecção ortogonal de Rn sobre C (A). Como PC(A) (b) 2 C (A), a equação Au = PC(A) (b) tem sempre solução e essas soluções são as soluções de mínimos quadrados de Au = b. Deste modo, qualquer sistema de equações lineares tem sempre pelo menos uma solução de mínimos quadrados. Por outro lado, pode escrever-se a equação Au = PC(A) (b) na forma b Au = b PC(A) (b) = PN(AT ) (b) tendo-se AT (b Au) = AT b PC(A) (b) = AT PN(AT ) (b) = 0; pois (C (A))? = N AT . Logo AT Au = AT b. A esta equação chama-se equação normal associada a Au = b. Teorema 83. Sejam A 2 Mm n(R) e b 2 Rn . (i) As soluções de mínimos quadrados do sistema de equações lineares Au = b são as soluções da equação normal AT Au = AT b: 147
  • 148.
    (ii) Se carA = n então a equação normal AT Au = AT b tem a solução única u = AT A 1 AT b e tem-se PC(A) (b) = Au = A AT A 1 AT b, isto é, A AT A 1 AT é a matriz que representa a projecção ortogonal PC(A). Observação 64. Seja A 2 Mm n(R). Vejamos que se tem car A = car AT A : Basta para isso, mostrar que N (A) = N AT A : Seja u 2 N (A). Como Au = 0 então AT Au = AT 0 = 0 e assim u 2 N AT A . Reciprocamente, seja u 2 N AT A e vejamos que u 2 N (A). Tem-se AT Au = 0, logo Au 2 N AT = L AT ? = (C (A))? (usando o produto interno usual) e como tal hAu; Aui = 0, ou seja kAuk2 = 0 e então Au = 0, isto é, u 2 N (A). Observação 65. Vejamos agora o modo como se pode determinar uma curva (ou recta) especí…ca que se possa "ajustar" a um conjunto de pontos determinados experimentalmente. (i) A partir de dois ou mais pontos dados (x1; y1) ; (x2; y2) ; : : : ; (xm; ym) ; pretende-se determinar uma recta y = a0 + a1x que seja a recta que "melhor aproxime" ou a recta de mínimos quadrados de melhor ajuste aos pontos dados (recta de regressão). Isto é, pretende-se determinar as soluções de mínimos quadrados de 8 >>>< >>>: y1 = a0 + a1x1 y2 = a0 + a1x2 ... ym = a0 + a1xm 148
  • 149.
    ou seja de2 6 6 6 4 1 x1 1 x2 ... ... 1 xm 3 7 7 7 5 a0 a1 = 2 6 6 6 4 y1 y2 ... ym 3 7 7 7 5 . Sejam A = 2 6 6 6 4 1 x1 1 x2 ... ... 1 xm 3 7 7 7 5 ; u = a0 a1 e b = 2 6 6 6 4 y1 y2 ... ym 3 7 7 7 5 : Atendendo a que car A = car AT A , se houver pelo menos dois pontos distintos, tem-se car A = 2 e nesse caso, a equação normal AT Au = AT b tem como única solução de mínimos quadrados u = AT A 1 AT b: Assim, a recta de mínimos quadrados y = a + bx é a recta que torna mínimos os quadrados cuja soma (y1 (a0 + a1x1))2 + (y2 (a0 + a1x2))2 + + (ym (a0 + a1xm))2 é dada por kb Auk2 , onde kb Auk é o erro de mínimos quadrados. (ii) A partir de m pontos dados (x1; y1) ; (x2; y2) ; : : : ; (xm; ym), pretende-se determinar um polinómio cujo grá…co esteja tão perto quanto possível desses m pontos dados. Isto é, com m 2 N previamente …xo, pretende-se determinar as soluções de mínimos quadrados do sistema de m equações a n + 1 incógnitas (a0; a1; a2; : : : ; an) 8 >>>< >>>: y1 = a0 + a1x1 + a2x2 1 + + anxn 1 y2 = a0 + a1x2 + a2x2 2 + + anxn 2 ... ym = a0 + a1xm + a2x2 m + + anxn m ou seja de 2 6 6 6 4 1 x1 x2 1 xn 1 1 x2 x2 2 xn 2 ... ... ... ... 1 xm x2 m xn m 3 7 7 7 5 2 6 6 6 4 a0 a1 ... an 3 7 7 7 5 = 2 6 6 6 4 y1 y2 ... ym 3 7 7 7 5 . 149
  • 150.
    Sejam A = 2 6 6 6 4 1 x1x2 1 xn 1 1 x2 x2 2 xn 2 ... ... ... ... 1 xm x2 m xn m 3 7 7 7 5 ; u = 2 6 6 6 4 a0 a1 ... an 3 7 7 7 5 e b = 2 6 6 6 4 y1 y2 ... ym 3 7 7 7 5 : Note-se que se n + 1 = m e se os pontos dados forem distintos, então existe um único polinómio de grau n (o chamado polinómio interpolador) que passa por todos esses m pontos. Por outro lado, atendendo a que car A = car AT A , se n < m e pelo menos n +1 pontos forem distintos, tem-se car A = n + 1 e então a equação normal AT Au = AT b tem como única solução de mínimos quadrados u = AT A 1 AT b: Exemplo 57. Determinemos a recta de mínimos quadrados relativa aos pontos (0; 1) ; (1; 3) ; (2; 4) e (3; 4) : Sejam A = 2 6 6 4 1 0 1 1 1 2 1 3 3 7 7 5 e b = 2 6 6 4 1 3 4 4 3 7 7 5 . Tem-se car A = 2 e como tal a solução de mínimos quadrados é única e dada por: u = a0 a1 = AT A 1 AT b = = 0 B B @ 1 1 1 1 0 1 2 3 2 6 6 4 1 0 1 1 1 2 1 3 3 7 7 5 1 C C A 1 1 1 1 1 0 1 2 3 2 6 6 4 1 3 4 4 3 7 7 5 = 3=2 1 , tendo-se y = 3 2 + x: O vector b Au é o vector erro de mínimos quadrados, sendo o erro de mínimos quadrados dado por: kb Auk = = q (y1 (a0 + a1x1))2 + (y2 (a0 + a1x2))2 + (y3 (a0 + a1x3))2 + (y4 (a0 + a1x4))2 = = s 1 3 2 + 0 2 + 3 3 2 + 1 2 + 4 3 2 + 2 2 + 4 3 2 + 3 2 = = r 25 16 + 1 4 + 1 16 + 1 4 = p 34 4 . 150
  • 151.
    7a Ficha de exercíciospara as aulas de problemas 1. Seja A = 2 4 2 0 1 0 1 0 1 0 2 3 5. Calcule as dimensões dos espaços próprios de A sem os deter- minar. 2. Seja A = 2 4 3 1 2 1 3 2 2 2 0 3 5. Encontre uma matriz ortogonal PT que diagonalize or- togonalmente A e indique a correspondente matriz diagonal semelhante a A. 3. Seja A = 2 4 3 1 0 1 2 1 0 1 3 3 5 : Determine três raízes quadradas de A, isto é, determine três matrizes B simétricas e de…nidas positivas B tais que A = B2 . 4. Diagonalize a seguinte forma quadrática Q de…nida por Q : R3 ! R Q (x1; x2; x3) = 3x2 1 2x1x2 + 2x2 2 2x2x3 + 3x2 3. 5. Seja A = 2 1 + i 1 i 3 : (i) Mostre que A é normal. (ii) Mostre que A é hermitiana e em particular é normal. (iii) Encontre uma matriz unitária UH que diagonalize unitariamente A e indique a correspondente matriz diagonal semelhante a A. 6. Determine a solução de mínimos quadrados de Au = b, com A = 2 4 1 2 2 4 1 2 3 5 e b = 2 4 3 2 1 3 5 calculando o correspondente vector erro de mínimos quadrados. 7. Resolva o seguinte sistema de equações diferenciais determinando a respectiva solução geral. 8 < : u0 1 = 2u3 u0 2 = u1 + 2u2 + u3 u0 3 = u1 + 3u3 com 2 4 u1 (0) u2 (0) u3 (0) 3 5 = 2 4 2 1 0 3 5 . 151
  • 152.
    Bibliogra…a 1. Luis T.Magalhães, Álgebra Linear como Introdução à Matemática Aplicada, 9a edição, Texto Editora, 2001. 2. Gilbert Strang, Linear Algebra and its Applications, 3rd edition, Thomson Learning, 1988. 3. Steven J. Leon, Linear Algebra with Applications, 8th edition, Pearson, 2009. 4. Bernard Kolman, Introductory Linear Algebra with Applications, Prentice Hall, 1996. 5. Howard Anton and Robert C. Busby, Contemporary Linear Algebra, John Wiley & Sons, Inc., 2002. 6. António Monteiro e Gonçalo Pinto, Álgebra Linear e Geometria Analítica, McGraw- Hill, 1997. 7. Seymour Lipschutz, Linear Algebra, Schaum´s Outline Series, 4th edition, McGraw- Hill, 2009. 8. Luís Barreira e Clàudia Valls, Exercícios de Álgebra Linear, IST Press, 2011. 152
  • 153.
    Resolução da 1a Fichade exercícios para as aulas de problemas 1. (ii) 1 1 0 1 1000 = 1 1 0 1 2 !500 = I500 = I (iv) 0 1 1 0 222 + 0 1 1 0 220 = 0 1 1 0 220 0 1 1 0 2 + I ! = = 0 1 1 0 220 0 0 0 0 = 0 0 0 0 (xi) se ad bc 6= 0, a b c d 1 ad bc d b c a = 1 ad bc ad bc 0 0 ad bc = I 2. (i) 1 3 2 3 = [ 2 1] (ii) Não é possível. (iii) 2 4 3 2 2 1 1 3 5 2 4 1 3 2 4 3 p 5 1 2 3 5 = 2 4 11 2 3 2 p 5 5 8 3 2 p 5 7 2 3 5 (iv) 2 1 0 3 1 2 1 3 0 6 2 3 = 2 2 20 3 2 (v) Não é possível. (vi) Não é possível. (vii) p 2 3 4 1 2 2 = 2 4 4 p 2 1 2 p 2 2 p 2 12 3 2 6 3 5 viii) 0 @ 2 4 2 1 4 1 3 5 2 p 2 3 1 A T = 2 4 4 p 2 1 2 p 2 2 p 2 12 3 2 6 3 5 (ix) 0 B B B B @ 2 2 4 1 3 0 1 2 1 3 1 2 1 3 5 T 2 4 1 0 1 2 1 3 1 2 1 3 5 2 6 6 6 6 4 8 9 1 3 1 1 3 1 2 1 5 3 1 5 2 3 7 7 7 7 5 1 C C C C A T = 2 4 0 0 0 0 0 0 0 0 0 3 5 (x) 2 4 1 1 2 0 2 0 1 1 4 0 6 2 5 1 3 5 T 2 4 1 0 2 4 1 3 3 3 5 = 2 6 6 6 6 6 6 6 6 4 1 18 5 6 10 7 6 16 7 3 3 3 7 7 7 7 7 7 7 7 5 153
  • 154.
    (xi) 2 4 1 0 2 4 1 3 3 3 5 T2 4 1 1 2 0 2 0 1 1 4 0 6 2 5 1 3 5 = 1 5 6 7 6 7 3 18 10 16 3 3. Sendo x o no de livros e y o no de caixas, tem-se x 7y = 1 x 8y = 7 , x = 57 y = 8. A solução geral do sistema é f(57; 8)g. 4. 212 32 100 0 = 9 5 , F 32 C 0 = 9 5 , F = 9 5 C + 32: F = C, F = 9 5 F + 32 , F = 40. 5. a) 2 6 6 4 1 4 9 16 1 4 9 16 1 4 9 16 1 4 9 16 3 7 7 5 b) 2 6 6 4 1 1 2 1 3 1 4 0 1 3 1 4 1 5 0 0 1 5 1 6 0 0 0 1 7 3 7 7 5 c) 2 6 6 4 1 2 2 3 1 2 3 2 2 1 3 4 3 2 1 4 3 7 7 5 d) 2 6 6 4 0 2 3 4 2 0 3 4 3 3 0 4 4 4 4 0 3 7 7 5 (aii = aii , aii = 0) 6. Seja (aij) 2 M2 2 (R) tal que aij = 3i + 2j Como a12 = 3 1 + 2 2 = 7 6= 8 = 3 2 + 2 1 = a21 então A não é simétrica. 7. (i) Seja A = 2 4 0 0 0 0 0 0 3 5. car A = 0; nul A = 2. Não existem pivots. (ii) 2 4 1 2 3 0 1 1 1 2 3 3 5 ! L1+L3!L3 2 4 1 2 3 0 1 1 0 0 0 3 5. Assim, sendo A = 2 4 1 2 3 0 1 1 1 2 3 3 5, tem-se car A = 2 e nul A = 1. Pivots: 1 e 1. 154
  • 155.
    (iii) 2 4 2 1 2 4 12 3 5 ! L1$L3 2 4 1 2 2 4 2 1 3 5 ! 2L1+L2!L2 2L1+L3!L3 2 4 1 2 0 0 0 3 3 5 ! L1$L3 2 4 1 2 0 3 0 0 3 5. Assim, sendo A = 2 4 2 1 2 4 1 2 3 5, car A = 2 e nul A = 0. Pivots: 1 e 3. (iv) 2 4 1 2 3 4 5 6 7 8 9 10 11 12 3 5 ! 5L1+L2!L2 9L1+L3!L3 2 4 1 2 3 4 0 4 8 12 0 8 16 24 3 5 ! 2L2+L3!L3 2 4 1 2 3 4 0 4 8 12 0 0 0 0 3 5. Assim, sendo A = 2 4 1 2 3 4 0 4 8 12 0 0 0 0 3 5, car A = 2 e nul A = 2. Pivots: 1 e 4. (v) 2 4 0 1 1 1 1 1 1 0 1 1 2 1 3 5 ! L1$L2 2 4 1 1 1 0 0 1 1 1 1 1 2 1 3 5 ! L1+L3!L3 ! L1+L3!L3 2 4 1 1 1 0 0 1 1 1 0 2 1 1 3 5 ! 2L2+L3!L3 2 4 1 1 1 0 0 1 1 1 0 0 3 3 3 5. Assim, sendo A = 2 4 1 1 1 0 0 1 1 1 0 0 3 3 3 5, tem-se car A = 3 e nul A = 1. Pivots: 1; 1 e 3. (vi) 2 6 6 4 1 2 1 3 2 1 1 3 2 1 2 7 1 9 8 3 3 2 4 6 3 7 7 5 ! L1+L2!L2 2L1+L3!L3 3L1+L4!L4 2 6 6 4 1 2 1 3 2 0 3 2 1 1 0 3 1 3 4 0 3 1 5 12 3 7 7 5 ! L2+L3!L3 L2+L4!L4 ! L2+L3!L3 L2+L4!L4 2 6 6 4 1 2 1 3 2 0 3 2 1 1 0 0 1 2 3 0 0 3 4 11 3 7 7 5 ! 3L3+L4!L4 2 6 6 4 1 2 1 3 2 0 3 2 1 1 0 0 1 2 3 0 0 0 2 2 3 7 7 5. Assim, sendo A = 2 6 6 4 1 2 1 3 2 1 1 3 2 1 2 7 1 9 8 3 3 2 4 6 3 7 7 5, tem-se car A = 4 e nul A = 1. Pivots: 1; 3; 1 e 2. 155
  • 156.
    (vii) 2 6 6 4 1 3 12 0 11 5 3 2 5 3 1 4 1 1 5 3 7 7 5 ! 2L1+L3!L3 4L1+L4!L4 2 6 6 4 1 3 1 2 0 11 5 3 0 11 5 3 0 11 5 3 3 7 7 5 ! L2+L3!L3 L2+L4!L4 2 6 6 4 1 3 1 2 0 11 5 3 0 0 0 0 0 0 0 0 3 7 7 5. Assim, sendo A = 2 6 6 4 1 3 1 2 0 11 5 3 2 5 3 1 4 1 1 5 3 7 7 5, tem-se car A = 2 e nul A = 2. Pivots: 1 e 11. (viii) Sendo A = 5 1 2 0 2 0 , tem-se car A = 2 e nul A = 1. Pivots: 5 e 2. (ix) 2 4 3 6 9 2 4 6 1 2 3 3 5 ! L1$L3 2 4 1 2 3 2 4 6 3 6 9 3 5 ! 2L1+L2!L2 3L1+L3!L3 2 4 1 2 3 0 0 0 0 0 0 3 5. Assim, sendo A = 2 4 3 6 9 2 4 6 1 2 3 3 5, tem-se car A = 1 e nul A = 2. Pivot: 1. (x) 2 4 2 10 6 8 4 1 5 3 4 2 2 10 6 8 4 3 5 !1 2 L1+L2!L2 L1+L3!L3 2 4 2 10 6 8 4 0 0 0 0 0 0 0 0 0 0 3 5. Assim, sendo A = 2 4 2 10 6 8 4 1 5 3 4 2 2 10 6 8 4 3 5, car A = 1 e nul A = 4. Pivot: 2. 8. As equações das alíneas (a) e (b) são lineares. 9. O ponto (1; 1) é a solução desse sistema de equações lineares. 10. Os pontos: (1; 1; 1; 0) ; (1; 1; 1; 2) ; 3; 9; 7; 3 p 2 são soluções desse sistema de equações lineares. 11. (i) Para que o grá…co da função polinomial p(x) = ax3 + bx2 + cx + d passe pelos pontos P1 = (0; 10); P2 = (1; 7); P3 = (3; 11) e P4 = (4; 14), é necessário que 8 >>< >>: p(0) = 10 p(1) = 7 p(3) = 11 p(4) = 14. 156
  • 157.
    O que éequivalente a existir solução para o seguinte sistema de equações lineares nas variáveis a; b; c e d: 8 >>< >>: d = 10 a + b + c + d = 7 27a + 9b + 3c + d = 11 64a + 16b + 4c + d = 14. Ou seja: 8 >>< >>: d = 10 a + b + c = 3 27a + 9b + 3c = 21 16a + 4b + c = 6. Atendendo a que: 2 4 1 1 1 j 3 27 9 3 j 21 16 4 1 j 6 3 5 ! 27L1+L2!L2 16L1+L3!L3 2 4 1 1 1 j 3 0 18 24 j 60 0 12 15 j 42 3 5 !1 6 L2!L2 !1 6 L2!L2 2 4 1 1 1 j 3 0 3 4 j 10 0 12 15 j 42 3 5 ! 4L2+L3!L3 2 4 1 1 1 j 3 0 3 4 j 10 0 0 1 j 2 3 5 ; tem-se 8 >>< >>: a = 1 b = 6 c = 2 d = 10. (ii) Para que os pontos P1 = ( 2; 7); P2 = ( 4; 5) e P3 = (4; 3) pertençam à circunfer- ência de equação x2 + y2 + ax + by + c = 0; é necessário que 8 < : ( 2)2 + 72 + a ( 2) + 7b + c = 0 ( 4)2 + 52 + a ( 4) + 5b + c = 0 42 + ( 3)2 + 4a + b ( 3) + c = 0. O que é equivalente a existir solução para o seguinte sistema de equações lineares nas variáveis a; b e c: 8 < : 2a + 7b + c = 53 4a + 5b + c = 41 4a 3b + c = 25. Atendendo a que: 2 4 2 7 1 j 53 4 5 1 j 41 4 3 1 j 25 3 5 ! 2L1+L2!L2 2L1+L3!L3 2 4 2 7 1 j 53 0 9 1 j 65 0 11 3 j 131 3 5 !11 9 L2+L3!L3 157
  • 158.
    !11 9 L2+L3!L3 2 4 2 7 1j 53 0 9 1 j 65 0 0 16=9 j 464=9 3 5 ; tem-se 8 < : a = 2 b = 4 c = 29. 12. (i) 2 4 1 0 1 1 0 1 3 5 ! L1+L2!L2 2 4 1 0 1 0 + 1 0 1 3 5 ! L2+L3!L3 2 4 1 0 1 0 + 1 0 0 3 5. Seja A = 2 4 1 0 1 1 0 1 3 5. Se 6= 0 então car A = 3 e nul A = 0. Se = 0 então car A = 2 e nul A = 1. Assim, A é invertível se e só se 6= 0, uma vez que é só neste caso que car A = no de colunas de A . (ii) 2 4 1 2 1 2 3 2 1 3 5 ! 2L1+L2!L2 3L1+L3!L3 2 4 1 0 1 + 2 2 + 2 0 2 4 1 3 3 5 ! 2L2+L3!L3 ! 2L2+L3!L3 2 4 1 0 1 + 2 2 (1 + ) 0 0 3 + 3 5. Seja A = 2 4 1 2 1 2 3 2 1 3 5. Se 6= 3 e 6= 1 2 então car A = 3 e nul A = 0. Se = 3 ou = 1 2 então car A = 2 e nul A = 1. Assim, A é invertível se e só se 6= 3 e 6= 1 2 , uma vez que é só neste caso que car A = no de colunas de A . (iii) 2 4 2 2 2 1 1 0 2 1 + 1 3 5 ! L1+L2!L2 2 4 2 2 0 1 2 1 + 0 2 1 + 1 3 5 ! L2+L3!L3 158
  • 159.
    ! L2+L3!L3 2 4 2 2 0 (1) (1 + ) 1 + 0 0 2 ( + 1) 3 5. Seja A = 2 4 2 2 2 1 1 0 2 1 + 1 3 5. Se = 1 então car A = 1 e nul A = 2. Se = 1 então car A = 2 e nul A = 1. Se 6= 1 e 6= 1 então car A = 3 e nul A = 0. Assim, A é invertível se e só se 6= 1 e 6= 1, uma vez que é só neste caso que car A = no de colunas de A . (iv) 2 6 6 4 1 0 1 0 1 0 0 3 0 0 1 1 1 2 3 7 7 5 ! 3L1+L3!L3 L1+L4!L4 2 6 6 4 1 0 1 0 1 0 0 0 0 + 3 3 0 1 0 2 3 7 7 5 ! L2+L4!L4 ! L2+L4!L4 2 6 6 4 1 0 1 0 1 0 0 0 0 + 3 3 0 0 0 2 3 7 7 5. Seja A = 2 6 6 4 1 0 1 0 1 0 0 3 0 0 1 1 1 2 3 7 7 5. Se = 2 ou = 3 então car A = 3 e nul A = 1. Se 6= 2 e 6= 3 então car A = 4 e nul A = 0. Assim, A é invertível se e só se 6= 2 e 6= 3, uma vez que é só neste caso que car A = no de colunas de A . (v) 2 6 6 4 1 0 1 0 1 1 0 1 0 2 1 2 0 2 2 3 7 7 5 ! L1+L3!L3 2L1+L4!L4 2 6 6 4 1 0 1 0 1 1 0 0 0 (1 ) (1 + ) 1 0 0 0 2 ( 1) 3 7 7 5. Seja A = 2 6 6 4 1 0 1 0 1 1 0 1 0 2 1 2 0 2 2 3 7 7 5. Se = 1 então car A = 2 e nul A = 2. Se = 1 então car A = 3 e nul A = 1. Se 6= 1 e 6= 1 então car A = 4 e nul A = 0. 159
  • 160.
    Assim, A éinvertível se e só se 6= 1 e 6= 1, uma vez que é só neste caso que car A = no de colunas de A . (vi) 2 6 6 4 1 1 0 1 1 0 1 1 3 0 1 1 2 1 3 7 7 5 ! L1+L2!L2 L1+L3!L3 L1+L4!L4 ! L1+L2!L2 L1+L3!L3 L1+L4!L4 2 6 6 4 1 1 0 0 + 1 1 0 0 0 ( 1) ( + 1) 0 0 0 0 ( 1) ( + 1) 3 7 7 5. Seja A = 2 6 6 4 1 0 1 0 1 1 0 1 0 2 1 2 0 2 2 3 7 7 5. Se = 1 então car A = 2 e nul A = 2. Se = 0 então car A = 3 e nul A = 1. Se = 1 então car A = 1 e nul A = 3. Se = 1 então car A = 2 e nul A = 2. Se 6= 0 e 6= 1 e 6= 1 então car A = 4 e nul A = 0. Assim, A é invertível se e só se 6= 1 e 6= 1, uma vez que é só neste caso que car A = no de colunas de A . 13. (a) Tem-se 8 < : 3x z = 0 2y 2z w = 0 8x 2w = 0 e assim, 2 4 3 0 1 0 j 0 0 2 2 1 j 0 8 0 0 2 j 0 3 5 !8 3 L1+L2!L2 2 4 3 0 1 0 j 0 2 2 1 j 0 0 8 3 2 j Logo, 8 < : 3x z = 0 2y 2z w = 0 8 3 z 2w = 0. , 8 >>>>< >>>>: x = 1 4 w y = 5 4 w z = 3 4 w. A solução geral do sistema é: X = 2 6 6 4 x y z w 3 7 7 5 = 2 6 6 6 6 6 6 6 6 4 1 4 s 5 4 s 3 4 s s 3 7 7 7 7 7 7 7 7 5 , para qualquer s 2 R, isto é, o conjunto solução é dado por: S = 1 4 s; 5 4 s; 3 4 s; s : s 2 R . 160
  • 161.
    Para s =4, tem-se a seguinte solução para a equação química: x = 1; y = 5; z = 3; w = 4: (b) Tem-se 8 < : x 6z = 0 2x + y 6z 2w = 0 2y 12z = 0 e assim, 2 4 1 0 6 0 j 0 2 1 6 2 j 0 0 2 12 0 j 0 3 5 ! 2L1+L2!L2 2 4 1 0 6 0 j 0 0 1 6 2 j 0 0 2 12 0 j 0 3 5 ! 2L2+L3!L3 2 4 1 0 6 0 j 0 0 1 6 2 j 0 0 0 24 4 j 0 3 5 : Logo, 8 < : x 6z = 0 y + 6z 2w = 0 24z + 4w = 0. , 8 < : x = w y = w z = 1 6 w. A solução geral do sistema é S = s; s; 1 6 s; s : s 2 R . Para s = 6, tem-se a seguinte solução para a equação química: x = 6; y = 6; z = 1; w = 6: 14 (a) 2 3 j 1 5 7 j 3 !5 2 L1+L2!L2 2 3 j 1 0 1 2 j 1 2 . Logo, 2x + 3y = 1 1 2 y = 1 2 , x = 2 y = 1. A solução geral do sistema é S = f(2; 1)g. (b) 2 4 j 10 3 6 j 15 !3 2 L1+L2!L2 2 4 j 10 0 0 j 0 . Logo, 2x + 4y = 10 , x = 5 2y. A solução geral do sistema é S = f(5 2s; s) : s 2 Rg. (c) 4 2 j 5 6 3 j 1 !3 2 L1+L2!L2 4 2 j 5 0 0 j 17 2 . Logo, o sistema não tem solução (é impossível). S = ?. (d) 2 4 2 1 3 j 5 3 2 2 j 5 5 3 1 j 16 3 5 !3 2 L1+L2!L2 5 2 L1+L3!L3 2 4 2 1 3 j 5 0 7=2 13=2 j 5=2 0 11=2 13=2 j 7=2 3 5 !11 7 L2+L3!L3 !11 7 L2+L3!L3 2 4 2 1 3 j 5 0 7=2 13=2 j 5=2 0 0 26=7 j 52=7 3 5. 161
  • 162.
    Logo, 8 < : 2x + y3z = 5 7 2 y + 13 2 z = 5 2 26 7 z = 52 7 , 8 < : x = 1 y = 3 z = 2. A solução geral do sistema é S = f(1; 3; 2)g. (e) 2 4 2 3 2 j 5 1 2 3 j 2 4 1 4 j 1 3 5 !1 2 L1+L2!L2 2L1+L3!L3 2 4 2 3 2 j 5 0 7=2 4 j 1=2 0 7 8 j 9 3 5 ! 2L2+L3!L3 ! 2L2+L3!L3 2 4 2 3 2 j 5 0 7=2 4 j 1=2 0 0 0 j 8 3 5. Logo, o sistema não tem solução (é impossível). S = ?. (f) 2 4 1 2 3 j 3 2 3 8 j 4 3 2 17 j 1 3 5 ! 2L1+L2!L2 3L1+L3!L3 2 4 1 2 3 j 3 0 1 2 j 2 0 4 8 j 8 3 5 ! 4L2+L3!L3 2 4 1 2 3 j 3 0 1 2 j 2 0 0 0 j 0 3 5. Logo, x + 2y + 3z = 3 y + 2z = 2 , x = 7z 1 y = 2z + 2. A solução geral do sistema é S = f( 7s 1; 2s + 2; s) : s 2 Rg. (g) 2 4 2 3 j 3 1 2 j 5 3 2 j 7 3 5 ! L1$L2 2 4 1 2 j 5 2 3 j 3 3 2 j 7 3 5 ! 2L1+L2!L2 3L1+L3!L3 ! 2L1+L2!L2 3L1+L3!L3 2 4 1 2 j 5 0 7 j 7 0 8 j 8 3 5 !8 7 L2+L3!L3 2 4 1 2 j 5 0 7 j 7 0 0 j 0 3 5. Logo, x 2y = 5 7y = 7 , x = 3 y = 1. A solução geral do sistema é S = f(3; 1)g. (h) 2 4 1 2 1 3 j 3 2 4 4 3 j 9 3 6 1 8 j 10 3 5 ! 2L1+L2!L2 3L1+L3!L3 2 4 1 2 1 3 j 3 0 0 6 3 j 3 0 0 2 1 j 1 3 5 !1 3 L2+L3!L3 !1 3 L2+L3!L3 2 4 1 2 1 3 j 3 0 0 6 3 j 3 0 0 0 0 j 0 3 5. 162
  • 163.
    Logo, x + 2yz + 3w = 3 6z 3w = 3 , x = 2y 5 2 w + 7 2 z = 1 2 w + 1 2 . A solução geral do sistema é S = 2s 5 2 t + 7 2 ; s; 1 2 t + 1 2 ; t : s; t 2 R . (i) 2 4 1 5 4 13 j 3 3 1 2 5 j 2 2 2 3 4 j 1 3 5 ! 3L1+L2!L2 2L1+L3!L3 2 4 1 5 4 13 j 3 0 16 10 44 j 7 0 8 5 22 j 5 3 5 !1 2 L2+L3!L3 !1 2 L2+L3!L3 2 4 1 5 4 13 j 3 0 16 10 44 j 7 0 0 0 0 j 3 2 3 5. Logo, o sistema não tem solução (é impossível). S = ?. (j) 2 6 6 4 0 0 2 3 j 4 2 0 6 9 j 7 2 2 5 2 j 4 0 100 150 200 j 50 3 7 7 5 ! L1$L3 1 50 L4!L4 2 6 6 4 2 2 5 2 j 4 2 0 6 9 j 7 0 0 2 3 j 4 0 2 3 4 j 1 3 7 7 5 ! L1+L2!L2 ! L1+L2!L2 2 6 6 4 2 2 5 2 j 4 0 2 1 7 j 3 0 0 2 3 j 4 0 2 3 4 j 1 3 7 7 5 ! L2+L4!L4 2 6 6 4 2 2 5 2 j 4 0 2 1 7 j 3 0 0 2 3 j 4 0 0 2 3 j 4 3 7 7 5 ! L3+L4!L4 ! L3+L4!L4 2 6 6 4 2 2 5 2 j 4 0 2 1 7 j 3 0 0 2 3 j 4 0 0 0 0 j 0 3 7 7 5. Logo, 8 < : 2x1 + 2x2 5x3 + 2x4 = 4 2x2 x3 + 7x4 = 3 2x3 + 3x4 = 4 , 8 >>>>< >>>>: x1 = 19 2 9x4 x2 = 17 4 x4 5 2 x3 = 3 2 x4 + 2 A solução geral do sistema é dada por S = 19 2 9s; 17 4 s 5 2 ; 3 2 s + 2; s : s 2 R : (k) 2 4 1 2 3 1 j 1 3 1 2 5 j 2 3 6 9 3 j 6 3 5 ! 3L1+L2!L2 3L1+L3!L3 2 4 1 2 3 1 j 1 0 5 7 8 j 1 0 0 0 0 j 3 3 5. 163
  • 164.
    Logo, o sistemanão tem solução (é impossível). S = ?. 15. (a) Sejam A = 2 4 1 1 1 1 1 1 3 5 e B = 2 4 1 1 1 3 5. [A j B] = 2 4 1 1 j 1 1 1 j 1 1 1 j 1 3 5 ! L1$L3 2 4 1 1 j 1 1 1 j 1 1 1 j 1 3 5 ! L1+L2!L2 L1+L3!L3 ! L1+L2!L2 L1+L3!L3 2 4 1 1 j 1 0 1 1 j 0 0 1 1 2 j 1 3 5 ! L2+L3!L3 2 4 1 1 j 1 0 1 1 j 0 0 0 (1 ) ( + 2) j 1 3 5. Se = 1 então car A = car [A j B] = 1 < 3 = no de incógnitas do sistema. Logo o sistema é possível e indeterminado, tendo-se x + y + z = 1. A solução geral deste sistema é então dada por S1 = f(1 s t; s; t) : s; t 2 Rg : Se = 2 então car A | {z } =2 < car [A j B] | {z } =3 . Logo, o sistema não tem solução (é impossível). S 2 = ?. Se 6= 1 e 6= 2 então car A = car [A j B] = 3 = no de incógnitas do sistema. Logo o sistema é possível e determinado, tendo-se 8 < : x + y + z = 1 ( 1) y + (1 ) z = 0 (1 ) ( + 2) z = 1 , 8 < : x = 1= ( + 2) y = 1= ( + 2) z = 1= ( + 2) . A solução geral do sistema é então dada por S = 1 + 2 ; 1 + 2 ; 1 + 2 . (b) Sejam A = 1 2 2 8 e B = 1 3 . [A j B] = 1 2 j 1 2 8 j 3 ! 2L1+L2!L2 1 2 j 1 0 4 8 2 j 1 . 164
  • 165.
    Se 6= 4então car A = car [A j B] = 2 < 3 = no de incógnitas do sistema. Logo o sistema é possível e indeterminado, tendo-se x + 2y + z = 1 ( 4) y + (8 2 ) z = 1 , 8 >>>< >>>: x = 1 2 4 ( + 4) z y = 1 4 + 2z. A solução geral deste sistema é então dada por S = 1 2 4 ( + 4) s; 1 4 + 2s; s : s 2 R : Se = 4 então car A | {z } =1 < car [A j B] | {z } =2 . Logo, o sistema não tem solução (é impossível). S4 = ?. (c) Sejam A = 2 4 1 1 3 4 2 2 3 1 3 5 e B = 2 4 2 1 3 5. [A j B ] = 2 4 1 1 j 2 3 4 2 j 2 3 1 j 1 3 5 ! 3L1+L2!L2 2L1+L3!L3 ! 3L1+L2!L2 2L1+L3!L3 2 4 1 1 j 2 0 1 2 3 j 6 0 1 1 2 j 3 3 5 ! L2+L3!L3 2 4 1 1 j 2 0 1 2 3 j 6 0 0 3 + j 3 3 5. Se = 3 então car A = car [A j B ] = 2 < 3 = no de incógnitas do sistema. Logo o sistema é possível e indeterminado, tendo-se x + y + 3z = 2 y 7z = 3 , 8 < : x = 5 10z y = 3 + 7z. A solução geral deste sistema é então dada por S3 = f(8 + (2 4 ) s; 6 + (3 2) s; s) : s 2 Rg : Se 6= 3 então car A = car [A j B ] = 3 = no de incógnitas do sistema. Logo o sistema é possível e determinado, tendo-se 8 < : x + y + z = 2 y + (2 3 ) z = 6 ( 3 + ) z = 3 , 8 < : x = 6 + 3 y = 4 2 z = 1. 165
  • 166.
    A solução geraldo sistema é então dada por S = f(6 + 3 ; 4 2 ; 1)g : (d) Sejam A = 2 4 1 1 1 1 1 1 3 5 e B = 2 4 1 2 3 5. [A j B ] = 2 4 1 1 j 1 1 1 j 1 1 j 2 3 5 ! L1$L3 ! L1$L3 2 4 1 1 j 2 1 1 j 1 1 j 1 3 5 ! L1+L2!L2 L1+L3!L3 2 4 1 1 j 2 0 1 1 j 2 0 1 1 2 j 1 3 3 5 ! L2+L3!L3 ! L2+L3!L3 2 4 1 1 j 2 0 1 1 j (1 ) 0 0 (1 ) ( + 2) j (1 + ) (1 2 ) 3 5. Se = 1 então car A = car [A j B ] = 1 < 3 = no de incógnitas do sistema. Logo o sistema é possível e indeterminado, tendo-se x + y + z = 1. A solução geral deste sistema é então dada por S1 = f(1 s t; s; t) : s; t 2 Rg. Se = 2 então car A | {z } =2 < car [A j B ] | {z } =3 . O sistema não tem solução (é impossível). S 2 = ?. Se 6= 1 e 6= 2 então car A = car [A j B ] = 3 = no de incógnitas do sistema. Logo o sistema é possível e determinado, tendo-se 8 < : x + y + z = 2 ( 1) y + (1 ) z = (1 ) (1 ) ( + 2) z = (1 + ) (1 2 ) , 8 < : x = ( + 1) = ( + 2) y = 1= ( + 2) z = (1 + )2 = ( + 2) . A solução geral do sistema é então dada por S = ( + 1 + 2 ; 1 + 2 ; (1 + )2 + 2 !) : (e) 8 < : x + y + z = 1 2x + y 2 z = x + y + z = 1 + 2 Sejam A = 2 4 1 1 2 2 1 3 5 e B = 2 4 1 1 + 2 3 5. 166
  • 167.
    [A j B]= 2 4 1 1 j 1 2 2 j 1 j 1 + 2 3 5 ! 2L1+L2!L2 L1+L3!L3 2 4 1 1 j 1 0 + 2 0 j + 2 0 0 (1 ) (1 + ) j 1 + 3 5 : Se = 1 então car A = car [A j B] = 2 < 3 = no de incógnitas do sistema. Logo o sistema é possível e indeterminado, tendo-se x + y + z = 1 3y = 3: , x = z y = 1: A solução geral deste sistema é então dada por S1 = f(s; 1; s) : s 2 Rg : Se = 2 então então car A = car [A j B] = 2 < 3 = no de incógnitas do sistema. Logo o sistema é possível e indeterminado, tendo-se x + y 2z = 1 3z = 3: , x = y 3 z = 1: A solução geral deste sistema é então dada por S 2 = f(s 3; s; 1) : s 2 Rg : Se = 1 então car A | {z } =2 < car [A j B] | {z } =3 . Logo, o sistema não tem solução (é impossível). S 1 = ?: Se 6= 1 e 6= 1 e 6= 2 então car A = car [A j B] = 3 = no de incógnitas do sistema. Logo o sistema é possível e determinado, tendo-se 8 < : x + y + z = 1 ( + 2) y = + 2 (1 ) (1 + ) z = 1 + , 8 < : x = = ( + 1) y = 1 z = 1= ( + 1) . A solução geral do sistema é então dada por S = + 1 ; 1; 1 + 1 : 16. (a) Sejam A = 2 4 1 4 3 2 7 2 1 5 3 5 e B = 2 4 10 10 3 5. [A j B ] = 2 4 1 4 3 j 10 2 7 2 j 10 1 5 j 3 5 ! 2L1+L2!L2 L1+L3!L3 167
  • 168.
    ! 2L1+L2!L2 L1+L3!L3 2 4 1 4 3j 10 0 1 8 j 10 0 1 3 j 10 3 5 ! L2+L3!L3 2 4 1 4 3 j 10 0 1 8 j 10 0 0 11 j 20 3 5. Se = 11 e = 20 então car A = car [A j B ] = 2 < 3 = no de incógnitas do sistema. Logo o sistema é possível e indeterminado, tendo-se x + 4y + 3z = 10 y 8z = 10 , x = 30 + 29z y = 10 8z. A solução geral deste sistema é então dada por S ; = f( 30 + 29s; 10 8s; s) : s 2 Rg. Se = 11 e 6= 20 então car A | {z } =2 < car [A j B ] | {z } =3 . Logo, o sistema não tem solução (é impossível). S ; = ?. Se 6= 11 então car A = car [A j B ] = 3 = no de incógnitas do sistema. Logo o sistema é possível e determinado, tendo-se 8 < : x + 4y + 3z = 10 y 8z = 10 ( 11) z = 20 , 8 < : x = (30 29 + 250) = ( 11) y = (10 8 + 50) = ( 11) z = ( 20) = ( 11) . A solução geral do sistema é então dada por S ; = 30 29 + 250 11 ; 10 8 + 50 11 ; 20 11 : (b) Sejam A = 2 6 6 4 0 0 2 1 1 1 3 2 2 1 1 1 1 3 14 3 7 7 5 e B = 2 6 6 4 1 2 4 3 7 7 5 : [A j B ] = 2 6 6 4 0 0 2 j 1 1 1 3 j 1 2 2 1 1 j 2 1 1 3 14 j 4 3 7 7 5 ! L1$L3 ! L1$L3 2 6 6 4 2 2 1 1 j 2 1 1 1 3 j 1 0 0 2 j 1 1 3 14 j 4 3 7 7 5 ! L1$L2 2 6 6 4 1 1 1 3 j 1 2 2 1 1 j 2 0 0 2 j 1 1 3 14 j 4 3 7 7 5 ! 2L1+L2!L2 L1+L4!L4 ! 2L1+L2!L2 L1+L4!L4 2 6 6 4 1 1 1 3 j 1 0 0 1 5 j 0 0 0 2 j 0 0 2 11 j 3 3 7 7 5 ! 2L2+L3!L3 2L2+L4!L4 2 6 6 4 1 1 1 3 j 1 0 0 1 5 j 0 0 0 0 10 j 0 0 0 1 j 3 3 7 7 5 ! L1$L2 168
  • 169.
    ! L1$L2 2 6 6 4 1 1 13 j 1 0 0 1 5 j 0 0 0 0 1 j 3 0 0 0 10 j 3 7 7 5 ! ( 10)L3+L4!L4 2 6 6 4 1 1 1 3 j 1 0 0 1 5 j 0 0 0 0 1 j 3 0 0 0 0 j 3 ( 10) + 3 7 7 5. Se = 3 ( 10) então car A = car [A j B ] = 3 < 4 = no de incógnitas do sistema. Logo o sistema é possível e indeterminado, tendo-se 8 < : x + y + z + 3w = 1 z 5w = 0 w = 3 , 8 < : x = 7 y z = 15 w = 3. : A solução geral deste sistema é então dada por S ; = f(7 s; s; 15; 3) : s 2 Rg. Se 6= 3 ( 10) então car A | {z } =3 < car [A j B ] | {z } =4 . Logo, o sistema não tem solução (é impossível). S ; = ?. (c) Sejam A = 2 4 1 1 1 2 2 1 1 1 1 + 1 3 5 e B = 2 4 0 1 3 5 : [A j B ] = 2 4 1 1 j 0 1 2 2 1 j 1 1 1 1 + 1 j 3 5 ! L1$L3 ! L1$L3 2 4 1 1 1 + 1 j 1 2 2 1 j 1 1 1 j 0 3 5 ! L1+L2!L2 L1+L3!L3 ! L1+L2!L2 L1+L3!L3 2 4 1 1 1 + 1 j 0 1 1 j 1 0 + 1 1 2 j 3 5 ! ( +1)L2+L3!L3 ! ( +1)L2+L3!L3 2 4 1 1 1 + 1 j 0 1 1 j 1 0 0 0 ( 2 1) j 2 + 1 3 5. Se 6= 0 e 6= 1 2 então car A = car [A j B ] = 3 < 4 = no de incógnitas do sistema. Logo o sistema é possível e indeterminado, tendo-se 8 < : x y + z + ( + 1) w = y + z w = 1 ( 2 1) w = + 1 + ( 2 1) , 8 >< >: x = +1 2 +1 1 ( +1)2 ( 2 1) y = z +1 2 +1 1 w = +1 ( 2 1) + . 169
  • 170.
    A solução geraldo sistema é então dada por S ; = ( + 1 2 + 1 1 ( + 1)2 ( 2 1) ; s + 1 2 + 1 1; s; + 1 ( 2 1) + !) : Se = 0 e = 1 então car A = car [A j B ] = 2 < 4 = no de incógnitas do sistema. Logo o sistema é possível e indeterminado, tendo-se x y + z + w = 1 y + z = 0 , x = 1 w y = z. A solução geral deste sistema é então dada por S ; = f(1 s; t; t; s) : s; t 2 Rg. Se ( = 0 e 6= 1) ou = 1 2 então car A | {z } =2 < car [A j B ] | {z } =3 . Logo, o sistema não tem solução (é impossível). S ; = ?. 17. (a) Sejam A = 2 4 1 2 3 3 1 2 1 5 8 3 5 e Ba;b;c = 2 4 a b c 3 5 : [A j Ba;b;c] = 2 4 1 2 3 j a 3 1 2 j b 1 5 8 j c 3 5 ! 3L1+L2!L2 L1+L3!L3 ! 3L1+L2!L2 L1+L3!L3 2 4 1 2 3 j a 0 7 11 j b 3a 0 7 11 j c a 3 5 ! L2+L3!L3 2 4 1 2 3 j a 0 7 11 j b 3a 0 0 0 j c b + 2a 3 5. Para que haja solução é necessário que car A = car [A j Ba;b;c], isto é, é necessário que c b + 2a = 0: (b) Sejam A = 2 4 1 2 4 2 3 1 3 1 2 3 5 e Ba;b;c = 2 4 a b c 3 5 : [A j Ba;b;c] = 2 4 1 2 4 j a 2 3 1 j b 3 1 2 j c 3 5 ! 2L1+L2!L2 3L1+L3!L3 170
  • 171.
    ! 2L1+L2!L2 3L1+L3!L3 2 4 1 2 4j a 0 7 9 j b 2a 0 7 10 j c 3a 3 5 ! L2+L3!L3 2 4 1 2 4 j a 0 7 9 j b 2a 0 0 1 j c b a 3 5. Como car A = car [A j Ba;b;c], este sistema tem solução para quaisquer valores de a; b; c. 18. (a) Sejam x = 1 + t e y = 1 t. Logo x + y = 2: (b) Sejam x = t, y = 1 2t e z = 1. Tem-se então o seguinte sistema: 8 < : 2x + y = 1 z = 1. (c) Sejam x = 3t, y = 2t e z = t. Tem-se então o seguinte sistema: 8 < : x 3z = 0 y 2z = 0. (d) Sejam x = 3t s, y = t + 2s 1 e z = s 2t + 1. Logo s = 3t x e assim y = t + 2 (3t x) 1 = 7t 2x 1 , t = y + 2x + 1 7 : Deste modo: s = 3 y + 2x + 1 7 x = 3y x + 3 7 Com s = 3y x + 3 7 e t = y + 2x + 1 7 Tem-se então a seguinte equação linear: z = s 2t + 1 = 3y x + 3 7 2 y + 2x + 1 7 + 1. Isto é: 5x y + 7z = 8. 171
  • 172.
    (e) Sejam x= 2t 3s, y = t + s 1, z = 2s + 1 e w = t 1. Logo t = w + 1 e s = z 1 2 . Assim: 8 >>>< >>>: x = 2 (w + 1) 3 z 1 2 y = w + 1 + z 1 2 1. Deste modo, obtém-se o sistema de equações lineares: 8 < : 2x + 3z 4w = 7 2y z 2w = 1. (f) Seja S = f(1 s; s t; 2s; t 1) : s; t 2 Rg. Sejam x = 1 s, y = s t, z = 2s, w = t 1. Uma vez que s = 1 x e t = w + 1, tem-se então o seguinte sistema linear não homogéneo y = 1 x (w + 1) z = 2 (1 x) , x + y + w = 0 2x + z = 2 (g) Por exemplo: 8 < : x + y = 1 x + y = 0. 19. Pretende-se determinar a b c d tal que a b c d 1 2 3 4 = 1 2 3 4 a b c d . Tem-se então 8 >>< >>: a + 2c = a + 3b b + 2d = 2a + 4b 3a + 4c = c + 3d 3b + 4d = 2c + 4d , c = 3 2 b d = a + 3 2 b As matrizes reais que comutam com 1 2 3 4 são da forma: a b 3 2 b a + 3 2 b , com a; b 2 R. 20. Existem 16 matrizes 2 2 só com 0 e 1 nas respectivas entradas. 6 são invertíveis: 1 0 0 1 ; 0 1 1 0 ; 1 1 0 1 ; 1 1 1 0 ; 0 1 1 1 ; 1 0 1 1 . 172
  • 173.
    21. Como A2 + 2A+ 2I = 0 , A 1 2 A I = 1 2 A I A = I então A é invertível e A 1 = 1 2 A I. 22. Sejam A; B; X 2 Mn n (R) matrizes invertíveis tais que (AB)2 = 3 4 7 9 : (i) AXB + AB = 0 , AXB = AB , A 1 (AXB) B 1 = A 1 ( AB) B 1 , , A 1 A X BB 1 = A 1 A BB 1 , , IXI = II , X = I. (ii) BXA A 1 B 1 = 0 , B 1 (BXA) A 1 = B 1 A 1 B 1 A 1 , , B 1 B X AA 1 = B 1 A 1 B 1 A 1 , , IXI = (AB)2 1 , , X = 3 4 7 9 1 = 9 4 7 3 . 23. A 2 M2 2 (R), 2I 3A 1 T 1 = 4 3 7 5 , 2I 3A 1 T = 4 3 7 5 1 , , 2I 3A 1 T = 5 3 7 4 , 3A 1 T = 2 0 0 2 5 3 7 4 , , A = 1 3 7 3 7 6 T ! 1 = 7 3 7 3 1 2 1 = 6 7 1 3 7 1 . 24. (i) 0 1 j 1 0 1 0 j 0 1 ! L1$L2 1 0 j 0 1 0 1 j 1 0 . Logo 0 1 1 0 1 = 0 1 1 0 173
  • 174.
    (ii) 1 0 0 1 1 = 10 0 1 (iii) [1] 1 = [1] (iv) 1 2 j 1 0 3 4 j 0 1 ! 3L1+L2!L2 1 2 j 1 0 0 2 j 3 1 ! L2+L1!L1 ! L2+L1!L1 1 0 j 2 1 0 2 j 3 1 !1 2 L2!L2 1 0 j 2 1 0 1 j 3 2 1 2 . Logo 1 2 3 4 1 = 2 1 3 2 1 2 . (v) 2 4 1 2 3 j 1 0 0 4 5 6 j 0 1 0 7 8 9 j 0 0 1 3 5 ! 4L1+L2!L2 7L1+L3!L3 2 4 1 2 3 j 1 0 0 0 3 6 j 4 1 0 0 6 12 j 7 0 1 3 5 ! 2L2+L3!L3 ! 2L2+L3!L3 2 4 1 2 3 j 1 0 0 0 3 6 j 4 1 0 0 0 0 j 1 2 1 3 5. Logo, 2 4 1 2 3 4 5 6 7 8 9 3 5 é singular e como tal não é invertível. Nas alíneas (vi) e (vii) só se apresentam as soluções: (vi) 2 4 1 2 3 0 1 2 0 0 1 3 5 1 = 2 4 1 2 1 0 1 2 0 0 1 3 5 (vii) 0 @1 3 2 4 2 2 1 1 2 2 2 1 2 3 5 1 A 1 = 2 4 2 3 1 3 2 3 2 3 2 3 1 3 1 3 2 3 2 3 3 5 (viii) 2 4 1 0 2 j 1 0 0 0 3 0 j 0 1 0 4 0 5 j 0 0 1 3 5 ! 4L1+L3!L3 2 4 1 0 2 j 1 0 0 0 3 0 j 0 1 0 0 0 3 j 4 0 1 3 5 !2 3 L3+L1!L1 !2 3 L3+L1!L1 2 4 1 0 0 j 5 3 0 2 3 0 3 0 j 0 1 0 0 0 3 j 4 0 1 3 5 !1 3 L2!L2 1 3 L3!L3 2 4 1 0 0 j 5 3 0 2 3 0 1 0 j 0 1 3 0 0 0 1 j 4 3 0 1 3 3 5. Logo 2 4 1 0 2 0 3 0 4 0 5 3 5 1 = 2 4 5 3 0 2 3 0 1 3 0 4 3 0 1 3 3 5. 174
  • 175.
    (ix) 2 4 1 2 1j 1 0 0 4 0 6 j 0 1 0 1 8 1 j 0 0 1 3 5 ! 4L1+L2!L2 L1+L3!L3 2 4 1 2 1 j 1 0 0 0 8 2 j 4 1 0 0 6 0 j 1 0 1 3 5 !3 4 L2+L3!L3 !3 4 L2+L3!L3 2 4 1 2 1 j 1 0 0 0 8 2 j 4 1 0 0 0 3 2 j 4 3 4 1 3 5 !2 3 L3!L3 2 4 1 2 1 j 1 0 0 0 8 2 j 4 1 0 0 0 1 j 8 3 1 2 2 3 3 5 ! 2L3+L2!L2 L3+L1!L1 ! 2L3+L2!L2 L3+L1!L1 2 6 6 6 6 4 1 2 0 j 11 3 1 2 2 3 j 0 8 0 j 4 3 0 4 3 j 0 0 1 j 8 3 1 2 2 3 3 7 7 7 7 5 !1 8 L2!L2 2 6 6 6 6 4 1 2 0 j 11 3 1 2 2 3 j 0 1 0 j 1 6 0 1 6 j 0 0 1 j 8 3 1 2 2 3 3 7 7 7 7 5 ! 2L2+L1!L1 ! 2L2+L1!L1 2 6 6 6 6 4 1 0 0 j 4 1 2 1 j 0 1 0 j 1 6 0 1 6 j 0 0 1 j 8 3 1 2 2 3 3 7 7 7 7 5 . Logo 2 4 1 2 1 4 0 6 1 8 1 3 5 1 = 2 6 6 6 6 4 4 1 2 1 1 6 0 1 6 8 3 1 2 2 3 3 7 7 7 7 5 . (x) Para 6= k 2 ; (k 2 Z) cos sen j 1 0 sen cos j 0 1 ! (cos )L1!L1 (sen )L2!L2 cos2 cos sen j cos 0 sen2 sen cos j 0 sen ! L2+L1!L1 ! L2+L1!L1 1 0 j cos sen sen2 sen cos j 0 sen ! ( sen2 )L1+L2!L2 ! ( sen2 )L1+L2!L2 1 0 j cos sen 0 sen cos j sen2 cos sen (1 sen2 ) !1 sen cos L2!L2 !1 sen cos L2!L2 1 0 j cos sen 0 1 j sen cos . Note que sen cos 6= 0 para todo o 6= k 2 ; (k 2 Z). Logo cos sen sen cos 1 = cos sen sen cos , para todo o 6= k 2 ; (k 2 Z) 175
  • 176.
    Se = 2 + 2k; (k 2 Z) ; cos sen sen cos 1 = 0 1 1 0 1 = 0 1 1 0 = cos sen sen cos . Se = 2k ; (k 2 Z), cos sen sen cos 1 = 1 0 0 1 1 = 1 0 0 1 = cos sen sen cos . Se = + 2k ; (k 2 Z) ; cos sen sen cos 1 = 1 0 0 1 1 = 1 0 0 1 = cos sen sen cos . Se = 3 2 + 2k ; (k 2 Z), cos sen sen cos 1 = 0 1 1 0 1 = 0 1 1 0 = cos sen sen cos . Logo, para todo o 2 R cos sen sen cos 1 = cos sen sen cos . (xi) Seja k 6= 0. 2 6 6 4 k 0 0 0 j 1 0 0 0 1 k 0 0 j 0 1 0 0 0 1 k 0 j 0 0 1 0 0 0 1 k j 0 0 0 1 3 7 7 5 !1 k L1+L2!L2 1 k L3!L3 1 k L4!L4 2 6 6 4 k 0 0 0 j 1 0 0 0 0 k 0 0 j 1 k 1 0 0 0 1 k 1 0 j 0 0 1 k 0 0 0 1 k 1 j 0 0 0 1 k 3 7 7 5 !1 k2 L2+L3!L3 1 k L1!L1 !1 k2 L2+L3!L3 1 k L1!L1 2 6 6 4 1 0 0 0 j 1 k 0 0 0 0 k 0 0 j 1 k 1 0 0 0 0 1 0 j 1 k3 1 k2 1 k 0 0 0 1 k 1 j 0 0 0 1 k 3 7 7 5 !1 k L3+L4!L4 1 k L2!L2 !1 k L3+L4!L4 1 k L2!L2 2 6 6 4 1 0 0 0 j 1 k 0 0 0 0 1 0 0 j 1 k2 1 k 0 0 0 0 1 0 j 1 k3 1 k2 1 k 0 0 0 0 1 j 1 k4 1 k3 1 k2 1 k 3 7 7 5. 176
  • 177.
    Logo 2 6 6 4 k 0 00 1 k 0 0 0 1 k 0 0 0 1 k 3 7 7 5 1 = 2 6 6 4 1 k 0 0 0 1 k2 1 k 0 0 1 k3 1 k2 1 k 0 1 k4 1 k3 1 k2 1 k 3 7 7 5. (xii) Sejam k1; k2; k3; k4 6= 0. 2 6 6 4 0 0 0 k1 j 1 0 0 0 0 0 k2 0 j 0 1 0 0 0 k3 0 0 j 0 0 1 0 k4 0 0 0 j 0 0 0 1 3 7 7 5 ! L1$L4 L2$L3 2 6 6 4 k4 0 0 0 j 0 0 0 1 0 k3 0 0 j 0 0 1 0 0 0 k2 0 j 0 1 0 0 0 0 0 k1 j 1 0 0 0 3 7 7 5 !1 k4 L1!L1 1 k3 L2!L2 1 k2 L3!L3 1 k1 L4!L4 !1 k4 L1!L1 1 k3 L2!L2 1 k2 L3!L3 1 k1 L4!L4 2 6 6 4 1 0 0 0 j 0 0 0 1 k4 0 1 0 0 j 0 0 1 k3 0 0 0 1 0 j 0 1 k2 0 0 0 0 0 1 j 1 k1 1 0 0 0 3 7 7 5. Logo 2 6 6 4 0 0 0 k1 0 0 k2 0 0 k3 0 0 k4 0 0 0 3 7 7 5 1 = 2 6 6 4 0 0 0 1 k4 0 0 1 k3 0 0 1 k2 0 0 1 k1 1 0 0 0 3 7 7 5. (xiii) 2 6 6 6 6 6 6 6 6 4 5 13 2 13 2 13 8 13 2 13 7 13 6 13 2 13 2 13 6 13 7 13 2 13 8 13 2 13 2 13 5 13 3 7 7 7 7 7 7 7 7 5 = 1 13 2 6 6 6 6 6 6 6 6 4 5 2 2 8 2 7 6 2 2 6 7 2 8 2 2 5 3 7 7 7 7 7 7 7 7 5 : 2 6 6 6 6 6 6 6 6 4 5 2 2 8 j 1 0 0 0 j 2 7 6 2 j 0 1 0 0 j 2 6 7 2 j 0 0 1 0 j 8 2 2 5 j 0 0 0 1 3 7 7 7 7 7 7 7 7 5 ! L1$L3 2 6 6 6 6 6 6 6 6 4 2 6 7 2 j 0 0 1 0 j 2 7 6 2 j 0 1 0 0 j 5 2 2 8 j 1 0 0 0 j 8 2 2 5 j 0 0 0 1 3 7 7 7 7 7 7 7 7 5 ! L1+L2!L2 5 2 L1+L3!L3 4L1+L4!L4 177
  • 178.
    ! L1+L2!L2 5 2 L1+L3!L3 4L1+L4!L4 2 6 6 6 6 6 6 6 6 4 2 6 72 j 0 0 1 0 j 0 13 13 0 j 0 1 1 0 j 0 13 39 2 13 j 1 0 5 2 0 j 0 26 26 13 j 0 0 4 1 3 7 7 7 7 7 7 7 7 5 ! L2+L3!L3 2L2+L4!L4 ! L2+L3!L3 2L2+L4!L4 2 6 6 6 6 6 6 6 6 4 2 6 7 2 j 0 0 1 0 j 0 13 13 0 j 0 1 1 0 j 0 0 13 2 13 j 1 1 3 2 0 j 0 0 0 13 j 0 2 2 1 3 7 7 7 7 7 7 7 7 5 !1 2 L1!L1 1 13 L2!L2 2 13 L3!L3 1 13 L4!L4 !1 2 L1!L1 1 13 L2!L2 2 13 L3!L3 1 13 L4!L4 2 6 6 6 6 6 6 6 6 4 1 3 7 2 1 j 0 0 1 2 0 j 0 1 1 0 j 0 1 13 1 13 0 j 0 0 1 2 j 2 13 2 13 3 13 0 j 0 0 0 1 j 0 2 13 2 13 1 13 3 7 7 7 7 7 7 7 7 5 ! L4+L1!L1 2L4+L3!L3 ! L4+L1!L1 2L4+L3!L3 2 6 6 6 6 6 6 6 6 4 1 3 7 2 0 j 0 2 13 9 26 1 13 j 0 1 1 0 j 0 1 13 1 13 0 j 0 0 1 0 j 2 13 2 13 1 13 2 13 j 0 0 0 1 j 0 2 13 2 13 1 13 3 7 7 7 7 7 7 7 7 5 ! L3+L2!L2 7 2 L3+L1!L1 ! L3+L2!L2 7 2 L3+L1!L1 2 6 6 6 6 6 6 6 6 4 1 3 0 0 j 7 13 5 13 8 13 6 13 j 0 1 0 0 j 2 13 1 13 2 13 2 13 j 0 0 1 0 j 2 13 2 13 1 13 2 13 j 0 0 0 1 j 0 2 13 2 13 1 13 3 7 7 7 7 7 7 7 7 5 ! 3L2+L1!L1 2 6 6 6 6 6 6 6 6 4 1 0 0 0 j 1 13 2 13 2 13 0 j 0 1 0 0 j 2 13 1 13 2 13 2 13 j 0 0 1 0 j 2 13 2 13 1 13 2 13 j 0 0 0 1 j 0 2 13 2 13 1 13 3 7 7 7 7 7 7 7 7 5 . Logo 2 6 6 6 6 6 6 6 6 4 5 13 2 13 2 13 8 13 2 13 7 13 6 13 2 13 2 13 6 13 7 13 2 13 8 13 2 13 2 13 5 13 3 7 7 7 7 7 7 7 7 5 1 = 0 B B B B B B B B @ 1 13 2 6 6 6 6 6 6 6 6 4 5 2 2 8 2 7 6 2 2 6 7 2 8 2 2 5 3 7 7 7 7 7 7 7 7 5 1 C C C C C C C C A 1 = 178
  • 179.
    = 13 2 6 6 6 6 6 6 6 6 4 1 13 2 13 2 13 0 2 13 1 13 2 13 2 13 2 13 2 13 1 13 2 13 0 2 13 2 13 1 13 3 7 7 7 7 7 7 7 7 5 = 2 6 6 6 6 6 6 6 6 4 12 2 0 2 1 2 2 2 2 1 2 0 2 2 1 3 7 7 7 7 7 7 7 7 5 . (xiv) 2 6 6 6 6 6 6 6 6 4 1 1 2 1 2 1 2 1 2 1 0 1 2 1 2 0 1 1 2 1 2 1 2 1 2 1 3 7 7 7 7 7 7 7 7 5 = 1 2 2 6 6 6 6 6 6 6 6 4 2 1 1 1 1 2 0 1 1 0 2 1 1 1 1 2 3 7 7 7 7 7 7 7 7 5 . 2 6 6 6 6 6 6 6 6 4 2 1 1 1 j 1 0 0 0 j 1 2 0 1 j 0 1 0 0 j 1 0 2 1 j 0 0 1 0 j 1 1 1 2 j 0 0 0 1 3 7 7 7 7 7 7 7 7 5 ! L1$L4 2 6 6 6 6 6 6 6 6 4 1 1 1 2 j 0 0 0 1 j 1 2 0 1 j 0 1 0 0 j 1 0 2 1 j 0 0 1 0 j 2 1 1 1 j 1 0 0 0 3 7 7 7 7 7 7 7 7 5 ! L1+L2!L2 L1+L3!L3 2L1+L4!L4 ! L1+L2!L2 L1+L3!L3 2L1+L4!L4 2 6 6 6 6 6 6 6 6 4 1 1 1 2 j 0 0 0 1 j 0 1 1 1 j 0 1 0 1 j 0 1 1 1 j 0 0 1 1 j 0 1 1 3 j 1 0 0 2 3 7 7 7 7 7 7 7 7 5 ! L2+L3!L3 L2+L4!L4 ! L2+L3!L3 L2+L4!L4 2 6 6 6 6 6 6 6 6 4 1 1 1 2 j 0 0 0 1 j 0 1 1 1 j 0 1 0 1 j 0 0 0 2 j 0 1 1 2 j 0 0 2 4 j 1 1 0 3 3 7 7 7 7 7 7 7 7 5 ! L3$L4 ! L3$L4 2 6 6 6 6 6 6 6 6 4 1 1 1 2 j 0 0 0 1 j 0 1 1 1 j 0 1 0 1 j 0 0 2 4 j 1 1 0 3 j 0 0 0 2 j 0 1 1 2 3 7 7 7 7 7 7 7 7 5 ! 2L4+L3!L3 1 2 L4+L2!L2 L4+L1!L1 179
  • 180.
    ! 2L4+L3!L3 1 2 L4+L2!L2 L4+L1!L1 2 6 6 6 6 6 6 6 6 4 1 1 10 j 0 1 1 1 j 0 1 1 0 j 0 1 2 1 2 0 j 0 0 2 0 j 1 1 2 1 j 0 0 0 2 j 0 1 1 2 3 7 7 7 7 7 7 7 7 5 !1 2 L3!L3 1 2 L4!L4 !1 2 L3!L3 1 2 L4!L4 2 6 6 6 6 6 6 6 6 4 1 1 1 0 j 0 1 1 1 j 0 1 1 0 j 0 1 2 1 2 0 j 0 0 1 0 j 1 2 1 2 1 1 2 j 0 0 0 1 j 0 1 2 1 2 1 3 7 7 7 7 7 7 7 7 5 ! L3+L2!L2 L3+L1!L1 ! L3+L2!L2 L3+L1!L1 2 6 6 6 6 6 6 6 6 4 1 1 0 0 j 1 2 1 2 0 1 2 j 0 1 0 0 j 1 2 1 1 2 1 2 j 0 0 1 0 j 1 2 1 2 1 1 2 j 0 0 0 1 j 0 1 2 1 2 1 3 7 7 7 7 7 7 7 7 5 ! L2+L1!L1 ! L2+L1!L1 2 6 6 6 6 6 6 6 6 4 1 0 0 0 j 1 1 2 1 2 0 j 0 1 0 0 j 1 2 1 1 2 1 2 j 0 0 1 0 j 1 2 1 2 1 1 2 j 0 0 0 1 j 0 1 2 1 2 1 3 7 7 7 7 7 7 7 7 5 . Logo 2 6 6 6 6 6 6 6 6 4 1 1 2 1 2 1 2 1 2 1 0 1 2 1 2 0 1 1 2 1 2 1 2 1 2 1 3 7 7 7 7 7 7 7 7 5 1 = 0 B B B B B B B B @ 1 2 2 6 6 6 6 6 6 6 6 4 2 1 1 1 1 2 0 1 1 0 2 1 1 1 1 2 3 7 7 7 7 7 7 7 7 5 1 C C C C C C C C A 1 = = 2 2 6 6 6 6 6 6 6 6 4 1 1 2 1 2 0 1 2 1 1 2 1 2 1 2 1 2 1 1 2 0 1 2 1 2 1 3 7 7 7 7 7 7 7 7 5 = 2 6 6 6 6 6 6 6 6 4 2 1 1 0 1 2 1 1 1 1 2 1 0 1 1 2 3 7 7 7 7 7 7 7 7 5 . 180
  • 181.
    25. (i) SejaA 2 Mn n (R) tal que Ak = 0 para algum k 2 Nn f1g. (I A) I + A + ::: + Ak 1 = I + A + ::: + Ak 1 A A2 ::: Ak 1 Ak = I Ak = I ou seja, I A é invertível e (I A) 1 = I + A + ::: + Ak 1 . (ii) 2 4 1 1 0 0 1 1 0 0 1 3 5 1 = 0 @I 2 4 0 1 0 0 0 1 0 0 0 3 5 1 A 1 = (i) I + 2 4 0 1 0 0 0 1 0 0 0 3 5 + 2 4 0 1 0 0 0 1 0 0 0 3 5 2 = 2 4 1 1 1 0 1 1 0 0 1 3 5 uma vez que 2 4 0 1 0 0 0 1 0 0 0 3 5 3 = 2 4 0 0 0 0 0 0 0 0 0 3 5. 26. A = 2 4 2 2 2 5 1 3 1 5 3 3 5 : (i) A3 = 2 4 2 2 2 5 1 3 1 5 3 3 5 3 = 2 4 0 0 0 0 0 0 0 0 0 3 5 (ii) Por (i): (I A) (I + A + A2 ) = I 27. a) Usando o método de eliminação de Gauss, tem-se 2 4 1 4 2 j 10 2 7 2 j 20 1 5 j 10 3 5 ! 2L1+L2!L2 L1+L3!L3 2 4 1 4 2 j 10 0 1 2 j 0 0 1 2 j 0 3 5 ! L2+L3!L3 2 4 1 4 2 j 10 0 1 2 j 0 0 0 4 j 0 3 5 : Se 6= 4 então o sistema é possível e determinado, existindo uma única solução. Se = 4 então o sistema é possível e indeterminado, existindo um no in…nito de soluções. 181
  • 182.
    b) Para =4, tem-se o sistema de equações lineares x + 4y + 2z = 10 y 2z = 0. , x = 10 + 6z y = 2z. Colocando z = s, a solução geral do sistema é dada por: S = f(10 + 6s; 2s; s) : s 2 Rg. 28. A ; = 2 6 6 4 1 0 1 0 1 2 + 0 1 1 2 + + 3 7 7 5 ! L2$L3 2 6 6 4 1 0 1 0 0 1 1 2 + 1 2 + + 3 7 7 5 ! L1+L3!L3 L1+L4!L4 ! L1+L3!L3 L1+L4!L4 2 6 6 4 1 0 1 0 0 1 0 2 + + 1 0 2 + + 1 + 3 7 7 5 ! L2+L3!L3 L2+L4!L4 2 6 6 4 1 0 1 0 0 1 0 0 + 1 0 0 0 + 1 3 7 7 5 ! L3+L4!L4 ! L3+L4!L4 2 6 6 4 1 0 1 0 0 1 0 0 + 1 0 0 0 0 3 7 7 5. Se = 1 e = 0 então car A = 2 e nul A = 2. Se ( = 1 e 6= 0) ou ( 6= 1 e = 0) então car A = 3 e nul A = 1. Se 6= 1 e 6= 0 então car A = 4 e nul A = 0. Assim, A ; é invertível se e só se 6= 1 e 6= 0, uma vez que é só neste caso que car A ; = no de colunas de A ; . 29. (a) Tem-se A = 2 6 6 4 1 0 2 2 2 4 4 0 3 8 0 2 2 3 7 7 5 ! 2L1+L2!L2 4L1+L3!L3 L1+L4!L4 2 6 6 4 1 0 2 0 ( 2) 0 0 0 (2 ) (2 + ) 0 0 0 0 ( 2) 3 7 7 5 : Logo, como car A + nul A = 4, se = 0 então car A = 1 e nul A = 3; se = 2 então car A = 2 e nul A = 2; se = 2 então car A = 3 e nul A = 1; se 6= 0 e 6= 2 e 6= 2 então car A = 4 e nul A = 0. Assim, A é invertível se e só se 2 Rn f 2; 0; 2g, uma vez que é só nestes casos que car A = no de colunas de A . 182
  • 183.
