COMPOSTOS HETEROCÍCLICOS

     1)Nomenclatura e exemplos

       Compostos heterocíclicos são compostos cíclicos contendo, no anel, um ou mais átomos
diferentes do carbono. Normalmente, os heteroátomos mais comuns são o nitrogênio, o oxigênio e o
enxofre. Na verdade, só consideramos como verdadeiros compostos heterocíclicos aqueles que possuem
anéis estáveis. Deste modo, excluímos compostos como, por exemplo, epóxidos e anidridos cíclicos,
pois estes compostos sofrem facilmente a ruptura do anel, dando reações que mais se assemelham às
reações dos compostos acíclicos.

     Não há nenhuma regra rigorosa para a nomenclatura dos heterocíclicos. A maioria deles tem
nomes particulares.

Alguns exemplos importantes:




                                                                                               69
2)A estabilidade dos compostos heterocíclicos

      Os heterocíclicos mais interessantes e mais importantes são os que possuem caráter aromático. Os
heterocíclicos aromáticos mais simples são o pirrol, o furano e o tiofeno (veja acima), de anéis
pentagonais. A estabilidade destes compostos é explicada da mesma forma que no anel benzênico,
através das suas estruturas de ressonância, que conferem grande estabilidade química ao composto.

       Em geral, os heterocíclicos aromáticos dão preferência a reações de substituição eletrofílica:
nitração, sulfonação, halogenação, adições de Friedel-Crafts etc, que mantêm a integridade do anel
aromático. Os calores de combustão destes compostos indicam uma energia de estabilização de
ressonância de 22-28 kcal/mol, um pouco menor do que a do benzeno (36 kcal/mol), porém, muito
maior do que a maioria dos dienos conjugados (3 kcal/mol). A representação dos anéis heterocíclicos
aromáticos devem ser representadas, como no benzeno, por um círculo inscrito no anel, indicando a
ressonância. Comparativamente, quanto à estabilidade do anel a ao caráter aromático, podemos dizer
que: tiofeno >> pirrol >> furano.

       3)Principais ocorrências dos compostos heterocíclicos

       Os anéis heterocíclicos são importantes, pois aparecem frequentemente em produtos naturais,
como açúcares, hemoglobina, clorofila, vitaminas e alcalóides (cafeína, cocaína, estriquinina etc). Anéis
heterocíclicos existem também em medicamentos sintéticos, como os antibióticos (penicilina, amicetina,
eritromicina etc)

   •    O furano aparece na no alcatrão de madeira (pinheiro); o tiofeno e o pirrol existem no alcatrão de
        hulha

   •    O anel da pirrolidina aparece na cocaína e na atropina

   •    O anel do indol é o núcleo central do triptofano, um aminoácido essencial, e em certos
        hormônios

   •    A estrutura da purina aparece na cafeína, no ácido úrico e na adenosina (uma base nitrogenada
        existente nos ácidos nucléicos)

   •    A piridina aparece no alcatrão de hulha e na fumaça de cigarro, em decorrência da decomposição
        da nicotina

   •    A piridina, quando reduzida, origina a piperidina, cujo núcleo encontra-se na cocaína e na
        piperina (alcalóide de pimenta branca)

   •    O núcleo da pirimidina aparece em bases nitrogenadas existentes nos ácidos nucléicos

   •    O núcleo do benzopirano aparece em corantes de folhas, flores e frutos

   •    A quinolina existe no alcatrão de hulha e seu núcleo aparece também na quinina.




                                                                                                       70
•    A isoquinolina ocorre no alcatrão de hulha e seu núcleo aparece na morfina e na papaverina

   •    O núcleo do imidazol aparece na histamina (substância responsável por muitas reações alérgicas)

       4- Algumas aplicações dos compostos heterocíclicos

   •    O furano, por hidrogenação, produz o tetrahidrofurano, usado como solvente.

   •    A hidrólise do furano produz o furfural (um aldeído), usado na fabricação de plásticos e também
        como solvente para remover impurezas de óleos lubrificantes.

   •    O pirrol é utilizado para fabricação de polímeros de cor vermelha

   •    O indol tem odor agradável e serve à fabricação de perfumes, mas sua grande importância reside
        no fato de servir como matéria-prima para a fabricação do índigo blue, um corante azul, utilizado
        no tingimento de tecidos.

