“Assim  como o Sol empalidece
 as estrelas com o seu
 brilho, um homem inteligente
 eclipsa a glória de outro
 homem nos concursos
 populares, resolvendo os
 problemas que este lhe
 propõe”. François Viète
Esse texto da Índia antiga fala de um
passatempo muito popular dos
matemáticos hindus da época: a solução
de quebra cabeças em competições
públicas, em que o competidor propunha
problemas para outro resolver. Sem
nenhum sinal, sem nenhuma variável,
somente alguns poucos sábios eram
capazes de resolver problemas, usando
muitos artifícios e trabalhosa construções
geométricas.
Os egípcios não utilizavam notação
algébrica, os métodos de solução de uma
equação eram complexas e cansativos.
Os gregos resolviam equações através de
Geometria.
Foram os árabes que, cultivando a
Matemática dos gregos, conseguiram
progresso na resolução de equações.
Chamavam o valor desconhecido de “coisa”,
pronunciada como xay, daí surge o x como
tradução simplificada de palavra “coisa”.
Equações do primeiro grau

Do ponto de vista elementar, equações
 são problemas que determina certos
 valores desconhecidos, sabendo que
 quando esses valores são
 manipulados algebricamente, de uma
 certa maneira, são obtidos certos
 valores dados. As primeiras
 equações na forma escrita surgiram
 no antigo Egito 3000 anos a.C.
Há aproximadamente 3600 anos o
faraó do Egito tinha um súdito cujo
nome chegou até os nossos dias:
Aahmesu, cujo significado é “filho da
lua”, era uma pessoa muito simples
provavelmente um escriba.
Atualmente ele é conhecido como
Ahmes autor do Papiro Ahmes, mais
famoso como Papiro de Rhind.
O Papiro de Rhind foi encontrado em
meados do século passado,
presumivelmente nas proximidades do
templo de Ramsés II, na antiga cidade
de Tebas, no Egito. Em 1858 foi
comprado, no local, pelo antiquário
escocês A.H. Rhind .
 O papiro é um rolo com cerca de 30cm
de altura e 5m de comprimento e
encontra-se hoje, salvo alguns
fragmentos, no Museu Britânico.
O Papiro de Rhind é um antigo manual
 de Matemática, contendo 80
 problemas de Álgebra, cada um com a
 sua solução.
Nesse papiro, encontramos as primeiras
 equações do primeiro grau, na forma
 de problemas “aha. Aha significava
 quantidade. Tais problemas referem-
 se à determinação de quantidades
 desconhecidas.
Fragmento do Papiro de Rhind – Museu Britânico
Problemas aha do Papiro RHIND
(Prob24) Uma quantidade e seu sétimo,
somadas juntas, dão 19, Qual é a
quantidade?
 (Prob25) Uma quantidade e sua metade,
somadas juntas, resultam 16. Qual é a
quantidade?
 (Prob28) Uma quantidade e os seus dois
terços são adicionados, e da soma um
terço da soma é subtraído e ficam 10.Qual
é a quantidade?
Mais um problema:
 “Um montão, seus dois terços, sua
  metade, todos ao juntar-se fazem treze.
  Qual é a quantidade?”
 O problema se reduz a essa equação:
Regra da “falsa posição”
Para os antigos matemáticos egípcios
 suas equações vinham expressas
 totalmente em palavras, a álgebra
 puramente simbólica estava muito
 distante de ser inventada.
Encontravam a solução deste tipo de
 equação através de um método
 chamado regra da falsa posição.
- Atribuíam um valor falso a montão, por
  ex 12:
Onde se conclui que o valor falso 12 está
 para 26 assim como o valor verdadeiro =
 montão está para 13.

            montão = 6

Utilizou-se uma “regra de 3 simples”
Por que uma regra de 3 simples dá o valor
 verdadeiro de x? Coincidência?

Através da idéia moderna de função :
“Se f é uma função cujos valores são dados
  pela fórmula                  , para que
  valor de x temos f(x) = 13?”
Traçando o gráfico de f
   x    f(x)

   0     0

   3     6,5
                    Por semelhança de
                    triângulos temos:
                    12/26 = x/13
Após ser achado 26 como solução,
 poderia ser aplicado o fator de correção,
 13/26, no valor suposto 12.
Vamos resolver os três problemas
  anteriores pela “regra da falsa
  posição”.
Desafio:
“ Doze anéis de prata pesam tanto
quanto oito anéis de ouro. Se trocarmos
um anel de prata por um anel de ouro, a
diferença será de 6 tzin. Digam-me,
quanto pesa um anel de prata e um anel
de ouro?”
12p = 8o      12p – 1p + 1o = 7o + 1p + 6tzin

 11p + 1o = 7o + 1p + 6       10p – 6o = 6
 supondo p = 2 e o = 3, teremos
 10.2 – 6.3 = 20 – 18 = 2
 solução deveria ser 6     solução foi 2
Aplicando o fator de correção (falso montão
p=2 e o =3)
                          Anel de prata = 6,
                          anel de ouro = 9
Regra da “ dupla falsa posição”

