"Não é possível refazer este país,
 democratizá-lo, humanizá-lo,
 torná-lo sério, com adolescentes
 brincando de matar gente,
 ofendendo a vida, destruindo o
 sonho, inviabilizando o amor. Se
 a educação sozinha não transformar
 a sociedade, sem ela
 tampouco a sociedade muda." Paulo Freire
....DownloadsAcreditar na
          Vida.pps
Matrizes
Qual o seu significado imediato?
Uma tabela de dupla entrada
 contendo dados numéricos( na
 grande maioria das vezes)
Matrizes são freqüentemente
 utilizadas para organizar dados.
Ex: As notas finais dos alunos de
uma série, podem formar uma
matriz cujas colunas correspondem
às matérias lecionadas naquela
série e cujas linhas representam os
alunos.
Na interseção de uma linha com
uma coluna figura a nota daquele
aluno naquela matéria.
MATRIZES DIFERENTES SIGNIFICADOS
Operações entre duas matrizes
O polígono EFGH é uma translação do polígono
  ABCD em quantas unidades na horizontal e
  na vertical?
Represente em uma matriz A(4x2) as
coordenadas dos vértices do
polígono ABCD, de maneira que cada
linha da matriz contenha
coordenadas de um ponto, com
abscissa na primeira coluna e a
ordenada na segunda coluna .
• Represente em uma matriz B(4x2) as
  coordenadas dos vértices do
  polígono EFGH, de maneira que
  cada linha da matriz contenha
  coordenadas de um ponto, com
  abscissa na primeira coluna e a
  ordenada na segunda coluna.
Escreva uma matriz C(4x2) de tal forma
 que A + C = B
Matriz de compensação




37 62 45
63 38 55
             37 62 45
a)Se forem ao ar simultaneamente A1 e B3, qual a
porcentagem de audiência prevista para cada
programa?
b) Se forem ao ar simultaneamente A2 e B2, qual rede
terá maior audiência? Quantos por cento a mais?
c) Qual das combinações de dois programas, um de A
e outro de B, permite a maior diferença entre as
audiências das duas redes no horário? E qual
combinação permite a menor diferença entre as
audiências?
MATRIZ DE CODIFICAÇÃO: DESENHANDO COM
                MATRIZES
Um tipo de matriz é aquela em
 que seus elementos respeitam
 determinada relação matemática
 entre os índices que definem sua
 posição na matriz.
 Obter a matriz A assim definida:
A= (aij)3x3, tal que aij = i + 2j
Se o elemento cij= 0, não devemos unir i com j
Se o elemento cij= 1, devemos unir i com j
Em uma prova com 20 questões, cada
questão respondida corretamente
ganha-se 2 pontos, cada questão não
respondida perde-se 1 ponto, e cada
questão respondida erradamente
perde-se 2 ponto,
Camila acertou 12, errou 6 e as outras
deixou em branco.
Pedro acertou 13, errou 7 e as outras
em branco.
ACERTOS   ERROS   BRANCO

CAMILA

PEDRO




RESULTADO    PONTOS
ACERTOS
ERROS
EM BRANCO
Calcule quantos pontos cada um fez
e coloque o resultado em uma
matriz E2x1.
Uma empresa, que possui duas
confeitarias, chamadas A e B fabrica
3 tipos de bolos: 1, 2 e 3, os quais
são feitos de farinha, açúcar, leite e
manteiga e ovos. Em cada semana,
as vendas dessas duas confeitarias
são estimadas conforme a matriz de
venda semanal abaixo:
Confeitaria Bolo tipo1   Bolo tipo2  Bolo tipo3
    A       50 unidades 30 unidades 25 unidades
    B       29 unidades 20 unidades 40 unidades

Para a fabricação desses bolos, o material é
usado de acordo com a matriz n seguinte:
   Bolo   farinha açúcar   leite   manteiga ovos

  Tipo1    500g   200g     500ml    150g     4

  Tipo2    400g   100g     300ml    250g     5

  Tipo3    450g   150g     600ml      0      6
A direção da empresa, a fim de atender
à demanda, quer saber a quantidade
de cada uma das cinco matérias primas
que deve alocar às suas duas
confeitarias. A resposta deve ser uma
matriz P, do tipo 2x5, onde as linhas
representam as duas confeitarias e as
colunas correspondem aos cinco
materiais usados.
Matriz Transposta: Dada uma matriz
A=(aij)mxn, chama-se transposta de A a
matriz At=(aij)nxm tal que a’ji=aij, para todo
i e todo j.

Matriz Simétrica: Chama-se matriz
simétrica toda matriz quadrada A, de
ordem n, tal que At = A
Matrizes Inversíveis:
 Seja A uma matriz quadrada de ordem
 n. Dizemos que A é matriz inversível se
 existir uma matriz B tal que AB= BA= In.
 Se A não é inversível, temos que A é
 uma matriz singular
Qual é a inversa da matriz A =   ?



Qual é a inversa da matriz A =   ?
DETERMINANTES

A teoria dos determinantes teve
origem em meados do século XVII,
quando eram estudados processos
para resolução de sistemas
lineares de equações.
Determinante de uma matriz ordem 1
O determinante da matriz de ordem , é
 o próprio número que origina a
 matriz. Dada uma matriz quadrada
 de 1ª ordem temos que o
 determinante é o número real
Determinante de matriz de ordem 2
O determinante de uma matriz de
segunda ordem é a diferença entre o
produto dos termos da diagonal
principal e o produto dos termos da
diagonal secundária. Esses produtos se
chamam, respectivamente, termo
principal e termo secundário da matriz.
Determinante de matriz de terceira
ordem
O determinante de uma matriz 3x3 é
calculado através de suas diagonais.
Para calcular o determinante de matrizes
de terceira ordem, utilizamos a chamada
regra de Sarrus, que resulta no seguinte
cálculo:
Calcular o determinante


             3125
Menor Complementar:
Consideremos uma matriz M de ordem
 n≥2;
Seja aij um elemento de M. Definimos
 menor complementar do elemento
 aij, e indicamos por Dij, como sendo o
 determinante da matriz que se obtém
 suprimindo a linha i e a coluna j de M.
Seja M=         calculemos D11 e D32



          , então D11=



          , então D32=
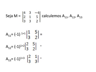
Complemento algébrico do
 elemento aij - Cofator

Consideremos uma matriz de ordem
 n≥2; seja aij um elemento de M.
 Definimos cofator de aij, e indicamos
 por Aij, como sendo o número (-1)i+j.
 Dij
Seja M =            calculemos A11, A12, A13



A11= (-1) 1+1   =

A12= (-1)1+2    =



A13= (-1)1+3    =
Teorema Fundamental (de Laplace)