    (b) A1 jI = = 2 6 6 4 1 0 1 2 j 1 0 0 0 2 1 1 4 j 0 1 0 0 4 0 1 8 j 0 0 1 0 1 0 1 1 j 0 0 0 1 3 7 7 5 ! 2L1+L2!L2 4L1+L3!L3 L1+L4!L4 2 6 6 4 1 0 1 2 j 1 0 0 0 0 1 1 0 j 2 1 0 0 0 0 3 0 j 4 0 1 0 0 0 0 1 j 1 0 0 1 3 7 7 5 ! 2L4+L1!L1 1 3 L3+L1!L1 1 3 L3+L2!L2 ! 2L4+L1!L1 1 3 L3+L1!L1 1 3 L3+L2!L2 2 6 6 4 1 0 0 0 j 7 3 0 1 3 2 0 1 0 0 j 2 3 1 1 3 0 0 0 3 0 j 4 0 1 0 0 0 0 1 j 1 0 0 1 3 7 7 5 ! L4!L4 1 3 L3!L3 2 6 6 4 1 0 0 0 j 7 3 0 1 3 2 0 1 0 0 j 2 3 1 1 3 0 0 0 1 0 j 4 3 0 1 3 0 0 0 0 1 j 1 0 0 1 3 7 7 5 Logo (A1) 1 = 2 6 6 4 7 3 0 1 3 2 2 3 1 1 3 0 4 3 0 1 3 0 1 0 0 1 3 7 7 5 : 30. (a) Ba;b = 2 6 6 4 0 0 a 1 2 2 0 a 0 0 a b 3 0 6 0 3 7 7 5 ! L1$L2 2 6 6 4 2 2 0 a 0 0 a 1 0 0 a b 3 0 6 0 3 7 7 5 ! L2$L4 ! L2$L4 2 6 6 4 2 2 0 a 3 0 6 0 0 0 a b 0 0 a 1 3 7 7 5 !3 2 L1+L2!L2 L3+L4!L4 2 6 6 4 2 2 0 a 0 3 6 3 2 a 0 0 a b 0 0 0 1 b 3 7 7 5. Se a = 0 ou ( a 6= 0 e b = 1) então car Ba;b = 3 e nul Ba;b = 1. Se a 6= 0 e b 6= 1 então car Ba;b = 4 e nul Ba;b = 0. (b) [B1;0 j I] = 2 6 6 4 0 0 1 1 j 1 0 0 0 2 2 0 1 j 0 1 0 0 0 0 1 0 j 0 0 1 0 3 0 6 0 j 0 0 0 1 3 7 7 5 ! L1$L4 2 6 6 4 3 0 6 0 j 0 0 0 1 2 2 0 1 j 0 1 0 0 0 0 1 0 j 0 0 1 0 0 0 1 1 j 1 0 0 0 3 7 7 5 !2 3 L1+L2!L2 L3+L4!L4 !2 3 L1+L2!L2 L3+L4!L4 2 6 6 4 3 0 6 0 j 0 0 0 1 0 2 4 1 j 0 1 0 2 3 0 0 1 0 j 0 0 1 0 0 0 0 1 j 1 0 1 0 3 7 7 5 ! L4+L2!L2 6L3+L1!L1 ! L4+L2!L2 6L3+L1!L1 2 6 6 4 3 0 0 0 j 0 0 6 1 0 2 4 0 j 1 1 1 2 3 0 0 1 0 j 0 0 1 0 0 0 0 1 j 1 0 1 0 3 7 7 5 !1 2 L2!L2 1 3 L1!L1 183
  • 184.
    !1 2 L2!L2 1 3 L1!L1 2 6 6 4 1 0 00 j 0 0 2 1 3 0 1 2 0 j 1 2 1 2 1 2 1 3 0 0 1 0 j 0 0 1 0 0 0 0 1 j 1 0 1 0 3 7 7 5 ! 2L3+L2!L2 2 6 6 4 1 0 0 0 j 0 0 2 1 3 0 1 0 0 j 1 2 1 2 5 2 1 3 0 0 1 0 j 0 0 1 0 0 0 0 1 j 1 0 1 0 3 7 7 5. Logo (B1;0) 1 = 2 6 6 4 0 0 2 1 3 1 2 1 2 5 2 1 3 0 0 1 0 1 0 1 0 3 7 7 5. (c) Como B1;0 é invertível, B1;0X = C , X = (B1;0) 1 C , X = 2 6 6 4 0 0 2 1 3 1 2 1 2 5 2 1 3 0 0 1 0 1 0 1 0 3 7 7 5 2 6 6 4 1 2 3 1 3 7 7 5 = 2 6 6 6 6 6 6 6 6 4 19 3 19 3 3 2 3 7 7 7 7 7 7 7 7 5 : (d) Seja X = (x1; x2; x3; x4). Ba;1X = D , 2 6 6 4 0 0 a 1 2 2 0 a 0 0 a 1 3 0 6 0 3 7 7 5 2 6 6 4 x1 x2 x3 x4 3 7 7 5 = 2 6 6 4 a 0 a 6 3 7 7 5 . A solução geral de Ba;1X = D é dada por: (Solução particular de Ba;1X = D) + (Solução geral de Ba;1X = 0). O vector (0; 0; 1; 0) é uma solução particular de Ba;1X = D. Determinemos a solução geral de Ba;1X = 0. Tem-se 2 6 6 4 0 0 a 1 2 2 0 a 0 0 a 1 3 0 6 0 3 7 7 5 ! L1+L3!L3 3 2 L2+L4!L4 2 6 6 4 0 0 a 1 2 2 0 a 0 0 0 0 0 3 6 3 2 a 3 7 7 5 ! L1$L2 L3$L4 ! L1$L2 L3$L4 2 6 6 4 2 2 0 a 0 0 a 1 0 3 6 3 2 a 0 0 0 0 3 7 7 5 ! L2$L3 2 6 6 4 2 2 0 a 0 3 6 3 2 a 0 0 a 1 0 0 0 0 3 7 7 5. Logo, 8 < : 2x1 + 2x2 + ax4 = 0 3x2 + 6x3 3 2 ax4 = 0 ax3 + x4 = 0 , 8 >>< >>: x = 2x3 x2 = 2 + a2 2 x3 x4 = ax3 184
  • 185.
    Assim, a soluçãogeral de Ba;1X = 0 é dada por: ( 2s; 2 + a2 2 s; s; as) : s 2 R Logo, a solução geral do sistema linear Ba;1X = D é dada por: f(0; 0; 1; 0)g+ 2s; 2 + a2 2 s; s; as : s 2 R = 2s; 2 + a2 2 s; s 1; as : s 2 R . Resolução Alternativa. [Ba;1 j D] = 2 6 6 4 0 0 a 1 j a 2 2 0 a j 0 0 0 a 1 j a 3 0 6 0 j 6 3 7 7 5 ! L1+L3!L3 3 2 L2+L4!L4 2 6 6 4 0 0 a 1 j a 2 2 0 a j 0 0 0 0 0 j 0 0 3 6 3 2 a j 6 3 7 7 5 ! L1$L2 L3$L4 ! L1$L2 L3$L4 2 6 6 4 2 2 0 a j 0 0 0 a 1 j a 0 3 6 3 2 a j 6 0 0 0 0 j 0 3 7 7 5 ! L2$L3 2 6 6 4 2 2 0 a j 0 0 3 6 3 2 a j 6 0 0 a 1 j a 0 0 0 0 j 0 3 7 7 5. Tem-se então 8 >< >: 2x + 2y + aw = 0 3y + 6z 3 2 aw = 6 az + w = a , 8 >< >: x = 2z 2 y = a2 2 + 2 (z + 1) w = a az Logo, a solução geral do sistema linear Ba;1X = D é dada por: 2s 2; a2 2 + 2 (s + 1) ; s; a as : s 2 R = 2s; 2 + a2 2 s; s 1; as : s 2 R : 185
  • 186.
    Resolução da 1a Fichade exercícios facultativos 1. (i) Sejam A = (aij)m n, B = (bij)n p e C = (cij)p q. (AB) C = pP l=1 nP k=1 aikbkl clj = pP l=1 nP k=1 aikbkl clj = nP k=1 pP l=1 aikbkl clj = = nP k=1 aik pP l=1 bkl clj = nP k=1 aik pP l=1 bkl clj = A (BC) (ii) Sejam A = (aij)m n, B = (bij)n p e C = (cij)n p. A (B + C) = nP k=1 aik (bkj + ckj) = nP k=1 aikbkj + aikckj = = nP k=1 aikbkj + nP k=1 aikckj = AB + AC (iii) Sejam A = (aij)m n e B = (bij)n p. (AB)T = nP k=1 aikbkj T = nP k=1 bkjaik T = nP k=1 bkiajk = BT AT . 2. Seja A 2 Mm n (R) tal que AT A = 0. Então AT A (i;i) = 0, para todo o i = 1; :::; n. Como AT A (i;i) = nX k=1 (aik)2 ! tem-se ai1 = ::: = ain = 0, para todo o i = 1; :::; n. Logo A = 0. 3. Sendo A = 1 2 2 4 , tem-se (A 5I) u = 0 , 4 2 2 1 u= 0 , u 2 f(s; 2s) : s 2 Rg . Logo fu 6= 0 : Au = 5ug = f(s; 2s) : s 2 Rn f0gg : 4. Para todo o n 2 N, (prova-se por indução) 186
  • 187.
    (i) 0 1 1 0 n = 8 >>< >>: (1)k+1 0 1 1 0 , se n = 2k 1, k = 1; 2; 3::: ( 1)k I, se n = 2k, k = 1; 2; 3:::. (ii) 1 0 2 1 n = 1 0 2n 1 . (iii) 2 4 1 1 0 0 1 1 0 0 1 3 5 n = 2 4 1 n 1 + + n 1 0 1 n 0 0 1 3 5 = 2 4 1 n n(n 1) 2 0 1 n 0 0 1 3 5. Note que 1 + + (n 1) + (n 1) + + 1 = = 1 + (n 1) + + (n 1) + 1 | {z } n 1 parcelas = n + + n| {z } n 1 parcelas = (n 1) n , 1 + + (n 1) = n (n 1) 2 . (iv) 2 6 6 4 0 1 0 0 0 0 1 0 0 0 0 1 0 0 0 0 3 7 7 5 n = 2 6 6 4 0 0 0 0 0 0 0 0 0 0 0 0 0 0 0 0 3 7 7 5, para todo o natural n 4. 2 6 6 4 0 1 0 0 0 0 1 0 0 0 0 1 0 0 0 0 3 7 7 5 2 = 2 6 6 4 0 1 0 0 0 0 1 0 0 0 0 1 0 0 0 0 3 7 7 5, 2 6 6 4 0 1 0 0 0 0 1 0 0 0 0 1 0 0 0 0 3 7 7 5 3 = 2 6 6 4 0 0 0 1 0 0 0 0 0 0 0 0 0 0 0 0 3 7 7 5. (v) cos sen sen cos n = cos(n ) sen(n ) sen(n ) cos(n ) ; (com 2 R). 5. A2 = (AB) (AB) = A (BA) B = ABB = AB = A: B2 = (BA) (BA) = B (AB) A = BAA = BA = B: 6. Seja A = a b c d uma matriz 2 2 ortogonal, isto é, tal que AAT = AT A = I. Tem-se AAT = I , a b c d a b c d T = I , a2 + b2 ac + bd ac + bd c2 + d2 = 1 0 0 1 , 187
  • 188.
    , 8 < : a2 + b2 = 1 ac+ bd = 0 c2 + d2 = 1 e AT A = I , a b c d T a b c d = I , a2 + c2 ab + cd ab + cd b2 + d2 = 1 0 0 1 , , 8 < : a2 + c2 = 1 ab + cd = 0 b2 + d2 = 1. Logo c = b. Se c = b tem-se b (a + d) = 0 , (b = 0 ou a = d). Se c = b tem-se b (a d) = 0 , (b = 0 ou a = d). Deste modo A = a b b a ou A = a b b a . Por outro lado, a2 + b2 = 1 , (a = cos e b = sen , para algum 2 R). Logo A = cos sen sen cos ou A = cos sen sen cos ; ( 2 R): 7. (i) A e B do tipo n n; (A + B)(A B) = A2 + BA AB B2 : (ii) A do tipo m n e B do tipo n m, (AB)2 = ABAB: (iii) A e B do tipo n n; (A + B)2 = A2 + BA + AB + B2 : 8. (i) Falsa: 1 0 2 0 0 0 3 4 = 0 mas A 6= 0 e B 6= 0. No caso de A ser invertível, a seguinte condição é verdadeira: AB = 0 ) (A = 0 ou B = 0) uma vez que AB = 0 , A é invertível B = 0. (ii) Falsa: 1 2 1 2 0 0 1 1 = 1 2 1 2 2 2 0 0 mas 0 0 1 1 6= 2 2 0 0 . No caso de A ser invertível, a seguinte condição é verdadeira: AB = AC ) B = C 188
  • 189.
    uma vez que AB= AC , A é invertível A 1 (AB) = A 1 (AC) , , A 1 A B = A 1 A C , IB = IC , B = C: 9. (i) BT AB é simétrica: (BT AB)T = BT AT (BT )T = BT AB; pois A = AT (A é simétrica) e (BT )T = B: (ii) Se A é normal (isto é AH A = AAH ) e B é unitária (isto é BH B = BBH = I) então BABH BABH H = BABH BH H AH BH = BA BH B AH BH = = BAAH BH = BAH ABH = BAH BH BABH = BABH H BABH ou seja, BABH é normal. (iii) Como BT B T = BT BT T = BT B e BBT T = BT T BT = BBT as matrizes BT B e BBT são simétricas. Além disso, como BH B H = BH BH H = BH B e BBH H = BH H BH = BBH BH B e BBH são matrizes hermitianas. 10. (i) Seja A = (aij) do tipo n n tal que AT = A: Assim, em relação às respectivas diagonais principais tem-se: aii = aii e logo aii = 0; para todo o i 2 N: (ii) Seja A = (aij) do tipo n n. A matriz A AT é anti-simétrica pois: (A AT )T = AT A = (A AT ): (iii) Escrevendo A = 1 2 (A + AT ) + 1 2 (A AT ), a matriz A pode ser decomposta pela soma de uma matriz simétrica com uma anti-simétrica. Esta decomposição é única: Sejam A1 simétrica e A2 anti-simétrica tais que A = A1 + A2: Logo, AT = (A1 + A2)T = A1 A2: 189
  • 190.
    Pelo que A+ AT = 2A1 e A AT = 2A2: Assim, A1 = 1 2 (A + AT ) e A2 = 1 2 (A AT ): 11. Seja X = a b c d uma matriz do tipo 2 2 tal que X2 = I. X2 = a b c d a b c d = a2 + bc ab + bd ac + cd bc + d2 Logo, X2 = I , 8 >>>>>>>>< >>>>>>>>: a2 + bc = 1 ab + bd = 0 ac + cd = 0 bc + d2 = 1. Se b = 0, então a = 1 e d = 1 e (c = 0 ou a = d). Logo, X = I ou X = I ou X = 1 0 c 1 . Se c = 0 então a = 1 e d = 1 e (b = 0 ou a = d). Logo, X = I ou X = I ou X = 1 b 0 1 . Se b 6= 0 e c 6= 0 então a = d e c = 1 a2 b . Logo, X = a b 1 a2 b a . Logo, todas as matrizes X que satisfazem X2 = I são: I; 1 0 c 1 ; 1 b 0 1 ; a b 1 a2 b a . Observe assim que a equação matricial X2 = I tem um número in…nito de soluções em contraste com a equação escalar x2 = 1 que tem apenas duas soluções (1 e 1). 12. Seja X = x11 x12 x21 x22 tal que XA = AX; 190
  • 191.
    para todo oA = a b c d 2 M2 2(R). Tem-se então: XA = AX , 8 >>>>>>>>< >>>>>>>>: x11a + x12c = ax11 + bx21 x21a + x22c = cx11 + dx21 x11b + x12d = ax12 + bx22 x21b + x22d = cx12 + dx22. , 8 >>>>< >>>>: x12c = bx21 x21(a d) = c(x22 x11) (x11 x22)b = (d a)x12. Se a = 1 e b = c = d = 0, então x21 = x12 = 0. Se b = 1 e a = c = d = 0, então x21 = 0 e x11 = x22. Se c = 1 e a = b = d = 0, então x12 = 0 e x11 = x22. Se d = 1 e a = b = c = 0, então x21 = x12 = 0. Logo, a matriz X tal que XA = AX; para todo o A 2 M2 2(R), é dada por: X = 0 0 , com 2 R. 13. Sendo A uma matriz do tipo m n, seja N (A) = fX : AX = 0g. (i) Sendo A e B matrizes de tipos apropriados, seja u 2 N (B). Logo Bu = 0, pelo que (AB) u = A (Bu) = A0 = 0 e assim u 2 N (AB). Deste modo, tem-se N (B) N (AB) . (ii) Atendendo à alínea anterior N (A) N AT A . Vejamos que N AT A N (A). Seja u 2 N AT A e Au = 2 6 4 v1 ... vn 3 7 5 2 Rn . Logo AT Au = AT A u = 0 e assim uT AT Au = 0 , (Au)T (Au) = 0 , nX i=1 (vi)2 = 0 , Au = 2 6 4 v1 ... vn 3 7 5 = 0 pelo que u 2 N (A). Logo N (A) = N AT A . 191
  • 192.
    (iii) Sejam Ae B matrizes do tipo m n com m < n tais que ABT é invertível. Como f0g 6= m<n N (A) N BT A então BT A não é invertível. Se alguma linha de B pertencesse a N (A) isso seria equivalente a alguma coluna de BT pertencer a N (A), ou seja, à matriz ABT ter alguma coluna nula, o que contradiria o facto de ABT ser invertível. (iv) Seja A 2 Mm n (R) tal que para todo o B 2 Rm o sistema AX = B é possível, então car A = m. Assim AAT (do tipo m m) é invertível e por (ii) N AT = N AAT = f0g . 14. Seja A = (aij)n n 2 Mn n(R) tal que Au = 0 para qualquer u 2 Mn 1(R). Para cada j 2 f1; :::; ng …xo, seja ej = ( ij)n 1 2 Mn 1(R) em que ij = 1 se i = j 0 se i 6= j. Como Aej = 0 para todo o j 2 f1; :::; ng e por outro lado Aej = 2 6 4 a1j ... anj 3 7 5 para todo o j 2 f1; :::; ng, então 2 6 4 a1j ... anj 3 7 5 = 2 6 4 0 ... 0 3 7 5 para todo o j 2 f1; :::; ng pelo que A = 0. 15. Sendo A; B 2 Mn 1 (R) A = 2 6 6 6 4 a1 a2 ... an 3 7 7 7 5 B = 2 6 6 6 4 b1 b2 ... bn 3 7 7 7 5 e assim ABT = 2 6 6 6 4 a1 a2 ... an 3 7 7 7 5 b1 b2 bn = 2 6 6 6 4 a1b1 a1b2 a1bn a2b1 a2b2 a2bn ... ... ... ... anb1 anb2 anbn 3 7 7 7 5 : 192
  • 193.
    Como A eB são matrizes não nulas, existe i 2 f1; :::; ng tal que ai 6= 0 e existe j 2 f1; :::; ng tal que bj 6= 0, tendo-se ABT = 2 6 6 6 6 6 4 a1b1 a1bj a1bn ... ... ... ... aib1 aibj aibn ... ... ... ... anb1 anbj anbn 3 7 7 7 7 7 5 . Aplicando sucessivamente a operação elementar ak ai Li + Lk ! Lk para todo o k = 1; :::; n com k 6= i, tem-se 2 6 6 6 6 6 6 6 6 6 4 0 0 0 ... ... ... ... ... 0 0 0 aib1 aibj aibn 0 0 0 ... ... ... ... ... 0 0 0 3 7 7 7 7 7 7 7 7 7 5 ! Li$L1 2 6 6 6 4 aib1 aibj aibn 0 0 0 ... ... ... ... ... 0 0 0 3 7 7 7 5 com aibj 6= 0, isto é, car(ABT ) = 1: 16. Seja A uma matriz do tipo m n tal que car A = m. Então existe uma matriz invertível R, m m, produto de matrizes elementares (por aplicação do método de eliminação de Gauss) tal que RA = I B onde I é a matriz identidade r r e B é uma matriz do tipo r (n r). Aplicando o método de eliminação de Gauss agora às colunas de RA, existe uma matriz invertível Q do tipo n n; (produto de matrizes elementares), tal que RAQ = I 0 onde 0 é a matriz nula. Sendo Q1 a matriz do tipo n m que se obtém de Q considerando apenas as primeiras m colunas, tem-se RAQ1 = I. Pelo que AQ1 é invertível tendo-se AQ1R = I. Logo existe B = Q1R do tipo n m tal que AB = I. 193
  • 194.
    17. Sejam Ae B matrizes do tipo n n. (i) Se A fôr invertível então AB = ABI = AB AA 1 = A (BA) A 1 isto é, existe S = A invertível tal que AB = S (BA) S 1 ou seja, AB e BA são semelhantes. Analogamente, se B fôr invertível então AB e BA são semelhantes. (ii) Sendo A e B semelhantes existe S invertível tal que A = SBS 1 , ou seja S 1 A = BS 1 . Então X 2 N (A) , AX = 0 , S 1 AX = 0 , BS 1 X = 0 , S 1 X 2 N (B) : 18. Seja A do tipo n n. (i) Se A fôr invertível tem-se A 1 A = AA 1 = I: Logo A 1 é invertível e (A 1 ) 1 = A: (ii) Se A fôr invertível tem-se A 1 A = AA 1 = I: Logo (A 1 A)T = (AA 1 )T = IT : Pelo que AT (A 1 )T = (A 1 )T AT = I: Isto é, AT é invertível e (AT ) 1 = (A 1 )T (iii) Se A fôr invertível e simétrica tem-se A 1 A = AA 1 = I e A = AT : Logo (A 1 A)T = (AA 1 )T = IT ; e assim AT (A 1 )T = (A 1 )T AT = I: Pelo que, como A é simétrica, tem-se A(A 1 )T = I: Logo, como A é invertível, tem-se (A 1 )T = A 1 : Isto é, A 1 é simétrica. 19. (i) Por exemplo I e I são invertíveis no entanto I + ( I) = 0 não é invertível. (ii) Como A e B são invertíveis por hipótese, tem-se as seguintes igualdades B 1 (A + B) = I + B 1 A e A 1 (A + B) = A 1 B + I, 194
  • 195.
    que são respectivamenteequivalentes a B 1 (A + B) = (A 1 + B 1 )A e A 1 (A + B) = (A 1 + B 1 )B. Como por hipótese A + B é invertível tem-se I = (A 1 + B 1 )A(A + B) 1 B e I = (A 1 + B 1 ) 1 B(A + B) 1 A. Analogamente e partindo de: (A + B)B 1 = I + AB 1 e (A + B)A 1 = AB 1 + I, obtém-se I = B(A + B) 1 A(A 1 + B 1 ) e I = A(A + B) 1 B(A 1 + B 1 ). Deste modo A 1 + B 1 é invertível e (A 1 + B 1 ) 1 = A(A + B) 1 B = B(A + B) 1 A. 20. Seja A 2 Mn n (R) tal que A2 = A (a matriz A diz-se neste caso idempotente). (i) Como (I A)2 = (I A) (I A) = I 2A + A2 = I 2A + A = I A então I A é idempotente. (ii) Como (2A I) (2A I) = 4A2 4A + I = 4A 4A + I = I então 2A I é invertível e (2A I) 1 = 2A I: (iii) Se car A = n então A é invertível pelo que A2 = A , A 1 (A2 ) = A 1 A , A = I. 21. 1 2 (I + A) 2 = 1 2 (I + A) , 1 4 I + A2 + A + A = 1 2 (I + A) , , 1 4 I + 1 4 A2 + 1 4 A + 1 4 A = 1 2 I + 1 2 A , A2 = I. 22. Sendo A = (aij)n n uma matriz invertível e B = (bij)n n a inversa da A, tem-se, para k 6= 0: ki j aij ki j bij = nX l=1 ki l ailkl j blj ! = ki j nX l=1 ailblj ! = I. 195
  • 196.
    Logo a matriz(ki j aij) é invertível e a sua inversa é a matriz (ki j bij). 23. Seja A = a b c d do tipo 2 2. Suponhamos que a 6= 0, c 6= 0 e ad bc 6= 0. Logo, tem-se: A = a b j 1 0 c d j 0 1 ! cL1!L1 aL2!L2 ac bc j c 0 ac ad j 0 a ! L1+L2!L2 ! ac bc j c 0 0 ad bc j c a ! bc ad bc L2+L1!L2 ! ac 0 j acd ad bc acb ad bc 0 ad bc j c a !1 ac L1!L1 1 ad bc L2!L2 1 0 j d ad bc b ad bc 0 1 j c ad bc a ad bc . Logo, A 1 = 1 ad bc d b c a . Se a = 0 e c = 0, então A não é invertível. Se a = 0 e c 6= 0, então b 6= 0, caso contrário A não seria invertível. Neste caso, com a = 0, c 6= 0, b 6= 0 e ad bc 6= 0 tem-se: A = 0 b j 1 0 c d j 0 1 ! L1 !L2 c d j 0 1 0 b j 1 0 !1 c L1!L1 1 b L2!L2 ! 1 d c j 0 1 c 0 1 j 1 b 0 ! d c L2+L1!L1 1 0 j d bc 1 c 0 1 j 1 b 0 = = 1 0 j d bc b bc 0 1 j c bc 0 = 1 0 j d ad bc b ad bc 0 1 j c ad bc a ad bc . Se a 6= 0 e c = 0 seria análogo. Logo, A é invertível se e só se ad bc 6= 0 e A 1 = 1 ad bc d b c a . Nota: O exo foi feito apenas com o recurso ao método de Gauss-Jordan. Poderia ter sido efectuada outra resolução atendendo à fórmula de inversão de matrizes: A 1 = 1 jAj (cof A)T . Observe que ad bc = jAj, com A = a b c d do tipo 2 2. 24. A matriz 2 6 6 6 4 k1 0 0 0 k2 ... ... ... ... ... 0 0 0 kn 3 7 7 7 5 196
  • 197.
    é invertível sesó se k1 6= 0; k2 6= 0; : : : ; kn 6= 0, e a sua inversa é dada por: 2 6 6 6 4 k1 0 0 0 k2 ... ... ... ... ... 0 0 0 kn 3 7 7 7 5 1 = 2 6 6 6 6 4 1 k1 0 0 0 1 k2 ... ... ... ... ... 0 0 0 1 kn 3 7 7 7 7 5 . 25. Sejam A = (aij); B = (bij) 2 Mn n (R) e um escalar. (i) tr(A + B) = tr ((aij) + (bij)) = tr(aij + bij) = a11 + b11 + ::: + ann + bnn = = a11 + ::: + ann + b11 + ::: + bnn = tr(A) + tr(B). (ii) tr( A) = tr( aij) = a11 + ::: + ann = (a11 + ::: + ann) = tr(A): (iii) tr(AT ) = tr 0 B @ 2 6 4 a11 an1 ... ... ... a1n ann 3 7 5 1 C A = a11 + ::: + ann = tr(A): (iv) tr(AB) = tr 0 B @ 2 6 4 a11 an1 ... ... ... a1n ann 3 7 5 2 6 4 b11 bn1 ... ... ... b1n bnn 3 7 5 1 C A = = tr 0 B @ 2 6 4 a11b11 + ::: + an1b1n a11bn1 + ::: + an1bnn ... ... ... a1nb11 + ::: + annb1n a1nbn1 + ::: + annbnn 3 7 5 1 C A = = a11b11 + ::: + an1b1n + ::: + a1nbn1 + ::: + annbnn = = b11a11 + ::: + b1nan1 + ::: + bn1a1n + ::: + bnnann = = b11a11 + ::: + bn1a1n + ::: + b1nan1 + ::: + bnnann = = tr 0 B @ 2 6 4 b11a11 + ::: + bn1a1n b11an1 + ::: + bn1ann ... ... ... b1na11 + ::: + bnna1n b1nan1 + ::: + bnnann 3 7 5 1 C A = tr(BA). 26. Seja A 2 Mn n (R). Não pode existir X 2 Mn n (R) tal que AX XA = I 197
  • 198.
    uma vez que tr(AX XA) = tr (AX) tr (XA) = tr (AX) tr (AX) = 0 6= 1 = tr I 27. Sejam A e B matrizes do tipo n n tais que A é simétrica e B é anti-simétrica. tr(AB) = tr (AB)T = tr BT AT = tr ( BA) = tr (BA) = tr(AB): tr(AB) = tr(AB) , tr(AB) = 0: 28. Seja A = (aij) 2 Mm n (R). Tem-se tr(AT A) = tr 0 B @ 2 6 4 a11 am1 ... ... ... a1n amn 3 7 5 2 6 4 a11 a1n ... ... ... am1 amn 3 7 5 1 C A = = tr 0 B @ 2 6 4 a2 11 + ::: + a2 m1 a11a1n + ::: + am1amn ... ... ... a1na11 + ::: + amnam1 a2 1n + ::: + a2 mn 3 7 5 1 C A = = a2 11 + ::: + a2 m1 + ::: + a2 1n + ::: + a2 mn. Logo tr(AT A) = 0 , A = 0: 29. Sejam u; v 2 Mn 1 (R) tais que uT v 6= 1. Seja A = I + uvT . Tem-se I 1 1 + uT v uvT I + uvT = I + uvT 1 1 + uT v uvT 1 1 + uT v uvT uvT = = I + 1 + uT v 1 + uT v uvT 1 1 + uT v uvT 1 1 + uT v u vT u vT = = I + 1 + uT v 1 + uT v uvT 1 1 + uT v uvT vT u 1 + uT v uvT = vT u=uT v = I + 1 + uT v 1 + uT v uvT 1 1 + uT v uvT uT v 1 + uT v uvT = = I + 1 + uT v 1 uT v 1 + uT v uvT = I. 198
  • 199.
    Logo A éinvertível e A 1 = I 1 1 + uT v uvT . Sendo u; v 2 Mn 1 (R) u = 2 6 6 6 4 u1 u2 ... un 3 7 7 7 5 v = 2 6 6 6 4 v1 v2 ... vn 3 7 7 7 5 tem-se uT v = u1 u2 un 2 6 6 6 4 v1 v2 ... vn 3 7 7 7 5 = [u1v1 + u2v2 + + un] e tr uvT = 2 6 6 6 4 tr 0 B B B @ 2 6 6 6 4 u1 u2 ... un 3 7 7 7 5 v1 v2 vn 1 C C C A 3 7 7 7 5 = = 2 6 6 6 4 tr 2 6 6 6 4 u1v1 u1v2 u1vn u2v1 u2v2 u2vn ... ... ... ... unv1 unv2 unvn 3 7 7 7 5 3 7 7 7 5 = [u1v1 + u2v2 + + un] . Logo uT v = tr uvT . 199
  • 200.
    Resolução da 2a Fichade exercícios para as aulas de problemas 1. (i) (312645) é par pois tem 4 inversões. (ii) (234516) é par pois tem 4 inversões. (iii) (654321) é ímpar pois tem 15 inversões. (iv) (123456) é par pois tem 0 inversões. (v) (546321) é ímpar pois tem 13 inversões. (vi) (453261) é par pois tem 10 inversões. (vii) (634125) é ímpar pois tem 9 inversões. (viii) (123465) é ímpar pois tem 1 inversão. 2. (i) (234516) é par pois tem 4 inversões e (312645) é par pois tem 4 inversões. Logo, tem-se +a23a31a42a56a14a65 uma vez que (234516) e (312645) têm a mesma paridade. (ii) (123456) é par pois tem 0 inversões e (654321) é ímpar pois tem 15 inversões. Logo, tem-se a16a25a34a43a52a61 uma vez que (123456) e (654321) têm paridades diferentes. (iii) (546321) é ímpar pois tem 13 inversões e (453261) é par pois tem 10 inversões. Logo, tem-se a54a45a63a32a26a11 uma vez que (546321) e (453261) têm paridades diferentes. (iv) (123465) é ímpar pois tem 1 inversão e (634125) é ímpar pois tem 9 inversões. Logo, tem-se +a16a23a34a41a62a55 uma vez que (123465) e (634125) têm a mesma paridade. 3. (i) (123) é par pois tem 0 inversões e (321) é ímpar pois tem 3 inversões. Atendendo à de…nição de determinante, tem-se 0 0 a13 0 a22 a23 a31 a32 a33 = a13a22a31 uma vez que (123) e (321) têm paridades diferentes. 200
  • 201.
    (ii) (1234) épar pois tem 0 inversões e (4321) é par pois tem 6 inversões. Atendendo à de…nição de determinante, tem-se 0 0 0 a14 0 0 a23 a24 0 a32 a33 a34 a41 a42 a43 a44 = a14a23a32a41 uma vez que (1234) e (4321) têm a mesma paridade. (iii) Ao efectuar n 1 + n 2 + ::: + 2 + 1 trocas de linhas: linha 1 com cada uma das n 1 linhas que lhe estão abaixo, nova linha 1 com cada uma das n 2 linhas que lhe estão abaixo (excluindo a nova linha n) e assim sucessivamente, tem-se det 2 6 6 4 0 0 a1n 0 an 1 2 an 1 n an1 ann 3 7 7 5 = ( 1)nn 1 2 det 2 6 6 4 an1 ann 0 an 1 2 an 1 n 0 0 a1n 3 7 7 5 = ( 1)nn 1 2 a1n:::an 1 2an1 atendendo a que n 1 + n 2 + ::: + 2 + 1 = (n 1) n 1 + 1 2 = n n 1 2 . 4. Uma matriz é não singular se e só se é invertível e como tal, será singular se e só se fôr não invertível. (i) 1 2 3 4 = 4 6 = 2 6= 0, logo a matriz é invertível. (ii) 18563 18573 21472 21482 = 18563 10 21472 10 = 18563 10 2909 0 = 29090 6= 0, logo a matriz é invertível. (iii) 1 + p 2 2 p 3 2 + p 3 1 p 2 = 1 2 (4 3) = 2 6= 0, logo a matriz é invertível. (iv) cos sen sen cos = cos2 ( sen2 ) = 1 6= 0, logo a matriz é invertível. (v) 2 0 1 5 3 0 5 1 2 = 12 + 5 ( 15) = 8 6= 0, logo a matriz é invertível. (vi) 2 3 2 5 1 3 2 1 1 = 2+18+10 4 15 ( 6) = 13 6= 0, logo a matriz é invertível. 201
  • 202.
    (vii) 2 1 1 51 3 2 3 2 = 2 3 2 5 1 3 2 1 1 = por (vi) 13 6= 0, logo a matriz é invertível. (viii) 8 12 8 5 1 3 2 1 1 = 4 2 3 2 5 1 3 2 1 1 = por (vi) 52 6= 0, logo a matriz é invertível. (ix) 1 2 3 4 5 6 7 8 9 = 1 2 3 2 1 0 4 2 0 = 1 2 3 2 1 0 0 0 0 = 0, logo a matriz não é invertível. (x) 0 1 0 0 1 0 1 0 0 1 0 1 0 0 1 0 = 0 1 0 0 1 0 0 0 0 0 0 1 0 0 1 0 = 1 0 0 0 0 1 0 0 0 0 1 0 0 0 0 1 = 1 6= 0, logo a matriz é invertível. (xi) 2 2 8 6 0 1 2 0 0 0 3 23 0 0 0 5 = 30 6= 0, logo a matriz é invertível. (xii) 1 3 1 1 1 2 1 1 2 1 1 1 2 0 2 0 = 1 3 1 1 0 1 2 2 2 1 1 1 2 0 2 0 = 2( 1)4+1 3 1 1 1 2 2 1 1 1 +( 2)( 1)4+3 1 3 1 0 1 2 2 1 1 = = 2 [ 6 + 1 + ( 2) ( 1) ( 2) 6] + 2 [1 + 12 2 2] = 20 + 18 = 38 6= 0, logo a matriz é invertível. (xiii) 0 0 0 5 0 0 3 23 0 1 2 0 2 2 8 6 = 2 2 8 6 0 1 2 0 0 0 3 23 0 0 0 5 = por (xi) 30 6= 0, logo a matriz é invertível. (xiv) 12 22 32 42 22 32 42 52 32 42 52 62 42 52 62 72 = 12 22 32 42 3 5 7 9 5 7 9 11 7 9 11 13 = 12 22 32 42 3 5 7 9 2 2 2 2 2 2 2 2 = 12 22 32 42 3 5 7 9 2 2 2 2 0 0 0 0 = = 0, logo a matriz não é invertível. 202
  • 203.
    (xv) 0 4 00 0 0 0 0 2 0 0 0 0 0 1 0 0 3 0 0 5 0 0 0 0 = 5( 1)5+1 4 0 0 0 0 0 2 0 0 0 0 1 0 3 0 0 = 5 2 44( 1)1+1 0 2 0 0 0 1 3 0 0 3 5 = 120 6= 0, logo a matriz é invertível. (xvi) a 0 0 0 b b a 0 0 0 0 b a 0 0 0 0 b a 0 0 0 0 b a = a5 + b5 6= 0 se e só se a 6= b, logo a matriz é invertível se e só se a 6= b. (xvii) 7 4 0 5 1 2 0 2 2 1 3 8 2 2 0 4 = 3 ( 1)6 7 4 5 1 2 2 2 2 4 = 3 1 2 2 2 2 4 7 4 5 = 3 1 2 2 0 6 8 0 18 19 = = 3 (6 ( 19 + 3 8)) = 3 (6 ( 19 + 3 8)) = 3 30 = 90 6= 0, logo a matriz é invertível. (xviii) 9 0 6 4 2 5 3 0 1 2 8 0 4 1 1 6 0 3 1 3 7 0 5 2 3 = 3 ( 1)4 9 6 4 2 8 4 1 1 6 3 1 3 7 5 2 3 = 3 2 6 4 9 1 4 1 8 3 3 1 6 3 5 2 7 = 3 1 4 1 8 2 6 4 9 3 3 1 6 3 5 2 7 = 3 1 4 1 8 0 2 6 25 0 9 4 30 0 7 1 17 = 3 2 6 25 7 2 5 7 1 17 = 3 2 6 25 7 2 5 0 3 12 = 3 2 0 1 7 2 5 0 3 12 = 3 2 0 1 7 2 13 0 3 0 = 3 (21 78) = 171 6= 0, logo a matriz é invertível. (xix) 7 4 1 3 6 0 0 0 2 0 0 0 5 8 1 0 0 3 0 5 3 7 9 p 3 = 2 ( 1)6 7 4 1 6 0 0 5 1 0 0 3 0 5 3 7 p 3 = = 2 ( 1)6 ( 3)6 7 4 6 0 0 1 5 3 p 3 = 6 ( 1)5 7 4 5 3 = 6 6= 0, logo a matriz é invertível. 203
  • 204.
    (xx) 2 1 00 7 3 0 2 3 1 1 3 9 0 0 = ( 1)6 2 1 0 7 3 2 3 9 0 = 2 ( 1)5 2 1 3 9 = 30 6= 0, logo a matriz é invertível. (xxi) n n 1 ... 2 1 n 1 n 1 ... 2 1 ... ... ... 2 2 2 1 1 1 1 1 = 1 1 1 1 1 2 2 2 ... ... ... 1 2 n 1 n 1 1 2 n 1 n = = 1 1 1 1 0 1 1 1 ... ... ... 0 1 n 2 n 2 0 1 n 2 n 1 = = 1 1 1 0 1 ... ... ... ... ... 1 0 0 1 = 1 6= 0, logo a matriz é invertível. 5. (i) Seja A = 2 6 6 6 6 4 0 a 0 0 0 e 0 b 0 0 0 f 0 c 0 0 0 g 0 d 0 0 0 h 0 3 7 7 7 7 5 , com a; b; c; d; e; f; g; h 2 R. Se a = 0 ou h = 0 então det A = 0, isto é, A não é invertível. Se a 6= 0 e h 6= 0 então det A = 0 a 0 0 0 e 0 b 0 0 0 f 0 c 0 0 0 g 0 d 0 0 0 h 0 = 0 a 0 0 0 e 0 b 0 0 0 0 0 0 0 0 0 g 0 d 0 0 0 h 0 = 0, isto é, A não é invertível. Logo, A não é invertível para quaisquer a; b; c; d; e; f; g; h 2 R. Em alternativa, pelo teorema de Laplace det A = ( 1)5 f 0 0 0 0 e b 0 0 0 g 0 d 0 0 h 0 + ( 1)7 c 0 a 0 0 e 0 b 0 0 0 g d 0 0 0 0 = 0. (ii) Diga, para que valores de a; b; c; d; e; f; g; h; i; j 2 R, é invertível a seguinte matriz det 2 6 6 6 6 6 6 4 0 a 0 0 0 0 f 0 b 0 0 0 0 g 0 c 0 0 0 0 h 0 d 0 0 0 0 i 0 e 0 0 0 0 j 0 3 7 7 7 7 7 7 5 = a ( 1)3 det 2 6 6 6 6 4 f b 0 0 0 0 0 c 0 0 0 h 0 d 0 0 0 i 0 e 0 0 0 j 0 3 7 7 7 7 5 = 204
  • 205.
    = ac (1)5 det 2 6 6 4 f b 0 0 0 h d 0 0 0 0 e 0 0 j 0 3 7 7 5 = ace ( 1)7 det 2 4 f b 0 0 h d 0 0 j 3 5 = acefhj, pelo que a matriz será invertível se e só se a; c; e; f; h; j 2 Rn f0g. 6. Determinemos todos os valores do escalar para os quais a matriz A I não é invertível, isto é, todos os valores próprios de A. (i) det (A I) = 3 2 1 = (1 + ) 6 = 2 + 6. Logo, det (A I) = 0 , ( = 2 ou = 3). (ii) det (A I) = 1 0 2 0 1 2 2 2 = 1 2 + 4 (1 + ) 4 (1 ) = = 1 2 + 8 . Logo, det (A I) = 0 , ( = 0 ou = 3 ou = 3). (iii) det (A I) = det 2 4 1 1 1 1 1 1 1 1 1 3 5 = det 2 4 1 1 1 0 0 3 5 = = det 2 4 2 1 1 0 0 0 3 5 = det 2 4 3 1 1 0 0 0 0 3 5 = ( 1)3 ( 3) 2 . Logo, det (A I) = 0 , ( = 0 ou = 3). (iv) det (A I) = det 2 6 6 6 4 1 1 1 1 ... ... ... ... ... 1 1 1 1 3 7 7 7 5 n n = det 2 6 6 6 6 6 4 n 1 1 1 0 0 0 ... ... ... ... ... 0 0 0 3 7 7 7 7 7 5 = ( 1)n ( n) n 1 . Logo, det (A I) = 0 , ( = 0 ou = n). 7. 0 1 , 2 2 1 4 1 2 , 1 0 . 205
  • 206.
    8. a) A= 2 6 6 4 1 0 1 1 0 0 0 1 1 1 0 3 7 7 5 ! L1+L2!L2 L1+L4!L4 2 6 6 4 1 0 1 0 2 1 0 0 1 1 0 0 0 1 3 7 7 5. Logo car A = 8 < : 2 se = 1 3 se = 1 4 se 6= 1 e 6= 1. A é 4 4. Logo A é invertível se e só se car A = 4. Assim, A é invertível se e só se 2 Rn f 1; 1g. b) det (A0)n + (A0)n+2 = det (A0)n I + (A0)2 = = (det A0)n | {z } =1 det I + (A0)2 = det 2 6 6 4 3 0 0 1 0 2 0 0 1 0 2 1 1 0 0 2 3 7 7 5 = 20: c) (A ) 1 (3;1) = 1 det A (cof A )(1;3) = 1 (1 )2 (1 + ) ( 1)1+3 1 0 0 0 1 1 = = 1 2 (1 )2 (1 + ) = 1 1 : 9. (i) A 1 = 1 det A (cof A)T = 1 2 4 3 2 1 T = 2 1 3=2 1=2 (ii) A 1 = 1 det A (cof A)T = 1 1 2 4 1 0 0 1 1 0 0 1 1 3 5 T = 2 4 1 1 0 0 1 1 0 0 1 3 5 (iii) A 1 = 1 det A (cof A)T = 1 6 2 4 18 0 6 24 0 6 4 1 1 3 5 T = 2 4 3 4 2=3 0 0 1=6 1 1 1=6 3 5 10. (i) Tem-se det A = 3 2 0 2 1 0 0 3 0 9 2 0 3 1 0 2 = ( 2) ( 1)3+3 3 2 2 1 0 3 3 1 2 = ( 2) (2 + 18 ( 4) 9) = 30. 206
  • 207.
    Logo, A 1 (2;2) = 1 det A (cofA)T (2;2) = 1 det A (cof A)(2;2) = 1 30 ( 1)2+2 3 0 2 0 2 0 3 0 2 = 4 5 . det B = 1 0 0 2 4 0 1 0 0 1 0 3 0 1 2 2 = 1 0 0 2 0 0 1 8 0 1 0 3 0 0 2 1 = ( 1)( 1)1+1 0 1 8 1 0 3 0 2 1 = 17. Logo, B 1 (2;3) = 1 det B (cof B)T (2;3) = 1 det B (cof B)(3;2) = 1 17 ( 1)3+2 1 0 2 4 1 0 0 2 2 = 14 17 . (ii) det (A + B) = det 2 6 6 4 4 2 0 4 3 0 1 3 0 10 2 3 3 2 2 4 3 7 7 5 = 134 6= 47 = 30 17 = det A + det B det (A B) = det 2 6 6 4 2 2 0 0 5 0 1 3 0 8 2 3 3 0 2 0 3 7 7 5 = 138 6= 13 = 30 + 17 = det A det B 11. (i) x = 1 3 3 7 2 3 5 7 = 2 1 = 2 e y = 2 1 5 3 2 3 5 7 = 1 1 = 1 (ii) x = 1 1 0 1 0 1 1 2 2 1 1 0 2 0 1 1 2 2 = 5 5 = 1; y = 1 1 0 2 1 1 1 1 2 1 1 0 2 0 1 1 2 2 = 0 e z = 1 1 1 2 0 1 1 2 1 1 1 0 2 0 1 1 2 2 = 5 5 = 1 12. det C = 1 0 1 2 3 2 0 1 2 = 6 6= 0, logo C é invertível. det D = 9 8 1 7 3 0 2 0 0 = 6 6= 0, logo D é invertível. 207
  • 208.
    (i) det (2C1 ) = 23 1 det C = 4 3 (ii) det C3 (2C) 1 = (det C)3 1 23 1 det C = (det C)2 1 8 = 9 2 (iii) det CT 2C 1 = det C 1 1 2 (C 1 ) T = 1 23 det (C 1 ) det (C 1 ) = 1 23 1 det C 2 = 1 288 (iv) det CT 1 2 C 2 = 1 23 det CT det (C 2 ) = 1 23 det C 1 (det C)2 = 1 23 1 det C = 1 48 (v) det (C2 + 2D) = det 0 @ 2 4 1 1 1 8 11 4 2 1 6 3 5 + 2 2 4 9 8 1 7 3 0 2 0 0 3 5 1 A = = det 2 4 19 15 3 6 5 4 2 1 6 3 5 = 62 (vi) det 2CT 2 3 D3 1 DT 1 C 1 = ( 2)3 det CT 1 det 2 3 D3 1 det (DT ) 1 C = = 8 (det C) 3 2 3 1 (det D)3 det D det C = 8 1 (det D)2 27 8 = 27 36 = 3 4 . 13. det(2AT B 3 ) = 23 det AT det(B 3 ) = 8 det A 1 (det B)3 = 64 p 3. 14. a b 0 c d e 0 f g h 0 i x y 1 z = 5 , a b c d e f g h i = 5 (i) d e f g h i a b c = 5 (ii) a b c 2d 2e 2f g h i = 10 (iii) a + d b + e c + f d e f g h i = 5 208
  • 209.
    (iv) 2i 2h 2g f3c e 3b d 3a c b a = 10 (v) a g d b h e c i f = 5 15. (i) a b c 6 3 0 1 2 1 1 2 = 3 2 (ii) a b c 2a + 2 2b + 1 2c a + 1 b + 2 c + 1 = 1 (iii) a 1 b 2 c 1 3 3 1 1 2 1 = 1 (iv) 1 1 1 2 1 0 3a + 1 3b + 2 3c + 1 = 1 1 1 2 1 0 3a + 1 3b + 2 3c + 1 = = 1 2 1 2 1 0 3a + 1 3b + 2 3c + 1 = 1 2 1 2 1 0 3a 3b 3c = 3 a b c 2 1 0 1 2 1 = 3 16. 1 2 + 2 2 = . 17. 1 1 1 1 1 + 1 2 2 2 2 + 1 + 2 3 3 3 + 1 + 2 + 3 4 4 + 1 + 2 + 3 + 4 5 + 1 + 2 + 3 + 4 + 5 = 1 1 1 1 1 0 1 1 1 1 0 0 1 1 1 0 0 0 1 1 0 0 0 0 1 0 0 0 0 0 = 6 . 18. : : : 1 + 1 1 : : : 1 ... 1 + 1 ... ... 1 ... 1 ... ... ... + 1 1 1 1 1 : : : 1 + 1 = 0 0 : : : 0 1 0 : : : 0 ... 0 ... ... 0 ... 0 ... ... ... 0 1 0 0 : : : 0 = n . 209
  • 210.
    19. Sejam 6=0 e A = (aij)n n. det i j aij = a11 1 a12 1 2 a13 : : : 1 n 2 a1 n 1 1 n 1 a1n a21 a22 1 a23 : : : 1 n 3 a2 n 1 1 n 2 a2n ... a32 a33 ... ... a43 ... 1 an 2 n 1 ... ... ... an 1 n 1 1 an 1 n n 1 an1 n 2 an2 n 3 an3 : : : an n 1 ann = = 1 ::: 1 n 2 1 n 1 n 1 a11 n 2 a12 n 3 a13 : : : a1 n 1 a1n n 1 a21 n 2 a22 n 3 a23 : : : a2 n 1 a2n ... n 2 a32 n 3 a33 ... ... n 3 a43 ... an 2 n 1 ... ... ... an 1 n 1 an 1 n n 1 an1 n 2 an2 n 3 an3 : : : an n 1 ann = = 1 ::: 1 n 2 1 n 1 n 1 n 2 ::: a11 a12 a13 : : : a1 n 1 a1n a21 a22 a23 : : : a2 n 1 a2n ... a32 a33 ... ... a43 ... an 2 n 1 ... ... ... an 1 n 1 an 1 n an1 an2 an3 : : : an n 1 ann = det A. 20. Seja A = 2 4 1 a a2 1 b b2 1 c c2 3 5 , com a; b; c 2 R. A matriz A é invertível se e só se det A 6= 0. Tem-se det A = 1 a a2 1 b b2 1 c c2 = 1 a a2 0 b a b2 a2 0 c a c2 a2 = 0 se a = b ou a = c. Se a 6= b e a 6= c então det A = 1 a a2 1 b b2 1 c c2 = 1 a a2 0 b a b2 a2 0 c a c2 a2 = 1 a a2 0 b a b2 a2 0 0 c2 a2 (c a)(b + a) = = 1 a a2 0 b a b2 a2 0 0 (c a) [(c + a) (b + a)] = 1 a a2 0 b a b2 a2 0 0 (c a) (c b) = 0 se b = c. 210
  • 211.
    Logo, a matrizA é invertível se e só se a 6= b; a 6= c e b 6= c. 21. (i) 1 1 1 x1 y1 y1 x2 x2 y2 = 1 0 0 x1 y1 x1 y1 x1 x2 0 y2 x2 = (y1 x1) ( 1)2+2 det 1 0 x2 y2 x2 = (y1 x1) (y2 x2) . (ii) det 2 6 6 4 (x1)3 (x1)2 x1 1 (x2)3 (x2)2 x2 1 (x3)3 (x3)2 x3 1 (x4)3 (x4)2 x4 1 3 7 7 5 = det 2 6 6 4 1 x1 (x1)2 (x1)3 1 x2 (x2)2 (x2)3 1 x3 (x3)2 (x3)3 1 x4 (x4)2 (x4)3 3 7 7 5 = = det 2 6 6 4 1 x1 (x1)2 (x1)3 (x1)3 0 x2 x1 (x2)2 (x1)2 (x2)3 (x1)3 0 x3 x1 (x3)2 (x1)2 (x3)3 (x1)3 0 x4 x1 (x4)2 (x1)2 (x4)3 (x1)3 3 7 7 5 = = (x4 x1) (x3 x1) (x2 x1) det 2 6 6 4 1 x1 (x1)2 (x1)3 (x1)3 0 1 x2 + x1 x2 1 + x1x2 + x2 2 0 1 x3 + x1 x2 1 + x1x3 + x2 3 0 1 x4 + x1 x2 1 + x1x4 + x2 4 3 7 7 5 = = (x4 x1) (x3 x1) (x2 x1) det 2 6 6 4 1 x1 (x1)2 (x1)3 (x1)3 0 1 x2 + x1 x2 1 + x1x2 + x2 2 0 0 x3 x2 x1 (x3 x2) + x2 3 x2 2 0 0 x4 x2 x1 (x4 x2) + x2 4 x2 2 3 7 7 5 = = (x4 x1) (x3 x1) (x2 x1) (x3 x2) (x4 x2) det 2 6 6 4 1 x1 (x1)2 (x1)3 (x1)3 0 1 x2 + x1 x2 1 + x1x2 + x2 2 0 0 1 x1 + x3 + x2 0 0 1 x1 + x4 + x2 3 7 7 5 = = (x4 x1) (x3 x1) (x2 x1) (x3 x2) (x4 x2) det 2 6 6 4 1 x1 (x1)2 (x1)3 (x1)3 0 1 x2 + x1 x2 1 + x1x2 + x2 2 0 0 1 x1 + x3 + x2 0 0 0 x4 x3 3 7 7 5 = = (x4 x1) (x3 x1) (x2 x1) (x3 x2) (x4 x2) (x4 x3) = = (x1 x2) (x1 x3) (x1 x4) (x2 x3) (x2 x4) (x3 x4) 22. (i) b + c c + a b + a a b c 1 1 1 = a + b + c a + b + c a + b + c a b c 1 1 1 = 0 0 0 a b c 1 1 1 = 0 211
  • 212.
    (ii) a1 + b1a1 b1 c1 a2 + b2 a2 b2 c2 a3 + b3 a3 b3 c3 = 2a1 a1 b1 c1 2a2 a2 b2 c2 2a3 a3 b3 c3 = 2a1 b1 c1 2a2 b2 c2 2a3 b3 c3 = 2 a1 b1 c1 a2 b2 c2 a3 b3 c3 (iii) a1 b1 a1 + b1 + c1 a2 b2 a2 + b2 + c2 a3 b3 a3 + b3 + c3 = a1 b1 c1 a2 b2 c2 a3 b3 c3 23. a1 + b1 c1 + d1 a2 + b2 c2 + d2 = (a1 + b1) (c2 + d2) (a2 + b2) (c1 + d1) = = a1c2 a2c1 + a1d2 b2c1 + b1c2 a2d1 + b1d2 b2d1 = = a1 c1 a2 c2 + a1 c1 b2 d2 + b1 d1 a2 c2 + b1 d1 b2 d2 : 24. 0 0 2 2 1 1 0 0 5 = 0 0 2 2 1 1 0 0 0 = 0 e 4 2 2 2 1 1 0 0 5 = 0 0 0 2 1 1 0 0 5 = 0 25. O coe…ciente de x3 na expressão 2x x 1 2 1 x 1 1 3 2 x 1 1 1 1 x é 1, uma vez que as permutações correspondentes ao produto x 1 x x| {z } =x3 são (1234) | {z } par (a das linhas) e (2134) | {z } ímpar (a das colunas): 26. (i) 1 x 1 0 1 1 1 0 2 = 0 , 1 x 0 0 1 1 1 0 1 = 0 , 1 + x = 0 , x = 1 (ii) x x x x x 4 x x x x 4 x x x x 4 = 0 , x x x x 0 4 x 0 0 0 0 4 x 0 0 0 0 4 x = 0 , x (4 x)3 = 0 , (x = 0 ou x = 4) (iii) x 1 1 1 1 x 1 1 1 1 x 1 1 1 1 x = 0 , x 1 1 1 0 x 1 0 1 x 0 0 x 1 1 x 1 1 1 x = 0 , 212
  • 213.
    , x 1 x1 x 1 x 0 x 1 0 1 x 0 0 x 1 1 x 1 0 0 x 1 = 0 , 0 1 x 1 x 1 x2 0 x 1 0 1 x 0 0 x 1 1 x 1 0 0 x 1 = 0 , , 0 0 0 3 2x x2 0 x 1 0 1 x 0 0 x 1 1 x 1 0 0 0 = 0 , 0 0 0 3 2x x2 0 x 1 0 0 0 0 x 1 0 1 0 0 0 = 0 , , 1 0 0 0 0 x 1 0 0 0 0 x 1 0 0 0 0 3 2x x2 = 0 , (x 1)2 (3 2x x2 ) = 0 , (x = 1 ou x = 3) 27. 5 3 3 7 1 5 8 7 1 = 5 53 3 7 71 5 8 87 1 = 5 53 533 7 71 715 8 87 871 . Como 533; 715 e 871 são múltiplos de 13 então a 3a coluna é também múltipla de 13. Logo 5 3 3 7 1 5 8 7 1 é múltiplo de 13. 28. 2 1 8 1 0 10 3 7 4 = 2 1 8 + ( 3) 1 1 0 10 + ( 3) 0 3 7 4 + ( 3) ( 7) = 2 1 5 1 0 10 3 7 25 . Como a 3a coluna é múltipla de 5, logo 2 1 5 1 0 10 3 7 25 é múltiplo de 5. 29. Seja A = (aij)n n com n ímpar e tal que aij + aji = 0, para todos os i; j = 1; :::; n: Mostre que A não é invertível. Dem. (aij + aji = 0, para todos os i; j = 1; :::; n), AT = A. Logo det A = det AT = det ( A) = ( 1)n det A = n é ímpar det A , det A = 0: Pelo que A não é invertível. 30. Se A (real) fôr ortogonal então det A = 1 ou det A = 1: Dem. Sendo A ortogonal, tem-se AT A = AAT = I 213
  • 214.
    pelo que (det A)2 =det A det A = det AT det A = det AT A = det I = 1 , , (det A = 1 ou det A = 1) . Sendo A unitária, tem-se AH A = AAH = I pelo que jdet Aj2 = det A det A = det AH det A = det AH A = det I = 1 , , jdet Aj = 1. 214
  • 215.
    Resolução da 3a Fichade exercícios para as aulas de problemas 1. (i) Seja U = f(x; y) 2 R2 : x 0g. Por exemplo: (1; 1) 2 U, mas ( 1)(1; 1) = ( 1; 1) =2 U. Logo, U não é subespaço de R2 . (ii) Seja U = f(x; y) 2 R2 : xy = 0g. Por exemplo: (1; 0); (0; 1) 2 U, mas (1; 0) + (0; 1) = (1; 1) =2 U. Logo, U não é subespaço de R2 . (iii) Seja U = f(x; y) 2 R2 : y = x2 g. Por exemplo: (1; 1) 2 U, mas 2(1; 1) = (2; 2) =2 U. Logo, U não é subespaço de R2 . 2. Atendendo às respectivas dimensões, os seguintes subespaços de R2 , com as operações usuais, são todos os subespaços de R2 . (i) f(0; 0)g é subespaço de R2 . (ii) Seja Vk = f(x; kx) : x 2 Rg com k 2 R (…xo). Vk 6= ? pois (0; 0) 2 Vk. Sejam (x1; kx1); (x2; kx2) 2 Vk e 2 R. Tem-se (x1; kx1) + (x2; kx2) = (x1 + x2; k (x1 + x2)) 2 Vk e, com (x; kx) 2 Vk, (x; kx) = ( x; k ( x)) 2 Vk. Logo, para todo o k 2 R, Vk é subespaço de R2 . Em alternativa, uma vez que Vk = L (f(1; k)g) , para todo o k 2 R, conclui-se que Vk é subespaço de R2 (para todo o k 2 R). (iii) Seja U = f(0; a) : a 2 Rg. U 6= ? pois (0; 0) 2 U. Sejam (0; a1) ; (0; a2) 2 U e 2 R. Tem-se (0; a1) + (0; a2) = (0; a1 + a2) 2 U e, com (0; a) 2 U, (0; a) = (0; a) 2 U. Logo, U é subespaço de R2 . Em alternativa, uma vez que U = L (f(0; 1)g) , conclui-se que U é subespaço de R2 . 215
  • 216.
    (iv) R2 é subespaçode R2 . 3. Uk é subespaço de R3 se e só se k = 0. 4. (i) Seja U = f(x; y; z) 2 R3 : z = 2g. Ora (0; 0; 0) =2 U. Logo, U não é subespaço de R3 . (ii) Seja U = f(x; y; z) 2 R3 : x + y z = 0g. Tem-se U = f(x; y; x + y) : x; y 2 Rg . Uma vez que (x; y; x + y) = (x; 0; x) + (0; y; y) = x(1; 0; 1) + y(0; 1; 1), para quaisquer x; y 2 R, tem-se: U = L (f(1; 0; 1); (0; 1; 1)g) . Logo, U é subespaço de R3 . Alternativamente, note que U = N (A) é subespaço de R3 , com A = 1 1 1 : (iii) Seja U = f(x; y; z) 2 R3 : x > 0g. Ora (0; 0; 0) =2 U. Logo, U não é subespaço de R3 . (iv) Seja U = f(0; 0; z) : z 2 Rg. Uma vez que (0; 0; z) = z(0; 0; 1), para qualquer z 2 R, tem-se: U = L (f(0; 0; 1)g) . Logo, U é subespaço de R3 . (v) Seja U = f(x; y; z) 2 R3 : y = 2x e z = 3xg. Tem-se U = f(x; 2x; 3x) : x 2 Rg. Uma vez que (x; 2x; 3x) = x(1; 2; 3), para qualquer x 2 R, tem-se: U = L (f(1; 2; 3)g) . Logo, U é subespaço de R3 . Alternativamente, note que U = N (A) é subespaço de R3 , com A = 2 1 0 3 0 1 : (vi) Seja U = f(x; y; z) 2 R3 : x + y = 1g. Ora (0; 0; 0) =2 U. Logo, U não é subespaço de R3 . (vii) Seja U = f(x; y; z) 2 R3 : x + y + z = 0 e x y z = 0g. Tem-se U = f(0; y; y) : y 2 Rg . Uma vez que (0; y; y) = y(0; 1; 1), para qualquer y 2 R, tem-se: U = L (f(0; 1; 1)g) . 216
  • 217.
    Logo, U ésubespaço de R3 . Alternativamente, note que U = N (A) é subespaço de R3 , com A = 1 1 1 1 1 1 : (viii) Seja U = f(x; y; z) 2 R3 : x = y ou y = zg. Tem-se: U = (x; y; z) 2 R3 : x = y [ (x; y; z) 2 R3 : y = z Por exemplo: (1; 1; 2); (1; 2; 2) 2 U, mas (1; 1; 2) + (1; 2; 2) = (2; 3; 4) =2 U. Logo, U não é subespaço de R3 . (ix) Seja U = f(x; y; z) 2 R3 : x y = 0 e 2y + z = 0g. Tem-se U = f(x; x; 2x) : x 2 Rg . Uma vez que (x; x; 2x) = x(1; 1; 2), para qualquer x 2 R, tem-se: U = L (f(1; 1; 2)g) . Logo, U é subespaço de R3 . Alternativamente, note que U = N (A) é subespaço de R3 , com A = 1 1 0 0 2 1 : (x) Seja U = f(x; y; z) 2 R3 : xy = 0g. Por exemplo: (1; 0; 1); (0; 1; 0) 2 U, mas (1; 0; 1) + (0; 1; 0) = (1; 1; 1) =2 U. Logo, U não é subespaço de R3 . O conjunto de todos os polinómios reais de grau igual a n: U = fa0 + a1t + + antn 2 Pn : a0; a1; :::; an 2 R e an 6= 0g , com as operações usuais, não é um espaço linear. Por exemplo: o polinómio nulo p(t) = 0 =2 U. 5. Seja P2 o espaço linear de todos os polinómios reais de variável real e de grau menor ou igual a 2, com as operações usuais: (i) Seja U = fa0 + a1t + a2t2 2 P2 : a0 = 0g. Tem-se U = a1t + a2t2 : a1; a2 2 R = L t; t2 . Logo, U é subespaço de P2. (ii) Seja U = fa0 + a1t + a2t2 2 P2 : a2 = 2a0 e a1 = 0g. Tem-se U = a0 + 2a0t2 : a0 2 R . 217
  • 218.
    Uma vez que a0+ 2a0t2 = a0(1 + 2t2 ), para qualquer a0 2 R, tem-se: U = L 1 + 2t2 . Logo, U é subespaço de P2. (iii) Seja U = fa0 + a1t + a2t2 2 P2 : a1 = 1g. Por exemplo: o polinómio nulo p(t) = 0 =2 U. Logo, U não é subespaço de P2. (iv) Seja U = fa0 + a1t + a2t2 2 P2 : a2 a1 = 2g. Por exemplo: o polinómio nulo p(t) = 0 =2 U. Logo, U não é subespaço de P2. (v) Seja U = fa0 + a1t + a2t2 2 P2 : a2 a1 + 2a0 = 0g. Tem-se U = a0 + a1t + (a1 2a0) t2 : a0; a1 2 R . Uma vez que a0 + a1t + (a1 2a0) t2 = a0(1 2t2 ) + a1(t + t2 ), para quaisquer a0; a1 2 R, tem-se: U = L 1 2t2 ; t + t2 . Logo, U é subespaço de P2. 6. Seja M2 3(R) o espaço linear de todas as matrizes do tipo 2 3 com entradas reais. (i) Seja U = a b c d 0 0 2 M2 3(R) : b = a + c . Tem-se U = a a + c c d 0 0 : a; c; d 2 R . Uma vez que a a + c c d 0 0 = a 1 1 0 0 0 0 + c 0 1 1 0 0 0 + d 0 0 0 1 0 0 , para quaisquer a; c; d 2 R, tem-se: U = L 1 1 0 0 0 0 ; 0 1 1 0 0 0 ; 0 0 0 1 0 0 . Logo, U é subespaço de M2 3(R). (ii) Seja U = a b c d 0 f 2 M2 3(R) : b < 0 . Por exemplo: a matriz nula 0 0 0 0 0 0 =2 U. 218
  • 219.
    Logo, U nãoé subespaço de M2 3(R). (iii) Seja U = a b c d e f 2 M2 3(R) : a = 2c e f = 2e + d . Tem-se U = 2c b c d e 2e + d : b; c; d; e 2 R . Uma vez que 2c b c d e 2e + d = b 0 1 0 0 0 0 + c 2 0 1 0 0 0 + d 0 0 0 1 0 1 + e 0 0 0 0 1 2 , para quaisquer b; c; d; e 2 R, tem-se: U = L 0 1 0 0 0 0 ; 2 0 1 0 0 0 ; 0 0 0 1 0 1 ; 0 0 0 0 1 2 . Logo, U é subespaço de M2 3(R). : 7. (i) Seja A = 1 1 0 0 . Tem-se C(A) = L (f(1; 0)g) e L(A) = L (f(1; 1)g). Seja u = (x; y) 2 R2 . Atendendo a que 1 1 0 0 x y = 0 , x y = 0, o núcleo de A é dado por: N(A) = u 2 R2 : Au = 0 = (x; y) 2 R2 : x y = 0 = = f(x; x) : x 2 Rg = fx(1; 1) : x 2 Rg = L (f(1; 1)g) . (ii) Seja A = 1 2 3 0 0 0 . Tem-se C(A) = L (f(1; 0)g) e L(A) = L (f(1; 2; 3)g). Seja u = (x; y; z) 2 R3 . Atendendo a que 1 2 3 0 0 0 2 4 x y z 3 5 = 0 , x + 2y + 3z = 0, o núcleo de A é dado por: N(A) = u 2 R3 : Au = 0 = (x; y; z) 2 R3 : x + 2y + 3z = 0 = = f( 2y 3z; y; z) : y; z 2 Rg = fy( 2; 1; 0) + z( 3; 0; 1) : y; z 2 Rg = L (f( 2; 1; 0); ( 3; 0; 1)g) . 219
  • 220.
    (iii) Seja A= 0 0 0 0 0 0 . Tem-se C(A) = f(0; 0)g e L(A) = f(0; 0; 0)g. O núcleo de A é dado por: N(A) = R3 . (iv) Seja A = 2 4 2 1 1 0 0 1 0 0 0 3 5. Tem-se C(A) = L (f(2; 0; 0); (1; 1; 0)g) e L(A) = L (f(2; 1; 1); (0; 0; 1)g) : Seja u = (x; y; z) 2 R3 . Atendendo a que 2 4 2 1 1 0 0 1 0 0 0 3 5 2 4 x y z 3 5 = 0 , 8 < : 2x + y + z = 0 z = 0 o núcleo de A é dado por: N(A) = u 2 R3 : Au = 0 = (x; y; z) 2 R3 : 2x + y + z = 0 e z = 0 = = f(x; 2x; 0) : x 2 Rg = fx(1; 2; 0) : x 2 Rg = L (f(1; 2; 0)g) . (v) Seja A = 2 4 1 0 2 3 2 1 3 5. Tem-se C(A) = L (f(1; 2; 2); (0; 3; 1)g) e L(A) = L (f(1; 0); (2; 3)g) , pois (2; 1) = 4 3 (1; 0) + 1 3 (2; 3). Seja u = (x; y) 2 R2 . Atendendo a que 2 4 1 0 2 3 2 1 3 5 x y = 0 , 8 >>>>< >>>>: x = 0 2x + 3y = 0 2x + y = 0 o núcleo de A é dado por: N(A) = u 2 R2 : Au = 0 = (x; y) 2 R2 : x = 0 e 2x + 3y = 0 e 2x + y = 0 = f(0; 0)g . (vi) Seja A = 2 4 1 2 2 4 2 4 3 5. Tem-se C(A) = L (f(1; 2; 2)g) e L(A) = L (f(1; 2)g) . 220
  • 221.
    Seja u =(x; y) 2 R2 . Atendendo a que 2 4 1 2 2 4 2 4 3 5 x y = 0 , 8 < : x + 2y = 0 2x + 4y = 0 o núcleo de A é dado por: N(A) = u 2 R2 : Au = 0 = (x; y) 2 R2 : x + 2y = 0 = = f( 2y; y) : y 2 Rg = fy( 2; 1) : y 2 Rg = L (f( 2; 1)g) . (vii) Seja A = 2 4 0 0 0 0 0 0 3 5. Tem-se C(A) = f(0; 0; 0)g e L(A) = f(0; 0)g . O núcleo de A é dado por: N(A) = R2 . (viii) Seja A = 2 4 1 0 1 2 3 0 2 1 0 3 5. Tem-se C(A) = L (f(1; 2; 2); (0; 3; 1); (1; 0; 0)g) e L(A) = L (f(1; 0; 1); (2; 3; 0); (2; 1; 0)g) . Seja u = (x; y; z) 2 R3 . Atendendo a que 2 4 1 0 1 2 3 0 2 1 0 3 5 2 4 x y z 3 5 = 0 , 2 4 1 0 1 0 1 2 0 0 4 3 5 2 4 x y z 3 5 = 0 , 8 >>>>< >>>>: x + z = 0 y 2z = 0 4z = 0 o núcleo de A é dado por: N(A) = u 2 R3 : Au = 0 = f(0; 0; 0)g . Observação: Como N(A) = f(0; 0; 0)g e sendo A quadrada 3 3, tem-se L(A) = C(A) = R3 . 8. Seja U = 8 < : 2 4 a 0 b c 0 d 3 5 2 M3 2(R) : a; b; c; d 2 R 9 = ; . Uma vez que 2 4 a 0 b c 0 d 3 5 = a 2 4 1 0 0 0 0 0 3 5 + b 2 4 0 0 1 0 0 0 3 5 + c 2 4 0 0 0 1 0 0 3 5 + d 2 4 0 0 0 0 0 1 3 5 , 221
  • 222.
    com a; b;c; d 2 R, tem-se U = L 0 @ 8 < : 2 4 1 0 0 0 0 0 3 5 ; 2 4 0 0 1 0 0 0 3 5 ; 2 4 0 0 0 1 0 0 3 5 ; 2 4 0 0 0 0 0 1 3 5 9 = ; 1 A . 9. Considere, no espaço linear R3 , os vectores v1 = (1; 2; 1), v2 = (1; 0; 2) e v3 = (1; 1; 0). Tem-se (i) (3; 3; 0) = 0(1; 2; 1) + 0(1; 0; 2) + 3(1; 1; 0) (ii) (2; 1; 5) = 1(1; 2; 1) + 2(1; 0; 2) + ( 1)(1; 1; 0) (iii) ( 1; 2; 0) = 2(1; 2; 1) + ( 1)(1; 0; 2) + ( 2)(1; 1; 0) (iv) (1; 1; 1) = 1 3 (1; 2; 1) + 1 3 (1; 0; 2) + 1 3 (1; 1; 0). 10. Considere, no espaço linear R4 , os vectores v1 = (1; 0; 0; 1), v2 = (1; 1; 0; 0) e v3 = (0; 1; 2; 1). Tem-se 2 6 6 4 1 1 0 j 1 j 2 j 1 j 0 0 1 1 j 4 j 0 j 1 j 1 0 0 2 j 2 j 2 j 2 j 1 1 0 1 j 2 j 2 j 2 j 0 3 7 7 5 ! L1+L4!L4 2 6 6 4 1 1 0 j 1 j 2 j 1 j 0 0 1 1 j 4 j 0 j 1 j 1 0 0 2 j 2 j 2 j 2 j 1 0 1 1 j 3 j 0 j 1 j 0 3 7 7 5 ! L2+L4!L4 ! L2+L4!L4 2 6 6 4 1 1 0 j 1 j 2 j 1 j 0 0 1 1 j 4 j 0 j 1 j 1 0 0 2 j 2 j 2 j 2 j 1 0 0 0 j 1 j 0 j 0 j 1 3 7 7 5 : (*) Logo, (2; 0; 2; 2); (1; 1; 2; 2) 2 L (fv1; v2; v3g), com (2; 0; 2; 2) = (1; 0; 0; 1) + (1; 1; 0; 0) + (0; 1; 2; 1) (1; 1; 2; 2) = 3(1; 0; 0; 1) + ( 2)(1; 1; 0; 0) + ( 1)(0; 1; 2; 1). Atendendo a (*), ( 1; 4; 2; 2); (0; 1; 1; 0) =2 L (fv1; v2; v3g). 11. Tem-se 2 4 3 2 j 1 0 1 j 2 2 5 j k 3 5 !2 3 L1+L3!L3 2 4 3 2 j 1 0 1 j 2 0 11=3 j k + 2=3 3 5 !11 3 L2+L3!L3 2 4 3 2 j 1 0 1 j 2 0 0 j k + 8 3 5 : Logo, 8 é o único valor de k para o qual o vector u = (1; 2; k) 2 R3 é combinação linear dos vectores v = (3; 0; 2) e w = (2; 1; 5): 222
  • 223.
