Incorporar apresentação
Baixado 113 vezes



























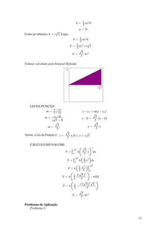
1) O documento descreve os elementos e fórmulas para calcular áreas, volumes e outras grandezas de figuras geométricas como cilindros e cones circulares retos. 2) Inclui exemplos de problemas envolvendo cálculos com esses sólidos, como determinar volumes e preços unitários de produtos comercializados nessas embalagens. 3) Fornece detalhes sobre cilindros circulares retos regulares e irregulares, e cone circular reto, com suas definições, elementos e fórmulas para cálculo de


