A regra anterior resolve equações do
tipo ax = b, mas para solucionar
equações do tipo ax + b =c, a regra não
funciona.
Supostamente, já antes de Cristo, os
babilônios e os chineses usavam neste
caso, a regra da “dupla falsa posição”.
Para achar x tal que ax + b =c, atribui-se
dois valores “falsos” x1 e x2.
Se d1 = ax1 + b – c e d2 = ax2 + b – c, a
proporção
    =
A regra, em linguagem de hoje, se
f(x)=ax +b
Uma outra versão da mesma regra:


Para problemas não lineares a regra
poderá dar soluções aproximadas.
Esse problema não linear, foi
encontrado entre os escritos dos antigos
babilônicos. Nele se pergunta em
quantos anos duplica um capital de 1
gur, a juros de 20% ao ano
Em notação de hoje:
Após 3 anos o capital ficará
multiplicado por (1,2)3
Após 4 anos o capital ficará
multiplicado por (1,2)4
Se usarmos a fórmula temos
x1=3   f(x1) = 1,728, x2=4   f(x2) = 2,0736
Obtendo-se x= 3,7870, que nos dá 3
anos, 9 meses e 15 dias.
Já no século XVI, Cardano usa a regra
da falsa posição, repetidas vezes em
um mesmo problema, a fim de obter
melhores aproximações para a
solução.
Atualmente usamos tal regra, com o
nome e Interpolação Linear, para
aproximarmos um arco de curva por
segmento de reta
O homem que calculava Cap V
Beremiz resolve um problema e
determina a dívida de um joalheiro.
... – Esse homem (e apontou para o
joalheiro) veio da Síria vender jóias em
Bagdá; prometeu-me que pagaria, pela
hospedagem, 20 dinares se vendesse as
jóias por 100 dinares, pagando 35 se as
vendesse por 200. Ao cabo de vários
dias, acabou vendendo tudo por 140
dinares.
Proporção feita pelo mercador de jóia:
200 está para 35, assim como 140 está
para x.     Total da dívida 24,5.

 Proporção feita pelo dono da
hospedaria: 100 está para 20, assim
como 140 está para x. Total da dívida 28.
 Quem está certo?
A explicação de Beremiz :
A diferença de 100, no preço da
  venda, corresponde a uma diferença de
  15 no preço da hospedagem.
Se um acréscimo de 100 na venda traria um
  aumento de 15 na hospedagem, eu
  pergunto: Qual será o aumento da
  hospedagem para acréscimo de 40 na
  venda? Se a diferença fosse de 20 (que é
  1/5 de 100), o aumento da hospedagem
seria de 3 (pois 3 é 1/5 de 15). Para a
   diferença de 40 (que é o dobro de 20), o
   acréscimo da hospedagem deverá ser de
   6. O pagamento correspondente a
   140, é, portanto, de 26.
.....
De uma forma resumida, podemos
dizer que quando temos uma função
qualquer, dois valores de seu domínio:
x1 e x2 e suas respectivas imagens f(x1) e
f(x2), se desejarmos obter o valor
x, compreendido entre x1 e x2 e que
tenha imagem (f(x)=c) compreendida
entre f(x1) e f(x2), podemos aplicar a
interpolação linear através da relação.
f(20) = 100 e f(35) =200, ou seja x1 = 20 e
f(x1) = 100; x2 = 35 e f(x2) = 200, como as
jóias foram vendidas por 140 dinares,
temos que c=f(x)=140 e desejamos obter
o valor correspondente a x, ou seja:




Resolvendo essa proporção, obtemos
x=26, que são os 26.
Problemas de balanceamento de
               misturas

1) Um técnico de laboratório tem duas
  soluções de ácido sulfúrico (solução ácida=
  água destilada + ácido). A primeira é 30%
  ácida e a segunda é 70% ácida. Quantos
  mililitros de cada ele deve usar para obter
  200 ml de uma solução 60% ácida?
Serão utilizadas x ml da sol. de 30% ácida e
  y ml da sol. 70% ácida. A solução
  resultante será de 200 ml e 60% ácida.
Daí :
x ml + y ml = 200 ml
30% de x ml + 70% de y ml = 60% de 200 ml
    x + y = 200
    0,3x + 0,7 y = 0,6. 200
Tudo se reduz a uma equação do 1º grau ao
  substituir y = 200 – x
2) Que volume de álcool deve ser
  adicionado a 600 litros de uma solução
  15% alcoólica (solução alcoólica = álcool +
  água) de modo que a solução resultante
  seja 25% alcoólica?

  Em 600 litros temos 15% de álcool = 90 litros
  de álcool, logo 510 litros de água que
  corresponde a 85% .
Queremos que esses 510 litros
corresponda a 75% da solução ( solução
resultante 25% de álcool).