    12. Considere, noespaço linear P2, os vectores p1(t) = 2 + t + 2t2 , p2(t) = 2t + t2 , p3(t) = 2 5t + 5t2 e p4(t) = 2 3t t2 . O vector q(t) = 2 + t + t2 pertence à expansão linear L (fp1(t); p2(t); p3(t); p4(t)g)? Podem os vectores p1(t), p2(t), p3(t) e p4(t) gerar P2? Tem-se 2 4 2 0 2 2 j 2 1 2 5 3 j 1 2 1 5 1 j 1 3 5 !1 2 L1+L2!L2 L1+L3!L3 2 4 2 0 2 2 j 2 0 2 6 2 j 0 0 1 3 1 j 1 3 5 !1 2 L2+L3!L3 ! 2 4 2 0 2 2 j 2 0 2 6 2 j 0 0 0 0 0 j 1 3 5 . (**) Atendendo a (**), q(t) = 2 + t + t2 =2 L (fp1(t); p2(t); p3(t); p4(t)g). Logo, fp1(t); p2(t); p3(t); p4(t)g não pode gerar P2: 13. (i) Seja U = f(1; 0; 0); (0; 1; 0); (0; 0; 1)g. Seja (x; y; z) 2 R3 . Tem-se (x; y; z) = x(1; 0; 0) + y(0; 1; 0) + z(0; 0; 1). Logo, U gera R3 . (ii) Seja U = f(1; 1; 1); (0; 1; 1); (0; 0; 1)g. Seja (x; y; z) 2 R3 . Tem-se (x; y; z) = x(1; 1; 1) + (y x) (0; 1; 1) + (z y) (0; 0; 1). Logo, U gera R3 . (iii) Seja U = f(1; 1; 1) ; ( 1; 1; 1); (1; 1; 1); ( 1; 1; 1)g. Seja (x; y; z) 2 R3 . Deter- minemos os valores dos escalares 1; 2; 3; 4 para os quais se tem 2 4 x y z 3 5 = 1 2 4 1 1 1 3 5 + 2 2 4 1 1 1 3 5 + 3 2 4 1 1 1 3 5 + 4 2 4 1 1 1 3 5 . Ora a última igualdade é equivalente a 2 4 x y z 3 5 = 2 4 1 1 1 1 1 1 1 1 1 1 1 1 3 5 2 6 6 4 1 2 3 4 3 7 7 5 . 2 4 1 1 1 1 j x 1 1 1 1 j y 1 1 1 1 j z 3 5 ! L1+L2!L2 L1+L3!L3 2 4 1 1 1 1 j x 0 2 2 0 j y x 0 0 2 2 j z x 3 5 . 223
  • 224.
    Logo 8 >>>>>>>>< >>>>>>>>: 1 =1 2 x + 1 2 y + s 2 = 1 2 y 1 2 z + s 3 = 1 2 x 1 2 z + s 4 = s, s 2 R e assim 2 4 x y z 3 5 = 1 2 x + 1 2 y + s 2 4 1 1 1 3 5+ 1 2 y 1 2 z + s 2 4 1 1 1 3 5+ 1 2 x 1 2 z + s 2 4 1 1 1 3 5+s 2 4 1 1 1 3 5 , com s 2 R. Logo, U gera R3 . 14. 3 1 1 1 = 1A+ 2B+ 3C = 1 1 + 2 3 1 + 2 2 3 , 8 >>< >>: 1 = 3 1 + 2 3 = 1 1 + 2 = 1 2 3 = 1 , 8 < : 1 = 3 2 = 2 3 = 1. Logo 3 1 1 1 = 3 1 1 1 0 2 0 0 1 1 0 2 0 1 . Seja U = L 1 1 1 0 ; 0 0 1 1 ; 0 2 0 1 . Existe D 2 M2 2 (R) tal que D =2 U uma vez que U M2 2 (R) e dim U| {z } 3 < dim M2 2 (R) | {z } =4 . Seja a b c d 2 U. Tem-se a b c d 2 U se e só se existirem escalares ; ; 2 R tais que a b c d = A + B + C. a b c d = A + B + C , a b c d = 1 1 + 2 3 1 + 2 2 3 , 8 >>< >>: 1 = a 1 + 2 3 = b 1 + 2 = c 2 3 = d 2 6 6 4 1 0 0 j a 1 0 2 j b 1 1 0 j c 0 1 1 j d 3 7 7 5 ! L1+L2!L2 L1+L3!L3 2 6 6 4 1 0 0 j a 0 0 2 j b a 0 1 0 j c a 0 1 1 j d 3 7 7 5 ! L3+L4!L4 1 2 L2+L4!L4 224
  • 225.
    ! L3+L4!L4 1 2 L2+L4!L4 2 6 6 4 1 0 0j a 0 0 2 j b a 0 1 0 j c a 0 0 0 j d + 1 2 (b + a) c 3 7 7 5 ! L2$L3 2 6 6 4 1 0 0 j a 0 1 0 j c a 0 0 2 j b a 0 0 0 j d + 1 2 (b + a) c. 3 7 7 5 Logo, para que o sistema linear anterior seja possível é necessário que se tenha d + 1 2 (b + a) c = 0. Deste modo podemos escrever U = a b c d 2 M2 2 (R) : d + 1 2 (b + a) c = 0 e assim, sendo V = a b c d 2 M2 2 (R) : d + 1 2 (b + a) c 6= 0 , tem-se M2 2 (R) = U V . Ou seja, qualquer vector de V que não seja o vector nulo, esse vector não pertence a U. Por exemplo 1 1 1 1 =2 U = L 1 1 1 0 ; 0 0 1 1 ; 0 2 0 1 . 15. Sejam u = (2; 1; 0); v = (1; 1; 2) e w = (0; 3; 4): O vector (a; b; c) de R3 pertencerá a L (fu; v; wg) se existirem ; ; 2 R tais que (a; b; c) = (2; 1; 0) + (1; 1; 2) + (0; 3; 4), isto é, se o seguinte sistema (nas variáveis , e ) fôr possível e determinado: 8 < : 2 + = a + 3 = b 2 4 = c. Considerando então a matriz aumentada deste sistema, tem-se: 2 4 2 1 0 j a 1 1 3 j b 0 2 4 j c 3 5 !1 2 L1+L2!L2 2 4 2 1 0 j a 0 3=2 3 j b a=2 0 2 4 j c 3 5 !4 3 L2+L3!L3 !4 3 L2+L3!L3 2 4 2 1 0 j a 0 3=2 3 j b a 2 0 0 0 j c + 4 3 b 2 3 a 3 5 . Assim, o vector (a; b; c) de R3 pertencerá a L (fu; v; wg) se: c + 4 3 b 2 3 a = 0. 225
  • 226.
    Observação: Deste modo,tem-se L (fu; v; wg) 6= R3 . De facto, uma vez que v = 1 2 u 1 2 w tem-se L (fu; v; wg) = L (fu; wg) e como tal fu; v; wg não pode gerar R3 . 16. Sejam A = 1 1 5 2 3 13 e B = 2 4 1 1 1 4 3 1 3 1 3 3 5 : Tem-se A = 1 1 5 2 3 13 ! 2L1+L2!L2 1 1 5 0 1 3 = A0 e B = 2 4 1 1 1 4 3 1 3 1 3 3 5 ! 4L1+L2!L2 3L1+L3!L3 2 4 1 1 1 0 1 3 0 2 6 3 5 ! 2L2+L3!L3 2 4 1 1 1 0 1 3 0 0 0 3 5 = B0 . Atendendo ao método de eliminação de Gauss: L(A) = L(A0 ) e L(B) = L(B0 ). Além disso, uma vez que (1; 1; 1) = (1; 1; 5) 2(0; 1; 3), tem-se L(A) = L(A0 ) = L(B0 ) = L(B). Finalmente, como se tem sempre C(AT ) = L(A) e L(B) = C(BT ), conclui-se que C(AT ) = C(BT ). 17. (i) Seja U = f(x; y; z; w) 2 R4 : x = 0 e y = zg. Tem-se U = f(0; z; z; w) : z; w 2 Rg . Atendendo a que (0; z; z; w) = z(0; 1; 1; 0) + w(0; 0; 0; 1), tem-se U = L (f(0; 1; 1; 0); (0; 0; 0; 1)g) . (ii) Seja U = f(x; y; z; w) 2 R4 : x + y + z + w = 0g. Tem-se U = f( y z w; y; z; w) : y; z; w 2 Rg . 226
  • 227.
    Atendendo a que (y z w; y; z; w) = y( 1; 1; 0; 0) + z( 1; 0; 1; 0) + w( 1; 0; 0; 1), tem-se U = L (f( 1; 1; 0; 0); ( 1; 0; 1; 0); ( 1; 0; 0; 1)g) . (iii) Seja U = f(x; y; z; w) 2 R4 : x + 2y z = 0 e x + y + 2w = 0 e y z + w = 0g. Observe-se que U = N(A), com A = 2 4 1 2 1 0 1 1 0 2 0 1 1 1 3 5 . Tem-se A = 2 4 1 2 1 0 1 1 0 2 0 1 1 1 3 5 ! L1+L2!L2 2 4 1 2 1 0 0 1 1 2 0 1 1 1 3 5 ! L2+L3!L3 2 4 1 2 1 0 0 1 1 2 0 0 0 3 3 5 = A0 . Logo, U = N(A) = N(A0 ). Assim, U = (x; y; z; w) 2 R4 : x + 2y z = 0 e y + z + 2w = 0 e 3w = 0 = = f( z; z; z; 0) : z 2 Rg = fz( 1; 1; 1; 0) : z 2 Rg = L (f( 1; 1; 1; 0)g) . 18. (i) Seja U = L (f1 t2 ; 1 + tg) um subespaço de P2. Seja p (t) 2 U, com p (t) = a0 + a1t + a2t2 . Então, existirão ; 2 R tais que p (t) = a0 + a1t + a2t2 = 1 t2 + (1 + t) . Tem-se então a matriz aumentada 2 4 1 1 j a0 0 1 j a1 1 0 j a2 3 5 ! L1+L3 !L3 2 4 1 1 j a0 0 1 j a1 0 1 j a0 + a2 3 5 ! L2+L3 !L3 2 4 1 1 j a0 0 1 j a1 0 0 j a0 + a2 a1 3 5 . Logo, para que o sistema linear anterior seja possível é preciso que a0 + a2 a1 = 0. Assim, U = p (t) = a0 + a1t + a2t2 2 P2 : a0 + a2 a1 = 0 . (ii) Seja U = L (f(1; 0; 1); (0; 1; 0); ( 2; 1; 2)g). Seja (x; y; z) 2 U. Então, existirão ; ; 2 R tais que (x; y; z) = (1; 0; 1) + (0; 1; 0) + ( 2; 1; 2). Tem-se então a matriz aumentada 2 4 1 0 2 j x 0 1 1 j y 1 0 2 j z 3 5 ! L1+L3 !L3 2 4 1 0 2 j x 0 1 1 j y 0 0 0 j z x 3 5 . 227
  • 228.
    Assim, U = (x;y; z) 2 R3 : z x = 0 . Observação extra: U = L (f(1; 0; 1); (0; 1; 0); ( 2; 1; 2)g) = L (f(1; 0; 1); (0; 1; 0)g), uma vez que ( 2; 1; 2) = ( 2)(1; 0; 1) + (0; 1; 0). (iii) Seja V = L (f(0; 1; 0); ( 2; 1; 2)g). Seja (x; y; z) 2 V . Então, existirão ; 2 R tais que (x; y; z) = (0; 1; 0) + ( 2; 1; 2). Tem-se então a matriz aumentada 2 4 0 2 j x 1 1 j y 0 2 j z 3 5 ! L1 !L2 2 4 1 1 j y 0 2 j x 0 2 j z 3 5 ! L2+L3 !L3 2 4 1 1 j y 0 2 j x 0 0 j z x 3 5 . Assim, V = (x; y; z) 2 R3 : z x = 0 . Observação extra: V = L (f(0; 1; 0); ( 2; 1; 2)g) = L (f(1; 0; 1); (0; 1; 0)g), uma vez que ( 2; 1; 2) = ( 2)(1; 0; 1) + (0; 1; 0) e (1; 0; 1) = 1 2 ( 2; 1; 2) + 1 2 (0; 1; 0). (iv) Seja W = L (f(1; 1; 2); (2; 1; 1)g). Seja (x; y; z) 2 V . Então, existirão ; 2 R tais que (x; y; z) = (1; 1; 2) + (2; 1; 1). Tem-se então a matriz aumentada 2 4 1 2 j x 1 1 j y 2 1 j z 3 5 ! L1+L2!L2 2L1+L3!L3 2 4 1 2 j x 0 1 j y x 0 3 j z 2x 3 5 ! 3L2+L3!L3 2 4 1 2 j x 0 1 j y x 0 0 j z 3y + x 3 5 . Assim, W = (x; y; z) 2 R3 : x 3y + z = 0 . Observação extra: W = L (f(3; 1; 0); ( 1; 0; 1)g) = L (f(1; 1; 2); (2; 1; 1)g), uma vez que (3; 1; 0) = 2(2; 1; 1) + ( 1)(1; 1; 2), ( 1; 0; 1) = (1; 1; 2) + ( 1)(2; 1; 1) e (1; 1; 2) = (3; 1; 0) + 2( 1; 0; 1), (2; 1; 1) = (3; 1; 0) + ( 1; 0; 1). (v) Seja U = L (f(1; 0; 1; 1)g). Seja (x; y; z; w) 2 U. Então, existirá 2 R tal que (x; y; z; w) = (1; 0; 1; 1). 228
  • 229.
    Tem-se então amatriz aumentada 2 6 6 4 1 j x 0 j y 1 j z 1 j w 3 7 7 5 ! L1+L3 !L3 L1+L4 !L4 2 6 6 4 1 j x 0 j y 0 j x + z 0 j w x 3 7 7 5 . Assim, U = (x; y; z; w) 2 R4 : y = 0 e x + z = 0 e w x = 0 . (vi) Seja U = L (f(1; 2; 5; 3); (2; 4; 6; 2); (3; 6; 11; 1); (0; 0; 1; 2)g). Como (3; 6; 11; 1) = (1; 2; 5; 3)+(2; 4; 6; 2) e (0; 0; 1; 2) = 1 2 (1; 2; 5; 3) 1 4 (2; 4; 6; 2) então U = L (f(1; 2; 5; 3); (2; 4; 6; 2)g) . Seja (x; y; z; w) 2 U. Então, existirão ; 2 R tais que (x; y; z; w) = (1; 2; 5; 3) + (2; 4; 6; 2). Tem-se então a matriz aumentada 2 6 6 4 1 2 j x 2 4 j y 5 6 j z 3 2 j w 3 7 7 5 ! 2L1+L2 !L2 5L1+L3 !L3 3L1+L4 !L4 2 6 6 4 1 2 j x 0 0 j 2x + y 0 4 j 5x + z 0 8 j 3x + w 3 7 7 5 ! 2L3+L4 !L4 . ! 2L3+L4 !L4 2 6 6 4 1 2 j x 0 0 j 2x + y 0 4 j 5x + z 0 0 j 7x + 2z + w 3 7 7 5 ! L2$L3 2 6 6 4 1 2 j x 0 4 j 5x + z 0 0 j 2x + y 0 0 j 7x + 2z + w 3 7 7 5 : Assim, U = (x; y; z; w) 2 R4 : 2x + y = 0 e 7x + 2z + w = 0 . 19. Podemos colocar os vectores do conjunto f( 1; 1; 3); ( 2; 2; 9)g como colunas de uma matriz A e de seguida aplicar a essa matriz o método de eliminação de Gauss. Se 1 6= 0, tem-se A = 2 4 1 2 1 2 3 9 3 5 ! 1 1 L1+L2!L2 3 1 L1+L3!L3 2 6 6 6 6 6 6 6 4 1 2 0 1 1 2 + 2 0 3 1 2 + 9 3 7 7 7 7 7 7 7 5 = A0 . As colunas da matriz A correspondentes às colunas da matriz em escada A0 que contêm os pivots, formam um conjunto de vectores linearmente independente. Logo, o conjunto 229
  • 230.
    f( 1; 1;3); ( 2; 2; 9)g é linearmente independente se 1 6= 0 e 2 6= 1 1 2 ou 2 1 6= 3 . Se 1 = 0, tem-se 2 4 0 2 1 2 3 9 3 5 ! L1$L3 2 4 3 9 1 2 0 2 3 5 ! 1 3 L1+L2!L2 2 4 3 9 0 3 1 + 2 0 2 3 5 . Logo, o conjunto f( 1; 1; 3); ( 2; 2; 9)g é linearmente independente se 1 = 0 e ( 2 6= 3 1 ou 2 6= 0). Assim, o conjunto f( 1; 1; 3); ( 2; 2; 9)g é linearmente independente se e só se 1 6= 0 e 2 6= 1 1 2 ou 2 1 6= 3 ou ( 1 = 0 e ( 2 6= 3 1 ou 2 6= 0)) . 20. (i) Podemos colocar os vectores do conjunto f(4; 2; 1); (2; 6; 5); (1; 2; 3)g como colunas de uma matriz A e de seguida aplicar a essa matriz o método de eliminação de Gauss: A = 2 4 4 2 1 2 6 2 1 5 3 3 5 ! L1$L3 2 4 1 5 3 2 6 2 4 2 1 3 5 ! 2L1+L2!L2 4L1+L3!L3 ! 2 4 1 5 3 0 16 8 0 22 11 3 5 !1 8 L2!L2 1 11 L3!L3 2 4 1 5 3 0 2 1 0 2 1 3 5 ! L2+L3!L3 2 4 1 5 3 0 2 1 0 0 0 3 5 = A0 . As colunas da matriz A correspondentes às colunas da matriz em escada A0 que contêm os pivots, formam um conjunto de vectores linearmente independente. Logo, o conjunto f(4; 2; 1); (2; 6; 5); (1; 2; 3)g é linearmente dependente, mas o conjunto f(4; 2; 1); (2; 6; 5)g é linearmente independente. Procuremos então ; 2 R tais que (1; 2; 3) = (4; 2; 1) + (2; 6; 5). Atendendo ao que já se fez e considerando a 3a coluna como o termo independente do sistema, tem-se 8 >>>>< >>>>: 4 + 2 = 1 2 + 6 = 2 5 = 3 , 8 < : 5 = 3 2 = 1 , 8 < : = 1 2 = 1 2 . Pelo que (1; 2; 3) = 1 2 (4; 2; 1) 1 2 (2; 6; 5). (ii) Podemos colocar os vectores do conjunto f(1; 2; 1); (3; 2; 5)g 230
  • 231.
    como colunas deuma matriz e de seguida aplicar a essa matriz o método de eliminação de Gauss. A = 2 4 1 3 2 2 1 5 3 5 ! 2L1+L2!L2 L1+L3!L3 2 4 1 3 0 4 0 8 3 5 ! 2L2+L3!L3 2 4 1 3 0 4 0 0 3 5 = A0 As colunas da matriz A correspondentes às colunas da matriz em escada A0 que contêm os pivots, formam um conjunto de vectores linearmente independente. Logo, o conjunto f(1; 2; 1); (3; 2; 5)g é linearmente independente. (iii) Podemos colocar os vectores do conjunto f(1; 2; 3); (1; 1; 1); (1; 0; 1)g como colunas de uma matriz A e de seguida aplicar a essa matriz o método de eliminação de Gauss. A = 2 4 1 1 1 2 1 0 3 1 1 3 5 ! 2L1+L2!L2 3L1+L3!L3 2 4 1 1 1 0 1 2 0 2 2 3 5 ! 2L2+L3!L3 2 4 1 1 1 0 1 2 0 0 2 3 5 = A0 . As colunas da matriz A correspondentes às colunas da matriz em escada A0 que contêm os pivots, formam um conjunto de vectores linearmente independente. Logo, o conjunto f(1; 2; 3); (1; 1; 1); (1; 0; 1)g é linearmente independente. Observação extra: encontrámos três vectores de R3 linearmente independentes. Como a dimensão de R3 é 3, então o conjunto f(1; 2; 3); (1; 1; 1); (1; 0; 1)g é desde logo uma base de R3 , sem ser preciso veri…car se gera R3 . (iv) O conjunto f(1; 0; 1); (0; 0; 0); (0; 1; 1)g contém o vector nulo, logo é linearmente de- pendente. Facilmente se vê que f(1; 0; 1); (0; 1; 1)g é linearmente independente. Facilmente também se vê que (0; 0; 0) = 0(1; 0; 1) + 0(0; 1; 1). (v) Como a dimensão de R3 é 3, então qualquer conjunto de vectores de R3 com mais do que três vectores é linearmente dependente. O conjunto f(1; 1; 0); (0; 2; 3); (1; 2; 3); (x; y; z)g é formado por quatro vectores de R3 , logo é linearmente dependente para quaisquer x; y; z 2 R. Resolução alternativa para veri…car a dependência linear: Podemos colocar os vectores do conjunto f(1; 1; 0); (0; 2; 3); (1; 2; 3); (x; y; z)g como colunas de uma matriz A e de seguida aplicar a essa matriz o método de eliminação de Gauss. A = 2 4 1 0 1 x 1 2 2 y 0 3 3 z 3 5 ! L1+L2!L2 2 4 1 0 1 x 0 2 1 y x 0 3 3 z 3 5 !3 2 L2+L3!L3 !3 2 L2+L3!L3 2 4 1 0 1 x 0 2 1 y x 0 0 3 2 z 3 2 (y x) 3 5 = A0 . 231
  • 232.
    As colunas damatriz A correspondentes às colunas da matriz em escada A0 que contêm os pivots, formam um conjunto de vectores linearmente independente. Logo, o conjunto f(1; 1; 0); (0; 2; 3); (1; 2; 3); (x; y; z)g é linearmente dependente para quaisquer x; y; z 2 R, mas o conjunto f(1; 1; 0); (0; 2; 3); (1; 2; 3)g é linearmente independente. Observação extra: encontrámos três vectores de R3 linearmente independentes. Como a dimensão de R3 é 3, então o conjunto f(1; 1; 0); (0; 2; 3); (1; 2; 3)g é desde logo uma base de R3 , sem ser preciso veri…car se gera R3 . Procuremos então ; ; 2 R tais que (x; y; z) = (1; 1; 0) + (0; 2; 3) + (1; 2; 3). Atendendo ao que já se fez e considerando a 4a coluna como o termo independente do sistema, tem-se 8 >>>>< >>>>: + = x + 2 + = y 3 + 3 = z , 8 >>>>< >>>>: + = x 2 + = y x 3 2 = z 3 2 (y x) , 8 >>>>< >>>>: = x 2 3 z + y = (y x) 1 3 z = 2 3 z y + x. Pelo que (x; y; z) = x 2 3 z + y (1; 1; 0) + (y x) 1 3 z (0; 2; 3) + 2 3 z y + x (1; 2; 3). 21. Podemos colocar os vectores do conjunto f(a2 ; 0; 1); (0; a; 2); (1; 0; 1)g como colunas de uma A matriz e de seguida aplicar a essa matriz o método de eliminação de Gauss. A = 2 4 a2 0 1 0 a 0 1 2 1 3 5 ! L1$L3 2 4 1 2 1 0 a 0 a2 0 1 3 5 ! a2L1+L3!L3 ! a2L1+L3!L3 2 4 1 2 1 0 a 0 0 2a2 1 a2 3 5 ! 2aL2+L3!L3 2 4 1 2 1 0 a 0 0 0 1 a2 3 5 = A0 . As colunas da matriz A correspondentes às colunas da matriz em escada A0 que contêm os pivots, formam um conjunto de vectores linearmente independente. Logo, o conjunto Sa = (a2 ; 0; 1); (0; a; 2); (1; 0; 1) é linearmente independente se e só se a =2 f 1; 0; 1g. Logo, uma vez que dim R3 = 3 e Sa tem 3 vectores, Sa será uma base de R3 se e só se a =2 f 1; 0; 1g. 232
  • 233.
    22. Sejam U= L (f(1; 1; 0; 0); (0; 1; 1; 0)g) e Vk = L (f(2; k; 1; 0); (0; 0; 0; 1)g) subespaços de R4 : Determine os valores de k para os quais dim (U Vk) = 1. Coloquemos os vectores geradores de U e de V como colunas da matriz: 2 6 6 4 1 0 2 0 1 1 k 0 0 1 1 0 0 0 0 1 3 7 7 5 ! L2$L3 2 6 6 4 1 0 2 0 0 1 1 0 1 1 k 0 0 0 0 1 3 7 7 5 ! L1+L3!L3 ! L1+L3!L3 2 6 6 4 1 0 2 0 0 1 1 0 0 1 k 2 0 0 0 0 1 3 7 7 5 ! L2+L3!L3 2 6 6 4 1 0 2 0 0 1 1 0 0 0 k 3 0 0 0 0 1 3 7 7 5 . Note que U + Vk = L (U [ Vk). Como dim (U Vk) = dim U + dim Vk dim (U + Vk) = 2 + 2 dim (U + Vk) = 4 dim (U + Vk) e dim (U + Vk) = 3 se k = 3 4 se k 6= 3 então dim (U Vk) = 1 se e só se k = 3. 23. (i) Seja (x; y; z) 2 R3 . Podemos colocar os vectores do conjunto f(1; 0; 2); (0; 1; 2); (x; y; z)g como colunas de uma matriz A e de seguida aplicar a essa matriz o método de eliminação de Gauss. A = 2 4 1 0 x 0 1 y 2 2 z 3 5 ! 2L1+L3!L3 2 4 1 0 x 0 1 y 0 2 z 2x 3 5 ! 2L2+L3!L3 2 4 1 0 x 0 1 y 0 0 z 2x 2y 3 5 = A0 . As colunas da matriz A correspondentes às colunas da matriz em escada A0 que contêm os pivots, formam um conjunto de vectores linearmente independente. Qualquer conjunto f(1; 0; 2); (0; 1; 2); (x; y; z)g em que z 2x 2y 6= 0 constitui uma base de R3 . (ii) Seja (x; y; z) 2 R3 . Podemos colocar os vectores do conjunto f(2; 1; 1); ( 4; 2; 1); (x; y; z)g como colunas de uma matriz A e de seguida aplicar a essa matriz o método de eliminação de Gauss. A = 2 4 2 4 x 1 2 y 1 1 z 3 5 !1 2 L1+L2!L2 1 2 L1+L3!L3 2 4 2 4 x 0 0 y + x 2 0 3 z x 2 3 5 ! L2$L3 2 4 2 4 x 0 3 z x 2 0 0 y + x 2 3 5 = A0 . 233
  • 234.
    As colunas damatriz A correspondentes às colunas da matriz em escada A0 que contêm os pivots, formam um conjunto de vectores linearmente independente. Logo, qualquer conjunto f(2; 1; 1); ( 4; 2; 1); (x; y; z)g em que y + x 2 6= 0 constitui uma base de R3 . (iii) Seja (x; y; z) 2 R3 . Podemos colocar os vectores do conjunto f( 1; 2; 1); (1; 0; 1); (x; y; z)g como colunas de uma matriz A e de seguida aplicar a essa matriz o método de eliminação de Gauss. A = 2 4 1 1 x 2 0 y 1 1 z 3 5 ! 2L1+L2!L2 L1+L3!L3 2 4 1 1 x 0 2 y + 2x 0 0 z + x 3 5 = A0 . As colunas da matriz A correspondentes às colunas da matriz em escada A0 que contêm os pivots, formam um conjunto de vectores linearmente independente. Logo, qualquer conjunto f( 1; 2; 1); (1; 0; 1); (x; y; z)g em que z + x 6= 0 constitui uma base de R3 . 24. (i) Seja S = cos2 t; sen2 t; cos 2t . O conjunto S é linearmente dependente, pois: cos 2t = cos2 t sen2 t. Mas, o conjunto S0 = cos2 t; sen2 t é linearmente independente pois se tivermos ; 2 R tais que cos2 t + sen2 t = 0, para todo o t 2 R, então se …zermos t = 2 obtemos = 0 e a seguir se …zermos t = 0 obtemos = 0. Logo, = = 0. Pelo que, o conjunto S0 = fcos2 t; sen2 tg é uma base de L(S), pois gera L(S) e é linearmente independente. E então, dim L(S) = 2. (ii) Seja S = 2; sen2 t; cos2 t . O conjunto S é linearmente dependente, pois: 2 = 2 cos2 t + 2 sen2 t. 234
  • 235.
    Mas, o conjunto S0 =cos2 t; sen2 t é linearmente independente pois se tivermos ; 2 R tais que cos2 t + sen2 t = 0, para todo o t 2 R, então se …zermos t = 2 obtemos = 0 e a seguir se …zermos t = 0 obtemos = 0. Logo, = = 0. Pelo que, o conjunto S0 = fcos2 t; sen2 tg é uma base de L(S), pois gera L(S) e é linearmente independente. E então, dim L(S) = 2. (iii) Seja S = et ; e t ; cosh t . O conjunto S é linearmente dependente, pois: cosh t = et + e t 2 . Mas, o conjunto S0 = et ; e t é linearmente independente pois se tivermos ; 2 R tais que et + e t = 0, para todo o t 2 R, então se …zermos t = 0 obtemos + = 0 e a seguir se …zermos t = 1 obtemos e1 + e 1 = 0. Logo, = = 0. Pelo que, o conjunto S0 = fet ; e t g é uma base de L(S), pois gera L(S) e é linearmente independente. E então, dim L(S) = 2. (iv) Seja S = 1; t; t2 ; (t + 1)2 . O conjunto S é linearmente dependente, pois: dim P2 = 3 e S tem 4 vectores. Mas, o conjunto S0 = 1; t; t2 é linearmente independente pois trata-se da base canónica de P2. Logo, L(S) = P2 e dim L(S) = dim P2 = 3. 25. Seja V o espaço linear de todas as funções reais de variável real. Sejam f; g; h 2 V , com f (t) = sen t, g (t) = cos t e h (t) = t. Vejamos que o conjunto ff; g; hg é linearmente independente. Sejam ; ; 2 R tais que f + g + h = 0. 235
  • 236.
    Note que f +g + h = 0 , f (t) + g (t) + h (t) = 0, para todo o t 2 R , , sen t + cos t + t = 0, para todo o t 2 R. Para t = 0, t = , t = 2 tem-se respectivamente as seguintes equações 8 >>>>>< >>>>>: sen 0 + cos 0 + 0 = 0 sen + cos + = 0 sen 2 + cos 2 + 2 = 0 , 8 >>>>>< >>>>>: = 0 + = 0 + 2 = 0 , 8 < : = 0 = 0 = 0. Logo = = = 0, e assim o conjunto ff; g; hg é linearmente independente. Observação. Como ff; gg ff; g; hg, as funções sen t e cos t são linearmente indepen- dentes. 26. (i) Podemos colocar os vectores do conjunto f(1; 3); (1; 1)g como colunas de uma matriz A e de seguida aplicar a essa matriz o método de eliminação de Gauss: A = 1 1 3 1 ! 3L1+L2!L2 1 1 0 4 = A0 . As colunas da matriz A correspondentes às colunas da matriz em escada A0 que contêm os pivots, formam um conjunto de vectores linearmente independente. Logo, o conjunto formado pelos vectores das colunas 1 e 2 da matriz A: f(1; 3); (1; 1)g é linearmente independente. Temos assim, dois vectores de R2 linearmente independentes. Como a dimensão de R2 é 2, então o conjunto B = f(1; 3); (1; 1)g é desde logo uma base de R2 . (Não foi preciso veri…car se B gera R2 ). Isto é, B é base de L(B) = R2 e dim L(B) = dim R2 = 2. Determinemos agora as coordenadas do vector (0; 1) em relação à base B = f(1; 3); (1; 1)g de R2 . Isto é, queremos encontrar ; 2 R tais que (0; 1) = (1; 3) + (1; 1). Formando a matriz aumentada do sistema, tem-se 1 1 j 0 3 1 j 1 ! 3L1+L2!L2 1 1 j 0 0 4 j 1 . Logo, 8 < : + = 0 4 = 1 , 8 < : = 1 4 = 1 4 236
  • 237.
    e assim, (0; 1)= 1 4 (1; 3) + 1 4 (1; 1). Finalmente e ainda em relação à base B de R2 , o vector cujas coordenadas são (0; 1) nessa base, é dado por: 0(1; 3) + ( 1)(1; 1) = ( 1; 1). (ii) O conjunto S = f(0; 0); (1; 2)g contém o vector nulo, logo o conjunto é linearmente dependente, pelo que não pode ser base de R2 . No entanto, S0 = f(1; 2)g é linearmente independente e S0 é base de L(S0 ) = L(S). Logo, dim L(S) = 1. (iii) O conjunto S = f(2; 4)g não pode ser base de R2 uma vez que tem só um vector e qualquer base de R2 tem sempre dois vectores (pois dim R2 = 2). No entanto, S = f(2; 4)g é linearmente independente e S é base de L(S). Logo, dim L(S) = 1. (iv) Facilmente se vê que o conjunto B = f( 5; 0); (0; 2)g é linearmente independente. Temos assim, dois vectores de R2 linearmente independentes. Como a dimensão de R2 é 2, então o conjunto B = f( 5; 0); (0; 2)g é desde logo uma base de R2 . (Não foi preciso veri…car se B gera R2 ). Determinemos agora as coordenadas do vector (0; 1) em relação à base B = f( 5; 0); (0; 2)g de R2 . Isto é, queremos encontrar ; 2 R tais que (0; 1) = ( 5; 0) + (0; 2). Facilmente se vê que = 1 2 e = 0. Isto é, (0; 1) = 0( 5; 0) + 1 2 (0; 2). Finalmente e ainda em relação à base B de R2 , o vector cujas coordenadas são (0; 1) nessa base, é dado por: 0( 5; 0) + ( 1)(0; 2) = (0; 2). (v) Como a dimensão de R2 é 2, então qualquer conjunto de vectores de R2 com mais do que 2 vectores é linearmente dependente. O conjunto S = f(1; 2); (2; 3); (3; 2)g é formado por três vectores de R2 , logo é linearmente dependente e como tal não pode ser uma base de R2 . No entanto, podemos colocar os vectores do conjunto S = f(1; 2); (2; 3); (3; 2)g como colunas de uma matriz A e de seguida aplicar a essa matriz o método de eliminação de Gauss: A = 1 2 3 2 3 2 ! 2L1+L2!L2 1 2 3 0 7 4 = A0 . As colunas da matriz A correspondentes às colunas da matriz em escada A0 que contêm os pivots, formam um conjunto de vectores linearmente independente. Logo, o conjunto formado pelos vectores das colunas 1 e 2 da matriz A: B = f(1; 2); (2; 3)g 237
  • 238.
    é linearmente independente.Temos assim, dois vectores de R2 linearmente independentes. Como a dimensão de R2 é 2, então o conjunto B = f(1; 2); (2; 3)g é desde logo uma base de R2 . (Não foi preciso veri…car se B gera R2 ). Determinemos agora as coordenadas do vector (0; 1) em relação à base B = f(1; 2); (2; 3)g de R2 . Isto é, queremos encontrar ; 2 R tais que (0; 1) = f(1; 2) + (2; 3)g . Formando a matriz aumentada do sistema, tem-se 1 2 j 0 2 3 j 1 ! 2L1+L2!L2 1 2 j 0 0 7 j 1 . Logo, 8 < : + 2 = 0 7 = 1 , 8 < : = 2 7 = 1 7 e assim, (0; 1) = 2 7 (1; 2) + 1 7 (2; 3). Finalmente e ainda em relação à base B de R2 , o vector cujas coordenadas são (0; 1) nessa base, é dado por: 0(1; 2) + ( 1)(2; 3) = ( 2; 3). (vi) B2 c = f(1; 0); (0; 1)g é a base canónica de R2 . As coordenadas do vector (0; 1) em relação à base B2 c são precisamente 0 e 1. Ainda em relação à base B2 c , o vector cujas coordenadas nessa base são (0; 1) é precisamente o vector (0; 1). 27. (i) O conjunto f(1; 2; 3); (0; 0; 0); (0; 1; 2)g contém o vector nulo, logo o conjunto é linearmente dependente, pelo que não pode ser base. Mas, L (f(1; 2; 3); (0; 0; 0); (0; 1; 2)g) = L (f(1; 2; 3); (0; 1; 2)g) e facilmente se vê que o conjunto f(1; 2; 3); (0; 1; 2)g é linearmente independente. Logo, dim L (f(1; 2; 3); (0; 0; 0); (0; 1; 2)g) = 2 e o conjunto f(1; 2; 3); (0; 1; 2)g é uma base de L (f(1; 2; 3); (0; 0; 0); (0; 1; 2)g). (ii) Facilmente se vê que o conjunto f(1; 2; 0); (0; 1; 1)g é linearmente independente. Logo, o conjunto f(1; 2; 0); (0; 1; 1)g é uma base de L (f(1; 2; 0); (0; 1; 1)g) e dim L (f(1; 2; 0); (0; 1; 1)g) = 2. 238
  • 239.
    (iii) Podemos colocaros vectores do conjunto f(3; 2; 2); ( 1; 2; 1); (0; 1; 0)g como colunas de uma matriz A e de seguida aplicar a essa matriz o método de eliminação de Gauss: A = 2 4 3 1 0 2 2 1 2 1 0 3 5 !2 3 L1+L2!L2 2 3 L1+L3!L3 2 4 3 1 0 0 8=3 1 0 5=3 0 3 5 !5 8 L2+L3!L3 2 4 3 1 0 0 8=3 1 0 0 5=8 3 5 = A0 . As colunas da matriz A correspondentes às colunas da matriz em escada A0 que contêm os pivots, formam um conjunto de vectores linearmente independente. Logo, o conjunto f(3; 2; 2); ( 1; 2; 1); (0; 1; 0)g é linearmente independente. Temos assim, três vectores de R3 linearmente independentes. Como a dimensão de R3 é 3, então o conjunto f(3; 2; 2); ( 1; 2; 1); (0; 1; 0)g é desde logo uma base de R3 . Vamos agora escrever o vector ( 1; 1; 2) como combinação linear dos vectores desta base. Isto é, procuremos ; ; 2 R tais que ( 1; 1; 2) = (3; 2; 2) + ( 1; 2; 1) + (0; 1; 0). Temos então 2 4 3 1 0 j 1 2 2 1 j 1 2 1 0 j 2 3 5 !2 3 L1+L2!L2 2 3 L1+L3!L3 2 4 3 1 0 j 1 0 8=3 1 j 5=3 0 5=3 0 j 4=3 3 5 !5 8 L2+L3!L3 2 4 3 1 0 j 1 0 8=3 1 j 5=3 0 0 5=8 j 19=8 3 5 . Logo, 8 >>>>< >>>>: 3 = 1 8 3 + = 5 3 5 8 = 19 8 , 8 >>>>< >>>>: = 3 5 = 4 5 = 19 5 . Pelo que ( 1; 1; 2) = 3 5 (3; 2; 2) + 4 5 ( 1; 2; 1) + 19 5 (0; 1; 0). Finalmente e ainda em relação à base f(3; 2; 2); ( 1; 2; 1); (0; 1; 0)g de R3 , o vector cujas coordenadas são ( 1; 1; 2) nessa base, é dado por: ( 1)(3; 2; 2) + ( 1; 2; 1) + ( 2)(0; 1; 0) = ( 4; 2; 1). (iv) Facilmente se vê que o conjunto f(1; 1; 1); (0; 1; 1); (0; 0; 1)g é linearmente indepen- dente. Temos então três vectores de R3 linearmente independentes. Como a dimensão de R3 é 3, então o conjunto f(1; 1; 1); (0; 1; 1); (0; 0; 1)g é desde logo uma base de R3 . Vamos agora escrever o vector ( 1; 1; 2) como combinação linear dos vectores desta base. Isto é, procuremos ; ; 2 R tais que ( 1; 1; 2) = (1; 1; 1) + (0; 1; 1) + (0; 0; 1). Temos então: 8 < : = 1 + = 1 + + = 2 , 8 < : = 1 = 2 = 3. 239
  • 240.
    Pelo que ( 1;1; 2) = ( 1)(1; 1; 1) + 2(0; 1; 1) + ( 3)(0; 0; 1). Finalmente e ainda em relação à base B de R2 , o vector cujas coordenadas são ( 1; 1; 2) nessa base, é dado por: ( 1)(1; 1; 1) + (0; 1; 1) + ( 2)(0; 0; 1) = ( 1; 0; 2). (v) Como a dimensão de R3 é 3, então qualquer conjunto de vectores de R3 com mais do que três vectores é linearmente dependente. O conjunto f(1; 1; 1); (2; 3; 4); (4; 1; 1); (0; 1; 1)g é formado por quatro vectores de R3 , logo é linearmente dependente. Vamos procurar o número máximo de vectores linearmente independentes que, em conjunto, geram L (f(1; 1; 1); (2; 3; 4); (4; 1; 1); (0; 1; 1)g) . Podemos colocar os vectores do conjunto f(1; 1; 1); (2; 3; 4); (4; 1; 1); (0; 1; 1)g como lin- has de uma A matriz e de seguida aplicar a essa matriz o método de eliminação de Gauss: A = 2 6 6 4 1 1 1 2 3 4 4 1 1 0 1 1 3 7 7 5 ! 2L1+L2!L2 4L1+L3!L3 2 6 6 4 1 1 1 0 1 6 0 3 3 0 1 1 3 7 7 5 ! 3L2+L3!L3 L2+L4!L4 ! 3L2+L3!L3 L2+L4!L4 2 6 6 4 1 1 1 0 1 6 0 0 21 0 0 7 3 7 7 5 !1 21 L3!L3 1 7 L4!L4 2 6 6 4 1 1 1 0 1 6 0 0 1 0 0 1 3 7 7 5 ! L3+L4!L4 2 6 6 4 1 1 1 0 1 6 0 0 1 0 0 0 3 7 7 5 = A0 . As linhas não nulas da matriz em escada A0 são linearmente independentes. Logo, o conjunto f(1; 1; 1); (0; 1; 6); (0; 0; 1)g é formado por três vectores de R3 , linearmente independentes. Atendendo a que a dimensão de R3 é 3, o conjunto f(1; 1; 1); (0; 1; 6); (0; 0; 1)g é desde logo uma base de R3 . Uma vez que L(A) = L(A0 ) temos então: L (f(1; 1; 1); (2; 3; 4); (4; 1; 1); (0; 1; 1)g) = L (f(1; 1; 1); (0; 1; 6); (0; 0; 1)g) = R3 . Logo, dim L (f(1; 1; 1); (2; 3; 4); (4; 1; 1); (0; 1; 1)g) = 3. Vamos agora escrever o vector ( 1; 1; 2) como combinação linear dos vectores da base f(1; 1; 1); (0; 1; 6); (0; 0; 1)g : Isto é, procuremos ; ; 2 R tais que ( 1; 1; 2) = (1; 1; 1) + (0; 1; 6) + (0; 0; 1). 240
  • 241.
    Temos então: 8 < : =1 + = 1 + 6 + = 2, , 8 < : = 1 = 2 = 15. Pelo que ( 1; 1; 2) = ( 1)(1; 1; 1) + 2(0; 1; 6) + ( 15)(0; 0; 1). Finalmente e ainda em relação à base f(1; 1; 1); (0; 1; 6); (0; 0; 1)g de R3 , o vector cujas coordenadas são ( 1; 1; 2) nessa base, é dado por: ( 1)(1; 1; 1) + (0; 1; 6) + ( 2)(0; 0; 1) = ( 1; 0; 5). (vi) B3 c = f(1; 0; 0); (0; 1; 0); (0; 0; 1)g é a base canónica de R3 . As coordenadas do vector ( 1; 1; 2) em relação à base B3 c são precisamente 1; 1 e 2. Ainda em relação à base B3 c , o vector cujas coordenadas nessa base são ( 1; 1; 2) é precisamente o vector ( 1; 1; 2). 28. (i) Podemos colocar os vectores do conjunto f(1; 0; 0; 1); (0; 1; 0; 0); (1; 1; 1; 1); (0; 1; 1; 1)g como colunas de uma matriz e de seguida aplicar a essa matriz o método de eliminação de Gauss: 2 6 6 4 1 0 1 0 0 1 1 1 0 0 1 1 1 0 1 1 3 7 7 5 ! L1+L4!L4 2 6 6 4 1 0 1 0 0 1 1 1 0 0 1 1 0 0 0 1 3 7 7 5 . Logo, o conjunto f(1; 0; 0; 1); (0; 1; 0; 0); (1; 1; 1; 1); (0; 1; 1; 1)g é linearmente independente. Temos assim, quatro vectores de R4 linearmente independentes. Como a dimensão de R4 é 4, então o conjunto f(1; 0; 0; 1); (0; 1; 0; 0); (1; 1; 1; 1); (0; 1; 1; 1)g é desde logo uma base de R4 e dim L (f(1; 0; 0; 1); (0; 1; 0; 0); (1; 1; 1; 1); (0; 1; 1; 1)g) = dim R4 = 4. (ii) Podemos colocar os vectores do conjunto f(1; 1; 0; 2); (3; 1; 2; 1); (1; 0; 0; 1)g como colunas de uma matriz e de seguida aplicar a essa matriz o método de eliminação de Gauss: 2 6 6 4 1 3 1 1 1 0 0 2 0 2 1 1 3 7 7 5 ! L1+L2!L2 2L1+L4!L4 2 6 6 4 1 3 1 0 2 1 0 2 0 0 5 1 3 7 7 5 ! L2+L3!L3 5 2 L2+L4!L4 ! L2+L3!L3 5 2 L2+L4!L4 2 6 6 4 1 3 1 0 2 1 0 0 1 0 0 3 2 3 7 7 5 !3 2 L3+L4!L4 2 6 6 4 1 3 1 0 2 1 0 0 1 0 0 0 3 7 7 5 . Logo, o conjunto f(1; 1; 0; 2); (3; 1; 2; 1); (1; 0; 0; 1)g é linearmente independente e é assim uma base do subespaço de R4 : L (f(1; 1; 0; 2); (3; 1; 2; 1); (1; 0; 0; 1)g) tendo-se dim L (f(1; 1; 0; 2); (3; 1; 2; 1); (1; 0; 0; 1)g) = 3. 241
  • 242.
    Atendendo ainda aométodo de eliminação de Gauss, uma base de R4 que inclui pelo menos dois vectores do conjunto apresentado: f(1; 1; 0; 2); (1; 0; 0; 1); (0; 0; 1; 0); (0; 0; 0; 1)g uma vez que 2 6 6 4 1 1 0 0 1 0 0 0 0 0 1 0 2 1 0 1 3 7 7 5 ! ::: 2 6 6 4 1 1 0 0 0 1 0 0 0 0 1 0 0 0 0 1 3 7 7 5 | {z } car=4 . (iii) Podemos colocar os vectores do conjunto f(1; 0; 0; 1); (0; 1; 1; 0); (0; 1; 0; 1); (1; 0; 1; 0); (0; 0; 1; 1)g como colunas de uma matriz e de seguida aplicar a essa matriz o método de eliminação de Gauss: A = 2 6 6 4 1 0 0 1 0 0 1 1 0 0 0 1 0 1 1 1 0 1 0 1 3 7 7 5 ! L1+L4!L4 2 6 6 4 1 0 0 1 0 0 1 1 0 0 0 1 0 1 1 0 0 1 1 1 3 7 7 5 ! L2+L3!L3 ! L2+L3!L3 2 6 6 4 1 0 0 1 0 0 1 1 0 0 0 0 1 1 1 0 0 1 1 1 3 7 7 5 ! L3+L4!L4 2 6 6 4 1 0 0 1 0 0 1 1 0 0 0 0 1 1 1 0 0 0 0 2 3 7 7 5 = A0 . As colunas da matriz A correspondentes às colunas da matriz A0 que contêm os pivots, formam um conjunto de vectores linearmente independente. Logo, os vectores das colunas 1; 2; 3 e 5 da matriz A: f(1; 0; 0; 1); (0; 1; 1; 0); (0; 1; 0; 1); (0; 0; 1; 1)g são uma base de R4 , por serem quatro vectores linearmente independentes de um espaço linear de dimensão 4. E dim L (f(1; 0; 0; 1); (0; 1; 1; 0); (0; 1; 0; 1); (0; 0; 1; 1)g) = dim R4 = 4. (iv) Facilmente se vê que o conjunto f(1; 0; 0; 2); (1; 0; 2; 0); (1; 2; 0; 0); (3; 0; 0; 0)g é li- nearmente independente. Temos então quatro vectores de R4 linearmente independentes. Como a dimensão de R4 é 4, então o conjunto f(1; 0; 0; 2); (1; 0; 2; 0); (1; 2; 0; 0); (3; 0; 0; 0)g é desde logo uma base de R4 e dim L (f(1; 0; 0; 2); (1; 0; 2; 0); (1; 2; 0; 0); (3; 0; 0; 0)g) = dim R4 = 4. (v) Podemos colocar os vectores do conjunto f(1; 2; 5; 3); (2; 4; 6; 2); (3; 6; 11; 1); (0; 0; 5; 5)g 242
  • 243.
    como colunas deuma matriz e de seguida aplicar a essa matriz o método de eliminação de Gauss: A = 2 6 6 4 1 2 3 0 2 4 6 0 5 6 11 5 3 2 1 5 3 7 7 5 ! L2$L4 2 6 6 4 1 2 3 0 3 2 1 5 5 6 11 5 2 4 6 0 3 7 7 5 ! 3L1+L2!L2 5L1+L3!L3 2L1+L4!L4 ! 3L1+L2!L2 5L1+L3!L3 2L1+L4!L4 2 6 6 4 1 2 3 0 0 8 8 5 0 4 4 5 0 0 0 0 3 7 7 5 !1 2 L2+L3!L3 2 6 6 4 1 2 3 0 0 8 8 5 0 0 0 15 0 0 0 0 3 7 7 5 = A0 . As colunas da matriz A correspondentes às colunas da matriz A0 que contêm os pivots, formam um conjunto de vectores linearmente independente. Logo, os vectores das colunas 1; 2 e 4 da matriz A formam um conjunto linearmente independente: f(1; 2; 5; 3); (2; 4; 6; 2); (0; 0; 5; 5)g . Assim, o conjunto f(1; 2; 5; 3); (2; 4; 6; 2); (0; 0; 5; 5)g é uma base de L (f(1; 2; 5; 3); (2; 4; 6; 2); (0; 0; 5; 5)g) , tendo-se dim L (f(1; 2; 5; 3); (2; 4; 6; 2); (0; 0; 5; 5)g) = 3. Atendendo ainda ao método de eliminação de Gauss, uma base de R4 que inclui pelo menos dois vectores do conjunto inicial: f(1; 2; 5; 3); (0; 1; 0; 0); (2; 4; 6; 2); (0; 0; 5; 5)g uma vez que 2 6 6 4 1 0 2 0 2 1 4 0 5 0 6 5 3 0 2 5 3 7 7 5 ! ::: 2 6 6 4 1 0 2 0 0 1 0 0 0 0 4 5 0 0 0 15 3 7 7 5 | {z } car=4 . (vi) Podemos colocar os vectores do conjunto f(2; 1; 1; 2); ( 1; 1; 1; 2); (4; 2; 2; 2); (5; 2; 2; 2)g como colunas de uma matriz e de seguida aplicar a essa matriz o método de eliminação de Gauss: A = 2 6 6 4 2 1 4 5 1 1 2 2 1 1 2 2 2 2 2 2 3 7 7 5 ! L1$L2 L3$L4 2 6 6 4 1 1 2 2 2 1 4 5 2 2 2 2 1 1 2 2 3 7 7 5 ! 2L1+L2!L2 2L1+L3!L3 L1+L4!L4 ! 2L1+L2!L2 2L1+L3!L3 L1+L4!L4 2 6 6 4 1 1 2 2 0 1 8 9 0 4 2 6 0 0 0 0 3 7 7 5 ! 4L2+L3!L3 2 6 6 4 1 1 2 2 0 1 8 9 0 0 30 30 0 0 0 0 3 7 7 5 = A0 . 243
  • 244.
    As colunas damatriz A correspondentes às colunas da matriz A0 que contêm os pivots, formam um conjunto de vectores linearmente independente. Logo, os vectores das colunas 1; 2 e 3 da matriz A formam um conjunto linearmente independente: f(2; 1; 1; 2); ( 1; 1; 1; 2); (4; 2; 2; 2)g . Assim, o conjunto f(2; 1; 1; 2); ( 1; 1; 1; 2); (4; 2; 2; 2)g é uma base de L (f(2; 1; 1; 2); ( 1; 1; 1; 2); (4; 2; 2; 2)g) , tendo-se dim L (S) = dim L (f(2; 1; 1; 2); ( 1; 1; 1; 2); (4; 2; 2; 2)g) = 3. Uma base de R4 que inclui pelo menos dois vectores do conjunto f(2; 1; 1; 2); ( 1; 1; 1; 2); (4; 2; 2; 2)g : f(2; 1; 1; 2); ( 1; 1; 1; 2); (4; 2; 2; 2); (0; 0; 0; 1)g . Vejamos que (8; 3; 3; 5) 2 L (S) e determinemos uma base de L (S) que inclua o vector (8; 3; 3; 5). Isto é, procuremos ; ; 2 R tais que (8; 3; 3; 5) = (2; 1; 1; 2) + ( 1; 1; 1; 2) + (4; 2; 2; 2). Temos então: 2 6 6 4 2 1 4 j 8 1 1 2 j 3 1 1 2 j 3 2 2 2 j 5 3 7 7 5 ! L1$L2 L3$L4 2 6 6 4 1 1 2 j 3 2 1 4 j 8 2 2 2 j 5 1 1 2 j 3 3 7 7 5 ! 2L1+L2!L2 2L1+L3!L3 L1+L4!L4 ! 2L1+L2!L2 2L1+L3!L3 L1+L4!L4 2 6 6 4 1 1 2 j 3 0 1 8 j 14 0 4 2 j 11 0 0 0 j 0 3 7 7 5 ! 2L1+L2!L2 2L1+L3!L3 L1+L4!L4 2 6 6 4 1 1 2 j 3 0 1 8 j 14 0 0 30 j 45 0 0 0 j 0 3 7 7 5 . (*) Logo, 8 >>>>< >>>>: = 2 = 2 = 3 2 Pelo que (8; 3; 3; 5) = 2(2; 1; 1; 2) + 2( 1; 1; 1; 2) + 3 2 (4; 2; 2; 2). Atendendo a (*), o conjunto f(2; 1; 1; 2); ( 1; 1; 1; 2); (8; 3; 3; 5)g é uma base de L (S) que inclui o vector (8; 3; 3; 5): 244
  • 245.
    Atendendo ainda aométodo de eliminação de Gauss, uma base de R4 que inclui pelo menos dois vectores do conjunto inicial: f(2; 1; 1; 2); ( 1; 1; 1; 2); (0; 0; 1; 0); (8; 3; 3; 5)g uma vez que 2 6 6 4 2 1 0 8 1 1 0 3 1 1 1 3 2 2 0 5 3 7 7 5 ! ::: 2 6 6 4 2 1 0 8 0 1=2 0 7 0 0 4 0 0 0 0 45 3 7 7 5 | {z } car=4 . 29. (i) Podemos colocar os coe…cientes dos vectores do conjunto 2 + t t2 ; 2t + 2t2 ; t2 como colunas de uma matriz A e de seguida aplicar a essa matriz o método de eliminação de Gauss: A = 2 4 2 0 0 1 2 0 1 2 1 3 5 ! L1$L3 2 4 1 2 1 1 2 0 2 0 0 3 5 ! L1+L2!L2 2L1+L3!L3 ! L1+L2!L2 2L1+L3!L3 2 4 1 2 1 0 4 1 0 4 2 3 5 ! L1+L2!L2 2L1+L3!L3 2 4 1 2 1 0 4 1 0 0 1 3 5 = A0 . As colunas da matriz A correspondentes às colunas da matriz em escada A0 que contêm os pivots, formam um conjunto de vectores linearmente independente. Logo, o conjunto 2 + t t2 ; 2t + 2t2 ; t2 , formado por três vectores de P2, é linearmente independente. Como a dimensão de P2 é 3, então o conjunto 2 + t t2 ; 2t + 2t2 ; t2 é desde logo uma base de P2 tendo-se L 2 + t t2 ; 2t + 2t2 ; t2 = P2 e dim L 2 + t t2 ; 2t + 2t2 ; t2 = dim P2 = 3. Vamos agora escrever o vector 1 t como combinação linear dos vectores da base 2 + t t2 ; 2t + 2t2 ; t2 : Isto é, procuremos ; ; 2 R tais que 1 t = (2 + t t2 ) + (2t + 2t2 ) + ( t2 ). 245
  • 246.
    Temos então: 8 >>>>< >>>>: 2= 1 + 2 = 1 + 2 = 0, , 8 >>>>< >>>>: = 1 2 = 3 4 = 2. Pelo que 1 t = 1 2 (2 + t t2 ) 3 4 (2t + 2t2 ) 2( t2 ). Finalmente e ainda em relação à base f2 + t t2 ; 2t + 2t2 ; t2 g de P2, o vector cujas coor- denadas são ( 1; 3; 2) nessa base, é dado por: ( 1)(2 + t t2 ) + 3(2t + 2t2 ) + 2( t2 ) = 2 + 5t + 5t2 . (ii) Podemos colocar os coe…cientes dos vectores do conjunto 2t t2 ; 1 2t2 ; 2 + t; 1 4t como colunas de uma matriz A e de seguida aplicar a essa matriz o método de eliminação de Gauss: A = 2 4 0 1 2 1 2 0 1 4 1 2 0 0 3 5 ! L1$L2 2 4 2 0 1 4 0 1 2 1 1 2 0 0 3 5 !1 2 L1+L3!L3 !1 2 L1+L3!L3 2 4 2 0 1 4 0 1 2 1 0 2 1 2 2 3 5 ! 2L2+L3!L3 2 4 2 0 1 4 0 1 2 1 0 0 9 2 0 3 5 = A0 . As colunas da matriz A correspondentes às colunas da matriz A0 que contêm os pivots, formam um conjunto de vectores linearmente independente. Logo, o conjunto dos vectores correspondentes às colunas 1; 2 e 3 da matriz A: 2t t2 ; 1 2t2 ; 2 + t é uma base de L 2t t2 ; 1 2t2 ; 2 + t; 1 4t . Como a dimensão de P2 é 3, então o conjunto 2t t2 ; 1 2t2 ; 2 + t é desde logo uma base de P2 tendo-se L 2t t2 ; 1 2t2 ; 2 + t; 1 4t = L 2t t2 ; 1 2t2 ; 2 + t = P2 e dim L 2t t2 ; 1 2t2 ; 2 + t; 1 4t = dim P2 = 3. Vamos agora escrever o vector 1 t como combinação linear dos vectores da base f2t t2 ; 1 2t2 ; 2 + tg. Isto é, procuremos ; ; 2 R tais que 1 t = (2t t2 ) + (1 2t2 ) + (2 + t). 246
  • 247.
    Temos então: 8 >>>>< >>>>: +2 = 1 2 + = 1 2 = 0, , 8 >>>>< >>>>: = 1 3 = 1 + 4 = 2 . , 8 >>>>< >>>>: = 1 3 = 1 3 = 2 3 . Pelo que 1 t = 2 3 (2t t2 ) + 1 3 (1 2t2 ) + 1 3 (2 + t). Finalmente e ainda em relação à base f2t t2 ; 1 2t2 ; 2 + tg de P2, o vector cujas coorde- nadas são ( 1; 3; 2) nessa base, é dado por: ( 1)(2t t2 ) + 3(1 2t2 ) + 2(2 + t) = 7 5t2 . (iii) Podemos colocar os coe…cientes dos vectores do conjunto 1 + t2 ; t t2 ; 1 t + 2t2 ; 1 + t como colunas de uma matriz A e de seguida aplicar a essa matriz o método de eliminação de Gauss: A = 2 4 1 0 1 1 0 1 1 1 1 1 2 0 3 5 ! L1+L3!L3 2 4 1 0 1 1 0 1 1 1 0 1 1 1 3 5 ! L2+L3!L3 2 4 1 0 1 1 0 1 1 1 0 0 0 0 3 5 = A0 . As colunas da matriz A correspondentes às colunas da matriz A0 que contêm os pivots, formam um conjunto de vectores linearmente independente. Logo, o conjunto dos vectores correspondentes às colunas 1; 2 da matriz A: 1 + t2 ; t t2 é uma base de L 1 + t2 ; t t2 ; 1 t + 2t2 ; 1 + t , tendo-se L 1 + t2 ; t t2 ; 1 t + 2t2 ; 1 + t = L 1 + t2 ; t t2 e dim L 1 + t2 ; t t2 ; 1 t + 2t2 ; 1 + t = dim L 1 + t2 ; t t2 = 2. (iv) Facilmente se vê que o conjunto f 1 + 2t + t2 ; 2 tg é linearmente independente. Logo, ele próprio é uma base de L 1 + 2t + t2 ; 2 t , e tem-se dim L 1 + 2t + t2 ; 2 t = 2. 247
  • 248.
    (v) Podemos colocaros coe…cientes dos vectores do conjunto 1 + 2t t2 ; 3 + t2 ; 5 + 4t t2 ; 2 + 2t t2 como colunas de uma matriz A e de seguida aplicar a essa matriz o método de eliminação de Gauss: A = 2 4 1 3 5 2 2 0 4 2 1 1 1 1 3 5 ! 2L1+L2!L2 L1+L3!L3 2 4 1 3 5 2 0 6 6 6 0 4 4 3 3 5 !1 6 L2!L2 !1 6 L2!L2 2 4 1 3 5 2 0 1 1 1 0 4 4 3 3 5 ! 4L2+L3!L3 2 4 1 3 5 2 0 1 1 1 0 0 0 1 3 5 = A0 . As colunas da matriz A correspondentes às colunas da matriz A0 que contêm os pivots, formam um conjunto de vectores linearmente independente. Logo, o conjunto dos vectores correspondentes às colunas 1; 2 e 4 da matriz A: 1 + 2t t2 ; 3 + t2 ; 2 + 2t t2 é uma base de L 1 + 2t t2 ; 3 + t2 ; 5 + 4t t2 ; 2 + 2t t2 . Como a dimensão de P2 é 3, então o conjunto 1 + 2t t2 ; 3 + t2 ; 2 + 2t t2 é desde logo uma base de P2 tendo-se L 1 + 2t t2 ; 3 + t2 ; 5 + 4t t2 ; 2 + 2t t2 = = L 1 + 2t t2 ; 3 + t2 ; 2 + 2t t2 = P2 e dim L 1 + 2t t2 ; 3 + t2 ; 5 + 4t t2 ; 2 + 2t t2 = dim P2 = 3. Vamos agora escrever o vector 1 t como combinação linear dos vectores da base 1 + 2t t2 ; 3 + t2 ; 2 + 2t t2 : Isto é, procuremos ; ; 2 R tais que 1 t = (1 + 2t t2 ) + (3 + t2 ) + ( 2 + 2t t2 ). Temos então: 2 4 1 3 2 2 0 2 1 1 1 3 5 2 4 3 5 = 2 4 1 1 0 3 5 . Aplicando então o método de eliminação de Gauss à matriz aumentada do sistema anterior, temos: 2 4 1 3 2 j 1 2 0 2 j 1 1 1 1 j 0 3 5 ! 2L1+L2!L2 L1+L3!L3 2 4 1 3 2 j 1 0 6 6 j 3 0 4 3 j 1 3 5 !1 3 L2!L2 248
  • 249.
    !1 3 L2!L2 2 4 1 3 2j 1 0 2 2 j 1 0 4 3 j 1 3 5 ! 2L2+L3!L3 2 4 1 3 2 j 1 0 2 2 j 1 0 0 1 j 1 3 5 . Logo, 8 >>>>< >>>>: = 1 2 = 1 2 = 1. Pelo que 1 t = 1 2 (1 + 2t t2 ) + 1 2 (3 + t2 ) + ( 1) ( 2 + 2t t2 ). Finalmente e ainda em relação à base f1 + 2t t2 ; 3 + t2 ; 2 + 2t t2 g de P2, o vector cujas coordenadas são ( 1; 3; 2) nessa base, é dado por: ( 1)(1 + 2t t2 ) + 3(3 + t2 ) + 2( 2 + 2t t2 ) = 4 + 2t + 2t2 . (vi) O conjunto f1; t; t2 g é a base canónica de P2. As coordenadas do vector 1+3t+2t2 em relação a essa base são precisamente 1; 3 e 2. Ainda em relação à base f1; t; t2 g, o vector cujas coordenadas nessa base são ( 1; 3; 2) é precisamente o vector 1 + 3t + 2t2 . 30. Como o espaço linear M2 2(R) tem dimensão 4, então para veri…car que as matrizes 1 1 0 0 ; 0 0 1 1 ; 1 0 0 1 ; 0 1 1 1 formam uma base de M2 2(R) basta ver que são linearmente independentes. Sejam ; ; ; 2 R tais que 1 1 0 0 + 0 0 1 1 + 1 0 0 1 + 0 1 1 1 = 0, onde 0 é a matriz nula 0 0 0 0 . Queremos provar que = = = = 0. Temos então: + + + + + = 0 0 0 0 isto é, 8 >>< >>: + = 0 + = 0 + = 0 + + = 0, ou ainda 2 6 6 4 1 0 1 0 1 0 0 1 0 1 0 1 0 1 1 1 3 7 7 5 2 6 6 4 3 7 7 5 = 2 6 6 4 0 0 0 0 3 7 7 5 . 249
  • 250.
    Aplicando então ométodo de eliminação de Gauss à matriz dos coe…cientes do sistema homogéneo anterior, temos: 2 6 6 4 1 0 1 0 1 0 0 1 0 1 0 1 0 1 1 1 3 7 7 5 ! L1+L2!L2 2 6 6 4 1 0 1 0 0 0 1 1 0 1 0 1 0 1 1 1 3 7 7 5 ! L2$L3 ! L2$L3 2 6 6 4 1 0 1 0 0 1 0 1 0 0 1 1 0 1 1 1 3 7 7 5 ! L2+L4!L4 2 6 6 4 1 0 1 0 0 1 0 1 0 0 1 1 0 0 1 0 3 7 7 5 ! L3+L4!L4 2 6 6 4 1 0 1 0 0 1 0 1 0 0 1 1 0 0 0 1 3 7 7 5 . Logo, a única solução do sistema é: ( ; ; ; ) = (0; 0; 0; 0). Assim, o conjunto 1 1 0 0 ; 0 0 1 1 ; 1 0 0 1 ; 0 1 1 1 é uma base de M2 2(R). 31. Seja S = 1 3 1 2 ; 0 11 5 3 ; 2 5 3 1 , 4 1 1 5 ; 3 2 2 3 . Seja W um subespaço de M2 2(R) gerado por S. Determinemos uma base para W que inclua vectores de S. Sejam 1; 2; 3; 4; 5 2 R tais que 0 0 0 0 = 1 1 3 1 2 + 2 0 11 5 3 + 3 2 5 3 1 + 4 4 1 1 5 + 5 3 2 2 3 . Temos então: 2 6 6 4 1 0 2 4 3 3 11 5 1 2 1 5 3 1 2 2 3 1 5 3 3 7 7 5 ! 3L1+L2!L2 L1+L3!L3 2L1+L4!L4 2 6 6 4 1 0 2 4 3 0 11 11 11 11 0 5 5 5 5 0 3 3 3 3 3 7 7 5 !5 11 L2+L3!L3 3 11 L2+L4!L4 !5 11 L2+L3!L3 3 11 L2+L4!L4 2 6 6 4 1 0 2 4 3 0 11 11 11 11 0 0 0 0 0 0 0 0 0 0 3 7 7 5 pelo que sendo as 2 primeiras colunas da matriz em escada anterior independentes, o conjunto de matrizes 1 3 1 2 ; 0 11 5 3 é uma base de W, atendendo também a que 2 5 3 1 ; 4 1 1 5 ; 3 2 2 3 2 L 1 3 1 2 ; 0 11 5 3 . 250
  • 251.
    32. A dimensãodo espaço linear M3 2(R) é 6. Assim, para encontrar uma base de M3 2(R), basta encontrar 6 matrizes do tipo 3 2 que sejam linearmente independentes. O seguinte conjunto de 6 matrizes do tipo 3 2: 8 < : 2 4 1 0 0 0 0 0 3 5 ; 2 4 0 1 0 0 0 0 3 5 ; 2 4 0 0 1 0 0 0 3 5 ; 2 4 0 0 0 1 0 0 3 5 ; 2 4 0 0 0 0 1 0 3 5 ; 2 4 0 0 0 0 0 1 3 5 9 = ; é linearmente independente. Logo, é uma base de M3 2(R). (Chama-se a esta base, a base canónica de M3 2(R).) 33. (i) Uma matriz diagonal do tipo 3 3 tem a seguinte forma: 2 4 a 0 0 0 b 0 0 0 c 3 5 com a; b; c 2 R. E tem-se 2 4 a 0 0 0 b 0 0 0 c 3 5 = a 2 4 1 0 0 0 0 0 0 0 0 3 5 + b 2 4 0 0 0 0 1 0 0 0 0 3 5 + c 2 4 0 0 0 0 0 0 0 0 1 3 5 . Isto é, o subespaço formado por todas as matrizes diagonais do tipo 3 3, é gerado pelo conjunto D = 8 < : 2 4 1 0 0 0 0 0 0 0 0 3 5 ; 2 4 0 0 0 0 1 0 0 0 0 3 5 ; 2 4 0 0 0 0 0 0 0 0 1 3 5 9 = ; . Além disso, este conjunto é linearmente independente. Temos então que o conjunto D é uma base do subespaço formado por todas as matrizes diagonais do tipo 3 3. Logo, o subespaço tem dimensão 3. (ii) Uma matriz simétrica do tipo 3 3 tem a seguinte forma: 2 4 a b c b d e c e f 3 5 com a; b; c; d; e; f 2 R. E tem-se 2 4 a b c b d e c e f 3 5 = a 2 4 1 0 0 0 0 0 0 0 0 3 5 + b 2 4 0 1 0 1 0 0 0 0 0 3 5 + c 2 4 0 0 1 0 0 0 1 0 0 3 5 + +d 2 4 0 0 0 0 1 0 0 0 0 3 5 + e 2 4 0 0 0 0 0 1 0 1 0 3 5 + f 2 4 0 0 0 0 0 0 0 0 1 3 5 . Isto é, o subespaço formado por todas as matrizes simétricas do tipo 3 3, é gerado pelo conjunto S = 8 < : 2 4 1 0 0 0 0 0 0 0 0 3 5 ; 2 4 0 1 0 1 0 0 0 0 0 3 5 ; 2 4 0 0 1 0 0 0 1 0 0 3 5 ; 2 4 0 0 0 0 1 0 0 0 0 3 5 ; 2 4 0 0 0 0 0 1 0 1 0 3 5 ; 2 4 0 0 0 0 0 0 0 0 1 3 5 9 = ; 251
  • 252.
