Relatividade Restrita
Introdução
 As grandezas comprimento, tempo e massa, entretanto,
  sempre foram tratadas como absolutas, isto é,
  independentes do referencial em que são medidas. Se
  alguém afirmar que o comprimento de uma ponte, o
  tempo de duração de uma aula e a massa de uma pessoa
  dependem do referencial, você certamente achará
  absurdas essas afirmações. Entretanto, como veremos
  nesta breve exposição, comprimento, massa e tempo,
  grandezas consideradas absolutas na Mecânica clássica,
  também são grandezas relativas! A relatividade dessas
  grandezas, porém, só fica evidenciada quando estudamos
  situações em que as velocidades são muito altas, isto é,
  não-desprezíveis em comparação com a velocidade da
  luz no vácuo, que é de 300000 km/s, aproximadamente.
 O motivo da nossa perplexidade diante do caráter relativo
  do comprimento, do tempo e da massa é estarmos
  habituados a situações em que as velocidades são
  insignificantes em comparação com a da luz. Mesmo a
  velocidade de 2000 km/h de um avião supersônico e a
  velocidade de 30 km/s da Terra em seu movimento de
  translação ao redor do Sol são desprezíveis em
  comparação com 300000 km/s.
Albert Einstein (1879-1955)

              Albert Einstein, físico alemão
              naturalizado americano. Premiado
              com o Nobel de Física em 1921, é
              famoso por ser autor das teorias
              especial e geral da relatividade e
              por suas idéias sobre a natureza
              corpuscular da luz. É
              provavelmente o físico mais
              conhecido do século XX.
Postulados
Essa teoria fundamentou-se em dois postulados.

 • Princípio da relatividade: As leis da Física são as
  mesmas, expressas por equações que têm a mesma forma,
  em qualquer referencial inercial. Não existe um referencial
  inercial privilegiado.

 • Princípio da constância da velocidade da luz: a
  velocidade da luz no vácuo vale c = 300.000 km/s em
  todos os referenciais inerciais, independentemente do
  movimento da fonte em relação ao observador.
Se ligue!!!
 Note que o segundo postulado contraria radicalmente a maneira
   newtoniana de compor velocidades. Para confirmar isso, considere
   uma nave em repouso em relação às estrelas e recebendo a luz emitida
   por uma lanterna, como ilustra a figura a seguir.




 Imagine, agora, que a nave entre em movimento retilíneo e uniforme
   para a direita, a 100000 km/s. Se a composição de velocidades da
   Mecânica clássica continuasse valendo, a velocidade da luz emitida
   pela lanterna seria, em relação à nave, de 400000 km/s. Entretanto, por
   mais absurdo que pareça, essa velocidade continua igual a 300000
   km/s!
Conseqüências da Relatividade de Einstein


  Dilatação do tempo


  Contração do espaço
Dilatação do Tempo
R': referencial em repouso em relação ao local onde ocorreram
os eventos. Para esse referencial, o intervalo de tempo entre os
eventos será representado por ∆t /

R: referencial em movimento em relação ao local onde
ocorreram os eventos. Para esse referencial, o intervalo de tempo
entre os eventos será representado por ∆t
Do ponto de vista do referencial R'
         ∆s
Como v =    , temos :
         ∆t
   2d           2d
c = / ⇒ ∆t = /

   ∆t            c
Do ponto de vista do referencial R
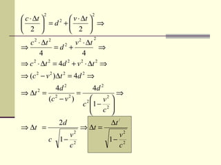
2                       2
 c ⋅ ∆t        v ⋅ ∆t 
          = d +         ⇒
              2

 2             2 
                                 2
  c ⋅ ∆t
     2       2
                     v ⋅ ∆t
                          2
⇒            =d +2
                                ⇒
       4                 4
⇒ c 2 ⋅ ∆t 2 = 4d 2 + v 2 ⋅ ∆t 2 ⇒
⇒ (c 2 − v 2 )∆t 2 = 4d 2 ⇒
          4d 2                    4d 2
⇒ ∆t 2 = 2 2 =                             ⇒
        (c − v )               2     v 
                                       2
                              c 1 − 2 
                                 c 
                                        
