MÓDULO 4MATRIZES    DETERMINANTES NÚMEROS COMPLEXOSPCOPs responsáveis: INÊS  -  AIRTON
"Não é possível refazer este país, democratizá-lo, humanizá-lo,torná-lo sério, com adolescentes brincando de matar gente, ofendendo a vida, destruindo o sonho, inviabilizando o amor. Sea educação sozinha não transformar a sociedade, sem elatampouco a sociedade muda." Paulo Freire
..\..\Downloads\Acreditar na Vida.pps
MatrizesQual o seu significado imediato? Uma tabela de dupla entrada contendo dados numéricos( na grande maioria das vezes)Matrizes são freqüentemente utilizadas para organizar dados.
Ex: As notas finais dos alunos de uma série, podem formar uma matriz cujas colunas correspondem às matérias lecionadas naquela série e cujas linhas representam os alunos. Na interseção de uma linha com uma coluna figura a nota daquele aluno naquela matéria.
MATRIZES DIFERENTES SIGNIFICADOS
Operações entre duas matrizesO polígono EFGH é uma translação do polígono ABCD em quantas unidades na horizontal e na vertical?
Represente em uma matriz A(4x2)  as coordenadas dos vértices do polígono ABCD, de maneira que cada linha da matriz contenha coordenadas de um ponto, com abscissa na primeira coluna e a ordenada na segunda coluna .
Represente em uma matriz B(4x2)  as coordenadas dos vértices do polígono EFGH, de maneira que cada linha da matriz contenha coordenadas de um ponto, com abscissa na primeira coluna e a ordenada na segunda coluna .
Escreva uma matriz C(4x2) de tal forma que A + C = B
Matriz de compensação
a)Se forem ao ar simultaneamente A1 e B3, qual a porcentagem de audiência prevista para cada programa? b) Se forem ao ar simultaneamente A2 e B2, qual rede terá maior audiência? Quantos por cento a mais? c) Qual das combinações de dois programas, um de A e outro de B, permite a maior diferença entre as audiências das duas redes no horário? E qual combinação permite a menor diferença entre as audiências?
MATRIZ DE CODIFICAÇÃO: DESENHANDO COM MATRIZES 
      Um tipo de matriz é aquela em que seus elementos respeitam determinada relação matemática entre os índices que definem sua posição na matriz.    Obter a matriz A assim definida: A= (aij)3x3, tal que aij = i + 2j
Se o elemento cij= 0, não devemos unir i com jSe o elemento cij= 1, devemos unir i com j
Em uma prova com 20 questões, cada questão respondida corretamente ganha-se 2 pontos, cada questão não respondida  perde-se 1 ponto, e cada questão respondida erradamente perde-se 2 ponto,Camila acertou 12, errou 6 e as outras deixou em branco.Pedro acertou 13, errou 7 e as outras em branco.
Calcule quantos pontos cada um fez e coloque o resultado em uma matriz E2x1.
Uma empresa, que possui duas confeitarias, chamadas A e B fabrica 3 tipos de bolos: 1, 2 e 3, os quais são feitos de farinha, açúcar, leite e manteiga e ovos. Em cada semana, as vendas dessas duas confeitarias são estimadas conforme a matriz de venda semanal abaixo:
Para a fabricação desses bolos, o material é usado de acordo com a matriz n seguinte:
   A direção da empresa, a fim de atender à demanda, quer saber a quantidade de cada uma das cinco matérias primas que deve alocar às suas duas confeitarias. A resposta deve ser uma matriz P, do tipo 2x5, onde as linhas representam as duas confeitarias e as colunas correspondem aos cinco materiais usados.
Matriz Transposta:  Dada uma matriz A=(aij)mxn, chama-se transposta de A a matriz At=(aij)nxm tal que a’ji=aij, para todo i e todo j.Matriz Simétrica: Chama-se matriz simétrica toda matriz quadrada A, de ordem n, tal que At = A
Matrizes Inversíveis:    Seja A uma matriz quadrada de ordem n. Dizemos que A é matriz inversível se existir uma matriz B tal que AB= BA= In. Se A não é inversível, temos que A é uma matriz singular
Qual é a inversa da matriz A =             ?Qual é a inversa da matriz A =             ?
DETERMINANTESA teoria  dos determinantes teve origem em meados do século XVII, quando eram estudados processos para resolução de sistemas lineares de equações.