    Além disso, esteconjunto é linearmente independente. Temos então que o conjunto S é uma base do subespaço formado por todas as matrizes simétricas do tipo 3 3. Logo, o subespaço tem dimensão 6. 34. (i) A = 3 1 6 2 ! 2L1+L2!L2 3 1 0 0 = A0 . As colunas da matriz A correspondentes às colunas da matriz A0 que contêm os pivots, formam um conjunto de vectores linearmente independente. Logo, C(A) = L (f(3; 6)g) e o conjunto f(3; 6)g é uma base de C(A). Por outro lado, L(A) = L (f(3; 1)g) , e o conjunto f(3; 1)g é uma base de L(A). Desta forma: carA = dim C(A) = dim L(A) = 1. Por de…nição: N(A) = u 2 R2 : Au = 0 . Temos então, pelo método de eliminação de Gauss, Au = 0 , A0 u = 0. A equação 3 1 0 0 u1 u2 = 0 0 é equivalente à equação 3u1 + u2 = 0. Logo, N(A) = f(u1; 3u1) : u1 2 Rg = L (f(1; 3)g) . O conjunto S = f(1; 3)g é linearmente independente. Como S é linearmente independente e gera N(A), temos então que S é uma base de N(A) e: nulA = dim N(A) = 1. (ii) A = 3 0 6 0 1 0 2 0 !1 3 L1+L2!L2 3 0 6 0 0 0 0 0 = A0 . As colunas da matriz A correspondentes às colunas da matriz A0 que contêm os pivots, formam um conjunto de vectores linearmente independente. Logo, C(A) = L (f(3; 1)g) 252
  • 253.
    e o conjuntof(3; 1)g é uma base de C(A). Por outro lado, L(A) = L (f(3; 0; 6; 0)g) , e o conjunto f(3; 0; 6; 0)g é uma base de L(A). Desta forma: carA = dim C(A) = dim L(A) = 1. Por de…nição: N(A) = u 2 R4 : Au = 0 . Temos então, pelo método de eliminação de Gauss, Au = 0 , A0 u = 0. A equação 3 0 6 0 0 0 0 0 2 6 6 4 u1 u2 u3 u4 3 7 7 5 = 2 6 6 4 0 0 0 0 3 7 7 5 é equivalente à equação 3u1 6u3 = 0, ou seja a u1 = 2u3. Logo, N(A) = f(2u3; u2; u3; u4) : u2; u3; u4 2 Rg . Como (2u3; u2; u3; u4) = u3(2; 0; 1; 0) + u2(0; 1; 0; 0) + u4(0; 0; 0; 1), tem-se: N(A) = L (f(2; 0; 1; 0); (0; 1; 0; 0); (0; 0; 0; 1)g) . O conjunto S = f(2; 0; 1; 0); (0; 1; 0; 0); (0; 0; 0; 1)g é linearmente independente. Como S é linearmente independente e gera N(A), temos então que S é uma base de N(A) e: nulA = dim N(A) = 3. (iii) A = 2 4 0 1 0 0 0 0 1 0 0 0 0 1 3 5 . As colunas da matriz A que contêm os pivots, formam um conjunto de vectores linearmente independente. Logo, C(A) = L (f(1; 0; 0); (0; 1; 0); (0; 0; 1)g) e o conjunto f(1; 0; 0); (0; 1; 0); (0; 0; 1)g é uma base de C(A). Por outro lado, L(A) = L (f(0; 1; 0; 0); (0; 0; 1; 0); (0; 0; 0; 1)g) , 253
  • 254.
    e o conjuntof(0; 1; 0; 0); (0; 0; 1; 0); (0; 0; 0; 1)g é uma base de L(A). Desta forma: carA = dim C(A) = dim L(A) = 3. Por de…nição: N(A) = u 2 R4 : Au = 0 . A equação 2 4 0 1 0 0 0 0 1 0 0 0 0 1 3 5 2 6 6 4 u1 u2 u3 u4 3 7 7 5 = 2 6 6 4 0 0 0 0 3 7 7 5 é equivalente ao sistema 8 < : u2 = 0 u3 = 0 u4 = 0. Logo, N(A) = f(u1; 0; 0; 0) : u1 2 Rg = L (f(1; 0; 0; 0)g) . O conjunto S = f(1; 0; 0; 0)g é linearmente independente. Como S é linearmente indepen- dente e gera N(A), temos então que S é uma base de N(A) e: nulA = dim N(A) = 1. (iv) A = 2 4 1 1 2 1 2 1 0 1 1 3 5 ! L1+L2!L2 2 4 1 1 2 0 3 1 0 1 1 3 5 !1 3 L2+L3!L3 2 4 1 1 2 0 3 1 0 0 2 3 3 5 = A0 . As colunas da matriz A correspondentes às colunas da matriz A0 que contêm os pivots, formam um conjunto de vectores linearmente independente. Logo, C(A) = L (f(1; 1; 0); (1; 2; 1); ( 2; 1; 1)g) e o conjunto f(1; 1; 0); (1; 2; 1); ( 2; 1; 1)g é uma base de C(A). Por outro lado, L(A) = L (f(1; 1; 2); ( 1; 2; 1); (0; 1; 1)g) = L (1; 1; 2); (0; 3; 1); (0; 0; 2 3 ) , e quer o conjunto f(1; 1; 2); ( 1; 2; 1); (0; 1; 1)g ; quer o conjunto (1; 1; 2); (0; 3; 1); (0; 0; 2 3 ) , são bases para L(A). Desta forma: carA = dim C(A) = dim L(A) = 3. Por de…nição: N(A) = u 2 R3 : Au = 0 . 254
  • 255.
    Como se temsempre: no de colunas de A = carA + nulA, então N(A) = f0g e nulA = dim N(A) = 0. Alternativamente poderíamos veri…car que se tem mesmo N(A) = f0g . Pelo método de eliminação de Gauss, temos Au = 0 , A0 u = 0. A equação 2 4 1 1 2 0 3 1 0 0 2 3 3 5 2 4 u1 u2 u3 3 5 = 2 4 0 0 0 3 5 é equivalente ao sistema 8 < : u1 + u2 2u3 = 0 3u2 u3 = 0 2 3 u3 = 0 ou seja a u1 = u2 = u3 = 0. Logo, N(A) = f(0; 0; 0)g e como tal nulA = dim N(A) = 0. (v) A = 2 6 6 4 1 0 0 0 1 0 0 0 1 0 0 0 3 7 7 5 . As colunas da matriz A que contêm os pivots, formam um conjunto de vectores linearmente independente. Logo, C(A) = L (f(1; 0; 0; 0); (0; 1; 0; 0); (0; 0; 1; 0)g) e o conjunto f(1; 0; 0; 0); (0; 1; 0; 0); (0; 0; 1; 0)g é uma base de C(A). Por outro lado, L(A) = L (f(1; 0; 0); (0; 1; 0); (0; 0; 1)g) = R3 , e o conjunto f(1; 0; 0); (0; 1; 0); (0; 0; 1)g é uma base de L(A). Desta forma: carA = dim C(A) = dim L(A) = 3. 255
  • 256.
    Por de…nição: N(A) =u 2 R3 : Au = 0 . A equação 2 6 6 4 1 0 0 0 1 0 0 0 1 0 0 0 3 7 7 5 2 4 u1 u2 u3 3 5 = 2 4 0 0 0 3 5 é equivalente ao sistema 8 < : u1 = 0 u2 = 0 u3 = 0. Logo, N(A) = f(0; 0; 0)g e nulA = dim N(A) = 0. (vi) A = 2 4 1 3 0 2 0 2 2 0 1 3 0 2 3 5 ! L1+L3!L3 2 4 1 3 0 2 0 2 2 0 0 0 0 0 3 5 = A0 . As colunas da matriz A correspondentes às colunas da matriz A0 que contêm os pivots, formam um conjunto de vectores linearmente independente. Logo, C(A) = L (f( 1; 0; 1); (3; 2; 3)g) e o conjunto f( 1; 0; 1); (3; 2; 3)g é uma base de C(A). Por outro lado, L(A) = L(A0 ) = L (f( 1; 3; 0; 2); (0; 2; 2; 0)g) , e o conjunto f( 1; 3; 0; 2); (0; 2; 2; 0)g é uma base de L(A). Desta forma: carA = dim C(A) = dim L(A) = 2. Por de…nição: N(A) = u 2 R4 : Au = 0 . Temos então, pelo método de eliminação de Gauss, Au = 0 , A0 u = 0. A equação 2 4 1 3 0 2 0 2 2 0 0 0 0 0 3 5 2 6 6 4 u1 u2 u3 u4 3 7 7 5 = 2 6 6 4 0 0 0 0 3 7 7 5 é equivalente ao sistema u1 + 3u2 + 2u4 = 0 2u2 + 2u3 = 0 256
  • 257.
    ou seja a u1= 3u2 + 2u4 u3 = u2. Logo, N(A) = f(3u2 + 2u4; u2; u2; u4) : u2; u4 2 Rg . Como (3u2 + 2u4; u2; u2; u4) = (3u2; u2; u2; 0) + (2u4; 0; 0; u4) = u2(3; 1; 1; 0) + u4(2; 0; 0; 1), tem-se: N(A) = L (f(3; 1; 1; 0); (2; 0; 0; 1)g) . O conjunto S = f(3; 1; 1; 0); (2; 0; 0; 1)g é linearmente independente. Como S é linearmente independente e gera N(A), temos então que S é uma base de N(A) e: nulA = dim N(A) = 2. (vii) A = 2 6 6 4 1 2 3 1 2 3 2 0 3 4 1 1 1 1 1 1 3 7 7 5 ! 2L1+L2!L2 3L1+L3!L3 L1+L4!L4 2 6 6 4 1 2 3 1 0 1 4 2 0 2 8 4 0 1 4 2 3 7 7 5 ! 2L2+L3!L3 L2+L4!L4 2 6 6 4 1 2 3 1 0 1 4 2 0 0 0 0 0 0 0 0 3 7 7 5 = A0 . As colunas da matriz A correspondentes às colunas da matriz A0 que contêm os pivots, formam um conjunto de vectores linearmente independente. Logo, C(A) = L (f(1; 2; 3; 1); (2; 3; 4; 1)g) e o conjunto f(1; 2; 3; 1); (2; 3; 4; 1)g é uma base de C(A). Por outro lado, L(A) = L (f(1; 2; 3; 1); (0; 1; 4; 2)g) , e o conjunto f(1; 2; 3; 1); (0; 1; 4; 2)g é uma base de L(A). Desta forma: carA = dim C(A) = dim L(A) = 2. Por de…nição: N(A) = u 2 R4 : Au = 0 . Temos então, pelo método de eliminação de Gauss, Au = 0 , A0 u = 0. A equação 2 6 6 4 1 2 3 1 0 1 4 2 0 0 0 0 0 0 0 0 3 7 7 5 2 6 6 4 u1 u2 u3 u4 3 7 7 5 = 2 6 6 4 0 0 0 0 3 7 7 5 257
  • 258.
    é equivalente aosistema u1 + 2u2 + 3u3 u4 = 0 u2 4u3 + 2u4 = 0 ou seja a u1 = 2u2 3u3 + u4 u2 = 4u3 + 2u4 e ainda a u1 = 5u3 3u4 u2 = 4u3 + 2u4. Logo, N(A) = f(5u3 3u4; 4u3 + 2u4; u3; u4) : u3; u4 2 Rg . Como (5u3 3u4; 4u3 + 2u4; u3; u4) = (5u3; 4u3; u3; 0) + ( 3u4; 2u4; 0; u4) = u3(5; 4; 1; 0) + u4( 3; 2; 0; 1), tem-se: N(A) = L (f(5; 4; 1; 0); ( 3; 2; 0; 1)g) . O conjunto S = f(5; 4; 1; 0); ( 3; 2; 0; 1)g é linearmente independente. Como S é linear- mente independente e gera N(A), temos então que S é uma base de N(A) e: nulA = dim N(A) = 2. 35. Sejam U e V subespaços de W tais que dim U = 4; dim V = 5 e dim W = 7. Tem-se dim (U V ) = dim U + dim V dim (U + V ) = 9 dim (U + V ) : Como U + V é subespaço de W, tem-se 5 = dim V dim (U + V ) dim W = 7 e assim dim (U + V ) 2 f5; 6; 7g. Logo, dim (U V ) 2 f2; 3; 4g : 36. Determine bases e calcule as dimensões de U + V e U V , dizendo em que casos U + V é a soma directa U V (determine-a) dos subespaços U e V . (i) Em R3 , considere os subespaços: U = L (f(1; 1; 1); (0; 1; 1)g) e V = L (f(1; 1; 2); ( 1; 1; 1)g) . Logo, U + V = L (U [ V ) = L (f(1; 1; 1); (0; 1; 1); (1; 1; 2); ( 1; 1; 1)g). Facilmente se ver- i…ca que f(1; 1; 1); (0; 1; 1); ( 1; 1; 1)g é uma base de U + V , ou melhor de R3 . Logo, dim (U + V ) = 3 e dim(U V ) = dim U + dim V dim (U + V ) = 2 + 2 3 = 1. 258
  • 259.
    Seja (x; y;z) 2 U. Tem-se 2 4 1 0 j x 1 1 j y 1 1 j z 3 5 ! L1+L2!L2 L1+L3!L3 2 4 1 0 j x 0 1 j x + y 0 1 j z x 3 5 ! L2+L3!L3 2 4 1 0 j x 0 1 j x + y 0 0 j z 2x y 3 5 . Logo U = (x; y; z) 2 R3 : z 2x y = 0 . Seja (x; y; z) 2 V . Tem-se 2 4 1 1 j x 1 1 j y 2 1 j z 3 5 ! L1+L2!L2 2L1+L3!L3 2 4 1 1 j x 0 2 j y x 0 3 j z 2x 3 5 !3 2 L2+L3!L3 2 4 1 1 j x 0 2 j y x 0 0 j z 3 2 y 1 2 x 3 5 . Logo V = (x; y; z) 2 R3 : 2z 3y x = 0 . Deste modo U V = (x; y; z) 2 R3 : z 2x y = 0 e 2z 3y x = 0 = L (f(1; 3; 5)g) e como tal, f(1; 3; 5)g é uma base de U V , tendo-se dim (U V ) = 1 Neste caso, como U V 6= f0g então U + V não é a soma directa dos subespaços U e V . (ii) Sejam U = f(x; y; z) 2 R3 : x + y z = 0 e x + y = 0g ; V = L (f(1; 1; 1)g). Tem-se (1; 1; 1) =2 U pois 1 + 1 1 6= 0. Logo U V = f0g e dim (U V ) = 0. Por outro lado, como U = ( y; y; 0) 2 R3 : y 2 R = L (f( 1; 1; 0)g) , tem-se U + V = L (f( 1; 1; 0); (1; 1; 1)g) e sendo f( 1; 1; 0); (1; 1; 1)g uma base de U + V , dim (U + V ) = 2. Além disso, como U V = f0g, U + V = U V = L (f( 1; 1; 0); (1; 1; 1)g) . (iii) Em R3 , considere os subespaços: U = L (f(1; 0; 1); ( 1; 1; 2)g) e V = f(x; y; z) : x + y + 3z = 0g . Seja v 2 U, então v = (1; 0; 1) + ( 1; 1; 2) = ( ; ; + 2 ), com ; 2 R. Para que v esteja também em V é preciso que: + + 3 ( + 2 ) = 0. 259
  • 260.
    isto é, 4 +6 = 0 , = 3 2 . Assim, v = (1; 0; 1) + ( 1; 1; 2) = 5 2 ; ; 1 2 = 5 2 ; 1; 1 2 . Logo, U V = 5 2 ; 1; 1 2 : 2 R = L 5 2 ; 1; 1 2 e como tal, 5 2 ; 1; 1 2 é uma base de U V , tendo-se dim (U V ) = 1 Tem-se V = L (f( 1; 1; 0); ( 3; 0; 1)g) . Logo, U + V = L (U [ V ) = L (f(1; 0; 1); ( 1; 1; 2); ( 1; 1; 0); ( 3; 0; 1)g) : Facilmente se veri…ca que f(1; 0; 1); ( 1; 1; 2); ( 1; 1; 0)g é uma base de U +V , ou melhor de R3 . Logo, dim (U + V ) = 3: Neste caso, como U V 6= f0g então U + V não é a soma directa dos subespaços U e V . (iv) Em R3 , considere os subespaços: U = (x; y; z) 2 R3 : x = y = z e V = (x; y; z) 2 R3 : x = 0 . Tem-se U = L (f(1; 1; 1)g) e V = L (f(0; 1; 0); (0; 0; 1)g). Como f(1; 1; 1); (0; 1; 0); (0; 0; 1)g é uma base de U + V = L (U [ V ) então dim (U + V ) = 3 e U + V = U V = R3 . Como U V = f0g então dim (U V ) = 0. (v) Em P2, considere os subespaços: U = L 1 + t; 1 t2 e V = a0 + a1t + a2t2 2 P2 : a2 a1 + a0 = 0 . Seja p (t) 2 U. Então existem ; 2 R tais que p (t) = a0 + a1t + a2t2 = (1 + t) + 1 t2 . Atendendo a 2 4 1 1 j a0 1 0 j a1 0 1 j a2 3 5 ! L1+L2!L2 2 4 1 1 j a0 0 1 j a1 a0 0 1 j a2 3 5 ! L2+L3!L3 2 4 1 1 j a0 0 1 j a1 a0 0 0 j a2 a1 + a0 3 5 . Logo, tem-se U = V pelo que U + V = U = V e U V = U = V . 260
  • 261.
    Assim, f1 +t; 1 t2 g é uma base de U; de V , de U + V e de U V , tendo-se dim (U + V ) = dim (U V ) = 2. Neste caso, como U V 6= f0g então U + V não é a soma directa dos subespaços U e V . (vi) Em P3, considere os subespaços: U = L 1 + t; 1 t3 e V = L 1 + t + t2 ; t t3 ; 1 + t + t3 . Logo U + V = L (U [ V ) = L 1 + t; 1 t3 ; 1 + t + t2 ; t t3 ; 1 + t + t3 : Vejamos quais dos vectores do conjunto 1 + t; 1 t3 ; 1 + t + t2 ; t t3 ; 1 + t + t3 são linearmente independentes. Coloquemos então os coe…cientes desses vectores como col- unas de uma matriz: A = 2 6 6 4 1 1 1 0 1 1 0 1 1 1 0 0 1 0 0 0 1 0 1 1 3 7 7 5 ! L1+L2!L2 2 6 6 4 1 1 1 0 1 0 1 0 1 0 0 0 1 0 0 0 1 0 1 1 3 7 7 5 ! L2+L4!L4 2 6 6 4 1 1 1 0 1 0 1 0 1 0 0 0 1 0 0 0 0 0 2 1 3 7 7 5 = A0 . (*) As colunas da matriz A correspondentes às colunas da matriz A0 que contêm os pivots, formam um conjunto de vectores linearmente independente. Logo, o conjunto 1 + t; 1 t3 ; 1 + t + t2 ; t t3 é uma base de U + V , tendo-se dim (U + V ) = 4 e deste modo U + V = P3. Por outro lado, também se conclui de (*) que o conjunto 1 + t; 1 t3 é base de U, tendo-se dim U = 2, e como 2 6 6 4 1 0 1 0 1 0 1 0 0 0 2 1 3 7 7 5 ! L1+L3!L3 L1+L3!L3 2 6 6 4 1 0 1 0 1 0 0 0 1 0 2 1 3 7 7 5 ! 2L2+L4!L4 2 6 6 4 1 0 1 0 1 0 0 0 1 0 0 1 3 7 7 5 ! L3+L4!L4 2 6 6 4 1 0 1 0 1 0 0 0 1 0 0 0 3 7 7 5 o conjunto 1 + t + t2 ; t t3 ; 1 + t + t3 é base de V , tendo-se dim V = 3. Logo, dim(U V ) = dim U + dim V dim (U + V ) = 2 + 3 4 = 1. Neste caso, como U V 6= f0g então U + V não é a soma directa dos subespaços U e V . Determinemos U V . Seja p (t) = a0 + a1t + a2t2 + a3t3 2 U. Tem-se 2 6 6 4 1 1 j a0 1 0 j a1 0 0 j a2 0 1 j a3 3 7 7 5 ! L1+L2!L2 2 6 6 4 1 1 j a0 0 1 j a1 a0 0 0 j a2 0 1 j a3 3 7 7 5 ! L2+L4!L4 2 6 6 4 1 1 j a0 0 1 j a1 a0 0 0 j a2 0 0 j a3 + a0 a1 3 7 7 5 . 261
  • 262.
    Logo U = a0+ a1t + a2t2 + a3t3 2 P3 : a2 = 0 e a3 + a0 a1 = 0 . Seja q (t) = a0 + a1t + a2t2 + a3t3 2 V . Tem-se 2 6 6 4 1 0 1 j a0 1 1 1 j a1 1 0 0 j a2 0 1 1 j a3 3 7 7 5 ! L1+L2!L2 L1+L3!L3 2 6 6 4 1 0 1 j a0 0 1 0 j a1 a0 0 0 1 j a2 a0 0 1 1 j a3 3 7 7 5 ! L2+L4!L4 ! L2+L4!L4 2 6 6 4 1 0 1 j a0 0 1 0 j a1 a0 0 0 1 j a2 a0 0 0 1 j a1 a0 + a3 3 7 7 5 ! L3+L4!L4 2 6 6 4 1 0 1 j a0 0 1 0 j a1 a0 0 0 1 j a2 a0 0 0 0 j a1 + a2 2a0 + a3 3 7 7 5 . Logo V = a0 + a1t + a2t2 + a3t3 2 P3 : a1 + a2 2a0 + a3 = 0 . Deste modo UV = a0 + a1t + a2t2 + a3t3 2 P3 : a2 = 0 e a0 a1 + a3 = 0 e 2a0 + a1 + a2 + a3 = 0 = = a0 + a1t + a2t2 + a3t3 2 P3 : (a0; a1; a2; a3) 2 N 0 @ 2 4 0 0 1 0 1 1 0 1 2 1 1 1 3 5 1 A . Atendendo a que 2 4 0 0 1 0 1 1 0 1 2 1 1 1 3 5 ! 2L2+L3!L3 2 4 0 0 1 0 1 1 0 1 0 1 1 3 3 5 ! L1$L2 2 4 1 1 0 1 0 0 1 0 0 1 1 3 3 5 ! L2$L3 2 4 1 1 0 1 0 1 1 3 0 0 1 0 3 5 tem-se UV = a0 + a1t + a2t2 + a3t3 2 P3 : a0 a1 + a3 = 0 e a1 + a2 + 3a3 = 0 e a2 = 0 = = a0 + a1t + a2t2 + a3t3 2 P3 : a0 = 2a3 e a1 = 3a3 e a2 = 0 = = 2a3 + 3a3t + a3t3 2 P3 : a3 2 R = a3 2 + 3t + t3 2 P3 : a3 2 R = L 2 + 3t + t3 . e como tal, f2 + 3t + t3 g é uma base de U V , tendo-se dim (U V ) = 1. (vii) Em R4 , considere os subespaços: U = L (f(2; 2; 1; 2); ( 1; 1; 1; 3); (0; 0; 6; 8); ( 1; 1; 5; 5)g) e V = L (f(0; 0; 0; 1); (0; 1; 2; 3); (0; 2; 4; 8)g) . Atendendo a que A = 2 6 6 4 2 1 0 1 0 0 0 2 1 0 1 0 1 2 1 1 6 5 0 2 4 2 3 8 5 1 3 8 3 7 7 5 ! L1+L2!L2 1 2 L1+L3!L3 L1+L4!L4 2 6 6 4 2 1 0 1 0 0 0 0 0 0 0 0 1 2 0 3=2 6 9=2 0 2 4 0 2 8 6 1 3 8 3 7 7 5 ! L2$L4 262
  • 263.
    ! L2$L4 2 6 6 4 2 1 01 0 0 0 0 2 8 6 1 3 8 0 3=2 6 9=2 0 2 4 0 0 0 0 0 1 2 3 7 7 5 !3 4 L2+L3!L3 2 6 6 4 2 1 0 1 0 0 0 0 2 8 6 1 3 8 0 0 0 0 3=4 1=4 2 0 0 0 0 0 1 2 3 7 7 5 = A0 (*). As colunas da matriz A correspondentes às colunas da matriz A0 que contêm os pivots, formam um conjunto de vectores linearmente independente. Logo, o conjunto f(2; 2; 1; 2); ( 1; 1; 1; 3); (0; 1; 2; 3); (0; 2; 4; 8)g é uma base de U + V , tendo-se dim (U + V ) = 4 e deste modo U + V = R4 . Por outro lado, também se conclui de (*) que o conjunto f(2; 2; 1; 2); ( 1; 1; 1; 3)g é base de U, tendo-se dim U = 2, e como 2 6 6 4 0 0 0 1 3 8 3=4 1=4 2 0 1 2 3 7 7 5 ! L1$L2 2 6 6 4 1 3 8 0 0 0 3=4 1=4 2 0 1 2 3 7 7 5 ! L2$L4 4L3!L3 2 6 6 4 1 3 8 0 1 2 3 1 8 0 0 0 3 7 7 5 ! 3L1+L3!L3 ! 3L1+L3!L3 2 6 6 4 1 3 8 0 1 2 0 8 16 0 0 0 3 7 7 5 ! 8L2+L3!L3 2 6 6 4 1 3 8 0 1 2 0 0 0 0 0 0 3 7 7 5 o conjunto f(0; 0; 0; 1); (0; 1; 2; 3)g é base de V , tendo-se dim V = 2. Logo, dim(U V ) = dim U + dim V dim (U + V ) = 2 + 2 4 = 0. Neste caso, como U V = f0g então U + V = U V = R4 : (viii) Em R4 , considere os subespaços: U = (x; y; z; w) 2 R4 : x + 2y + 3z = 0 e y + 2z + 3w = 0 e V = L (f(2; 5; 4; 1); (0; 9; 6; 1); ( 4; 1; 2; 1)g) . Seja (x; y; z; w) 2 V . Então existem ; ; 2 R tais que (x; y; z; w) = (2; 5; 4; 1) + (0; 9; 6; 1) + ( 4; 1; 2; 1). Atendendo a 2 6 6 4 2 0 4 j x 5 9 1 j y 4 6 2 j z 1 1 1 j w 3 7 7 5 ! L1$L4 2 6 6 4 1 1 1 j w 5 9 1 j y 4 6 2 j z 2 0 4 j x 3 7 7 5 ! 5L1+L2!L2 4L1+L3!L3 2L1+L4!L4 263
  • 264.
    ! 5L1+L2!L2 4L1+L3!L3 2L1+L4!L4 2 6 6 4 1 1 1j w 0 4 4 j y 5w 0 2 2 j z + 4w 0 2 2 j x 2w 3 7 7 5 !1 2 L2+L3!L3 1 2 L2+L4!L4 2 6 6 4 1 1 1 j w 0 4 4 j y 5w 0 0 0 j 3 2 w + 1 2 y + z 0 0 0 j x 9 2 w + 1 2 y 3 7 7 5 (*) Logo, tem-se V = (x; y; z; w) 2 R4 : 3 2 w + 1 2 y + z = 0 e x 9 2 w + 1 2 y = 0 = = (x; y; z; w) 2 R4 : y + 2z + 3w = 0 e x + 2y + 3z = 0 = U pelo que U + V = U = V e U V = U = V . Atendendo ainda a (*), o conjunto f(2; 5; 4; 1); (0; 9; 6; 1); ( 4; 1; 2; 1)g é linearmente dependente, sendo linearmente independente o seguinte seu subconjunto f(2; 5; 4; 1); (0; 9; 6; 1)g . Assim, f(2; 5; 4; 1); (0; 9; 6; 1)g é uma base de U; de V , de U + V e de U V , tendo-se dim (U + V ) = dim (U V ) = 2. Neste caso, como U V 6= f0g então U + V não é a soma directa dos subespaços U e V . (ix) Seja U o subespaço de R5 gerado por f(1; 1; 1; 2; 0); (1; 2; 2; 0; 3); (1; 1; 2; 2; 1)g . Seja V o subespaço de R5 gerado por f(1; 2; 3; 0; 2); (1; 1; 3; 2; 4); (1; 1; 2; 2; 5)g . Atendendo a que A = 2 6 6 6 6 4 1 1 1 1 1 1 1 2 1 2 1 1 1 2 2 3 3 2 2 0 2 0 2 2 0 3 1 2 4 5 3 7 7 7 7 5 ! L1+L2!L2 L1+L3!L3 2L1+L4!L4 2 6 6 6 6 4 1 1 1 1 1 1 0 1 0 1 0 0 0 1 1 2 2 1 0 2 0 2 4 4 0 3 1 2 4 5 3 7 7 7 7 5 ! L2+L3!L3 2L2+L4!L4 3L2+L5!L5 ! L2+L3!L3 2L2+L4!L4 3L2+L5!L5 2 6 6 6 6 4 1 1 1 1 1 1 0 1 0 1 0 0 0 0 1 1 2 1 0 0 0 0 4 4 0 0 1 1 4 5 3 7 7 7 7 5 ! L3+L5!L5 2 6 6 6 6 4 1 1 1 1 1 1 0 1 0 1 0 0 0 0 1 1 2 1 0 0 0 0 4 4 0 0 0 0 6 6 3 7 7 7 7 5 !3 2 L4+L5!L5 !3 2 L4+L5!L5 2 6 6 6 6 4 1 1 1 1 1 1 0 1 0 1 0 0 0 0 1 1 2 1 0 0 0 0 4 4 0 0 0 0 0 0 3 7 7 7 7 5 = A0 (*). 264
  • 265.
    As colunas damatriz A correspondentes às colunas da matriz A0 que contêm os pivots, formam um conjunto de vectores linearmente independente. Logo, o conjunto f(1; 1; 1; 2; 0); (1; 2; 2; 0; 3); (1; 1; 2; 2; 1); (1; 1; 3; 2; 4)g é uma base de U + V , tendo-se dim (U + V ) = 4. Por outro lado, também se conclui de (*) que o conjunto f(1; 1; 1; 2; 0); (1; 2; 2; 0; 3); (1; 1; 2; 2; 1)g é base de U, tendo-se dim U = 3, e como 2 6 6 6 6 4 1 1 1 1 0 0 1 2 1 0 4 4 0 0 0 3 7 7 7 7 5 ! L1+L2!L2 L1+L3!L3 2 6 6 6 6 4 1 1 1 0 1 1 0 1 0 0 4 4 0 0 0 3 7 7 7 7 5 ! L2+L3!L3 4L2+L4!L4 2 6 6 6 6 4 1 1 1 0 1 1 0 0 1 0 0 0 0 0 0 3 7 7 7 7 5 o conjunto f(1; 2; 3; 0; 2); (1; 1; 3; 2; 4); (1; 1; 2; 2; 5)g é base de V , tendo-se dim V = 3. Logo, dim(U V ) = dim U + dim V dim (U + V ) = 3 + 3 4 = 2. Neste caso, como U V 6= f0g então U + V não é a soma directa dos subespaços U e V . Determinemos uma base para U V . Atendendo a 2 6 6 6 6 4 1 1 1 j x1 1 2 1 j x2 1 2 2 j x3 2 0 2 j x4 0 3 1 j x5 3 7 7 7 7 5 ! L1+L2!L2 L1+L3!L3 2L1+L4!L4 2 6 6 6 6 4 1 1 1 j x1 0 1 0 j x1 + x2 0 1 1 j x1 + x3 0 2 0 j 2x1 + x4 0 3 1 j x5 3 7 7 7 7 5 ! L2+L3!L3 2L2+L4!L4 3L2+L5!L5 ! L2+L3!L3 2L2+L4!L4 3L2+L5!L5 2 6 6 6 6 4 1 1 1 j x1 0 1 0 j x1 + x2 0 0 1 j x2 + x3 0 0 0 j 4x1 + 2x2 + x4 0 0 1 j 3x1 3x2 + x5 3 7 7 7 7 5 ! L3+L5!L5 2 6 6 6 6 4 1 1 1 j x1 0 1 0 j x1 + x2 0 0 1 j x2 + x3 0 0 0 j 4x1 + 2x2 + x4 0 0 0 j 3x1 4x2 + x3 + x5 3 7 7 7 7 5 tem-se U = (x1; x2; x3; x4; x5) 2 R5 : 4x1 + 2x2 + x4 = 0 e 3x1 4x2 + x3 + x5 = 0 . Por outro lado, atendendo a 2 6 6 6 6 4 1 1 1 j x1 2 1 1 j x2 3 3 2 j x3 0 2 2 j x4 2 4 5 j x5 3 7 7 7 7 5 ! 2L1+L2!L2 3L1+L3!L3 2L1+L5!L5 2 6 6 6 6 4 1 1 1 j x1 0 1 1 j 2x1 + x2 0 0 1 j 3x1 + x3 0 2 2 j x4 0 2 3 j 2x1 + x5 3 7 7 7 7 5 ! 2L2+L4!L4 L3+L5!L5 265
  • 266.
    ! 2L2+L4!L4 L3+L5!L5 2 6 6 6 6 4 1 1 1j x1 0 1 1 j 2x1 + x2 0 0 1 j 3x1 + x3 0 0 0 j 4x1 2x2 + x4 0 2 2 j 5x1 + x3 + x5 3 7 7 7 7 5 ! 2L2+L5!L5 2 6 6 6 6 4 1 1 1 j x1 0 1 1 j 2x1 + x2 0 0 1 j 3x1 + x3 0 0 0 j 4x1 2x2 + x4 0 0 0 j 9x1 + 2x2 + x3 + x5 3 7 7 7 7 5 tem-se V = (x1; x2; x3; x4; x5) 2 R5 : 4x1 2x2 + x4 = 0 e 9x1 + 2x2 + x3 + x5 = 0 . Logo U V = (x1; x2; x3; x4; x5) 2 R5 : 4x1 + 2x2 + x4 = 0 e 3x1 4x2 + x3 + x5 = 0 e 4x1 2x2 + x4 = 0 e 9x1 + 2x2 + x3 + x5 = 0 Como 2 6 6 4 4 2 0 1 0 3 4 1 0 1 4 2 0 1 0 9 2 1 0 1 3 7 7 5 ! L1+L3!L3 3L2+L4!L4 2 6 6 4 4 2 0 1 0 3 4 1 0 1 0 0 0 2 0 0 10 4 0 4 3 7 7 5 !3 4 L1+L2!L2 2 6 6 4 4 2 0 1 0 0 5 2 1 3 4 1 0 0 0 2 0 0 10 4 0 4 3 7 7 5 ! 4L2+L4!L4 ! 4L2+L4!L4 2 6 6 4 4 2 0 1 0 0 5 2 1 3 4 1 0 0 0 2 0 0 0 0 3 0 3 7 7 5 ! 4L2!L2 3 2 L3+L4!L44 2 6 6 4 4 2 0 1 0 0 10 4 3 4 0 0 0 2 0 0 0 0 0 0 3 7 7 5 tem-se 8 < : 4x1 + 2x2 + x4 = 0 10x2 + 4x3 + 3x4 + 4x5 = 0 2x4 = 0 , 8 < : x1 = 1 2 x2 = 1 5 x3 1 5 x5 x2 = 2 5 x3 + 2 5 x5 x4 = 0 pelo que U V = 1 5 x3 1 5 x5; 2 5 x3 + 2 5 x5; x3; 0; x5 2 R5 : x3; x5 2 R = = L 1 5 ; 2 5 ; 1; 0; 0 ; 1 5 ; 2 5 ; 0; 0; 1 . Como o conjunto 1 5 ; 2 5 ; 1; 0; 0 ; 1 5 ; 2 5 ; 0; 0; 1 gera U V e é linearmente independente, então é uma base de U V , tendo-se dim (U V ) = 2. (x) Atendendo a que A = 2 6 6 4 1 0 1 0 1 1 0 0 1 0 0 1 2 0 1 1 0 1 1 0 1 0 1 2 2 1 1 1 3 7 7 5 ! L1+L3!L3 1 2 L1+L3!L3 L1+L4!L4 2 6 6 4 1 0 1 0 1 1 0 0 1 0 0 1 2 0 0 1 1 1 2 1 1 0 1 2 2 1 1 1 3 7 7 5 ! L2+L3!L3 L2+L4!L4 266
  • 267.
    ! L2+L3!L3 L2+L4!L4 2 6 6 4 1 0 10 1 1 0 0 1 0 0 1 2 0 0 0 1 1 1 1 1 0 0 2 2 0 3 1 3 7 7 5 ! 2L3+L4!L4 2 6 6 4 1 0 1 0 1 1 0 0 1 0 0 1 2 0 0 0 1 1 1 1 1 0 0 0 0 2 5 3 3 7 7 5 = A0 (*). As colunas da matriz A correspondentes às colunas da matriz A0 que contêm os pivots, formam um conjunto de vectores linearmente independente. Logo, o conjunto f(1; 0; 1; 0); (0; 1; 1; 1); (1; 0; 0; 2) ; (1; 1; 1; 1)g é uma base de U + V , tendo-se dim (U + V ) = 4 e assim U + V = R4 . Por outro lado, também se conclui de (*) que o conjunto f(1; 0; 1; 0); (0; 1; 1; 1); (1; 0; 0; 2)g é base de U, tendo-se dim U = 3, e como 2 6 6 4 1 1 0 1 2 0 1 1 1 2 5 3 3 7 7 5 ! L1+L2!L2 L1+L3!L3 2L1+L4!L4 2 6 6 4 1 1 0 0 1 0 0 2 1 0 7 3 3 7 7 5 ! 2L2+L3!L3 7L2+L4!L4 2 6 6 4 1 1 0 0 1 0 0 0 1 0 0 3 3 7 7 5 ! 3L3+L4!L4 2 6 6 4 1 1 0 0 1 0 0 0 1 0 0 0 3 7 7 5 o conjunto f(1; 1; 1; 1); (1; 2; 0; 1); (0; 0; 1; 1)g é base de V , tendo-se dim V = 3. Logo, dim(U V ) = dim U + dim V dim (U + V ) = 3 + 3 4 = 2. Uma base para U V . Atendendo a 2 6 6 4 1 0 1 j x1 0 1 0 j x2 1 1 0 j x3 0 1 2 j x4 3 7 7 5 ! L1+L3!L3 2 6 6 4 1 0 1 j x1 0 1 0 j x2 0 1 1 j x1 + x3 0 1 2 j x4 3 7 7 5 ! L2+L3!L3 L2+L4!L4 ! L2+L3!L3 L2+L4!L4 2 6 6 4 1 0 1 j x1 0 1 0 j x2 0 0 1 j x1 + x3 x2 0 0 2 j x4 x2 3 7 7 5 ! 2L3+L4!L4 2 6 6 4 1 0 1 j x1 0 1 0 j x2 0 0 1 j x1 + x3 x2 0 0 0 j 2x1 3x2 + 2x3 + x4 3 7 7 5 tem-se U = (x1; x2; x3; x4) 2 R4 : 2x1 3x2 + 2x3 + x4 = 0 Por outro lado, atendendo a 2 6 6 4 1 1 0 j x1 1 2 0 j x2 1 0 1 j x3 1 1 1 j x4 3 7 7 5 ! L1+L2!L2 L1+L3!L3 L1+L4!L4 2 6 6 4 1 1 0 j x1 0 1 0 j x2 x1 0 1 1 j x3 x1 0 2 1 j x4 x1 3 7 7 5 ! L2+L3!L3 2L2+L4!L4 267
  • 268.
    ! L2+L3!L3 2L2+L4!L4 2 6 6 4 1 1 0j x1 0 1 0 j x2 x1 0 0 1 j x2 2x1 + x3 0 0 1 j 2x2 3x1 + x4 3 7 7 5 ! L3+L4!L4 2 6 6 4 1 1 0 j x1 0 1 0 j x2 x1 0 0 1 j x2 2x1 + x3 0 0 0 j x2 x1 x3 + x4 3 7 7 5 tem-se V = (x1; x2; x3; x4) 2 R4 : x1 + x2 x3 + x4 = 0 . Logo U V = (x1; x2; x3; x4) 2 R4 : 2x1 3x2 + 2x3 + x4 = 0 e x1 + x2 x3 + x4 = 0 = = (x1; x2; x3; x4) 2 R4 : x2 = 3x4 e x1 = x3 + 4x4 = = f( x3 + 4x4; 3x4; x3; x4) : x3; x4) 2 Rg = L (f( 1; 0; 1; 0) ; (4; 3; 0; 1)g) Como o conjunto f( 1; 0; 1; 0) ; (4; 3; 0; 1)g gera U V e é linearmente independente, então é uma base de U V , tendo-se dim (U V ) = 2. 37. A = 2 6 6 6 6 4 1 1 0 2 1 0 0 2 4 0 2 2 1 2 1 1 1 2 2 1 0 0 0 0 0 3 7 7 7 7 5 ! 2L1+L3!L3 L1+L4!L4 2 6 6 6 6 4 1 1 0 2 1 0 0 2 4 0 0 0 1 2 1 0 0 2 4 2 0 0 0 0 0 3 7 7 7 7 5 !1 2 L2+L3!L3 L2+L4!L4 !1 2 L2+L3!L3 L2+L4!L4 2 6 6 6 6 4 1 1 0 2 1 0 0 2 4 0 0 0 0 0 1 0 0 0 0 2 0 0 0 0 0 3 7 7 7 7 5 ! 2L3+L4!L4 2 6 6 6 6 4 1 1 0 2 1 0 0 2 4 0 0 0 0 0 1 0 0 0 0 0 0 0 0 0 0 3 7 7 7 7 5 = A0 . (i) carA = dim C(A) = dim L(A) = 3. Como A tem 5 colunas e no de colunas de A = carA + nulA, então nulA = 2, isto é, dim N(A) = 2. (ii) As colunas da matriz A correspondentes às colunas da matriz A0 que contêm os pivots, formam um conjunto de vectores linearmente independente. Logo, C(A) = L (f(1; 0; 2; 1; 0); (0; 2; 1; 2; 0); (1; 0; 1; 1; 0)g) 268
  • 269.
    e o conjuntof(1; 0; 2; 1; 0); (0; 2; 1; 2; 0); (1; 0; 1; 1; 0)g é uma base de C(A). Por de…nição: N(A) = u 2 R5 : Au = 0 . Temos então, pelo método de eliminação de Gauss, Au = 0 , A0 u = 0. A equação matricial 2 6 6 6 6 4 1 1 0 2 1 0 0 2 4 0 0 0 0 0 1 0 0 0 0 0 0 0 0 0 0 3 7 7 7 7 5 2 6 6 6 6 4 u1 u2 u3 u4 u5 3 7 7 7 7 5 = 2 6 6 6 6 4 0 0 0 0 0 3 7 7 7 7 5 é equivalente ao sistema 8 < : u1 u2 + 2u4 + u5 = 0 2u3 + 4u4 = 0 u5 = 0 ou seja a 8 < : u1 = u2 2u4 u3 = 2u4 u5 = 0. Logo, N(A) = f(u2 2u4; u2; 2u4; u4; 0) : u2; u4 2 Rg . Como (u2 2u4; u2; 2u4; u4; 0) = (u2; u2; 0; 0; 0) + ( 2u4; 0; 2u4; u4; 0) = u2(1; 1; 0; 0; 0) + u4( 2; 0; 2; 1; 0), tem-se: N(A) = L (f(1; 1; 0; 0; 0); ( 2; 0; 2; 1; 0)g) . Facilmente se veri…ca que o conjunto S = f(1; 1; 0; 0; 0); ( 2; 0; 2; 1; 0)g é linearmente in- dependente. Como S é linearmente independente e gera N(A), temos então que S é uma base de N(A). (iii) A solução geral do sistema de equações lineares homogéneo Au = 0 é dada por (1; 1; 0; 0; 0) + ( 2; 0; 2; 1; 0), com ; 2 R. (iv) Uma solução particular de Au = b, com b = (1; 0; 2; 1; 0), é por exemplo u = (1; 0; 0; 0; 0). Logo, a solução geral de Au = b é dada por: (1; 0; 0; 0; 0) + (1; 1; 0; 0; 0) + ( 2; 0; 2; 1; 0). Observação. Note que se tem sempre: no de colunas de A = carA + nulA. 269
  • 270.
    38. (i) SeA 2 M3 3(R) é tal que car A = 3 e car[A j B] = 3 então car A = dim L(A) = dim C(A) = 3. Logo, nul A = dim N(A) = 0. Como carAT = dim L(AT ) = dim C(AT ) = 3 então nul AT = dim N(AT ) = 0. O correspondente sistema de equações lineares não homogéneo AX = B é possível e deter- minado. Neste caso, na solução geral de AX = B, não existe nenhum parâmetro. (ii) Se A 2 M3 3(R) é tal que car A = 2 e car[A j B] = 3 então car A = dim L(A) = dim C(A) = 2: Logo, nul A = dim N(A) = 1: Como carAT = dim L(AT ) = dim C(AT ) = 2 então nul AT = dim N(AT ) = 1: O correspondente sistema de equações lineares não homogéneo AX = B é impossível. (iii) Se A 2 M3 3(R) é tal que car A = 1 e car[A j B] = 1 então car A = dim L(A) = dim C(A) = 1: Logo, nul A = dim N(A) = 2: Como carAT = dim L(AT ) = dim C(AT ) = 1 então nul AT = dim N(AT ) = 2: O correspondente sistema de equações lineares não homogéneo AX = B é possível e inde- terminado. Neste caso, na solução geral de AX = B, existem dois parâmetros. (iv) Se A 2 M5 9(R) é tal que car A = 2 e car[A j B] = 2 então car A = dim L(A) = dim C(A) = 2: Logo, nul A = dim N(A) = 7: Como carAT = dim L(AT ) = dim C(AT ) = 2 então nul AT = dim N(AT ) = 3: O correspondente sistema de equações lineares não homogéneo AX = B é possível e inde- terminado. Neste caso, na solução geral de AX = B, existem 7 parâmetros. 270
  • 271.
    (v) Se A2 M9 5(R) é tal que car A = 2 e car[A j B] = 3 então car A = dim L(A) = dim C(A) = 2: Logo, nul A = dim N(A) = 3: Como carAT = dim L(AT ) = dim C(AT ) = 2 então nul AT = dim N(AT ) = 7: O correspondente sistema de equações lineares não homogéneo AX = B é impossível. (vi) Se A 2 M4 4(R) é tal que car A = 0 e car[A j B] = 0 então car A = dim L(A) = dim C(A) = 0: Logo, nul A = dim N(A) = 4: Como carAT = dim L(AT ) = dim C(AT ) = 0 então nul AT = dim N(AT ) = 4: O correspondente sistema de equações lineares não homogéneo AX = B é possível e inde- terminado. Neste caso, na solução geral de AX = B, existem 4 parâmetros. (vii) Se A 2 M6 2(R) é tal que car A = 2 e car[A j B] = 2 então car A = dim L(A) = dim C(A) = 2: Logo, nul A = dim N(A) = 0: Como carAT = dim L(AT ) = dim C(AT ) = 2 então nul AT = dim N(AT ) = 4: O correspondente sistema de equações lineares não homogéneo AX = B é possível e deter- minado. Neste caso, na solução geral de AX = B, não existe nenhum parâmetro. 39. Queremos encontrar A tal que N(A) = L (f(2; 0; 1)g). Por de…nição N(A) = fu 2 R3 : Au = 0g. Por outro lado, temos L (f(2; 0; 1)g) = f (2; 0; 1) : 2 Rg = (u1; u2; u3) 2 R3 : u2 = 0 e u1 = 2u3 . Por exemplo: A = 1 0 2 0 1 0 veri…ca N(A) = L (f(2; 0; 1)g) , 271
  • 272.
    pois Au = 0, 2 6 6 4 1 0 2 0 1 0 0 0 0 0 0 0 3 7 7 5 2 4 u1 u2 u3 3 5 = 2 4 0 0 0 3 5 , 8 < : u1 + 2u3 = 0 u2 = 0. 40. Não é possível encontrar A tal que (1; 1; 1) 2 L(A) e (1; 0; 0) 2 N(A), pois se (1; 0; 0) 2 N(A) então a primeira entrada de todas as linhas de A é 0. Pelo que, nesse caso, não se pode ter (1; 1; 1) 2 L(A). 41. Seja A 2 M3 3(R) tal que nul A = 3. Uma vez que no de colunas de A = carA + nulA, então car A = 0. Isto é, A = 2 4 0 0 0 0 0 0 0 0 0 3 5. 42. Seja A 2 Mm n(R) tal que C(A) = N(A): Logo, o no de linhas de A é igual ao no de colunas de A. Isto é, m = n. Além disso, como n = carA + nulA, tem-se n = 2 dim N(A). Pelo que, A 2 Mn n(R) com n par. Exemplo: A = 2 6 6 4 0 0 1 0 0 0 0 1 0 0 0 0 0 0 0 0 3 7 7 5 : 43. Seja A 2 Mn n(R) tal que car A = n. Logo, A é invertível. Isto é, existe A 1 tal que AA 1 = A 1 A = I. Além disso, se A fôr tal que A2 = A, então A = AI = A(AA 1 ) = (AA)A 1 = A2 A 1 = AA 1 = I. Logo, A = I. 272
  • 273.
    44. Sejam B1= f(1; 2); (0; 1)g e B2 = f(1; 1); (2; 3)g duas bases ordenadas de R2 . Seja v = (1; 5). (i) Tem-se v = (1; 2)+3(0; 1). Logo, 1 e 3 são as coordenadas de v em relação à base B1. (ii) Tem-se SB1!B2 = 1 2 1 1 , uma vez que (1; 2) = (1; 1) + (2; 3) e (0; 1) = 2(1; 1) + (2; 3). (iii) As coordenadas de v = (1; 5) em relação à base B2, são dadas por: SB1!B2 1 5 = 1 2 1 1 1 3 = 7 4 , uma vez que 1 e 3 são as coordenadas de v em relação à base B1. (iv) Tem-se v = (1; 5) = 7(1; 1) + 4(2; 3). (v) Tem-se SB2!B1 = 1 2 1 1 , uma vez que (1; 1) = (1; 2) (0; 1) e (2; 3) = 2(1; 2) (0; 1). Observação: SB2!B1 = (SB1!B2 ) 1 e SB1!B2 = (SB2!B1 ) 1 . (vi) As coordenadas de v = (1; 5) em relação à base B1, são dadas por: SB2!B1 7 4 = 1 2 1 1 7 4 = 1 3 , uma vez que 7 e 4 são as coordenadas de v em relação à base B2. 45. Sejam B1 = fv1; v2g e B2 = fw1; w2g duas bases ordenadas de R2 , onde v1 = (1; 2), v2 = (0; 1). Seja SB2!B1 = 2 1 1 1 , a matriz de mudança da base B2 para a base B1. Determinemos B2. Uma vez que SB2!B1 = 2 1 1 1 , então w1 = 2v1 + v2 = 2(1; 2) + (0; 1) = (2; 5) e w2 = v1 + v2 = (1; 2) + (0; 1) = (1; 3). Logo, B2 = f(2; 5); (1; 3)g . 273
  • 274.
    46. Sejam B1= fv1; v2g e B2 = fw1; w2g duas bases ordenadas de P1, onde w1 = 1 + t, w2 = 1 + t. Seja SB1!B2 = 2 3 1 2 , a matriz de mudança da base B1 para a base B2. Determinemos B1. Uma vez que SB1!B2 = 2 3 1 2 , então v1 = 2 ( 1 + t) (1 + t) = 3 + t e v2 = 3 ( 1 + t) + 2 (1 + t) = 1 + 5t. Logo, B1 = f 3 + t; 1 + 5tg . 47. Sejam B1 = f1; 1 t; t2 g e B2 = f1; 1 + t; 1 + t + t2 g duas bases ordenadas de P2. (i) Sejam 1; 2 e 3 as coordenadas de um vector p(t) 2 P2 em relação à base B2. Deter- minemos as coordenadas do mesmo vector p(t) em relação à base B1. Tem-se p(t) = 1 + 2 (1 + t) + 3 1 + t + t2 = 6 + 5t + 3t2 = 1 + (1 t) + t2 . É fácil ver que = 11, = 5 e = 3. Resolução alternativa: Tem-se SB2!B1 = 2 4 1 2 2 0 1 1 0 0 1 3 5 , uma vez que 1 = 1 + 0 (1 t) + 0t2 , 1 + t = 2 (1 t) + 0t2 e 1 + t + t2 = 2 (1 t) + t2 . Logo, as coordenadas de p(t) em relação à base B1 são dadas por: SB2!B1 2 4 1 2 3 3 5 = 2 4 1 2 2 0 1 1 0 0 1 3 5 2 4 1 2 3 3 5 = 2 4 11 5 3 3 5 , onde 1; 2 e 3 são as coordenadas de p(t) em relação à base B2. (ii) Determinemos a matriz SB1!B2 de mudança da base B1 para a base B2. Como 1 = 1 1 + 0 (1 + t) + 0 (1 + t + t2 ) 1 t = 2 1 (1 + t) + 0 (1 + t + t2 ) t2 = 0 1 (1 + t) + (1 + t + t2 ) 274
  • 275.
    então SB1!B2 = 2 4 1 20 0 1 1 0 0 1 3 5 . Além disso, bastaria ver que SB1!B2 = (SB2!B1 ) 1 = 2 4 1 2 2 0 1 1 0 0 1 3 5 1 = 2 4 1 2 0 0 1 1 0 0 1 3 5 . Logo, como 2 t + t2 = 1 + (1 t) + t2 as coordenadas do vector 2 t + t2 na base B2 são dadas por SB1!B2 2 4 1 1 1 3 5 = 2 4 1 2 0 0 1 1 0 0 1 3 5 2 4 1 1 1 3 5 = 2 4 3 2 1 3 5 , ou seja 2 t + t2 = 3 2 (1 + t) + 1 + t + t2 . 48. Sejam B1 = fv1; v2g e B2 = fw1; w2g duas bases ordenadas de P1, onde w1 = t, w2 = 1 t. Seja SB2!B1 = 2 3 1 2 , a matriz de mudança da base B2 para a base B1. Determinemos B1. Uma vez que SB2!B1 = 2 3 1 2 , então w1 = 2v1 v2 e w2 = 3v1 + 2v2. Isto é, tem-se o sistema 8 < : 2v1 v2 = t 3v1 + 2v2 = 1 t, cuja matriz aumentada é dada por 2 1 j t 3 2 j 1 t . Pelo método de eliminação de Gauss: 2 1 j t 3 2 j 1 t !3 2 L1+L2!L2 2 1 j t 0 7 2 j 1 5 2 t . 275
  • 276.
    Logo, v2 =2 7 5 7 t e v1 = 1 2 (v2 + t) = 1 7 + 1 7 t. Logo, B1 = 1 7 + 1 7 t; 2 7 5 7 t . 49. Sejam B1 = fv1; v2; v3g e B2 = fw1; w2; w3g duas bases ordenadas de R3 , onde v1 = (1; 0; 1), v2 = (1; 1; 0), v3 = (0; 0; 1). Seja SB1!B2 = 2 4 1 1 2 2 1 1 1 1 1 3 5 , a matriz de mudança da base B1 para a base B2. Determinemos B2 = fw1; w2; w3g. Uma vez que SB1!B2 = 2 4 1 1 2 2 1 1 1 1 1 3 5 , então v1 = w1 + 2w2 w3; v2 = w1 + w2 w3 e v3 = 2w1 + w2 + w3. Isto é, tem-se o sistema 8 < : w1 + 2w2 w3 = (1; 0; 1) w1 + w2 w3 = (1; 1; 0) 2w1 + w2 + w3 = (0; 0; 1), cuja matriz aumentada é dada por 2 4 1 2 1 j 1 0 1 1 1 1 j 1 1 0 2 1 1 j 0 0 1 3 5 . Pelo método de eliminação de Gauss: 2 4 1 2 1 j (1; 0; 1) 1 1 1 j (1; 1; 0) 2 1 1 j (0; 0; 1) 3 5 ! L1+L2!L2 2L1+L3!L3 2 4 1 2 1 j (1; 0; 1) 0 1 0 j (0; 1; 1) 0 3 3 j ( 2; 0; 1) 3 5 ! 3L2+L3!L3 ! 3L2+L3!L3 2 4 1 2 1 j (1; 0; 1) 0 1 0 j (0; 1; 1) 0 0 3 j ( 2; 3; 2) 3 5 . Tem-se então o sistema 8 >>>>< >>>>: w1 + 2w2 w3 = (1; 0; 1) w2 = (0; 1; 1) 3w3 = ( 2; 3; 2). Logo, w3 = 2 3 ; 1; 2 3 ; w2 = (0; 1; 1) e w1 = (1; 0; 1) 2(0; 1; 1) + 2 3 ; 1; 2 3 = 1 3 ; 1; 1 3 . Logo, B2 = 1 3 ; 1; 1 3 ; (0; 1; 1); 2 3 ; 1; 2 3 . 276
  • 277.
    Note que 2 4 1 3 02 3 1 1 1 1 3 1 2 3 3 5 2 4 1 1 2 2 1 1 1 1 1 3 5 = 2 4 1 1 0 0 1 0 1 0 1 3 5 , , 2 4 1 3 0 2 3 1 1 1 1 3 1 2 3 3 5 = 2 4 1 1 0 0 1 0 1 0 1 3 5 2 4 2 3 1 1 3 1 1 1 1 3 0 1 3 3 5 em que SB2!B1 = 2 4 1 1 2 2 1 1 1 1 1 3 5 1 = 2 4 2 3 1 1 3 1 1 1 1 3 0 1 3 3 5 ; SB1!B2 = 2 4 1 1 2 2 1 1 1 1 1 3 5 , B1 = f(1; 0; 1); (1; 1; 0); (0; 0; 1)g , B2 = 1 3 ; 1; 1 3 ; (0; 1; 1); 2 3 ; 1; 2 3 . 50. Sejam B1 = 1 0 0 0 ; 0 1 0 0 ; 0 0 1 0 , 0 0 0 1 e B2 = 1 1 1 1 ; 1 1 1 1 ; 1 1 1 1 , 1 1 1 1 duas bases ordenadas de M2 2(R). Determinemos a matriz SB1!B2 de mudança da base B1 para a base B2. Queremos encontrar a1; a2; a3; a4; b1; b2; b3; b4; c1; c2; c3; c4; d1; d2; d3; d4 2 R tais que 1 0 0 0 = a1 1 1 1 1 + a2 1 1 1 1 + a3 1 1 1 1 + a4 1 1 1 1 0 1 0 0 = b1 1 1 1 1 + b2 1 1 1 1 + b3 1 1 1 1 + b4 1 1 1 1 0 0 1 0 = c1 1 1 1 1 + c2 1 1 1 1 + c3 1 1 1 1 + c4 1 1 1 1 0 0 0 1 = d1 1 1 1 1 + d2 1 1 1 1 + d3 1 1 1 1 + d4 1 1 1 1 . Atendendo a 2 6 6 4 1 1 1 1 j 1 0 0 0 1 1 1 1 j 0 1 0 0 1 1 1 1 j 0 0 1 0 1 1 1 1 j 0 0 0 1 3 7 7 5 ! L1+L2!L2 L1+L3!L3 L1+L4!L4 2 6 6 4 1 1 1 1 j 1 0 0 0 0 0 2 2 j 1 1 0 0 0 2 0 2 j 1 0 1 0 0 2 2 0 j 1 0 0 1 3 7 7 5 ! L2$L4 277
  • 278.
    ! L2$L4 2 6 6 4 1 1 11 j 1 0 0 0 0 2 2 0 j 1 0 0 1 0 2 0 2 j 1 0 1 0 0 0 2 2 j 1 1 0 0 3 7 7 5 ! L2+L3!L3 2 6 6 4 1 1 1 1 j 1 0 0 0 0 2 2 0 j 1 0 0 1 0 0 2 2 j 0 0 1 1 0 0 2 2 j 1 1 0 0 3 7 7 5 ! L3+L4!L4 ! L2+L3!L3 2 6 6 4 1 1 1 1 j 1 0 0 0 0 2 2 0 j 1 0 0 1 0 0 2 2 j 0 0 1 1 0 0 0 4 j 1 1 1 1 3 7 7 5 . Logo, tem-se 1 1 0 1 = a1 1 0 0 0 + a2 1 2 0 0 + a3 1 2 2 0 + a4 1 0 2 4 0 0 0 1 = b1 1 0 0 0 + b2 1 2 0 0 + b3 1 2 2 0 + b4 1 0 2 4 0 0 1 1 = c1 1 0 0 0 + c2 1 2 0 0 + c3 1 2 2 0 + c4 1 0 2 4 0 1 1 1 = d1 1 0 0 0 + d2 1 2 0 0 + d3 1 2 2 0 + d4 1 0 2 4 . Isto é, tem-se os seguintes sistemas: 8 >>< >>: 1 = a1 + a2 + a3 + a4 1 = 2a2 + 2a3 0 = 2a3 + 2a4 1 = 4a4 8 >>< >>: 0 = b1 + b2 + b3 + b4 0 = 2b2 + 2b3 0 = 2b3 + 2b4 1 = 4b4 8 >>< >>: 0 = c1 + c2 + c3 + c4 0 = 2c2 + 2c3 1 = 2c3 + 2c4 1 = 4c4 8 >>< >>: 0 = d1 + d2 + d3 + d4 1 = 2d2 + 2d3 1 = 2d3 + 2d4 1 = 4d4 que são equivalentes a 8 >>>>>>>>< >>>>>>>>: a1 = 1 4 a2 = 1 4 a3 = 1 4 a4 = 1 4 8 >>>>>>>>< >>>>>>>>: b1 = 1 4 b2 = 1 4 b3 = 1 4 b4 = 1 4 8 >>>>>>>>< >>>>>>>>: c1 = 1 4 c2 = 1 4 c3 = 1 4 c4 = 1 4 8 >>>>>>>>< >>>>>>>>: d1 = 1 4 d2 = 1 4 d3 = 1 4 d4 = 1 4 . 278
  • 279.
    Logo, a matrizSB1!B2 de mudança da base B1 para a base B2 é dada por: SB1!B2 = 2 6 6 6 6 6 6 6 6 4 1 4 1 4 1 4 1 4 1 4 1 4 1 4 1 4 1 4 1 4 1 4 1 4 1 4 1 4 1 4 1 4 3 7 7 7 7 7 7 7 7 5 . Assim, as coordenadas do vector 1 2 3 4 em relação à base B2 são dadas por 2 6 6 6 6 6 6 6 6 4 1 4 1 4 1 4 1 4 1 4 1 4 1 4 1 4 1 4 1 4 1 4 1 4 1 4 1 4 1 4 1 4 3 7 7 7 7 7 7 7 7 5 2 6 6 4 1 2 3 4 3 7 7 5 = 2 6 6 6 6 6 6 6 6 4 2 3 2 1 1 2 3 7 7 7 7 7 7 7 7 5 . Isto é, 1 2 3 4 = 2 1 1 1 1 + 3 2 1 1 1 1 + 1 1 1 1 + 1 2 1 1 1 1 . 51. Seja B = fv1; v2g uma base ordenada de P1. Sejam (1; 1) e (2; 2) respectivamente as coordenadas de dois polinómios 1 + t e 1 t em relação à base B: Determine B. Tem-se 1 + t = v1 v2 1 t = 2v1 + 2v2 , 1 + t 1 t = 1 1 2 2 v1 v2 , , v1 v2 = 1 1 2 2 1 1 + t 1 t = 3 4 + 1 4 t 1 4 3 4 t . Logo B = 3 4 + 1 4 t; 1 4 3 4 t . 52. Sejam B1 = fv1; v2g e B2 = fw1; w2g duas bases ordenadas de P1. Suponha que (1; 1) e (2; 2) são respectivamente as coordenadas de um polinómio p (t) em relação às bases B1 e B2: Suponha ainda que (1; 1) e (2; 2) são respectivamente as coordenadas de um polinómio q (t) em relação às bases B1 e B2: Determine a matriz SB1!B2 de mudança da base B1 para a base B2. Seja SB1!B2 = a b c d . Tem-se 2 2 = a b c d 1 1 e 2 2 = a b c d 1 1 . 279
  • 280.
    Logo 8 >>< >>: 2 =a b 2 = c d 2 = a + b 2 = c + d , 2 6 6 4 2 2 2 2 3 7 7 5 = 2 6 6 4 1 1 0 0 0 0 1 1 1 1 0 0 0 0 1 1 3 7 7 5 2 6 6 4 a b c d 3 7 7 5 , , 2 6 6 4 a b c d 3 7 7 5 = 2 6 6 4 1 1 0 0 0 0 1 1 1 1 0 0 0 0 1 1 3 7 7 5 1 2 6 6 4 2 2 2 2 3 7 7 5 = 2 6 6 4 2 0 0 2 3 7 7 5 e assim SB1!B2 = 2 0 0 2 . 280
  • 281.
    Resolução da 2a Fichade exercícios facultativos 1. Seja V um espaço linear real e 0 o seu vector nulo. (i) Suponhamos que u + v = u + w. Queremos ver que v = w. Ora, v = 0 + v = (( u) + u) + v = ( u) + (u + v) = u+v=u+w = ( u) + (u + w) = (( u) + u) + w = 0 + w = w. Logo, v = w: (ii) Queremos ver que 0 = 0 para todo o escalar 2 R. Ora, 0 + 0 = 0 = (0 + 0) = 0 + 0 =) por (i) 0 = 0. (iii) Queremos ver que 0u = 0 para todo o vector u 2 V. Ora, 0u + 0 = 0u = (0 + 0) u = 0u + 0u =) por (i) 0 = 0u. (iv) Queremos ver que ( u) = u para todo o u 2 V. Ora, u + ( u) = 0 =) ( u) = u. (v) Queremos ver que o vector nulo 0 2 V é único. Ora, seja w 2 V tal que u+w = u, para todo o u 2 V. Então, u + w = u = u + 0 =) por (i) w = 0. (vi) Queremos ver que o simétrico u de um qualquer vector u de V é único. Ora, seja w 2 V tal que u + w = 0. Então, u + w = 0 = u + ( u) =) por (i) w = u. (vii) Queremos ver que ( 1)u = u para todo o u 2 V. Ora, u + ( 1) u = 1u + ( 1) u = (1 + ( 1)) u = 0u = 0. Logo, como o simétrico é único, ( 1)u = u. (viii) Queremos ver que: se u = 0, então = 0 ou u = 0: Suponhamos que u = 0. Se 6= 0, então u = 1u = 1 u = 1 ( u) = 1 0 = por (iv) 0. Como 6= 0 =) u = 0, então u 6= 0 =) = 0. Logo, u = 0 =) = 0 _ u = 0 (ix) Queremos ver que: se u 6= 0 e u = u, então = . Suponhamos que u 6= 0 e u = u. Ora, como u 6= 0 e ( ) u = 0, então = 0, atendendo a (viii). Isto é, = . 281
  • 282.
    2. O conjuntode todos os polinómios reais de grau igual a n: U = fa0 + a1t + + antn 2 Pn : a0; a1; :::; an 2 R e an 6= 0g , com as operações usuais, não é um espaço linear. Por exemplo: o polinómio nulo p(t) = 0 =2 U. 3. (i) ? 6= P2 P3 e: P2 = L 1; t; t2 . Logo, P2 é subespaço de P3. (ii) ? 6= Pn Pn+1 e: Pn = L (f1; t; :::; tn g) . Logo, Pn é subespaço de Pn+1. (iii) ? 6= Pn P e: Pn = L (f1; t; :::; tn g) . Logo, Pn é subespaço de P. 4. (i) Seja U = A 2 Mn n(R) : A = AT : Sejam A1; A2 2 U e 2 R. Tem-se A1 + A2 = AT 1 + AT 2 = (A1 + A2)T 2 U e, com A 2 U, A = AT = ( A)T 2 U. Logo, U é subespaço de Mn n(R). (ii) Seja U = fA 2 Mn n(R) : A é invertívelg : Por exemplo: a matriz nula não pertence a U. Logo, U não é subespaço de Mn n(R). (iii) Seja U = f(aij) 2 Mn n(R) : aij = 0 se i 6= j, com i; j = 1; :::; ng : Sejam (bij); (cij) 2 U e 2 R: Tem-se (bij) + (cij) = (bij + cij) 2 U, pois bij + cij = 0 se i 6= j, com i; j = 1; :::; n. E, com (aij) 2 U, (aij) = ( aij) 2 U, pois aij = 0 se i 6= j, com i; j = 1; :::; n. Logo, U é subespaço de Mn n(R). (iv) Seja U = fA 2 Mn n(R) : A é singularg : 282
  • 283.
    Por exemplo, paran = 2: 1 0 0 0 ; 0 0 0 1 2 U, mas 1 0 0 0 + 0 0 0 1 = 1 0 0 1 =2 U. Logo, U não é subespaço de Mn n(R). (v) Seja U = f(aij) 2 Mn n(R) : aij = 0 se i > j, com i; j = 1; :::; ng : Sejam (bij); (cij) 2 U e 2 R: Tem-se (bij) + (cij) = (bij + cij) 2 U, pois bij + cij = 0 se i > j, com i; j = 1; :::; n. E, com (aij) 2 U, (aij) = ( aij) 2 U, pois aij = 0 se i > j, com i; j = 1; :::; n. Logo, U é subespaço de Mn n(R). 5. Seja V o espaço linear de todas as funções reais de variável real. (i) Seja U = ff : Dom f R ! R tais que 9k > 0 : jf(x)j k; 8x 2 Dom fg o conjunto de todas as funções limitadas. Sejam f1; f2 2 U e 2 R. Tem-se f1 + f2 2 U, pois j(f1 + f2) (x)j = jf1(x) + f2(x)j jf1(x)j + jf2(x)j f1;f22U k1 + k2, para todo o x 2 Dom f1 Dom f2. E, com f 2 U, f 2 U, pois j( f) (x)j = j j jf(x)j f2U j j k, para todo o x 2 Dom f. Logo, U é subespaço de V . (ii) Seja U = ff : Dom f R ! R tais que f(x) = f( x); 8x 2 Dom fg o conjunto de todas as funções pares. Sejam f1; f2 2 U e 2 R. Tem-se f1 + f2 2 U, pois (f1 + f2) (x) = f1(x) + f2(x) = f1;f22U f1( x) + f2( x) = (f1 + f2) ( x), 283
  • 284.
    para todo ox 2 Dom f1 Dom f2. E, com f 2 U, f 2 U, pois ( f) (x) = f(x) = f2U f( x) = ( f) ( x), para todo o x 2 Dom f. Logo, U é subespaço de V . (iii) O conjunto de todas as funções racionais, isto é, as que são quocientes de funções polinomiais, é um subespaço de V (iv) Seja U = ff : Domf R ! R tais que f é crescenteg: Se f fôr crescente então f é decrescente, isto é, f 2 U =) f =2 U. Logo, U não é subespaço de V . (v) Seja U = ff : Dom f R ! R tais que f(0) = f(1); 8x 2 Dom fg Sejam f1; f2 2 U e 2 R. Tem-se f1 + f2 2 U, pois (f1 + f2) (0) = f1(0) + f2(0) = f1;f22U f1(1) + f2(1) = (f1 + f2) (1), para todo o x 2 Dom f1 Dom f2. E, com f 2 U, f 2 U, pois ( f) (0) = f(0) = f2U f(1) = ( f) (1), para todo o x 2 Dom f. Logo, U é subespaço de V . (vi) Seja U = ff : Domf R ! R tais que f(0) = 1 + f(1)g: Sejam f1; f2 2 U. Tem-se (f1 + f2) (0) = f1(0) + f2(0) = f1;f22U 2 + f1(1) + f2(1) = 2 + (f1 + f2) (1), isto é, f1 + f2 =2 U. Logo, U não é subespaço de V . 6. Dem. Seja fv1; v2; v3g uma base de um espaço linear V . Observe-se que fv1 + v2; v2 + v3; v1 + v3g L (fv1; v2; v3g) , pelo que L(fv1 + v2; v2 + v3; v1 + v3g) L (fv1; v2; v3g) . 284
  • 285.
    Mas, como 8 >>>>< >>>>: v1= 1 2 (v1 + v2) 1 2 (v2 + v3) + 1 2 (v1 + v3) v2 = 1 2 (v1 + v2) 1 2 (v1 + v3) + 1 2 (v2 + v3) v3 = 1 2 (v1 + v3) 1 2 (v1 + v2) + 1 2 (v2 + v3) tem-se L (fv1; v2; v3g) L(fv1 + v2; v2 + v3; v1 + v3g). Logo, L(fv1 + v2; v2 + v3; v1 + v3g) = L (fv1; v2; v3g) = V . Vejamos agora que o conjunto fv1 + v2; v2 + v3; v1 + v3g é linearmente independente: Sejam 1; 2; 3 2 R tais que 1(v1 + v2) + 2(v2 + v3) + 3(v1 + v3) = 0. Isto é, ( 1 + 3)v1 + ( 1 + 2)v2 + ( 2 + 3)v3 = 0. Como fv1; v2; v3g é uma base de V , em particular é linearmente independente. Logo, 8 < : 1 + 3 = 0 1 + 2 = 0 2 + 3 = 0 o que é equivalente ao sistema homogéneo: A 2 4 1 2 3 3 5 = 2 4 0 0 0 3 5 : com A = 2 4 1 0 1 1 1 0 0 1 1 3 5. Como det A = 2 6= 0, então A é invertível e tem-se 1 = 2 = 3 = 0. Logo, fv1 + v2; v2 + v3; v1 + v3g é uma base de V pois trata-se de um conjunto de vectores linearmente independente que gera V . 7. Seja A uma matriz (real) invertível do tipo n n. Suponhamos que fv1; v2; : : : ; vng é uma base de Rn . Queremos provar que fAv1; Av2; : : : ; Avng é também uma base de Rn . Dem. Vejamos primeiro que o conjunto fAv1; Av2; : : : ; Avng é linearmente indepen- dente. Sejam 1; 2; : : : ; n 2 R tais que 1(Av1) + 2(Av2) + + n(Avn) = 0. Queremos ver que 1 = 2 = : : : = n = 0. Observe-se que 1(Av1) + 2(Av2) + + n(Avn) = A( 1v1) + A( 2v2) + + A( nvn) = A( 1v1 + 2v2 + + nvn). Logo, 1(Av1) + 2(Av2) + + n(Avn) = 0 () A( 1v1 + 2v2 + + nvn) = 0. 285
  • 286.
    Como A éinvertível, tem-se A 1 A( 1v1 + 2v2 + + nvn) = A 1 0 , I( 1v1 + 2v2 + + nvn) = 0 , 1v1 + 2v2 + + nvn = 0. Como fv1; v2; : : : ; vng é uma base de Rn , então 1 = 2 = : : : = n = 0: Logo, fAv1; Av2; : : : ; Avng é um subconjunto de Rn formado por n vectores linearmente independentes. Como a dimensão de Rn é n, então fAv1; Av2; : : : ; Avng é uma base de Rn . 8. Sejam V um espaço linear e S = fv1; v2; : : : ; vng. Dem. ()) Suponhamos que S é uma base de V . Queremos provar que todo o vector de V se escreve de maneira única como combinação linear dos elementos de S. Assim, seja v um vector qualquer de V . Como S é uma base de V , então em particular gera V . Pelo que, existem 1; 2; : : : ; n 2 R tais que v = 1v1 + 2v2 + + nvn. Suponhamos que também existiam 1; 2; : : : ; n 2 R tais que v = 1v1 + 2v2 + + nvn. Logo, ( 1 1)v1 + ( 2 2)v2 + + ( n n)vn = 0. Como fv1; v2; : : : ; vng é um conjunto linearmente independente (por ser base), então temos 1 = 1; 2 = 2; : : : ; n = n. Logo, conclui-se que todo o vector de V se escreve de maneira única como combinação linear dos elementos de S. (() Suponhamos agora que todo o vector de V se escreve de maneira única como combinação linear dos elementos de S. Queremos provar que S = fv1; v2; : : : ; vng é uma base de V . Como todo o vector de V se escreve como combinação linear dos elementos de S, então S gera V . Falta ver que S é linearmente independente. Assim, sejam 1; 2; : : : ; n 2 R tais que 1v1 + 2v2 + + nvn = 0. Como 0 = 0v1 + 0v2 + + 0vn, e uma vez que por hipótese todo o vector de V se escreve de maneira única como combinação linear dos elementos de S, conclui-se que 1 = 2 = : : : = n = 0. Logo, S = fv1; v2; : : : ; vng é uma base de V . Fica assim provada a equivalência referida na questão. 286
  • 287.