O determinante de uma matriz M, de
 ordem n≥ 2, é a soma dos produtos
 dos elementos de uma fila qualquer
 (linha ou coluna) pelos respectivos
 cofatores.
Calcule o determinante da matriz abaixo

   3   4    2    1
   5   0   -1   -2
   0   0    4   0
  -1   0   3     3
Trabalho

Propriedades dos determinantes
Matriz de Vandermonde (ou das
 potências)
São as matrizes de ordem n ≥2,


            .   .
        .           .
            .   .
        .           .
            .   .
        .           .
As colunas das matrizes são
 formadas por potências de mesma
 base, com expoente inteiro,
 variando desde 0 até n -1 ( os
 elementos de cada coluna formam
 uma progressão geométrica cujo
 primeiro elemento é 1.
O determinante V(a1,a2,a3,...,an) é
igual ao produto de todas as
diferenças possíveis entre os
elementos característicos, com a
condição de que, nas diferenças, o
minuendo tenha índice maior que o
subtraendo.
=



(5-(-3)) . (5 -1) . ( 5 – 2) . ( -3 -1) . (-3 -2) . (1 – 2)=

    8.4.3.(-4).(-5).(-1) = -1920
Calcule os determinantes abaixo:
Resolva a equação:

   1    1    1     1
   1    2    x    -5
                       = 0
   1    4    x2   25
   1    8    x3 -125
Processo de Cálculo da Inversa de
     uma Matriz Quadrada M
Teorema: Se M é uma matriz quadrada
de ordem n e determinante M ≠0, então
a inversa de M é:



    =         M’ = matriz dos cofatores
Qual a condição sobre a para que a
 matriz

M=                Seja inversível?
Sistemas Lineares
Vamos resolver:
 2x - 3y = 11
  x + 2y = 2
Para um sistema linear qualquer,
  podemos associar uma matriz
  denominada completa, que é formada
  pelos coeficientes das incógnitas e
  também pelos termos independentes.
• Dizemos que o sistema linear está
  escalonado quando realizarmos
  combinações lineares entre as linhas da
  matriz completa de modo a zerar todos
  os elementos aij da matriz em que i > j.
  2 -3 11            Essa é a matriz
                     completa
  1 2 2
2 -3 11                   L1
 1 2 2                     L2

             2      -3      11
L1-2L2       0      -7       7
         Aqui está a
         combinação
         linear entre as
         linhas 1 e 2 da
         matriz,m
         gerando uma
         nova linha 2
A matriz do sistema foi escalonada,.
Na nova equação da linha2 da matriz
temos:
0x – 7y = 7 ou y = - 1
Substituindo esse valor em uma das
equações iniciais, obtém-se x = 4
Vamos escalonar?

  x+ y+ z=3
 2x – y – 2z = 2
  x + 2z = 4

S= {(2, 0, 1)}
No método de Cramer, o aluno segue uma
 rotina determinada- montagem e cálculo
 dos determinantes, e divisão entre eles.
No método do escalonamento o aluno vê
 envolvido em avaliar possibilidades e
 escolher estratégias, adotando, dessa
 forma, uma postura que remete à
 mobilização de habilidades mais
 elaboradas e valorizadas na aprendizagem
 matemática.
Escalonamento x Cramer
Apesar de a regra de Cramer ser uma regra geral para a resolução
   de sistemas lineares, na prática ela requer uma quantidade de
   operações (adições, subtrações, multiplicações e divisões)
   muito superior ao método do escalonamento, além do fato de
   ela só servir para resolver sistemas possíveis e determinados.
   Vejamos o que ocorre com um sistema de vinte equações e
   vinte incógnitas:
Pelo método do escalonamento serão necessárias até 16.000
   operações
Pela regra de Cramer serão necessárias até
   1.021.818.843.434.190.000.000 operações.
Muitos dos problemas práticos envolvem uma quantidade muito
   grande de operações, e mesmo utilizando programas de
   computadores, é nítida a vantagem do método do
   escalonamento, pois se deseja o máximo de eficiência e,
   portanto, o menor tempo de processamento.
Resolver o sistema abaixo:
  x – 3y = -6
 2x + y + z = 1
 -x + 2y – 2z = 6



S={(0, 2, -1)}
Por Cramer o sistema será apenas
identificado como possível e
indeterminado, mas não ajudaria na
resolução.
 x+y+z=3
 2x – y + 3z = 4
 -x -4y = -5

S={(5 – 4k, k, -2 + 3k), kϵ R}
• O método de Sarrus para a
  obtenção de um determinante é
  bastante prático de ser utilizado em
  outra situações , que não envolvam
  resolução de sistemas lineares , por
  ex. em cálculo de áreas de polígonos
  representados no plano cartesiano.
Conhecendo as coordenadas dos
vértices de um triângulo
representado no plano cartesiano, é
possível calcularmos sua área por
intermédio da composição e/ou de
composição de polígonos auxiliares.
..área de triângulo.ggb
Área(ABC)= área(ADEF) –
área(AFC) – área(ABD) – área(BCE)
Área(DEFC)= (xB - xC).(yA - yC)
Área(BFC) = [(xB - xC).(yB - yC)]/2
Área(ABE) = [(xB - xA).(yA- yB)]/2
Área(ADC) = [(xA - xC).(yA - yC)]/2
Área do triângulo ABC=
(xB - xC).(yA - yC)-{[(xB - xC).(yB - yC)]/2 +
 [(xB - xA).(yA- yB)]/2 + [(xA - xC).(yA - yC)]/2}
Área do ABC = [xA.yB+xC.yA+xB.yC-
  (xC.yB+xA.yC+xB.yA)]/2
• Por determinante




    ½


xA.yB+xC.yA+xB.yC-(xC.yB+xA.yC+xB.yA)]/2
Vamos determinar a área do polígono?
De outra maneira, em uma extensão
de regra de Sarrus, o cálculo da área
de um polígono de n lados,
representado no plano cartesiano,
pode ser feito como segue, sendo xi e
yi as coordenadas de cada vértice do
polígono com n vértices.
A=
1/2
• Nos produtos indicados pelas setas,
  vale, seguindo o mesmo raciocínio do
  cálculo pelo método de Sarrus.
• Metade do resultado final da soma, em
  módulo, é igual à área do polígono de n
  lados.
• O ponto inicial pode ser qualquer um
  dos vértices do polígono e o sentido,
  horário ou anti-horário, não importa,
  dado que o valor final é tomado em
  módulo.
Calcule a área do pentágono COISA
representado abaixo
Qual a área do polígono?
Discussão de um Sistema Linear
Se b= 5/6 S= {(5,-5)} Sist. possível e determinado –
                      S.P.D.
                     Sistema impossível –
                     S.I.
1) Vamos discutir o sistema




