2˚ LISTA DE EXERCÍCIOS (julho 2013)
Química Orgânica (CQ-094)
Profa Beatriz Helena L.N. Sales Maia
1. Muitos carbocátions estão sujeitos a rearranjos: ocorrem migrações de grupos
alquilo (ou de hidrogênio, em alguns casos) para formação de carbocátions mais
estáveis. Mostre que, em cada um dos três casos listados abaixo, o carbocátion
que se forma após o rearranjo é mais estável que o anterior.
2. O esquema abaixo mostra a ordem de reatividade de haletos de alquila em
reações SN2 quando a reação é realizada em fase gasosa e em solvente prótico.
Explique o comportamento químico mostrado no esquema.
(a)
(b)
(c)
3. Os solventes podem ser classificados de acordo com uma propriedade chamada
constante dielétrica. A constante dielétrica mede a capacidade do solvente em
isolar cargas. Os solventes com constante dielétricas elevadas tais como a água,
são bons isolantes e podem dissolver substâncias iônicas. Os solventes não
polares, tais com o heptano, possuem constantes dielétricas pequenas e são
incapazes de dissolveis sais. Abaixo estão listas as constantes dielétricas de
alguns solventes comuns.
Solvente Constante dielétrica
Água 78
Metanol 31
Etanol 25
Benzeno 2,3
Hexano 1,9
Uma reação SN1 ocorreria mais rapidamente em metanol ou em benzeno?
Justifique sua resposta.
4. Descreva o efeito de cada uma das seguintes variáveis sobre ambas as reações
SN2 e SN1:
a) Solvente
b) Nucleófilo
c) Grupo de saída
d) Substrato
5. Os éteres podem frequentemente ser preparados pela reação SN2 de íons alcóxido,
RO-, com haletos de alquila. Suponha que você queira preparar o éter metil ciclo-
hexílico. Qual das duas possíveis rotas mostradas a seguir apresenta-se como mais
favorável. Justifique sua resposta.
O
-
+ CH3I
CH3 O
-
+
I
ou
OCH3
a)
b)
6. Dê os reagentes que seriam necessários para realizar as seguintes sínteses:
CH2
CH CH2
CH2
CH CH2
Br
Br
CH2
CH CH2
OH
Br
CH2
CH2CH3
CH2
CH CH3
Br
CH2
CH2CH2
Br
CH2
CH CH3
OCH3
CH2
CH CH3
OH
CH2
CH CH2
Br
Cl
A
B
C
D
E
F
G
H
7. Escreva um mecanismo de reação razoável para cada uma das rotas indicadas no
exercício anterior.
8. Quando o 3-metil-1-buteno reage com HBr, dois haletos de alquila são formados: 2-
bromo-3-metilbutano e o 2-bromo-2-metilbutano. Proponha um mecanismo que explique
a formação desses produtos.
9. Escreva um mecanismo razoável para cada uma das reações indicadas abaixo.
a) CH3
C
CH3
CH2
2 H2SO4
b) CH3
CH2
CH
CH
O
CH3 HBr
c)
CH3
CH
CH2 H2SO4
H2O
CH3
CH3
OH
10. Explique porque a hidratação do 2-metilpropeno utilizando água e um catalisador ácido
gera o álcool com a orientação de Markovnikov, enquanto que a hidratação com BH3 e
peróxido de hidrogênio em meio básico fornece o álcool de orientação anti-
Markovnikov?
11. Escreva um mecanismo de reação detalhado que explique a formação do (±)-3-cloro-
2,3-dimetilpentano a partir da reação do cloreto de hidrogênio com o 3,3-dimetil-1-
penteno.
12. Em qual dos seguintes alcenos a adição de HBr é mais altamente regiosseletiva?
Justifique suas respostas.
ou
oua) b)
13. Escreva o mecanismo para a adição de HCl ao propeno. Mostre como o mecanismo
explicando a formação exclusiva do 2-cloro-propano.
14. No catálogo da Aldrich de 2003-2004 o 1-heptanol custa US$ 16,00 / 100 g, enquanto
que o 2-heptanol (racêmico) custa US$ 54,90 / 100 g. Sugira uma maneira de
transformar 1-heptanol em 2-heptanol.
15. Escreva um mecanismo adequado para cada uma das reações a seguir.
CH3O
-
CH3OH
O
H3O
+
H2O
a)
b)
O
16. Indique que álcool reagirá mais rápido quando aquecido com ácido sulfúrico.
OH OH
ou
OH OH
ou
OH
ou
OH
OH OH
ou
(a)
(b)
(c)
(d)
17. Proponha um mecanismo para cada uma das seguintes reações:
OH
OH
H
+
O
+ H2O
O
HBr
Br Br + H2O
(a)
(b)
18.
a) Proponha um mecanismo para a seguinte reação:
O
Br
CH3O
-
O
O + Br
-
b) Uma pequena quantidade de um produto que contém um anel de seis
membros também é formada. Dê a estrutura desse produto.
c) Por que o produto com anel de seis membros é formado em tão pequena
quantidade?
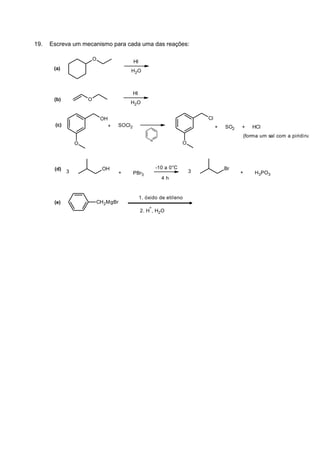
19. Escreva um mecanismo para cada uma das reações:
(a)
O
HI
H2O
(b) O
HI
H2O
(c)
(d)
(e)
O
OH
SOCl2
N
O
Cl
3
OH
+ PBr3
-10 a 0°C
4 h
3
Br
+ H3PO3
+ + SO2 + HCl
(forma um sal com a piridina)
CH2MgBr
1. óxido de etileno
2. H
+
, H2O

Lista execícios 2 cq094 20131

  • 1.