    Adicionar 80 litros de álcool
O Banho de Arquimedes
Arquimedes de Siracusa foi um grande físico e
matemático grego do séc. 3 a.C.,pesquisador da
“Universidade” de Alexandria, cidade do antigo
Egito fundada por Alexandre o Grande às
margens do Rio Nilo.
Conta uma lenda que o rei Hierão de Alexandria
suspeitava que sua coroa não teria sido feita de
ouro puro, mas sim de uma mistura (liga) de
ouro e prata, e incumbiu Arquimedes de calcular
as quantidades desses metais empregadas na
confecção da coroa.
Arquimedes descobriu um meio de fazer
 isso enquanto se banhava. Celebrando a
 descoberta, saiu às ruas gritando
 Eureka! (Descobri!), tendo no entanto se
 esquecido de vestir-se ao sair.
Algumas considerações:
 A densidade de um corpo material não oco é a
  razão entre sua massa e seu volume. Por ex. a
  densidade do mel é 1300g por litro; 1,3g/cm3.
 densidade = massa/volume, logo
 volume = massa/densidade.
Por ex. o volume de 1kg de mel é dado por
Volume = 1kg/1,3kg/l ≅ 769ml
A massa de um corpo é uma quantidade
calculável por comparação com outra
massa, balança de dos pratos.
O volume do corpo , desde que não seja
esponjoso, pode ser determinado por
imersão deste corpo num tanque de água.

Uma coroa de m gramas de uma liga de ouro
e prata. Deseja-se determinar a quantidade
de x gramas de ouro e a quantidade de y
gramas de prata presentes nessa liga.
volume do ouro = massa do ouro /
 densidade do our.
Densidade do ouro = 19,3g/cm3
Densidade da prata = 10,5 g/cm3.
Volume do ouro =

Volume da prata =
Volume da coroa =            +

Chega-se então ao sistema:
   x + y =m



 Supondo que a coroa do Rei Hierão, tivesse
 massa de 4200g ( será que a cabeça do rei
 aguenta?) e volume 268cm3. Quais as
 quantidades de ouro e prata presentes nessa
 coroa?
               x = 3 039,75    y = 1 160,25
Problemas




1) Duas toneladas de uma liga metálica
   contém 15% de estanho. Que quantidade
   de estanho deve ser adicionada a essa
   liga de modo a aumentar a concentração
   de estanho a 20%?
2) A densidade do ouro é de 19,3g/cm3
e a do cobre é de 8,9 g/cm3. Uma liga
de ouro e cobre tem 6 cm3 e 95g. Quais
são as quantidades de ouro e cobre
presentes na liga?
3) Durante a discussão da reforma do
  sistema previdenciário, na década de 1990,
  aventou-se a hipótese de ser adotada, a
  chamada “fórmula 95”. Segundo ela, os
  trabalhadores teriam direito à
  aposentadoria quando a soma do número
  de anos trabalhados com a idade do
  trabalhador fosse igual a 95. Com que
  idade poderia, aposentar-se uma pessoa
  que tivesse começado a trabalhar com 23
  anos?
4) Considere 3 números a, b, c. A média
 aritmética entre a e b é 17 e a média
 aritmética entre a, b, e c é 15. Qual é o
 valor de c?
5) Numa caixa, o número de moedas de
1 real é o triplo do número de moedas
de 25 centavos. Se tirarmos 2 moedas
de 25 centavos e 26 moedas de 1 real, o
número de moedas de 1 real e de 25
centavos ficará igual. Qual a quantidade
de moedas de 1 real e de 25 centavos?
6) Eu tenho o dobro da idade que tu tinhas
quando eu tinha a tua idade, quando tu
tiveres a minha idade, a soma das nossas
idades será de 45 anos. Quais são as nossas
idades?
7) Uma amostra de água salgada
 apresenta 18% de salinidade. Isto
 significa que em 100 gramas de amostra
 teremos 18 gramas de água. Qual a
 melhor aproximação do percentual de
 água da amostra a ser evaporado se
 quisermos obter 30% de salinidade?
Equações do segundo grau

Da Antiga Babilônia até Diofanto
Os antigos babilônios (ou babilônicos -
  1800.a.C), habitantes do sul da antiga Mesopotâmia
  (parte do atual Iraque), já resolviam o problema de
  encontrar dois números x e y cuja soma é p e cujo
  produto é q. o método empregado pelos
  babilônios, traduzido para nossas notações
  modernas, é basicamente o seguinte:
A priori, x e y são representados na forma:
Dado x + y = p . Tem-se então



de onde

Daqui, se deduz

(os números negativos ainda não haviam sido inventados).
Assim x e y acabam sendo expressos como




Cerca de dois milênios depois (em torno do ano
  250 da era cristã), este mesmo método aparece
  no tratado Arithmetica do grego Diofanto,
  considerado o pai da álgebra no sentido de ter
  sido o primeiro a empregar notações simbólicas
  para expressões algébricas.
Exemplos encontrados nas tábuas de argila dos
 antigos babilônios, bem como no livro
 Arithmetica de Diofanto, resolvidos pelo
 método exposto anteriormente.

Ex1) (Babilônios, 1800 a.C.) Encontre dois
números cuja soma é 14 e cujo produto é 45.