   •    A piridina tem um baixo caráter básico (devido ao efeito de ressonância do anel, que deslocaliza
        o par eletrônico do nitrogênio), mais fraco que o das aminas terciárias, e é utilizada como
        catalisador básico em sínteses orgânicas e para desnaturar o álcool etílico (tornar o etanol
        industrial impróprio para a fabricação de bebidas)

   •    A pirimidina é usada na fabricação de certos barbituratos (medicamentos usados em sedativos e
        soporíficos) e certas sulfas

   •    Alcalóides são compostos nitrogenados, em geral, heterocíclicos, de caráter básico, que são
        normalmente produzidos por vegetais e têm ação enérgica sobre os animais - em pequenas
        quantidades podem servir como medicamentos, e em doses maiores são tóxicos. Quase todos os
        alcalóides são substâncias sólidas, de sabor amargo. A classificação mais aceita para os
        alcalóides é aquela que os agrupa de acordo com o núcleo da qual derivam. Os principais grupos
        de alcalóides são:

     Coniina - Encontrada na cicuta, é um dos poucos alcalóides que se apresenta sob a forma líquida.
É um veneno fortíssimo.

      Piperina - Principal alcalóide da pimenta negra. A toxidez dessa substância é relativamente baixa
em relação à dos demais alcalóides.

      Nicotina - Principal alcalóide do tabaco, podendo alcançar 4 a 5% da folha seca. O produto puro é
um líquido incolor. É um veneno muito violento. Por oxidação pelo dicromato de potássio, dá origem ao
ácido nicotínico, que é uma das vitaminas do complexo B.




                                                                                                      71
•    Alcalóides relacionados com a quinolina:

       Quinina - É um pó branco pouco solúvel em água, mas forma sais solúveis, sendo utilizada sob
esta forma.

      Cinconina - É muito semelhante à quinina em sua estrutura química. Diferencia-se dela porque,
em lugar de um grupamento OCH3, apresenta um átomo de hidrogênio.

      Estricnina - Em pequenas doses, a estricnina é utilizada como tônico. Em doses elevadas, porém,
pode causar a morte.

   •    Alcalóides relacionados com a isoquinolina:

      Morfina - É um sedativo de grande potência e largamente empregado como tal. Por causar
dependência, seu emprego é extremamente controlado.

       Codeína e Heroína - São também utilizados como narcóticos analgésicos.




                                                                                                  72
4)Nomenclatura




                 73
5)Classificação

       Os compostos heterocíclicos podem ser classificados como aromáticos e não aromáticos. Para os
compostos aromáticos devemos nos lembrar da Regra de Hückel: a aromaticidade é observada em
sistemas cíclicos conjugados contendo 4n+2 elétrons π. A aromaticidade será discutida a seguir de
forma mais detalhada para anéis de cinco e seis membros, os mais comuns para os compostos
heterocíclicos.

6.a- Heterociclos de cinco átomos
       Os compostos heterocíclicos de 5 membros como o pirrol, que parece ter somente 4 elétrons π,
são problemáticos quando se pensa na regra de Hückel.




Comparação com homociclos aromáticos



   •   Pela aromaticidade: química do benzeno
   •   Pela eletronegatividade: química do benzeno substituído por um doador de elétrons (N, O, S)
   •   Pela presença do heteroátomo: reações próprias (basicidade, acidez)
Comparação com homociclos aromáticos


                               As estruturas de ressonância:




       Devido a maior densidade eletrônica no anel, este tipo de heterocíclico é chamado de rico em
elétrons ou π-excessivo. Seu caráter aromático deriva da participação do par de elétrons não


                                                                                                     74
compartilhado do heteroátomo. O sexteto aromático fica completo como podemos ver nos orbitais
mostrados a seguir.
Orbitais, elétrons e posições reativas:




Influência do tipo de heteroátomo no caráter aromático dos heterociclos de 5 membros




                              Decréscimo da energia de estabilização aromática




                                           As posições reativas:




As posições reativas e os respectivos ataques de espécies eletrofílicas ou nucleofílicas:




Lembrando que E+ refere-se a um ataque de uma espécie eletrofílica e Nu- ao ataque de uma espécie
nucleofílica




                                                                                              75
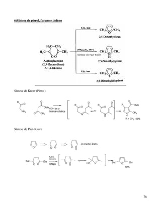
6)Síntese de pirrol, furano e tiofeno




Síntese de Knorr (Pirrol)




Síntese de Paal-Knorr




                                        76
7)Reações de Pirrol, Furano e Tiofeno

Caráter básico e ácido
Pirrol é muito pouco básico. A protonação ocorre no carbono alfa! Por que a protonação ocorre no
carbono alfa?