    9. Seja fv1;v2g uma base de um espaço linear U. Considere os vectores w1 = av1 + bv2 e w2 = cv1 + dv2; com a; b; c; d 2 R. Queremos provar que fw1; w2g é também uma base de U se e só se ad 6= bc. Dem. (() Suponhamos que ad 6= bc. Vejamos que fw1; w2g é uma base de U. Vamos começar por veri…car que o conjunto fw1; w2g é linearmente independente: Sejam 1; 2 2 R tais que 1w1 + 2w2 = 0. Queremos ver que 1 = 2 = 0. Observe-se que 1w1 + 2w2 = 1(av1 + bv2) + 2(cv1 + dv2) = ( 1a + 2c)v1 + ( 1b + 2d)v2. Logo, 1w1 + 2w2 = 0 , ( 1a + 2c)v1 + ( 1b + 2d)v2 = 0. Como o conjunto fv1; v2g é uma base de U, em particular é linearmente independente. Logo, 1a + 2c = 1b + 2d = 0 2 R. Isto é, a c b d 1 2 = 0 0 . Ou seja, A = 0, onde A = a c b d , = 1 2 e 0 = 0 0 . Como ad 6= bc e det A = ad bc, então det A 6= 0, isto é, A é invertível e como tal: A 1 A = A 1 0 , I = 0 , = 0. Logo, 1 = 2 = 0 e deste modo o conjunto fw1; w2g é linearmente independente. Como dim U = 2 e como w1; w2 são dois vectores de U, linearmente independentes, então conclui-se que fw1; w2g é uma base de U (não sendo necessário veri…car se o conjunto fw1; w2g gera U). ()) Reciprocamente, se fw1; w2g é uma base de U, em particular é linearmente inde- pendente, e como tal tem-se ( 1w1 + 2w2 = 0) ) ( 1 = 2 = 0) . Isto é, a equação A = 0, onde A = a c b d , = 1 2 e 0 = 0 0 , tem como solução única = 0. O que é equivalente a ter-se det A 6= 0, isto é, ad 6= bc. 287
  • 288.
    Demonstração alternativa. Comoo conjunto fv1; v2g é uma base do espaço linear U então dim U = 2. Logo, se o conjunto fw1; w2g fôr linearmente independente então será uma base do espaço linear U. Assim, bastará provar que o conjunto fw1; w2g é linearmente independente se e só se a matriz a b c d fôr invertível. Seja 0 o vector nulo do espaço linear U. Sejam 1; 2 2 R tais que 1w1 + 2w2 = 0: Queremos ver que 1 = 2 = 0 se e só se a matriz a b c d fôr invertível. Observe-se que 1w1 + 2w2 = 1(av1 + bv2) + 2(cv1 + dv2) = ( 1a + 2c)v1 + ( 1b + 2d)v2. Logo, 1w1 + 2w2 = 0 , ( 1a + 2c)v1 + ( 1b + 2d)v2 = 0. Como o conjunto fv1; v2g é uma base do espaço linear U, em particular é linearmente independente. Logo, 1a + 2c = 1b + 2d = 0 2 R. Isto é, a c b d 1 2 = 0 0 . Ou seja, A = 00 , onde A = a c b d , = 1 2 e 00 = 0 0 . Como a equação A = 00 apenas admite a solução trivial = 00 se e só se a matriz A fôr invertível e como a matriz A é invertível se e só se a matriz AT = a b c d fôr invertível, tem-se então o resultado pretendido. 10. Sejam A uma matriz m n e B uma matriz n p. Mostre que dim C (AB) = dim C (B) dim (N (A) C (B)) . Sugestão: Considere (no caso em que N (A) C (B) 6= f0g) uma base fx1; : : : ; xsg para N (A) C (B) e suponha (no caso em que AB 6= 0) que fx1; : : : ; xs; y1; : : : ; ytg é uma base para C (B). Mostre que fAy1; : : : ; Aytg é uma base para C (AB). Dem. Se N (A) C (B) = f0g, então dim (N (A) C (B)) = 0 e dim C (AB) = dim C (B) : Suponhamos então que N (A)C (B) 6= f0g. Seja fx1; : : : ; xsg uma base para N (A) C (B) e suponhamos que AB 6= 0 (no caso em que AB = 0 tem-se dim C (AB) = 0 e dim C (B) = dim (N (A) C (B)) uma vez que C (B) N (A)): Seja fx1; : : : ; xs; y1; : : : ; ytg é uma base para C (B). Nesse caso dim C (AB) = s + t. Vejamos que fAy1; : : : ; Aytg é uma base para C (AB). 288
  • 289.
    Seja b 2C (AB). Tem-se ABz = b para algum z. Mas, como Bz 2 C (B), então existem escalares 1; : : : ; s; 1; : : : ; t tais que Bz = sX i=1 ixi + tX j=1 jyj. Logo, b = ABz = A sX i=1 ixi + tX i=1 jyj ! = sX i=1 iAxi + tX j=1 jAyj = fx1;:::;xsg N(A) tX j=1 jAyj, isto é, fAy1; : : : ; Aytg gera C (AB). Vejamos que fAy1; : : : ; Aytg é linearmente independente. Suponhamos que existiam escalares 1; : : : ; t tais que 0 = tX j=1 jAyj. Tem-se 0 = tX j=1 jAyj = A tX j=1 jyj ! e então tX j=1 jyj 2 N (A) C (B). E assim, existem escalares 1; : : : ; s tais que tX j=1 jyj = sX i=1 ixi: Como tX j=1 jyj = sX i=1 ixi , tX j=1 jyj sX i=1 ixi = 0 ! e atendendo a que fx1; : : : ; xs; y1; : : : ; ytg é uma base para C (B), tem-se 1 = : : : = t = 1 = : : : = s = 0 e assim o conjunto fAy1; : : : ; Aytg é linearmente independente. Logo, o conjunto fAy1; : : : ; Aytg é uma base para C (AB) e assim dim C (B) = s + t = dim (N (A) C (B)) + dim C (AB) , , dim C (AB) = dim C (B) dim (N (A) C (B)) . 11. Considere os seguintes r vectores de Rn : x1 = (x11; x12; : : : ; x1n); x2 = (x21; x22; : : : ; x2n); : : : ; xr = (xr1; xr2; : : : ; xrn): Mostre que se jxjjj > rP i=1(i6=j) jxijj para todo o j = 1; : : : ; r então o conjunto x1 ; x2 ; : : : ; xr 289
  • 290.
    é linearmente independente. Sugestão:Considere v = (v1; : : : ; vn) = 1x1 + 2x2 + + rxr ; com 1; 2; : : : ; r 2 R e mostre que se existir j 6= 0 (com j 2 f1; : : : ; rg) tal que j jj > j ij; para todo o i = 1; : : : ; r; então vj 6= 0. Dem. Seja v = (v1; : : : ; vn) = 1x1 + 2x2 + + rxr ; com 1; 2; : : : ; r 2 R. Suponhamos que existe j 6= 0 (com j 2 f1; : : : ; rg) tal que j jj > j ij; para todo o i = 1; : : : ; r. Queremos mostrar que vj 6= 0. Suponhamos então (com vista a uma contradição) que vj = 0. Nesse caso, teríamos rX i=1 ixij | {z } = vj = 0 , jxjj = rX i=1 i6=j ixij. Como j jj jxjjj = j jxjjj = rX i=1 i6=j ixij rX i=1 i6=j j ixijj = rX i=1 i6=j j ij jxijj j ij j jj i=1;:::;r j jj 0 B @ rX i=1 i6=j jxijj 1 C A e j 6= 0 (com j 2 f1; : : : ; rg) então teríamos jxjjj 0 B @ rX i=1 i6=j jxijj 1 C A o que contradiz a hipótese de se ter jxjjj > rX i=1(i6=j) jxijj para todo o j = 1; : : : ; r. Logo mostrámos que a existir j 6= 0 (com j 2 f1; : : : ; rg) tal que j jj > j ij; para todo o i = 1; : : : ; r; então vj 6= 0, o que equivale a dizer que o conjunto x1 ; x2 ; : : : ; xr é linearmente independente. 290
  • 291.
    12. Seja y2 C (A + B). Então existe x tal que y = (A + B) x = Ax + Bx 2 C (A) + C (B) : Logo C (A + B) C (A) + C (B) : 13. Seja A 2 Mm n(R). Vejamos que N AT C (A) = f0g : Seja y 2 N AT C (A). Então existe x tal que AT y = 0 e y = Ax: Logo yT = xT AT e 0 = xT AT y = xT AT y = yT y: Isto é 0 = yT y = nX i=1 y2 i ou seja y = (y1; :::; yn) = (0; :::; 0) = 0. Logo, sem perda de generalidade, N (A) L (A) = f0g : 14. Como B = C + B C e C (B) = C (C + B C) C (C) + C (B C) então car B = dim C (B) dim C (C) + dim C (B C) = car C + car (B C) : Pelo que car B car C car (B C). De um modo análogo, como C = B + [ (B C)] e C (C) = C (B + [ (B C)]) C (B) + C (B C) então car C car B car (B C) : Logo jcar B car Cj car (B C) : 15. Sejam ; ; ; 2 R tais que v + Av + A2 v + A3 v = 0: Multiplicando a igualdade anterior por A3 e atendendo a que A4 = 0 e assim A5 = A6 = A7 = 0, então A3 v = 0 e deste modo = 0 uma vez que A3 v 6= 0 (v =2 N(A3 )). Analogamente: multiplicando a igualdade Av+ A2 v+ A3 v = 0 por A2 tem-se = 0, multiplicando a igualdade A2 v+ A3 v = 0 por A tem-se = 0 e …nalmente de A3 v = 0 obtém-se = 0. Logo, o conjunto fv; Av; A2 v; A3 vg é linearmente independente. 291
  • 292.
    Resolução da 4a Fichade exercícios para as aulas de problemas 1. Sejam a; b 2 R. A aplicação Ta;b : R ! R de…nida por Ta;b (x) = ax + b é linear se e só se b = 0 e a 2 R. 2. (i) Seja T : R2 ! R2 com T(x; y) = (x + 2y; 3x y). T é linear e tem-se M(T; B2 c ; B2 c ) = 1 2 3 1 , uma vez que T(1; 0) = (1; 3) e T(0; 1) = (2; 1). Tem-se N(T) = (x; y) 2 R2 : T(x; y) = (0; 0) = (x; y) 2 R2 : (x + 2y; 3x y) = (0; 0) = = (x; y) 2 R2 : x = 2y e 3x = y = f(0; 0)g . Logo T é injectiva e dim N(T) = 0. Uma vez que dim R2 |{z} espaço de partida = dim N(T) + dim I(T), então dim I(T) = 2. Vejamos como encontrar uma base para I(T). Tem-se I(T) = f(x + 2y; 3x y) : x; y 2 Rg = fx(1; 3) + y(2; 1) : x; y 2 Rg = L (f(1; 3); (2; 1)g) . Como o conjunto f(1; 3); (2; 1)g é linearmente independente e como gera I(T) então f(1; 3); (2; 1)g é uma base de I(T). Por outro lado, como I(T) é subespaço de R2 e dim I(T) = dim R2 então I(T) = R2 , isto é, T é sobrejectiva. Sendo T sobrejectiva e tendo-se dim (espaço de partida) = dim (espaço de chegada) então T também é injectiva, como se constatou no facto de se ter N(T) = f(0; 0)g. Como T é injectiva e sobrejectiva, então T é bijectiva. Observação: T é injectiva se e só se N(T) = f0g, onde 0 é o vector nulo do espaço de partida. Resolução alternativa para encontrar uma base para I(T). Sendo M(T; B2 c ; B2 c ) = 1 2 3 1 , a matriz que representa a transformação linear T em relação à base canónica B2 c no espaço de partida e no espaço de chegada, tem-se T(x; y) = M(T; B2 c ; B2 c ) x y . Logo, N(T) = N M(T; B2 c ; B2 c ) = N 1 2 3 1 = N 1 2 0 7 = f(0; 0)g 292
  • 293.
    e I(T) = CM(T; B2 c ; B2 c ) = C 1 2 3 1 = L (f(1; 3); (2; 1)g) . O conjunto f(1; 3); (2; 1)g é uma base de I(T). (ii) Seja T : R2 ! R2 com T(x; y) = (1 y; 2x). T não é linear pois T(0; 0) = (1; 0) 6= (0; 0). (iii) Seja T : R3 ! R3 com T(x; y; z) = (x; 2x; x). T é linear e tem-se M(T; B3 c ; B3 c ) = 2 4 1 0 0 2 0 0 1 0 0 3 5 , uma vez que T(1; 0; 0) = (1; 2; 1); T(0; 1; 0) = (0; 0; 0) e T(0; 0; 1) = (0; 0; 0). Tem-se N(T) = (x; y; z) 2 R3 : T(x; y; z) = (0; 0; 0) = (x; y; z) 2 R3 : (x; 2x; x) = (0; 0; 0) = = (0; y; z) 2 R3 : y; z 2 R = y(0; 1; 0) + z(0; 0; 1) 2 R3 : y; z 2 R = = L (f(0; 1; 0); (0; 0; 1)g) . Como o conjunto f(0; 1; 0); (0; 0; 1)g é linearmente independente e como gera N(T) então f(0; 1; 0); (0; 0; 1)g é uma base de N(T). Logo, dim N(T) = 2. Uma vez que dim R3 |{z} espaço de partida = dim N(T) + dim I(T), então dim I(T) = 1. Vejamos como encontrar uma base para I(T). Tem-se I(T) = f(x; 2x; x) : x 2 Rg = fx(1; 2; 1) : x 2 Rg = L (f(1; 2; 1)g) . Como o conjunto f(1; 2; 1)g é linearmente independente e como gera I(T) então f(1; 2; 1)g é uma base de I(T). Por outro lado, como I(T) 6= R3 então T não é sobrejectiva. Como N(T) 6= f(0; 0; 0)g então T não é injectiva. Resolução alternativa para encontrar bases para N(T) e I(T). Sendo M(T; B3 c ; B3 c ) = 2 4 1 0 0 2 0 0 1 0 0 3 5 , a matriz que representa a transformação linear T em relação à base canónica B3 c no espaço de partida e no espaço de chegada, tem-se T(x; y; z) = M(T; B3 c ; B3 c ) 2 4 x y z 3 5 . 293
  • 294.
    Logo, N(T) = NM(T; B3 c ; B3 c ) = N 0 @ 2 4 1 0 0 2 0 0 1 0 0 3 5 1 A = N 0 @ 2 4 1 0 0 0 0 0 0 0 0 3 5 1 A = L (f(0; 1; 0); (0; 0; 1)g) e I(T) = C M(T; B3 c ; B3 c ) = C 0 @ 2 4 1 0 0 2 0 0 1 0 0 3 5 1 A = L (f(1; 2; 1)g) . O conjunto f(0; 1; 0); (0; 0; 1)g é uma base de N(T) e o conjunto f(1; 2; 1)g é uma base de I(T). (iv) Seja T : R3 ! R2 com T(x; y; z) = (0; 0). T é linear e tem-se M(T; B3 c ; B2 c ) = 0 0 0 0 0 0 , uma vez que T(1; 0; 0) = T(0; 1; 0) = T(0; 0; 1) = (0; 0). Tem-se N(T) = (x; y; z) 2 R3 : T(x; y; z) = (0; 0) = (x; y; z) 2 R3 : x; y; z 2 R = R3 . Uma base para N(T) poderá ser a base canónica B3 c . Logo, dim N(T) = 3. Uma vez que dim R3 |{z} espaço de partida = dim N(T) + dim I(T), então dim I(T) = 0. De facto I(T) = f(0; 0)g . Por outro lado, como I(T) 6= R2 então T não é sobrejectiva. Como N(T) 6= f(0; 0; 0)g então T não é injectiva. Resolução alternativa para encontrar uma base para N(T). Sendo M(T; B3 c ; B2 c ) = 0 0 0 0 0 0 , a matriz que representa a transformação linear T em relação às bases canónicas B3 c e B2 c nos espaços de partida e de chegada respectivamente, tem-se T(x; y; z) = M(T; B3 c ; B2 c ) 2 4 x y z 3 5 . Logo, N(T) = N M(T; B3 c ; B2 c ) = N 0 0 0 0 0 0 = R3 = L (f(1; 0; 0); (0; 1; 0); (0; 0; 1)g) e I(T) = C M(T; B3 c ; B2 c ) = C 0 0 0 0 0 0 = f(0; 0)g . 294
  • 295.
    Uma base paraN(T) poderá ser a base canónica B3 c . (v) Seja T : R2 ! R com T(x; y) = 3x. T é linear e tem-se M(T; B2 c ; Bc) = 3 0 , uma vez que T(1; 0) = 3 e T(0; 1) = 0. Note que Bc = f1g é a base canónica de R. Tem-se N(T) = (x; y) 2 R2 : T(x; y) = 0 = (x; y) 2 R2 : 3x = 0 = = (0; y) 2 R2 : y 2 R = y(0; 1) 2 R2 : y 2 R = L (f(0; 1)g) . Como o conjunto f(0; 1)g é linearmente independente e como gera N(T) então f(0; 1)g é uma base de N(T). Logo, dim N(T) = 1. Uma vez que dim R2 |{z} espaço de partida = dim N(T) + dim I(T), então dim I(T) = 1. Vejamos como encontrar uma base para I(T). Tem-se I(T) = f 3x : x 2 Rg = L (f1g) . Como o conjunto f1g é linearmente independente e como gera I(T) então f1g é uma base de I(T), a base canónica de R. Por outro lado, como I(T) é subespaço de R e dim I(T) = dim R então I(T) = R, isto é, T é sobrejectiva. Como N(T) 6= f(0; 0)g então T não é injectiva. Resolução alternativa para encontrar bases para N(T) e I(T). Sendo M(T; B2 c ; Bc) = 3 0 , a matriz que representa a transformação linear T em relação às bases canónicas B2 c no espaço de partida e Bc no espaço de chegada, tem-se T(x; y) = M(T; B2 c ; Bc) x y . Logo, N(T) = N M(T; B2 c ; Bc) = N 3 0 = L (f(0; 1)g) e I(T) = C M(T; B2 c ; Bc) = C 3 0 = L (f 3g) = L (f1g) . O conjunto f(0; 1)g é uma base de N(T) e o conjunto f1g é uma base de I(T). (vi) T : R3 ! R3 com T(x; y; z) = (0; 1; 2). T não é linear pois T(0; 0; 0) = (0; 1; 2) 6= (0; 0; 0). (vii) T : R ! R3 com T(x) = (2x; 0; x). T é linear e tem-se M(T; Bc; B3 c ) = 2 4 2 0 1 3 5 , 295
  • 296.
    uma vez queT(1) = (2; 0; 1). Tem-se N(T) = fx 2 R : T(x) = (0; 0; 0)g = fx 2 R : (2x; 0; x) = (0; 0; 0)g = f0g . Logo, dim N(T) = 0. Uma vez que dim R|{z} espaço de partida = dim N(T) + dim I(T), então dim I(T) = 1. Vejamos como encontrar uma base para I(T). Tem-se I(T) = f(2x; 0; x) : x 2 Rg = fx(2; 0; 1) : x 2 Rg = L (f(2; 0; 1)g) . Como o conjunto f(2; 0; 1)g é linearmente independente e como gera I(T) então f(2; 0; 1)g é uma base de I(T). Por outro lado, como I(T) 6= R3 então T não é sobrejectiva. Como N(T) = f0g então T é injectiva. Resolução alternativa para encontrar uma base para I(T). Sendo M(T; Bc; B3 c ) = 2 4 2 0 1 3 5 , a matriz que representa a transformação linear T em relação às bases canónicas Bc no espaço de partida e B3 c no espaço de chegada, tem-se T(x) = M(T; B3 c ; B3 c ) [x] . Logo, N(T) = N M(T; Bc; B3 c ) = N 0 @ 2 4 2 0 1 3 5 1 A = N 0 @ 2 4 2 0 0 3 5 1 A = L (f0g) = f0g e I(T) = C M(T; Bc; B3 c ) = C 0 @ 2 4 2 0 1 3 5 1 A = L (f(2; 0; 1)g) . O conjunto f(2; 0; 1)g é uma base de I(T). (viii) T : R3 ! R2 com T(x; y; z) = (x2 y; 2y). T não é linear, pois por exemplo: T ((1; 0; 0) + (1; 0; 0)) = T(2; 0; 0) = (4; 0) 6= (2; 0) = T(1; 0; 0) + T(1; 0; 0). (ix) Seja T : R4 ! R2 com T(x; y; z; w) = (x y; 3w). T é linear e tem-se M(T; B4 c ; B2 c ) = 1 1 0 0 0 0 0 3 , 296
  • 297.
    uma vez queT(1; 0; 0; 0) = (1; 0); T(0; 1; 0; 0) = ( 1; 0); T(0; 0; 1; 0) = (0; 0) e T(0; 0; 0; 1) = (0; 3). Tem-se N(T) = (x; y; z; w) 2 R4 : T(x; y; z; w) = (0; 0) = (x; y; z; w) 2 R4 : (x y; 3w) = (0; 0) = = (x; y; z; w) 2 R4 : x = y e w = 0 = (y; y; z; 0) 2 R4 : y; z 2 R = = y(1; 1; 0; 0) + z(0; 0; 1; 0) 2 R4 : y; z 2 R = L (f(1; 1; 0; 0); (0; 0; 1; 0)g) . Como o conjunto f(1; 1; 0; 0); (0; 0; 1; 0)g é linearmente independente e como gera N(T) então f(1; 1; 0; 0); (0; 0; 1; 0)g é uma base de N(T). Logo, dim N(T) = 2. Uma vez que dim R4 |{z} espaço de partida = dim N(T) + dim I(T), então dim I(T) = 2. Vejamos como encontrar uma base para I(T). Tem-se I(T) = f(x y; 3w) : x; y; w 2 Rg = fx(1; 0) + y( 1; 0) + w(0; 3) : x; y; w 2 Rg = = L (f(1; 0); ( 1; 0); (0; 3)g) . Como o conjunto f(1; 0); (0; 3)g é linearmente independente e como gera I(T) então f(1; 0); (0; 3)g é uma base de I(T). Por outro lado, como I(T) é subespaço de R2 e dim I(T) = dim R2 então I(T) = R2 , isto é, T é sobrejectiva. Como N(T) 6= f(0; 0; 0; 0)g então T não é injectiva. Resolução alternativa para encontrar bases para N(T) e I(T). Sendo M(T; B4 c ; B2 c ) = 1 1 0 0 0 0 0 3 , a matriz que representa a transformação linear T em relação às bases canónicas B4 c no espaço de partida e B2 c no espaço de chegada, tem-se T(x; y; z; w) = M(T; B4 c ; B2 c ) 2 6 6 4 x y z w 3 7 7 5 . Logo, N(T) = N M(T; B4 c ; B2 c ) = N 1 1 0 0 0 0 0 3 = L (f(1; 1; 0; 0); (0; 0; 1; 0)g) e I(T) = C M(T; B2 c ; B2 c ) = C 1 1 0 0 0 0 0 3 = L (f(1; 0); (0; 3)g) . O conjunto f(1; 1; 0; 0); (0; 0; 1; 0)g é uma base de N(T) e o conjunto f(1; 0); (0; 3)g é uma base de I(T). (x) Seja T : R3 ! R4 com T(x; y; z) = ( z; y 2z; 2y; y + z). T é linear e tem-se M(T; B3 c ; B4 c ) = 2 6 6 4 0 0 1 0 1 2 0 2 0 0 1 1 3 7 7 5 , 297
  • 298.
    uma vez queT(1; 0; 0) = (0; 0; 0); T(0; 1; 0) = (0; 1; 2; 1) e T(0; 0; 1) = ( 1; 2; 0; 1). Tem-se N(T) = (x; y; z) 2 R3 : T(x; y; z) = (0; 0; 0; 0) = = (x; y; z) 2 R3 : ( z; y 2z; 2y; y + z) = (0; 0; 0; 0) = = (x; 0; 0) 2 R3 : x 2 R = L (f(1; 0; 0)g) . Como o conjunto f(1; 0; 0)g é linearmente independente e como gera N(T) então f(1; 0; 0)g é uma base de N(T). Logo, dim N(T) = 1. Uma vez que dim R3 |{z} espaço de partida = dim N(T) + dim I(T), então dim I(T) = 2. Vejamos como encontrar uma base para I(T). Tem-se I(T) = f( z; y 2z; 2y; y + z) : y; z 2 Rg = L (f(0; 1; 2; 1); ( 1; 2; 0; 1)g) . Como o conjunto f(0; 1; 2; 1); ( 1; 2; 0; 1)g é linearmente independente e como gera I(T) então f(0; 1; 2; 1); ( 1; 2; 0; 1)g é uma base de I(T). Por outro lado, como I(T) 6= R4 então T não é sobrejectiva. Como N(T) 6= f(0; 0; 0)g então T não é injectiva. Resolução alternativa para encontrar bases para N(T) e I(T). Sendo M(T; B3 c ; B4 c ) = 2 6 6 4 0 0 1 0 1 2 0 2 0 0 1 1 3 7 7 5 , a matriz que representa a transformação linear T em relação à base canónica B3 c no espaço de partida e no espaço de chegada, tem-se T(x; y; z) = M(T; B3 c ; B4 c ) 2 4 x y z 3 5 . Logo, N(T) = N M(T; B3 c ; B4 c ) = N 0 B B @ 2 6 6 4 0 0 1 0 1 2 0 2 0 0 1 1 3 7 7 5 1 C C A = = N 0 B B @ 2 6 6 4 0 0 1 0 1 0 0 2 0 0 1 0 3 7 7 5 1 C C A = N 0 B B @ 2 6 6 4 0 0 1 0 1 0 0 0 0 0 0 0 3 7 7 5 1 C C A = L (f(1; 0; 0)g) e I(T) = C M(T; B3 c ; B4 c ) = C 0 B B @ 2 6 6 4 2 6 6 4 0 0 1 0 1 2 0 2 0 0 1 1 3 7 7 5 3 7 7 5 1 C C A = L (f(0; 1; 2; 1); ( 1; 2; 0; 1)g) . 298
  • 299.
    O conjunto f(1;0; 0)g é uma base de N(T) e o conjunto f(0; 1; 2; 1); ( 1; 2; 0; 1)g é uma base de I(T). (xi) Seja T : R ! R2 com T(x) = (0; 0). T é linear e tem-se M(T; Bc; B2 c ) = 0 0 , uma vez que T(1) = (0; 0). Tem-se N(T) = fx 2 R : T(x) = (0; 0)g = fx : x 2 Rg = R. Uma base para N(T) poderá ser a base canónica Bc = f1g. Logo, dim N(T) = 1. Uma vez que dim R|{z} espaço de partida = dim N(T) + dim I(T), então dim I(T) = 0. De facto I(T) = f(0; 0)g . Por outro lado, como I(T) 6= R2 então T não é sobrejectiva. Como N(T) 6= f0g então T não é injectiva. Resolução alternativa para encontrar uma base para N(T). Sendo M(T; Bc; B2 c ) = 0 0 , a matriz que representa a transformação linear T em relação às bases canónicas Bc e B2 c nos espaços de partida e de chegada respectivamente, tem-se T(x) = M(T; Bc; B2 c ) x . Logo, N(T) = N M(T; Bc; B2 c ) = N 0 0 = R = L (f1g) e I(T) = C M(T; Bc; B2 c ) = C 0 0 = f(0; 0)g . Uma base para N(T) poderá ser a base canónica Bc = f1g. (xii) Seja T : R3 ! R3 com T(x; y; z) = (x + 2y; 3z; x z). T é linear e tem-se M(T; B3 c ; B3 c ) = 2 4 1 2 0 0 0 3 1 0 1 3 5 , uma vez que T(1; 0; 0) = (1; 0; 1); T(0; 1; 0) = (2; 0; 0) e T(0; 0; 1) = (0; 3; 1). Tem-se N(T) = (x; y; z) 2 R3 : T(x; y; z) = (0; 0; 0) = = (x; y; z) 2 R3 : (x + 2y; 3z; x z) = (0; 0; 0) = = f(0; 0; 0)g . 299
  • 300.
    Logo, dim N(T)= 0 e T é injectiva. Uma vez que dim R3 |{z} espaço de partida = dim N(T) + dim I(T), então dim I(T) = 3. Vejamos como encontrar uma base para I(T). Tem-se I(T) = f(x + 2y; 3z; x z) : x; y; z 2 Rg = = fx(1; 0; 1) + y(2; 0; 0) + z(0; 3; 1) : x; y; z 2 Rg = L (f(1; 0; 1); (2; 0; 0); (0; 3; 1)g) . Como o conjunto f(1; 0; 1); (2; 0; 0); (0; 3; 1)g é linearmente independente e como gera I(T) então f(1; 0; 1); (2; 0; 0); (0; 3; 1)g é uma base de I(T). Por outro lado, como I(T) é subespaço de R3 e dim I(T) = dim R3 então I(T) = R3 , isto é, T é sobrejectiva. Como T é injectiva e sobrejectiva, então T é bijectiva. Resolução alternativa para encontrar uma base para I(T). Sendo M(T; B3 c ; B3 c ) = 2 4 1 2 0 0 0 3 1 0 1 3 5 , a matriz que representa a transformação linear T em relação à base canónica B3 c no espaço de partida e no espaço de chegada, tem-se T(x; y; z) = M(T; B3 c ; B3 c ) 2 4 x y z 3 5 . Logo, N(T) = N M(T; B3 c ; B3 c ) = N 0 @ 2 4 1 2 0 0 0 3 1 0 1 3 5 1 A = = N 0 @ 2 4 1 2 0 1 0 1 0 0 3 3 5 1 A = N 0 @ 2 4 1 2 0 0 2 1 0 0 3 3 5 1 A = f(0; 0; 0)g e I(T) = C M(T; B3 c ; B3 c ) = C 0 @ 2 4 1 2 0 0 0 3 1 0 1 3 5 1 A = L (f(1; 0; 1); (2; 0; 0); (0; 3; 1)g) . O conjunto f(1; 0; 1); (2; 0; 0); (0; 3; 1)g é uma base de I(T). (xiii) Seja T : R3 ! R3 com T(x; y; z) = (x; y; z). T é linear e tem-se M(T; B3 c ; B3 c ) = 2 4 1 0 0 0 1 0 0 0 1 3 5 , 300
  • 301.
    uma vez queT(1; 0; 0) = (1; 0; 0); T(0; 1; 0) = (0; 1; 0) e T(0; 0; 1) = (0; 0; 1). Tem-se N(T) = (x; y; z) 2 R3 : T(x; y; z) = (0; 0; 0) = f(0; 0; 0)g . Logo, dim N(T) = 0 e T é injectiva. Uma vez que dim R3 |{z} espaço de partida = dim N(T) + dim I(T), então dim I(T) = 3. Vejamos como encontrar uma base para I(T). Tem-se I(T) = f(x; y; z) : x; y; z 2 Rg = R3 , isto é, T é sobrejectiva. Como o conjunto f(1; 0; 0); (0; 1; 0); (0; 0; 1)g é linearmente indepen- dente e como gera I(T) então f(1; 0; 0); (0; 1; 0); (0; 0; 1)g é uma base de I(T). Como T é injectiva e sobrejectiva, então T é bijectiva. (xiv) Seja T : R2 ! R2 com T(x; y) = (x cos y sen ; x sen + y cos ), 2 R. T é linear e M(T; B3 c ; B3 c ) = cos sen sen cos ! cos sen sen cos , uma vez que T(1; 0) = (cos ; sen ) e T(0; 1) = ( sen ; cos ). Atendendo ao exo 4 (viii) da …cha 2, tem-se, para todo o 2 R, M(T; B3 c ; B3 c ) 1 = cos sen sen cos . Logo N(T) = (x; y) 2 R2 : T(x; y) = (0; 0) = f(0; 0)g e dim N(T) = 0, isto é, T é injectiva. Sendo T injectiva e tendo-se dim (espaço de partida) = dim (espaço de chegada) então T também é sobrejectiva. Como T é injectiva e sobrejectiva, então T é bijectiva. Como o conjunto f(1; 0); (0; 1)g é linearmente independente e como gera I(T) então f(1; 0); (0; 1)g é uma base de I(T). (xv) Seja T : P2 ! P2 com T(p (t)) = 2p (1 t) tp0 (t) : T é linear uma vez que, para todos os p (t) ; p1 (t) ; p2 (t) 2 P2, para todo o 2 R, T(p1 (t) + p2 (t)) = T((p1 + p2) (t)) = 2 (p1 + p2) (1 t) t (p1 + p2)0 (t) = = 2p1 (1 t) + 2p2 (1 t) tp0 1 (t) tp0 2 (t) = = 2p1 (1 t) tp0 1 (t) + 2p2 (1 t) tp0 2 (t) = = T (p1 (t)) + T (p2 (t)) , T( p (t)) = T(( p) (t)) = 2 ( p) (1 t) t ( p)0 (t) = = 2p (1 t) t p0 (t) = (2p (1 t) tp0 (t)) = T(p (t)). 301
  • 302.
    Sendo B =f1; t; t2 g a base canónica de P2, tem-se M(T; B; B) = 2 4 2 2 2 0 3 4 0 0 0 3 5 , uma vez que T(1) = 2 1 t 0 = 2; T(t) = 2 (1 t) t 1 = 2 3t e T(t2 ) = 2 (1 t)2 t2t = 2 4t + 2t2 2t2 = 2 4t: Uma base para N(T): Como N (M(T; B; B)) = N 0 @ 2 4 2 2 2 0 3 4 0 0 0 3 5 1 A = L (f(1; 4; 3)g) , então N (T) = a0 + a1t + a2t2 2 P2 : (a0; a1; a2) 2 L (f(1; 4; 3)g) = L 1 4t + 3t2 . Como f1 4t + 3t2 g é uma base de N (T), dim N (T) = 1. Logo, T não é injectiva, uma vez que dim N (T) 6= 0. Resolução alternativa para encontrar uma base para N(T): N (T) = a0 + a1t + a2t2 2 P2 : T a0 + a1t + a2t2 = 0 = = a0 + a1t + a2t2 2 P2 : 2 a0 + a1 (1 t) + a2 (1 t)2 t (a1 + 2a2t) = 0 = = a0 + a1t + a2t2 2 P2 : 2a0 + 2a1 2a1t + 2a2 4a2t + 2a2t2 a1t 2a2t2 = 0 = = a0 + a1t + a2t2 2 P2 : 2a0 + 2a1 + 2a2 + ( 3a1 4a2) t = 0 = = a0 + a1t + a2t2 2 P2 : a1 = 4 3 a2 e a0 = 1 3 a2 = = 1 3 a2 4 3 a2t + a2t2 2 P2 : a2 2 R = L 1 3 4 3 t + t2 = L 1 4t + 3t2 . Como f1 4t + 3t2 g é uma base de N (T), dim N (T) = 1. Uma base para I(T): Como f1; t; t2 g gera P2, tem-se I (T) = L T (1) ; T (t) ; T t2 = L (f2; 2 3t; 2 4tg) = L (f2; 2 3tg) : Uma vez que o conjunto f2; 2 3tg é linearmente independente e gera I (T), então f2; 2 3tg é uma base de I (T), tendo-se dim I (T) = 2. Como dim P2 = 3, tem-se I (T) 6= P2, pelo que T não é sobrejectiva. Resolução alternativa para encontrar uma base para I(T): Sendo p (t) = a0 + a1t + a2t2 , com a0; a1; a2 2 R, tem-se T (p (t)) = 2 a0 + a1 (1 t) + a2 (1 t)2 t (a1 + 2a2t) = = 2a0 + 2a1 2a1t + 2a2 4a2t + 2a2t2 a1t 2a2t2 = = a02 + a1 (2 3t) + a2 (2 4t) . 302
  • 303.
    Logo, I(T) =L (f2; 2 3t; 2 4tg) = L (f2; 2 3tg). Uma vez que o conjunto f2; 2 3tg é linearmente independente e gera I (T), então f2; 2 3tg é uma base de I (T). (xvi) Seja T : P2 ! P2 com T(p (t)) = p (0) p ( 1) + (p ( 1) + p (1)) t + (p ( 1) p (1) 2p (0)) t2 : T é linear uma vez que, para todos os p (t) ; p1 (t) ; p2 (t) 2 P2, para todo o 2 R, T(p1 (t) + p2 (t)) = T((p1 + p2) (t)) = = (p1 + p2) (0) (p1 + p2) ( 1) + ((p1 + p2) ( 1) + (p1 + p2) (1)) t + + ((p1 + p2) ( 1) (p1 + p2) (1) 2 (p1 + p2) (0)) t2 = p1 (0) p1 ( 1) + (p1 ( 1) + p1 (1)) t + (p1 ( 1) p1 (1) 2p1 (0)) t2 + +p2 (0) p2 ( 1) + (p2 ( 1) + p2 (1)) t + (p2 ( 1) p2 (1) 2p2 (0)) t2 = T (p1 (t)) + T (p2 (t)) , T( p (t)) = T(( p) (t)) = p (0) p ( 1) + (p ( 1) + p (1)) t + (p ( 1) p (1) 2p (0)) t2 = = T(p (t)). Sendo B = f1; t; t2 g a base canónica de P2, tem-se M(T; B; B) = 2 4 0 1 1 2 0 2 2 2 0 3 5 , uma vez que T(1) = 1 1 + (1 + 1) t + (1 1 2) t2 = 2t 2t2 ; T(t) = 0 ( 1) + (( 1) + 1) t + (( 1) 1 2 0) t2 = 1 2t2 e T(t2 ) = 0 1 + (1 + 1) t + (1 1 2 0) t2 = 1 + 2t: Uma base para N(T): Como N (M(T; B; B)) = N 0 @ 2 4 0 1 1 2 0 2 2 2 0 3 5 1 A = N 0 @ 2 4 0 1 1 2 0 2 0 2 2 3 5 1 A = N 0 @ 2 4 2 0 2 0 1 1 0 0 0 3 5 1 A = = L (f( 1; 1; 1)g) , então N (T) = a0 + a1t + a2t2 2 P2 : (a0; a1; a2) 2 L (f( 1; 1; 1)g) = L 1 + t + t2 . Como f 1 + t + t2 g é uma base de N (T), dim N (T) = 1. Logo, T não é injectiva, uma vez que dim N (T) 6= 0. 303
  • 304.
    Resolução alternativa paraencontrar uma base para N(T): N (T) = a0 + a1t + a2t2 2 P2 : T a0 + a1t + a2t2 = 0 = = a0 + a1t + a2t2 2 P2 : p (0) p ( 1) + (p ( 1) + p (1)) t+ + (p ( 1) p (1) 2p (0)) t2 = 0 = = a0 + a1t + a2t2 2 P2 : p (0) p ( 1) = 0 e p ( 1) + p (1) = 0 e p ( 1) p (1) 2p (0) = 0 = = 8 < : a0 + a1t + a2t2 2 P2 : a0 (a0 a1 + a2) = 0 e (a0 a1 + a2) + (a0 + a1 + a2) = 0 e (a0 a1 + a2) (a0 + a1 + a2) 2a0 = 0 9 = ; = = a0 + a1t + a2t2 2 P2 : a1 = a2 e a0 = a2 = = a2 + a2t + a2t2 2 P2 : a2 2 R = a2 1 + t + t2 2 P2 : a2 2 R = = L 1 + t + t2 . Como f 1 + t + t2 g é uma base de N (T), dim N (T) = 1. Uma base para I(T): Como f1; t; t2 g gera P2, tem-se I (T) = L T (1) ; T (t) ; T t2 = L 2t 2t2 ; 1 2t2 ; 1 + 2t = L 1 2t2 ; 1 + 2t : Uma vez que o conjunto f1 2t2 ; 1 + 2tg é linearmente independente e gera I (T), então 1 2t2 ; 1 + 2t é uma base de I (T), tendo-se dim I (T) = 2. Como dim P2 = 3, tem-se I (T) 6= P2, pelo que T não é sobrejectiva. Resolução alternativa para encontrar uma base para I(T): Sendo p (t) = a0 + a1t + a2t2 , com a0; a1; a2 2 R, tem-se T (p (t)) = p (0) p ( 1) + (p ( 1) + p (1)) t + (p ( 1) p (1) 2p (0)) t2 = = a0 a0 + a1 ( 1) + a2 ( 1)2 + a0 + a1 ( 1) + a2 ( 1)2 + a0 + a1 + a2 t+ + a0 + a1 ( 1) + a2 ( 1)2 (a0 + a1 + a2) 2a0 t2 = = a1 a2 + (2a0 + 2a2) t + ( 2a0 2a1) t2 = a0 2t 2t2 + a1 1 2t2 + a2 ( 1 + 2t) . Logo, I(T) = L (f2t 2t2 ; 1 2t2 ; 1 + 2tg) = L (f2t 2t2 ; 1 2t2 g). Como o conjunto 2t 2t2 ; 1 2t2 é linearmente independente e gera I (T), então f2t 2t2 ; 1 2t2 g é uma base de I (T). (xvii) Seja T : P2 ! M2 2 (R) com T(p (t)) = p (1) p (0) p (0) p ( 1) . T é linear uma vez que, para todos os p (t) ; p1 (t) ; p2 (t) 2 P2, para todo o 2 R, T(p1 (t) + p2 (t)) = T((p1 + p2) (t)) = (p1 + p2) (1) (p1 + p2) (0) (p1 + p2) (0) (p1 + p2) ( 1) 304
  • 305.
    = p1 (1) +p2 (1) p1 (0) + p2 (0) p1 (0) + p2 (0) p1 ( 1) + p2 ( 1) = p1 (1) p1 (0) p1 (0) p1 ( 1) + p2 (1) p2 (0) p2 (0) p2 ( 1) = = T (p1 (t)) + T (p2 (t)) , T( p (t)) = T(( p) (t)) = ( p) (1) ( p) (0) ( p) (0) ( p) ( 1) = p (1) p (0) p (0) p ( 1) = = p (1) p (0) p (0) p ( 1) = T(p (t)). Sendo B1 = f1; t; t2 g a base canónica de P2 e B2 = 1 0 0 0 ; 0 1 0 0 ; 0 0 1 0 ; 0 0 0 1 a base canónica de M2 2 (R) tem-se M(T; B1; B2) = 2 6 6 4 1 1 1 1 0 0 1 0 0 1 1 1 3 7 7 5 , uma vez que T(1) = 1 1 1 1 ; T(t) = 1 0 0 1 ; T(t2 ) = 1 0 0 1 Cálculo de N(T): Como N (M(T; B1; B2)) = N 0 B B @ 2 6 6 4 1 1 1 1 0 0 1 0 0 1 1 1 3 7 7 5 1 C C A = N 0 B B @ 2 6 6 4 1 1 1 0 1 1 0 1 1 0 2 0 3 7 7 5 1 C C A = = N 0 B B @ 2 6 6 4 1 1 1 0 2 0 0 0 1 0 0 0 3 7 7 5 1 C C A = f(0; 0; 0)g ; então N (T) = a0 + a1t + a2t2 2 P2 : (a0; a1; a2) = (0; 0; 0) = f0g . Logo, T é injectiva uma vez que dim N (T) = 0. Resolução alternativa para calcular N(T): N (T) = p (t) = a0 + a1t + a2t2 2 P2 : T (p (t)) = 0 0 0 0 = = p (t) = a0 + a1t + a2t2 2 P2 : p (1) p (0) p (0) p ( 1) = 0 0 0 0 = = a0 + a1t + a2t2 2 P2 : a0 + a1 + a2 a0 a0 a0 a1 + a2 = 0 0 0 0 = = a0 + a1t + a2t2 2 P2 : a0 = 0 e a1 = a2 = 0 = f0g . 305
  • 306.
    Uma base paraI(T): Como f1; t; t2 g gera P2, tem-se I (T) = L T (1) ; T (t) ; T t2 = L 1 1 1 1 ; 1 0 0 1 ; 1 0 0 1 : Uma vez que o conjunto 1 1 1 1 ; 1 0 0 1 ; 1 0 0 1 é linearmente independente e gera I (T), então 1 1 1 1 ; 1 0 0 1 ; 1 0 0 1 é uma base de I (T), tendo-se dim I (T) = 3. Como dim M2 2 (R) = 4, tem-se I (T) 6= M2 2 (R), pelo que T não é sobrejectiva. Resolução alternativa para encontrar uma base para I(T): Sendo p (t) = a0 + a1t + a2t2 , com a0; a1; a2 2 R, tem-se T (p (t)) = p (1) p (0) p (0) p ( 1) = a0 + a1 + a2 a0 a0 a0 a1 + a2 = = a0 a0 a0 a0 + a1 0 0 a1 + a2 0 0 a2 = = a0 1 1 1 1 + a1 1 0 0 1 + a2 1 0 0 1 . Logo, I(T) = L 1 1 1 1 ; 1 0 0 1 ; 1 0 0 1 . Como o conjunto 1 1 1 1 ; 1 0 0 1 ; 1 0 0 1 é linearmente independente e gera I (T), então é uma base de I (T). 3. Considere a transformação linear T : R3 ! R3 que em relação à base canónica (ordenada) B3 c = f(1; 0; 0); (0; 1; 0); (0; 0; 1)g de R3 é representada pela matriz M(T; B3 c ; B3 c ) = 2 4 1 2 1 1 1 0 2 1 0 3 5 . Tem-se T(x; y; z) = M(T; B3 c ; B3 c ) 2 4 x y z 3 5 = 2 4 1 2 1 1 1 0 2 1 0 3 5 2 4 x y z 3 5 = (x + 2y + z; x + y; 2x y). Tem-se N(T) = (x; y; z) 2 R3 : T(x; y; z) = (0; 0; 0) = = (x; y; z) 2 R3 : (x + 2y + z; x + y; 2x y) = (0; 0; 0) = = f(0; 0; 0)g . 306
  • 307.
    Logo, dim N(T)= 0 e T é injectiva. Uma vez que dim R3 |{z} espaço de partida = dim N(T) + dim I(T), então dim I(T) = 3. Vejamos como encontrar uma base para I(T). Tem-se I(T) = f(x + 2y + z; x + y; 2x y) : x; y; z 2 Rg = L (f(1; 1; 2); (2; 1; 1); (1; 0; 0)g) . Como o conjunto f(1; 1; 2); (2; 1; 1); (1; 0; 0)g é linearmente independente e como gera I(T) então f(1; 1; 2); (2; 1; 1); (1; 0; 0)g é uma base de I(T). Por outro lado, como I(T) é subespaço de R3 e dim I(T) = dim R3 então I(T) = R3 , isto é, T é sobrejectiva. Como T é injectiva e sobrejectiva, então T é bijectiva. Resolução alternativa para encontrar uma base para I(T). Sendo M(T; B3 c ; B3 c ) = 2 4 1 2 1 1 1 0 2 1 0 3 5 , a matriz que representa a transformação linear T em relação à base canónica B3 c no espaço de partida e no espaço de chegada, tem-se T(x; y; z) = M(T; B3 c ; B3 c ) 2 4 x y z 3 5 . Logo, N(T) = N M(T; B3 c ; B3 c ) = N 0 @ 2 4 1 2 1 1 1 0 2 1 0 3 5 1 A = = N 0 @ 2 4 1 2 1 0 1 1 0 5 2 3 5 1 A = N 0 @ 2 4 1 2 1 0 1 1 0 0 3 3 5 1 A = f(0; 0; 0)g e I(T) = C M(T; B3 c ; B3 c ) = C 0 @ 2 4 1 2 1 1 1 0 2 1 0 3 5 1 A = L (f(1; 1; 2); (2; 1; 1); (1; 0; 0)g) . O conjunto f(1; 1; 2); (2; 1; 1); (1; 0; 0)g é uma base de I(T). 4. Considere a base ordenada B = fv1; v2g de R2 , em que v1 = (1; 1) e v2 = (1; 0) e seja T : R2 ! R2 a transformação linear tal que T(v1) = (1; 2), T(v2) = ( 3; 1). (i) Tem-se T(2; 1) = T ((1; 1) + (1; 0)) =|{z} T é linear T(1; 1) + T(1; 0) = (1; 2) + ( 3; 1) = ( 2; 1). 307
  • 308.
    (ii) Seja (x;y) 2 R2 . Tem-se (x; y) = y(1; 1) + (x y)(1; 0). Logo, T(x; y) = T (y(1; 1) + (x y)(1; 0)) =|{z} T é linear yT(1; 1) + (x y)T(1; 0) = = y(1; 2) + (x y)( 3; 1) = ( 3x + 4y; x 3y). (iii) Tem-se M(T; B2 c ; B2 c ) = 3 4 1 3 , uma vez que, pela alínea (ii), T(1; 0) = ( 3; 1) e T(0; 1) = (4; 3). Observação: Poderíamos ter calculado T(1; 0) e T(0; 1) sem recorrer à alinea (ii), uma vez que (1; 0) = 0(1; 1) + (1; 0) e (0; 1) = (1; 1) (1; 0). Logo, sendo T linear, tem-se (usando só o enunciado) T(1; 0) = ( 3; 1) e T(0; 1) = T(1; 1) T(1; 0) = (1; 2) ( 3; 1) = (4; 3). (iv) Tem-se SB2 c !B = 0 1 1 1 uma vez que (1; 0) = 0(1; 1) + (1; 0) e (0; 1) = (1; 1) (1; 0). Tem-se SB!B2 c = 1 1 1 0 uma vez que (1; 1) = (1; 0) + (0; 1) e (1; 0) = (1; 0) + 0(0; 1). As coordenadas do vector (2; 1) na base B são dadas por: SB2 c !B 2 1 = 0 1 1 1 2 1 = 1 1 . Observação 1: Na verdade poderíamos ter determinado as coordenadas do vector (2; 1) na base B usando a de…nição de coordenadas de um vector numa base: (2; 1) = (1; 1) + (1; 0). Logo, as coordenadas do vector (2; 1) na base B são precisamente 1 e 1. Observação 2: Tem-se SB!B2 c = SB2 c !B 1 e SB2 c !B = SB!B2 c 1 . 308
  • 309.
    (v) Determinemos amatriz M(T; B; B) usando só a de…nição de matriz que representa uma transformação linear em relação a uma base ordenada B no espaço de partida e no espaço de chegada. Tem-se M(T; B; B) = 2 1 3 4 , uma vez que T(1; 1) = (1; 2) = 2(1; 1) + 3(1; 0) e T(1; 0) = ( 3; 1) = (1; 1) 4(1; 0). Determinemos agora as coordenadas do vector T(2; 1) na base B sem usar as alíneas anteri- ores. Tem-se T(2; 1) = T ((1; 1) + (1; 0)) =|{z} T é linear T(1; 1) + T(1; 0) = = (1; 2) + ( 3; 1) = ( 2; 1) = (1; 1) (1; 0). Logo, as coordenadas do vector T(2; 1) na base B são 1 e 1. Resolução alternativa: Determinemos a matriz M(T; B; B) e as coordenadas do vector T(2; 1) na base B usando as alíneas anteriores. Tem-se (R2 ; B2 c ) M(T;B2 c ;B2 c ) ! T (R2 ; B2 c ) SB2 c !B # I I # SB2 c !B (R2 ; B) T ! M(T;B;B) (R2 ; B) Logo, M(T; B; B) = SB2 c !BM(T; B2 c ; B2 c ) SB2 c !B 1 = SB2 c !BM(T; B2 c ; B2 c )SB!B2 c = = 0 1 1 1 3 4 1 3 1 1 1 0 = 1 3 4 7 1 1 1 0 = 2 1 3 4 . Além disso tem-se coordenadas de (2; 1) na base B2 c M(T;B2 c ;B2 c ) ! T coordenadas de T(2; 1) na base B2 c SB2 c !B # I I # SB2 c !B coordenadas de (2; 1) na base B T ! M(T;B;B) coordenadas de T(2; 1) na base B. Logo, sendo 2 e 1 as coordenadas do vector (2; 1) na base B2 c então as coordenadas do vector T(2; 1) na base B são dadas por M(T; B; B)SB2 c !B 2 1 = 2 1 3 4 0 1 1 1 2 1 = 1 3 4 7 2 1 = 1 1 . (vi) Determinemos a matriz M(T; B2 c ; B) usando só a de…nição de matriz que representa uma transformação linear em relação às bases ordenadas no espaço de partida e no espaço de chegada. Tem-se M(T; B2 c ; B) = 1 3 4 7 , 309
  • 310.
    uma vez que T(1;0) = ( 3; 1) = (1; 1) 4(1; 0) e T(0; 1) = T ((1; 1) (1; 0)) = T(1; 1) T(1; 0) = = (1; 2) ( 3; 1) = (4; 3) = 3(1; 1) + 7(1; 0). Resolução alternativa: Tendo em conta o diagrama (R2 ; B2 c ) M(T;B2 c ;B2 c ) ! T (R2 ; B2 c ) SB2 c !B # I I # SB2 c !B (R2 ; B) T ! M(T;B;B) (R2 ; B) tem-se M(T; B2 c ; B) = M(T; B; B)SB2 c !B = 2 1 3 4 0 1 1 1 = 1 3 4 7 . (vii) Determinemos a matriz M(T; B; B2 c ) usando só a de…nição de matriz que representa uma transformação linear em relação às bases ordenadas no espaço de partida e no espaço de chegada. Tem-se M(T; B; B2 c ) = 1 3 2 1 , uma vez que T(1; 1) = (1; 2) = (1; 0) 2(0; 1) e T(1; 0) = ( 3; 1) = 3(1; 0) + (0; 1). Resolução alternativa: Tendo em conta o diagrama (R2 ; B) M(T;B;B) ! T (R2 ; B) SB!B2 c # I I # SB!B2 c (R2 ; B2 c ) T ! M(T;B2 c ;B2 c ) (R2 ; B2 c ) tem-se M(T; B; B2 c ) = M(T; B2 c ; B2 c )SB!B2 c = 3 4 1 3 1 1 1 0 = 1 3 2 1 . 5. Considere as transformações lineares T1 e T2 cujas matrizes que as representam em relação às bases canónicas (ordenadas) de R2 e R3 são dadas respectivamente por M(T1; B3 c ; B2 c ) = 2 0 1 1 1 0 e M(T2; B2 c ; B3 c ) = 2 4 0 1 0 1 1 1 3 5 . 310
  • 311.
    Tem-se T1 :R3 ! R2 com T1(x; y; z) = M(T1; B3 c ; B2 c ) 2 4 x y z 3 5 = 2 0 1 1 1 0 2 4 x y z 3 5 = (2x + z; x + y). Tem-se T2 : R2 ! R3 com T2(x; y) = M(T2; B2 c ; B3 c ) x y = 2 4 0 1 0 1 1 1 3 5 x y = (y; y; x + y). Logo, tem-se T1 T2 : R2 ! R2 linear com (T1 T2) (x; y) = M(T1; B3 c ; B2 c )M(T2; B2 c ; B3 c ) x y = = 2 0 1 1 1 0 2 4 0 1 0 1 1 1 3 5 x y = 1 3 0 2 x y = (x + 3y; 2y) e T2 T1 : R3 ! R3 linear com (T2 T1) (x; y; z) = M(T2; B2 c ; B3 c )M(T1; B3 c ; B2 c ) 2 4 x y z 3 5 = 2 4 0 1 0 1 1 1 3 5 2 0 1 1 1 0 2 4 x y z 3 5 = = 2 4 1 1 0 1 1 0 3 1 1 3 5 2 4 x y z 3 5 = (x + y; x + y; 3x + y + z). Resolução alternativa: Tendo-se T1 : R3 ! R2 com T1(x; y; z) = (2x + z; x + y) e T2 : R2 ! R3 com T2(x; y) = (y; y; x + y), então T1 T2 : R2 ! R2 é linear com (T1 T2) (x; y) = T1 (T2(x; y)) = T1(y; y; x + y) = (x + 3y; 2y) e T2 T1 : R3 ! R3 é linear com (T2 T1) (x; y; z) = T2 (T1(x; y; z)) = T2(2x + z; x + y) = (x + y; x + y; 3x + y + z). 6. Considere a transformação linear T : R3 ! R3 de…nida por T(x; y; z) = (2y; y x; x). Considere a base ordenada B = fv1; v2; v3g de R3 com v1 = (1; 0; 1), v2 = (1; 2; 0), v3 = ( 1; 1; 1). Tem-se M(T; B; B) = 2 4 2 4 5 1 3 3 1 5 4 3 5 , 311
  • 312.
    uma vez que T(1;0; 1) = (0; 1; 1) = 2(1; 0; 1) (1; 2; 0) + ( 1; 1; 1), T(1; 2; 0) = (4; 1; 1) = 4(1; 0; 1) + 3(1; 2; 0) 5( 1; 1; 1) e T( 1; 1; 1) = (2; 2; 1) = 5(1; 0; 1) + 3(1; 2; 0) 4( 1; 1; 1): 7. Seja B2 2 c = 1 0 0 0 ; 0 1 0 0 ; 0 0 1 0 ; 0 0 0 1 a base canónica (ordenada) de M2 2(R). Considere a transformação linear S : M2 2(R) ! M2 2(R) de…nida por S(A) = AT . Tem-se M(S; B2 2 c ; B2 2 c ) = 2 6 6 4 1 0 0 0 0 0 1 0 0 1 0 0 0 0 0 1 3 7 7 5 , uma vez que S 1 0 0 0 = 1 0 0 0 S 0 1 0 0 = 0 0 1 0 ; S 0 0 1 0 = 0 1 0 0 S 0 0 0 1 = 0 0 0 1 : 8. Considere a transformação linear T : R3 ! R3 e a base canónica (ordenada) B3 c = fv1; v2; v3g de R3 , com v1 = (1; 0; 0), v2 = (0; 1; 0), v3 = (0; 0; 1). Suponha que se tem T(v3) = 3v1 + v2 2v3, T(v2 + v3) = v1 e T(v1 + v2 + v3) = v2 + v3. Logo, T(0; 0; 1) = T(v3) = (3; 1; 2), T(0; 1; 0) = T(v2) = T(v2 + v3) T(v3) = 2v1 v2 + 2v3 = ( 2; 1; 2) e T(1; 0; 0) = T(v1) = T(v1 + v2 + v3) T(v2 + v3) = v1 + v2 + v3 = ( 1; 1; 1). Assim: (i) T(2v1 v2 + 3v3) = 2T (v1) T (v2) + 3T (v3) = 312
  • 313.
    = 2( 1;1; 1) ( 2; 1; 2) + 3(3; 1; 2) = (9; 6; 6); (ii) M(T; B3 c ; B3 c ) = 2 4 1 2 3 1 1 1 1 2 2 3 5 . (iii) Seja B1 = B3 c a base canónica ordenada de R3 . Determinemos uma base ordenada B2 = fw1; w2; w3g de R3 de modo a que a matriz M(T; B1; B2) que represente T em relação a essas bases B1 e B2 seja a matriz identidade: 2 4 1 0 0 0 1 0 0 0 1 3 5 . Tem-se T(1; 0; 0) = w1; T(0; 1; 0) = w2 e T(0; 0; 1) = w3. Logo, B2 = f( 1; 1; 1); ( 2; 1; 2); (3; 1; 2)g . 9. Considere a transformação linear T : R2 ! R3 que em relação às bases ordenadas B1 = fu1; u2g de R2 e B2 = fv1; v2; v3g de R3 com u1 = (1; 1), u2 = (2; 1), v1 = (1; 0; 1), v2 = (1; 1; 2), v3 = (0; 1; 1), é representada pela matriz M(T; B1; B2) = 2 4 1 2 1 1 3 0 3 5 . Considere ainda as bases ordenadas B 0 1 = u 0 1; u 0 2 de R2 e B 0 2 = v 0 1; v 0 2; v 0 3 de R3 com u 0 1 = (1; 0), u 0 2 = (1; 1), v 0 1 = (1; 0; 0), v 0 2 = (1; 1; 0), v 0 3 = (1; 1; 1). (i) Tem-se ( 1; 2) = (1; 1) (2; 1). Logo, as coordenadas do vector ( 1; 2) na base B1 são 1 e 1. Deste modo, as coordenadas do vector T( 1; 2) na base B2 são dadas por M(T; B1; B2) 1 1 = 2 4 1 2 1 1 3 0 3 5 1 1 = 2 4 1 2 3 3 5 . (ii) Tem-se ( 1; 2) = 3(1; 0) + 2(1; 1). Logo, as coordenadas do vector ( 1; 2) na base B0 1 são 3 e 2. 313
  • 314.
    Resolução alternativa: Tem-se SB1!B0 1 = 03 1 1 , uma vez que u1 = 0u 0 1 + u 0 2 e u2 = 3u 0 1 u 0 2. Tendo em conta (por (i)) que as coordenadas do vector ( 1; 2) na base B1 são 1 e 1, então as coordenadas do vector ( 1; 2) na base B0 1 são dadas por SB1!B0 1 1 1 = 0 3 1 1 1 1 = 3 2 . (iii) Uma vez que (por (i)) as coordenadas do vector T( 1; 2) na base B2 são 1; 2 e 3, então T( 1; 2) = (1; 0; 1) 2(1; 1; 2) + 3(0; 1; 1) = ( 3; 1; 8). Por outro lado, tem-se ( 3; 1; 8) = 4(1; 0; 0) + 9(1; 1; 0) 8(1; 1; 1). Logo, as coordenadas do vector T( 1; 2) na base B0 2 são 4; 9 e 8. Resolução alternativa: Determinemos a matriz de mudança de base SB2!B0 2 . Tem-se SB2!B0 2 = 2 4 1 0 1 1 1 2 1 2 1 3 5 , uma vez que v1 = v 0 1 v 0 2 + v 0 3; v2 = 0v 0 1 v 0 2 + 2v 0 3 e v3 = v 0 1 + 2v 0 2 v 0 3. Tendo em conta que (por (i)) as coordenadas do vector T( 1; 2) na base B2 são 1; 2 e 3, então as coordenadas do vector T( 1; 2) na base B0 2 são dadas por SB2!B0 2 2 4 1 2 3 3 5 = 2 4 1 0 1 1 1 2 1 2 1 3 5 2 4 1 2 3 3 5 = 2 4 4 9 8 3 5 . (iv) Determinemos uma base para N (T). Seja u 2 R2 e sejam ( 1; 2) as coordenadas de u em relação à base B1 = f(1; 1); (2; 1)g : Tem-se u 2 N(T) , ( 1; 2) 2 N(M(T; B1; B2)) e como N(M(T; B1; B2)) = N 0 @ 2 4 1 2 1 1 3 0 3 5 1 A = N 0 @ 2 4 1 2 0 3 0 6 3 5 1 A = N 0 @ 2 4 1 2 0 3 0 0 3 5 1 A = f(0; 0)g , N(T) = f0(1; 1) + 0(2; 1)g = f(0; 0)g . Assim, dim N(T) = 0 e T é injectiva. 314
  • 315.
    (v) Determinemos umabase para I (T). Como f(1; 1); (2; 1)g gera R2 , tem-se I(T) = L (fT(1; 1); T(2; 1)g) = = L (f1(1; 0; 1) + ( 1) (1; 1; 2) + 3(0; 1; 1); 2(1; 0; 1) + 1(1; 1; 2) + 0(0; 1; 1)g) = = L (f(0; 2; 4); (3; 1; 4)g) . Uma vez que o conjunto f(0; 2; 4); (3; 1; 4)g é linearmente independente e gera I (T), então f(0; 2; 4); (3; 1; 4)g é uma base de I (T), tendo-se dim I (T) = 2. Como dim R3 = 3, tem-se I (T) 6= R3 , pelo que T não é sobrejectiva. (vi) Determinemos a expressão geral de T, isto é, T (x; y), para todo o (x; y) 2 R2 . Considerando as bases canónicas de R2 e de R3 respectivamente: B2 c = f(1; 0); (0; 1)g ; B3 c = f(1; 0; 0); (0; 1; 0); (0; 0; 1)g , tem-se M(T; B2 c ; B3 c ) = SB2!B3 c M(T; B1; B2) SB1!B2 c 1 = = 2 4 1 1 0 0 1 1 1 2 1 3 5 2 4 1 2 1 1 3 0 3 5 1 2 1 1 1 = 2 4 0 3 2 1 4 4 3 5 1 3 2 3 1 3 1 3 = 2 4 1 1 1 1 0 4 3 5 . Logo, para todo o (x; y) 2 R2 , T (x; y) = M(T; B2 c ; B3 c ) x y = 2 4 1 1 1 1 0 4 3 5 x y = 2 4 x y x + y 4y 3 5 = (x y; x + y; 4y) . Resolução alternativa à alínea (v) para encontrar uma base para I(T): Tem-se I(T) = T (x; y) : (x; y) 2 R2 = (x y; x + y; 4y) : (x; y) 2 R2 = = (x; x; 0) + ( y; y; 4y) : (x; y) 2 R2 = = x (1; 1; 0) + y ( 1; 1; 4) : (x; y) 2 R2 = = L (f(1; 1; 0) ; ( 1; 1; 4)g) Como o conjunto f(1; 1; 0) ; ( 1; 1; 4)g é linearmente independente e gera I (T), então f(1; 1; 0) ; ( 1; 1; 4)g é uma base de I (T). Note que: L (f(1; 1; 0) ; ( 1; 1; 4)g) = L (f(0; 2; 4); (3; 1; 4)g) . 315
  • 316.
    (vii) Tem-se (R2 ; B1) M(T;B1;B2) ! T (R3 ;B2) SB1!B0 1 # I I # SB2!B0 2 (R2 ; B0 1) T ! M(T;B0 1;B0 2) (R3 ; B0 2) Logo, M(T; B0 1; B0 2) = SB2!B0 2 M(T; B1; B2) SB1!B0 1 1 = SB2!B0 2 M(T; B1; B2)SB0 1!B1 = = 2 4 1 0 1 1 1 2 1 2 1 3 5 2 4 1 2 1 1 3 0 3 5 1=3 1 1=3 0 = 2 4 2 2 6 3 4 4 3 5 1=3 1 1=3 0 = 2 4 0 2 1 6 0 4 3 5 . 10. Considere a transformação linear T : R3 ! R2 de…nida por T(x; y; z) = (x + y; x + y z). (i) Tem-se M(T; B3 c ; B2 c ) = 1 1 0 1 1 1 , uma vez que T(1; 0; 0) = (1; 1); T(0; 1; 0) = (1; 1) e T(0; 0; 1) = (0; 1). (ii) Tem-se N(T) = (x; y; z) 2 R3 : T(x; y; z) = (0; 0) = = (x; y; z) 2 R3 : (x + y; x + y z) = (0; 0) = = (x; x; 0) 2 R3 : x 2 R = L (f(1; 1; 0)g) . Logo, o conjunto f(1; 1; 0)g é uma base de N(T) e dim N(T) = 1. T não é injectiva, uma vez que N(T) 6= f(0; 0)g. (iii) Tem-se I(T) = f(x + y; x + y z) : x; y; z 2 Rg = C 1 1 0 1 1 1 = L (f(1; 1); (0; 1)g) . Como o conjunto f(1; 1); (0; 1)g é linearmente independente e como gera I(T) então f(1; 1); (0; 1)g é uma base de I(T) e tem-se dim I(T) = 2. Por outro lado, como I(T) é subespaço de R2 e dim I(T) = dim R2 então I(T) = R2 , isto é, T é sobrejectiva. (iv) O vector (1; 0; 0) é uma solução particular da equação linear T(x; y; z) = (1; 1). Logo, a solução geral da equação linear T(x; y; z) = (1; 1) é dada por: f(1; 0; 0)g + N(T) = (1 + t; t; 0) 2 R3 : t 2 R . 316
  • 317.
    (v) Não existenenhum vector (a; b) 2 R2 para o qual a equação linear T(x; y; z) = (a; b) seja impossível, uma vez que T é sobrejectiva. (vi) Não existe nenhum vector (a; b) 2 R2 para o qual a equação linear T(x; y; z) = (a; b) seja possível e determinada, uma vez que T não é injectiva. 11. Considere a transformação linear T : R3 ! R3 cuja matriz M(T; B3 c ; B3 c ) que a representa em relação à base canónica (ordenada) B3 c de R3 é dada por M(T; B3 c ; B3 c ) = 2 4 1 2 2 2 1 4 0 0 2 3 5 . (i) Seja (x; y; z) 2 R3 . Tem-se T(x; y; z) = M(T; B3 c ; B3 c ) 2 4 x y z 3 5 = 2 4 1 2 2 2 1 4 0 0 2 3 5 2 4 x y z 3 5 = (x + 2y + 2z; 2x + y + 4z; 2z). (ii) Tem-se N(T) = N 0 @ 2 4 1 2 2 2 1 4 0 0 2 3 5 1 A = N 0 @ 2 4 1 2 2 0 3 0 0 0 2 3 5 1 A = f(0; 0; 0)g . Logo, T é injectiva e dim N(T) = 0. (iii) Tem-se I(T) = f(x + 2y + 2z; 2x + y + 4z; 2z) : x; y; z 2 Rg = = fx(1; 2; 0) + y(2; 1; 0) + z(2; 4; 2) : x; y; z 2 Rg = L (f(1; 2; 0); (2; 1; 0); (2; 4; 2)g) . Como o conjunto f(1; 2; 0); (2; 1; 0); (2; 4; 2)g é linearmente independente e como gera I(T) então f(1; 2; 0); (2; 1; 0); (2; 4; 2)g é uma base de I(T) e tem-se dim I(T) = 3. Por outro lado, como I(T) é subespaço de R3 e dim I(T) = dim R3 então I(T) = R3 , isto é, T é sobrejectiva. (iv) Como T(1; 1; 0) = T(1; 0; 0) + T(0; 1; 0) = (2; 1; 0) + (1; 2; 0) = (3; 3; 0), então o vector (1; 1; 0) é uma solução particular da equação linear T(x; y; z) = (3; 3; 0). Logo, a solução geral da equação linear T(x; y; z) = (3; 3; 0) é dada por: f(1; 1; 0)g + N(T) = f(1; 1; 0)g . (v) Não existe nenhum vector (a; b; c) 2 R3 para o qual a equação linear T(x; y; z) = (a; b; c) seja impossível, uma vez que T é sobrejectiva. 317
  • 318.
    (vi) Não existenenhum vector (a; b; c) 2 R3 para o qual a equação linear T(x; y; z) = (a; b; c) seja possível e indeterminada, uma vez que T é injectiva. 12. Considere a transformação linear T : R3 ! R3 cuja matriz M(T; B; B) que a representa em relação à base (ordenada) B = fv1; v2; v3g de R3 com v1 = (1; 1; 1), v2 = (1; 1; 0), v3 = (1; 0; 0), é dada por M(T; B; B) = 2 4 1 2 2 2 4 4 0 0 2 3 5 . (i) Seja A = M(T; B; B). Seja u 2 R3 e sejam ( 1; 2; 3) as coordenadas de u em relação à base B. Tem-se u 2 N(T) , ( 1; 2; 3) 2 N(A) e como N(A) = N 0 @ 2 4 1 2 2 2 4 4 0 0 2 3 5 1 A = N 0 @ 2 4 1 2 0 0 0 0 0 0 2 3 5 1 A = f( 2y; y; 0) : y 2 Rg = L (f( 2; 1; 0)g) , N(T) = L (f( 2) (1; 1; 1) + 1(1; 1; 0) + 0(1; 0; 0)g) = L (f(1; 1; 2)g) . O conjunto f(1; 1; 2)g é uma base de N(T) pois gera N(T) e é linearmente independente. Assim, dim N(T) = 1. T não é injectiva, uma vez que N(T) 6= f(0; 0; 0)g. Como dim R3 |{z} espaço de partida = dim N(T) + dim I(T), então dim I(T) = 2 e assim I(T) 6= R3 (pois dim R3 = 3), isto é, T não é sobrejectiva. Expressão geral de T: T(x; y; z) = 2 4 1 1 1 1 1 0 1 0 0 3 5 2 4 1 2 2 2 4 4 0 0 2 3 5 2 4 1 1 1 1 1 0 1 0 0 3 5 1 2 4 x y z 3 5 = = (8x 2y 3z; 6x 3z; 2x z). Cálculo alternativo de N(T): Tem-se N(T) = (x; y; z) 2 R3 : T(x; y; z) = (0; 0; 0) = = (x; y; z) 2 R3 : (8x 2y 3z; 6x 3z; 2x z) = (0; 0; 0) = = (x; y; z) 2 R3 : z = 2x e x = y = (x; x; 2x) 2 R3 : x 2 R = = L (f(1; 1; 2)g) . (ii) Quanto ao contradomínio: I(T) = L (fT(1; 1; 1); T(1; 1; 0); T(1; 0; 0)g) = 318
  • 319.