  Em função dos parâmetros a e b
2)Encontre o valor de a para que o
sistema

             +
 Seja possível. Para o valor
 encontrado de a ache a solução geral
 do sistema,isto é, ache expressões
 que representem todas as soluções
 do sistema. Explicite duas dessas
 soluções.
Sistemas Lineares homogêneos

Se num sistema linear todos os
 termos independentes são nulos,
 o sistema é denominado sistema
 linear homogêneo.
Como os sistemas homogêneos são
sempre possíveis, são os únicos que
podem ser classificados apenas a
partir do cálculo do determinante.
Como não há chance de o sistema
homogêneo ser SI, se o determinante
for nulo, o sistema homogêneo será
SPI
D=0 SPI

Vamos determinar uma solução geral
 Fazendo y = k,   S={(3k/2,k) , k ϵ R}
D≠ 0      o sistema é homogêneo,
então a única solução é a trivial, ou
seja S= {(0, 0, 0)}
Verifique se o sist. linear
homogêneo




 é determinado ou indeterminado
Calcule o valor de a para os quais o
  sistema




Admita outras soluções além de x = y = z = 0

       a= 1 , a = -1
Verifique se o sistema
  x    y z
   x   y t
   x   z t
   y t z


  Admite soluções próprias
Aplicações
O latão é uma liga metálica composta
basicamente de cobre e zinco. Em geral a
porcentagem de zinco na liga varia de
20% a 35%, dependendo das
características que se quer dar ao latão.
Uma empresa possui em estoque dois
grandes lotes de latão, sendo um lote de
4 toneladas de latão com 23% de zinco
na sua composição e um lote de 5
toneladas de latão com 33% de zinco.
Essa empresa foi consultada sobre a
  probabilidade de fazer uma entrega
  de certa quantidade de latão, de
  modo que no total a porcentagem
  de zinco fosse de 25%
a) Para cada tonelada com 25% de
  zinco, quantos quilos de cada tipo
  de latão que a empresa tinha em
  estoque seria necessários?
b)Qual é a quantidade máxima que
 ela poderia obter de latão com25%
 de zinco, com base em seus
 estoques atuais?
 Joaquim pagou n reais por cada uma
 de m canetas e m reais por cada um de
 n lápis, tendo gastado em média R$7,50
 por item comprado. Em seguida,
 Joaquim observou que se cada caneta
 tivesse custado 1 real a menos e cada
 lápis tivesse custado 1 real a mais ele
 teria pago em média R$7,75 por cada
 item comprado. Determine a
 quantidade de caneta que Joaquim
 comprou.
Um grupo de amigos acabou de
 comer uma pizza. Se cada um
 der R$ 8,00 faltarão R$ 2,50 para
 pagar a pizza e se cada um der
 R$ 9,00 sobrarão R$ 3,50. Qual o
 preço da pizza?
Uma empresa deve enlatar uma
 mistura de amendoim, castanha de
 caju e castanha-do-pará. Sabe-se que
 o quilo de amendoim custa R$ 5,00, o
 quilo de castanha de caju,R$ 20,00, e o
 quilo de castanha-do-pará, R$ 16,00.
Cada lata deve conter meio quilo
da mistura e o custo total dos
ingredientes de cada lata deve ser
de R$ 5,75. Além disso, a
quantidade de castanha de caju em
cada lata deve ser igual a um terço
da soma das outras duas
a) Escreva o sistema linear que
   representa a situação descrita
   acima.
b) Resolva o referido
   sistema, determinando as
   quantidades em gramas, de cada
   ingrediente por lata.
Roberto gosta de fazer caminhada
 em uma pista próxima a sua casa. Ao
 longo da pista existem uma
 lanchonete, um posto médico e uma
 banca de revistas. Fazendo o mesmo
 caminho diariamente, Roberto
 constatou que , da lanchonete à banca
 de revistas, passando pelo posto
 médico, caminhou 1000 passos.
 Do posto médico à lanchonete
 passando pela banca caminhou 800
 passos e da banca ao posto
 passando pela lanchonete,
 caminhou 700 passos. Considerando
 que cada um dos passos de Roberto
 mede 80cm, qual é o comprimento
 da pista.
Ao descontar um cheque, recebi
somente notas de R$ 10,00 e R$ 50,00,
em um total de 14 notas. Quando fui
conferir, descobri que o caixa havia se
enganado, pois recebi tantas notas de R$
50,00 quanto as de R$ 10,00 que deveria
ter recebido e vice-versa. Percebido o
erro, verifiquei que, se gastasse R$
240,00 da importância recebida, ainda
ficaria com o valor do meu cheque. Qual
o valor do meu cheque?
João contou os coelhos, os patos e os
bois que havia em sua fazenda, obtendo
um total de 340 animais. A seguir,
verificou que o nº de coelhos era o triplo
do de patos e que o número de bois
excedia em 20 unidades o total de coelhos
e patos. Determine o número de patos
que havia na fazenda.
Em uma mesa de lanchonete, o
consumo de 3 sanduíches, 7 xícaras
de café e 1 pedaço de torta
totalizou R$ 31,50. Em outra mesa,
o consumo de 4 sanduíches, 10
xícaras de café e um pedaço de
torta totalizou R$ 42,00. Quanto
deve totalizar o consumo de 1
sanduíche, 1 xícara de café e 1
pedaço de torta nessa lanchonete?
   Um estudante em férias observou
 que durante d dias:
Choveu 7 vezes de manhã ou de
 tarde;
Houve 5 manhãs sem chuva;
Houve 6 tardes sem chuva
Calcule d
 Eu tenho o dobro da idade
 que tu tinhas quando eu tinha
 a idade que tu tens. Quando
 tiveres a idade que eu tenho,
 juntos teremos 135 anos.
 Qual é a minha idade?
NÚMEROS COMPLEXOS
Os números complexos apareceram
no século XVI ao longo das
descobertas de procedimentos gerais
para resolução de equações
algébricas de terceiro e quarto grau.
No século XVII os complexos são
usados de maneira tímida para
facilitar os cálculos.
No século XVIII são mais usados
na medida que se descobre que
os complexos permitem a
conexão de vários resultados
dispersos da Matemática no
conjunto dos números reais.
• No entanto, nada é feito para
 esclarecer o significado desses
 novos números. No século XIX,
 aparece a representação geométrica
 dos números complexos, motivada
 pela necessidade em Geometria,
 Topografia e Física, de se trabalhar
 com o conceito de vetor no plano.
• Os números complexos passam a
  ser aplicados em várias áreas do
  conhecimento humano, dentro e
  fora da Matemática
http://matmagias.blogspot.com/
 2009/06/ainda-proposito-dos-
 numeros-complexos.html
• Introdução
 Em 1545, Jerônimo Cardano (1501-1576),
  em seu livro “A Grande Arte”, mostrou o
  método para resolver equações do
  terceiro grau que é hoje chamada de
  Fórmula de Cardano. Bombelli (1526-
  1572), discípulo de Cardano, em sua
  “Álgebra”, aplicou a fórmula de Cardano à
  equação x3 -15x -4 = 0 obtendo
       X=               +
• Embora não se sentisse completamente
  a vontade em relação às raízes
  quadradas de números negativos
  (diziam que eram inúteis e
  sofísticas), Bombelli operava livremente
  com elas, aplicando-lhes as regras
  usuais da Álgebra.
  Bombelli mostrou que:

                = ... (vamos desenvolver)
Portanto x = 2 +       +2-      =4.
 Bombelli trabalhava
 Sistematicamente com a quantidade
     ,
que hoje chamamos de unidade
 imaginária e representamos por i.
Apenas no séc. XIX, quando
Gauss(1787-1855), o grande
matemático da época e um dos
maiores de todos os tempos, divulga
a representação geométrica dos
números complexos e a sensação de
desconforto desaparece (Mat. do
E.M. vol3-SBM)
Os números complexos
constituem um conjunto C, onde
estão definidas operações de
adição e de multiplicação com as
propriedades (comutativas,
associativas, distributiva , *)
•*Existem e são únicos os
números 0 e 1 satisfazendo às
condições a+0=a, a.1=a
•*A todo real a corresponde um
único número real (-a), e se a≠0
um único nº real 1/a, tais que:
•a+(-a)=0 e a.(1/a) =1
Além disso, os números reais estão
  incluídos em C e:
a) Existem um nº complexo i com i2 = -1
b) Todo número complexo pode ser
   escrito de uma maneira única na forma
   a + bi, onde a e b são reais (a é
   chamado parte real e b é chamado
   parte imaginária do complexo a+bi).
   Usa-se a notação Re(a+bi)= a e
   Im(a +bi)=b
Fixando um sistema de coordenadas
  no plano, o complexo z = x + yi é
  representado pelo ponto P(x, y) . O
  ponto P é chamado de imagem do
  complexo z.
O plano no qual representamos os
  complexos é chamado de plano de
  Argand-Gauss (Argand 1768-1822,
  matemático francês).
Os números representados no eixo x
 são da forma (x, 0)= x + 0i = x, isto
 é, são números reais, por esse
 motivo, o eixo dos x é chamado de
 eixo real.
Os complexos representados no eixo
 y são da forma (0, y) = 0 + yi =
 yi, esses complexos são chamados
 de números imaginários puros.
• Módulos e Conjugados
• Dado um nº Complexo z = a +bi, e z≠0,
  temos z.(1/z) = 1. Convém definir o
  conjugado de um nº complexo =a - bi
• Geometricamente o conjugado é
  representado pelo simétrico de z
  relativamente ao eixo               z=(a,b)




                                          =(a,-b)
• Chama-se módulo de z (|z|) ao número real
  não negativo |z|=         .
• Geometricamente |z| mede a distancia de
  Oaz
                       z=(a, b)




        =
     =(a+bi)(a-bi) =              = |z|
• Corolário:
Se um polinômio de coeficientes reais
  admite uma raiz complexa a +bi, a e b
  reais, então ele admite também a raiz
  a – bi.
P(a + bi) = 0 = 0 + 0i, então, pelo teorema
 P(a –bi) = 0 – 0i = 0
Vamos fazer exercícios?
• Lista de classe nº 1
• Lista para casa nº 1
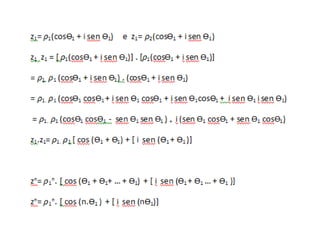
FORMA TRIGONOMÉTRICA

z= a+ bi                               z=(a,b)
                          |z| = r
                                       b= r sen Ѳ
                          Ѳ
                          a= r cos Ѳ




     z= a+bi = r cosѲ + r senѲ i

            = r (cosѲ + i senѲ)
Encontrar a forma trigonométrica

• z = 3 +3i
|z|=            =3

   cosѲ=         Ѳ= π/4 +2kπ, k ϵ Z   argumento

z= 3    (cos(
• 1+   i=
• -8
Multiplicação de Complexos
Sendo
Na figura P é afixo do número complexo z.
Determine o complexo
Na figura abaixo, o triângulo ABC é
isósceles e está inscrito em uma
circunferência de raio 3.
                Im(z)



                        2

                            Re(z)




  Qual a área do triângulo ABC ?
• No plano de Argand-Gauss, as
  imagens dos complexos z, tais que
  |z + z| = 6 e z.z = 10, são vértices de
  um polígono regular.
a) Qual é o perímetro desse polígono?
b) Qual é a área desse polígono?
Radiciação
Dado um número complexo z, chama-se raíz
enésima de z, e denota-se , a um número
complexo , tal que

       =

Exs:       1 é um valor de     pois 13 = 1
   -        é um valor de      pois          =1

   -        é um valor de      pois          =1
SEGUNDA FÓRMULA DE MOIVRE
Teorema:
Dado o número complexo z = ƿ (cosѲ + i senѲ)
  e o número natural n (n ≥ 2), então existem n
  raízes enésimas de z que são da forma:



em         R+ e K ϵ Z
Interpretação geométrica da
      multiplicação de complexos

Quando multiplicamos um complexo z
por            , o vetor que representa z
sofre uma rotação de um ângulo em torno
da origem.
Como              tem módulo =1,
z.[        ] tem o mesmo módulo que z.
O argumento de z. [             ]éo
argumento de z aumentado de Ѳ .
Logo o vetor que representa
z.[          ] é o resultado da
rotação do vetor que representa z de
um ângulo Ѳ em torno da origem.
• ABCD é um quadrado. Se A(1; 2) e
  B(2; 5), determine as coordenadas
  de C e D.
             D      C




            A       B




             D’     C’
O vetor AD é obtido por uma rotação de
+ 90°. Portanto (D – A) = (B – A) [cos90° +
i sen 90°].
D – ( 1 + 2i) = ( 1 + 3i). i e
D = 1 + 2i + i + 3i2 = -2 + 3i = (-2; 3).
Vetor AD = vetor BC. Daí D - A = C – B,
C = B + D – A = ( -1; 6)
A é o ponto médio de DD’.
Logo D’= (4; 1) e C’= ( 5, 4)
ABCD é um quadrado.
Dados A= (1, 2) , e B= (3, 5),
determine as coordenadas C e D.