                                   Polimerização do pirrol

2- Caráter ácido




Reações frente a eletrófilos (Substituição Eletrofílica Heteroaromática) – Ataque preferencial na posição
2 ou alfa, conforme pode ser visto no ataque de um eletrófilo nas respectivas posições α e β.




                                                                                                      77
Substituição Eletrofílica Heteroaromática: Posição α preferencialmente à posição β




Ordem de reatividade frente a eletrófilos: Pirrol > furano > tiofeno > Benzeno

Exemplos de reações de SEHetAr. Como o pirrol é muito reativo em meio ácido, este polimeriza
facilmente nas condições mostradas a seguir:




                                                                                         78
Para que o pirrol não polimerize, ele deve sofrer reação com nitrato de acetila. Ocorre a formação de
uma mistura de 2-nitropirrol e 3-nitropirrol na proporção de 4:1.




O agente nitrante (nitrato de acetila) é preparado a partir de uma mistura de ácido nítrico fumegante e
anidrido acético: HNO3 + Ac2O         AcONO2 + AcOH

Quebra do furano em condições fortemente ácidas também ocorre:




E aqui também ocorre a preparação a partir do nitrato de acetila, com temperatura de -5oC e tratamento
posterior com piridina:

                            AcO NO2                         piridi na
                                o
                    O        - 5 C AcO          O     NO2                  O     NO2

       Os tiofenos também apresentam resultados satisfatórios na reação com nitrato de acetila, numa
proporção de 6:1 do derivado substituído na posição 2 em relação à substituição na posição 3.

7.1)Halogenações


   •   Pirrol: Sofre halogenação tão facilmente que se não forem usadas condições controladas,
       somente são isolados Tetra-halo-pirróis.

                                                                      Cl        Cl
                                   S O2 C l 2           S O2 C l 2

                     N      Cl     Et 2O        N        Et 2O       Cl    N      Cl
                     H             0oC          H                          H




                                                                                                    79
•   Tiofeno: reage fortemente com Cl2 e Br2, sendo difícil a preparação de monossubstituídos

                                 I2, HNO 3                     Br2, HBr 48%

                             I                                o         o                         Br
                     S                              S      -25 C      -5 C               S


                                             S O2C l 2 ∆


                                                                  +
                                                           Cl              Cl                Cl
                                                    S                                S

                                                   43%                                   10%


   •   Furano: reage fortemente com Cl2 e Br2 à temperatura ambiente, dando produtos poli-
       halogenados. Sob condições controladas é possível obter o 2-bromo-furano.


                                         +
                Br2, 0o C                                  -
                                                        + Br     H              H            -HBr
                                              H
                                     O                                 O                                   Br
       O         O    O                       Br                 Br             Br                     O




7.2) Reação de Diels-Alder



Caráter dieno relacionado com a aromaticidade




                                                                                                                80
Furano e a reação de Diels-Alder




                                                    Cicloadição 1,4 (térmico)



Pirrol e a reação de Diels-Alder. Exemplo da reação do benzino com o N-metil-pirrol




                                                                                      81
8) Heterociclos de seis membros

8.1) Piridina

       Derivados da piridina em processos biológicos




Herbicidas, fungicidas e agentes quimioterápicos.




       Um anel piridínico pode ser considerado como tendo dois tipos de grupos funcionais: i) um anel
aromático e ii) uma imina. Como o nitrogênio é mais eletronegativo do que o carbono, ele retira elétrons
do anel tanto por efeito indutivo quanto por ressonância.
       A piridina pode ser considerada formalmente como derivada do benzeno pela troca de um CH
por N. Diferenças principais:


                                                                                                     82
a) Não tem mais a geometria hexagonal regular perfeita devido à presença do heteroátomo.
       b) Troca de um H no plano do anel por um par de elétrons não comparilhado.




       c) Existência de forte dipolo permanente

Podemos escrever para a piridina as seguintes estruturas de ressonância:




Na piridina os efeitos indutivo e mesomérico atuam no mesmo sentido: há um dipolo permanente no
sentido do nitrogênio. A piridina e heterociclos semelhantes são chamados pobres em elétrons ou -
deficientes.