Determinante de uma matriz ordem  1O determinante da matriz de ordem , é o próprio número que origina a matriz. Dada uma matriz quadrada de 1ª ordem temos que o determinante é o número real
O determinante de uma matriz de segunda ordem é a diferença entre o produto dos termos da diagonal principal e o produto dos termos da diagonal secundária. Esses produtos se chamam, respectivamente, termo principal e termo secundário da matriz.Determinante de matriz de ordem 2
Determinante de matriz de terceira ordemO determinante de uma matriz 3x3 é calculado através de suas diagonais.Para calcular o determinante de matrizes de terceira ordem, utilizamos a chamada regra de Sarrus, que resulta no seguinte cálculo:
Calcular o determinante3125
Menor Complementar:Consideremos uma matriz M de ordem n≥2;Seja aij um elemento de M. Definimos menor complementar do elemento aij, e indicamos por Dij, como sendo o determinante da matriz que se obtém suprimindo a linha i e a coluna j de M.
Seja M=                    calculemos D11 e D32, então  D11=                        , então D32=
Complemento algébrico do elemento aij    -  Cofator    Consideremos uma matriz de ordem n≥2; seja aij um elemento de M. Definimos cofator de aij, e indicamos por Aij, como sendo o número (-1)i+j. Dij
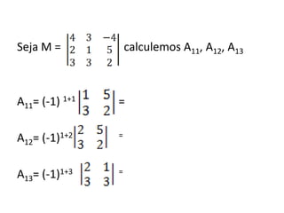
Seja M =                      calculemos A11, A12, A13A11= (-1) 1+1               =A12= (-1)1+2                        =A13= (-1)1+3                        =
Teorema Fundamental (de Laplace)O determinante de uma matriz M, de ordem n≥ 2, é a soma dos produtos dos elementos de uma fila qualquer (linha ou coluna) pelos respectivos cofatores.
Calcule o determinante da matriz abaixo     3    4    2    1      5    0  -1   -2     0    0   4    0     -1   0   3     3
TrabalhoPropriedades dos determinantes
Matriz de Vandermonde (ou das potências)São as matrizes de ordem n ≥2, ............
As colunas das matrizes são formadas por potências de mesma base, com expoente inteiro, variando desde 0 até n -1 ( os elementos de cada coluna formam uma progressão geométrica cujo primeiro elemento é 1.
O determinante V(a1,a2,a3,...,an) é igual ao produto de todas as diferenças possíveis entre os elementos característicos, com a condição de que, nas diferenças, o minuendo tenha índice maior que o subtraendo.
=(5-(-3)) . (5 -1) . ( 5 – 2) . ( -3 -1) . (-3 -2) . (1 – 2)=8.4.3.(-4).(-5).(-1) = -1920
Calcule os determinantes abaixo:
Resolva a equação:1         1        1          1        1         2        x         -5        1         4        x2       25        1         8        x3    -125=  0
Processo de Cálculo da Inversa de uma Matriz Quadrada MTeorema: Se M é uma matriz quadrada de ordem n e determinante M ≠0, então a inversa de M é:                             M’ = matriz dos cofatores=
Qual a condição sobre a para que a matrizM=Seja inversível?
Sistemas Lineares
Vamos resolver:  2x - 3y = 11    x + 2y = 2Para um sistema linear qualquer, podemos associar uma matriz denominada completa, que é formada pelos coeficientes  das incógnitas e também pelos termos independentes.
Dizemos que o sistema linear está escalonado quando realizarmos combinações lineares entre as linhas da matriz completa de modo a zerar todos os elementos aij da matriz em que i > j.   2  -3   111    2    2              Essa é a matriz completa
   2  -3   11             L1   1    2    2              L2                 2      -3     11L1-2L2       0      -7       7Aqui está a combinação linear entre as linhas 1 e 2 da matriz,m gerando uma nova linha 2
A matriz do sistema foi escalonada,.Na nova equação da linha2 da matriz temos:0x – 7y = 7 ou y = - 1 Substituindo esse valor em uma das equações iniciais, obtém-se x = 4
Vamos escalonar?    x +  y +  z = 3  2x – y – 2z = 2     x + 2z = 4S= {(2, 0, 1)}
No método de Cramer, o aluno segue uma rotina determinada- montagem e cálculo dos determinantes, e divisão entre eles.No método do escalonamento o aluno vê envolvido em avaliar possibilidades e escolher estratégias, adotando, dessa forma, uma postura que remete à mobilização de habilidades mais elaboradas e valorizadas na aprendizagem matemática.