                 2d                    ∆t /
⇒ ∆t =                    ⇒ ∆t =
                      2
                   v                    v2
             c   1− 2                 1− 2
                   c                    c
c            c   c                 c



tempo                tempo maior
menor
    ∆t   /               ∆t
∆t /
∆t =                                          Fator de Lorentz
               2
         v
       1− 2                                            1
         c                                      γ=
                                                       v2
                                                     1− 2
 ∆t = γ ⋅ ∆t /                                         c



  Note que, para R', o tempo passa mais devagar.
  Qualquer processo físico, reação química ou processo
  biológico que ocorre dentro do vagão é mais lento
  para R' do que para R. Incluem-se nesse caso os batimentos
  cardíacos e a rapidez com que o mecanismo de um relógio opera.
Paradoxo do Gêmeos
         Consideremos uma experiência controlada que envolva dois
gêmeos de 20 anos, Eliandro e Leandro. Eliandro, o gêmeo mais
aventureiro, mais mais , etc. empreende uma jornada até uma
estrela, a 30 anos-luz da Terra. A sua astronave é capaz de acelera
até velocidade próxima da velocidade da luz. Depois de chegar à
estrela, Eliandro sente muitas saudades, e retorna imediatamente à
Terra, com a mesma velocidade elevada. No seu retorno, fica
admirado pelas muitas mudanças. Antigas cidades expandiram-se,
novas apareceram. Leandro, envelheceu cerca de 80 anos e
Eliandro, porém, envelheceu apenas 10 anos e ainda continuava
bonitão. Isso em virtude de os seus processos corporais se terem
alentecido durante a viagem no espaço.
Um dos fatos que confirmam a
 Teoria da Relatividade Restrita
Raios cósmicos incidentes nas altas camadas da atmosfera produzem
partículas instáveis, denominadas mésons µ (ou múons). Sabe-se que
a vida média de um méson µ, medida em um referencial em repouso
em relação a ele, é de 2,2 µs, aproximadamente. Após esse
curtíssimo intervalo de tempo, o méson µ desintegra-se, dando
origem a outras partículas (um elétron, um antineutrino do elétron e
um neutrino do múon). Muitos múons produzidos na alta atmosfera
movem-se a uma velocidade igual a 0,998 c, aproximadamente.
Vamos calcular a distância que poderiam percorrer antes de se
desintegrarem:
                                                           −6
      ∆s = v ⋅ t = (0,998 ⋅ 3 ⋅10 ) ⋅ (2,2 ⋅10 )
                                          8


      ∆s ≅ 660m
Como a altitude da região em que são produzidas é muito maior que
660 m, essas partículas não deveriam chegar à superfície da Terra.
No entanto, chegam em abundância. Note que estamos diante de
um problema concreto. Como a velocidade dos mésons é muito
alta, os efeitos relativísticos não podem ser ignorados, e o problema
deve ser resolvido pela Teoria da Relatividade.
∆t /           2,2 ⋅10 −6
∆t =               =                    ⇒ ∆t ≅ 35µs
               2                    2
         v          (0,998c)
      1− 2      1−
         c               c2
Então, em relação a R, o méson, ainda " vivo", é capaz de
percorrer uma distância l dada por :
l = v ⋅ ∆t = (0,998 ⋅ 3 ⋅108 ) ⋅ (35 ⋅10 −6 ) ⇒ l ≅ 10500m
Dessa forma, fica explicado por que os mésons
conseguem chegar à superfície da Terra.
Exemplo 01
Um foguete parte da Terra com velocidade v= 0,8c, em relação à Terra,
transportando um astronauta. Em relação ao foguete, a viagem dura 3 anos.
Quanto durou a viagem do astronauta em relação a um observador na
Terra?