                                               2,2 D                   1,2 D
                                     N                        N
                                                              H

As posições relativas, referentes a ataques de espécies nucleofílicas e eletrofílicas:




Caráter básico




                                                                                                  83
8.2)Reações da piridina

a) Substituição Eletrofílica Hetroaromática

       Piridina sofre reações de substituição eletrofílica hetroaromática somente em condições
extremas, tendo um comportamento parecido com um anel benzênico contendo grupos retiradores de
elétrons. Assim, reações de acilação de Friedel-Crafts não ocorrem com piridinas. Piridina é pobre em
elétrons.




Reação de halogenação:




Os N-óxidos de piridina são uma alternativa para reações de Substituição Eletrofílica Heteroaromática
em anés piridínicos.




N-óxido de piridina e as estruturas de ressonância:




                                                                                                  84
N-óxido de piridina: as posições reativas frente à eletrófilos (alternativa para reação de SEAr para
piridinas)




Remoção do óxido com PCl3:




Aplicações de reações de N-óxido piridina: reações com eletrófilos




Mais dois exemplos:




Desta forma, é possível introduzir um eletrófilo no anel piridínico nas posições 2 ou 4 através de um N-
óxido piridina e posteriormente remover o oxigênio utilizando PCl3


                                                                                                     85
b)Reação pelo Nitrogênio do anel

Piridinas devido ao seu caráter básico reagem com ácidos formando sais de piridínio.




Reage também com eletrófilos, como no exemplo da alquilação de aminas




Reação com eletrófilos:




Piridina como transportador de eletrófilos:




c) Reações com Reagentes Nucleofílicos

Piridinas sofrem reações frente à nucleófilos (reações de substituição nucleofílica) mais facilmente que
os benzenos derivados, nas posições indicadas a seguir.




                                                                                                     86
Um bom exemplo é a aminação da piridina com amideto de sódio em amônia que forma o 2-amino-
piridina num rendimento de aproximadamente 70% (Reação de Chichibabin), conforme detalhado a
seguir.




Mecanismo (Adição/Eliminação):




Sofre também reação de alquilação com alquil ou aril lítio:




                                                                                         87
Piridinas sofrem reações de substituição nucleofílica Heteroaromática, principalmente as halopiridinas.
Halogênios como substituintes nas posições 2 e 4 (α e γ respectivamente) são deslocados de maneira
relativamente fácil por vários nucleófilos via mecanismo de adição-eliminação.




d) Reação com agentes oxidantes

Reação de oxidação das alquilpiridinas. Este mesmo processo oxidativo também pode ser feito
utilizando-se permanganato de potássio, e posterior acidificação do meio.




e) Reação com agentes redutores

Reações com agentes redutores. As piridinas são muito mais facilmente reduzidas do que os benzenos.
Como por exemplo, a redução com catalisadores como platina ou níquel de Raney




Ou com hidretos metálicos:




                                                                                                    88
9)Resumo das principais estruturas dos compostos heterocíclicos




                                                                  89
10)Exercícios sobre Compostos Heterocíclicos


10.1)Qual é o nome dos seguintes compostos?
                                   Me                                                   CH2CH2CH3
              a)                          b)                                    c)
                   Me        O                  Br         N       CO2H

                                                           CH 2CH3                      N

                                                     CH3
                                 CONH2                                                              Br
                                                                       CH3
              d)                          e)                                       f)
                        N                                                          Br         N
                                                               O

                                 CH2CH3


              g)                          h)
                                   N
                                                            N          CO2H
                                 CH3
                                                               H
10.2)Por que a anilina (PhNH2 , Kb = 4,2 x 10-10) é menos básica do que a piridina (Kb = 2,3 x 10-9) ?
10.3)Quais os produtos das seguintes reações?

     a)            + HCl                              c)                 + CH 3I
          N                                                        N
                                                                   H


     b)            + CH 3I
          N
10.4)Mostre o produto principal das reações abaixo:


                     CH 3CONO 2                                    Ac 2O/BF 3
a)                                         b)
          O                                           O



                            + _
                        PhN 2 Cl                                        Br 2
 c)                                        d)
          N                                           S                 PhH
          H



                                                                                                         90
10.5) Mostre os produtos de mononitração dos seguintes compostos:

               NO2                          OMe

   a)                     b)                      c)                       d)
          N                         S                  N       OMe              CH3        S   OMe
          H                                            H

10.6) Mostre os produtos das reações da piridina com os seguintes reagentes:

   a)   Br2/300°C
   b)   1)KNO3/H2SO4 2)KOH
   c)   H2SO4 (350°C)
   d)   MeCOCl/AlCl3

10.7) Qual é o produto das seguintes reações?