    = L(f1(1; 1;1) + 2(1; 1; 0) + 0(1; 0; 0); 2(1; 1; 1)+ +4(1; 1; 0) + 0(1; 0; 0); 2(1; 1; 1) + 4(1; 1; 0) + 2(1; 0; 0)g) = = L (f(3; 3; 1); (6; 6; 2); (8; 6; 2)g) = L (f(6; 6; 2); (8; 6; 2)g) = L (f(8; 6; 2); ( 2; 0; 0)g) . Como o conjunto f(8; 6; 2); ( 2; 0; 0)g é linearmente independente e como gera I(T) então f(8; 6; 2); ( 2; 0; 0)g é uma base de I(T) e tem-se dim I(T) = 2. Cálculo alternativo de I(T): Tem-se I(T) = f(8x 2y 3z; 6x 3z; 2x z) : x; y; z 2 Rg = = L (f(8; 6; 2); ( 2; 0; 0); ( 3; 3; 1)g) = = L (f(8; 6; 2); ( 2; 0; 0)g) = C M(T; B3 c ; B3 c ) . (iii) É fácil ver que (2; 4; 0) =2 I(T). Logo, a equação linear T(x; y; z) = (2; 4; 0) não tem soluções. (iv) Tem-se T(1; 1; 1) = 1(1; 1; 1) + 2(1; 1; 0) + 0(1; 0; 0) = (3; 3; 1) e assim T 1 3 ; 1 3 ; 1 3 = 1; 1; 1 3 Logo, a solução geral de T (x; y; z) = 1; 1; 1 3 é dada por: (x; y; z) 2 R3 : T (x; y; z) = 1; 1; 1 3 = 1 3 ; 1 3 ; 1 3 + N (T) = = 1 3 ; 1 3 ; 1 3 ) + s (1; 1; 2) : s 2 R . (v) Por exemplo o vector (1; 0; 0) ou qualquer vector (a; b; c) 2 I(T), uma vez que sendo T não injectiva, sempre que a equação linear fôr possível, ela será indeterminada. (vi) Tem-se T(v1) = (1; 1; 1) + 2(1; 1; 0) + 0(1; 0; 0) = (3; 3; 1); T(v2) = 2(1; 1; 1) + 4(1; 1; 0) + 0(1; 0; 0) = (6; 6; 2) e T(v3) = 2(1; 1; 1) + 4(1; 1; 0) + 2(1; 0; 0) = (8; 6; 2). Logo, T(1; 0; 0) = T(v3) = (8; 6; 2); T(0; 1; 0) = T(v2) T(v3) = ( 2; 0; 0) 319
  • 320.
    e T(0; 0; 1)= T(v1) T(v2) = ( 3; 3; 1). Assim, M(T; B3 c ; B3 c ) = 2 4 8 2 3 6 0 3 2 0 1 3 5 e deste modo, para (x; y; z) 2 R3 , T(x; y; z) = M(T; B3 c ; B3 c ) 2 4 x y z 3 5 = 2 4 8 2 3 6 0 3 2 0 1 3 5 2 4 x y z 3 5 = = (8x 2y 3z; 6x 3z; 2x z). 13. Considere a transformação linear T : R3 ! R3 de…nida por T(x; y; z) = (x + y + z; x + 2y 4z; z). (i) Tendo em conta que T(1; 0; 0) = (1; 1; 0); T(0; 1; 0) = (1; 2; 0) e T(0; 0; 1) = (1; 4; 1), tem-se M(T; B3 c ; B3 c ) = 2 4 1 1 1 1 2 4 0 0 1 3 5 que representa T em relação à base canónica (ordenada) B3 c de R3 . (ii) A matriz M(T; B3 c ; B3 c ) é invertível pois M(T; B3 c ; B3 c ) = 2 4 1 1 1 1 2 4 0 0 1 3 5 ! 2 4 1 1 1 0 1 5 0 0 1 3 5 . Logo, T é injectiva e como tal invertível, tendo-se M(T; B3 c ; B3 c ) 1 = M(T 1 ; B3 c ; B3 c ). Determinemos (M(T; B3 c ; B3 c )) 1 . M(T; B3 c ; B3 c ) j I = 2 4 1 1 1 j 1 0 0 1 2 4 j 0 1 0 0 0 1 j 0 0 1 3 5 ! 2 4 1 1 1 j 1 0 0 0 1 5 j 1 1 0 0 0 1 j 0 0 1 3 5 ! ! 2 4 1 1 0 j 1 0 1 0 1 0 j 1 1 5 0 0 1 j 0 0 1 3 5 ! 2 4 1 0 0 j 2 1 6 0 1 0 j 1 1 5 0 0 1 j 0 0 1 3 5 . Logo, M(T; B3 c ; B3 c ) 1 = 2 4 2 1 6 1 1 5 0 0 1 3 5 320
  • 321.
    e como tal,para (x; y; z) 2 R3 , T 1 (x; y; z) = M(T; B3 c ; B3 c ) 1 2 4 x y z 3 5 = 2 4 2 1 6 1 1 5 0 0 1 3 5 2 4 x y z 3 5 = = (2x y 6z; x + y + 5z; z). Observação: T 1 T = T T 1 = I. Isto é, para qualquer (x; y; z) 2 R3 ; T 1 T (x; y; z) = T T 1 (x; y; z) = (x; y; z), como se pode ver: T 1 T (x; y; z) = T 1 (T(x; y; z)) = T 1 (x + y + z; x + 2y 4z; z) = = (2x + 2y + 2z x 2y + 4z 6z; x y z + x + 2y 4z + 5z; z) = = (x; y; z); T T 1 (x; y; z) = T T 1 (x; y; z) = T(2x y 6z; x + y + 5z; z) = = (2x y 6z x + y + 5z + z; 2x y 6z 2x + 2y + 10z 4z; z) = = (x; y; z). Demonstração alternativa da injectividade de T: Tem-se N(T) = (x; y; z) 2 R3 : T(x; y; z) = (0; 0; 0) = = (x; y; z) 2 R3 : (x + y + z; x + 2y 4z; z) = (0; 0; 0) = = f(0; 0; 0)g . Logo, T é injectiva. (iii) Sendo T injectiva, como os espaços de partida e de chegada têm a mesma dimensão, então T é sobrejectiva. Logo, T é linear e bijectiva, isto é, T é um isomor…smo. (iv) Tem-se T(x; y; z) = (1; 1; 2) , (x; y; z) = T 1 (1; 1; 2) = ( 11; 10; 2). Logo, a solução geral da equação linear T(x; y; z) = (1; 1; 2) é: f( 11; 10; 2)g. 14. Seja B2 2 c = 1 0 0 0 ; 0 1 0 0 ; 0 0 1 0 ; 0 0 0 1 a base canónica (ordenada) de M2 2(R). Considere a transformação T : M2 2(R) ! M2 2(R) de…nida por T(X) = AX XA, com A = 0 1 1 0 : 321
  • 322.
    (i) Sejam X;X1; X2 2 M2 2(R) e 2 R. Tem-se T(X1 + X2) = A(X1 + X2) (X1 + X2)A = AX1 + AX2 X1A X2A = = AX1 X1A + AX2 X2A = T(X1) + T(X2) e T( X) = A( X) ( X)A = (AX XA) = T(X). (ii) Seja a b c d 2 M2 2(R). Tem-se T a b c d = 0 1 1 0 a b c d a b c d 0 1 1 0 = b + c d a d a b c . Logo, a expressão geral de T é dada por: T a b c d = b + c d a d a b c . (iii) Tem-se M(T; B2 2 c ; B2 2 c ) = 2 6 6 4 0 1 1 0 1 0 0 1 1 0 0 1 0 1 1 0 3 7 7 5 , uma vez que T 1 0 0 0 = 0 1 1 0 1 0 0 0 1 0 0 0 0 1 1 0 = 0 1 1 0 , T 0 1 0 0 = 0 1 1 0 0 1 0 0 0 1 0 0 0 1 1 0 = 1 0 0 1 , T 0 0 1 0 = 0 1 1 0 0 0 1 0 0 0 1 0 0 1 1 0 = 1 0 0 1 , T 0 0 0 1 = 0 1 1 0 0 0 0 1 0 0 0 1 0 1 1 0 = 0 1 1 0 : (iv) Tem-se N(T) = X = a b c d 2 M2 2(R) : T(X) = 0 0 0 0 = = a b b a 2 M2 2(R) : a; b 2 R = L 1 0 0 1 ; 0 1 1 0 . Logo, dim N(T) = 2. Como N(T) 6= 0 0 0 0 então T não é injectiva. 322
  • 323.
    (v) Atendendo aque dim N(T) = 2 e dim M2 2(R) = 4, então dim I(T) = 2. T não é sobrejectiva uma vez que I(T) 6= M2 2(R). Determinemos uma base para I(T). Tem-se I(T) = T(X) : X = a b c d 2 M2 2(R) = = b + c d a a + d b c 2 M2 2(R) : a; b; c; d 2 R = = L 0 1 1 0 ; 1 0 0 1 ; 0 1 1 0 = = L 1 0 0 1 ; 0 1 1 0 . Como o conjunto 1 0 0 1 ; 0 1 1 0 gera I(T) e é linearmente independente, então é uma base de I(T). 15. Considere as transformações lineares T1; T2 : R2 ! R2 de…nidas respectivamente por T1(x; y) = (x + y; x y) e T2(x; y) = (2x + y; x 2y). (i) Tem-se M(T1; B2 c ; B2 c ) = 1 1 1 1 e M(T2; B2 c ; B2 c ) = 2 1 1 2 uma vez que T1(1; 0) = (1; 1); T1(0; 1) = (1; 1); T2(1; 0) = (2; 1) e T2(0; 1) = (1; 2). (ii) A matriz M(T2 T1; B2 c ; B2 c ) que representa T2 T1 em relação à base canónica (or- denada) B2 c de R2 , é dada por M(T2 T1; B2 c ; B2 c ) = M(T2; B2 c ; B2 c )M(T1; B2 c ; B2 c ) = = 2 1 1 2 1 1 1 1 = 3 1 1 3 . (iii) Tem-se, para qualquer (x; y) 2 R2 , (T2 T1)(x; y) = M(T2 T1; B2 c ; B2 c ) x y = = 3 1 1 3 x y = (3x + y; x + 3y). (iv) Tem-se, para qualquer (x; y) 2 R2 , T1(x; y) = M(T1; B2 c ; B2 c ) x y = = 1 1 1 1 x y = (x + y; x y) 323
  • 324.
    e T2(x; y) =M(T2; B2 c ; B2 c ) x y = = 2 1 1 2 x y = (2x + y; x 2y). Logo, (T2 T1)(x; y) = T2 (T1(x; y)) = T2(x + y; x y) = = (2x + 2y + x y; x + y 2x + 2y) = (3x + y; x + 3y): (v) Tem-se N(T1) = (x; y) 2 R2 : T(x; y) = (0; 0) = (x; y) 2 R2 : (x + y; x y) = (0; 0) = f(0; 0)g e N(T2) = (x; y) 2 R2 : T(x; y) = (0; 0) = (x; y) 2 R2 : (2x + y; x 2y) = (0; 0) = f(0; 0)g . Logo, T1 e T2 são injectivas e como tal são invertíveis. (vi) Tem-se então M(T1; B2 c ; B2 c ) 1 = M(T 1 1 ; B2 c ; B2 c ) e M(T2; B2 c ; B2 c ) 1 = M(T 1 2 ; B2 c ; B2 c ) Determinemos (M(T1; B2 c ; B2 c )) 1 e (M(T2; B2 c ; B2 c )) 1 . M(T1; B2 c ; B2 c ) j I = 1 1 j 1 0 1 1 j 0 1 ! 1 1 j 1 0 0 2 j 1 1 ! ! 1 0 j 1=2 1=2 0 2 j 1 1 ! 1 0 j 1=2 1=2 0 1 j 1=2 1=2 ; M(T2; B2 c ; B2 c ) j I = 2 1 j 1 0 1 2 j 0 1 ! 2 1 j 1 0 0 5=2 j 1=2 1 ! ! 2 0 j 4=5 2=5 0 5=2 j 1=2 1 ! 1 0 j 2=5 1=5 0 1 j 1=5 2=5 . Logo, M(T1; B2 c ; B2 c ) 1 = 1=2 1=2 1=2 1=2 e M(T2; B2 c ; B2 c ) 1 = 2=5 1=5 1=5 2=5 e como tal, para (x; y) 2 R2 , T 1 1 (x; y) = M(T1; B2 c ; B2 c ) 1 x y = 1=2 1=2 1=2 1=2 x y = 1 2 x + 1 2 y; 1 2 x 1 2 y , T 1 2 (x; y) = M(T2; B2 c ; B2 c ) 1 x y = 2=5 1=5 1=5 2=5 x y = 2 5 x + 1 5 y; 1 5 x 2 5 y , 324
  • 325.
    e …nalmente T 1 1T 1 2 (x; y) = T 1 1 T 1 2 (x; y) = = T 1 1 2 5 x + 1 5 y; 1 5 x 2 5 y = = 3 10 x 1 10 y; 1 10 x + 3 10 y . (vii) Tem-se M((T2 T1) 1 ; B2 c ; B2 c ) = M(T 1 1 T 1 2 ; B2 c ; B2 c ) = M(T 1 1 ; B2 c ; B2 c )M(T 1 2 ; B2 c ; B2 c ) = = M(T1; B2 c ; B2 c ) 1 M(T2; B2 c ; B2 c ) 1 = 1=2 1=2 1=2 1=2 2=5 1=5 1=5 2=5 = 3=10 1=10 1=10 3=10 : De facto, M((T2 T1) 1 ; B2 c ; B2 c ) = 3=10 1=10 1=10 3=10 = 3 1 1 3 1 = M(T2 T1; B2 c ; B2 c ) 1 . (viii) Tendo em conta (vii) tem-se (T2 T1) 1 (x; y) = 3=10 1=10 1=10 3=10 x y = 3 10 x 1 10 y; 1 10 x + 3 10 y . Logo, como seria de esperar, (T2 T1) 1 (x; y) = T 1 1 T 1 2 (x; y). 16. Seja A = M (T; B2 c ; B2 c ). Como A = 1 0 2 1 é invertível, pois det A = 1 6= 0, T é injectiva. Logo, se a equação linear T(x; y) = (1; 2) tiver solução, ela é única. Como C (A) = I (T) e uma vez que 1 2 2 C (A) pois: 1 2 = 1 1 2 + 0 0 1 , então (1; 0) é a solução única da equação linear T(x; y) = (1; 2). Resolução alternativa da equação linear T(x; y) = (1; 2): Como A é invertível, T é invertível e T(x; y) = (1; 2) , (x; y) = T 1 (1; 2) = A 1 1 2 = 1 0 2 1 1 2 = 1 0 . 17. Tem-se M (T1; B2 c ; B1 c ) = 1 0 , pois T1 (1; 0) = 1 e T1 (0; 1) = 0. Logo M T2 T1; B2 c ; B2 c = M T2; B1 c ; B2 c M T1; B2 c ; B1 c = 1 0 1 0 = 1 0 0 0 325
  • 326.
    e assim N(T2T1) = N(M (T2 T1; B2 c ; B2 c )) = N 1 0 0 0 = L (f(0; 1)g). Pelo que f(0; 1)g é base de N(T2 T1), uma vez que f(0; 1)g é linearmente independente e gera N(T2 T1). 18. Como M(T; B1; B2) = 1 0 1 1 0 1 , tem-se T(1; 0; 1) = 1(1; 1) (0; 1) = (1; 0), T(0; 1; 1) = 0(1; 1)+0(0; 1) = (0; 0) e T(1; 0; 1) = 1(1; 1) (0; 1) = (1; 0). Por outro lado, como B1 = f(1; 0; 1); (0; 1; 1); (0; 0; 1)g gera o "espaço de partida" R3 , tem-se I (T) = L (fT(1; 0; 1); T(0; 1; 1); T(0; 0; 1)g) = L (f(1; 0)g) . Pelo que f(1; 0)g é base de I (T), pois (1; 0) é linearmente independente e gera I (T). Tem-se dim I (T) = car (M(T; B1; B2)) = car 1 0 1 0 0 0 = 1. Como I (T) 6= R2 , pois dim I (T) = 1 6= 2 = dim R2 , então T não é sobrejectiva. 19. Considere a transformação linear T1 : R3 ! R2 de…nida por T1(x; y; z) = (2x+y; y + 2z). Considere ainda a transformação linear T2 : R2 ! R3 cuja representação matricial em relação à base (ordenada) B = f(2; 1); (1; 2)g de R2 e à base canónica B3 c de R3 é dada pela matriz M(T2; B; B3 c ) = 2 4 2 1 1 1 1 2 3 5. (i) N(T1) = (x; y; z) 2 R3 : T1(x; y; z) = (0; 0) = (x; y; z) 2 R3 : (2x + y; y + 2z) = (0; 0) = = n (x; y; z) 2 R3 : x = z = y 2 o = n y 2 ; y; y 2 : y 2 R o = L (f(1; 2; 1)g) . O conjunto f(1; 2; 1)g gera N(T1) e é linearmente independente, logo é uma base de N(T1). Tem-se dim N(T1) = 1 e dim N(T1) + dim I(T1) = dim R3 , e assim dim I(T1) = 2. Logo, como I(T1) é um subespaço de R2 e dim I(T1) = dim R2 = 2, então I(T1) = R2 e assim, T1 é sobrejectiva. (ii) Como B = f(2; 1); (1; 2)g gera o "espaço de partida" R2 , tem-se I (T2) = L (fT2(2; 1); T2(1; 2)g) = L (f(2; 1; 1) ; (1; 1; 2)g) . Como o conjunto f(2; 1; 1) ; (1; 1; 2)g gera I (T2) e é linearmente independente, então é uma base de I (T2). Tem-se dim I (T2) = 2 e dim N(T2) + dim I (T2) = dim R2 , e assim dim N(T2) = 0. Logo, T2 é injectiva. (iii) Tem-se 2 4 1 2 1 2 1 1 1 1 2 3 5 ! 2L1+L2!L2 L1+L3!L3 2 4 1 2 1 0 5 1 0 3 1 3 5 !3 5 L2+L3!L3 2 4 1 2 1 0 5 1 0 0 8 5 3 5 326
  • 327.
    logo o conjuntof(1; 2; 1) ; (2; 1; 1) ; (1; 1; 2)g gera N(T1) + I(T2) e é linearmente indepen- dente, então é uma base de N(T1) + I(T2). Logo, como N(T1) + I(T2) é um subespaço de R3 e dim (N(T1) + I(T2)) = dim R3 = 3, então N(T1) + I(T2) = R3 . Tem-se dim (N(T1) I(T2)) = dim N(T1) + dim I(T2) dim (N(T1) + I(T2)) = 1 + 2 3 = 0. (iv) Como (1; 0) = 2 3 (2; 1) 1 3 (1; 2) e (0; 1) = 1 3 (2; 1) + 2 3 (1; 2), tem-se T2(1; 0) = T2 2 3 (2; 1) 1 3 (1; 2) = T é linear 2 3 T2(2; 1) 1 3 T2(1; 2) = = 2 3 (2; 1; 1) 1 3 (1; 1; 2) = 4 3 ; 2 3 ; 2 3 + 1 3 ; 1 3 ; 2 3 = 1; 1 3 ; 0 e T2(0; 1) = T2 1 3 (2; 1) + 2 3 (1; 2) = T é linear 1 3 T2(2; 1) + 2 3 T2(1; 2) = = 1 3 (2; 1; 1) + 2 3 (1; 1; 2) = 2 3 ; 1 3 ; 1 3 + 2 3 ; 2 3 ; 4 3 = 0; 1 3 ; 1 Logo, a matriz M(T2; B2 c ; B3 c ) que representa T2 em relação às bases canónicas B2 c e B3 c de R2 e R3 respectivamente, é dada por M(T2; B2 c ; B3 c ) = 2 4 1 0 1=3 1=3 0 1 3 5 . (v) A matriz M(T1; B3 c ; B2 c ) que representa T1 em relação às bases canónicas B3 c e B2 c de R3 e R2 respectivamente, é dada por M(T1; B3 c ; B2 c ) = 2 1 0 0 1 2 , uma vez que T1(1; 0; 0) = (2; 0); T1(0; 1; 0) = (1; 1) e T1(0; 0; 1) = (0; 2). Logo, a matriz que representa T1 T2 em relação à base canónica B2 c de R2 é dada por M(T1 T2; B2 c ; B2 c ) = M(T1; B3 c ; B2 c )M(T2; B2 c ; B3 c ) = 2 1 0 0 1 2 2 4 1 0 1=3 1=3 0 1 3 5 = 7=3 1=3 1=3 7=3 . Logo, tem-se (T1 T2) (x; y) = 7=3 1=3 1=3 7=3 x y . 327
  • 328.
    Assim, como amatriz 7=3 1=3 1=3 7=3 é invertível, a solução geral da equação (T1 T2) (x; y) = 8=3 8=3 , é dada x y = 7=3 1=3 1=3 7=3 1 8=3 8=3 = 7=16 1=16 1=16 7=16 8=3 8=3 = 1 1 . 20. Considere a transformação linear T1 : R2 ! R3 de…nida por T1(x; y) = (2x+y; 0; x+ 2y). Considere ainda a transformação linear T2 : R3 ! R2 cuja representação matricial em relação à base (ordenada) B = f(1; 1; 1); (1; 1; 0); (1; 0; 0)g de R3 e à base canónica B2 c de R2 é dada pela matriz: M(T2; B; B2 c ) = 1 1 1 1 1 1 . (i) T2 (0; 1; 0) = T2(1; 1; 0) T2(1; 0; 0) = ( 1; 1) (1; 1) = ( 2; 2). T2 (0; 0; 1) = T2(1; 1; 1) T2(1; 1; 0) = (1; 1) ( 1; 1) = (2; 2). (ii) Tem-se I (T1) = T1(x; y) : (x; y) 2 R2 = (2x + y; 0; x + 2y) : (x; y) 2 R2 = = fx(2; 0; 1) + y(1; 0; 2) : x; y 2 Rg = L (f(2; 0; 1); (1; 0; 2)g) . Como o conjunto f(2; 0; 1); (1; 0; 2)g gera I (T1) e é linearmente independente, então é uma base de I (T1). Como dim I(T1) = 2 < 3 = dim R3 então I(T1) 6= R3 e assim, T1 não é sobrejectiva. (iii) N M(T2; B; B2 c ) = N 1 1 1 1 1 1 = N 1 1 1 0 0 0 = = f(y z; y; z) : y; z 2 Rg = L (f(1; 1; 0); ( 1; 0; 1)g) : Como os vectores (1; 1; 0) e ( 1; 0; 1) são as coordenadas na base B de vectores que geram o núcleo de T2, tem-se 1(1; 1; 1) + 1(1; 1; 0) + 0(1; 0; 0) = (2; 2; 1) e 1(1; 1; 1) + 0(1; 1; 0) + 1(1; 0; 0) = (0; 1; 1) Como o conjunto f(2; 2; 1); (0; 1; 1)g gera N (T2) e é linearmente independente, então é uma base de N (T2). Como N(T2) 6= f0g então T2 não é injectiva. (iv) Pela de…nição de M(T2; B; B2 c ) tem-se T2 (1; 0; 0) = (1; 1). Atendendo à alínea a), tem-se T2 (0; 1; 0) = ( 2; 2) e T2 (0; 0; 1) = (2; 2). Logo, a matriz M(T2; B3 c ; B2 c ) que representa T2 em relação às bases canónicas B3 c e B2 c de R3 e R2 respectivamente, é dada por M(T2; B3 c ; B2 c ) = 1 2 2 1 2 2 . 328
  • 329.
    Por outro lado,como T1 (1; 0) = (2; 0; 1) e T1 (0; 1) = (1; 0; 2). Logo, a matriz M(T1; B2 c ; B3 c ) que representa T1 em relação às bases canónicas B2 c e B3 c de R2 e R3 respectivamente, é dada por M(T1; B2 c ; B3 c ) = 2 4 2 1 0 0 1 2 3 5 . Logo, a matriz que representa T2 T1 em relação à base canónica B2 c de R2 é dada por M(T2 T1; B2 c ; B2 c ) = M(T2; B3 c ; B2 c )M(T1; B2 c ; B3 c ) = 1 2 2 1 2 2 2 4 2 1 0 0 1 2 3 5 = 4 5 4 5 . Logo, tem-se (T2 T1) (x; y) = 4 5 4 5 x y e assim, (T2 T1) (x; y) = ( 1; 1) , 4 5 4 5 x y = 1 1 . A solução geral de (T2 T1) (x; y) = ( 1; 1) é dada por: Solução particular de 4 5 4 5 x y = 1 1 + Solução geral de 4 5 4 5 x y = 0 0 . Como o vector 1 4 ; 0 é uma solução particular de 4 5 4 5 x y = 1 1 e N 4 5 4 5 = N 4 5 0 0 = L 5 4 ; 1 então, a solução geral de (T2 T1) (x; y) = ( 1; 1) é dada por: 1 4 ; 0 + N 4 5 4 5 = 1 4 ; 0 + s 5 4 ; 1 : s 2 R . 21. Considere a transformação linear T : R3 ! P3 de…nida por T(1; 1; 1) = 2 + 2t2 ; T(1; 1; 1) = t t3 e T( 1; 1; 1) = 2 + t + 2t2 + t3 . (i) Determinemos a expressão geral de T, isto é, determinemos T(x; y; z) para qualquer (x; y; z) 2 R3 . Seja (x; y; z) 2 R3 . Como f(1; 1; 1); (1; 1; 1); ( 1; 1; 1)g gera R3 , existem escalares ; ; 2 R tais que (x; y; z) = (1; 1; 1) + (1; 1; 1) + ( 1; 1; 1). Atendendo a 2 4 1 1 1 j x 1 1 1 j y 1 1 1 j z 3 5 ! 2 4 1 1 1 j x 0 2 2 j y x 0 2 0 j z + x 3 5 ! 2 4 1 1 1 j x 0 2 2 j y x 0 0 2 j y + z 3 5 , 329
  • 330.
    tem-se 8 < : + = x 2+ 2 = y x 2 = y + z , 8 >>>>< >>>>: = 1 2 (x + y) = 1 2 (x + z) = 1 2 (y + z) . Logo (x; y; z) = 1 2 (x + y) (1; 1; 1) + 1 2 (x + z) (1; 1; 1) + 1 2 (y + z) ( 1; 1; 1), e assim, como T é linear, T(x; y; z) = 1 2 (x + y) T(1; 1; 1) + 1 2 (x + z) T(1; 1; 1) + 1 2 (y + z) T( 1; 1; 1) = = 1 2 (x + y) 2 + 2t2 + 1 2 (x + z) t t3 + 1 2 (y + z) 2 + t + 2t2 + t3 = = x + 2y + z + 1 2 (y x) t + (x + 2y + z) t2 + 1 2 (y x) t3 . (ii) Tem-se N(T) = (x; y; z) 2 R3 : T(x; y; z) = 0 = = (x; y; z) 2 R3 : x + 2y + z + 1 2 (y x) t + (x + 2y + z) t2 + 1 2 (y x) t3 = 0 + 0t + 0t2 + 0t3 = = (x; y; z) 2 R3 : x + 2y + z = 0 e 1 2 (y x) = 0 = = (x; y; z) 2 R3 : x = y e z = 3y = y(1; 1; 3) 2 R3 : y 2 R = L (f(1; 1; 3)g) Logo, o conjunto f(1; 1; 3)g é uma base de N(T) e dim N(T) = 1. T não é injectiva, uma vez que N(T) 6= f(0; 0; 0)g. (iii) Determine, se possível, uma base para o contradomínio I(T). Determine a dimensão de I(T). Diga se T é sobrejectiva. Como f(1; 1; 1); (1; 1; 1); ( 1; 1; 1)g gera R3 ; tem-se I (T) = L (fT(1; 1; 1); T(1; 1; 1); T( 1; 1; 1)g) = L 2 + 2t2 ; t t3 ; 2 + t + 2t2 + t3 : Como: 2 6 6 4 2 0 2 0 1 1 2 0 2 0 1 1 3 7 7 5 ! 2 6 6 4 2 0 2 0 1 1 0 0 0 0 0 0 3 7 7 5 então o conjunto f2 + 2t2 ; t t3 g é linearmente independente e gera I(T); sendo assim uma base de I(T). Logo, tem-se dim I(T) = 2. Por outro lado, como I(T) é subespaço de P3 e dim P3 = 4 então I(T) 6= P3, isto é, T não é sobrejectiva. 330
  • 331.
    (iv) Atendendo ater-se T(1; 1; 1) = 2 + 2t2 ; T(1; 1; 1) = t t3 e T( 1; 1; 1) = 2 + t + 2t2 + t3 . 1 + t + t2 + t3 = 2 + t + 2t2 + t3 | {z } = T( 1;1;1) 1 2 2 + 2t2 | {z } = T(1;1; 1) = T( 1; 1; 1) 1 2 T(1; 1; 1) = T é linear = T ( 1; 1; 1) 1 2 (1; 1; 1) = T 3 2 ; 1 2 ; 3 2 , 3 2 ; 1 2 ; 3 2 é uma solução particular da equação linear T(x; y; z) = 1 + t + t2 + t3 . Como, a solução geral de T(x; y; z) = 1 + t + t2 + t3 é dada por: Solução particular de T(x; y; z) = 1 + t + t2 + t3 + (Solução geral de T(x; y; z) = 0) e como a solução geral de T(x; y; z) = 0 é dada por N(T) = (x; y; z) 2 R3 : T(x; y; z) = 0 = L (f(1; 1; 3)g) então, a solução geral de T(x; y; z) = 1 + t + t2 + t3 é dada por: 3 2 ; 1 2 ; 3 2 + L (f(1; 1; 3)g) = 3 2 ; 1 2 ; 3 2 + s(1; 1; 3) : s 2 R . 22. Seja 2 R. Considere a transformação linear T : R3 ! P2 de…nida por T (x; y; z) = z y + (y x) t + xt2 . (i) Tem-se N(T ) = (x; y; z) 2 R3 : T (x; y; z) = 0 = = (x; y; z) 2 R3 : z y + (y x) t + xt2 = 0 + 0t + 0t2 + 0t3 = = (x; y; z) 2 R3 : z = y e (y = x ou = 0) e x = 0 = = (0; y; z) 2 R3 : z = y e (y = 0 ou = 0) = = 8 < : f(0; 0; 0)g se 6= 0 fy(0; 1; 1) 2 R3 : y 2 Rg se = 0 = 8 < : f(0; 0; 0)g se 6= 0 L (f(0; 1; 1)g) se = 0 Logo, se = 0 então f(0; 1; 1)g é uma base de N(T0) e assim T0 não é injectiva. dim N(T ) = 8 < : 0 se 6= 0 1 se = 0: Logo, como N(T ) = f(0; 0; 0)g, para todo o 2 Rn f0g, então T é injectiva, para todo o 2 Rn f0g. (ii) Seja (x; y; z) 2 R3 , tem-se T (x; y; z) = z y + (y x) t + xt2 = z + x t + t2 + y ( 1 + t) 331
  • 332.
    Logo, I(T ) =T (x; y; z) : (x; y; z) 2 R3 = z + x t + t2 + y ( 1 + t) : x; y; z 2 R = = L 1; t + t2 ; 1 + t = 8 < : L (f1; t + t2 ; 1 + tg) se 6= 0 L (f1; t2 g) se = 0 Se 6= 0 então o conjunto f1; t + t2 ; 1 + tg é linearmente independente e gera I (T ), sendo assim uma base de I (T ). Se = 0 então o conjunto f1; t2 g é linearmente independente e gera I (T0), sendo assim uma base de I (T0). Logo dim I(T ) = 8 < : 3 se 6= 0 2 se = 0: Como I (T ) é um subespaço de P2 e neste caso ( 6= 0) dim I (T ) = dim P2, então I (T ) = P2, isto é, T é sobrejectiva se 6= 0. Se = 0, como I (T0) 6= P3, T0 não é sobrejectiva. Note que: para todo o 2 R, dim R3 |{z} espaço de partida = dim N(T ) + dim I(T ), (iii) Considere = 0 e resolva a equação linear T0(x; y; z) = 1 + t2 .Atendendo a ter-se T0(1; 0; 1) = 1 + t2 então (1; 0; 1) é uma solução particular da equação linear T0(x; y; z) = 1 + t2 . Como, a solução geral de T0(x; y; z) = 1 + t2 é dada por: Solução particular de T0(x; y; z) = 1 + t2 + (Solução geral de T0(x; y; z) = 0) e como a solução geral de T0(x; y; z) = 0 é dada por N(T0) = (x; y; z) 2 R3 : T0(x; y; z) = 0 = L (f(0; 1; 1)g) então, a solução geral de T0(x; y; z) = 1 + t2 é dada por: (1; 0; 1) + L (f(0; 1; 1)g) = f(1; 0; 1) + s(0; 1; 1) : s 2 Rg . 23. Considere o espaço linear P2 dos polinómios reais de variável real e de grau menor ou igual a 2. Considere a transformação linear T : P2 ! P2 de…nida por T (p (t)) = p0 (t) 2p (t) , onde p0 (t) é a derivada de primeira ordem de p (t). 332
  • 333.
    (i) Seja p(t) 2 P2. p (t) = a0 + a1t + a2t2 ; com a0; a1; a2 2 R. Tem-se T a0 + a1t + a2t2 = a0 + a1t + a2t2 0 2 a0 + a1t + a2t2 = = a1 + 2a2t 2a0 2a1t 2a2t2 = 2a0 + a1 + (2a2 2a1) t 2a2t2 . Logo, a expressão geral de T : P2 ! P2 é dada por: T a0 + a1t + a2t2 = 2a0 + a1 + (2a2 2a1) t 2a2t2 . (ii) Seja B = f1; t; t2 g a base canónica (ordenada) de P2. Determinemos a matriz M(T; B; B) que representa T em relação à base B. Como T (1) = 0 2 = 2, T (t) = 1 2t; T t2 = 2t 2t2 tem-se M(T; B; B) = 2 4 2 1 0 0 2 2 0 0 2 3 5 (iii) Como a transformação linear T : P2 ! P2 é invertível, pois M(T; B; B) é invertível então T é linear e bijectiva, isto é, T é um isomor…smo. Sendo T um isomor…smo, T 1 também é um isomor…smo. Seja p (t) 2 P2. p (t) = a0 + a1t + a2t2 ; com a0; a1; a2 2 R. Tem-se 1 2 p (t) 1 4 p0 (t) 1 8 p00 (t) = 1 2 a0 + a1t + a2t2 1 4 (a1 + 2a2t) 1 8 2a2 = = 1 2 a0 1 4 a1 1 4 a2 + 1 2 a1 1 2 a2 t a2 2 t2 (*) e (M(T; B; B)) 1 2 4 a0 a1 a2 3 5 = 2 4 2 1 0 0 2 2 0 0 2 3 5 1 2 4 a0 a1 a2 3 5 = = 2 4 1 2 1 4 1 4 0 1 2 1 2 0 0 1 2 3 5 2 4 a0 a1 a2 3 5 = 2 4 1 2 a0 1 4 a1 1 4 a2 1 2 a1 1 2 a2 1 2 a2 3 5 Logo T 1 (p (t)) = 1 2 a0 1 4 a1 1 4 a2 + 1 2 a1 1 2 a2 t a2 2 t2 (**) Atendendo a (*) e a (**) conclui-se que a expressão geral do isomor…smo T 1 é dada por T 1 (p (t)) = 1 2 p (t) 1 4 p0 (t) 1 8 p00 (t) para todo o p (t) 2 P2. 333
  • 334.
    (iv) Tem-se p0 (t) 2p(t) = (2 3t)2 , T (p (t)) = (2 3t)2 , T é um isomor…smo p (t) = T 1 (2 3t)2 = (ii) = (ii) 1 2 (2 3t)2 1 4 (2 (2 3t) ( 3)) 1 8 (2 ( 3) ( 3)) = 5 4 + 3 2 t 9 2 t2 . Logo, p (t) = 5 4 + 3 2 t 9 2 t2 é a única solução da equação diferencial linear p0 (t) 2p (t) = (2 3t)2 . 24. Considere o espaço linear P2 dos polinómios reais de variável real e de grau menor ou igual a 2. Considere a transformação linear T : P2 ! P2 de…nida por T (p (t)) = t2 p00 (t) 2p (t) , onde p00 (t) é a derivada de segunda ordem de p (t). (i) Seja p (t) 2 P2. p (t) = a0 + a1t + a2t2 ; com a0; a1; a2 2 R. Tem-se T a0 + a1t + a2t2 = t2 a0 + a1t + a2t2 00 2 a0 + a1t + a2t2 = = t2 2a2 2a0 2a1t 2a2t2 = 2a0 2a1t. Logo, a expressão geral de T : P2 ! P2 é dada por: T a0 + a1t + a2t2 = 2a0 2a1t. (ii) Seja B = f1; t; t2 g a base canónica (ordenada) de P2. Determinemos a matriz M(T; B; B) que representa T em relação à base B. Como T (1) = 0 2 = 2, T (t) = 2t; T t2 = 2t2 2t2 = 0 tem-se M(T; B; B) = 2 4 2 0 0 0 2 0 0 0 0 3 5 (iii) Uma base para N(T): Como N (M(T; B; B)) = N 0 @ 2 4 2 0 0 0 2 0 0 0 0 3 5 1 A = L (f(0; 0; 1)g) , então N (T) = a0 + a1t + a2t2 2 P2 : (a0; a1; a2) 2 L (f(0; 0; 1)g) = L t2 . Como ft2 g é uma base de N (T), dim N (T) = 1. Logo, T não é injectiva, uma vez que dim N (T) 6= 0. 334
  • 335.
    Resolução alternativa paraencontrar uma base para N(T): N (T) = a0 + a1t + a2t2 2 P2 : T a0 + a1t + a2t2 = 0 = = a0 + a1t + a2t2 2 P2 : t2 2a2 2 a0 + a1t + a2t2 = 0 = = a0 + a1t + a2t2 2 P2 : 2a0 2a1t = 0 = = a0 + a1t + a2t2 2 P2 : a0 = 0 e a1 = 0 = L t2 . Como ft2 g é uma base de N (T), dim N (T) = 1. Uma base para I(T): Como f1; t; t2 g gera P2, tem-se I (T) = L T (1) ; T (t) ; T t2 = L (f 2; 2t; 0g) = L (f 2; 2tg) : Uma vez que o conjunto f 2; 2tg é linearmente independente e gera I (T), então f 2; 2tg é uma base de I (T), tendo-se dim I (T) = 2. Como dim P2 = 3, tem-se I (T) 6= P2, pelo que T não é sobrejectiva. (iv) (a) Resolva, em P2; a equação diferencial linear t2 p00 (t) 2p (t) = 2 t. Como 2 4 2 1 0 3 5 2 C (M(T; B; B)) = C 0 @ 2 4 2 0 0 0 2 0 0 0 0 3 5 1 A ; uma vez que 2 4 2 1 0 3 5 = 2 4 2 0 0 0 2 0 0 0 0 3 5 2 4 1 1 2 0 3 5 , então 1 + 1 2 t é uma solução particular da equação diferencial linear t2 p00 (t) 2p (t) = 2 t: Como a solução geral de t2 p00 (t) 2p (t) = 2 t é dada por: Solução particular de t2 p00 (t) 2p (t) = 2 t + Solução geral de t2 p00 (t) 2p (t) = 0 e como a solução geral de t2 p00 (t) 2p (t) = 0 é dada por N(T) = L t2 , então a solução geral de t2 p00 (t) 2p (t) = 2 t é dada por: 1 + 1 2 t + L t2 = 1 + 1 2 t + at2 : a 2 R . (b) Resolva, em P2; a equação diferencial linear 2tp0 (t) 2p (0) = 2 t. 335
  • 336.
    Seja T1 (p(t)) = 2tp0 (t) 2p (0), em que p (t) = a0 + a1t + a2t2 ; com a0; a1; a2 2 R. Logo T1 (p (t)) = 2tp0 (t) 2p (0) = 2t (a1 + 2a2t) 2a0 = 2a0 + 2a1t + 4a2t2 Como M(T1; B; B) = 2 4 2 0 0 0 2 0 0 0 4 3 5 ; uma vez que T1 (1) = 2; T1 (t) = 2t; T1 (t2 ) = 4t2 , onde B = f1; t; t2 g é a base canónica (ordenada) de P2 Logo 2tp0 (t) 2p (0) = 2 t , T1 (p (t)) = 2 t , M(T1; B; B) 2 4 a0 a1 a2 3 5 = 2 4 2 1 0 3 5 , , M(T1;B;B) é invertível 2 4 a0 a1 a2 3 5 = (M(T1; B; B)) 1 2 4 2 1 0 3 5 , 2 4 a0 a1 a2 3 5 = 2 4 2 0 0 0 2 0 0 0 4 3 5 1 2 4 2 1 0 3 5 = 2 4 1 2 0 0 0 1 2 0 0 0 1 4 3 5 2 4 2 1 0 3 5 = 2 4 1 1 2 0 3 5 . Isto é, a solução geral de 2tp0 (t) 2p (0) = 2 t é: 1 1 2 t . Veri…cação: T1 1 1 2 t = 2t 1 1 2 t 0 2 1 1 2 0 = 2t 1 2 + 2 = 2 t. Nota importante: Como dim N (T1) = dim N (M(T1; B; B)) = 0 então T1 é injectiva e tendo-se dim R3 |{z} espaço de partida = dim N(T1) + dim I(T1) = dim I(T1), então I(T1) = R3 , isto é, T1 é sobrejectiva e uma base para I(T1) é por exemplo B = 1; t; t2 a base canónica (ordenada) de P2. Cálculo alternativo de uma base de I(T1): 336
  • 337.
    Seja p (t)= a0 + a1t + a2t2 ; com a0; a1; a2 2 R. Como T1 (p (t)) = T1 a0 + a1t + a2t2 = 2tp0 (t) 2p (0) = 2a0 + 2a1t + 4a2t2 então I(T1) = fT1 (p (t)) : p (t) 2 P2g = L 2; 2t; 4t2 . Como f1; t; t2 g gera P2, tem-se I (T1) = L T (1) ; T (t) ; T t2 = L 2; 2t; 4t2 e sendo o conjunto f 2; 2t; 4t2 g linearmente independente então 2; 2t; 4t2 é uma base de I (T1), tendo-se dim R3 |{z} espaço de partida = dim N(T1) + dim I(T1) = dim N(T1) + 3 , dim N(T1) = 0, isto é, T1 é injectiva. 25. Seja U o subespaço das matrizes simétricas de M2 2 (R), isto é, U = A 2 M2 2 (R) : A = AT . Considere a transformação linear T : U ! U de…nida por T (A) = AB + BA com B = 0 1 1 0 . (i) Seja a b b c 2 U, com a; b; c 2 R. Tem-se T a b b c = a b b c 0 1 1 0 + 0 1 1 0 a b b c = 2b a + c a + c 2b Logo, a expressão geral de T : U ! U é dada por: T a b b c = 2b a + c a + c 2b . (ii) Determinemos uma base para U e a matriz que representa T em relação a essa base. Seja A 2 U. Tem-se A = a b b c = a 1 0 0 0 + b 0 1 1 0 + c 0 0 0 1 337
  • 338.
    com a; b;c 2 R. Como o conjunto B = 1 0 0 0 ; 0 1 1 0 ; 0 0 0 1 gera U e é linearmente independente, então B é uma base de U. Por outro lado, como T 1 0 0 0 = 1 0 0 0 0 1 1 0 + 0 1 1 0 1 0 0 0 = 0 1 1 0 = = 0 1 0 0 0 + 1 0 1 1 0 + 0 0 0 0 1 T 0 1 1 0 = 0 1 1 0 0 1 1 0 + 0 1 1 0 0 1 1 0 = 2 0 0 2 = = 2 1 0 0 0 + 0 0 1 1 0 + 2 0 0 0 1 T 0 0 0 1 = 0 0 0 1 0 1 1 0 + 0 1 1 0 0 0 0 1 = 0 1 1 0 = = 0 1 0 0 0 + 1 0 1 1 0 + 0 0 0 0 1 então a matriz que representa T em relação à base B é dada por: M (T; B; B) = 2 4 0 2 0 1 0 1 0 2 0 3 5 . (iii) Uma base para N(T): Como N (M(T; B; B)) = N 0 @ 2 4 0 2 0 1 0 1 0 2 0 3 5 1 A = N 0 @ 2 4 1 0 1 0 2 0 0 0 0 3 5 1 A = L (f(1; 0; 1)g) , então N (T) = A = a b b c 2 U : (a; b; c) 2 L (f(1; 0; 1)g) = L 1 0 0 1 . Como 1 0 0 1 é uma base de N (T), dim N (T) = 1. Logo, T não é injectiva, uma vez que dim N (T) 6= 0. Resolução alternativa para encontrar uma base para N(T): 338
  • 339.
    N (T) =A = a b b c 2 U : T (A) = 0 0 0 0 = A = a b b c 2 U : A 0 1 1 0 + 0 1 1 0 A = 0 0 0 0 = A = a b b c 2 U : 2b a + c a + c 2b = 0 0 0 0 = = A = a b b c 2 U : 2b = 0 e a + c = 0 = = A = c 0 0 c : c 2 R = L 1 0 0 1 = L 1 0 0 1 . Como 1 0 0 1 é uma base de N (T), dim N (T) = 1. Uma base para I(T): Como 1 0 0 0 ; 0 1 1 0 ; 0 0 0 1 gera U, tem-se I (T) = L T 1 0 0 0 ; T 0 1 1 0 ; T 0 0 0 1 = = L 0 1 1 0 ; 2 0 0 2 ; 0 1 1 0 = = L 0 1 1 0 ; 2 0 0 2 : Uma vez que o conjunto 0 1 1 0 ; 2 0 0 2 é linearmente independente e gera I (T), então 0 1 1 0 ; 2 0 0 2 é uma base de I (T), tendo-se dim I (T) = 2. Como dim U = 3, tem-se I (T) 6= U, pelo que T não é sobrejectiva. (iv) Resolva, em U; a equação linear T (A) = B. Como 0 1 1 0 = 1 2 0 0 1 2 0 1 1 0 + 0 1 1 0 1 2 0 0 1 2 = T 1 2 0 0 1 2 então 1 2 0 0 1 2 é uma solução particular da equação linear T (A) = B. Como a solução geral de T (A) = B é dada por: (Solução particular de T (A) = B) + (Solução geral de T (A) = 0) 339
  • 340.
    e como asolução geral de T (A) = 0 é dada por N(T) = L 1 0 0 1 , então a solução geral de T (A) = B é dada por: 1 2 0 0 1 2 + L 1 0 0 1 = 1 2 + a 0 0 1 2 a : a 2 R . 26. Considere a transformação linear T : M2 2 (R) ! P3 cuja matriz M(T; B1; B2) que a representa em relação às bases ordenadas B1 = 1 1 1 0 ; 1 1 0 1 ; 0 1 1 1 ; 1 0 1 1 de M2 2 (R) e B2 = f1 + t; t + t2 ; t2 + t3 ; t3 g de P3 é dada por M(T; B1; B2) = 2 6 6 4 1 1 1 1 0 1 1 1 0 0 1 1 0 0 0 1 3 7 7 5 . (*) (i) Seja a b c d 2 M2 2 (R), com a; b; c; d 2 R. De (*), tem-se T 1 1 1 0 = 1 + t T 1 1 0 1 = 1 + t + t + t2 = 1 + 2t + t2 T 0 1 1 1 = 1 + t + t + t2 + t2 + t3 = 1 + 2t + 2t2 + t3 T 1 0 1 1 = 1 + t + t + t2 + t2 + t3 + t3 = 1 + 2t + 2t2 + 2t3 como 1 0 0 0 = 1 3 1 1 1 0 + 1 3 1 1 0 1 2 3 0 1 1 1 + 1 3 1 0 1 1 0 1 0 0 = 1 3 1 1 1 0 + 1 3 1 1 0 1 + 1 3 0 1 1 1 2 3 1 0 1 1 0 0 1 0 = 1 3 1 1 1 0 2 3 1 1 0 1 + 1 3 0 1 1 1 + 1 3 1 0 1 1 0 0 0 1 = 2 3 1 1 1 0 + 1 3 1 1 0 1 + 1 3 0 1 1 1 + 1 3 1 0 1 1 340
  • 341.
    então T a b c d = Té linear aT 1 0 0 0 +bT 0 1 0 0 +cT 0 0 1 0 +dT 0 0 0 1 = = a 1 3 (1 + t) + 1 3 1 + 2t + t2 2 3 1 + 2t + 2t2 + t3 + 1 3 1 + 2t + 2t2 + 2t3 + +b 1 3 (1 + t) + 1 3 1 + 2t + t2 + 1 3 1 + 2t + 2t2 + t3 2 3 1 + 2t + 2t2 + 2t3 + +c 1 3 (1 + t) 2 3 1 + 2t + t2 + 1 3 1 + 2t + 2t2 + t3 + 1 3 1 + 2t + 2t2 + 2t3 + +d 2 3 (1 + t) + 1 3 1 + 2t + t2 + 1 3 1 + 2t + 2t2 + t3 + 1 3 1 + 2t + 2t2 + 2t3 = a 1 3 + 1 3 t 1 3 t2 +b 1 3 + 1 3 t 1 3 t2 t3 +c 1 3 + 1 3 t + 2 3 t2 + t3 +d 1 3 + 4 3 t + 5 3 t2 + t3 = = 1 3 a+ 1 3 b+ 1 3 c+ 1 3 d+ 1 3 a + 1 3 b + 1 3 c + 4 3 d t+ 1 3 a 1 3 b + 2 3 c + 5 3 d t2 +( b + c + d) t3 Logo, a expressão geral de T : M2 2 (R) ! P3 é dada por: T a b b c = 1 3 a+ 1 3 b+ 1 3 c+ 1 3 d+ 1 3 a + 1 3 b + 1 3 c + 4 3 d t+ 1 3 a 1 3 b + 2 3 c + 5 3 d t2 +( b + c + d) t3 . (ii) Como a transformação linear T : M2 2 (R) ! P3 é invertível, pois M(T; B1; B2) é invertível então T é linear e bijectiva, isto é, T é um isomor…smo. Sendo T um isomor…smo, T 1 também é um isomor…smo. Determinemos a expressão geral do isomor…smo T 1 , isto é, determinemos T 1 a0 + a1t + a2t2 + a3t3 . Primeiro determinemos M(T; Bc 2 2; Bc 3), onde Bc 2 2 = 1 0 0 0 ; 0 1 0 0 ; 0 0 1 0 ; 0 0 0 1 e Bc 3 = 1; t; t2 ; t3 são respectivamente as bases canónicas de M2 2 (R) e de P3. A matriz de mudança da base B1 para a base Bc 2 2 é dada por: SB1!Bc 2 2 = 2 6 6 4 1 1 0 1 1 1 1 0 1 0 1 1 0 1 1 1 3 7 7 5 . 341
  • 342.
    A matriz demudança da base B2 para a base Bc 3 é dada por: SB2!Bc 3 = 2 6 6 4 1 0 0 0 1 1 0 0 0 1 1 0 0 0 1 1 3 7 7 5 . Logo, a matriz que representa T em relação às bases Bc 2 2 e Bc 3 é dada por: M(T; Bc 2 2; Bc 3) = SB2!Bc 3 M(T; B1; B2) SB1!Bc 2 2 1 = = 2 6 6 4 1 0 0 0 1 1 0 0 0 1 1 0 0 0 1 1 3 7 7 5 2 6 6 4 1 1 1 1 0 1 1 1 0 0 1 1 0 0 0 1 3 7 7 5 2 6 6 4 1 1 0 1 1 1 1 0 1 0 1 1 0 1 1 1 3 7 7 5 1 = = 2 6 6 4 1 1 1 1 1 2 2 2 0 1 2 2 0 0 1 2 3 7 7 5 2 6 6 6 6 6 6 6 6 4 1 3 1 3 1 3 2 3 1 3 1 3 2 3 1 3 2 3 1 3 1 3 1 3 1 3 2 3 1 3 1 3 3 7 7 7 7 7 7 7 7 5 = 2 6 6 6 6 6 6 6 6 4 1 3 1 3 1 3 1 3 1 3 1 3 1 3 4 3 1 3 1 3 2 3 5 3 0 1 1 1 3 7 7 7 7 7 7 7 7 5 . Note que a expressão geral de T obtida na alínea (i) pode ser obtida através da matriz M(T; Bc 2 2; Bc 3) anterior: as coordenadas de T a b b c na base Bc 3 são dadas por M(T; Bc 2 2; Bc 3) 2 6 6 4 a b c d 3 7 7 5 = 2 6 6 6 6 6 6 6 6 4 1 3 1 3 1 3 1 3 1 3 1 3 1 3 4 3 1 3 1 3 2 3 5 3 0 1 1 1 3 7 7 7 7 7 7 7 7 5 2 6 6 4 a b c d 3 7 7 5 = 2 6 6 4 1 3 a + 1 3 b + 1 3 c + 1 3 d 1 3 a + 1 3 b + 1 3 c + 4 3 d 2 3 c 1 3 b 1 3 a + 5 3 d c b + d 3 7 7 5 . Logo T a b b c = 1 3 a+ 1 3 b+ 1 3 c+ 1 3 d+ 1 3 a + 1 3 b + 1 3 c + 4 3 d t+ 1 3 a 1 3 b + 2 3 c + 5 3 d t2 +( b + c + d) t3 Seja p (t) 2 P3, isto é, p (t) = a0 + a1t + a2t2 + a3t3 , com a0; a1; a2; a3 2 R. 342
  • 343.
    Atendendo a queas coordenadas de T 1 (a0 + a1t + a2t2 + a3t3 ) em relação à base Bc 2 2 são dadas por: M(T; Bc 2 2; Bc 3) 1 2 6 6 4 a0 a1 a2 a3 3 7 7 5 = 2 6 6 4 1 2 2 1 2 1 1 1 3 2 1 0 1 1 0 0 3 7 7 5 2 6 6 4 a0 a1 a2 a3 3 7 7 5 = 2 6 6 4 2a1 a0 2a2 + a3 2a0 a1 + a2 a3 3a0 2a1 + a2 a1 a0 3 7 7 5 , tem-se T 1 a0 + a1t + a2t2 + a3t3 = (2a1 a0 2a2 + a3) 1 0 0 0 + + (2a0 a1 + a2 a3) 0 1 0 0 + (3a0 2a1 + a2) 0 0 1 0 + (a1 a0) 0 0 0 1 = = 2a1 a0 2a2 + a3 2a0 a1 + a2 a3 3a0 2a1 + a2 a1 a0 . Ou seja, a expressão geral do isomor…smo T 1 : P3 ! M2 2 (R) é dada por: T 1 a0 + a1t + a2t2 + a3t3 = 2a1 a0 2a2 + a3 2a0 a1 + a2 a3 3a0 2a1 + a2 a1 a0 . Tem-se de facto: T 1 T = IM2 2(R) e T T 1 = IP3 . (iii) Atendendo à alínea anterior, a solução geral da equação linear T a b c d = 1 + 2t + 3t2 + 4t3 é dada por: a b c d = T 1 1 + 2t + 3t2 + 4t3 = 4 1 6 + 4 2 2 + 3 4 3 4 + 3 2 1 = 1 1 2 1 . 27. Seja U o espaço linear das funções reais de variável real duas vezes diferenciável. Considere a transformação linear T : U ! U de…nida por T (f) = f00 2f0 + f. Considere o subespaço S = ff 2 U : f00 2f0 + f = 0g de U. (i) Mostre que o conjunto fet ; tet g é uma base de S. Sugestão: Mostre que se f 2 S, então f (t) e t é um polinómio de grau menor ou igual a 1. Seja f 2 S. Como f (t) e t 00 = f0 (t) e t f (t) e t 0 = f00 (t) e t f0 (t) e t f0 (t) e t + f (t) e t = = (f00 (t) 2f0 (t) + f (t)) e t = f2S 0 343
  • 344.
    então existe c2 R tal que para todo o t 2 R f (t) e t 0 = c. Assim, existe d 2 R tal que para todo o t 2 R f (t) e t = ct + d 2 P1 = L (f1; tg) . Logo f (t) 2 L et ; tet . Tem-se assim: S = L et ; tet ; onde o conjunto fet ; tet g é linearmente independente uma vez que o conjunto f1; tg é linear- mente independente. Logo o conjunto fet ; tet g é uma base de S. (ii) Mostre que dados a; b 2 R, existe uma única função f 2 S tal que f (0) = a e f0 (0) = b. Sejam a; b 2 R. Sejam f; g 2 S tais que f (0) = g (0) = a e f0 (0) = g0 (0) = b: Como S = L (fet ; tet g), existem 1; 2; 1; 2 2 R tais que f (t) = 1et + 1tet e g (t) = 2et + 2tet . Como f (0) = g (0) = a tem-se a = f (0) = 1 e a = g (0) = 2. Logo 1 = 2: Por outro lado, como f0 (0) = g0 (0) = b, b = f0 (0) = 1et + 1tet 0 t=0 = 1et + 1et + 1tet t=0 = 1 + 1 e b = g0 (0) = 2et + 2tet 0 t=0 = 2et + 2et + 2tet t=0 = 2 + 2 Assim, 1 + 1 = 2 + 2 e uma vez que 1 = 2, então 1 = 2. Deste modo, para todo o t 2 R f (t) = 1et + 1tet = 2et + 2tet = g (t) ; isto é, f = g. 344
  • 345.
    Pelo que dadosa; b 2 R, existe uma única função f 2 S tal que f (0) = a e f0 (0) = b. (iii) Determine a única solução f da equação diferencial linear T (f) = 1 que veri…ca f (0) = 1 e f0 (0) = 0. A função identicamente igual a 1 : f = 1 (f (t) = 1;para todo o t 2 R) é uma solução particular de ff 2 U : T (f) = 1 e f (0) = 1 e f0 (0) = 0g : Atendendo à alínea anterior, existe uma única função f 2 S tal que f (0) = 0 e f0 (0) = 0. Como f (t) = et + tet e 0 = f (0) = e 0 = f0 (0) = então f (t) = 0, para todo o t 2 R, é a solução geral de ff 2 U : T (f) = 0 e f (0) = 0 e f0 (0) = 0g Como a solução geral de ff 2 U : T (f) = 1 e f (0) = 1 e f0 (0) = 0g : é dada por: (Solução particular de ff 2 U : T (f) = 1 e f (0) = 1 e f0 (0) = 0g) + + (Solução geral de ff 2 U : T (f) = 0 e f (0) = 0 e f0 (0) = 0g) , então a solução geral de ff 2 U : T (f) = 1 e f (0) = 1 e f0 (0) = 0g é dada por: f (t) = 1, para todo o t 2 R. 28) (i) M(T; B; B) = 0 1 1 0 : (ii) Como det M(T; B; B) 6= 0 então T é invertível e T(u) = (2; 3; 3; 2) , u = T 1 (2; 3; 3; 2). Como M(T 1 ; B; B) = 0 1 1 0 1 = 0 1 1 0 ; 345
  • 346.
    então atendendo aque as coordenadas de (2; 3; 3; 2) em B são 2 e 3 pois (2; 3; 3; 2) = 2v1 3v2, tem-se que 0 1 1 0 2 3 = 3 2 são as coordenadas de u na base B. Logo T(u) = (2; 3; 3; 2) , u = 3v1 2v2 = ( 3; 2; 2; 3); ou seja u = ( 3; 2; 2; 3) é a única solução da equação linear T(u) = (2; 3; 3; 2): (iii) Como R(1; 0; 0; 0) = R (v1) + R (w2) = v2 = (0; 1; 1; 0); R(0; 1; 0; 0) = R (v2) + R (w1) R (w2) = v1 = (1; 0; 0; 1); R(0; 0; 1; 0) = R (w1) R (w2) = (0; 0; 0; 0) e R(0; 0; 0; 1) = R (w2) = (0; 0; 0; 0) então, sendo Bc a base canónica de R4 , M(R; Bc; Bc) = 2 6 6 4 0 1 0 0 1 0 0 0 1 0 0 0 0 1 0 0 3 7 7 5 pelo que R(u) = (2; 3; 3; 2) , M(R; Bc; Bc)u = 2 6 6 4 2 3 3 2 3 7 7 5 , , u 2 f(a; b; c; d) 2 R4 : b = 2; a = 3; c; d 2 Rg = f( 3; 2; c; d) : c; d 2 Rg: Isto é, a solução geral de R (u) = (2; 3; 3; 2) é: f( 3; 2; c; d) : c; d 2 Rg: 29) a) T2(1) = 1 t = 0 (1 + t) + 1 (1 t) + 0t2 ; T2(t) = 2 + 8t 2t2 = 5 (1 + t) 3 (1 t) 2t2 ; logo M(T2; B; B1) = 2 4 0 5 1 3 0 2 3 5 : 346
  • 347.
    b) N (M(T1; B1;B2)) = N 1 2 0 0 1 1 = f( 2y; y; y) : y 2 Rg = L (f( 2; 1; 1)g) : Logo N(T1) = L ( 2) (1 + t) + 1 (1 t) + 1t2 = L 1 3t + t2 : Base para N(T1) : 1 3t + t2 : T1 é sobrejectiva: dim I(T1) = dim P2 dim N(T1) = 2 = dim P1: c) T1(t) = 1 2 [T1 (1 + t) T1 (1 t)] = = 1 2 [1 (1 + t) + 0 (1 + 2t) 2 (1 + t) + 1 (1 + 2t)] = 1 2 t , T1(2t) = t (uma vez que T1 é linear), logo a solução geral da equação T1(p (t)) = t é: f2tg + N(T1) = 2t + c 1 3t + t2 : c 2 R : d) f1; tg é uma base de P1. Como (T1 T2) (1) = T1 (T2(1)) = T1 (1 t) = 2 (1 + t) 1 (1 + 2t) = 1 e (T1 T2) (t) = T1 (T2(t)) = T1 2 + 8t 2t2 = = 5T1 (1 + t) 3T1 (1 t) 2T1t2 = = 5 [1 (1 + t) + 0 (1 + 2t)] 3 [2 (1 + t) (1 + 2t)] 2 [0 (1 + t) + 1 (1 + 2t)] = t; então T1 T2 = I. 347
  • 348.
    Resolução da 5a Fichade exercícios para as aulas de problemas 1. Seja A = 2 4 9 8 7 6 5 4 3 2 1 3 5 . Como det (A 0I) = det 2 4 9 8 7 6 5 4 3 2 1 3 5 = det 2 4 3 2 1 6 5 4 9 8 7 3 5 = det 2 4 1 2 3 4 5 6 7 8 9 3 5 = = det 2 4 1 2 3 0 3 6 0 6 12 3 5 = det 2 4 1 2 3 0 3 6 0 0 0 3 5 | {z } = 0 então 0 é valor próprio de A e atendendo a (*) (1; 2; 1) 2 N (A) = L f(1; 2; 1)g, logo tem-se A 2 4 1 2 1 3 5 = 2 4 0 0 0 3 5 = 0 2 4 1 2 1 3 5 isto é, (1; 2; 1) é um vector próprio de A associado ao valor próprio 0. 2. Tem-se 2 4 5 5 5 5 5 5 5 5 5 3 5 2 4 0 1 1 3 5 = 0 2 4 0 1 1 3 5 e 2 4 5 5 5 5 5 5 5 5 5 3 5 2 4 1 1 0 3 5 = 0 2 4 1 1 0 3 5 . Logo, 0 é um valor próprio de 2 4 5 5 5 5 5 5 5 5 5 3 5 e (0; 1; 1) e (1; 1; 0) são dois vectores próprios (associados ao valor próprio 0) linearmente independentes. 3. Determinemos os valores próprios de uma matriz A 2 2 cujo traço seja igual a 5 e cujo determinante seja igual a 6. Seja A = a b c d 2 M2 2 (R). Tem-se tr A = 5 , a + d = 5 e det A = 6 , ad bc = 6. Sejam 1 e 2 dois valores próprios de A. Como tr A = 1 + 2 e det A = 1 2 348
  • 349.
    então 1 + 2= 5 e 1 2 = 6 Logo [ 1 = 5 2 e (5 2) 2 = 6] , ( = 3 ou = 2), isto é, os valores próprios de A são 3 e 2. 4. Determinemos uma matriz A real simétrica (AT = A) 2 2 cujos valores próprios sejam 2 e 2 e tal que (2; 1) seja um vector próprio associado ao valor próprio 2. Seja A = a b c d 2 M2 2 (R) tal que A = AT . Logo b = c. Além disso, sendo 2 e 2 dois valores próprios de A tem-se 0 = det (A + 2I) = det a + 2 b b d + 2 = b2 + 2a + 2d + ad + 4 e 0 = det (A 2I) = det a 2 b b d 2 = b2 2a 2d + ad + 4 sendo (2; 1) um vector próprio associado ao valor próprio 2 tem-se a b b d 2 1 = 2 2 1 , (2a + b = 4 e 2b + d = 2). Logo 8 >>< >>: b2 + 2a + 2d + ad + 4 = 0 b2 2a 2d + ad + 4 = 0 2a + b = 4 2b + d = 2 , 8 >>>>< >>>>: a = 6 5 b = 8 5 d = 6 5 e assim A = a b b d = 2 4 6 5 8 5 8 5 6 5 3 5 . 5. Considere a transformação linear T : R3 ! R3 que admite os vectores próprios v1 = (1; 2; 1); v2 = ( 1; 0; 1); v3 = (0; 1; 0); associados respectivamente aos valores próprios 1; 2 e 3. Determinemos a expressão geral de T. Seja (x; y; z) 2 R3 . Existem ; ; 2 R tais que (x; y; z) = (1; 2; 1) + ( 1; 0; 1) + (0; 1; 0). 349
  • 350.
    Logo 2 4 1 1 0j x 2 0 1 j y 1 1 0 j z 3 5 ! 2 4 1 1 0 j x 0 2 1 j y 2x 0 2 0 j z x 3 5 ! 2 4 1 1 0 j x 0 2 1 j y 2x 0 0 1 j z y + x 3 5 e assim = x + y z, = 1 2 ( x + z), = 1 2 (x + z). Pelo que T (x; y; z) = 1 2 (x + z) T(1; 2; 1) + 1 2 ( x + z) T( 1; 0; 1) + ( x + y z) T(0; 1; 0) = = 1 2 (x + z) (1; 2; 1) + 1 2 ( x + z) 2( 1; 0; 1) + ( x + y z) 3(0; 1; 0) = = 3 2 x 1 2 z; 3y 2x 2z; 3 2 z 1 2 x ou seja, a expressão geral de T é dada por: T (x; y; z) = 3 2 x 1 2 z; 3y 2x 2z; 3 2 z 1 2 x . 6. Considere a transformação linear T : R3 ! R3 de…nida por T(x; y; z) = (0; y + 3z; 3y + z). (i) T(v1) = (0; 4; 4). Como não existe 2 R tal que T(v1) = v1, então v1 não é vector próprio de T. T(v2) = (0; 2; 2) = ( 2)(0; 1; 1) = ( 2)v2. Logo, v2 é um vector próprio de T associado ao valor próprio 2. T(v3) = (0; 0; 0) = 0(1; 0; 0) = 0v3. Logo, v3 é um vector próprio de T associado ao valor próprio 0. T(v4) = (0; 10; 6). Como não existe 2 R tal que T(v4) = v4, então v4 não é vector próprio de T. T(v5) = (0; 12; 12) = 4(0; 3; 3) = 4v5. Logo, v5 é um vector próprio de T associado ao valor próprio 4. (ii) Determinemos os valores próprios de T. Seja A = M(T; B3 c ; B3 c ). Tem-se A = 2 4 0 0 0 0 1 3 0 3 1 3 5 , uma vez que T(1; 0; 0) = (0; 0; 0), T(0; 1; 0) = (0; 1; 3) e T(0; 0; 1) = (0; 3; 1) constituem respectivamente a 1a , 2a e 3a colunas de A. O polinómio característico é dado por det(A I) = 0 0 0 1 3 0 3 1 = (1 )2 9 = = ((1 ) 3) ((1 ) + 3) = ( 2 ) (4 ) . 350
  • 351.
    Os valores própriosde T são os valores próprios de A, isto é, são os valores de para os quais det(A I) = 0. Logo, os valores próprios de T são 1 = 0, 2 = 2 e 3 = 4. (iii) Como 0 é valor próprio de T então T não é invertível. Como T tem 3 valores próprios distintos, os vectores próprios correspondentes a cada um deles irão ser linearmente independentes e como tal irá existir uma base de R3 formada só com vectores próprios de T, ou seja, T é diagonalizável. (iv) O subespaço próprio E 1 é dado por E 1 = N (T 1I) = base canónica N (A 1I) = N (A) = N 0 @ 2 4 0 0 0 0 1 3 0 3 1 3 5 1 A = N 0 @ 2 4 0 0 0 0 1 3 0 0 8 3 5 1 A = = f(x; y; z) : y = z = 0g = = f(x; 0; 0) : x 2 Rg = L (f(1; 0; 0)g) . O conjunto f(1; 0; 0)g é uma base de E 1 . Os vectores próprios de T associados ao valor próprio 1 = 0 são u = (s; 0; 0), com s 2 Rn f0g . O subespaço próprio E 2 é dado por E 2 = N (T 2I) = base canónica N (A 2I) = N (A + 2I) = N 0 @ 2 4 2 0 0 0 3 3 0 3 3 3 5 1 A = N 0 @ 2 4 2 0 0 0 3 3 0 0 0 3 5 1 A = = f(x; y; z) : x = 0 e y + z = 0g = = f(x; y; z) : x = 0 e y + z = 0g = = f(0; z; z) : z 2 Rg = L (f(0; 1; 1)g) . O conjunto f(0; 1; 1)g é uma base de E 2 . Os vectores próprios de T associados ao valor próprio 2 = 2 são u = (0; s; s), com s 2 Rn f0g . O subespaço próprio E 3 é dado por E 3 = N (T 3I) = base canónica N (A 3I) = N (A 4I) = N 0 @ 2 4 4 0 0 0 3 3 0 3 3 3 5 1 A = N 0 @ 2 4 4 0 0 0 3 3 0 0 0 3 5 1 A = = f(x; y; z) : x = 0 e y + z = 0g = = f(x; y; z) : x = 0 e y = zg = = f(0; z; z) : z 2 Rg = L (f(0; 1; 1)g) . 351
  • 352.
    O conjunto f(0;1; 1)g é uma base de E 3 . Os vectores próprios de T associados ao valor próprio 3 = 4 são u = (0; s; s) , com s 2 Rn f0g . 7. Considere a transformação linear T : R2 ! R2 de…nida por T(1; 2) = (5; 5) = T(2; 1). (i) Como (1; 1) = (1; 2) + (2; 1) Tem-se T (v1) = T(1; 1) = T [ (1; 2) + (2; 1)] = T é linear T(1; 2) + T(2; 1) = = (5; 5) + (5; 5) = (0; 0) = 0(1; 1) = 0v1: Como (1; 1) = 1 3 (1; 2) + 1 3 (2; 1) Tem-se T (v2) = T(1; 1) = T 1 3 (1; 2) + 1 3 (2; 1) = T é linear 1 3 T(1; 2) + 1 3 T(2; 1) = = 1 3 [(5; 5) + (5; 5)] = 10 3 (1; 1) = 10 3 v2: Logo, v2 é um vector próprio de T associado ao valor próprio 10 3 . (ii) Como 0 é valor próprio de T então T não é invertível. Como os vectores v1 = (1; 1) e v2 = (1; 1) formam uma base de R2 pois são dois vectores linearmente independentes em R2 e dim R2 = 2 e além disso, v1 e v2 são vectores próprios de T, então existe uma base de R2 formada só com vectores próprios de T, ou seja, T é diagonalizável. (iii) Seja Bvp = fv1; v2g = f(1; 1); (1; 1)g. Tem-se M(T; Bvp; Bvp) = 0 0 0 10 3 , uma vez que T(v1) = 0v1 = 0v1+0v2 e T(v2) = 10 3 v2 = 0v1+10 3 v2 e deste modo as coordenadas (0; 0) e (0; 10 3 ) constituem respectivamente a 1a e 2a colunas de M(T; Bvp; Bvp). Logo, Bvp é uma base de R2 em relação à qual T pode ser representada por uma matriz diagonal, por ser uma base formada só com vectores próprios de T. (iv) Seja A = M(T; Bvp; Bvp), com Bvp = f(1; 1); (1; 1)g. O polinómio característico é dado por det(A I) = 0 0 10 3 = 10 3 . 352
  • 353.
    Os valores própriosde T são os valores próprios de A, isto é, são os valores de para os quais det(A I) = 0. Logo, os valores próprios de T são 1 = 0 e 2 = 10 3 . O subespaço próprio E 1 é dado por E 1 = N (T 1I) = f (1; 1) + (1; 1) : ( ; ) 2 N (A 1I)g = = f (1; 1) + (1; 1) : ( ; ) 2 L (f(1; 0)g)g = = f (1; 1) : 2 Rg = L (f(1; 1)g) . O conjunto f(1; 1)g é uma base de E 1 . Os vectores próprios de T associados ao valor próprio 1 = 0 são u = (s; s) , com s 2 Rn f0g . O subespaço próprio E 2 é dado por E 2 = N (T 2I) = f (1; 1) + (1; 1) : ( ; ) 2 N (A 2I)g = = f (1; 1) + (1; 1) : ( ; ) 2 L (f(0; 1)g)g = = f (1; 1) : 2 Rg = L (f(1; 1)g) . O conjunto f(1; 1)g é uma base de E 2 . Os vectores próprios de T associados ao valor próprio 2 = 10 3 são u = (s; s) , com s 2 Rn f0g . 8. Considere a transformação linear T : R3 ! R3 que em relação à base canónica de R3 é representada pela matriz: A = 2 4 0 1 0 0 1 0 0 1 0 3 5 . (i) Sejam v1 = (1; 0; 0), v2 = (1; 1; 1), v3 = (0; 0; 1). Atendendo à matriz, tem-se T(v1) = T(1; 0; 0) = 0(1; 0; 0) + 0(0; 1; 0) + 0(0; 0; 1) = = (0; 0; 0) = 0(1; 0; 0) = 0v1; T(v2) = T(1; 1; 1) = 1(1; 0; 0) + 1(0; 1; 0) + 1(0; 0; 1) = (1; 1; 1) = 1(1; 1; 1) = 1v2; T(v3) = T(0; 0; 1) = 0(1; 0; 0) + 0(0; 1; 0) + 0(0; 0; 1) = (0; 0; 0) = 0(0; 0; 1) = 0v3: Logo, v1 é um vector próprio de T associado ao valor próprio 0; v2 é um vector próprio de T associado ao valor próprio 1; v3 é um vector próprio de T associado ao valor próprio 0. 353
  • 354.