 Dois vértices consecutivos de um
octógono regular convexo são (1, 2) e
( 3, -2). Determine o centro do
octógono
• No plano de Gauss, as imagens dos
  complexos z, tais que |z + z| = 6 e z.
  z = 10 são vértices de um polígono
  regular.
a) Qual é o perímetro desse polígono?
b) Qual a área desse polígono?

Implementação mód4 - encontro 1-

  • 2.
    "Não é possívelrefazer este país, democratizá-lo, humanizá-lo, torná-lo sério, com adolescentes brincando de matar gente, ofendendo a vida, destruindo o sonho, inviabilizando o amor. Se a educação sozinha não transformar a sociedade, sem ela tampouco a sociedade muda." Paulo Freire
  • 3.
  • 4.
    Matrizes Qual o seusignificado imediato? Uma tabela de dupla entrada contendo dados numéricos( na grande maioria das vezes) Matrizes são freqüentemente utilizadas para organizar dados.
  • 5.
    Ex: As notasfinais dos alunos de uma série, podem formar uma matriz cujas colunas correspondem às matérias lecionadas naquela série e cujas linhas representam os alunos. Na interseção de uma linha com uma coluna figura a nota daquele aluno naquela matéria.
  • 6.
  • 7.
    Operações entre duasmatrizes O polígono EFGH é uma translação do polígono ABCD em quantas unidades na horizontal e na vertical?
  • 8.
    Represente em umamatriz A(4x2) as coordenadas dos vértices do polígono ABCD, de maneira que cada linha da matriz contenha coordenadas de um ponto, com abscissa na primeira coluna e a ordenada na segunda coluna .
  • 9.
    • Represente emuma matriz B(4x2) as coordenadas dos vértices do polígono EFGH, de maneira que cada linha da matriz contenha coordenadas de um ponto, com abscissa na primeira coluna e a ordenada na segunda coluna.
  • 10.
    Escreva uma matrizC(4x2) de tal forma que A + C = B
  • 11.
    Matriz de compensação 3762 45 63 38 55 37 62 45
  • 12.
    a)Se forem aoar simultaneamente A1 e B3, qual a porcentagem de audiência prevista para cada programa? b) Se forem ao ar simultaneamente A2 e B2, qual rede terá maior audiência? Quantos por cento a mais? c) Qual das combinações de dois programas, um de A e outro de B, permite a maior diferença entre as audiências das duas redes no horário? E qual combinação permite a menor diferença entre as audiências?
  • 13.
    MATRIZ DE CODIFICAÇÃO:DESENHANDO COM MATRIZES
  • 14.
    Um tipo dematriz é aquela em que seus elementos respeitam determinada relação matemática entre os índices que definem sua posição na matriz. Obter a matriz A assim definida: A= (aij)3x3, tal que aij = i + 2j
  • 15.
    Se o elementocij= 0, não devemos unir i com j Se o elemento cij= 1, devemos unir i com j
  • 17.
    Em uma provacom 20 questões, cada questão respondida corretamente ganha-se 2 pontos, cada questão não respondida perde-se 1 ponto, e cada questão respondida erradamente perde-se 2 ponto, Camila acertou 12, errou 6 e as outras deixou em branco. Pedro acertou 13, errou 7 e as outras em branco.
  • 18.
    ACERTOS ERROS BRANCO CAMILA PEDRO RESULTADO PONTOS ACERTOS ERROS EM BRANCO
  • 19.
    Calcule quantos pontoscada um fez e coloque o resultado em uma matriz E2x1.
  • 20.
    Uma empresa, quepossui duas confeitarias, chamadas A e B fabrica 3 tipos de bolos: 1, 2 e 3, os quais são feitos de farinha, açúcar, leite e manteiga e ovos. Em cada semana, as vendas dessas duas confeitarias são estimadas conforme a matriz de venda semanal abaixo:
  • 21.
    Confeitaria Bolo tipo1 Bolo tipo2 Bolo tipo3 A 50 unidades 30 unidades 25 unidades B 29 unidades 20 unidades 40 unidades Para a fabricação desses bolos, o material é usado de acordo com a matriz n seguinte: Bolo farinha açúcar leite manteiga ovos Tipo1 500g 200g 500ml 150g 4 Tipo2 400g 100g 300ml 250g 5 Tipo3 450g 150g 600ml 0 6
  • 22.
    A direção daempresa, a fim de atender à demanda, quer saber a quantidade de cada uma das cinco matérias primas que deve alocar às suas duas confeitarias. A resposta deve ser uma matriz P, do tipo 2x5, onde as linhas representam as duas confeitarias e as colunas correspondem aos cinco materiais usados.
  • 23.
    Matriz Transposta: Dadauma matriz A=(aij)mxn, chama-se transposta de A a matriz At=(aij)nxm tal que a’ji=aij, para todo i e todo j. Matriz Simétrica: Chama-se matriz simétrica toda matriz quadrada A, de ordem n, tal que At = A
  • 24.
    Matrizes Inversíveis: SejaA uma matriz quadrada de ordem n. Dizemos que A é matriz inversível se existir uma matriz B tal que AB= BA= In. Se A não é inversível, temos que A é uma matriz singular
  • 25.
    Qual é ainversa da matriz A = ? Qual é a inversa da matriz A = ?
  • 26.
    DETERMINANTES A teoria dosdeterminantes teve origem em meados do século XVII, quando eram estudados processos para resolução de sistemas lineares de equações.
  • 27.
    Determinante de umamatriz ordem 1 O determinante da matriz de ordem , é o próprio número que origina a matriz. Dada uma matriz quadrada de 1ª ordem temos que o determinante é o número real
  • 28.
    Determinante de matrizde ordem 2 O determinante de uma matriz de segunda ordem é a diferença entre o produto dos termos da diagonal principal e o produto dos termos da diagonal secundária. Esses produtos se chamam, respectivamente, termo principal e termo secundário da matriz.
  • 29.
    Determinante de matrizde terceira ordem O determinante de uma matriz 3x3 é calculado através de suas diagonais. Para calcular o determinante de matrizes de terceira ordem, utilizamos a chamada regra de Sarrus, que resulta no seguinte cálculo:
  • 30.
  • 31.
    Menor Complementar: Consideremos umamatriz M de ordem n≥2; Seja aij um elemento de M. Definimos menor complementar do elemento aij, e indicamos por Dij, como sendo o determinante da matriz que se obtém suprimindo a linha i e a coluna j de M.