                                        _                                         _
                                            OEt                                       NH 2
                a)                                             b)
                      N        Cl                                      N


10.8) Complete a seqüência reacional:


                                                                     PhCH 2Cl
                                        +     K            ?                           ?
                               N
                               H




                                                                                                     91

Heterocíclicos

  • 1.
    COMPOSTOS HETEROCÍCLICOS 1)Nomenclatura e exemplos Compostos heterocíclicos são compostos cíclicos contendo, no anel, um ou mais átomos diferentes do carbono. Normalmente, os heteroátomos mais comuns são o nitrogênio, o oxigênio e o enxofre. Na verdade, só consideramos como verdadeiros compostos heterocíclicos aqueles que possuem anéis estáveis. Deste modo, excluímos compostos como, por exemplo, epóxidos e anidridos cíclicos, pois estes compostos sofrem facilmente a ruptura do anel, dando reações que mais se assemelham às reações dos compostos acíclicos. Não há nenhuma regra rigorosa para a nomenclatura dos heterocíclicos. A maioria deles tem nomes particulares. Alguns exemplos importantes: 69
  • 2.
    2)A estabilidade doscompostos heterocíclicos Os heterocíclicos mais interessantes e mais importantes são os que possuem caráter aromático. Os heterocíclicos aromáticos mais simples são o pirrol, o furano e o tiofeno (veja acima), de anéis pentagonais. A estabilidade destes compostos é explicada da mesma forma que no anel benzênico, através das suas estruturas de ressonância, que conferem grande estabilidade química ao composto. Em geral, os heterocíclicos aromáticos dão preferência a reações de substituição eletrofílica: nitração, sulfonação, halogenação, adições de Friedel-Crafts etc, que mantêm a integridade do anel aromático. Os calores de combustão destes compostos indicam uma energia de estabilização de ressonância de 22-28 kcal/mol, um pouco menor do que a do benzeno (36 kcal/mol), porém, muito maior do que a maioria dos dienos conjugados (3 kcal/mol). A representação dos anéis heterocíclicos aromáticos devem ser representadas, como no benzeno, por um círculo inscrito no anel, indicando a ressonância. Comparativamente, quanto à estabilidade do anel a ao caráter aromático, podemos dizer que: tiofeno >> pirrol >> furano. 3)Principais ocorrências dos compostos heterocíclicos Os anéis heterocíclicos são importantes, pois aparecem frequentemente em produtos naturais, como açúcares, hemoglobina, clorofila, vitaminas e alcalóides (cafeína, cocaína, estriquinina etc). Anéis heterocíclicos existem também em medicamentos sintéticos, como os antibióticos (penicilina, amicetina, eritromicina etc) • O furano aparece na no alcatrão de madeira (pinheiro); o tiofeno e o pirrol existem no alcatrão de hulha • O anel da pirrolidina aparece na cocaína e na atropina • O anel do indol é o núcleo central do triptofano, um aminoácido essencial, e em certos hormônios • A estrutura da purina aparece na cafeína, no ácido úrico e na adenosina (uma base nitrogenada existente nos ácidos nucléicos) • A piridina aparece no alcatrão de hulha e na fumaça de cigarro, em decorrência da decomposição da nicotina • A piridina, quando reduzida, origina a piperidina, cujo núcleo encontra-se na cocaína e na piperina (alcalóide de pimenta branca) • O núcleo da pirimidina aparece em bases nitrogenadas existentes nos ácidos nucléicos • O núcleo do benzopirano aparece em corantes de folhas, flores e frutos • A quinolina existe no alcatrão de hulha e seu núcleo aparece também na quinina. 70
  • 3.