    2˚ LISTA DEEXERCÍCIOS (julho 2013) Química Orgânica (CQ-094) Profa Beatriz Helena L.N. Sales Maia 1. Muitos carbocátions estão sujeitos a rearranjos: ocorrem migrações de grupos alquilo (ou de hidrogênio, em alguns casos) para formação de carbocátions mais estáveis. Mostre que, em cada um dos três casos listados abaixo, o carbocátion que se forma após o rearranjo é mais estável que o anterior. 2. O esquema abaixo mostra a ordem de reatividade de haletos de alquila em reações SN2 quando a reação é realizada em fase gasosa e em solvente prótico. Explique o comportamento químico mostrado no esquema. (a) (b) (c)
  • 2.
    3. Os solventespodem ser classificados de acordo com uma propriedade chamada constante dielétrica. A constante dielétrica mede a capacidade do solvente em isolar cargas. Os solventes com constante dielétricas elevadas tais como a água, são bons isolantes e podem dissolver substâncias iônicas. Os solventes não polares, tais com o heptano, possuem constantes dielétricas pequenas e são incapazes de dissolveis sais. Abaixo estão listas as constantes dielétricas de alguns solventes comuns. Solvente Constante dielétrica Água 78 Metanol 31 Etanol 25 Benzeno 2,3 Hexano 1,9 Uma reação SN1 ocorreria mais rapidamente em metanol ou em benzeno? Justifique sua resposta. 4. Descreva o efeito de cada uma das seguintes variáveis sobre ambas as reações SN2 e SN1: a) Solvente b) Nucleófilo c) Grupo de saída d) Substrato 5. Os éteres podem frequentemente ser preparados pela reação SN2 de íons alcóxido, RO-, com haletos de alquila. Suponha que você queira preparar o éter metil ciclo- hexílico. Qual das duas possíveis rotas mostradas a seguir apresenta-se como mais favorável. Justifique sua resposta. O - + CH3I CH3 O - + I ou OCH3 a) b)
  • 3.
    6. Dê osreagentes que seriam necessários para realizar as seguintes sínteses: CH2 CH CH2 CH2 CH CH2 Br Br CH2 CH CH2 OH Br CH2 CH2CH3 CH2 CH CH3 Br CH2 CH2CH2 Br CH2 CH CH3 OCH3 CH2 CH CH3 OH CH2 CH CH2 Br Cl A B C D E F G H 7. Escreva um mecanismo de reação razoável para cada uma das rotas indicadas no exercício anterior. 8. Quando o 3-metil-1-buteno reage com HBr, dois haletos de alquila são formados: 2- bromo-3-metilbutano e o 2-bromo-2-metilbutano. Proponha um mecanismo que explique a formação desses produtos. 9. Escreva um mecanismo razoável para cada uma das reações indicadas abaixo. a) CH3 C CH3 CH2 2 H2SO4 b) CH3 CH2 CH CH O CH3 HBr c) CH3 CH CH2 H2SO4 H2O CH3 CH3 OH
  • 4.
    10. Explique porquea hidratação do 2-metilpropeno utilizando água e um catalisador ácido gera o álcool com a orientação de Markovnikov, enquanto que a hidratação com BH3 e peróxido de hidrogênio em meio básico fornece o álcool de orientação anti- Markovnikov? 11. Escreva um mecanismo de reação detalhado que explique a formação do (±)-3-cloro- 2,3-dimetilpentano a partir da reação do cloreto de hidrogênio com o 3,3-dimetil-1- penteno. 12. Em qual dos seguintes alcenos a adição de HBr é mais altamente regiosseletiva? Justifique suas respostas. ou oua) b) 13. Escreva o mecanismo para a adição de HCl ao propeno. Mostre como o mecanismo explicando a formação exclusiva do 2-cloro-propano. 14. No catálogo da Aldrich de 2003-2004 o 1-heptanol custa US$ 16,00 / 100 g, enquanto que o 2-heptanol (racêmico) custa US$ 54,90 / 100 g. Sugira uma maneira de transformar 1-heptanol em 2-heptanol. 15. Escreva um mecanismo adequado para cada uma das reações a seguir. CH3O - CH3OH O H3O + H2O a) b) O
  • 5.
    16. Indique queálcool reagirá mais rápido quando aquecido com ácido sulfúrico. OH OH ou OH OH ou OH ou OH OH OH ou (a) (b) (c) (d) 17. Proponha um mecanismo para cada uma das seguintes reações: OH OH H + O + H2O O HBr Br Br + H2O (a) (b) 18. a) Proponha um mecanismo para a seguinte reação: O Br CH3O - O O + Br - b) Uma pequena quantidade de um produto que contém um anel de seis membros também é formada. Dê a estrutura desse produto. c) Por que o produto com anel de seis membros é formado em tão pequena quantidade?
  • 6.
    19. Escreva ummecanismo para cada uma das reações: (a) O HI H2O (b) O HI H2O (c) (d) (e) O OH SOCl2 N O Cl 3 OH + PBr3 -10 a 0°C 4 h 3 Br + H3PO3 + + SO2 + HCl (forma um sal com a piridina) CH2MgBr 1. óxido de etileno 2. H + , H2O