Ex2) (Diofanto, em Arithmetica) Encontre dois
números cuja soma é 20 e cuja soma de seus
quadrados é 208.
Ex3) Dois números cuja soma é 10 e cuja soma
dos seus cubos é 370.
Ex4) Encontre dois números x e y satisfazendo
x – y = 10 e x 3- y 3 = 2170
Método Diofanto: se a diferença x – y= p é
dada, escrevemos x = a + p/2 e y = a – p/2
Ex5) Encontre dois números x e y satisfazendo
x – y = 4 e x3 + y3 = 28(x + y)
Ex6) Resolva a equação x2– 6x = 27 (método
babilônico: Escreva a equação na forma
x.(x – 6) = 27
Ex7) Resolva a equação x2 + 6x = 16 pelo
  método babilônico descrito no ex. anterior
AL-KHWARIZMI
O primeiro tratado a abordar sistematicamente
as equações do 2º grau e suas soluções foi Os
Elementos de Euclides (séc. 3a.C.). Em Os
Elementos, Euclides nos dá soluções
geométricas da equação do segundo grau. Os
métodos geométricos ali encontrados, embora
interessantes, não são práticos.
No início do século 9, o Califa Al
Mamum, recebeu através de um sonho, no qual
teria sido visitado pelo imortal Aristóteles, a
instrução de
fundar um centro de pesquisa e divulgação
  científica. Tal instituição, a Casa de
  Sabedoria, foi fundada em Bagdá, hoje
  capital do Iraque, às margens do Rio Tigre. Lá,
  a convite do Califa, estabeleceu-se Al-
  Khwarizmi, juntamente com outros filósofos
  e matemáticos do mundo árabe.
A pedido do Califa, Al-Khawarizmi, escreveu um
  tratado popular sobre a ciência das
  equações: Livro da Restauração e
  Balanceamento
No seu trabalho, Al-Khwarizmi apresenta dois
métodos geométricos de solução da equação
do 2º grau. Al-Khwarizmi não fazia uso de
notações simbólicas em seu tratado. Sua
equações são escritas no estilo retórico, isto é,
sem o emprego de símbolos.
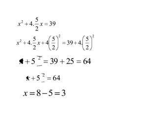
RESOLUÇÃO DA EQUAÇÃO DO 2º GRAU PELOS
MÉTODOS DE AL-KHWARIZMI

x2 + 10x = 39 (pelo 1º método de Al-
Khawarizmi)
Primeiramente a equação é escrita na forma
       10
 x 2 4. x 39 ou seja, x 2 4. 5 x 39
        4                  2
2     5
x       4. x 39
          2
                    2             2
    2     5    5              5
x       4. x 4          39 4.
          2    2              2
           2
    x 5            39 25     64
               2
        x 5        64

        x 8 5 3
x2 + 10x = 39 (pelo 2º método de Al-Khawarizmi)
x2 + 5x + 5x = 39
x2 + 5x + 5x + 52 = 39+52
(x + 5)2 = 39+25 = 64
Equações do 2º grau: Os dois tipos fáceis

I) Equações do tipo: (Ax + B)2= C
 Observar: C < 0 e C = 0
 (3x + 1)2 = 16

II) Equações do tipo : (Ax + B) (A’x + B’) = 0
(2x + 1)(3x – 2) = 0
Fatorando o trinômio:
Seja o trinômio ax2+ bx + c = 0, então a ≠ 0 é
                  b    c
 equivalente  x2     x   0 então sempre que for
                   a   a
conveniente , podemos supor que a equação do 2º
 grau tem a forma x2 + px + q = 0, onde p= b/a e q= c/a
 Precisamos fatorar o trinômio acima para que possa
colocá-la na forma (x - ⍺ )( x - )= x2 –(⍺ + )x + ⍺𝞫 0
                                 𝞫             𝞫     =
Para fatorar o trinômio x2 + px + q, devemos achar
números ⍺, 𝞫 que ⍺ + 𝞫 -p e ⍺ . = q.
              tais           =              𝞫
O problema de achar dois números conhecendo sua
soma e seu produto é muito antigo, já foi resolvido pelos
 babilônicos há cerca de 4 mil anos.
Ex: Meu vizinho, com 20m de cerca, constituiu
  um cercado retangular de 32m2 de área,
  utilizando seu muro como um dos lados.
  Quanto medem os lados desse retângulo?

Ex: Será que meu vizinho não poderia , ainda
  usando o muro como um dos lados, fazer um
  cercado retangular com 32m2 de área, porém
  usando uma cerca menor?
Ex: Comprei algumas garrafas de um bom vinho
  por 540 reais. Por ter obtido um desconto de
  15 reais no preço de cada garrafa, consegui
  comprar 3 garrafas a mais do que previra
  originalmente. Quantas garrafas de vinho
  comprei?
• Equações do 2º grau disfarçadas
   2     3
               1
  x 1   x 2

  x 1        3x 15
• http://www.matematiques.com.br/conteudo.
  php?id=582
• Redefor- Ensino da Algebra Elementar através
  de sua história- Prof. João Carlos V. Sampaio
• A regra da falsa posição – Oscar Guelli
• Provas Profmat
• Projeto Araribá- Ed. Moderna - 7º ano
• Desafios – Site Só Matemática
• Temas e Problemas Elementares: Elon Lages et
  al
• Banco de Questões OBMEP- 2009/2010/2011