      ∆t = ? → ∆t / = 3anos
               ∆t /                      3
      ∆t =             ⇒ ∆t =
               v2              (0,8c) 2
            1− 2            1−
               c                  c2
            3
      ∆t =     ⇒ ∆t = 5anos
           0,6
Contração do Espaço
        Se um observador mede o comprimento de um objeto que está
em movimento relativamente a ele, o valor obtido é diferente daquele
que seria encontrado se a medição fosse feita num referencial onde o
objeto estivesse em repouso, Esse efeito é conseqüência direta da
dilatação do tempo. Analisemos uma situação hipotética simples. Isso é
o que Einstein chamava de experiência mental.
 R: referencial em repouso em relação ao corpo cujo
comprimento será medido (no caso, o corpo é o túnel). Para esse
referencial, o comprimento do túnel l.
 R': referencial móvel em relação ao corpo (túnel) cujo
comprimento será medido. Para esse referencial, o comprimento
do túnel l’
Do ponto de vista do referencial R

   l
v=    ⇒ l = v ⋅ ∆t
   ∆t
Do ponto de vista do referencial R’
   l'                                 ∆t /
v=      ⇒ l ' = v ⋅ ∆t '. Como ∆t =              ,
   ∆t '                                 v    2
                                      1− 2
                                        c
                                v2
podemos escrever ∆t ' = ∆t ⋅ 1 − 2 . Então;
                                c
                                 v2
l ' = v ⋅ ∆t ' ⇒ l ' = v ⋅ ∆t 1 − 2
                                 c
Temos :
         v2
l' = l 1− 2
         c
Se o corpo em estudo estivesse dentro do vagão e fixado
nele, o referencial R, em repouso em relação ao corpo,
estaria no vagão. O referencial R', por sua vez, em movimento
em relação ao corpo, estaria no solo. Nessa situação,
a contração do comprimento do corpo ocorreria para R'.
O comprimento l' que a barra tem em relação a R' é menor que o
comprimento l que ela tem em relação a R:

                                         l ' menor que l
                                                  v2
                                         l' = l 1− 2
                                                  c
A contração do comprimento só ocorre na direção do movimento
e é um efeito provocado pela não-simultaneidade na determinação
das coordenadas das extremidades do objeto medido.
Exemplo 02
Considere uma barra em repouso em relação a um sistema de referência R’.
Este se movimenta em relação ao sistema de referência R com velocidade
v=08c. Seja L=1,0m o comprimento da barra medido no referencial R’.
Sabendo-se que a barra está alinhada na direção do movimento, determine o
comprimento da barra em relação ao referencial R.
L/ = 1,0m
v = 0,8c
   L/    v2  /             (0,8c) 2   
L = =  1− 2  ⋅ L ⇒ L =  1−             ⋅1
   γ    c 
                         
                                c2      
                                         
L = 0,36 = 0,60m
Exemplo 03
 Uma nave espacial tem o comprimento de 100m, medidos por um observador
 em repouso em relação à nave. Se a nave passar por um observador com
 velocidade de 0,99c, qual o comprimento que este observador atribuirá à
 nave?
 L/ = 100m
 v = 0,99c
    L/    v2  /             (0,99c) 2        
 L = =  1− 2  ⋅ L ⇒ L =  1−                   ⋅100
    γ    c 
                          
                                 c2            
                                                
 L=   (       )
          0,02 ⋅100 = 14m
Se a nave espacial passar pelo observador em repouso com a velocidade
0,01c, qual o comprimento que este observador medirá?
Composição de velocidades
u ' → velocidade do objeto P em relação ao vagão
v → velocidade do vagão
u → velocidade do objeto P em relação ao solo (R)
Pode - se demonstrar que a velocidade u do objeto P em relação
ao solo é dada por :
     u '+v
u=
        vu '
    1+ 2
         c
Exemplo 04
Uma nave move-se com velocidade 0,80 c em relação ao solo quando
lança um projétil com velocidade 0,60 c em relação a ela, como
ilustra a figura.
                                 u '+ v     0,60c + 0,80c
                             u=          =                  ⇒
                                    vu '      0,80c ⋅ 0,60c
                                1+ 2 1+
                                     c             c2
                                    1,40c
                             ⇒u =          ⇒ u = 0,95c
                                     1,48