    A isoquinolina ocorre no alcatrão de hulha e seu núcleo aparece na morfina e na papaverina • O núcleo do imidazol aparece na histamina (substância responsável por muitas reações alérgicas) 4- Algumas aplicações dos compostos heterocíclicos • O furano, por hidrogenação, produz o tetrahidrofurano, usado como solvente. • A hidrólise do furano produz o furfural (um aldeído), usado na fabricação de plásticos e também como solvente para remover impurezas de óleos lubrificantes. • O pirrol é utilizado para fabricação de polímeros de cor vermelha • O indol tem odor agradável e serve à fabricação de perfumes, mas sua grande importância reside no fato de servir como matéria-prima para a fabricação do índigo blue, um corante azul, utilizado no tingimento de tecidos. • A piridina tem um baixo caráter básico (devido ao efeito de ressonância do anel, que deslocaliza o par eletrônico do nitrogênio), mais fraco que o das aminas terciárias, e é utilizada como catalisador básico em sínteses orgânicas e para desnaturar o álcool etílico (tornar o etanol industrial impróprio para a fabricação de bebidas) • A pirimidina é usada na fabricação de certos barbituratos (medicamentos usados em sedativos e soporíficos) e certas sulfas • Alcalóides são compostos nitrogenados, em geral, heterocíclicos, de caráter básico, que são normalmente produzidos por vegetais e têm ação enérgica sobre os animais - em pequenas quantidades podem servir como medicamentos, e em doses maiores são tóxicos. Quase todos os alcalóides são substâncias sólidas, de sabor amargo. A classificação mais aceita para os alcalóides é aquela que os agrupa de acordo com o núcleo da qual derivam. Os principais grupos de alcalóides são: Coniina - Encontrada na cicuta, é um dos poucos alcalóides que se apresenta sob a forma líquida. É um veneno fortíssimo. Piperina - Principal alcalóide da pimenta negra. A toxidez dessa substância é relativamente baixa em relação à dos demais alcalóides. Nicotina - Principal alcalóide do tabaco, podendo alcançar 4 a 5% da folha seca. O produto puro é um líquido incolor. É um veneno muito violento. Por oxidação pelo dicromato de potássio, dá origem ao ácido nicotínico, que é uma das vitaminas do complexo B. 71
  • 4.
    Alcalóides relacionados com a quinolina: Quinina - É um pó branco pouco solúvel em água, mas forma sais solúveis, sendo utilizada sob esta forma. Cinconina - É muito semelhante à quinina em sua estrutura química. Diferencia-se dela porque, em lugar de um grupamento OCH3, apresenta um átomo de hidrogênio. Estricnina - Em pequenas doses, a estricnina é utilizada como tônico. Em doses elevadas, porém, pode causar a morte. • Alcalóides relacionados com a isoquinolina: Morfina - É um sedativo de grande potência e largamente empregado como tal. Por causar dependência, seu emprego é extremamente controlado. Codeína e Heroína - São também utilizados como narcóticos analgésicos. 72
  • 5.
  • 6.
    5)Classificação Os compostos heterocíclicos podem ser classificados como aromáticos e não aromáticos. Para os compostos aromáticos devemos nos lembrar da Regra de Hückel: a aromaticidade é observada em sistemas cíclicos conjugados contendo 4n+2 elétrons π. A aromaticidade será discutida a seguir de forma mais detalhada para anéis de cinco e seis membros, os mais comuns para os compostos heterocíclicos. 6.a- Heterociclos de cinco átomos Os compostos heterocíclicos de 5 membros como o pirrol, que parece ter somente 4 elétrons π, são problemáticos quando se pensa na regra de Hückel. Comparação com homociclos aromáticos • Pela aromaticidade: química do benzeno • Pela eletronegatividade: química do benzeno substituído por um doador de elétrons (N, O, S) • Pela presença do heteroátomo: reações próprias (basicidade, acidez) Comparação com homociclos aromáticos As estruturas de ressonância: Devido a maior densidade eletrônica no anel, este tipo de heterocíclico é chamado de rico em elétrons ou π-excessivo. Seu caráter aromático deriva da participação do par de elétrons não 74