  • 32.
    Seja M= calculemos D11 e D32 , então D11= , então D32=
  • 33.
    Complemento algébrico do elemento aij - Cofator Consideremos uma matriz de ordem n≥2; seja aij um elemento de M. Definimos cofator de aij, e indicamos por Aij, como sendo o número (-1)i+j. Dij
  • 34.
    Seja M = calculemos A11, A12, A13 A11= (-1) 1+1 = A12= (-1)1+2 = A13= (-1)1+3 =
  • 35.
    Teorema Fundamental (deLaplace) O determinante de uma matriz M, de ordem n≥ 2, é a soma dos produtos dos elementos de uma fila qualquer (linha ou coluna) pelos respectivos cofatores.
  • 36.
    Calcule o determinanteda matriz abaixo 3 4 2 1 5 0 -1 -2 0 0 4 0 -1 0 3 3
  • 37.
  • 38.
    Matriz de Vandermonde(ou das potências) São as matrizes de ordem n ≥2, . . . . . . . . . . . .
  • 39.
    As colunas dasmatrizes são formadas por potências de mesma base, com expoente inteiro, variando desde 0 até n -1 ( os elementos de cada coluna formam uma progressão geométrica cujo primeiro elemento é 1.
  • 40.
    O determinante V(a1,a2,a3,...,an)é igual ao produto de todas as diferenças possíveis entre os elementos característicos, com a condição de que, nas diferenças, o minuendo tenha índice maior que o subtraendo.
  • 41.
    = (5-(-3)) . (5-1) . ( 5 – 2) . ( -3 -1) . (-3 -2) . (1 – 2)= 8.4.3.(-4).(-5).(-1) = -1920
  • 42.
  • 43.
    Resolva a equação: 1 1 1 1 1 2 x -5 = 0 1 4 x2 25 1 8 x3 -125
  • 44.
    Processo de Cálculoda Inversa de uma Matriz Quadrada M Teorema: Se M é uma matriz quadrada de ordem n e determinante M ≠0, então a inversa de M é: = M’ = matriz dos cofatores
  • 45.
    Qual a condiçãosobre a para que a matriz M= Seja inversível?
  • 46.
  • 47.
    Vamos resolver: 2x- 3y = 11 x + 2y = 2 Para um sistema linear qualquer, podemos associar uma matriz denominada completa, que é formada pelos coeficientes das incógnitas e também pelos termos independentes.
  • 48.
    • Dizemos queo sistema linear está escalonado quando realizarmos combinações lineares entre as linhas da matriz completa de modo a zerar todos os elementos aij da matriz em que i > j. 2 -3 11 Essa é a matriz completa 1 2 2
  • 49.
    2 -3 11 L1 1 2 2 L2 2 -3 11 L1-2L2 0 -7 7 Aqui está a combinação linear entre as linhas 1 e 2 da matriz,m gerando uma nova linha 2
  • 50.
    A matriz dosistema foi escalonada,. Na nova equação da linha2 da matriz temos: 0x – 7y = 7 ou y = - 1 Substituindo esse valor em uma das equações iniciais, obtém-se x = 4
  • 51.
    Vamos escalonar? x+ y+ z=3 2x – y – 2z = 2 x + 2z = 4 S= {(2, 0, 1)}
  • 52.
    No método deCramer, o aluno segue uma rotina determinada- montagem e cálculo dos determinantes, e divisão entre eles. No método do escalonamento o aluno vê envolvido em avaliar possibilidades e escolher estratégias, adotando, dessa forma, uma postura que remete à mobilização de habilidades mais elaboradas e valorizadas na aprendizagem matemática.
  • 53.
    Escalonamento x Cramer Apesarde a regra de Cramer ser uma regra geral para a resolução de sistemas lineares, na prática ela requer uma quantidade de operações (adições, subtrações, multiplicações e divisões) muito superior ao método do escalonamento, além do fato de ela só servir para resolver sistemas possíveis e determinados. Vejamos o que ocorre com um sistema de vinte equações e vinte incógnitas: Pelo método do escalonamento serão necessárias até 16.000 operações Pela regra de Cramer serão necessárias até 1.021.818.843.434.190.000.000 operações. Muitos dos problemas práticos envolvem uma quantidade muito grande de operações, e mesmo utilizando programas de computadores, é nítida a vantagem do método do escalonamento, pois se deseja o máximo de eficiência e, portanto, o menor tempo de processamento.
  • 54.
    Resolver o sistemaabaixo: x – 3y = -6 2x + y + z = 1 -x + 2y – 2z = 6 S={(0, 2, -1)}
  • 55.
    Por Cramer osistema será apenas identificado como possível e indeterminado, mas não ajudaria na resolução. x+y+z=3 2x – y + 3z = 4 -x -4y = -5 S={(5 – 4k, k, -2 + 3k), kϵ R}
  • 56.
    • O métodode Sarrus para a obtenção de um determinante é bastante prático de ser utilizado em outra situações , que não envolvam resolução de sistemas lineares , por ex. em cálculo de áreas de polígonos representados no plano cartesiano.
  • 57.
    Conhecendo as coordenadasdos vértices de um triângulo representado no plano cartesiano, é possível calcularmos sua área por intermédio da composição e/ou de composição de polígonos auxiliares.
  • 58.
  • 60.
    Área(ABC)= área(ADEF) – área(AFC)– área(ABD) – área(BCE)
  • 62.
    Área(DEFC)= (xB -xC).(yA - yC) Área(BFC) = [(xB - xC).(yB - yC)]/2 Área(ABE) = [(xB - xA).(yA- yB)]/2 Área(ADC) = [(xA - xC).(yA - yC)]/2 Área do triângulo ABC= (xB - xC).(yA - yC)-{[(xB - xC).(yB - yC)]/2 + [(xB - xA).(yA- yB)]/2 + [(xA - xC).(yA - yC)]/2} Área do ABC = [xA.yB+xC.yA+xB.yC- (xC.yB+xA.yC+xB.yA)]/2
  • 63.
    • Por determinante ½ xA.yB+xC.yA+xB.yC-(xC.yB+xA.yC+xB.yA)]/2
  • 64.
    Vamos determinar aárea do polígono?
  • 65.
    De outra maneira,em uma extensão de regra de Sarrus, o cálculo da área de um polígono de n lados, representado no plano cartesiano, pode ser feito como segue, sendo xi e yi as coordenadas de cada vértice do polígono com n vértices. A=
  • 66.
  • 67.
    • Nos produtosindicados pelas setas, vale, seguindo o mesmo raciocínio do cálculo pelo método de Sarrus. • Metade do resultado final da soma, em módulo, é igual à área do polígono de n lados. • O ponto inicial pode ser qualquer um dos vértices do polígono e o sentido, horário ou anti-horário, não importa, dado que o valor final é tomado em módulo.
  • 68.
    Calcule a áreado pentágono COISA representado abaixo
  • 69.
    Qual a áreado polígono?