                              Imagine que fosse possível termos v = c e
                              u' = c; calculem o novo valor de u.
Massa e Energia
Para que o princípio da conservação da quantidade de movimento
continuasse válido no domínio de colisões interratômicas (onde a velocidade
das partículas é compatível à velocidade da luz), Einstein reformulou os
conceitos de massa e energia.

   m0     Massa de repouso
                                                A massa do corpo é maior
                                                quando em movimento do
                                m0              que quando em repouso.
  m = γ ⋅ m0 ⇒ m =
                                 v2
                               1− 2             O aumento da massa não
                                 c              significa que aumenta o
                                                número de partículas do
                                                corpo, e sim a inércia.
Massa é uma forma de Energia
E = m ⋅ c → Energia Total
        2


E0 = m0 ⋅ c → Energia de repouso
            2




Energia Cinética
EC = E − E0
EC = m ⋅ c − m0 ⋅ c
            2         2
Quantidade de Movimento

Q = m⋅v
              m0
Como : m =          , temos :
               v2
             1− 2
               c
      m0
Q=           ⋅v
       v2
     1− 2
       c

Fisica moderna relatividade restrita

  • 1.
  • 2.
    Introdução  As grandezascomprimento, tempo e massa, entretanto, sempre foram tratadas como absolutas, isto é, independentes do referencial em que são medidas. Se alguém afirmar que o comprimento de uma ponte, o tempo de duração de uma aula e a massa de uma pessoa dependem do referencial, você certamente achará absurdas essas afirmações. Entretanto, como veremos nesta breve exposição, comprimento, massa e tempo, grandezas consideradas absolutas na Mecânica clássica, também são grandezas relativas! A relatividade dessas grandezas, porém, só fica evidenciada quando estudamos situações em que as velocidades são muito altas, isto é, não-desprezíveis em comparação com a velocidade da luz no vácuo, que é de 300000 km/s, aproximadamente.
  • 3.
     O motivoda nossa perplexidade diante do caráter relativo do comprimento, do tempo e da massa é estarmos habituados a situações em que as velocidades são insignificantes em comparação com a da luz. Mesmo a velocidade de 2000 km/h de um avião supersônico e a velocidade de 30 km/s da Terra em seu movimento de translação ao redor do Sol são desprezíveis em comparação com 300000 km/s.
  • 4.
    Albert Einstein (1879-1955) Albert Einstein, físico alemão naturalizado americano. Premiado com o Nobel de Física em 1921, é famoso por ser autor das teorias especial e geral da relatividade e por suas idéias sobre a natureza corpuscular da luz. É provavelmente o físico mais conhecido do século XX.
  • 5.
    Postulados Essa teoria fundamentou-seem dois postulados.  • Princípio da relatividade: As leis da Física são as mesmas, expressas por equações que têm a mesma forma, em qualquer referencial inercial. Não existe um referencial inercial privilegiado.  • Princípio da constância da velocidade da luz: a velocidade da luz no vácuo vale c = 300.000 km/s em todos os referenciais inerciais, independentemente do movimento da fonte em relação ao observador.
  • 6.