    (ii) Como 0é valor próprio de T então T não é invertível. Como os vectores v1 = (1; 0; 0); v2 = (1; 1; 1) e v3 = (0; 0; 1) formam uma base de R3 pois são três vectores linear- mente independentes em R3 e dim R3 = 3 e além disso, v1; v2 e v3 são vectores próprios de T, então existe uma base de R3 formada só com vectores próprios de T, ou seja, T é diagonalizável. (iii) Seja A = M(T; B3 c ; B3 c ). Tem-se A = 2 4 0 1 0 0 1 0 0 1 0 3 5 , uma vez que T(1; 0; 0) = (0; 0; 0), T(0; 1; 0) = (1; 1; 1) e T(0; 0; 1) = (0; 0; 0) constituem respectivamente a 1a , 2a e 3a colunas de A. Determinemos os valores próprios de T. Os valores próprios de T são os valores próprios de A, isto é, são os valores de para os quais det(A I) = 0. O polinómio característico é dado por det(A I) = 1 0 0 1 0 0 1 = 2 (1 ) . Logo, os valores próprios de T são 1 = 0 e 2 = 1. O subespaço próprio E 1 é dado por E 1 = N (T 1I) = N (A 1I) = = N 0 @ 2 4 1 1 0 0 1 1 0 0 1 1 3 5 1 A = N 0 @ 2 4 0 1 0 0 1 0 0 1 0 3 5 1 A = = N 0 @ 2 4 0 1 0 0 0 0 0 0 0 3 5 1 A = (x; y; z) 2 R3 : y = 0 = = f(x; 0; z) : x; z 2 Rg = L (f(1; 0; 0); (0; 0; 1)g) . O conjunto f(1; 0; 0); (0; 0; 1)g é uma base de E 1 . Os vectores próprios de T associados ao valor próprio 1 = 0 são u = (s; 0; t), com s; t 2 Rn f0g . O subespaço próprio E 2 é dado por E 2 = N (T 2I) = N (A 2I) = = N 0 @ 2 4 2 1 0 0 1 2 0 0 1 2 3 5 1 A = N 0 @ 2 4 1 1 0 0 0 0 0 1 1 3 5 1 A = = f(x; y; z) : x + y = 0 e y z = 0g = = f(x; x; x) : x 2 Rg = L (f(1; 1; 1)g) . 354
  • 355.
    O conjunto f(1;1; 1)g é uma base de E 2 . Os vectores próprios de T associados ao valor próprio 2 = 1 são u = (s; s; s), com s 2 Rn f0g . (iv) É possível ter então uma base de R3 constituída só por vectores próprios de T: Bvp = f(1; 0; 0); (1; 1; 1); (0; 0; 1)g , uma vez que dim E 1 + dim E 2 = 3. Note ainda que M(T; Bvp; Bvp) = 2 4 1 0 0 0 2 0 0 0 1 3 5 e M(T; Bvp; Bvp) = 2 4 1 0 0 0 2 0 0 0 1 3 5 = SB3 c !Bvp A SB3 c !Bvp 1 com SB3 c !Bvp 1 = SBvp!B3 c = 2 4 1 1 0 0 1 0 0 1 1 3 5 e A = M(T; B3 c ; B3 c ). Isto é, a matriz A é diagonalizável e a matriz M(T; Bvp; Bvp) é diagonal tendo-se (R3 ; B3 c ) A ! T (R3 ; B3 c ) SB3 c !Bvp # I I # SB3 c !Bvp (R3 ; Bvp) T ! M(T;Bvp;Bvp) (R3 ; Bvp) Em resumo, existe P 1 = SBvp!B3 c tal que D = PAP 1 com D = M(T; Bvp; Bvp) = 2 4 1 0 0 0 2 0 0 0 1 3 5. 9. Considere a transformação linear T : R2 ! R2 que em relação à base ordenada B1 = f(1; 2) ; (2; 1)g de R2 é representada pela matriz: A = 2 3 3 2 . (i) Tem-se det (A 0I) = det A = 5 6= 0. 355
  • 356.
    Logo, como 0não é valor próprio de T então T é invertível. Os valores próprios de T são os valores próprios de A, isto é, são os valores de para os quais det(A I) = 0. O polinómio característico é dado por det(A I) = 2 3 3 2 = (2 )2 9 = [(2 ) 3] [(2 ) + 3] = = ( 1 ) (5 ) Logo, os valores próprios de T são 1 = 1 e 2 = 5. Como T tem 2 valores próprios distintos, os vectores próprios correspondentes a cada um deles irão ser linearmente independentes e como tal irá existir uma base de R2 formada só com vectores próprios de T, ou seja, T é diagonalizável. (ii) O subespaço próprio E 1 é dado por E 1 = N (T 1I) = f (1; 2) + (2; 1) : ( ; ) 2 N (A ( 1) I)g = = (1; 2) + (2; 1) : ( ; ) 2 N 3 3 3 3 = = (1; 2) + (2; 1) : ( ; ) 2 N 3 3 0 0 = = f (1; 2) + (2; 1) : ( ; ) 2 L (f( 1; 1)g)g = = f ( 1; 1) : 2 Rg = L (f( 1; 1)g) . O conjunto f( 1; 1)g é uma base de E 1 . Os vectores próprios de T associados ao valor próprio 1 = 1 são u = ( s; s), com s 2 Rn f0g . O subespaço próprio E 2 é dado por E 1 = N (T 1I) = f (1; 2) + (2; 1) : ( ; ) 2 N (A 5I)g = = (1; 2) + (2; 1) : ( ; ) 2 N 3 3 3 3 = = (1; 2) + (2; 1) : ( ; ) 2 N 3 3 0 0 = = f (1; 2) + (2; 1) : ( ; ) 2 L (f(1; 1)g)g = = f (1; 1) : 2 Rg = L (f(1; 1)g) . O conjunto f(1; 1)g é uma base de E 2 . Os vectores próprios de T associados ao valor próprio 2 = 5 são u = (s; s), com s 2 Rn f0g . 356
  • 357.
    (iii) É possívelter uma base de R2 constituída só por vectores próprios de T: Bvp = f( 1; 1); (1; 1)g , uma vez que dim E 1 + dim E 2 = 2 = dim R2 . Logo, M(T; Bvp; Bvp) = 1 0 0 2 = 1 0 0 5 uma vez que T( 1; 1) = 1( 1; 1) = 1( 1; 1) + 0(1; 1) e T(1; 1) = 2(1; 1) = 0( 1; 1) + 2(1; 1). Deste modo, ( 1; 0) e (0; 2) constituem respectivamente a 1a e 2a colunas de M(T; Bvp; Bvp). Além disso, sendo B1 = f(1; 2) ; (2; 1)g, tem-se M(T; Bvp; Bvp) = SB1!Bvp A SB1!Bvp 1 com SB1!Bvp 1 = SBvp!B1 = 1 1 3 1 1 3 e A = M(T; B1; B1) uma vez que ( 1; 1) = (1; 2) (2; 1) e (1; 1) = 1 3 (1; 2) + 1 3 (2; 1) . Logo, a matriz A é diagonalizável e tem-se D = PAP 1 com P 1 = SBvp!B1 = 1 1 3 1 1 3 e D = M(T; Bvp; Bvp) = 1 0 0 5 Observação: (R2 ; B1) A ! T (R2 ; B1) P 1 " I I # P (R2 ; Bvp) T ! D (R2 ; Bvp) 10. Seja V um espaço linear de dimensão …nita. Seja T : V ! V uma transformação lin- ear tal que T2 = T. Uma tranformação linear nas condições anteriores chama-se projecção. (i) Mostre que os valores próprios de T são 0 e 1: Dem. Seja um valor próprio de T. Logo existe v 6= 0 tal que T (v) = v. Por outro lado, como v = T (v) = T2 (v) = (T T) (v) = T (T (v)) = T ( v) = T é linear T (v) = v = 2 v 357
  • 358.
    tem-se v = 2 v, (1 ) v = 0 , v6=0 ( = 0 ou = 1) . Logo, os valores próprios de T são 0 e 1. (ii) Tem-se T2 = T , (T I) T = 0 logo, para todo o u 2 V (T I) (T (u)) = 0 (u) = 0 ,T (u) 2 N (T I) pelo que I (T) N (T I) . Seja agora u 2 N (T I). Logo (T I) (u) = 0, isto é, T (u) = u, ou seja u 2 I (T). Deste modo N (T I) I (T) e assim I (T) = N (T I) . Por outro lado, sendo n = dim V , atendendo a que n = dim V|{z} espaço de partida = dim N (T) + dim I (T) = = dim N (T 0I) + dim N (T 1I) = mg (0) + mg (1) isto é, n = mg (0) + mg (1) então T é diagonalizável, uma vez que existirá assim uma base de V formada só com vectores próprios de T. 11. Considere a transformação linear T : R3 ! R3 de…nida por T(x; y; z) = (x; y; x y) . (i) Determinemos os valores próprios e os subespaços próprios de T. Seja B3 c = f(1; 0; 0); (0; 1; 0); (0; 0; 1)g a base canónica de R3 . Seja A = M(T; B3 c ; B3 c ). Tem-se A = 2 4 1 0 0 0 1 0 1 1 0 3 5 , uma vez que T(1; 0; 0) = (1; 0; 1), T(0; 1; 0) = (0; 1; 1) e T(0; 0; 1) = (0; 0; 0) constituem respectivamente a 1a , 2a e 3a colunas de A. Determinemos os valores próprios de T. Os valores próprios de T são os valores próprios de A, isto é, são os valores de para os quais det(A I) = 0. 358
  • 359.
    O polinómio característicoé dado por det(A I) = 1 0 0 0 1 0 1 1 = (1 )2 . Logo, os valores próprios de T são 1 = 0 e 2 = 1. O subespaço próprio E 1 é dado por E 1 = N (T 1I) = N (A 0I) = = N 0 @ 2 4 1 0 0 0 1 0 1 1 0 3 5 1 A = N 0 @ 2 4 1 0 0 0 1 0 0 0 0 3 5 1 A = = f(0; 0; z) : z 2 Rg = L (f(0; 0; 1)g) . O conjunto f(0; 0; 1)g é uma base de E 1 . Os vectores próprios de T associados ao valor próprio 1 = 0 são u = (0; 0; s), com s 2 Rn f0g . O subespaço próprio E 2 é dado por E 2 = N (T 2I) = N (A I) = N 0 @ 2 4 0 0 0 0 0 0 1 1 1 3 5 1 A = = (x; y; z) 2 R3 : x + y + z = 0 = = (x; y; z) 2 R3 : x = y z = = f( y z; y; z) : y; z 2 Rg = L (f( 1; 1; 0); ( 1; 0; 1)g) . O conjunto f( 1; 1; 0); ( 1; 0; 1)g é uma base de E 2 . Os vectores próprios de T associados ao valor próprio 2 = 1 são u = ( s t; s; t), com s; t 2 Rn f0g . (ii) Tem-se T2 = T, razão pela qual a transformação linear T é uma projecção. Como f( 1; 1; 0); ( 1; 0; 1); (0; 0; 1)g é uma base de R3 formada só por vectores próprios de T, cujos valores próprios associados são respectivamente 1 e 0, tendo-se T( 1; 1; 0) = 1( 1; 1; 0) = ( 1; 1; 0) T( 1; 0; 1) = 1( 1; 0; 1) = ( 1; 0; 1) T(0; 0; 1) = 0(0; 0; 1) = (0; 0; 0). Assim, T projecta os elementos de R3 sobre um plano, paralelamente a um vector, sendo o plano dado por: L (f( 1; 1; 0); ( 1; 0; 1)g) 359
  • 360.
    isto é, por: x+ y + z = 0 e o vector dado por: (0; 0; 1). 12. Considere a transformação linear T : R3 ! R3 que representa geometricamente a projecção sobre o plano x + y + z = 0, paralelamente ao vector (0; 0; 1). (i) O plano (x; y; z) 2 R3 : x + y + z = 0 = L (f( 1; 1; 0); ( 1; 0; 1)g) é tal que T( 1; 1; 0) = ( 1; 1; 0) e T( 1; 0; 1) = ( 1; 0; 1) e o vector (0; 0; 1) é tal que T(0; 0; 1) = (0; 0; 0) Ou seja, os vectores que de…nem o plano são vectores (de I (T)) (linearmente independentes) próprios de T associados ao valor próprio 1 e o vector (0; 0; 1) é um vector (de N (T)) próprio de T associado ao valor próprio 0: (ii) Seja (x; y; z) 2 R3 . Como f( 1; 1; 0); ( 1; 0; 1); (0; 0; 1)g é uma base de R3 , as coordenadas de (x; y; z) em relação à base ordenada anterior irão ser ; ; tais que (x; y; z) = ( 1; 1; 0) + ( 1; 0; 1) + (0; 0; 1). Atendendo a 2 4 1 1 0 j x 1 0 0 j y 0 1 1 j z 3 5 ! 2 4 1 1 0 j x 0 1 0 j x + y 0 1 1 j z 3 5 ! 2 4 1 1 0 j x 0 1 0 j x + y 0 0 1 j x + y + z 3 5 e assim = x + y + z, = x y; = y. Pelo que T (x; y; z) = yT( 1; 1; 0) + ( x y) T( 1; 0; 1) + (x + y + z) T(0; 0; 1) = = y( 1; 1; 0) + ( x y) ( 1; 0; 1) + (x + y + z) (0; 0; 0) = = (x; y; x y), isto é, a expressão geral de T é dada por: T (x; y; z) = (x; y; x y). 13. Considere a transformação linear T : R2 ! R2 que em relação à base canónica de R2 é representada pela matriz: A = 2 1 0 2 . 360
  • 361.
    (i) O polinómiocaracterístico é dado por det(A I) = 2 1 0 2 = (2 )2 = 2 4 + 4. Os valores próprios de T são os valores próprios de A, isto é, são os valores de para os quais det(A I) = 0. Logo, o valor próprio de T é = 2. O subespaço próprio E é dado por E = N (T I) = N (A 2I) = N 0 1 0 0 = (x; y) 2 R2 : y = 0 = f(x; 0) : x 2 Rg = L (f(1; 0)g) . O conjunto f(1; 0)g é uma base de E . Os vectores próprios de T associados ao valor próprio = 2 são u = (s; 0), com s 2 Rn f0g . (ii) Não existe nenhuma base de R2 constituída só por vectores próprios de T uma vez que dim E = 1 < 2 = dim R2 . Logo, T não é diagonalizável. 14. Considere a transformação linear T : R3 ! R3 de…nida por T(x; y; z) = (3x; 2y + z; 2z). Seja A = M(T; B3 c ; B3 c ). Tem-se A = 2 4 3 0 0 0 2 1 0 0 2 3 5 , uma vez que T(1; 0; 0) = (3; 0; 0), T(0; 1; 0) = (0; 2; 0) e T(0; 0; 1) = (0; 1; 2) constituem respectivamente a 1a , 2a e 3a colunas de A. (i) O polinómio característico é dado por det(A I) = 3 0 0 0 2 1 0 0 2 = (3 ) (2 )2 = 3 + 7 2 16 + 12. Os valores próprios de T são os valores próprios de A, isto é, são os valores de para os quais det(A I) = 0. Logo, os valores próprios de T são 1 = 3 e 2 = 2. 361
  • 362.
    O subespaço próprioE 1 é dado por E 1 = N (T 1I) = N (A 1I) = = N 0 @ 2 4 0 0 0 0 1 1 0 0 1 3 5 1 A = N 0 @ 2 4 0 0 0 0 1 0 0 0 1 3 5 1 A = = f(x; y; z) : y = z = 0g = = f(x; 0; 0) : x 2 Rg = L (f(1; 0; 0)g) . O conjunto f(1; 0; 0)g é uma base de E 1 . Os vectores próprios de T associados ao valor próprio 1 = 3 são u = (s; 0; 0), com s 2 Rn f0g . O subespaço próprio E 2 é dado por E 2 = N (T 2I) = N (A 2I) = = N 0 @ 2 4 1 0 0 0 0 1 0 0 0 3 5 1 A = f(x; y; z) : x = z = 0g = = f(0; y; 0) : y 2 Rg = L (f(0; 1; 0)g) . O conjunto f(0; 1; 0)g é uma base de E 2 . Os vectores próprios de T associados ao valor próprio 2 = 2 são u = (0; s; 0), com s 2 Rn f0g . (ii) Não existe nenhuma base de R3 constituída só por vectores próprios de T uma vez que dim E 1 + dim E 2 = 2 < 3 = dim R3 : Logo, a matriz A não é diagonalizável, isto é, não existe nenhuma base de R3 em relação à qual T possa ser representada por uma matriz diagonal. 15. Considere a transformação linear T : R3 ! R3 de…nida por T(x; y; z) = (y + z; 2y + z; y + 2z). Seja A = M(T; B3 c ; B3 c ). Tem-se A = 2 4 0 1 1 0 2 1 0 1 2 3 5 , uma vez que T(1; 0; 0) = (0; 0; 0), T(0; 1; 0) = (1; 2; 1) e T(0; 0; 1) = (1; 1; 2) constituem respectivamente a 1a , 2a e 3a colunas de A. 362
  • 363.
    (i) O polinómiocaracterístico é dado por det(A I) = 1 1 0 2 1 0 1 2 = (2 )2 + = (2 )2 1 = = [((2 ) 1) ((2 ) + 1)] = (1 ) (3 ) = 3 + 4 2 3 . (ii) Os valores próprios de T são os valores próprios de A, isto é, são os valores de para os quais det(A I) = 0. Logo, os valores próprios de T são 1 = 0, 2 = 1 e 3 = 3. O subespaço próprio E 1 é dado por E 1 = N (T 1I) = N (A 1I) = = N 0 @ 2 4 0 1 1 0 2 1 0 1 2 3 5 1 A = N 0 @ 2 4 0 1 1 0 1 0 0 0 1 3 5 1 A = = f(x; y; z) : y = z = 0g = = f(x; 0; 0) : x 2 Rg = L (f(1; 0; 0)g) . O conjunto f(1; 0; 0)g é uma base de E 1 . Os vectores próprios de T associados ao valor próprio 1 = 0 são u = (s; 0; 0), com s 2 Rn f0g . O subespaço próprio E 2 é dado por E 2 = N (T 2I) = N (A 2I) = = N 0 @ 2 4 1 1 1 0 1 1 0 1 1 3 5 1 A = N 0 @ 2 4 1 1 1 0 1 1 0 0 0 3 5 1 A = = f(x; y; z) : x + y + z = 0 e y + z = 0g = = f(x; y; z) : x = 0 e y + z = 0g = = f(0; z; z) : z 2 Rg = L (f(0; 1; 1)g) . O conjunto f(0; 1; 1)g é uma base de E 2 . Os vectores próprios de T associados ao valor próprio 2 = 1 são u = (0; s; s), com s 2 Rn f0g . 363
  • 364.
    O subespaço próprioE 3 é dado por E 3 = N (T 3I) = N (A 3I) = = N 0 @ 2 4 3 1 1 0 1 1 0 1 1 3 5 1 A = N 0 @ 2 4 3 1 1 0 1 1 0 0 0 3 5 1 A = = f(x; y; z) : 3x + y + z = 0 e y + z = 0g = = (x; y; z) : x = 2 3 z e y = z = = 2 3 z; z; z : z 2 R = L (f(2; 3; 3)g) . O conjunto f(2; 3; 3)g é uma base de E 3 . Os vectores próprios de T associados ao valor próprio 3 = 3 são u = (2s; 3s; 3s) , com s 2 Rn f0g . (iii) É possível ter uma base de R3 constituída só por vectores próprios de T: Bvp = f(1; 0; 0); (0; 1; 1); (2; 3; 3)g , uma vez que dim E 1 + dim E 2 + dim E 3 = 3 = dim R3 . Logo, a matriz que representa T na base Bvp é dada por M(T; Bvp; Bvp) = 2 4 0 0 0 0 1 0 0 0 3 3 5 = 2 4 1 0 0 0 2 0 0 0 3 3 5 , uma vez que T(1; 0; 0) = (0; 0; 0) = 0(1; 0; 0) + 0(0; 1; 1) + 0 (2; 3; 3) , T(0; 1; 1) = (0; 1; 1) = 0(1; 0; 0) + 1(0; 1; 1) + 0 (2; 3; 3) e T (2; 3; 3) = (6; 9; 9) = 0(1; 0; 0) + 0(0; 1; 1) + 3 (2; 3; 3) . Deste modo, ( 1; 0; 0), (0; 2; 0) e (0; 0; 3) constituem respectivamente a 1a , 2a e 3a colunas de M(T; Bvp; Bvp). (iv) Seja A a matriz que representa T na base canónica de R3 , isto é, A = M(T; B3 c ; B3 c ). Tem-se, por (iii), M(T; Bvp; Bvp) = 2 4 1 0 0 0 2 0 0 0 3 3 5 = 2 4 0 0 0 0 1 0 0 0 3 3 5 . 364
  • 365.
    Logo, atendendo aodiagrama (R3 ; B3 c ) A ! T (R3 ; B3 c ) SB3 c !Bvp 1 " I I # SB3 c !Bvp (R3 ; Bvp) T ! M(T;Bvp;Bvp) (R3 ; Bvp) tem-se D = PAP 1 , com D = M(T; Bvp; Bvp) = 2 4 1 0 0 0 2 0 0 0 3 3 5 = 2 4 0 0 0 0 1 0 0 0 3 3 5 , com P 1 = SB3 c !Bvp 1 = SBvp!B3 c = 2 4 1 0 2 0 1 3 0 1 3 3 5 e A = M(T; B3 c ; B3 c ). Isto é, a matriz A é diagonalizável e a matriz M(T; Bvp; Bvp) é diagonal. (v) Atendendo a que D = PAP 1 , tem-se A = P 1 DP. Logo, An = P 1 Dn P = 2 4 1 0 2 0 1 3 0 1 3 3 5 2 4 0n 0 0 0 1n 0 0 0 3n 3 5 2 4 1 0 2 0 1 3 0 1 3 3 5 1 = = 2 4 0 1 3 3n 1 3 3n 0 1 2 + 1 2 3n 1 2 + 1 2 3n 0 1 2 + 1 2 3n 1 2 + 1 2 3n 3 5 e Tn (x; y; z) = An 2 4 x y z 3 5 = 2 4 1 3 3n y + 1 3 3n z 1 2 + 1 2 3n y + 1 2 + 1 2 3n z 1 2 + 1 2 3n y + 1 2 + 1 2 3n z 3 5 , para todo o (x; y; z) 2 R3 . 16. Considere a transformação linear T : R3 ! R3 que em relação à base B = f(0; 1; 0) ; (1; 0; 1) ; (1; 0; 1)g (ordenada) de R3 é representada pela matriz: A = 2 4 7 4 2 1 7 1 1 2 10 3 5 . 365
  • 366.
    Logo, a matrizque representa T em relação à base canónica Bc de R3 é dada por: B = M (T; Bc; Bc) = SB!Bc 2 4 7 4 2 1 7 1 1 2 10 3 5 (SB!Bc ) 1 = = 2 4 0 1 1 1 0 0 0 1 1 3 5 2 4 7 4 2 1 7 1 1 2 10 3 5 2 4 0 1 0 1 2 0 1 2 1 2 0 1 2 3 5 = 2 4 9 0 0 3 7 1 3 2 8 3 5 . Note que deste modo, para todo o (x; y; z) 2 R3 tem-se T(x; y; z) = B 2 4 x y z 3 5 = (9x; 3x + 7y z; 3x 2y + 8z) . (i) O polinómio característico é dado por det(A I) = det(B I) = 9 0 0 3 7 1 3 2 8 = (9 ) [(7 ) (8 ) 2] = = (9 ) 2 15 + 54 = (9 ) ( 9) ( 6) = = ( 9)2 ( 6) . (ii) Os valores próprios de T são os valores próprios de B, isto é, são os valores de para os quais det(B I) = 0. Logo, os valores próprios de T são 1 = 9 e 2 = 6. O subespaço próprio E 1 é dado por E 1 = N (T 1I) = N (B 1I) = = N 0 @ 2 4 0 0 0 3 2 1 3 2 1 3 5 1 A = N 0 @ 2 4 0 0 0 0 0 0 3 2 1 3 5 1 A = = (x; y; z) 2 R3 : 3x 2y z = 0 = = f(x; y; 3x 2y) : x; y 2 Rg = L (f(1; 0; 3); (0; 1; 2)g) . O conjunto f(1; 0; 3); (0; 1; 2)g é uma base de E 1 . Os vectores próprios de T associados ao valor próprio 1 = 9 são u = (s; t; 3s 2t), com s; t 2 Rn f0g . O subespaço próprio E 2 é dado por E 2 = N (T 2I) = N (B 2I) = = N 0 @ 2 4 3 0 0 3 1 1 3 2 2 3 5 1 A = N 0 @ 2 4 3 0 0 0 1 1 0 0 0 3 5 1 A = = f(x; y; z) : 3x = 0 e y z = 0g = = f(0; z; z) : z 2 Rg = L (f(0; 1; 1)g) . 366
  • 367.
    O conjunto f(0;1; 1)g é uma base de E 2 . Os vectores próprios de T associados ao valor próprio 2 = 6 são u = (0; s; s), com s 2 Rn f0g . (iii) É possível ter uma base de R3 constituída só por vectores próprios de T: Bvp = f(1; 0; 3); (0; 1; 2); (0; 1; 1)g , uma vez que dim E 1 + dim E 2 = 3 = dim R3 . Logo, a matriz que representa T na base Bvp é dada por M(T; Bvp; Bvp) = 2 4 9 0 0 0 9 0 0 0 6 3 5 = 2 4 1 0 0 0 1 0 0 0 2 3 5 , uma vez que T(1; 0; 3) = (9; 0; 27) = 9(1; 0; 3) + 0(0; 1; 2) + 0(0; 1; 1), T(0; 1; 2) = (0; 9; 18) = 0(1; 0; 3) + 9(0; 1; 2) + 0(0; 1; 1) e T(0; 1; 1) = (0; 6; 6) = 0(1; 0; 3) + 0(0; 1; 2) + 6(0; 1; 1). Deste modo, ( 1; 0; 0), (0; 2; 0) e (0; 0; 3) constituem respectivamente a 1a , 2a e 3a colunas de M(T; Bvp; Bvp). Logo, atendendo ao diagrama (R3 ; B3 c ) B ! T (R3 ; B3 c ) SB3 c !Bvp 1 " I I # SB3 c !Bvp (R3 ; Bvp) T ! M(T;Bvp;Bvp) (R3 ; Bvp) tem-se D = PBP 1 , com D = M(T; Bvp; Bvp) = 2 4 1 0 0 0 1 0 0 0 2 3 5 = 2 4 9 0 0 0 9 0 0 0 6 3 5 , com P 1 = SB3 c !Bvp 1 = SBvp!B3 c = 2 4 1 0 0 0 1 1 3 2 1 3 5 e B = M(T; B3 c ; B3 c ). Isto é, a matriz B é diagonalizável e a matriz M(T; Bvp; Bvp) é diagonal. (iv) Atendendo a que D = PBP 1 , 367
  • 368.
    tem-se B = P1 DP. Logo, Bn = P 1 Dn P = 2 4 1 0 0 0 1 1 3 2 1 3 5 2 4 9n 0 0 0 9n 0 0 0 6n 3 5 2 4 1 0 0 0 1 1 3 2 1 3 5 1 = = 2 4 1 0 0 0 1 1 3 2 1 3 5 2 4 9n 0 0 0 9n 0 0 0 6n 3 5 2 4 1 0 0 1 1=3 1=3 1 2=3 1=3 3 5 = = 2 4 9n 0 0 0 9n 6n 9n 3 9n ( 2) 6n 3 5 2 4 1 0 0 1 1=3 1=3 1 2=3 1=3 3 5 = = 2 4 9n 0 0 9n 6n 1 3 9n + 2 3 6n 1 3 9n + 1 3 6n 9n 6n 2 3 9n + 2 3 6n 2 3 9n + 1 3 6n 3 5 e An = (SB!Bc ) 1 Bn SB!Bc = = 2 4 0 1 1 1 0 0 0 1 1 3 5 1 2 4 9n 0 0 9n 6n 1 3 9n + 2 3 6n 1 3 9n + 1 3 6n 9n 6n 2 3 9n + 2 3 6n 2 3 9n + 1 3 6n 3 5 2 4 0 1 1 1 0 0 0 1 1 3 5 = = 2 4 2 3 6n + 1 3 9n 4 3 9n 4 3 6n 2 3 9n 2 3 6n 1 3 9n 1 3 6n 2 3 6n + 1 3 9n 1 3 6n 1 3 9n 1 3 6n 1 3 9n 2 3 9n 2 3 6n 4 3 9n 1 3 6n 3 5 . Por outro lado, Tn (x; y; z) = Bn 2 4 x y z 3 5 = 2 4 9n x (9n 6n ) x + 1 3 9n + 2 3 6n y + 1 3 9n + 1 3 6n z (9n 6n ) x + 2 3 9n + 2 3 6n y + 2 3 9n + 1 3 6n z 3 5 , para todo o (x; y; z) 2 R3 . 17. Sabendo que os vectores (1; 1; 1); (1; 0; 1) e (1; 1; 0) são vectores próprios da matriz A = 2 4 1 1 1 a b c d e f 3 5 , existem 1; 2 e 3 2 R tais que (1; 1; 1) 2 N(A 1I), (1; 0; 1) 2 N(A 2I) e (1; 1; 0) 2 N(A 3I), isto é, 2 4 1 1 1 1 a b 1 c d e f 1 3 5 2 4 1 1 1 3 5 = 2 4 0 0 0 3 5 , 368
  • 369.
    2 4 1 2 11 a b 2 c d e f 2 3 5 2 4 1 0 1 3 5 = 2 4 0 0 0 3 5 e 2 4 1 3 1 1 a b 3 c d e f 3 3 5 2 4 1 1 0 3 5 = 2 4 0 0 0 3 5 . Logo, tem-se respectivamente 8 >>>>< >>>>: 3 1 = 0 a + b + c 1 = 0 d + e + f 1 = 0 , 8 >>>>< >>>>: 1 = 3 a + b + c = 3 d + e + f = 3, 8 >>>>< >>>>: 2 = 0 a c = 0 d f + 2 = 0 , 8 >>>>< >>>>: 2 = 0 a = c d = f e 8 >>>>< >>>>: 3 = 0 a b + 3 = 0 d e = 0 , 8 >>>>< >>>>: 3 = 0 a = b d = e. Assim, 8 >>>>>>>>< >>>>>>>>: 1 = 3 2 = 0 3 = 0 a = b = c = d = e = f = 1. 18. Considere a transformação linear T : M2 2(R) ! M2 2(R) de…nida por T(A) = A + AT . (i) Seja B2 2 c = 1 0 0 0 ; 0 1 0 0 ; 0 0 1 0 ; 0 0 0 1 a base canónica (ordenada) de M2 2(R). 369
  • 370.
    A matriz M(T;B2 2 c ; B2 2 c ) que representa T em relação à base canónica (ordenada) B2 2 c é dada por M(T; B2 2 c ; B2 2 c ) = 2 6 6 4 2 0 0 0 0 1 1 0 0 1 1 0 0 0 0 2 3 7 7 5 , uma vez que T 1 0 0 0 = 2 0 0 0 = 2 1 0 0 0 + 0 0 1 0 0 + 0 0 0 1 0 + 0 0 0 0 1 , T 0 1 0 0 = 0 1 1 0 = 0 1 0 0 0 + 0 1 0 0 + 0 0 1 0 + 0 0 0 0 1 , T 0 0 1 0 = 0 1 1 0 = 0 1 0 0 0 + 0 1 0 0 + 0 0 1 0 + 0 0 0 0 1 , e T 0 0 0 1 = 0 0 0 2 = 0 1 0 0 0 + 0 0 1 0 0 + 0 0 0 1 0 + 2 0 0 0 1 . (ii) Seja A = M(T; B2 2 c ; B2 2 c ). O polinómio característico é dado por det(A I) = 2 0 0 0 0 1 1 0 0 1 1 0 0 0 0 2 = (2 )2 (1 )2 1 = = (2 )2 [((1 ) 1) ((1 ) + 1)] = = (2 )3 . Os valores próprios de T são os valores próprios de A, isto é, são os valores de para os quais det(A I) = 0. Logo, os valores próprios de T são 1 = 0 e 2 = 2. 370
  • 371.
    O subespaço próprioE 1 é dado por E 1 = N (T 1I) = a b c d 2 M2 2(R) : (T 1I) a b c d = 0 0 0 0 = = a b c d 2 M2 2(R) : T a b c d 1I a b c d = 0 0 0 0 = = a b c d 2 M2 2(R) : 2a b + c c + b 2d 1a 1b 1c 1d = 0 0 0 0 = = a b c d 2 M2 2(R) : 2a b + c c + b 2d 0 0 0 0 = 0 0 0 0 = = a b c d 2 M2 2(R) : 2a b + c c + b 2d = 0 0 0 0 = = a b c d 2 M2 2(R) : 2a = 0 e b + c = 0 e 2d = 0 = = 0 c c 0 2 M2 2(R) : c 2 R = = L 0 1 1 0 . O conjunto 0 1 1 0 é uma base de E 1 . Os vectores próprios de T associados ao valor próprio 1 = 0 são U = 0 s s 0 , com s 2 Rn f0g . O subespaço próprio E 2 é dado por E 2 = N (T 2I) = a b c d 2 M2 2(R) : (T 2I) a b c d = 0 0 0 0 = = a b c d 2 M2 2(R) : T a b c d 2I a b c d = 0 0 0 0 = = a b c d 2 M2 2(R) : 2a b + c c + b 2d 2a 2b 2c 2d = 0 0 0 0 = = a b c d 2 M2 2(R) : 2a b + c c + b 2d 2a 2b 2c 2d = 0 0 0 0 = = a b c d 2 M2 2(R) : 0 b + c c + b 0 = 0 0 0 0 = = a b c d 2 M2 2(R) : b = c = = a c c d 2 M2 2(R) : a; c; d 2 R = = L 1 0 0 0 ; 0 1 1 0 ; 0 0 0 1 . 371
  • 372.
    O conjunto 1 0 00 ; 0 1 1 0 ; 0 0 0 1 é uma base de E 2 . Os vectores próprios de T associados ao valor próprio 2 = 2 são U = r s s t , com r; s; t 2 Rn f0g . (iii) É possível ter uma base de M2 2(R) constituída só por vectores próprios de T: Bvp = 1 0 0 0 ; 0 1 1 0 ; 0 1 1 0 ; 0 0 0 1 , uma vez que dim E 1 + dim E 2 = 4 = dim M2 2(R). Logo, a matriz que representa T na base Bvp é dada por M(T; Bvp; Bvp) = 2 6 6 4 2 0 0 0 0 2 0 0 0 0 0 0 0 0 0 2 3 7 7 5 = 2 6 6 4 2 0 0 0 0 2 0 0 0 0 1 0 0 0 0 2 3 7 7 5 , uma vez que T 1 0 0 0 = 2 0 0 0 = 2 1 0 0 0 + 0 0 1 1 0 + 0 0 1 1 0 + 0 0 0 0 1 , T 0 1 1 0 = 0 2 2 0 = 0 1 0 0 0 + 2 0 1 1 0 + 0 0 1 1 0 + 0 0 0 0 1 , T 0 1 1 0 = 0 0 0 0 = 0 1 0 0 0 + 0 0 1 1 0 + 0 0 1 1 0 + 0 0 0 0 1 , e T 0 0 0 1 = 0 0 0 2 = 0 1 0 0 0 + 0 0 1 1 0 + 0 0 1 1 0 + 2 0 0 0 1 . Deste modo, ( 2; 0; 0; 0), (0; 2; 0; 0), (0; 0; 1; 0) e (0; 0; 0; 2) constituem respectivamente a 1a , 2a , 3a e 4a colunas de M(T; Bvp; Bvp). Logo, atendendo ao diagrama (M2 2(R); B2 2 c ) A ! T (M2 2(R); B2 2 c ) SB2 2 c !Bvp 1 " I I # SB2 2 c !Bvp (M2 2(R); Bvp) T ! M(T;Bvp;Bvp) (M2 2(R); Bvp) tem-se D = PAP 1 , 372
  • 373.
    com D = M(T;Bvp; Bvp) = 2 6 6 4 2 0 0 0 0 2 0 0 0 0 1 0 0 0 0 2 3 7 7 5 = 2 6 6 4 2 0 0 0 0 2 0 0 0 0 0 0 0 0 0 2 3 7 7 5 , com P 1 = SB2 2 c !Bvp 1 = SBvp!B2 2 c e A = M(T; B2 2 c ; B2 2 c ). Isto é, a matriz A é diagonalizável e a matriz M(T; Bvp; Bvp) é diagonal. 19. (i) Seja A1 = 2 1 2 5 . Tem-se det(A1 I) = 2 1 2 5 = (2 ) (5 ) + 2 = 2 7 + 12 = (3 ) (4 ) . Os valores próprios de A1 são 1 = 3 e 2 = 4. O subespaço próprio E 1 é dado por E 1 = N (A 1I) = = N 2 1 1 2 5 1 = N 1 1 2 2 = = N 1 1 0 0 = (x; y) 2 R2 : x + y = 0 = = f(y; y) : y 2 Rg = L (f(1; 1)g) . O conjunto f(1; 1)g é uma base de E 1 . Os vectores próprios de A1 associados ao valor próprio 1 = 3 são u = (s; s), com s 2 Rn f0g . O subespaço próprio E 2 é dado por E 2 = N (A2 2I) = = N 2 2 1 2 5 2 = N 2 1 2 1 = = N 2 1 0 0 = (x; y) 2 R2 : 2x + y = 0 = = f(x; 2x) : x 2 Rg = L (f(1; 2)g) . O conjunto f(1; 2)g é uma base de E 2 . Os vectores próprios de A1 associados ao valor próprio 2 = 4 são u = (s; 2s), com s 2 Rn f0g . 373
  • 374.
    É possível teruma base de R2 constituída só por vectores próprios de A1: Bvp = f(1; 1); (1; 2)g , uma vez que dim E 1 + dim E 2 = 2. Logo, a matriz A1 é diagonalizável e tem-se D1 = P1A1P 1 1 , com P 1 1 = SBvp!B2 c = 1 1 1 2 e D1 = 1 0 0 2 = 3 0 0 4 . (ii) Seja A2 = 2 4 2 1 1 0 3 1 0 1 3 3 5. Tem-se det(A2 I) = 2 1 1 0 3 1 0 1 3 = (2 ) (3 )2 1 = = (2 ) [(3 ) 1] [(3 ) + 1] = (2 )2 (4 ) . Os valores próprios de A2 são 1 = 2 e 2 = 4. O subespaço próprio E 1 é dado por E 1 = N (A2 1I) = = N 0 @ 2 4 2 1 1 1 0 3 1 1 0 1 3 1 3 5 1 A = N 0 @ 2 4 0 1 1 0 1 1 0 1 1 3 5 1 A = = N 0 @ 2 4 0 1 1 0 0 0 0 0 0 3 5 1 A = (x; y; z) 2 R3 : y + z = 0 = = f(x; z; z) : x; z 2 Rg = L (f(1; 0; 0); (0; 1; 1)g) . O conjunto f(1; 0; 0); (0; 1; 1)g é uma base de E 1 . Os vectores próprios de A2 associados ao valor próprio 1 = 2 são u = (s; t; t), com s; t 2 Rn f0g . 374
  • 375.
    O subespaço próprioE 2 é dado por E 2 = N (A2 2I) = = N 0 @ 2 4 2 2 1 1 0 3 2 1 0 1 3 2 3 5 1 A = N 0 @ 2 4 2 1 1 0 1 1 0 1 1 3 5 1 A = = N 0 @ 2 4 2 1 1 0 1 1 0 0 0 3 5 1 A = (x; y) 2 R2 : 2x + y + z = 0 e y + z = 0 = = f(z; z; z) : z 2 Rg = L (f(1; 1; 1)g) . O conjunto f(1; 1; 1)g é uma base de E 2 . Os vectores próprios de A2 associados ao valor próprio 2 = 4 são u = (s; s; s), com s 2 Rn f0g . É possível ter uma base de R3 constituída só por vectores próprios de A2: Bvp = f(1; 0; 0); (0; 1; 1); (1; 1; 1)g , uma vez que dim E 1 + dim E 2 = 3. Logo, a matriz A2 é diagonalizável e tem-se D2 = P2A2P 1 2 , com P 1 2 = SBvp!B3 c = 2 4 1 0 1 0 1 1 0 1 1 3 5 e D2 = 2 4 1 0 0 0 1 0 0 0 2 3 5 = 2 4 2 0 0 0 2 0 0 0 4 3 5 . (iii) Seja A3 = 2 4 1 1 0 1 1 0 0 0 0 3 5. Tem-se det(A3 I) = 1 1 0 1 1 0 0 0 = ( ) (1 )2 1 = = ( ) [(1 ) 1] [(1 ) + 1] = 2 (2 ) . Os valores próprios de A3 são 1 = 0 e 2 = 2. 375
  • 376.
    O subespaço próprioE 1 é dado por E 1 = N (A3 1I) = = N 0 @ 2 4 1 1 1 0 1 1 1 0 0 0 1 3 5 1 A = N 0 @ 2 4 1 1 0 1 1 0 0 0 0 3 5 1 A = = N 0 @ 2 4 1 1 0 0 0 0 0 0 0 3 5 1 A = (x; y; z) 2 R3 : x + y = 0 = = f( y; y; z) : y; z 2 Rg = L (f( 1; 1; 0); (0; 0; 1)g) . O conjunto f( 1; 1; 0); (0; 0; 1)g é uma base de E 1 . Os vectores próprios de A2 associados ao valor próprio 1 = 0 são u = ( s; s; t), com s; t 2 Rn f0g . O subespaço próprio E 2 é dado por E 2 = N (A2 2I) = = N 0 @ 2 4 1 2 1 0 1 1 2 0 0 0 2 3 5 1 A = N 0 @ 2 4 1 1 0 1 1 0 0 0 2 3 5 1 A = = N 0 @ 2 4 1 1 0 0 0 0 0 0 2 3 5 1 A = (x; y) 2 R2 : x + y = 0 e 2z = 0 = = f(y; y; 0) : y 2 Rg = L (f(1; 1; 0)g) . O conjunto f(1; 1; 0)g é uma base de E 2 . Os vectores próprios de A3 associados ao valor próprio 2 = 2 são u = (s; s; 0), com s 2 Rn f0g . É possível ter uma base de R3 constituída só por vectores próprios de A3: Bvp = f( 1; 1; 0); (0; 0; 1); (1; 1; 0)g , uma vez que dim E 1 + dim E 2 = 3. Logo, a matriz A3 é diagonalizável e tem-se D3 = P3A3P 1 3 , com P 1 3 = SBvp!B3 c = 2 4 1 0 1 1 0 1 0 1 0 3 5 e D3 = 2 4 1 0 0 0 1 0 0 0 2 3 5 = 2 4 0 0 0 0 0 0 0 0 2 3 5 . 376
  • 377.
    20. Considere atransformação linear T : R4 ! R4 que em relação à base canónica de R4 é representada pela matriz 2 6 6 4 0 0 0 0 a 0 0 0 0 b 0 0 0 0 c 0 3 7 7 5 , com a; b; c 2 R. Determinemos os valores próprios de T. Tem-se 0 0 0 a 0 0 0 b 0 0 0 c = ( )4 = 4 . O valor próprio de T é = 0. O subespaço próprio E é dado por E = N 0 B B @ 2 6 6 4 0 0 0 a 0 0 0 b 0 0 0 c 3 7 7 5 1 C C A = N 0 B B @ 2 6 6 4 0 0 0 0 a 0 0 0 0 b 0 0 0 0 c 0 3 7 7 5 1 C C A = = (x; y; z; w) 2 R4 : ax = 0 e by = 0 e cz = 0 . Assim, para que exista uma base de R4 constituída só por vectores próprios de T é necessário que se tenha a = b = c = 0. Caso contrário, teríamos dim E < 4. 21. (i) Como Au1 = ( + 1)u1 e Au2 = ( 1)u2 então u1; u2 são vectores próprios de A, associados respectivamente aos valores próprios + 1 e 1. (ii) p( ) = det(A I) = (3 ) ( )2 1 = (3 )( 1)( + 1): Para ( + 1 6= 3 e 1 6= 3) , 62 f2; 4g os valores próprios de A: 3; + 1 e 1 são todos distintos. (iii) Para 62 f2; 4g, fu1g; fu2g e f(3 ; 2 6 + 8; 1)g são bases de E +1, E 1 e E3, respectivamente. Para = 2, E3 = E +1. Além disso, fu2g é uma base de E 1 e fu1g é uma base de E3. Para = 4, E3 = E 1. Além disso, fu2g é uma base de E3 e fu1g é uma base de E +1. (iv) Para 62 f2; 4g a matriz A é diagonalizável, pois os seus valores próprios são todos distintos. Se = 2 ou = 4 então 3 é valor próprio de A e mg(3) = 1 < 2 = ma(3), pelo que A não é diagonalizável. Logo A é diagonalizável , 62 f2; 4g. 377
  • 378.
    Resolução da 3a Fichade exercícios facultativos 1. Seja T : Rn ! Rn uma transformação linear invertível. Seja u um vector próprio de T associado a um valor próprio de T. Veri…que que u é também um vector próprio de T 1 e determine o valor próprio de T 1 que lhe está associado. Dem. Tem-se T(u) = u, com u 6= 0. Como T é invertível e T 1 é linear, u = T 1 ( u) = T 1 (u). Por outro lado, tem-se 6= 0 uma vez que u 6= 0 e T é invertível. Logo, T 1 (u) = 1 u. Isto é, u é um vector próprio de T 1 associado ao valor próprio 1 de T 1 . 2. Seja V um espaço linear. Seja T : V ! V uma transformação linear. Seja u um vector próprio de T associado a um valor próprio de T. Veri…que que u é também um vector próprio de T2 associado ao valor próprio 2 de T2 . Dem. Tem-se T(u) = u, com u 6= 0. Logo, como T é linear, T2 (u) = (T T) (u) = T(T(u)) = T( u) = T(u) = u = 2 u, isto é, u é um vector próprio de T2 associado ao valor próprio 2 de T2 . 3. Seja A uma matriz do tipo n n. Mostre que se é um valor próprio de A então k é um valor próprio de Ak , onde k é um inteiro positivo. Dem. Sendo k um inteiro positivo, tem-se Ak k I = (A I)(Ak 1 + Ak 2 + + A k 2 + k 1 I). Logo, se é um valor próprio de A então k é um valor próprio de Ak , onde k é um inteiro positivo. 4. Uma matriz A do tipo n n diz-se nilpotente se Al = 0 para algum inteiro positivo l. Mostre que se A é nilpotente então o único valor próprio de A é 0. Dem. Suponhamos que Al = 0 para algum inteiro positivo l. Seja um valor próprio de A. Pelo exo anterior, l é um valor próprio de Al . Como Al = 0, então: 0 = det(Al l I) = det( l I) = ( 1)n l . 378
  • 379.
    Logo = 0e como tal, 0 é o único valor próprio de A. 5. Seja A uma matriz n n. Veri…que que A e AT têm os mesmos valores próprios. Dem. Tem-se det(A I) = det (A I)T = det(AT I). Isto é, as matrizes A e AT têm os mesmos valores próprios. 6. Seja A uma matriz n n cuja soma das suas colunas é constante e igual a r. Mostre que r é um valor próprio de A: Dem. Tem-se A 2 6 6 6 4 1 1 ... 1 3 7 7 7 5 = 2 6 6 6 4 a11 a12 a1n a21 a22 a2n ... ... ... ... an1 an2 ann 3 7 7 7 5 2 6 6 6 4 1 1 ... 1 3 7 7 7 5 = = 2 6 6 6 4 a11 a21 ... an1 3 7 7 7 5 + 2 6 6 6 4 a12 a22 ... an2 3 7 7 7 5 + + 2 6 6 6 4 a1n a2n ... ann 3 7 7 7 5 = 2 6 6 6 4 r r ... r 3 7 7 7 5 = r 2 6 6 6 4 1 1 ... 1 3 7 7 7 5 . Logo r é um valor próprio de A, associado ao vector próprio (1; 1; : : : ; 1). 7. Seja A 2 Mn n(R). Seja P uma matriz diagonalizante para A. Determine uma matriz diagonalizante para AT em termos de P. Dem. Tem-se D = PAP 1 e D = DT = PAP 1 T = P 1 T AT PT . Logo, a matriz (P 1 ) T é uma matriz diagonalizante para AT . 8. Seja Q uma matriz n n real ortogonal, isto é, tal que Q 1 = QT . Mostre que se n fôr ímpar então Q tem o valor próprio 1 ou tem o valor próprio 1. Dem. Atendendo a que QQT = I tem-se (det Q)2 = det Q det Q = det Q det QT = det QQT = det I = 1 , (det Q = 1 ou det Q = 1). Logo: Se det Q = 1 det (Q I) = det Q I QT = det Q det I QT = 379
  • 380.
    = ( 1)n detQ det QT I = n é ímpar det Q det h (Q I)T i = det (Q I) , , 2 det (Q I) = 0 , det (Q I) = 0 isto é, 1 é valor próprio de Q; Se det Q = 1 det (Q + I) = det Q I + QT = det Q det I + QT = = det Q det QT + I = det h (Q + I)T i = det (Q + I) , , 2 det (Q + I) = 0 , det (Q + I) = 0 , det (Q ( 1) I) = 0 isto é, 1 é valor próprio de Q. 9. Determine uma matriz A real 2 2 tal que det A < 0. Mostre que A é diagonalizável. Dem. Seja A = a b c d 2 M2 2 (R). Sejam 1 e 2 dois valores próprios de A. Como 1 2 = det A < 0 então 1 e 2 são dois valores próprios distintos de A, pelo que os vectores próprios corre- spondentes são linearmente independentes, constituindo assim uma base de R2 , razão pela qual A é diagonalizável. 10. Seja A uma matriz n n e seja um valor próprio de A com multiplicidade algébrica igual a n. Mostre que se A fôr diagonalizável então A é uma matriz diagonal. Dem. Seja um valor próprio de A com multiplicidade algébrica igual a n. Como A é do tipo n n, então é o único valor próprio de A. Assim, A fôr diagonalizável se e só se dim N (A I) = mg ( ) = ma ( ) = n o que é equivalente a ter-se A I = 0 (matriz nula) isto é, A = I = 2 6 6 6 4 0 0 0 ... ... ... ... ... ... 0 0 0 3 7 7 7 5 ou seja, A é uma matriz diagonal. 11. Seja V um espaço linear e seja T : V ! V uma transformação linear tal que todos os vectores não nulos de V são vectores próprios. Mostre que T tem um único valor próprio. 380
  • 381.
    Dem. Suponhamos, comvista a uma contradição, que 1 e 2 eram dois valores próprios distintos de T. Sejam v1 e v2 vectores próprios de T associados respectivamente aos valores próprios 1 e 2. Logo, o conjunto fv1; v2g é linearmente independente. Por outro lado T (v1 + v2) = T (v1) + T (v2) = 1v1 + 2v2 e como cada vector não nulo de V é um vector próprio de T, então v1 + v2 é um vector próprio de T e assim, existe um escalar 3 tal que T (v1 + v2) = 3 (v1 + v2) = 3v1 + 3v2. Deste modo, tem-se 1v1 + 2v2 = 3v1 + 3v2 ou seja ( 1 3) v1 + ( 3 2) v2 = 0. Como o conjunto fv1; v2g é linearmente independente, então ter-se-ia 1 = 3 e 3 = 2 isto é, 1 = 2 contrariando o facto de se ter assumido que 1 e 2 eram dois valores próprios distintos de T. Logo, T tem um único valor próprio. 12. Sejam A e B duas matrizes do tipo n n. Mostre que AB e BA têm os mesmos valores próprios. Dem. Sejam A; B 2 Mn n(R). Atendendo a que det (AB 0I) = det (AB) = det (BA) = det (BA 0I) ; 0 é valor próprio de AB se e só se 0 é valor próprio de BA. Seja um valor próprio de AB, com 6= 0. Então existe u 6= 0 tal que ABu = u. Seja w = Bu: Como u 6= 0 e B é invertível então w 6= 0. Logo, (BA) w = (BA) Bu = B (AB) u = B u = (Bu) = w. Isto é, é valor próprio de BA com w como vector próprio associado. Seja um valor próprio de BA, com 6= 0. Então existe u 6= 0 tal que BAu = u. Seja w = Au: Como u 6= 0 e A é invertível então w 6= 0. Logo, (AB) w = (AB) Au = A (BA) u = A u = (Au) = w. Isto é, é valor próprio de AB com w como vector próprio associado. 13. Sejam A e B duas matrizes tais que AB = BA. Mostre que A e B têm um vector próprio em comum. 381
  • 382.
    Sugestão: Sendo umvalor próprio de A, considere C a matriz cujas colunas formam uma base ordenada S de N (A I) e veri…que que (A I) BC = 0. Finalmente considere a matriz P cujas colunas são respectivamente as coordenadas das colunas de BC em relação à base S e sendo v um vector próprio de P mostre que Cv é um vector próprio comum a A e B. Dem. Suponhamos que as matrizes quadradas A e B são do tipo n n. Seja um valor próprio de A. Tem-se N (A I) 6= f0g. Seja r = dim N (A I). Seja C a matriz n r cujas colunas formam uma base ordenada S de N (A I). Tem–se (A I) BC = ABC BC = AB=BA BAC BC = B (A I) C = B0 = 0 Seja P = (pij) a matriz r r cujas colunas são respectivamente as coordenadas das colunas de BC em relação à base S. Tem-se, para k = 1; :::; r [BC] k | {z } coluna k de BC = rX i=1 pik [C] i |{z} coluna i de C = rX i=1 [C] i pik. Logo, tem-se BC = CP. Seja v um vector próprio de P associado a um valor próprio . Tem-se v 6= 0 e Cv 6= 0 pois C tem característica máxima (= no de colunas). Além disso, B (Cv) = (BC) v = (CP) v = C (Pv) = C ( vI) = (Cv) , isto é, Cv é um vector próprio de B associado ao valor próprio . Por outro lado, tem-se A (Cv) = (AC) v = ( IC) v = (Cv) , isto é, Cv é um vector próprio de A associado ao valor próprio . Logo, Cv é um vector próprio comum a A e B. 14. Seja A uma matriz n n e sejam 1; 2 escalares, com 1 6= 2, tais que (A 1I) (A 2I) = 0: Atendendo a que det (A 1I) det (A 2I) = 0 , (det (A 1I) = 0 ou det (A 2I) = 0) então 1 é valor próprio de A ou 2 é valor próprio de A. Suponhamos sem perda de generalidade (uma vez que (A 1I) (A 2I) = (A 2I) (A 1I)) que 1 é um valor próprio de A. Atendendo a que C (A 2I) N (A 1I) 6= f0g então n nul (A 2I) = car (A 2I) = dim C (A 2I) dim N (A 1I) = nul (A 1I) isto é, n nul (A 1I) + nul (A 2I) . Logo, atendendo a que nul (A 1I) + nul (A 2I) n, tem-se nul (A 1I) + nul (A 2I) = n ou seja, A é diagonalizável. 382
  • 383.
    Resolução da 6a Fichade exercícios para as aulas de problemas 1. (i) Consideremos a aplicação h; i : R2 R2 ! R, de…nida por h(x1; x2); (y1; y2)i = x2 1y2 1 + x2 2y2 2, com (x1; x2); (y1; y2) 2 R2 . Por exemplo h(1; 1); (1; 0) + (1; 0)i = h(1; 1); (2; 0)i = 4 6= 2 = h(1; 1); (1; 0)i + h(1; 1); (1; 0)i . Logo, esta aplicação h; i não é um produto interno, uma vez que a condição de linearidade não é veri…cada. (ii) Consideremos a aplicação h; i : R2 R2 ! R, de…nida por h(x1; x2); (y1; y2)i = x1y1 x2y1 x1y2 + 3x2y2, com (x1; x2); (y1; y2) 2 R2 . Tem-se h(x1; x2); (y1; y2)i = x1 x2 1 1 1 3 y1 y2 e como 1 1 1 3 é simétrica e os seus valores próprios ( p 2 + 2 e 2 p 2) são todos positivos, logo, a aplicação h; i de…ne um produto interno em R2 . Resolução alternativa: Para todos os (x1; x2); (x 0 1; x 0 2); (y1; y2) 2 R2 e 2 R tem-se: h(x1; x2); (y1; y2)i = x1y1 x2y1 x1y2 + 3x2y2 = = y1x1 y1x2 y2x1 + 3y2x2 = = y1x1 y2x1 y1x2 + 3y2x2 = = h(y1; y2); (x1; x2)i . D (x1; x2) + (x 0 1; x 0 2); (y1; y2) E = D (x1 + x 0 1; x2 + x 0 2); (y1; y2) E = = (x1 + x 0 1)y1 (x2 + x 0 2)y1 (x1 + x 0 1)y2 + 3(x2 + x 0 2)y2 = = x1y1 + x 0 1y1 x2y1 x 0 2y1 x1y2 x 0 1y2 + 3x2y2 + 3x 0 2y2 = = x1y1 x2y1 x1y2 + 3x2y2 + x 0 1y1 x 0 2y1 x 0 1y2 + 3x 0 2y2 = = h(x1; x2); (y1; y2)i + D (x 0 1; x 0 2); (y1; y2) E . h (x1; x2); (y1; y2)i = h x1; x2); (y1; y2)i = = x1y1 x2y1 x1y2 + 3 x2y2 = = (x1y1 x2y1 x1y2 + 3x2y2) = = h(x1; x2); (y1; y2)i . 383
  • 384.
    h(x1; x2); (x1;x2)i = x2 1 2x1x2 + 3x2 2 = (x1 x2)2 + ( p 2x2)2 0 e h(x1; x2); (x1; x2)i = 0 , (x1 x2 = 0 e p 2x2 = 0) , , (x1 = x2 e x2 = 0) , (x1 = 0 e x2 = 0): Logo: h(x1; x2); (x1; x2)i > 0, para todo o (x1; x2) 6= (0; 0). Assim, a aplicação h; i : R2 R2 ! R, de…nida por h(x1; x2); (y1; y2)i = x1y1 x2y1 x1y2 + 3x2y2 é um produto interno. (iii) Consideremos a aplicação h; i : R2 R2 ! R, de…nida por h(x1; x2); (y1; y2)i = 2x1y1 + 3x2y2, com (x1; x2); (y1; y2) 2 R2 . Tem-se h(x1; x2); (y1; y2)i = x1 x2 2 0 0 3 y1 y2 : Como os valores próprios de 2 0 0 3 não são todos positivos ( 2 e 3), logo, a aplicação h; i não de…ne um produto interno em R2 , uma vez que a condição de positividade não é satisfeita. Resolução alternativa: Vejamos que a condição de positividade não é satisfeita. h(x1; x2); (x1; x2)i = 0 , 2x2 1 + 3x2 2 = 0 , x1 = r 3 2 jx2j . Logo, por exemplo tem-se: * r 3 2 ; 1 ! ; r 3 2 ; 1 !+ = 0 e r 3 2 ; 1 ! 6= (0; 0). Assim, a condição: h(x1; x2); (x1; x2)i > 0, 8(x1; x2) 6= (0; 0) não é satisfeita. Logo, a aplicação h; i : R2 R2 ! R, de…nida por h(x1; x2); (y1; y2)i = 2x1y1 + 3x2y2 não é um produto interno. 384
  • 385.
    2. (i) Consideremosa aplicação h; i : R3 R3 ! R, de…nida por h(x1; x2; x3); (y1; y2; y3)i = x1y1 + x2y2 + x3y3, com (x1; x2; x3); (y1; y2; y3) 2 R3 . Tem-se h(x1; x2; x3); (y1; y2; y3)i = x1 x2 x3 2 4 1 0 0 0 1 0 0 0 1 3 5 2 4 y1 y2 y3 3 5 . e como 2 4 1 0 0 0 1 0 0 0 1 3 5 é simétrica e os seus valores próprios (1) são todos positivos, logo, a aplicação h; i de…ne um produto interno em R3 . Resolução alternativa: Para todos os (x1; x2; x3); (x 0 1; x 0 2; x 0 3)(y1; y2; y3) 2 R3 e 2 R tem-se: h(x1; x2; x3); (y1; y2; y3)i = x1y1 + x2y2 + x3y3 = = y1x1 + y2x2 + y3x3 = = h(y1; y2; y3); (x1; x2; x3)i . D (x1; x2; x3) + (x 0 1; x 0 2; x 0 3); (y1; y2; y3) E = = D (x1 + x 0 1; x2 + x 0 2; x3 + x 0 3); (y1; y2; y3) E = = (x1 + x 0 1)y1 + (x2 + x 0 2)y2 + (x3 + x 0 3)y3 = = x1y1 + x 0 1y1 + x2y2 + x 0 2y2 + x3y3 + x 0 3y3 = = x1y1 + x2y2 + x3y3 + x 0 1y1 + x 0 2y2 + x 0 3y3 = = h(x1; x2; x3); (y1; y2; y3)i + D (x 0 1; x 0 2; x 0 3); (y1; y2; y3) E . h (x1; x2; x3); (y1; y2; y3)i = h x1; x2; x3); (y1; y2; y3)i = = x1y1 + x2y2 + x3y3 = = (x1y1 + x2y2 + x3y3) = = h(x1; x2; x3); (y1; y2; y3)i . h(x1; x2; x3); (x1; x2; x3)i = x2 1 + x2 2 + x2 3 0 e h(x1; x2; x3); (x1; x2; x3)i = 0 , (x1 = 0 e x2 = 0 e x3 = 0): Logo: h(x1; x2; x3); (x1; x2; x3)i > 0, 8(x1; x2; x3) 6= (0; 0; 0). 385
  • 386.
    Assim, a aplicaçãoh; i : R3 R3 ! R, de…nida por h(x1; x2; x3); (y1; y2; y3)i = x1y1 + x2y2 + x3y3 é um produto interno, o chamado produto interno usual de R3 . (ii) Consideremos a aplicação h; i : R3 R3 ! R, de…nida por h(x1; x2; x3); (y1; y2; y3)i = x1y2 x2y1. Tem-se h(x1; x2; x3); (y1; y2; y3)i = x1 x2 x3 2 4 0 1 0 1 0 0 0 0 0 3 5 2 4 y1 y2 y3 3 5 . e como 2 4 0 1 0 1 0 0 0 0 0 3 5 não é simétrica, logo, a aplicação h; i não de…ne um produto interno em R3 . Resolução alternativa: Por exemplo h(1; 1; 1); (1; 0; 0)i = 1 6= 1 = h(1; 0; 0); (1; 1; 1)i . Logo, esta aplicação h; i não é um produto interno, uma vez que a condição de simetria não é veri…cada. (iii) Consideremos a aplicação h; i : R3 R3 ! R, de…nida por h(x1; x2; x3); (y1; y2; y3)i = 2x1y1 + x1y3 + x3y1 + 2x2y2 + x3y3, com (x1; x2; x3); (y1; y2; y3) 2 R3 . Tem-se h(x1; x2; x3); (y1; y2; y3)i = x1 x2 x3 2 4 2 0 1 0 2 0 1 0 1 3 5 2 4 y1 y2 y3 3 5 . e como 2 4 2 0 1 0 2 0 1 0 1 3 5 é simétrica e os seus valores próprios det 2 4 2 0 1 0 2 0 1 0 1 3 5 = (2 ) det 2 1 1 1 = = (2 ) [(2 ) (1 ) 1] = (2 ) 2 3 + 1 = = (2 ) 3 2 p 5 2 ! 3 2 + p 5 2 ! 386
  • 387.
    (3 2 + p 5 2 ; 3 2 p 5 2 ; 2) são todos positivos, logo, a aplicação h; i de…ne um produto interno em R3 . Resolução alternativa: Para todos os (x1; x2; x3); (x 0 1; x 0 2; x 0 3)(y1; y2; y3) 2 R3 e 2 R tem-se: h(x1; x2; x3); (y1; y2; y3)i = 2x1y1 + x1y3 + x3y1 + 2x2y2 + x3y3 = = 2y1x1 + y3x1 + y1x3 + 2y2x2 + y3x3 = = h(y1; y2; y3); (x1; x2; x3)i . D (x1; x2; x3) + (x 0 1; x 0 2; x 0 3); (y1; y2; y3) E = D (x1 + x 0 1; x2 + x 0 2; x3 + x 0 3); (y1; y2; y3) E = = 2(x1 + x 0 1)y1 + (x1 + x 0 1)y3 + (x3 + x 0 3)y1 + 2(x2 + x 0 2)y2 + (x3 + x 0 3)y3 = = 2x1y1 + 2x 0 1y1 + x1y3 + x 0 1y3 + x3y1 + x 0 3y1 + 2x2y2 + 2x 0 2y2 + x3y3 + x 0 3y3 = = 2x1y1 + x1y3 + x3y1 + 2x2y2 + x3y3 + 2x 0 1y1 + x 0 1y3 + x 0 3y1 + 2x 0 2y2 + x 0 3y3 = = h(x1; x2; x3); (y1; y2; y3)i + D (x 0 1; x 0 2; x 0 3); (y1; y2; y3) E . h (x1; x2; x3); (y1; y2; y3)i = h x1; x2; x3); (y1; y2; y3)i = = 2 x1y1 + x1y3 + x3y1 + 2 x2y2 + x3y3 = = (2x1y1 + x1y3 + x3y1 + 2x2y2 + x3y3) = = h(x1; x2; x3); (y1; y2; y3)i . h(x1; x2; x3); (x1; x2; x3)i = 2x2 1 + 2x1x3 + 2x2 2 + x2 3 = = x2 1 + (x1 + x3)2 + p 2x2 2 0 e h(x1; x2; x3); (x1; x2; x3)i = 0 , (x1 = 0 e x1 + x3 = 0 e p 2x2 = 0) , , (x1 = 0 e x2 = 0 e x3 = 0): Logo: h(x1; x2; x3); (x1; x2; x3)i > 0, 8(x1; x2; x3) 6= (0; 0; 0). Assim, a aplicação h; i : R3 R3 ! R, de…nida por h(x1; x2; x3); (y1; y2; y3)i = 2x1y1 + x1y3 + x3y1 + 2x2y2 + x3y3 é um produto interno. 3. Sejam (x1; x2); (y1; y2) 2 R2 . Consideremos a aplicação h; i : R2 R2 ! R, de…nida por h(x1; x2); (y1; y2)i = x1 x2 3 2 2 3 y1 y2 = 3x1y1 + 2x2y1 + 2x1y2 + 3x2y2. 387
  • 388.
    Atendendo a quea matriz 3 2 2 3 é simétrica e tem os seus valores próprios (1 e 5) todos positivos, então esta aplicação de…ne em R2 um produto interno. Além disso, veri…ca-se h(1; 0); (0; 1)i = 2, uma vez que 3 2 2 3 = h(1; 0); (1; 0)i h(1; 0); (0; 1)i h(0; 1); (1; 0)i h(0; 1); (0; 1)i . 4. Considere os vectores u = 1p 5 ; 1p 5 e v = 2p 30 ; 3p 30 . Considere o produto interno de…nido em R2 por h(x1; x2); (y1; y2)i = 3x1y1 + 2x2y2. Tem-se hu; vi = 1 p 5 ; 1 p 5 ; 2 p 30 ; 3 p 30 = 3 1 p 5 2 p 30 + 2 1 p 5 3 p 30 = 0 e hu; ui = 3 1 p 5 2 + 2 1 p 5 2 = 1 e hv; vi = 3 2 p 30 2 + 2 3 p 30 2 = 1. Logo, o conjunto fu; vg é ortonormado relativamente ao produto interno anterior. No entanto, relativamente ao produto interno usual h; i0 de…nido em R2 : h(x1; x2); (y1; y2)i0 = x1y1 + x2y2, tem-se hu; vi0 = 1 p 150 , hu; ui0 = 2 5 e hv; vi0 = 13 30 . Logo, o conjunto fu; vg não é ortonormado relativamente ao produto interno usual de…nido em R2 . 5. Considere em R4 o produto interno usual. Seja U = L (f(1; 0; 0; 0); (1; 0; 0; 1)g). Logo, o subespaço de R4 ortogonal a U é dado por: U? = (x; y; z; w) 2 R4 : h(x; y; z; w); (1; 0; 0; 0)i = 0 e h(x; y; z; w); (1; 0; 0; 1)i = 0 = = N 1 0 0 0 1 0 0 1 = N 1 0 0 0 0 0 0 1 = = (x; y; z; w) 2 R4 : x = 0 e w = 0 = (0; y; z; 0) 2 R4 : y; z 2 R = = L (f(0; 1; 0; 0); (0; 0; 1; 0)g) . Como o conjunto f(0; 1; 0; 0); (0; 0; 1; 0)g é independente e gera U? então é uma base de U? e tem-se R4 = U U? = 388
  • 389.
    = L (f(1;0; 0; 0); (1; 0; 0; 1)g) L (f(0; 1; 0; 0); (0; 0; 1; 0)g) . 6. Considere em R3 o produto interno de…nido por: h(x1; x2; x3); (y1; y2; y3)i = x1y1 + x1y2 + x2y1 + 2x2y2 + x3y3, isto é, por h(x1; x2; x3); (y1; y2; y3)i = x1 x2 x3 2 4 1 1 0 1 2 0 0 0 1 3 5 2 4 y1 y2 y3 3 5 . (i) Seja u = (x1; x2; x3) 2 R3 . Tem-se kuk = p h(x1; x2; x3); (x1; x2; x3)i = q x2 1 + 2x1x2 + 2x2 2 + x2 3. (ii) Considere os vectores u1 = (1; 0; 0), u2 = ( 1; 1; 0) e u3 = (0; 0; 1). Tem-se arccos hu1; u2i ku1k ku2k = arccos 0 1:1 = 2 , arccos hu2; u3i ku2k ku3k = arccos 0 1:1 = 2 e arccos hu1; u3i ku1k ku3k = arccos 0 1:1 = 2 (iii) Atendendo a que hu1; u2i = hu2; u3i = hu1; u3i = 0 e ku1k = ku2k = ku3k = 1 então o conjunto fu1; u2; u3g é uma base ortonormada de R3 . Seja u = (x1; x2; x3) 2 R3 . Tem-se u = hu; u1i u1 + hu; u2i u2 + hu; u3i u3 = = (x1 + x2) u1 + x2u2 + x3u3. Logo, as coordenadas de um vector u = (x1; x2; x3) 2 R3 em relação à base ortonormada fu1; u2; u3g são dadas por: x1 + x2, x2 e x3. 7. Considere R4 com o produto interno usual. Seja U = L (f(1; 0; 1; 0); ( 1; 2; 0; 1); (2; 0; 2; 1)g) . 389
  • 390.
    Determinemos a dimensãode U e uma base ortonormada para U. Tem-se 2 6 6 4 1 1 2 0 2 0 1 0 2 0 1 1 3 7 7 5 ! 2 6 6 4 1 1 2 0 2 0 0 1 4 0 1 1 3 7 7 5 ! 2 6 6 4 1 1 2 0 2 0 0 0 4 0 0 1 3 7 7 5 ! 2 6 6 4 1 1 2 0 2 0 0 0 4 0 0 0 3 7 7 5 . Logo, o conjunto fv1; v2; v3g, com v1 = (1; 0; 1; 0); v2 = ( 1; 2; 0; 1) e v3 = (2; 0; 2; 1), é uma base de U e como tal dim U = 3. Sejam u1 = v1, u2 = v2 proju1 v2 e u3 = v3 proju1 v3 proju2 v3. Logo, o conjunto fu1; u2; u3g, com u1 = (1; 0; 1; 0), u2 = ( 1; 2; 0; 1) 1 2 (1; 0; 1; 0) = 1 2 ; 2; 1 2 ; 1 e u3 = (2; 0; 2; 1) 0 2 (1; 0; 1; 0) 1 11=2 1 2 ; 2; 1 2 ; 1 = = (2; 0; 2; 1) + 1 11 ( 1; 4; 1; 2) = 21 11 ; 4 11 ; 21 11 ; 13 11 é uma base ortogonal de U. Uma base ortonormada para U: u1 ku1k ; u2 ku2k ; u3 ku3k = = ( p 2 2 ; 0; p 2 2 ; 0 ! ; p 22 22 ; 2 p 22 11 ; p 22 22 ; p 22 11 ! ; 21 p 1067 ; 4 p 1067 ; 21 p 1067 ; 13 p 1067 ) : 8. (i) O conjunto f(0; 1; 1); (0; 0; 1)g gera U e é linearmente independente logo é uma base de U. Atendendo ao método de ortogonalização de Gram-Schmidt, uma base ortogonal para U é: fu1; u2g em que u1 = (0; 1; 1) e u2 = (0; 0; 1) Proj (0;1;1) (0; 0; 1) = (0; 0; 1) h(0; 0; 1); (0; 1; 1)i k(0; 1; 1)k2 (0; 1; 1) = = (0; 0; 1) 1 2 (0; 1; 1) = 0; 1 2 ; 1 2 . Assim uma base ortogonal para U é: (0; 1; 1); 0; 1 2 ; 1 2 . Tem-se V = (x; y; z) 2 R3 : y z = 0 = f(x; y; y) : x; y 2 Rg = L (f(1; 0; 0); (0; 1; 1)g) : Atendendo a que h(1; 0; 0); (0; 1; 1)i = 0, uma base ortonormada para V é: 390
  • 391.