Resolver o sistema abaixo:   x – 3y  = -6  2x + y + z = 1  -x + 2y – 2z = 6S={(0, 2, -1)}
Por Cramer o sistema será apenas identificado  como possível e indeterminado, mas não ajudaria na resolução.  x + y + z = 3  2x – y + 3z = 4  -x -4y = -5S={(5 – 4k, k, -2 + 3k), kϵ R}
O método de Sarrus  para a obtenção de um determinante é bastante prático de ser utilizado em outra situações , que não envolvam resolução de sistemas lineares , por ex. em cálculo de áreas de polígonos representados no plano cartesiano.
Conhecendo as coordenadas dos vértices de um triângulo representado no plano cartesiano, é possível calcularmos sua área por intermédio da composição e/ou de composição de polígonos auxiliares.
área de triângulo.ggb
Área(ABC)= área(ADEF) – área(AFC) – área(ABD) – área(BCE)
Área(DEFC)= (xB - xC).(yA- yC)Área(BFC) = [(xB - xC).(yB- yC)]/2Área(ABE) = [(xB - xA).(yA- yB)]/2Área(ADC) = [(xA- xC).(yA- yC)]/2Área do triângulo ABC= (xB - xC).(yA- yC)-{[(xB - xC).(yB- yC)]/2 + [(xB - xA).(yA- yB)]/2 + [(xA- xC).(yA- yC)]/2}Área do      ABC = [xA.yB+xC.yA+xB.yC-(xC.yB+xA.yC+xB.yA)]/2
Por determinante½xA.yB+xC.yA+xB.yC-(xC.yB+xA.yC+xB.yA)]/2
Vamos determinar a área do polígono?
De outra maneira, em uma extensão de regra de Sarrus, o cálculo da área de um polígono de n lados, representado no plano cartesiano, pode ser feito como segue, sendo xi e yi as coordenadas de cada vértice do polígono com n vértices.A=
1/2
Nos produtos indicados pelas setas, vale, seguindo o mesmo raciocínio do cálculo pelo método de Sarrus.Metade do resultado final da soma, em módulo, é igual à área do polígono de n lados.O ponto inicial pode ser qualquer um dos vértices do polígono e o sentido, horário ou anti-horário, não importa, dado que o valor final é tomado em módulo.
Calcule a área do pentágono COISA representado abaixo

Implementação mód4 -

  • 1.
    MÓDULO 4MATRIZES DETERMINANTES NÚMEROS COMPLEXOSPCOPs responsáveis: INÊS - AIRTON
  • 2.
    "Não é possívelrefazer este país, democratizá-lo, humanizá-lo,torná-lo sério, com adolescentes brincando de matar gente, ofendendo a vida, destruindo o sonho, inviabilizando o amor. Sea educação sozinha não transformar a sociedade, sem elatampouco a sociedade muda." Paulo Freire
  • 3.
  • 4.
    MatrizesQual o seusignificado imediato? Uma tabela de dupla entrada contendo dados numéricos( na grande maioria das vezes)Matrizes são freqüentemente utilizadas para organizar dados.
  • 5.
    Ex: As notasfinais dos alunos de uma série, podem formar uma matriz cujas colunas correspondem às matérias lecionadas naquela série e cujas linhas representam os alunos. Na interseção de uma linha com uma coluna figura a nota daquele aluno naquela matéria.
  • 6.
  • 7.
    Operações entre duasmatrizesO polígono EFGH é uma translação do polígono ABCD em quantas unidades na horizontal e na vertical?
  • 8.
    Represente em umamatriz A(4x2) as coordenadas dos vértices do polígono ABCD, de maneira que cada linha da matriz contenha coordenadas de um ponto, com abscissa na primeira coluna e a ordenada na segunda coluna .
  • 9.
    Represente em umamatriz B(4x2) as coordenadas dos vértices do polígono EFGH, de maneira que cada linha da matriz contenha coordenadas de um ponto, com abscissa na primeira coluna e a ordenada na segunda coluna .
  • 10.
    Escreva uma matrizC(4x2) de tal forma que A + C = B
  • 11.
  • 12.
    a)Se forem aoar simultaneamente A1 e B3, qual a porcentagem de audiência prevista para cada programa? b) Se forem ao ar simultaneamente A2 e B2, qual rede terá maior audiência? Quantos por cento a mais? c) Qual das combinações de dois programas, um de A e outro de B, permite a maior diferença entre as audiências das duas redes no horário? E qual combinação permite a menor diferença entre as audiências?
  • 13.
    MATRIZ DE CODIFICAÇÃO:DESENHANDO COM MATRIZES 
  • 14.
    Um tipo de matriz é aquela em que seus elementos respeitam determinada relação matemática entre os índices que definem sua posição na matriz. Obter a matriz A assim definida: A= (aij)3x3, tal que aij = i + 2j
  • 15.