Curso: Equações

  • 4.
    “Assim comoo Sol empalidece as estrelas com o seu brilho, um homem inteligente eclipsa a glória de outro homem nos concursos populares, resolvendo os problemas que este lhe propõe”. François Viète
  • 5.
    Esse texto daÍndia antiga fala de um passatempo muito popular dos matemáticos hindus da época: a solução de quebra cabeças em competições públicas, em que o competidor propunha problemas para outro resolver. Sem nenhum sinal, sem nenhuma variável, somente alguns poucos sábios eram capazes de resolver problemas, usando muitos artifícios e trabalhosa construções geométricas.
  • 6.
    Os egípcios nãoutilizavam notação algébrica, os métodos de solução de uma equação eram complexas e cansativos. Os gregos resolviam equações através de Geometria. Foram os árabes que, cultivando a Matemática dos gregos, conseguiram progresso na resolução de equações. Chamavam o valor desconhecido de “coisa”, pronunciada como xay, daí surge o x como tradução simplificada de palavra “coisa”.
  • 7.
    Equações do primeirograu Do ponto de vista elementar, equações são problemas que determina certos valores desconhecidos, sabendo que quando esses valores são manipulados algebricamente, de uma certa maneira, são obtidos certos valores dados. As primeiras equações na forma escrita surgiram no antigo Egito 3000 anos a.C.
  • 8.
    Há aproximadamente 3600anos o faraó do Egito tinha um súdito cujo nome chegou até os nossos dias: Aahmesu, cujo significado é “filho da lua”, era uma pessoa muito simples provavelmente um escriba. Atualmente ele é conhecido como Ahmes autor do Papiro Ahmes, mais famoso como Papiro de Rhind.
  • 9.
    O Papiro deRhind foi encontrado em meados do século passado, presumivelmente nas proximidades do templo de Ramsés II, na antiga cidade de Tebas, no Egito. Em 1858 foi comprado, no local, pelo antiquário escocês A.H. Rhind . O papiro é um rolo com cerca de 30cm de altura e 5m de comprimento e encontra-se hoje, salvo alguns fragmentos, no Museu Britânico.
  • 10.
    O Papiro deRhind é um antigo manual de Matemática, contendo 80 problemas de Álgebra, cada um com a sua solução. Nesse papiro, encontramos as primeiras equações do primeiro grau, na forma de problemas “aha. Aha significava quantidade. Tais problemas referem- se à determinação de quantidades desconhecidas.
  • 11.
    Fragmento do Papirode Rhind – Museu Britânico
  • 12.
    Problemas aha doPapiro RHIND (Prob24) Uma quantidade e seu sétimo, somadas juntas, dão 19, Qual é a quantidade? (Prob25) Uma quantidade e sua metade, somadas juntas, resultam 16. Qual é a quantidade? (Prob28) Uma quantidade e os seus dois terços são adicionados, e da soma um terço da soma é subtraído e ficam 10.Qual é a quantidade?
  • 13.
    Mais um problema: “Um montão, seus dois terços, sua metade, todos ao juntar-se fazem treze. Qual é a quantidade?” O problema se reduz a essa equação:
  • 14.
    Regra da “falsaposição” Para os antigos matemáticos egípcios suas equações vinham expressas totalmente em palavras, a álgebra puramente simbólica estava muito distante de ser inventada. Encontravam a solução deste tipo de equação através de um método chamado regra da falsa posição.
  • 15.
    - Atribuíam umvalor falso a montão, por ex 12:
  • 16.
    Onde se concluique o valor falso 12 está para 26 assim como o valor verdadeiro = montão está para 13. montão = 6 Utilizou-se uma “regra de 3 simples”
  • 17.
    Por que umaregra de 3 simples dá o valor verdadeiro de x? Coincidência? Através da idéia moderna de função : “Se f é uma função cujos valores são dados pela fórmula , para que valor de x temos f(x) = 13?”
  • 18.
    Traçando o gráficode f x f(x) 0 0 3 6,5 Por semelhança de triângulos temos: 12/26 = x/13
  • 19.
    Após ser achado26 como solução, poderia ser aplicado o fator de correção, 13/26, no valor suposto 12.
  • 21.
    Vamos resolver ostrês problemas anteriores pela “regra da falsa posição”. Desafio: “ Doze anéis de prata pesam tanto quanto oito anéis de ouro. Se trocarmos um anel de prata por um anel de ouro, a diferença será de 6 tzin. Digam-me, quanto pesa um anel de prata e um anel de ouro?”
  • 22.