    (1; 0; 0) k(1;0; 0)k ; (0; 1; 1) k(0; 1; 1)k = ( (1; 0; 0); 0; p 2 2 ; p 2 2 !) : (ii) Como U? = L (0; 1; 1); 0; 1 2 ; 1 2 ? = L (f(1; 0; 0)g) ; uma base ortonormada para R3 que inclui dois vectores geradores de U é: ( (1; 0; 0); 0; p 2 2 ; p 2 2 ! ; 0; p 2 2 ; p 2 2 !) : Como V ? = (x; y; z) 2 R3 : y z = 0 ? = (x; y; z) 2 R3 : h(x; y; z); (0; 1; 1)i = 0 ? = = (L (f(0; 1; 1)g))? ? = L (f(0; 1; 1)g) ; e atendendo à alínea anterior, uma base ortonormada para R3 que inclui dois vectores ger- adores de V é: ( (1; 0; 0); 0; p 2 2 ; p 2 2 ! ; 0; p 2 2 ; p 2 2 !) : (iii) O elemento de U mais próximo de (1; 1; 1) é: PU (1; 1; 1) = (1; 1; 1) PU? (1; 1; 1) = = (1; 1; 1) h(1; 1; 1); (1; 0; 0)i (1; 0; 0) = (0; 1; 1): A distância entre (1; 1; 1) e V ? é: d (1; 1; 1); V ? = kPV (1; 1; 1)k = (1;1;1)2V k(1; 1; 1)k = p 3 9. Seja A = 2 4 1 0 2 0 0 0 2 0 1 3 5 e considere o produto interno usual. Sejam N (A), C (A) e L (A) respectivamente o núcleo, espaço das colunas e espaço das linhas de A. (i) O conjunto f(1; 0; 2); (2; 0; 1)g é uma base para C (A) pois gera C (A) e é linearmente independente. 391
  • 392.
    O conjunto f(1;0; 2); (2; 0; 1); (0; 1; 0)g é uma base para R3 . Como (2; 0; 1) e (0; 1; 0) são ortogonais, basta aplicar Gram-Schmidt a (1; 0; 2): (1; 0; 2) P(2;0;1)(1; 0; 2) P(0;1;0)(1; 0; 2) = = (1; 0; 2) h(1; 0; 2); (2; 0; 1)i k(2; 0; 1)k2 (2; 0; 1) h(1; 0; 2); (0; 1; 0)i k(0; 1; 0)k2 (0; 1; 0) = = (1; 0; 2) 4 5 (2; 0; 1) = 3 5 ; 0; 6 5 . Logo, o conjunto ( (2; 0; 1) k(2; 0; 1)k ; (0; 1; 0) k(0; 1; 0)k ; 3 5 ; 0; 6 5 3 5 ; 0; 6 5 ) = ( 2 p 5 5 ; 0; p 5 5 ! ; (0; 1; 0); p 5 5 ; 0; 2 p 5 5 !) é uma base ortonormada para R3 que inclui dois vectores de C (A): 2 p 5 5 ; 0; p 5 5 e p 5 5 ; 0; 2 p 5 5 . (ii) O elemento de L (A) mais próximo de (1; 1; 1) é: PL(A)(1; 1; 1) = (1; 1; 1) PN(A)(1; 1; 1) = N(A)=L(f(0;1;0)g) = (1; 1; 1) h(1; 1; 1); (0; 1; 0)i k(0; 1; 0)k2 (0; 1; 0) = = (1; 1; 1) (0; 1; 0) = (1; 0; 1). A distância entre (1; 1; 1) e N (A) é: d ((1; 1; 1); N (A)) = P(N(A))? (1; 1; 1) = PL(A)(1; 1; 1) = k(1; 0; 1)k = p 2: 10. Seja A = 2 4 1 0 1 0 2 0 1 0 1 3 5 e considere o produto interno usual. Sejam N (A), C (A) e L (A) respectivamente o núcleo, espaço das colunas e espaço das linhas de A. (i) Tem-se (N (A))? = L (A). O conjunto f(1; 0; 1); (0; 2; 0)g é uma base para N (A) pois gera N (A) e é linearmente independente. Como h(1; 0; 1); (0; 2; 0)i = 0, os vectores (1; 0; 1) e (0; 2; 0) são ortogonais. Logo, o conjunto (1; 0; 1) k(1; 0; 1)k ; (0; 2; 0) k(0; 2; 0)k = ( p 2 2 ; 0; p 2 2 ! ; (0; 1; 0) ) é uma base ortonormada para (N (A))? . 392
  • 393.
    (ii) O conjuntof(1; 0; 1); (0; 2; 0)g é uma base para C (A) pois gera C (A) e é linearmente independente. O conjunto f(1; 0; 1); (0; 2; 0); (0; 0; 1)g é uma base para R3 . Como (1; 0; 1) e (0; 2; 0) são ortogonais, basta aplicar Gram-Schmidt a (0; 0; 1): (0; 0; 1) P(1;0;1)(0; 0; 1) P(0;2;0)(0; 0; 1) = = (0; 0; 1) h(0; 0; 1); (1; 0; 1)i k(1; 0; 1)k2 (1; 0; 1) h(0; 0; 1); (0; 2; 0)i k(0; 2; 0)k2 (0; 2; 0) = = (0; 0; 1) 1 2 (1; 0; 1) = 1 2 ; 0; 1 2 . Logo, o conjunto ( (1; 0; 1) k(1; 0; 1)k ; (0; 2; 0) k(0; 2; 0)k ; 1 2 ; 0; 1 2 1 2 ; 0; 1 2 ) = ( p 2 2 ; 0; p 2 2 ! ; (0; 1; 0); p 2 2 ; 0; p 2 2 !) é uma base ortonormada para R3 que inclui dois vectores de C (A): p 2 2 ; 0; p 2 2 e (0; 1; 0). (iii) O elemento de L (A) mais próximo de (1; 2; 3) é: PL(A)(1; 2; 3) = (1; 2; 3) PN(A)(1; 2; 3) = N(A)=L(f( 1;0;1)g) = (1; 2; 3) h(1; 2; 3); ( 1; 0; 1)i k( 1; 0; 1)k2 ( 1; 0; 1) = = (1; 2; 3) ( 1; 0; 1) = (2; 2; 2). A distância entre (1; 2; 3) e L (A)? é: d (1; 2; 3); (L (A))? = PL(A)(1; 2; 3) = k(2; 2; 2)k = 2 p 3: 11. Seja U = L (f(1; 1; 1; 0); (0; 1; 1; 1)g). Seja (x; y; z; w) 2 U. Então existem x; y 2 R tais que (x; y; z; w) = x(1; 1; 1; 0) + y(0; 1; 1; 1): Deste modo, o seguinte sistema (nas variáveis x e y) tem que ser possível e determinado: 8 >>< >>: x = x x + y = y x + y = z y = w Considerando então a matriz aumentada deste sistema, tem-se: 2 6 6 4 1 0 j x 1 1 j y 1 1 j z 0 1 j w 3 7 7 5 ! L1+L2!L2 L1+L3!L3 2 6 6 4 2 6 6 4 1 0 j x 0 1 j y x 0 1 j z x 0 1 j w 3 7 7 5 3 7 7 5 ! L2+L3!L3 L2+L4!L4 2 6 6 4 2 6 6 4 1 0 j x 0 1 j y x 0 0 j z y 0 0 j x y + w 3 7 7 5 3 7 7 5 . 393
  • 394.
    Logo, para queo sistema anterior seja possível e determinado, é preciso que se tenha z y = 0 e x y + w = 0. Assim, U = f(x; y; z; w) 2 R4 : x y + w = 0 e z y = 0g, isto é, U = N(A), com A = 1 1 0 1 0 1 1 0 . 12. Seja B = f(1; 0); (1; 1)g uma base de R2 . Vamos de…nir um produto interno em R2 em relação ao qual a base B é ortonormada. Seja B2 c = f(1; 0); (0; 1)g a base canónica de R2 . A matriz de mudança de base de B2 c para B é dada por SB2 c !B = SB!B2 c 1 = 1 1 0 1 1 = 1 1 0 1 . Sejam u; v 2 R2 . Tem-se u = (x1; x2) e v = (y1; y2) , onde x1; x2 e y1; y2 são as coordenadas na base B2 c de u e v respectivamente. Seja S = SB2 c !B. Logo, tem-se a aplicação h; i : R2 R2 de…nida por hu; vi = (Su)T G (Sv) , com G = hv1; v1i hv1; v2i hv2; v1i hv2; v2i = 1 0 0 1 , ou seja, h(x1; x2) ; (y1; y2)i = 1 1 0 1 x1 x2 T 1 0 0 1 1 1 0 1 y1 y2 = = x1y1 + x1y2 + x2y1 + 2x2y2. Como h(x1; x2) ; (y1; y2)i = x1y1 + x1y2 + x2y1 + 2x2y2 = x1 x2 1 1 1 2 y1 y2 e a matriz 1 1 1 2 é simétrica, sendo os seus valores próprios (1 2 p 5+ 3 2 e 3 2 1 2 p 5) positivos, então a expressão h(x1; x2) ; (y1; y2)i = x1y1 + x1y2 + x2y1 + 2x2y2 de…ne um produto interno em R2 . Além disso, é fácil veri…car que para este produto interno a base B = f(1; 0); (1; 1)g é ortonormada: h(1; 0) ; (1; 1)i = 0 e h(1; 0) ; (1; 0)i = h(1; 1) ; (1; 1)i = 1. 13. Considere a aplicação h; i : R3 R3 ! R de…nida por h(x1; x2; x3); (y1; y2; y3)i = x1y1 x1y2 x2y1 + 4x2y2 + x3y3. 394
  • 395.
    (i) Tem-se h(x1; x2;x3); (y1; y2; y3)i = x1 x2 x3 2 4 1 1 0 1 4 0 0 0 1 3 5 2 4 y1 y2 y3 3 5 . Como 2 4 1 1 0 1 4 0 0 0 1 3 5 é simétrica e os seus valores próprios (5+ p 13 2 e 5 p 13 2 ) são todos positivos, logo, a aplicação h; i de…ne um produto interno em R3 . (ii) Seja V = L (f(3; 4; 0)g) R3 . Uma base ortonormada para V : (3; 4; 0) k(3; 4; 0)k = (3; 4; 0) 7 = 3 7 ; 4 7 ; 0 O ponto de V mais próximo de (0; 1; 0) é PV (0; 1; 0) = (0; 1; 0); 3 7 ; 4 7 ; 0 3 7 ; 4 7 ; 0 = 13 7 3 7 ; 4 7 ; 0 = 39 49 ; 52 49 ; 0 . Nota. Em alternativa, como dim V = 1, PV (0; 1; 0) = proj(3;4;0)(0; 1; 0) = h(0; 1; 0); (3; 4; 0)i k(3; 4; 0)k2 (3; 4; 0) = 13 49 (3; 4; 0) = 39 49 ; 52 49 ; 0 . (iii) Tem-se V ? = (x; y; z) 2 R3 : h(x; y; z); (3; 4; 0)i = 0 = = (x; y; z) 2 R3 : 3x 4x 3y + 16y = 0 = = (x; y; z) 2 R3 : x + 13y = 0 = = (13y; y; z) 2 R3 : y; z 2 R = = L (f(13; 1; 0); (0; 0; 1)g) . Como o conjunto fv1; v2g, com v1 = (13; 1; 0) e v2 = (0; 0; 1), é independente e gera V ? então é uma base de V ? . Sejam u1 = v1 e u2 = v2 proju1 v2. Logo, o conjunto fu1; u2g, com u1 = (13; 1; 0) e u2 = (0; 0; 1) 0(13; 1; 0) = (0; 0; 1), é uma base ortogonal de V ? . (iv) Seja B = 3 7 ; 4 7 ; 0 ; 13 p 147 ; 1 p 147 ; 0 ; (0; 0; 1) : 395
  • 396.
    Como 13 p 147 ; 1 p 147 ; 0 ;(0; 0; 1) é uma base ortonormada para V ? , então B é uma base ortonormada de R3 . Atendendo a que PV 3 7 ; 4 7 ; 0 = 3 7 ; 4 7 ; 0 ; 3 7 ; 4 7 ; 0 3 7 ; 4 7 ; 0 = = 3 7 ; 4 7 ; 0 2 3 7 ; 4 7 ; 0 = 3 7 ; 4 7 ; 0 = = 1 3 7 ; 4 7 ; 0 + 0 13 p 147 ; 1 p 147 ; 0 + 0(0; 0; 1), PV 13 p 147 ; 1 p 147 ; 0 = 13 p 147 ; 1 p 147 ; 0 ; 3 7 ; 4 7 ; 0 3 7 ; 4 7 ; 0 = = 0 3 7 ; 4 7 ; 0 = (0; 0; 0) = = 0 3 7 ; 4 7 ; 0 + 0 13 p 147 ; 1 p 147 ; 0 + 0(0; 0; 1) e PV (0; 0; 1) = (0; 0; 1); 3 7 ; 4 7 ; 0 3 7 ; 4 7 ; 0 = = 0 3 7 ; 4 7 ; 0 = (0; 0; 0) = = 0 3 7 ; 4 7 ; 0 + 0 13 p 147 ; 1 p 147 ; 0 + 0(0; 0; 1), a matriz que representa PV em relação à base B é dada por: 2 4 1 0 0 0 0 0 0 0 0 3 5 . 14. Consideremos em R3 o produto interno usual. Seja U = L (0; 1; 0); 4 5 ; 0; 3 5 . Tem-se U? = N 0 1 0 4=5 0 3=5 = N 0 1 0 4 0 3 = L (f(3; 0; 4)g) . Logo, PU? (1; 2; 3) = h(1; 2; 3); (3; 0; 4)i k(3; 0; 4)k2 (3; 0; 4) = 9 5 ; 0; 12 5 396
  • 397.
    e assim PU (1;2; 3) = (1; 2; 3) PU? (1; 2; 3) = (1; 2; 3) 9 5 ; 0; 12 5 = 4 5 ; 2; 3 5 . Deste modo, (1; 2; 3) = 4 5 ; 2; 3 5 + 9 5 ; 0; 12 5 , com 4 5 ; 2; 3 5 2 U e 9 5 ; 0; 12 5 2 U? . 15. Considere R4 com o produto interno usual. (i) Seja U = L (f(1; 0; 0; 0); (1; 1; 0; 1)g). Logo, U? = (x; y; z; w) 2 R4 : h(x; y; z; w); (1; 0; 0; 0)i = 0 e h(x; y; z; w); (1; 1; 0; 1)i = 0 . Tem-se então: 8 < : x = 0 x + y + w = 0 , 8 < : x = 0 y = w. Logo, U? = (0; w; z; w) 2 R4 : z; w 2 R = L (f(0; 1; 0; 1); (0; 0; 1; 0)g) . Como h(0; 1; 0; 1); (0; 0; 1; 0)i = 0 então o conjunto f(0; 1; 0; 1); (0; 0; 1; 0)g é uma base ortogonal de U? . (ii) Seja U = L (f(1; 0; 1; 1)g). Logo, U? = (x; y; z; w) 2 R4 : h(x; y; z; w); (1; 0; 1; 1)i = 0 . Tem-se então: x + z + w = 0 , x = z w. Logo, U? = ( z w; y; z; w) 2 R4 : y; z; w 2 R = L (f(0; 1; 0; 0); ( 1; 0; 1; 0); ( 1; 0; 0; 1)g) , pois ( z w; y; z; w) = y(0; 1; 0; 0) + z( 1; 0; 1; 0) + w( 1; 0; 0; 1). Como o conjunto f(0; 1; 0; 0); ( 1; 0; 1; 0); ( 1; 0; 0; 1)g é independente (basta colocar esses três vectores como linhas ou como colunas de uma matriz e aplicar de seguida o método de eliminação de Gauss obtendo-se uma matriz em escada de linhas) e gera U? então é uma base de U? . Como (0; 1; 0; 0) e ( 1; 0; 1; 0) são ortogonais, basta aplicar Gram-Schmidt a ( 1; 0; 0; 1): ( 1; 0; 0; 1) P(0;1;0;0)( 1; 0; 0; 1) P( 1;0;1;0)( 1; 0; 0; 1) = 397
  • 398.
    = ( 1;0; 0; 1) h( 1; 0; 0; 1); (0; 1; 0; 0)i k(0; 1; 0; 0)k2 (0; 1; 0; 0) h( 1; 0; 0; 1); ( 1; 0; 1; 0)i k( 1; 0; 1; 0)k2 ( 1; 0; 1; 0) = = ( 1; 0; 0; 1) 1 2 ( 1; 0; 1; 0) = 1 2 ; 0; 1 2 ; 1 . Logo, o conjunto (0; 1; 0; 0); ( 1; 0; 1; 0); 1 2 ; 0; 1 2 ; 1 é uma base ortogonal de U? . (iii) Seja U = f(x; y; z; w) 2 R4 : x + 2y + z + 2w = 0g. Logo, atendendo a que o pro- duto interno é o usual (de R4 ), Tem-se: U = (x; y; z; w) 2 R4 : h(x; y; z; w); (1; 2; 1; 2)i = 0 = (L (f(1; 2; 1; 2)g))? . Assim, U? = (L (f(1; 2; 1; 2)g))?? = L (f(1; 2; 1; 2)g) . Logo, o conjunto f(1; 2; 1; 2)g é uma base ortogonal de U? . (iv) Seja U = f(x; y; z; w) 2 R4 : x z = 0 e 2x y + 2z w = 0g. Logo, atendendo a que o produto interno é o usual (de R4 ), Tem-se: U = (x; y; z; w) 2 R4 : h(x; y; z; w); (1; 0; 1; 0)i = 0 e h(x; y; z; w); (2; 1; 2; 1)i = 0 = (L (f(1; 0; 1; 0); (2; 1; 2; 1)g))? . Assim, U? = (L (f(1; 0; 1; 0); (2; 1; 2; 1)g))?? = L (f(1; 0; 1; 0); (2; 1; 2; 1)g) . Como h(1; 0; 1; 0); (2; 1; 2; 1)i = 0 então o conjunto f(1; 0; 1; 0); (2; 1; 2; 1)g é uma base ortogonal de U? . 16. Considere R3 com o produto interno usual. Considere também o seguinte subespaço de R3 : U = L (f(1; 1; 1); (1; 0; 0)g) . (i) Aplicando o método de ortogonalização de Gram-Schmidt, sejam v1 = (1; 1; 1) e v2 = (1; 0; 0) proj(1;1;1)(1; 0; 0). 398
  • 399.
    Tem-se então: v2 =(1; 0; 0) proj(1;1;1)(1; 0; 0) = (1; 0; 0) h(1; 0; 0); (1; 1; 1)i k(1; 1; 1)k2 (1; 1; 1) = (1; 0; 0) 1 3 (1; 1; 1) = 2 3 ; 1 3 ; 1 3 . Logo, o conjunto (1; 1; 1); 2 3 ; 1 3 ; 1 3 é uma base ortogonal de U. (ii) Como o conjunto (1; 1; 1); 2 3 ; 1 3 ; 1 3 é uma base ortogonal de U, então k(1; 1; 1)k = p 3 e 2 3 ; 1 3 ; 1 3 = p 6 3 , então o conjunto ( (1; 1; 1) k(1; 1; 1)k ; 2 3 ; 1 3 ; 1 3 2 3 ; 1 3 ; 1 3 ) = ( p 3 3 ; p 3 3 ; p 3 3 ! ; p 6 3 ; p 6 6 ; p 6 6 !) é uma base ortonormada de U. Por outro lado, tem-se: U? = (x; y; z) 2 R3 : h(x; y; z); (1; 1; 1)i = 0 e h(x; y; z); (1; 0; 0)i = 0 = = N 1 1 1 1 0 0 = N 0 1 1 1 0 0 . Logo, 8 < : y + z = 0 x = 0 , 8 < : y = z x = 0. Assim, U? = (0; z; z) 2 R3 : z 2 R = L (f(0; 1; 1)g) . Como k(0; 1; 1)k = p 2, então o conjunto 0; 1 p 2 ; 1 p 2 = ( 0; p 2 2 ; p 2 2 !) é uma base ortonormada de U? . 399
  • 400.
    Deste modo, umavez que se tem R3 = U U? , então (3; 2; 1) = PU (3; 2; 1) + PU? (3; 2; 1) = = * (3; 2; 1); p 3 3 ; p 3 3 ; p 3 3 !+ p 3 3 ; p 3 3 ; p 3 3 ! + + * (3; 2; 1); p 6 3 ; p 6 6 ; p 6 6 !+ p 6 3 ; p 6 6 ; p 6 6 ! + + * (3; 2; 1); 0; p 2 2 ; p 2 2 !+ 0; p 2 2 ; p 2 2 ! = = 3; 3 2 ; 3 2 | {z } 2U + 0; 1 2 ; 1 2 | {z } 2U? . Isto é, (3; 2; 1) = 3; 3 2 ; 3 2 | {z } 2U + 0; 1 2 ; 1 2 | {z } 2U? . (iii) A distância entre o ponto (1; 0; 1) e o plano f(1; 1; 0)g + U é dada por: d((1; 0; 1); f(1; 1; 0)g+U) = kPU? ((1; 0; 1) (1; 1; 0))k = kPU? (0; 1; 1)k = (0; 1;1)2U? k(0; 1; 1)k = p 2. (iv) A distância entre o ponto (x; y; z) e o subespaço U é dada por: d((x; y; z); U) = kPU? ((x; y; z) (0; 0; 0))k = kPU? (x; y; z)k = * (x; y; z); 0; p 2 2 ; p 2 2 !+ 0; p 2 2 ; p 2 2 ! = j y + zj p 2 2 . 17. Considere R4 com o produto interno usual. Considere também o seguinte subespaço de R4 : U = (x; y; z; w) 2 R4 : x y + z = 0 e y z + w = 0 . (i) Tem-se então U = (y z; y; z; z y) 2 R4 : y; z 2 R = L(f(1; 1; 0; 1); ( 1; 0; 1; 1)g). 400
  • 401.
    Aplicando o métodode ortogonalização de Gram-Schmidt, sejam v1 = (1; 1; 0; 1) e v2 = ( 1; 0; 1; 1) proj(1;1;0; 1)( 1; 0; 1; 1). Tem-se então: v2 = ( 1; 0; 1; 1) proj(1;1;0; 1)( 1; 0; 1; 1) = ( 1; 0; 1; 1) h( 1; 0; 1; 1); (1; 1; 0; 1)i k(1; 1; 0; 1)k2 (1; 1; 0; 1) = ( 1; 0; 1; 1) + 2 3 (1; 1; 0; 1) = 1 3 ; 2 3 ; 1; 1 3 . Logo, o conjunto (1; 1; 0; 1); 1 3 ; 2 3 ; 1; 1 3 é uma base ortogonal de U. Como k(1; 1; 0; 1)k = p 3 e 1 3 ; 2 3 ; 1; 1 3 = p 15 3 , então o conjunto ( p 3 3 ; p 3 3 ; 0; p 3 3 ! ; p 15 15 ; 2 p 15 15 ; 3 p 15 15 ; p 15 15 !) é uma base ortonormada de U. (ii) Como U = (x; y; z; w) 2 R4 : x y + z = 0 e y z + w = 0 e atendendo ao produto interno usual de R4 , Tem-se: U = (x; y; z; w) 2 R4 : h(x; y; z; w); (1; 1; 1; 0)i = 0 e h(x; y; z; w); (0; 1; 1; 1)i = 0 = (L (f(1; 1; 1; 0) ; (0; 1; 1; 1)g))? . Logo, U? = (L (f(1; 1; 1; 0) ; (0; 1; 1; 1)g))?? = L (f(1; 1; 1; 0) ; (0; 1; 1; 1)g) . Aplicando o método de ortogonalização de Gram-Schmidt, sejam v1 = (1; 1; 1; 0) e v2 = (0; 1; 1; 1) proj(1; 1;1;0) (0; 1; 1; 1) . 401
  • 402.
    Tem-se então: v2 =(0; 1; 1; 1) proj(1; 1;1;0) (0; 1; 1; 1) = (0; 1; 1; 1) h(0; 1; 1; 1) ; (1; 1; 1; 0)i k(1; 1; 1; 0)k2 (1; 1; 1; 0) = (0; 1; 1; 1) + 2 3 (1; 1; 1; 0) = 2 3 ; 1 3 ; 1 3 ; 1 . Logo, o conjunto (1; 1; 1; 0) ; 2 3 ; 1 3 ; 1 3 ; 1 é uma base ortogonal de U? . Como k(1; 1; 1; 0)k = p 3 e 2 3 ; 1 3 ; 1 3 ; 1 = p 15 3 , então o conjunto ( p 3 3 ; p 3 3 ; p 3 3 ; 0 ! ; 2 p 15 15 ; p 15 15 ; p 15 15 ; p 15 5 !) é uma base ortonormada de U? . (iii) A projecção ortogonal PU de R4 sobre U é de…nida por: PU : R4 ! R4 (x; y; z; w) ! * (x; y; z; w); p 3 3 ; p 3 3 ; 0; p 3 3 !+ p 3 3 ; p 3 3 ; 0; p 3 3 ! + + * (x; y; z; w); p 15 15 ; 2 p 15 15 ; 3 p 15 15 ; p 15 15 !+ p 15 15 ; 2 p 15 15 ; 3 p 15 15 ; p 15 15 ! , uma vez que o conjunto ( p 3 3 ; p 3 3 ; 0; p 3 3 ! ; p 15 15 ; 2 p 15 15 ; 3 p 15 15 ; p 15 15 !) é uma base ortonormada de U. Logo, a projecção ortogonal de (0; 0; 1; 0) sobre U é dada por: PU (0; 0; 1; 0) = * (0; 0; 1; 0); p 3 3 ; p 3 3 ; 0; p 3 3 !+ p 3 3 ; p 3 3 ; 0; p 3 3 ! + + * (0; 0; 1; 0); p 15 15 ; 2 p 15 15 ; 3 p 15 15 ; p 15 15 !+ p 15 15 ; 2 p 15 15 ; 3 p 15 15 ; p 15 15 ! = 1 5 ; 2 5 ; 3 5 ; 1 5 : 402
  • 403.
    A projecção ortogonalPU? de R4 sobre U? é de…nida por: PU? : R4 ! R4 (x; y; z; w) ! * (x; y; z; w); p 3 3 ; p 3 3 ; p 3 3 ; 0 !+ p 3 3 ; p 3 3 ; p 3 3 ; 0 ! + + * (x; y; z; w); 2 p 15 15 ; p 15 15 ; p 15 15 ; p 15 5 !+ 2 p 15 15 ; p 15 15 ; p 15 15 ; p 15 5 ! , uma vez que o conjunto ( p 3 3 ; p 3 3 ; p 3 3 ; 0 ! ; 2 p 15 15 ; p 15 15 ; p 15 15 ; p 15 5 !) é uma base ortonormada de U? . Logo, a projecção ortogonal de (0; 0; 1; 0) sobre U? é dada por: PU? (0; 0; 1; 0) = * (0; 0; 1; 0); p 3 3 ; p 3 3 ; p 3 3 ; 0 !+ p 3 3 ; p 3 3 ; p 3 3 ; 0 ! + + * (0; 0; 1; 0); 2 p 15 15 ; p 15 15 ; p 15 15 ; p 15 5 !+ 2 p 15 15 ; p 15 15 ; p 15 15 ; p 15 5 ! = 1 3 ; 1 3 ; 1 3 ; 0 + 2 15 ; 1 15 ; 1 15 ; 1 5 = 1 5 ; 2 5 ; 2 5 ; 1 5 : Nota muito importante: Uma vez que se tem R4 = U U? , então para todo o (x; y; z; w) 2 R4 , (x; y; z; w) = PU (x; y; z; w) + PU? (x; y; z; w). Logo, uma vez calculado PU (0; 0; 1; 0) pela de…nição, como se fêz atrás, obtendo-se PU (0; 0; 1; 0) = 1 5 ; 2 5 ; 3 5 ; 1 5 , então não precisamos de efectuar o cálculo de PU? (0; 0; 1; 0) pela de…nição. Basta efectuar: PU? (0; 0; 1; 0) = (0; 0; 1; 0) PU (0; 0; 1; 0) = (0; 0; 1; 0) 1 5 ; 2 5 ; 3 5 ; 1 5 = 1 5 ; 2 5 ; 2 5 ; 1 5 . (iv) Seja B4 c = f(1; 0; 0; 0); (0; 1; 0; 0); (0; 0; 1; 0); (0; 0; 0; 1)g a base canónica de R4 . Tem- se: PU (1; 0; 0; 0) = * (1; 0; 0; 0); p 3 3 ; p 3 3 ; 0; p 3 3 !+ p 3 3 ; p 3 3 ; 0; p 3 3 ! + * (1; 0; 0; 0); p 15 15 ; 2 p 15 15 ; 3 p 15 15 ; p 15 15 !+ p 15 15 ; 2 p 15 15 ; 3 p 15 15 ; p 15 15 ! = 1 3 ; 1 3 ; 0; 1 3 + 1 15 ; 2 15 ; 3 15 ; 1 15 = 2 5 ; 1 5 ; 1 5 ; 2 5 . 403
  • 404.
    PU (0; 1;0; 0) = * (0; 1; 0; 0); p 3 3 ; p 3 3 ; 0; p 3 3 !+ p 3 3 ; p 3 3 ; 0; p 3 3 ! + * (0; 1; 0; 0); p 15 15 ; 2 p 15 15 ; 3 p 15 15 ; p 15 15 !+ p 15 15 ; 2 p 15 15 ; 3 p 15 15 ; p 15 15 ! = 1 3 ; 1 3 ; 0; 1 3 + 2 15 ; 4 15 ; 6 15 ; 2 15 = 1 5 ; 3 5 ; 2 5 ; 1 5 . PU (0; 0; 1; 0) = * (0; 0; 1; 0); p 3 3 ; p 3 3 ; 0; p 3 3 !+ p 3 3 ; p 3 3 ; 0; p 3 3 ! + * (0; 0; 1; 0); p 15 15 ; 2 p 15 15 ; 3 p 15 15 ; p 15 15 !+ p 15 15 ; 2 p 15 15 ; 3 p 15 15 ; p 15 15 ! = 1 5 ; 2 5 ; 3 5 ; 1 5 . PU (0; 0; 0; 1) = * (0; 0; 0; 1); p 3 3 ; p 3 3 ; 0; p 3 3 !+ p 3 3 ; p 3 3 ; 0; p 3 3 ! + * (0; 0; 0; 1); p 15 15 ; 2 p 15 15 ; 3 p 15 15 ; p 15 15 !+ p 15 15 ; 2 p 15 15 ; 3 p 15 15 ; p 15 15 ! = 1 3 ; 1 3 ; 0; 1 3 + 1 15 ; 2 15 ; 3 15 ; 1 15 = 2 5 ; 1 5 ; 1 5 ; 2 5 . Logo, a representação matricial de PU : R4 ! R4 em relação à base canónica de R4 , é dada por: M(PU ; B4 c ; B4 c ) = 2 6 6 4 2=5 1=5 1=5 2=5 1=5 3=5 2=5 1=5 1=5 2=5 3=5 1=5 2=5 1=5 1=5 2=5 3 7 7 5 . Tem-se: PU? (1; 0; 0; 0) = * (1; 0; 0; 0); p 3 3 ; p 3 3 ; p 3 3 ; 0 !+ p 3 3 ; p 3 3 ; p 3 3 ; 0 ! + * (1; 0; 0; 0); 2 p 15 15 ; p 15 15 ; p 15 15 ; p 15 5 !+ 2 p 15 15 ; p 15 15 ; p 15 15 ; p 15 5 ! = 1 3 ; 1 3 ; 1 3 ; 0 + 4 15 ; 2 15 ; 2 15 ; 2 5 = 3 5 ; 1 5 ; 1 5 ; 2 5 . PU? (0; 1; 0; 0) = * (0; 1; 0; 0); p 3 3 ; p 3 3 ; p 3 3 ; 0 !+ p 3 3 ; p 3 3 ; p 3 3 ; 0 ! + * (0; 1; 0; 0); 2 p 15 15 ; p 15 15 ; p 15 15 ; p 15 5 !+ 2 p 15 15 ; p 15 15 ; p 15 15 ; p 15 5 ! = 1 3 ; 1 3 ; 1 3 ; 0 + 2 15 ; 1 15 ; 1 15 ; 1 5 = 1 5 ; 2 5 ; 2 5 ; 1 5 . 404
  • 405.
    PU? (0; 0;1; 0) = * (0; 0; 1; 0); p 3 3 ; p 3 3 ; p 3 3 ; 0 !+ p 3 3 ; p 3 3 ; p 3 3 ; 0 ! + * (0; 0; 1; 0); 2 p 15 15 ; p 15 15 ; p 15 15 ; p 15 5 !+ 2 p 15 15 ; p 15 15 ; p 15 15 ; p 15 5 ! = 1 3 ; 1 3 ; 1 3 ; 0 + 2 15 ; 1 15 ; 1 15 ; 1 5 = 1 5 ; 2 5 ; 2 5 ; 1 5 . PU? (0; 0; 0; 1) = * (0; 0; 0; 1); p 3 3 ; p 3 3 ; p 3 3 ; 0 !+ p 3 3 ; p 3 3 ; p 3 3 ; 0 ! + * (0; 0; 0; 1); 2 p 15 15 ; p 15 15 ; p 15 15 ; p 15 5 !+ 2 p 15 15 ; p 15 15 ; p 15 15 ; p 15 5 ! = 2 5 ; 1 5 ; 1 5 ; 3 5 . Logo, a representação matricial de PU? : R4 ! R4 em relação à base canónica de R4 , é dada por: M(PU? ; B4 c ; B4 c ) = 2 6 6 4 3=5 1=5 1=5 2=5 1=5 2=5 2=5 1=5 1=5 2=5 2=5 1=5 2=5 1=5 1=5 3=5 3 7 7 5 . (v) Escolhendo um ponto de U, por exemplo (0; 0; 0; 0), a distância entre (0; 0; 1; 0) e U é dada por: d((0; 0; 1; 0); U) = kPU? ((0; 0; 1; 0) (0; 0; 0; 0))k = kPU? (0; 0; 1; 0)k = = * (0; 0; 1; 0); p 3 3 ; p 3 3 ; p 3 3 ; 0 !+ p 3 3 ; p 3 3 ; p 3 3 ; 0 ! + + * (0; 0; 1; 0); 2 p 15 15 ; p 15 15 ; p 15 15 ; p 15 5 !+ 2 p 15 15 ; p 15 15 ; p 15 15 ; p 15 5 ! = 1 3 ; 1 3 ; 1 3 ; 0 + 2 15 ; 1 15 ; 1 15 ; 1 5 = 1 5 ; 2 5 ; 2 5 ; 1 5 = p 10 5 . (vi) A distância entre (x; y; z; w) e U é dada por: d((x; y; z; w); U) = kPU? ((x; y; z; w) (0; 0; 0; 0))k = kPU? (x; y; z; w)k = = * (x; y; z; w); p 3 3 ; p 3 3 ; p 3 3 ; 0 !+ p 3 3 ; p 3 3 ; p 3 3 ; 0 ! + + * (x; y; z; w); 2 p 15 15 ; p 15 15 ; p 15 15 ; p 15 5 !+ 2 p 15 15 ; p 15 15 ; p 15 15 ; p 15 5 ! = 405
  • 406.
    = x p 3 3 y p 3 3 + z p 3 3 !p 3 3 ; p 3 3 ; p 3 3 ; 0 ! + + x 2 p 15 15 + y p 15 15 z p 15 15 + w p 15 5 ! 2 p 15 15 ; p 15 15 ; p 15 15 ; p 15 5 ! = = 2 5 w + 3 5 x 1 5 y + 1 5 z; 1 5 w 1 5 x + 2 5 y 2 5 z; 1 5 x 1 5 w 2 5 y + 2 5 z; 3 5 w + 2 5 x + 1 5 y 1 5 z = = 1 5 q (2w + 3x y + z)2 + (w x + 2y 2z)2 + (x w 2y + 2z)2 + (3w + 2x + y z)2 . 18. Em P2: hp(t); q(t)i = p( 1)q( 1) + p(0)q(0) + p(1)q(1). Considere também o seguinte subespaço de P2: U = fp(t) 2 P2 : p(0) = 0g . (i) Em P2, para p(t) = a0 + a1t + a2t2 e q(t) = b0 + b1t + b2t2 tem-se hp(t); q(t)i = p( 1)q( 1) + p(0)q(0) + p(1)q(1) = = (a0 a1 + a2) (b0 b1 + b2) + a0b0 + (a0 + a1 + a2) (b0 + b1 + b2) = = 3a0b0 + 2a0b2 + 2a1b1 + 2a2b0 + 2a2b2 = = a0 a1 a1 2 4 3 0 2 0 2 0 2 0 2 3 5 2 4 b0 b1 b1 3 5 . Assim, relativamente à base canónica ordenada f1; t; t2 g de P2: hp(t); q(t)i = a0 a1 a1 2 4 3 0 2 0 2 0 2 0 2 3 5 2 4 b0 b1 b1 3 5 onde 2 4 3 0 2 0 2 0 2 0 2 3 5 = 2 4 h1; 1i h1; ti h1; t2 i ht; 1i ht; ti ht; t2 i ht2 ; 1i ht2 ; ti ht2 ; t2 i 3 5 Como 2 4 3 0 2 0 2 0 2 0 2 3 5 é simétrica e os seus valores próprios (1 2 p 17+ 5 2 ; 5 2 1 2 p 17 e 2) são todos positivos, logo, a aplicação h; i de…ne um produto interno em P2. (ii) Tem-se: U = a1t + a2t2 : a1; a2 2 R = L(ft; t2 g). 406
  • 407.
    Aplicando o métodode ortogonalização de Gram-Schmidt, sejam p1(t) = t e p2(t) = t2 ht2 ; ti ktk2 t. Logo, p2(t) = t2 ( 1)2 ( 1) + 02 0 + 12 1 ( 1):( 1) + 0:0 + 1:1 t = t2 . Logo, o conjunto ft; t2 g é uma base ortogonal de U. Assim, o conjunto t ktk ; t2 kt2k = t p 2 ; t2 p 2 = (p 2 2 t; p 2 2 t2 ) é uma base ortonormada de U. (iii) Tem-se: U? = p(t) 2 P2 : hp(t); ti = 0 e p(t); t2 = 0 . Logo, 8 < : (a0 a1 + a2)( 1)2 + a00 + a0 + a1 + a2 = 0 (a0 a1 + a2)( 1) + a00 + a0 + a1 + a2 = 0 , 8 < : a0 = a2 a1 = 0. Logo, U? = a2 + a2t2 : a2 2 R = L(f 1 + t2 g). Como k 1 + t2 k = 1 então f 1 + t2 g é uma base ortonormada de U? . Observação. Note que P2 = U U? , tendo-se, neste caso, dim U = 2 e dim U? = 1. (iv) A projecção ortogonal PU de P2 sobre U é de…nida por: PU : P2 ! P2 p(t) ! * p(t); p 2 2 t + p 2 2 t + * p(t); p 2 2 t2 + p 2 2 t2 , uma vez que o conjunto (p 2 2 t; p 2 2 t2 ) é uma base ortonormada de U. Logo, a projecção ortogonal de 1 + t sobre U é dada por: PU (1 + t) = * 1 + t; p 2 2 t + p 2 2 t + * 1 + t; p 2 2 t2 + p 2 2 t2 = t + t2 A projecção ortogonal PU? de R3 sobre U? é de…nida por: PU? : P2 ! P2 p(t) ! p(t); 1 + t2 ( 1 + t2 ), 407
  • 408.
    uma vez queo conjunto f 1 + t2 g é uma base ortonormada de U? . Logo, a projecção ortogonal de 1 + t sobre U? é dada por: PU? (1 + t) = 1 + t; 1 + t2 ( 1 + t2 ) = 1 t2 Nota muito importante: Uma vez que se tem P2 = U U? , então para todo o p(t) 2 P2, p(t) = PU (p(t)) + PU? (p(t)). Logo, uma vez calculado PU? (1+t) pela de…nição, como se fêz atrás, obtendo-se PU? (1+t) = 1 t2 , então não precisamos de efectuar o cálculo de PU (1+t) pela de…nição. Basta efectuar: PU (1 + t) = 1 + t PU? (1 + t) = t + t2 . (v) Seja B = f1; t; t2 g a base canónica de P2. Atendendo à alínea (iii), tem-se PU (1) = * 1; p 2 2 t + p 2 2 t + * 1; p 2 2 t2 + p 2 2 t2 = t2 PU (t) = * t; p 2 2 t + p 2 2 t + * t; p 2 2 t2 + p 2 2 t2 = t PU (t2 ) = * t2 ; p 2 2 t + p 2 2 t + * t2 ; p 2 2 t2 + p 2 2 t2 = t2 PU? (1) = 1; 1 + t2 1 + t2 = 1 t2 PU? (t) = t; 1 + t2 1 + t2 = 0 PU? (t2 ) = t2 ; 1 + t2 1 + t2 = 0 e assim M(PU ; B; B) = 2 4 0 0 0 0 1 0 1 0 1 3 5 e M(PU? ; B; B) = 2 4 1 0 0 0 0 0 1 0 0 3 5 . Note que I = PU + PU? . (vi) Escolhendo um ponto de U, por exemplo t, a distância entre 1 + t e U é dada por: d(1 + t; U) = kPU? (1 + t t)k = kPU? (1)k = 1; 1 + t2 ( 1 + t2 ) = 1. 408
  • 409.
    (vii) Escolhendo umponto de U, por exemplo o polinómio nulo 0, a distância entre a0 + a1t + a2t2 e U, com a0; a1; a2 2 R, é dada por: d(a0 + a1t + a2t2 ; U) = PU? (a0 + a1t + a2t2 ) = = a0 + a1t + a2t2 ; 1 + t2 ( 1 + t2 ) = ja0j 1 t2 = ja0j . 19. Considere no espaço linear M2 2(R) o produto interno de…nido da seguinte forma: hA; Bi = tr(ABT ). Considere também o subespaço U de M2 2(R) constituído por todas as matrizes simétricas reais do tipo 2 2: U = a b c d 2 M2 2(R) : b = c . (i) Sejam x; y 2 R e A; A0 ; B 2 M2 2(R). Tem-se hxA + yA0 ; Bi = tr((xA + yA0 ) BT ) = tr(xABT + yA0 BT ) = tr é linear = xtr(ABT ) + ytr(A0 BT ) = x hA; Bi + y hA0 ; Bi hA; Bi = tr(ABT ) = tr( AT T BT ) = tr( BAT T ) = tr(BAT ) = hB; Ai hA; Ai = tr(AAT ) = tr a b c d a b c d T ! = a2 + b2 + c2 + d2 0 para todo o a b c d 2 M2 2(R) e a b c d ; a b c d = 0 , a = b = c = d = 0 , a b c d = 0 0 0 0 . Logo, a aplicação h; i de…ne um produto interno em M2 2(R). (ii) Tem-se: U = a b b d : a; b; d 2 R = = L 1 0 0 0 ; 0 1 1 0 ; 0 0 0 1 pois a b b d = a 1 0 0 0 + b 0 1 1 0 + d 0 0 0 1 . O conjunto 1 0 0 0 ; 0 1 1 0 ; 0 0 0 1 é uma base de U, uma vez que gera U, e é linearmente independente pois se tivermos: 1 1 0 0 0 + 2 0 1 1 0 + 3 0 0 0 1 = 0 0 0 0 409
  • 410.
    então 1 2 2 3 = 00 0 0 : Logo, 1 = 2 = 3 e como tal, o conjunto 1 0 0 0 ; 0 1 1 0 ; 0 0 0 1 é linearmente independente. Vamos aplicar agora a este conjunto o método de ortogonalização de Gram- Schmidt. Sejam A1 = 1 0 0 0 , A2 = 0 1 1 0 projA1 0 1 1 0 , A3 = 0 0 0 1 projA1 0 0 0 1 projA2 0 0 0 1 . Logo, A2 = 0 1 1 0 projA1 0 1 1 0 = = 0 1 1 0 0 1 1 0 ; A1 A1 kA1k2 = = 0 1 1 0 tr 0 1 1 0 AT 1 A1 kA1k2 = = 0 1 1 0 tr 0 0 1 0 A1 kA1k2 = = 0 1 1 0 0A1 kA1k2 = 0 1 1 0 . e A3 = 0 0 0 1 projA1 0 0 0 1 projA2 0 0 0 1 = = 0 0 0 1 0 0 0 1 ; A1 A1 kA1k2 0 0 0 1 ; A2 A2 kA2k2 = = 0 0 0 1 tr 0 0 0 1 AT 1 A1 kA1k2 tr 0 0 0 1 AT 2 A2 kA2k2 = = 0 0 0 1 tr 0 0 0 0 A1 kA1k2 tr 0 0 1 0 A2 kA2k2 = = 0 0 0 1 0A1 kA1k2 0A2 kA2k2 = 0 0 0 1 . 410
  • 411.
    Logo, o conjunto 10 0 0 ; 0 1 1 0 ; 0 0 0 1 é uma base ortogonal de U. Como: kA1k = p hA1; A1i = q tr (A1AT 1 ) = s tr 1 0 0 0 = 1, kA2k = p hA2; A2i = q tr (A2AT 2 ) = s tr 1 0 0 1 = p 2, kA3k = p hA3; A3i = q tr (A3AT 3 ) = s tr 0 0 0 1 = 1, então o conjunto 1 0 0 0 ; 1 p 2 0 1 1 0 ; 0 0 0 1 = ( 1 0 0 0 ; " 0 p 2 2p 2 2 0 # ; 0 0 0 1 ) é uma base ortonormada de U. (iii) Tem-se U? = a b c d 2 M2 2(R) : a b c d ; 1 0 0 0 = 0 e a b c d ; 0 1 1 0 = 0 e a b c d ; 0 0 0 1 = 0 . Logo, 8 >>>>< >>>>: a = 0 b + c = 0 d = 0. Ou seja, U? = 0 b b 0 : b 2 R = L 0 1 1 0 . Como 0 1 1 0 = s 0 1 1 0 ; 0 1 1 0 = v u u ttr 0 1 1 0 0 1 1 0 T ! = s tr 0 1 1 0 0 1 1 0 = s tr 1 0 0 1 = p 2, 411
  • 412.
    então o conjunto(" 0 p 2 2p 2 2 0 #) é uma base ortonormada de U? . (iv) Seja B = 1 0 0 0 ; 0 1 0 0 ; 0 0 1 0 ; 0 0 0 1 a base canónica de M2 2(R). Atendendo à alínea (iii), tem-se PU 1 0 0 0 = 1 0 0 0 ; 1 0 0 0 1 0 0 0 + + * 1 0 0 0 ; " 0 p 2 2p 2 2 0 #+ " 0 p 2 2p 2 2 0 # + + 1 0 0 0 ; 0 0 0 1 0 0 0 1 = 1 0 0 0 PU 0 1 0 0 = 0 1 0 0 ; 1 0 0 0 1 0 0 0 + + * 0 1 0 0 ; " 0 p 2 2p 2 2 0 #+ " 0 p 2 2p 2 2 0 # + + 0 1 0 0 ; 0 0 0 1 0 0 0 1 = 0 1 2 1 2 0 PU 0 0 1 0 = 0 0 1 0 ; 1 0 0 0 1 0 0 0 + + * 0 0 1 0 ; " 0 p 2 2p 2 2 0 #+ " 0 p 2 2p 2 2 0 # + + 0 0 1 0 ; 0 0 0 1 0 0 0 1 = 0 1 2 1 2 0 PU 0 0 0 1 = 0 0 0 1 ; 1 0 0 0 1 0 0 0 + + * 0 0 0 1 ; " 0 p 2 2p 2 2 0 #+ " 0 p 2 2p 2 2 0 # + + 0 0 0 1 ; 0 0 0 1 0 0 0 1 = 0 0 0 1 PU? 1 0 0 0 = * 1 0 0 0 ; " 0 p 2 2p 2 2 0 #+ " 0 p 2 2p 2 2 0 # = 0 0 0 0 PU? 0 1 0 0 = * 0 1 0 0 ; " 0 p 2 2p 2 2 0 #+ " 0 p 2 2p 2 2 0 # = 0 1 2 1 2 0 412
  • 413.
    PU? 0 0 1 0 = * 00 1 0 ; " 0 p 2 2p 2 2 0 #+ " 0 p 2 2p 2 2 0 # = 0 1 2 1 2 0 PU? 0 0 0 1 = * 0 0 0 1 ; " 0 p 2 2p 2 2 0 #+ " 0 p 2 2p 2 2 0 # = 0 0 0 0 e assim M(PU ; B; B) = 2 6 6 4 1 0 0 0 0 1 2 1 2 0 0 1 2 1 2 0 0 0 0 1 3 7 7 5 e M(PU? ; B; B) = 2 6 6 4 0 0 0 0 0 1 2 1 2 0 0 1 2 1 2 0 0 0 0 0 3 7 7 5 . Note que I = PU + PU? . (v) A projecção ortogonal da matriz 1 1 0 1 sobre U? é dada por: PU? 1 1 0 1 = proj2 6 4 0 p 2 2p 2 2 0 3 7 5 1 1 0 1 = = * 1 1 0 1 ; " 0 p 2 2p 2 2 0 #+ " 0 p 2 2p 2 2 0 # = = tr 0 @ 1 1 0 1 " 0 p 2 2p 2 2 0 #T 1 A " 0 p 2 2p 2 2 0 # = = tr 1 1 0 1 " 0 p 2 2p 2 2 0 #! " 0 p 2 2p 2 2 0 # = = tr " p 2 2 p 2 2p 2 2 0 #! " 0 p 2 2p 2 2 0 # = = p 2 2 " 0 p 2 2p 2 2 0 # = 0 1 2 1 2 0 . Como se tem: M2 2(R) = U U? , então para todo a b c d 2 M2 2(R), a b c d = PU a b c d + PU? a b c d . 413
  • 414.
    Logo, PU 1 1 0 1 = 11 0 1 PU? 1 1 0 1 = = 1 1 0 1 0 1 2 1 2 0 = = 1 1 2 1 2 1 . (vi) A matriz simétrica mais próxima da matriz 1 1 0 1 é a matriz PU 1 1 0 1 = 1 1 2 1 2 1 . (vii) A distância entre 1 1 0 1 e U é dada por: d 1 1 0 1 ; U = PU? 1 1 0 1 = 0 1 2 1 2 0 = = s 0 1 2 1 2 0 ; 0 1 2 1 2 0 = = s tr 0 1 2 1 2 0 0 1 2 1 2 0 = = s tr 1 4 0 0 1 4 = p 2 2 . 414
  • 415.
    (viii) A distânciaentre a b c d e U é dada por: d a b c d ; U = PU? a b c d = = proj2 6 4 0 p 2 2p 2 2 0 3 7 5 a b c d = = * a b c d ; " 0 p 2 2p 2 2 0 #+ " 0 p 2 2p 2 2 0 # = = * a b c d ; " 0 p 2 2p 2 2 0 #+ = = tr a b c d " 0 p 2 2p 2 2 0 #! = = tr 1 2 p 2b 1 2 p 2a 1 2 p 2d 1 2 p 2c = p 2 2 jb cj . 415
  • 416.
    Resolução da 4a Fichade exercícios facultativos 1. Seja V um espaço euclidiano real. As alíneas (i), (ii), (iii) e (iv) são consequência da de…nição de produto interno. Sejam u; v; w 2 V; 2 R. (v) Atendendo à condição de linearidade do produto interno: hu + w; v + wi = hu; vi + hu; wi + hw; vi + hw; wi = = hu; vi + hu; wi + hw; vi + kwk2 . (vi) Atendendo à condição de linearidade do produto interno: hu; 0i = hu; 0vi = 0 hu; vi = 0 e h0; ui = h0v; ui = 0 hv; ui = 0. (vii) Se hu; vi = 0 então ku + vk2 = hu + v; u + vi = kuk2 + 2 hu; vi + kvk2 = = kuk2 + kvk2 = = kuk2 2 hu; vi + kvk2 = = hu v; u vi = = ku vk2 , isto é, ku + vk = ku vk. Se ku + vk = ku vk então ku + vk2 = ku vk2 e esta última equação é equivalente à equação kuk2 + 2 hu; vi + kvk2 = kuk2 2 hu; vi + kvk2 , isto é, hu; vi = 0. (viii) Atendendo a que ku + vk2 = hu + v; u + vi = kuk2 + 2 hu; vi + kvk2 , então tem-se ku + vk2 = kuk2 + kvk2 se e só se hu; vi = 0. (ix) Seja c 2 R. Se hu; vi = 0 então ku + cvk2 = hu + cv; u + cvi = kuk2 + 2c hu; vi + c2 kvk2 = = kuk2 + c2 kvk2 kuk2 , para todo o real c, isto é, ku + cvk kuk para todo o real c. Se ku + cvk kuk para todo o real c, então kvk2 c2 + 2 hu; vi c 0, para todo o real c, se e só se hu; vi = 0 (fórmula resolvente). 416
  • 417.
    (x) Se hu+ v; u vi = 0 então 0 = hu + v; u vi = kuk2 kvk2 . Logo, kuk = kvk. Se kuk = kvk então 0 = kuk2 kvk2 = hu + v; u vi . Logo, hu + v; u vi = 0. (xi) ku vk2 + ku + vk2 = hu v; u vi + hu + v; u + vi = = kuk2 2 hu; vi + kvk2 + kuk2 + 2 hu; vi + kvk2 = = 2 kuk2 + 2 kvk2 . 2. Seja V um espaço euclidiano real. (i) Seja u 2 V . Se hu; vi = 0 para qualquer v 2 V então, em particular para v = u, tem-se hu; ui = 0. Logo, u = 0. (ii) Sejam u; v 2 V . Se u = v então hu; wi = hv; wi , para qualquer w 2 V . Se hu; wi = hv; wi para qualquer w 2 V , então hu v; wi = 0, para qualquer w 2 V . Logo, atendendo à alínea anterior, tem-se u = v. 3. Seja V um espaço euclidiano com dim V = n. Seja S = fu1; :::; ung uma base orto- normada de V . Seja T : V ! V uma transformação linear. A matriz A = (aij) que representa T em relação à base S é dada por A = (aij) = (hT(uj); uii) , uma vez que, para j = 1; :::; n, T(uj) = hT(uj); u1i u1 + ::: + hT(uj); uni un. 4. Seja V um espaço euclidiano de dimensão n. Seja fu1; :::; ukg um conjunto linearmente independente de k vectores de V . Considere a transformação linear T : V ! V de…nida por T(v) = kX i=1 hv; uii ui, com v 2 V . 417
  • 418.
    Mostre que Té invertível se e só se k = n. Dem. Atendendo a que T é invertível se e só se N(T) = f0g, bastará ver que N(T) = f0g se e só se k = n. Se N(T) = f0g então teremos k = n, caso contrário, isto é, caso k < n ter-se-ia (L (fu1; :::; ukg))? 6= f0g : Assim, para v 2 (L (fu1; :::; ukg))? , com v 6= 0, teríamos T(v) = 0, ou seja N(T) 6= f0g. O que não pode ser pois suposemos N(T) = f0g. Logo, se N(T) = f0g então tem-se k = n. Suponhamos agora que se tem k = n. Nesse caso, o conjunto fu1; :::; ung é uma base de V . Queremos ver que se tem N(T) = f0g. Seja v 2 V tal que T(v) = 0. Logo, nX i=1 hv; uii ui = 0. Assim, atendendo a que o conjunto fu1; :::; ung é linearmente independente, tem-se hv; uii = 0, para todo o i = 1; :::; n. Finalmente, como o conjunto fu1; :::; ung gera V , tem-se hv; ui = 0, para qualquer u 2 V . Logo v = 0 e assim N(T) = f0g. 5. Seja V um espaço euclidiano real. Seja T : V ! V uma transformação linear tal que kT (w)k = kwk para qualquer w 2 V . Mostre que hT(u); T(v)i = hu; vi , para quaisquer u; v 2 V . Dem. Sejam u; v 2 V . Tem-se hu; vi = 1 2 ku + vk2 kuk2 kvk2 = 1 2 kT (u + v)k2 kT (u)k2 kT (v)k2 = = 1 2 kT (u) + T (v)k2 kT (u)k2 kT (v)k2 = hT(u); T(v)i . 6. Seja U uma matriz unitária. Isto é: UH = U 1 . Seja um valor próprio de U e v um vector próprio associado: Uv = v. Logo vH UH = (Uv)H = ( v)H = vH e assim vH UH Uv = vH Uv , vH UH U v = vH (Uv) , , vH Iv = vH v , vH v = vH v j j2 , 1 j j2 kvk2 = 0 , v6=0 j j = 1. 418
  • 419.
    Resolução da 7a Fichade exercícios para as aulas de problemas 1. A = 2 4 2 0 1 0 1 0 1 0 2 3 5. det(A I) = det 0 @ 2 4 2 0 1 0 1 0 1 0 2 3 5 1 A = ( 3) ( 1)2 : Tem-se dim N (A 3I) = mg (3) = A é simétrica ma (3) = 1 dim N (A 1I) = mg (1) = A é simétrica ma (1) = 2. 2. A = 2 4 3 1 2 1 3 2 2 2 0 3 5. Como A é simétrica então é ortogonalmente diagonalizável, isto é, existem uma matriz ortogonal PT (PT P = PPT = I; isto é, PT = P 1 ) e uma matriz diagonal D tais que D = PAPT . Como det(A I) = 3 1 2 1 3 2 2 2 = ( 2) ( + 4)2 , os valores próprios de A são 2 e 4 e tem-se N (A 2I) = L 1 2 ; 1 2 ; 1 N (A + 4I) = L (f(1; 1; 0) ; (2; 0; 1)g) . Note-se que os vectores de N (A 2I) são ortogonais aos vectores de N (A + 4I). Para determinar uma base ortonormada de R3 formada só com vectores próprios de A basta aplicar o método de Gram-Schmidt ao conjunto 1 2 ; 1 2 ; 1 ; (2; 0; 1) ; (1; 1; 0) . Como, relativamente ao produto interno usual em R3 , 1 2 ; 1 2 ; 1 ; (2; 0; 1) = 0 basta substituir (1; 1; 0) pelo vector: (1; 1; 0) proj( 1 2 ; 1 2 ;1) (1; 1; 0) proj(2;0;1) (1; 1; 0) = (1; 1; 0) (1; 1; 0) ; 1 2 ; 1 2 ; 1 1 2 ; 1 2 ; 1 ; 1 2 ; 1 2 ; 1 1 2 ; 1 2 ; 1 h(1; 1; 0) ; (2; 0; 1)i h(2; 0; 1) ; (2; 0; 1)i (2; 0; 1) = 419
  • 420.
    = (1; 1;0) 0 3 2 1 2 ; 1 2 ; 1 2 5 (2; 0; 1) = 1 5 ; 1; 2 5 . Base ortonormada de R3 formada só com vectores próprios de A: ( 1 1 2 ; 1 2 ; 1 1 2 ; 1 2 ; 1 ; 1 k(2; 0; 1)k (2; 0; 1) ; 1 1 5 ; 1; 2 5 1 5 ; 1; 2 5 ) = = ( p 6 6 ; p 6 6 ; p 6 3 ! ; 2 p 5 5 ; 0; p 5 5 ! ; p 30 30 ; p 30 6 ; p 30 15 !) . Logo PT = SBvp!Bc = 2 6 4 p 6 6 2 p 5 5 p 30 30p 6 6 0 p 30 6p 6 3 p 5 5 p 30 15 3 7 5 e D = 2 4 2 0 0 0 4 0 0 0 4 3 5 = 2 4 1 6 p 6 1 6 p 6 1 3 p 6 2 5 p 5 0 1 5 p 5 1 30 p 30 1 6 p 30 1 15 p 30 3 5 | {z } =P 2 4 3 1 2 1 3 2 2 2 0 3 5 2 6 4 p 6 6 2 p 5 5 p 30 30p 6 6 0 p 30 6p 6 3 p 5 5 p 30 15 3 7 5 | {z } =PT 3. A = 2 4 3 1 0 1 2 1 0 1 3 3 5. Como det(A I) = 3 1 0 1 2 1 0 1 3 = ( 1) ( 3) ( 4) , os valores próprios de A são 1; 3 e 4. Como A é simétrica (A = AT ) e de…nida positiva uma vez que os valores próprios de A são todos positivos, então existe B simétrica e de…nidas positiva tal que A = B2 . De facto, como A é ortogonalmente diagonalizável (por ser simétrica) tem-se A = PT DP = PT (D0 ) 2 P = PT D0 P PT D0 P = BB = B2 com D = 2 4 1 0 0 0 3 0 0 0 4 3 5 Note-se que sendo os 3 valores próprios distintos, os correspondentes espaços próprios são ortogonais entre si. Base ordenada ortonormada de R3 formada só com vectores próprios de A: 1 k(1; 2; 1)k (1; 2; 1) ; 1 k( 1; 0; 1)k ( 1; 0; 1) ; 1 k(1; 1; 1)k (1; 1; 1) = = ( p 6 6 ; p 6 3 ; p 6 6 ! ; p 2 2 ; 0; p 2 2 ! ; p 3 3 ; p 3 3 ; p 3 3 !) . 420
  • 421.
    Logo PT = SBvp!Bc = 2 6 4 p 6 6 p 2 2 p 3 3p 6 3 0 p 3 3p 6 6 p 2 2 p 3 3 3 7 5. Assim pode ter-se por exemplo D0 = 2 4 1 0 0 0 p 3 0 0 0 2 3 5 ou D0 = 2 4 1 0 0 0 p 3 0 0 0 2 3 5 ou D0 = 2 4 1 0 0 0 p 3 0 0 0 2 3 5 e nesse caso tem-se as 3 raízes quadradas seguintes: B = 2 6 4 p 6 6 p 2 2 p 3 3p 6 3 0 p 3 3p 6 6 p 2 2 p 3 3 3 7 5 2 4 1 0 0 0 p 3 0 0 0 2 3 5 2 6 4 p 6 6 p 2 2 p 3 3p 6 3 0 p 3 3p 6 6 p 2 2 p 3 3 3 7 5 T = 2 4 1 2 p 3 + 5 6 1 3 5 6 1 2 p 3 1 3 4 3 1 3 5 6 1 2 p 3 1 3 1 2 p 3 + 5 6 3 5 ou B = 2 6 4 p 6 6 p 2 2 p 3 3p 6 3 0 p 3 3p 6 6 p 2 2 p 3 3 3 7 5 2 4 1 0 0 0 p 3 0 0 0 2 3 5 2 6 4 p 6 6 p 2 2 p 3 3p 6 3 0 p 3 3p 6 6 p 2 2 p 3 3 3 7 5 T = 2 4 1 2 p 3 + 1 2 1 1 2 1 2 p 3 1 0 1 1 2 1 2 p 3 1 1 2 p 3 + 1 2 3 5 ou B = 2 6 4 p 6 6 p 2 2 p 3 3p 6 3 0 p 3 3p 6 6 p 2 2 p 3 3 3 7 5 2 4 1 0 0 0 p 3 0 0 0 2 3 5 2 6 4 p 6 6 p 2 2 p 3 3p 6 3 0 p 3 3p 6 6 p 2 2 p 3 3 3 7 5 T = 2 4 5 6 1 2 p 3 1 3 1 2 p 3 + 5 6 1 3 4 3 1 3 1 2 p 3 + 5 6 1 3 5 6 1 2 p 3 3 5 . De facto: 2 4 1 2 p 3 + 5 6 1 3 5 6 1 2 p 3 1 3 4 3 1 3 5 6 1 2 p 3 1 3 1 2 p 3 + 5 6 3 5 2 = 2 4 1 2 p 3 + 1 2 1 1 2 1 2 p 3 1 0 1 1 2 1 2 p 3 1 1 2 p 3 + 1 2 3 5 2 = 2 4 5 6 1 2 p 3 1 3 1 2 p 3 + 5 6 1 3 4 3 1 3 1 2 p 3 + 5 6 1 3 5 6 1 2 p 3 3 5 2 = = 2 4 3 1 0 1 2 1 0 1 3 3 5 . 4. Q : R3 ! R Q (x1; x2; x3) = 3x2 1 2x1x2 + 2x2 2 2x2x3 + 3x2 3 = = x1 x2 x3 2 4 3 1 0 1 2 1 0 1 3 3 5 2 4 x1 x2 x3 3 5 = = 3) x1 x2 x3 2 6 4 p 6 6 p 2 2 p 3 3p 6 3 0 p 3 3p 6 6 p 2 2 p 3 3 3 7 5 2 4 1 0 0 0 3 0 0 0 4 3 5 2 6 4 p 6 6 p 2 2 p 3 3p 6 3 0 p 3 3p 6 6 p 2 2 p 3 3 3 7 5 T 2 4 x1 x2 x3 3 5 = 421
  • 422.
    = 0 B @ 2 6 4 p 6 6 p 2 2 p 3 3p 6 3 0 p 3 3p 6 6 p 2 2 p 3 3 3 7 5 T 2 4 x1 x2 x3 3 5 1 C A T 2 4 10 0 0 3 0 0 0 4 3 5 2 6 4 p 6 6 p 2 2 p 3 3p 6 3 0 p 3 3p 6 6 p 2 2 p 3 3 3 7 5 T 2 4 x1 x2 x3 3 5 = = y1 y2 y3 2 4 1 0 0 0 3 0 0 0 4 3 5 2 4 y1 y2 y3 3 5 fazendo a mudança de variável 2 6 4 p 6 6 p 2 2 p 3 3p 6 3 0 p 3 3p 6 6 p 2 2 p 3 3 3 7 5 T 2 4 x1 x2 x3 3 5 = 2 4 y1 y2 y3 3 5 . Tem-se então a forma quadrática diagonal: Q0 (y1; y2; y3) = y2 1 + 3y2 2 + 4y2 3. 5. A = 2 1 + i 1 i 3 . (i) AAH = 2 1 + i 1 i 3 2 1 + i 1 i 3 H = 6 5 + 5i 5 5i 11 AH A = 2 1 + i 1 i 3 H 2 1 + i 1 i 3 = 6 5 + 5i 5 5i 11 . Logo A é normal. (ii) A = 2 1 + i 1 i 3 = 2 1 + i 1 i 3 H = AH logo A é hermitiana e em particular é normal: AAH = AA = AH A. (iii) Como A é hermitiana então é unitariamente diagonalizável (embora o recíproco não seja verdadeiro), isto é, existem uma matriz unitária UH (UH U = UUH = I; isto é, UH = U 1 ) e uma matriz diagonal D tais que D = UAUH . Note-se que: A normal , A unitariamente diagonalizável. Como det(A I) = 2 1 + i 1 i 3 = ( 1) ( 4) , 422
  • 423.
    os valores própriosde A são 1 e 4 e tem-se N (A 1I) = L (f( 1 i; 1)g) N (A 4I) = L 1 2 + 1 2 i; 1 . Note-se que os vectores de N (A 1I) são ortogonais aos vectores de N (A 4I). Logo, uma base ortonormada de C2 formada só com vectores próprios de A pode ser: ( 1 k( 1 i; 1)k ( 1 i; 1) ; 1 1 2 + 1 2 i; 1 1 2 + 1 2 i; 1 ) = = ( p 3 3 p 3 3 i; p 3 3 ! ; p 6 6 + p 6 6 i; p 6 3 !) . Logo UH = SBvp!Bc = " p 3 3 p 3 3 i p 6 6 + p 6 6 ip 3 3 p 6 3 # e D = 1 0 0 4 = " p 3 3 p 3 3 i p 6 6 + p 6 6 ip 3 3 p 6 3 #H | {z } =U 2 1 + i 1 i 3 " p 3 3 p 3 3 i p 6 6 + p 6 6 ip 3 3 p 6 3 # | {z } =UH . 6. Determine a solução de mínimos quadrados de Au = b, com A = 2 4 1 2 2 4 1 2 3 5 e b = 2 4 3 2 1 3 5 calculando o correspondente vector erro de mínimos quadrados. Tem-se car AT A = car A = 2 e como tal a solução de mínimos quadrados é única e dada por: u = AT A 1 AT b = = 0 @ 1 2 1 2 4 2 2 4 1 2 2 4 1 2 3 5 1 A 1 1 2 1 2 4 2 2 4 3 2 1 3 5 = 6=5 1=10 . O vector erro de mínimos quadrados b Au é dado por: b Au = 2 4 3 2 1 3 5 2 4 1 2 2 4 1 2 3 5 6=5 1=10 = 2 4 8 5 4 5 0 3 5 sendo o erro de mínimos quadrados dado por: kb Auk = 8 5 ; 4 5 ; 0 = 4 5 p 5. 423
  • 424.
    7. Resolva oseguinte sistema de equações diferenciais determinando a respectiva solução geral. 8 < : u0 1 = 2u3 u0 2 = u1 + 2u2 + u3 u0 3 = u1 + 3u3 com 2 4 u1 (0) u2 (0) u3 (0) 3 5 = 2 4 2 1 0 3 5 . 8 < : u0 1 = 2u3 u0 2 = u1 + 2u2 + u3 u0 3 = u1 + 3u3 , 2 4 u0 1 (t) u0 2 (t) u0 3 (t) 3 5 = 2 4 0 0 2 1 2 1 1 0 3 3 5 2 4 u1 (t) u2 (t) u3 (t) 3 5 : ( ) 1 e 2 são os valores próprios da matriz A = 2 4 0 0 2 1 2 1 1 0 3 3 5, sendo os espaços próprios dados por: N (A 1I) = L (f( 2; 1; 1)g) N (A 2I) = L (f(0; 1; 0) ; ( 1; 0; 1)g) . Como existe uma base de R3 formada só por vectores próprios: f(0; 1; 0) ; ( 1; 0; 1) ; ( 2; 1; 1)g então a matriz 2 4 0 0 2 1 2 1 1 0 3 3 5 é diagonalizável. Assim, fazendo P 1 = 2 4 0 1 2 1 0 1 0 1 1 3 5 tem-se P = 2 4 1 1 1 1 0 2 1 0 1 3 5 e , D = 2 4 2 0 0 0 2 0 0 0 1 3 5 = P 2 4 0 0 2 1 2 1 1 0 3 3 5 P 1 , , 2 4 0 0 2 1 2 1 1 0 3 3 5 = P 1 2 4 2 0 0 0 2 0 0 0 1 3 5 P. o sistema (*) é equivalente a 2 4 u0 1 (t) u0 2 (t) u0 3 (t) 3 5 = 0 @P 1 2 4 2 0 0 0 2 0 0 0 1 3 5 P 1 A 2 4 u1 (t) u2 (t) u3 (t) 3 5 , , P 2 4 u0 1 (t) u0 2 (t) u0 3 (t) 3 5 = 2 4 2 0 0 0 2 0 0 0 1 3 5 0 @P 2 4 u1 (t) u2 (t) u3 (t) 3 5 1 A Assim, considerando a mudança de variável 2 4 v1 (t) v2 (t) v3 (t) 3 5 = P 2 4 u1 (t) u2 (t) u3 (t) 3 5 424
  • 425.
    tem-se 2 4 v0 1 (t) v0 2(t) v0 3 (t) 3 5 = 2 4 2 0 0 0 2 0 0 0 1 3 5 0 @P 2 4 v1 (t) v2 (t) v3 (t) 3 5 1 A , , 8 < : v0 1 (t) = 2v1 (t) v0 2 (t) = 2v2 (t) v0 3 (t) = v3 (t) , Se v16=0; v26=0 e v36=0 8 >>>>>>< >>>>>>: v0 1 (t) v1 (t) = 2 v0 2 (t) v2 (t) = 1 v0 3 (t) v3 (t) = 1 , , 8 < : log jv1 (t)j = 2t + k1 log jv2 (t)j = t + k2 log jv3 (t)j = t + k2 , 8 < : v1 (t) = c1e2t v2 (t) = c2et v3 (t) = c3et com c1; c2; c3 2 R. Logo 2 4 u1 (t) u2 (t) u3 (t) 3 5 = P 1 2 4 c1e2t c2et c3et 3 5 = 2 4 0 1 2 1 0 1 0 1 1 3 5 2 4 c1e2t c2et c3et 3 5 = 2 4 c2et 2c3et c3et + c1e2t c2et + c3et 3 5 . Como 8 < : u1 (0) = 2 u2 (0) = 1 u3 (0) = 0 tem-se 2 4 c1 c2 c3 3 5 = 2 4 1 1 1 1 0 2 1 0 1 3 5 2 4 2 1 0 3 5 = 2 4 1 2 2 3 5 e então a solução geral do sistema de equações diferenciais lineares é dada por 2 4 u1 (t) u2 (t) u3 (t) 3 5 = 2 4 2et + 4et 2et + e2t 2et 2et 3 5 . 425