  • 7.
    compartilhado do heteroátomo.O sexteto aromático fica completo como podemos ver nos orbitais mostrados a seguir. Orbitais, elétrons e posições reativas: Influência do tipo de heteroátomo no caráter aromático dos heterociclos de 5 membros Decréscimo da energia de estabilização aromática As posições reativas: As posições reativas e os respectivos ataques de espécies eletrofílicas ou nucleofílicas: Lembrando que E+ refere-se a um ataque de uma espécie eletrofílica e Nu- ao ataque de uma espécie nucleofílica 75
  • 8.
    6)Síntese de pirrol,furano e tiofeno Síntese de Knorr (Pirrol) Síntese de Paal-Knorr 76
  • 9.
    7)Reações de Pirrol,Furano e Tiofeno Caráter básico e ácido Pirrol é muito pouco básico. A protonação ocorre no carbono alfa! Por que a protonação ocorre no carbono alfa? Polimerização do pirrol 2- Caráter ácido Reações frente a eletrófilos (Substituição Eletrofílica Heteroaromática) – Ataque preferencial na posição 2 ou alfa, conforme pode ser visto no ataque de um eletrófilo nas respectivas posições α e β. 77
  • 10.
    Substituição Eletrofílica Heteroaromática:Posição α preferencialmente à posição β Ordem de reatividade frente a eletrófilos: Pirrol > furano > tiofeno > Benzeno Exemplos de reações de SEHetAr. Como o pirrol é muito reativo em meio ácido, este polimeriza facilmente nas condições mostradas a seguir: 78
  • 11.
    Para que opirrol não polimerize, ele deve sofrer reação com nitrato de acetila. Ocorre a formação de uma mistura de 2-nitropirrol e 3-nitropirrol na proporção de 4:1. O agente nitrante (nitrato de acetila) é preparado a partir de uma mistura de ácido nítrico fumegante e anidrido acético: HNO3 + Ac2O AcONO2 + AcOH Quebra do furano em condições fortemente ácidas também ocorre: E aqui também ocorre a preparação a partir do nitrato de acetila, com temperatura de -5oC e tratamento posterior com piridina: AcO NO2 piridi na o O - 5 C AcO O NO2 O NO2 Os tiofenos também apresentam resultados satisfatórios na reação com nitrato de acetila, numa proporção de 6:1 do derivado substituído na posição 2 em relação à substituição na posição 3. 7.1)Halogenações • Pirrol: Sofre halogenação tão facilmente que se não forem usadas condições controladas, somente são isolados Tetra-halo-pirróis. Cl Cl S O2 C l 2 S O2 C l 2 N Cl Et 2O N Et 2O Cl N Cl H 0oC H H 79
  • 12.
    Tiofeno: reage fortemente com Cl2 e Br2, sendo difícil a preparação de monossubstituídos I2, HNO 3 Br2, HBr 48% I o o Br S S -25 C -5 C S S O2C l 2 ∆ + Cl Cl Cl S S 43% 10% • Furano: reage fortemente com Cl2 e Br2 à temperatura ambiente, dando produtos poli- halogenados. Sob condições controladas é possível obter o 2-bromo-furano. + Br2, 0o C - + Br H H -HBr H O O Br O O O Br Br Br O 7.2) Reação de Diels-Alder Caráter dieno relacionado com a aromaticidade 80
  • 13.
    Furano e areação de Diels-Alder Cicloadição 1,4 (térmico) Pirrol e a reação de Diels-Alder. Exemplo da reação do benzino com o N-metil-pirrol 81
  • 14.
    8) Heterociclos deseis membros 8.1) Piridina Derivados da piridina em processos biológicos Herbicidas, fungicidas e agentes quimioterápicos. Um anel piridínico pode ser considerado como tendo dois tipos de grupos funcionais: i) um anel aromático e ii) uma imina. Como o nitrogênio é mais eletronegativo do que o carbono, ele retira elétrons do anel tanto por efeito indutivo quanto por ressonância. A piridina pode ser considerada formalmente como derivada do benzeno pela troca de um CH por N. Diferenças principais: 82
  • 15.