    Se o elementocij= 0, não devemos unir i com jSe o elemento cij= 1, devemos unir i com j
  • 17.
    Em uma provacom 20 questões, cada questão respondida corretamente ganha-se 2 pontos, cada questão não respondida perde-se 1 ponto, e cada questão respondida erradamente perde-se 2 ponto,Camila acertou 12, errou 6 e as outras deixou em branco.Pedro acertou 13, errou 7 e as outras em branco.
  • 19.
    Calcule quantos pontoscada um fez e coloque o resultado em uma matriz E2x1.
  • 20.
    Uma empresa, quepossui duas confeitarias, chamadas A e B fabrica 3 tipos de bolos: 1, 2 e 3, os quais são feitos de farinha, açúcar, leite e manteiga e ovos. Em cada semana, as vendas dessas duas confeitarias são estimadas conforme a matriz de venda semanal abaixo:
  • 21.
    Para a fabricaçãodesses bolos, o material é usado de acordo com a matriz n seguinte:
  • 22.
    A direção da empresa, a fim de atender à demanda, quer saber a quantidade de cada uma das cinco matérias primas que deve alocar às suas duas confeitarias. A resposta deve ser uma matriz P, do tipo 2x5, onde as linhas representam as duas confeitarias e as colunas correspondem aos cinco materiais usados.
  • 23.
    Matriz Transposta: Dada uma matriz A=(aij)mxn, chama-se transposta de A a matriz At=(aij)nxm tal que a’ji=aij, para todo i e todo j.Matriz Simétrica: Chama-se matriz simétrica toda matriz quadrada A, de ordem n, tal que At = A
  • 24.
    Matrizes Inversíveis: Seja A uma matriz quadrada de ordem n. Dizemos que A é matriz inversível se existir uma matriz B tal que AB= BA= In. Se A não é inversível, temos que A é uma matriz singular
  • 25.
    Qual é ainversa da matriz A = ?Qual é a inversa da matriz A = ?
  • 26.
    DETERMINANTESA teoria dos determinantes teve origem em meados do século XVII, quando eram estudados processos para resolução de sistemas lineares de equações.
  • 27.
    Determinante de umamatriz ordem 1O determinante da matriz de ordem , é o próprio número que origina a matriz. Dada uma matriz quadrada de 1ª ordem temos que o determinante é o número real
  • 28.
    O determinante deuma matriz de segunda ordem é a diferença entre o produto dos termos da diagonal principal e o produto dos termos da diagonal secundária. Esses produtos se chamam, respectivamente, termo principal e termo secundário da matriz.Determinante de matriz de ordem 2
  • 29.
    Determinante de matrizde terceira ordemO determinante de uma matriz 3x3 é calculado através de suas diagonais.Para calcular o determinante de matrizes de terceira ordem, utilizamos a chamada regra de Sarrus, que resulta no seguinte cálculo:
  • 30.
  • 31.
    Menor Complementar:Consideremos umamatriz M de ordem n≥2;Seja aij um elemento de M. Definimos menor complementar do elemento aij, e indicamos por Dij, como sendo o determinante da matriz que se obtém suprimindo a linha i e a coluna j de M.
  • 32.
    Seja M= calculemos D11 e D32, então D11= , então D32=
  • 33.
    Complemento algébrico doelemento aij - Cofator Consideremos uma matriz de ordem n≥2; seja aij um elemento de M. Definimos cofator de aij, e indicamos por Aij, como sendo o número (-1)i+j. Dij
  • 34.
    Seja M = calculemos A11, A12, A13A11= (-1) 1+1 =A12= (-1)1+2 =A13= (-1)1+3 =
  • 35.
    Teorema Fundamental (deLaplace)O determinante de uma matriz M, de ordem n≥ 2, é a soma dos produtos dos elementos de uma fila qualquer (linha ou coluna) pelos respectivos cofatores.
  • 36.
    Calcule o determinanteda matriz abaixo 3 4 2 1 5 0 -1 -2 0 0 4 0 -1 0 3 3
  • 37.
  • 38.
    Matriz de Vandermonde(ou das potências)São as matrizes de ordem n ≥2, ............
  • 39.
    As colunas dasmatrizes são formadas por potências de mesma base, com expoente inteiro, variando desde 0 até n -1 ( os elementos de cada coluna formam uma progressão geométrica cujo primeiro elemento é 1.
  • 40.
    O determinante V(a1,a2,a3,...,an)é igual ao produto de todas as diferenças possíveis entre os elementos característicos, com a condição de que, nas diferenças, o minuendo tenha índice maior que o subtraendo.