    12p = 8o 12p – 1p + 1o = 7o + 1p + 6tzin 11p + 1o = 7o + 1p + 6 10p – 6o = 6 supondo p = 2 e o = 3, teremos 10.2 – 6.3 = 20 – 18 = 2 solução deveria ser 6 solução foi 2 Aplicando o fator de correção (falso montão p=2 e o =3) Anel de prata = 6, anel de ouro = 9
  • 23.
    Regra da “dupla falsa posição” A regra anterior resolve equações do tipo ax = b, mas para solucionar equações do tipo ax + b =c, a regra não funciona. Supostamente, já antes de Cristo, os babilônios e os chineses usavam neste caso, a regra da “dupla falsa posição”.
  • 24.
    Para achar xtal que ax + b =c, atribui-se dois valores “falsos” x1 e x2. Se d1 = ax1 + b – c e d2 = ax2 + b – c, a proporção =
  • 25.
    A regra, emlinguagem de hoje, se f(x)=ax +b
  • 26.
    Uma outra versãoda mesma regra: Para problemas não lineares a regra poderá dar soluções aproximadas. Esse problema não linear, foi encontrado entre os escritos dos antigos babilônicos. Nele se pergunta em quantos anos duplica um capital de 1 gur, a juros de 20% ao ano
  • 27.
    Em notação dehoje: Após 3 anos o capital ficará multiplicado por (1,2)3 Após 4 anos o capital ficará multiplicado por (1,2)4 Se usarmos a fórmula temos x1=3 f(x1) = 1,728, x2=4 f(x2) = 2,0736
  • 28.
    Obtendo-se x= 3,7870,que nos dá 3 anos, 9 meses e 15 dias.
  • 29.
    Já no séculoXVI, Cardano usa a regra da falsa posição, repetidas vezes em um mesmo problema, a fim de obter melhores aproximações para a solução. Atualmente usamos tal regra, com o nome e Interpolação Linear, para aproximarmos um arco de curva por segmento de reta
  • 30.
    O homem quecalculava Cap V Beremiz resolve um problema e determina a dívida de um joalheiro. ... – Esse homem (e apontou para o joalheiro) veio da Síria vender jóias em Bagdá; prometeu-me que pagaria, pela hospedagem, 20 dinares se vendesse as jóias por 100 dinares, pagando 35 se as vendesse por 200. Ao cabo de vários dias, acabou vendendo tudo por 140 dinares.
  • 31.
    Proporção feita pelomercador de jóia: 200 está para 35, assim como 140 está para x. Total da dívida 24,5. Proporção feita pelo dono da hospedaria: 100 está para 20, assim como 140 está para x. Total da dívida 28. Quem está certo?
  • 32.
    A explicação deBeremiz : A diferença de 100, no preço da venda, corresponde a uma diferença de 15 no preço da hospedagem. Se um acréscimo de 100 na venda traria um aumento de 15 na hospedagem, eu pergunto: Qual será o aumento da hospedagem para acréscimo de 40 na venda? Se a diferença fosse de 20 (que é 1/5 de 100), o aumento da hospedagem
  • 33.
    seria de 3(pois 3 é 1/5 de 15). Para a diferença de 40 (que é o dobro de 20), o acréscimo da hospedagem deverá ser de 6. O pagamento correspondente a 140, é, portanto, de 26. .....
  • 34.
    De uma formaresumida, podemos dizer que quando temos uma função qualquer, dois valores de seu domínio: x1 e x2 e suas respectivas imagens f(x1) e f(x2), se desejarmos obter o valor x, compreendido entre x1 e x2 e que tenha imagem (f(x)=c) compreendida entre f(x1) e f(x2), podemos aplicar a interpolação linear através da relação.
  • 35.
    f(20) = 100e f(35) =200, ou seja x1 = 20 e f(x1) = 100; x2 = 35 e f(x2) = 200, como as jóias foram vendidas por 140 dinares, temos que c=f(x)=140 e desejamos obter o valor correspondente a x, ou seja: Resolvendo essa proporção, obtemos x=26, que são os 26.
  • 36.
    Problemas de balanceamentode misturas 1) Um técnico de laboratório tem duas soluções de ácido sulfúrico (solução ácida= água destilada + ácido). A primeira é 30% ácida e a segunda é 70% ácida. Quantos mililitros de cada ele deve usar para obter 200 ml de uma solução 60% ácida?
  • 37.
    Serão utilizadas xml da sol. de 30% ácida e y ml da sol. 70% ácida. A solução resultante será de 200 ml e 60% ácida. Daí : x ml + y ml = 200 ml 30% de x ml + 70% de y ml = 60% de 200 ml x + y = 200 0,3x + 0,7 y = 0,6. 200 Tudo se reduz a uma equação do 1º grau ao substituir y = 200 – x
  • 38.
    2) Que volumede álcool deve ser adicionado a 600 litros de uma solução 15% alcoólica (solução alcoólica = álcool + água) de modo que a solução resultante seja 25% alcoólica? Em 600 litros temos 15% de álcool = 90 litros de álcool, logo 510 litros de água que corresponde a 85% .
  • 39.
    Queremos que esses510 litros corresponda a 75% da solução ( solução resultante 25% de álcool). Adicionar 80 litros de álcool