  • 70.
    Discussão de umSistema Linear
  • 71.
    Se b= 5/6S= {(5,-5)} Sist. possível e determinado – S.P.D. Sistema impossível – S.I.
  • 72.
    1) Vamos discutiro sistema Em função dos parâmetros a e b
  • 73.
    2)Encontre o valorde a para que o sistema + Seja possível. Para o valor encontrado de a ache a solução geral do sistema,isto é, ache expressões que representem todas as soluções do sistema. Explicite duas dessas soluções.
  • 74.
    Sistemas Lineares homogêneos Senum sistema linear todos os termos independentes são nulos, o sistema é denominado sistema linear homogêneo.
  • 75.
    Como os sistemashomogêneos são sempre possíveis, são os únicos que podem ser classificados apenas a partir do cálculo do determinante. Como não há chance de o sistema homogêneo ser SI, se o determinante for nulo, o sistema homogêneo será SPI
  • 76.
    D=0 SPI Vamos determinaruma solução geral Fazendo y = k, S={(3k/2,k) , k ϵ R}
  • 77.
    D≠ 0 o sistema é homogêneo, então a única solução é a trivial, ou seja S= {(0, 0, 0)}
  • 78.
    Verifique se osist. linear homogêneo é determinado ou indeterminado
  • 79.
    Calcule o valorde a para os quais o sistema Admita outras soluções além de x = y = z = 0 a= 1 , a = -1
  • 80.
    Verifique se osistema x y z x y t x z t y t z Admite soluções próprias
  • 81.
  • 82.
    O latão éuma liga metálica composta basicamente de cobre e zinco. Em geral a porcentagem de zinco na liga varia de 20% a 35%, dependendo das características que se quer dar ao latão. Uma empresa possui em estoque dois grandes lotes de latão, sendo um lote de 4 toneladas de latão com 23% de zinco na sua composição e um lote de 5 toneladas de latão com 33% de zinco.
  • 83.
    Essa empresa foiconsultada sobre a probabilidade de fazer uma entrega de certa quantidade de latão, de modo que no total a porcentagem de zinco fosse de 25% a) Para cada tonelada com 25% de zinco, quantos quilos de cada tipo de latão que a empresa tinha em estoque seria necessários?
  • 84.
    b)Qual é aquantidade máxima que ela poderia obter de latão com25% de zinco, com base em seus estoques atuais?
  • 85.
     Joaquim pagoun reais por cada uma de m canetas e m reais por cada um de n lápis, tendo gastado em média R$7,50 por item comprado. Em seguida, Joaquim observou que se cada caneta tivesse custado 1 real a menos e cada lápis tivesse custado 1 real a mais ele teria pago em média R$7,75 por cada item comprado. Determine a quantidade de caneta que Joaquim comprou.
  • 86.
    Um grupo deamigos acabou de comer uma pizza. Se cada um der R$ 8,00 faltarão R$ 2,50 para pagar a pizza e se cada um der R$ 9,00 sobrarão R$ 3,50. Qual o preço da pizza?
  • 87.
    Uma empresa deveenlatar uma mistura de amendoim, castanha de caju e castanha-do-pará. Sabe-se que o quilo de amendoim custa R$ 5,00, o quilo de castanha de caju,R$ 20,00, e o quilo de castanha-do-pará, R$ 16,00.
  • 88.
    Cada lata deveconter meio quilo da mistura e o custo total dos ingredientes de cada lata deve ser de R$ 5,75. Além disso, a quantidade de castanha de caju em cada lata deve ser igual a um terço da soma das outras duas
  • 89.
    a) Escreva osistema linear que representa a situação descrita acima. b) Resolva o referido sistema, determinando as quantidades em gramas, de cada ingrediente por lata.
  • 90.
    Roberto gosta defazer caminhada em uma pista próxima a sua casa. Ao longo da pista existem uma lanchonete, um posto médico e uma banca de revistas. Fazendo o mesmo caminho diariamente, Roberto constatou que , da lanchonete à banca de revistas, passando pelo posto médico, caminhou 1000 passos.
  • 91.
     Do postomédico à lanchonete passando pela banca caminhou 800 passos e da banca ao posto passando pela lanchonete, caminhou 700 passos. Considerando que cada um dos passos de Roberto mede 80cm, qual é o comprimento da pista.
  • 92.
    Ao descontar umcheque, recebi somente notas de R$ 10,00 e R$ 50,00, em um total de 14 notas. Quando fui conferir, descobri que o caixa havia se enganado, pois recebi tantas notas de R$ 50,00 quanto as de R$ 10,00 que deveria ter recebido e vice-versa. Percebido o erro, verifiquei que, se gastasse R$ 240,00 da importância recebida, ainda ficaria com o valor do meu cheque. Qual o valor do meu cheque?
  • 93.
    João contou oscoelhos, os patos e os bois que havia em sua fazenda, obtendo um total de 340 animais. A seguir, verificou que o nº de coelhos era o triplo do de patos e que o número de bois excedia em 20 unidades o total de coelhos e patos. Determine o número de patos que havia na fazenda.
  • 94.
    Em uma mesade lanchonete, o consumo de 3 sanduíches, 7 xícaras de café e 1 pedaço de torta totalizou R$ 31,50. Em outra mesa, o consumo de 4 sanduíches, 10 xícaras de café e um pedaço de torta totalizou R$ 42,00. Quanto deve totalizar o consumo de 1 sanduíche, 1 xícara de café e 1 pedaço de torta nessa lanchonete?
  • 95.
    Um estudante em férias observou que durante d dias: Choveu 7 vezes de manhã ou de tarde; Houve 5 manhãs sem chuva; Houve 6 tardes sem chuva Calcule d
  • 96.
     Eu tenhoo dobro da idade que tu tinhas quando eu tinha a idade que tu tens. Quando tiveres a idade que eu tenho, juntos teremos 135 anos. Qual é a minha idade?
  • 97.
  • 98.
    Os números complexosapareceram no século XVI ao longo das descobertas de procedimentos gerais para resolução de equações algébricas de terceiro e quarto grau. No século XVII os complexos são usados de maneira tímida para facilitar os cálculos.
  • 99.
    No século XVIIIsão mais usados na medida que se descobre que os complexos permitem a conexão de vários resultados dispersos da Matemática no conjunto dos números reais.
  • 100.