  • 41.
    =(5-(-3)) . (5-1) . ( 5 – 2) . ( -3 -1) . (-3 -2) . (1 – 2)=8.4.3.(-4).(-5).(-1) = -1920
  • 42.
  • 43.
    Resolva a equação:1 1 1 1 1 2 x -5 1 4 x2 25 1 8 x3 -125= 0
  • 44.
    Processo de Cálculoda Inversa de uma Matriz Quadrada MTeorema: Se M é uma matriz quadrada de ordem n e determinante M ≠0, então a inversa de M é: M’ = matriz dos cofatores=
  • 45.
    Qual a condiçãosobre a para que a matrizM=Seja inversível?
  • 46.
  • 47.
    Vamos resolver: 2x - 3y = 11 x + 2y = 2Para um sistema linear qualquer, podemos associar uma matriz denominada completa, que é formada pelos coeficientes das incógnitas e também pelos termos independentes.
  • 48.
    Dizemos que osistema linear está escalonado quando realizarmos combinações lineares entre as linhas da matriz completa de modo a zerar todos os elementos aij da matriz em que i > j. 2 -3 111 2 2 Essa é a matriz completa
  • 49.
    2 -3 11 L1 1 2 2 L2 2 -3 11L1-2L2 0 -7 7Aqui está a combinação linear entre as linhas 1 e 2 da matriz,m gerando uma nova linha 2
  • 50.
    A matriz dosistema foi escalonada,.Na nova equação da linha2 da matriz temos:0x – 7y = 7 ou y = - 1 Substituindo esse valor em uma das equações iniciais, obtém-se x = 4
  • 51.
    Vamos escalonar? x + y + z = 3 2x – y – 2z = 2 x + 2z = 4S= {(2, 0, 1)}
  • 52.
    No método deCramer, o aluno segue uma rotina determinada- montagem e cálculo dos determinantes, e divisão entre eles.No método do escalonamento o aluno vê envolvido em avaliar possibilidades e escolher estratégias, adotando, dessa forma, uma postura que remete à mobilização de habilidades mais elaboradas e valorizadas na aprendizagem matemática.
  • 53.
    Resolver o sistemaabaixo: x – 3y = -6 2x + y + z = 1 -x + 2y – 2z = 6S={(0, 2, -1)}
  • 54.
    Por Cramer osistema será apenas identificado como possível e indeterminado, mas não ajudaria na resolução. x + y + z = 3 2x – y + 3z = 4 -x -4y = -5S={(5 – 4k, k, -2 + 3k), kϵ R}
  • 55.
    O método deSarrus para a obtenção de um determinante é bastante prático de ser utilizado em outra situações , que não envolvam resolução de sistemas lineares , por ex. em cálculo de áreas de polígonos representados no plano cartesiano.
  • 56.
    Conhecendo as coordenadasdos vértices de um triângulo representado no plano cartesiano, é possível calcularmos sua área por intermédio da composição e/ou de composição de polígonos auxiliares.
  • 57.
  • 59.
    Área(ABC)= área(ADEF) –área(AFC) – área(ABD) – área(BCE)
  • 61.
    Área(DEFC)= (xB -xC).(yA- yC)Área(BFC) = [(xB - xC).(yB- yC)]/2Área(ABE) = [(xB - xA).(yA- yB)]/2Área(ADC) = [(xA- xC).(yA- yC)]/2Área do triângulo ABC= (xB - xC).(yA- yC)-{[(xB - xC).(yB- yC)]/2 + [(xB - xA).(yA- yB)]/2 + [(xA- xC).(yA- yC)]/2}Área do ABC = [xA.yB+xC.yA+xB.yC-(xC.yB+xA.yC+xB.yA)]/2
  • 62.
  • 63.
    Vamos determinar aárea do polígono?
  • 64.
    De outra maneira,em uma extensão de regra de Sarrus, o cálculo da área de um polígono de n lados, representado no plano cartesiano, pode ser feito como segue, sendo xi e yi as coordenadas de cada vértice do polígono com n vértices.A=
  • 65.
  • 66.
    Nos produtos indicadospelas setas, vale, seguindo o mesmo raciocínio do cálculo pelo método de Sarrus.Metade do resultado final da soma, em módulo, é igual à área do polígono de n lados.O ponto inicial pode ser qualquer um dos vértices do polígono e o sentido, horário ou anti-horário, não importa, dado que o valor final é tomado em módulo.
  • 67.
    Calcule a áreado pentágono COISA representado abaixo