  • 40.
    O Banho deArquimedes Arquimedes de Siracusa foi um grande físico e matemático grego do séc. 3 a.C.,pesquisador da “Universidade” de Alexandria, cidade do antigo Egito fundada por Alexandre o Grande às margens do Rio Nilo. Conta uma lenda que o rei Hierão de Alexandria suspeitava que sua coroa não teria sido feita de ouro puro, mas sim de uma mistura (liga) de ouro e prata, e incumbiu Arquimedes de calcular as quantidades desses metais empregadas na confecção da coroa.
  • 41.
    Arquimedes descobriu ummeio de fazer isso enquanto se banhava. Celebrando a descoberta, saiu às ruas gritando Eureka! (Descobri!), tendo no entanto se esquecido de vestir-se ao sair.
  • 42.
    Algumas considerações: Adensidade de um corpo material não oco é a razão entre sua massa e seu volume. Por ex. a densidade do mel é 1300g por litro; 1,3g/cm3. densidade = massa/volume, logo volume = massa/densidade. Por ex. o volume de 1kg de mel é dado por Volume = 1kg/1,3kg/l ≅ 769ml
  • 43.
    A massa deum corpo é uma quantidade calculável por comparação com outra massa, balança de dos pratos. O volume do corpo , desde que não seja esponjoso, pode ser determinado por imersão deste corpo num tanque de água. Uma coroa de m gramas de uma liga de ouro e prata. Deseja-se determinar a quantidade de x gramas de ouro e a quantidade de y gramas de prata presentes nessa liga.
  • 44.
    volume do ouro= massa do ouro / densidade do our. Densidade do ouro = 19,3g/cm3 Densidade da prata = 10,5 g/cm3. Volume do ouro = Volume da prata =
  • 45.
    Volume da coroa= + Chega-se então ao sistema: x + y =m Supondo que a coroa do Rei Hierão, tivesse massa de 4200g ( será que a cabeça do rei aguenta?) e volume 268cm3. Quais as quantidades de ouro e prata presentes nessa coroa? x = 3 039,75 y = 1 160,25
  • 46.
    Problemas 1) Duas toneladasde uma liga metálica contém 15% de estanho. Que quantidade de estanho deve ser adicionada a essa liga de modo a aumentar a concentração de estanho a 20%?
  • 47.
    2) A densidadedo ouro é de 19,3g/cm3 e a do cobre é de 8,9 g/cm3. Uma liga de ouro e cobre tem 6 cm3 e 95g. Quais são as quantidades de ouro e cobre presentes na liga?
  • 48.
    3) Durante adiscussão da reforma do sistema previdenciário, na década de 1990, aventou-se a hipótese de ser adotada, a chamada “fórmula 95”. Segundo ela, os trabalhadores teriam direito à aposentadoria quando a soma do número de anos trabalhados com a idade do trabalhador fosse igual a 95. Com que idade poderia, aposentar-se uma pessoa que tivesse começado a trabalhar com 23 anos?
  • 49.
    4) Considere 3números a, b, c. A média aritmética entre a e b é 17 e a média aritmética entre a, b, e c é 15. Qual é o valor de c?
  • 50.
    5) Numa caixa,o número de moedas de 1 real é o triplo do número de moedas de 25 centavos. Se tirarmos 2 moedas de 25 centavos e 26 moedas de 1 real, o número de moedas de 1 real e de 25 centavos ficará igual. Qual a quantidade de moedas de 1 real e de 25 centavos?
  • 51.
    6) Eu tenhoo dobro da idade que tu tinhas quando eu tinha a tua idade, quando tu tiveres a minha idade, a soma das nossas idades será de 45 anos. Quais são as nossas idades?
  • 52.
    7) Uma amostrade água salgada apresenta 18% de salinidade. Isto significa que em 100 gramas de amostra teremos 18 gramas de água. Qual a melhor aproximação do percentual de água da amostra a ser evaporado se quisermos obter 30% de salinidade?
  • 53.
    Equações do segundograu Da Antiga Babilônia até Diofanto Os antigos babilônios (ou babilônicos - 1800.a.C), habitantes do sul da antiga Mesopotâmia (parte do atual Iraque), já resolviam o problema de encontrar dois números x e y cuja soma é p e cujo produto é q. o método empregado pelos babilônios, traduzido para nossas notações modernas, é basicamente o seguinte: A priori, x e y são representados na forma:
  • 54.
    Dado x +y = p . Tem-se então de onde Daqui, se deduz (os números negativos ainda não haviam sido inventados).
  • 55.
    Assim x ey acabam sendo expressos como Cerca de dois milênios depois (em torno do ano 250 da era cristã), este mesmo método aparece no tratado Arithmetica do grego Diofanto, considerado o pai da álgebra no sentido de ter sido o primeiro a empregar notações simbólicas para expressões algébricas.