    a) Não temmais a geometria hexagonal regular perfeita devido à presença do heteroátomo. b) Troca de um H no plano do anel por um par de elétrons não comparilhado. c) Existência de forte dipolo permanente Podemos escrever para a piridina as seguintes estruturas de ressonância: Na piridina os efeitos indutivo e mesomérico atuam no mesmo sentido: há um dipolo permanente no sentido do nitrogênio. A piridina e heterociclos semelhantes são chamados pobres em elétrons ou - deficientes. 2,2 D 1,2 D N N H As posições relativas, referentes a ataques de espécies nucleofílicas e eletrofílicas: Caráter básico 83
  • 16.
    8.2)Reações da piridina a)Substituição Eletrofílica Hetroaromática Piridina sofre reações de substituição eletrofílica hetroaromática somente em condições extremas, tendo um comportamento parecido com um anel benzênico contendo grupos retiradores de elétrons. Assim, reações de acilação de Friedel-Crafts não ocorrem com piridinas. Piridina é pobre em elétrons. Reação de halogenação: Os N-óxidos de piridina são uma alternativa para reações de Substituição Eletrofílica Heteroaromática em anés piridínicos. N-óxido de piridina e as estruturas de ressonância: 84
  • 17.
    N-óxido de piridina:as posições reativas frente à eletrófilos (alternativa para reação de SEAr para piridinas) Remoção do óxido com PCl3: Aplicações de reações de N-óxido piridina: reações com eletrófilos Mais dois exemplos: Desta forma, é possível introduzir um eletrófilo no anel piridínico nas posições 2 ou 4 através de um N- óxido piridina e posteriormente remover o oxigênio utilizando PCl3 85
  • 18.
    b)Reação pelo Nitrogêniodo anel Piridinas devido ao seu caráter básico reagem com ácidos formando sais de piridínio. Reage também com eletrófilos, como no exemplo da alquilação de aminas Reação com eletrófilos: Piridina como transportador de eletrófilos: c) Reações com Reagentes Nucleofílicos Piridinas sofrem reações frente à nucleófilos (reações de substituição nucleofílica) mais facilmente que os benzenos derivados, nas posições indicadas a seguir. 86
  • 19.
    Um bom exemploé a aminação da piridina com amideto de sódio em amônia que forma o 2-amino- piridina num rendimento de aproximadamente 70% (Reação de Chichibabin), conforme detalhado a seguir. Mecanismo (Adição/Eliminação): Sofre também reação de alquilação com alquil ou aril lítio: 87
  • 20.
    Piridinas sofrem reaçõesde substituição nucleofílica Heteroaromática, principalmente as halopiridinas. Halogênios como substituintes nas posições 2 e 4 (α e γ respectivamente) são deslocados de maneira relativamente fácil por vários nucleófilos via mecanismo de adição-eliminação. d) Reação com agentes oxidantes Reação de oxidação das alquilpiridinas. Este mesmo processo oxidativo também pode ser feito utilizando-se permanganato de potássio, e posterior acidificação do meio. e) Reação com agentes redutores Reações com agentes redutores. As piridinas são muito mais facilmente reduzidas do que os benzenos. Como por exemplo, a redução com catalisadores como platina ou níquel de Raney Ou com hidretos metálicos: 88
  • 21.
    9)Resumo das principaisestruturas dos compostos heterocíclicos 89
  • 22.
    10)Exercícios sobre CompostosHeterocíclicos 10.1)Qual é o nome dos seguintes compostos? Me CH2CH2CH3 a) b) c) Me O Br N CO2H CH 2CH3 N CH3 CONH2 Br CH3 d) e) f) N Br N O CH2CH3 g) h) N N CO2H CH3 H 10.2)Por que a anilina (PhNH2 , Kb = 4,2 x 10-10) é menos básica do que a piridina (Kb = 2,3 x 10-9) ? 10.3)Quais os produtos das seguintes reações? a) + HCl c) + CH 3I N N H b) + CH 3I N 10.4)Mostre o produto principal das reações abaixo: CH 3CONO 2 Ac 2O/BF 3 a) b) O O + _ PhN 2 Cl Br 2 c) d) N S PhH H 90
  • 23.
    10.5) Mostre osprodutos de mononitração dos seguintes compostos: NO2 OMe a) b) c) d) N S N OMe CH3 S OMe H H 10.6) Mostre os produtos das reações da piridina com os seguintes reagentes: a) Br2/300°C b) 1)KNO3/H2SO4 2)KOH c) H2SO4 (350°C) d) MeCOCl/AlCl3 10.7) Qual é o produto das seguintes reações? _ _ OEt NH 2 a) b) N Cl N 10.8) Complete a seqüência reacional: PhCH 2Cl + K ? ? N H 91