    • No entanto,nada é feito para esclarecer o significado desses novos números. No século XIX, aparece a representação geométrica dos números complexos, motivada pela necessidade em Geometria, Topografia e Física, de se trabalhar com o conceito de vetor no plano.
  • 101.
    • Os númeroscomplexos passam a ser aplicados em várias áreas do conhecimento humano, dentro e fora da Matemática
  • 102.
  • 103.
    • Introdução Em1545, Jerônimo Cardano (1501-1576), em seu livro “A Grande Arte”, mostrou o método para resolver equações do terceiro grau que é hoje chamada de Fórmula de Cardano. Bombelli (1526- 1572), discípulo de Cardano, em sua “Álgebra”, aplicou a fórmula de Cardano à equação x3 -15x -4 = 0 obtendo X= +
  • 104.
    • Embora nãose sentisse completamente a vontade em relação às raízes quadradas de números negativos (diziam que eram inúteis e sofísticas), Bombelli operava livremente com elas, aplicando-lhes as regras usuais da Álgebra. Bombelli mostrou que: = ... (vamos desenvolver)
  • 105.
    Portanto x =2 + +2- =4. Bombelli trabalhava Sistematicamente com a quantidade , que hoje chamamos de unidade imaginária e representamos por i.
  • 106.
    Apenas no séc.XIX, quando Gauss(1787-1855), o grande matemático da época e um dos maiores de todos os tempos, divulga a representação geométrica dos números complexos e a sensação de desconforto desaparece (Mat. do E.M. vol3-SBM)
  • 107.
    Os números complexos constituemum conjunto C, onde estão definidas operações de adição e de multiplicação com as propriedades (comutativas, associativas, distributiva , *)
  • 108.
    •*Existem e sãoúnicos os números 0 e 1 satisfazendo às condições a+0=a, a.1=a •*A todo real a corresponde um único número real (-a), e se a≠0 um único nº real 1/a, tais que: •a+(-a)=0 e a.(1/a) =1
  • 109.
    Além disso, osnúmeros reais estão incluídos em C e: a) Existem um nº complexo i com i2 = -1 b) Todo número complexo pode ser escrito de uma maneira única na forma a + bi, onde a e b são reais (a é chamado parte real e b é chamado parte imaginária do complexo a+bi). Usa-se a notação Re(a+bi)= a e Im(a +bi)=b
  • 110.
    Fixando um sistemade coordenadas no plano, o complexo z = x + yi é representado pelo ponto P(x, y) . O ponto P é chamado de imagem do complexo z. O plano no qual representamos os complexos é chamado de plano de Argand-Gauss (Argand 1768-1822, matemático francês).
  • 111.
    Os números representadosno eixo x são da forma (x, 0)= x + 0i = x, isto é, são números reais, por esse motivo, o eixo dos x é chamado de eixo real. Os complexos representados no eixo y são da forma (0, y) = 0 + yi = yi, esses complexos são chamados de números imaginários puros.
  • 112.
    • Módulos eConjugados • Dado um nº Complexo z = a +bi, e z≠0, temos z.(1/z) = 1. Convém definir o conjugado de um nº complexo =a - bi • Geometricamente o conjugado é representado pelo simétrico de z relativamente ao eixo z=(a,b) =(a,-b)
  • 113.
    • Chama-se módulode z (|z|) ao número real não negativo |z|= . • Geometricamente |z| mede a distancia de Oaz z=(a, b) = =(a+bi)(a-bi) = = |z|
  • 114.
    • Corolário: Se umpolinômio de coeficientes reais admite uma raiz complexa a +bi, a e b reais, então ele admite também a raiz a – bi. P(a + bi) = 0 = 0 + 0i, então, pelo teorema P(a –bi) = 0 – 0i = 0
  • 115.
  • 120.
    • Lista declasse nº 1 • Lista para casa nº 1
  • 121.
    FORMA TRIGONOMÉTRICA z= a+bi z=(a,b) |z| = r b= r sen Ѳ Ѳ a= r cos Ѳ z= a+bi = r cosѲ + r senѲ i = r (cosѲ + i senѲ)
  • 122.
    Encontrar a formatrigonométrica • z = 3 +3i |z|= =3 cosѲ= Ѳ= π/4 +2kπ, k ϵ Z argumento z= 3 (cos(
  • 123.
    • 1+ i= • -8
  • 124.
  • 126.
    Na figura Pé afixo do número complexo z. Determine o complexo
  • 127.
    Na figura abaixo,o triângulo ABC é isósceles e está inscrito em uma circunferência de raio 3. Im(z) 2 Re(z) Qual a área do triângulo ABC ?
  • 128.
    • No planode Argand-Gauss, as imagens dos complexos z, tais que |z + z| = 6 e z.z = 10, são vértices de um polígono regular. a) Qual é o perímetro desse polígono? b) Qual é a área desse polígono?
  • 129.
    Radiciação Dado um númerocomplexo z, chama-se raíz enésima de z, e denota-se , a um número complexo , tal que = Exs: 1 é um valor de pois 13 = 1 - é um valor de pois =1 - é um valor de pois =1
  • 130.
    SEGUNDA FÓRMULA DEMOIVRE Teorema: Dado o número complexo z = ƿ (cosѲ + i senѲ) e o número natural n (n ≥ 2), então existem n raízes enésimas de z que são da forma: em R+ e K ϵ Z
  • 131.
    Interpretação geométrica da multiplicação de complexos Quando multiplicamos um complexo z por , o vetor que representa z sofre uma rotação de um ângulo em torno da origem. Como tem módulo =1, z.[ ] tem o mesmo módulo que z.
  • 132.
    O argumento dez. [ ]éo argumento de z aumentado de Ѳ . Logo o vetor que representa z.[ ] é o resultado da rotação do vetor que representa z de um ângulo Ѳ em torno da origem.
  • 133.
    • ABCD éum quadrado. Se A(1; 2) e B(2; 5), determine as coordenadas de C e D. D C A B D’ C’
  • 134.
    O vetor ADé obtido por uma rotação de + 90°. Portanto (D – A) = (B – A) [cos90° + i sen 90°]. D – ( 1 + 2i) = ( 1 + 3i). i e D = 1 + 2i + i + 3i2 = -2 + 3i = (-2; 3). Vetor AD = vetor BC. Daí D - A = C – B, C = B + D – A = ( -1; 6) A é o ponto médio de DD’. Logo D’= (4; 1) e C’= ( 5, 4)
  • 135.
    ABCD é umquadrado. Dados A= (1, 2) , e B= (3, 5), determine as coordenadas C e D.  Dois vértices consecutivos de um octógono regular convexo são (1, 2) e ( 3, -2). Determine o centro do octógono
  • 136.
    • No planode Gauss, as imagens dos complexos z, tais que |z + z| = 6 e z. z = 10 são vértices de um polígono regular. a) Qual é o perímetro desse polígono? b) Qual a área desse polígono?