  • 56.
    Exemplos encontrados nastábuas de argila dos antigos babilônios, bem como no livro Arithmetica de Diofanto, resolvidos pelo método exposto anteriormente. Ex1) (Babilônios, 1800 a.C.) Encontre dois números cuja soma é 14 e cujo produto é 45. Ex2) (Diofanto, em Arithmetica) Encontre dois números cuja soma é 20 e cuja soma de seus quadrados é 208.
  • 57.
    Ex3) Dois númeroscuja soma é 10 e cuja soma dos seus cubos é 370. Ex4) Encontre dois números x e y satisfazendo x – y = 10 e x 3- y 3 = 2170 Método Diofanto: se a diferença x – y= p é dada, escrevemos x = a + p/2 e y = a – p/2 Ex5) Encontre dois números x e y satisfazendo x – y = 4 e x3 + y3 = 28(x + y) Ex6) Resolva a equação x2– 6x = 27 (método babilônico: Escreva a equação na forma x.(x – 6) = 27
  • 58.
    Ex7) Resolva aequação x2 + 6x = 16 pelo método babilônico descrito no ex. anterior
  • 59.
    AL-KHWARIZMI O primeiro tratadoa abordar sistematicamente as equações do 2º grau e suas soluções foi Os Elementos de Euclides (séc. 3a.C.). Em Os Elementos, Euclides nos dá soluções geométricas da equação do segundo grau. Os métodos geométricos ali encontrados, embora interessantes, não são práticos. No início do século 9, o Califa Al Mamum, recebeu através de um sonho, no qual teria sido visitado pelo imortal Aristóteles, a instrução de
  • 60.
    fundar um centrode pesquisa e divulgação científica. Tal instituição, a Casa de Sabedoria, foi fundada em Bagdá, hoje capital do Iraque, às margens do Rio Tigre. Lá, a convite do Califa, estabeleceu-se Al- Khwarizmi, juntamente com outros filósofos e matemáticos do mundo árabe. A pedido do Califa, Al-Khawarizmi, escreveu um tratado popular sobre a ciência das equações: Livro da Restauração e Balanceamento
  • 61.
    No seu trabalho,Al-Khwarizmi apresenta dois métodos geométricos de solução da equação do 2º grau. Al-Khwarizmi não fazia uso de notações simbólicas em seu tratado. Sua equações são escritas no estilo retórico, isto é, sem o emprego de símbolos.
  • 62.
    RESOLUÇÃO DA EQUAÇÃODO 2º GRAU PELOS MÉTODOS DE AL-KHWARIZMI x2 + 10x = 39 (pelo 1º método de Al- Khawarizmi) Primeiramente a equação é escrita na forma 10 x 2 4. x 39 ou seja, x 2 4. 5 x 39 4 2
  • 64.
    2 5 x 4. x 39 2 2 2 2 5 5 5 x 4. x 4 39 4. 2 2 2 2 x 5 39 25 64 2 x 5 64 x 8 5 3
  • 65.
    x2 + 10x= 39 (pelo 2º método de Al-Khawarizmi) x2 + 5x + 5x = 39
  • 66.
    x2 + 5x+ 5x + 52 = 39+52 (x + 5)2 = 39+25 = 64
  • 67.
    Equações do 2ºgrau: Os dois tipos fáceis I) Equações do tipo: (Ax + B)2= C Observar: C < 0 e C = 0 (3x + 1)2 = 16 II) Equações do tipo : (Ax + B) (A’x + B’) = 0 (2x + 1)(3x – 2) = 0
  • 68.
    Fatorando o trinômio: Sejao trinômio ax2+ bx + c = 0, então a ≠ 0 é b c equivalente x2 x 0 então sempre que for a a conveniente , podemos supor que a equação do 2º grau tem a forma x2 + px + q = 0, onde p= b/a e q= c/a Precisamos fatorar o trinômio acima para que possa colocá-la na forma (x - ⍺ )( x - )= x2 –(⍺ + )x + ⍺𝞫 0 𝞫 𝞫 = Para fatorar o trinômio x2 + px + q, devemos achar números ⍺, 𝞫 que ⍺ + 𝞫 -p e ⍺ . = q. tais = 𝞫 O problema de achar dois números conhecendo sua soma e seu produto é muito antigo, já foi resolvido pelos babilônicos há cerca de 4 mil anos.
  • 69.
    Ex: Meu vizinho,com 20m de cerca, constituiu um cercado retangular de 32m2 de área, utilizando seu muro como um dos lados. Quanto medem os lados desse retângulo? Ex: Será que meu vizinho não poderia , ainda usando o muro como um dos lados, fazer um cercado retangular com 32m2 de área, porém usando uma cerca menor?
  • 70.
    Ex: Comprei algumasgarrafas de um bom vinho por 540 reais. Por ter obtido um desconto de 15 reais no preço de cada garrafa, consegui comprar 3 garrafas a mais do que previra originalmente. Quantas garrafas de vinho comprei?
  • 71.
    • Equações do2º grau disfarçadas 2 3 1 x 1 x 2 x 1 3x 15
  • 72.
    • http://www.matematiques.com.br/conteudo. php?id=582 • Redefor- Ensino da Algebra Elementar através de sua história- Prof. João Carlos V. Sampaio • A regra da falsa posição – Oscar Guelli • Provas Profmat • Projeto Araribá- Ed. Moderna - 7º ano • Desafios – Site Só Matemática • Temas e Problemas Elementares: Elon Lages et al • Banco de Questões OBMEP- 2009/2010/2011