PorKeilaRodrigues CarvalhoRio Bonito
Trigonometria no Triângulo Retângulo
Lados do Triângulo RetânguloOs lados de um triângulo retângulo recebem nomes especiais. Estes nomes são dados de acordo com a posição em relação ao ângulo reto. O lado oposto ao ângulo reto é a hipotenusa. Os lados que formam o ângulo reto (adjacentes a ele) são os catetos.
A trigonometria possui uma infinidade de aplicações práticas. Desde a antiguidade já se usava da trigonometria para obter distâncias impossíveis de serem calculadas por métodos comuns.
Triângulo Retângulo
É um triângulo que possui um ângulo reto, isto é, um dos seus ângulos mede noventa graus, daí o nome triângulo retângulo. Como a soma das medidas dos ângulos internos de um triângulo é igual a 180°, então a soma dos outros dois ângulos medirão 90°.
Cateto oposto ao ângulo de 30°hipotenusaÂngulo de 90°Ângulo de 30°Cateto adjacente ao ângulo de 30°
Os catetos recebem nomes especiais de acordo com a sua posição em relação ao ângulo sob análise. Se estivermos operando com o ângulo 30°, então o lado oposto a esse ângulo é o cateto oposto ao ângulo de 30° e o lado adjacente ao ângulo 30°, que fica ao lado, é o cateto adjacente ao ângulo de 30°.
Funções trigonométricas básicas
Seno = medida do cateto oposto             medida da hipotenusa cos = medida do cateto adjacente  medida da hipotenusatang = medida do cateto oposto  medida do cateto adjacente
O Teorema de Pitágoras diz que, em um triângulo retângulo, o quadrado da hipotenusa é igualà soma dos quadrados dos catetos.  Se construírmos quadrados sobre os lados a, b e c do triângulo retângulo, esses quadrados terão área a2, b2 e c2.Assim podemos enunciar o Teorema de Pitágoras da seguinte forma:
Desafios
Calcule a altura de um triângulo eqüilátero que tem 10 cm de lado.Solução:
1) Calcule o perímetro do triângulo retângulo ABC da figura, sabendo que o segmento BC é igual a 10 m e cos α = 3/5 Exercícios resolvidos:1) Calcule o perímetro do triângulo retângulo ABC da figura, sabendo que o segmento BC é igual a 10 m e cos α = 3/5 Solução:                   
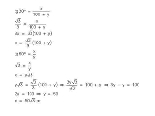
Calcule x indicado na figuraSolução:
   Uma escada apoiada em uma parede, num ponto distante 4 m dos solo, forma com essa parede um ângulo de 60°. Qual é o comprimento da escada em metros? Solução:
Referênciashttp://quimsigaud.tripod.com/trianguloretangulo/http://www.colegiocatanduvas.com.br/desgeo/teopitago/index.htmhttp://pessoal.sercomtel.com.br/matematica/trigonom/trigon1/mod114.htm

TriâNgulo RetâNgulo

  • 1.
  • 2.
  • 3.
    Lados do TriânguloRetânguloOs lados de um triângulo retângulo recebem nomes especiais. Estes nomes são dados de acordo com a posição em relação ao ângulo reto. O lado oposto ao ângulo reto é a hipotenusa. Os lados que formam o ângulo reto (adjacentes a ele) são os catetos.
  • 4.
    A trigonometria possuiuma infinidade de aplicações práticas. Desde a antiguidade já se usava da trigonometria para obter distâncias impossíveis de serem calculadas por métodos comuns.
  • 5.
  • 6.
    É um triânguloque possui um ângulo reto, isto é, um dos seus ângulos mede noventa graus, daí o nome triângulo retângulo. Como a soma das medidas dos ângulos internos de um triângulo é igual a 180°, então a soma dos outros dois ângulos medirão 90°.
  • 7.
    Cateto oposto aoângulo de 30°hipotenusaÂngulo de 90°Ângulo de 30°Cateto adjacente ao ângulo de 30°
  • 8.
    Os catetos recebemnomes especiais de acordo com a sua posição em relação ao ângulo sob análise. Se estivermos operando com o ângulo 30°, então o lado oposto a esse ângulo é o cateto oposto ao ângulo de 30° e o lado adjacente ao ângulo 30°, que fica ao lado, é o cateto adjacente ao ângulo de 30°.
  • 9.
  • 10.
    Seno = medidado cateto oposto medida da hipotenusa cos = medida do cateto adjacente medida da hipotenusatang = medida do cateto oposto medida do cateto adjacente
  • 11.
    O Teorema dePitágoras diz que, em um triângulo retângulo, o quadrado da hipotenusa é igualà soma dos quadrados dos catetos.  Se construírmos quadrados sobre os lados a, b e c do triângulo retângulo, esses quadrados terão área a2, b2 e c2.Assim podemos enunciar o Teorema de Pitágoras da seguinte forma:
  • 13.
  • 14.
    Calcule a alturade um triângulo eqüilátero que tem 10 cm de lado.Solução:
  • 15.
    1) Calcule operímetro do triângulo retângulo ABC da figura, sabendo que o segmento BC é igual a 10 m e cos α = 3/5 Exercícios resolvidos:1) Calcule o perímetro do triângulo retângulo ABC da figura, sabendo que o segmento BC é igual a 10 m e cos α = 3/5 Solução:                   
  • 16.
    Calcule x indicadona figuraSolução:
  • 18.
    Uma escada apoiada em uma parede, num ponto distante 4 m dos solo, forma com essa parede um ângulo de 60°. Qual é o comprimento da escada em metros? Solução:
  • 19.