    Se ligue!!!  Noteque o segundo postulado contraria radicalmente a maneira newtoniana de compor velocidades. Para confirmar isso, considere uma nave em repouso em relação às estrelas e recebendo a luz emitida por uma lanterna, como ilustra a figura a seguir.  Imagine, agora, que a nave entre em movimento retilíneo e uniforme para a direita, a 100000 km/s. Se a composição de velocidades da Mecânica clássica continuasse valendo, a velocidade da luz emitida pela lanterna seria, em relação à nave, de 400000 km/s. Entretanto, por mais absurdo que pareça, essa velocidade continua igual a 300000 km/s!
  • 7.
    Conseqüências da Relatividadede Einstein  Dilatação do tempo  Contração do espaço
  • 8.
  • 9.
    R': referencial emrepouso em relação ao local onde ocorreram os eventos. Para esse referencial, o intervalo de tempo entre os eventos será representado por ∆t / R: referencial em movimento em relação ao local onde ocorreram os eventos. Para esse referencial, o intervalo de tempo entre os eventos será representado por ∆t
  • 10.
    Do ponto devista do referencial R' ∆s Como v = , temos : ∆t 2d 2d c = / ⇒ ∆t = / ∆t c
  • 11.
    Do ponto devista do referencial R
  • 12.
    2 2  c ⋅ ∆t   v ⋅ ∆t   = d +  ⇒ 2   2   2  2 c ⋅ ∆t 2 2 v ⋅ ∆t 2 ⇒ =d +2 ⇒ 4 4 ⇒ c 2 ⋅ ∆t 2 = 4d 2 + v 2 ⋅ ∆t 2 ⇒ ⇒ (c 2 − v 2 )∆t 2 = 4d 2 ⇒ 4d 2 4d 2 ⇒ ∆t 2 = 2 2 = ⇒ (c − v ) 2 v  2 c 1 − 2   c    2d ∆t / ⇒ ∆t = ⇒ ∆t = 2 v v2 c 1− 2 1− 2 c c
  • 13.
    c c c c tempo tempo maior menor ∆t / ∆t
  • 14.
    ∆t / ∆t = Fator de Lorentz 2 v 1− 2 1 c γ= v2 1− 2 ∆t = γ ⋅ ∆t / c Note que, para R', o tempo passa mais devagar. Qualquer processo físico, reação química ou processo biológico que ocorre dentro do vagão é mais lento para R' do que para R. Incluem-se nesse caso os batimentos cardíacos e a rapidez com que o mecanismo de um relógio opera.
  • 15.
    Paradoxo do Gêmeos Consideremos uma experiência controlada que envolva dois gêmeos de 20 anos, Eliandro e Leandro. Eliandro, o gêmeo mais aventureiro, mais mais , etc. empreende uma jornada até uma estrela, a 30 anos-luz da Terra. A sua astronave é capaz de acelera até velocidade próxima da velocidade da luz. Depois de chegar à estrela, Eliandro sente muitas saudades, e retorna imediatamente à Terra, com a mesma velocidade elevada. No seu retorno, fica admirado pelas muitas mudanças. Antigas cidades expandiram-se, novas apareceram. Leandro, envelheceu cerca de 80 anos e Eliandro, porém, envelheceu apenas 10 anos e ainda continuava bonitão. Isso em virtude de os seus processos corporais se terem alentecido durante a viagem no espaço.
  • 16.
    Um dos fatosque confirmam a Teoria da Relatividade Restrita Raios cósmicos incidentes nas altas camadas da atmosfera produzem partículas instáveis, denominadas mésons µ (ou múons). Sabe-se que a vida média de um méson µ, medida em um referencial em repouso em relação a ele, é de 2,2 µs, aproximadamente. Após esse curtíssimo intervalo de tempo, o méson µ desintegra-se, dando origem a outras partículas (um elétron, um antineutrino do elétron e um neutrino do múon). Muitos múons produzidos na alta atmosfera movem-se a uma velocidade igual a 0,998 c, aproximadamente. Vamos calcular a distância que poderiam percorrer antes de se desintegrarem: −6 ∆s = v ⋅ t = (0,998 ⋅ 3 ⋅10 ) ⋅ (2,2 ⋅10 ) 8 ∆s ≅ 660m
  • 17.
    Como a altitudeda região em que são produzidas é muito maior que 660 m, essas partículas não deveriam chegar à superfície da Terra. No entanto, chegam em abundância. Note que estamos diante de um problema concreto. Como a velocidade dos mésons é muito alta, os efeitos relativísticos não podem ser ignorados, e o problema deve ser resolvido pela Teoria da Relatividade.
  • 18.
    ∆t / 2,2 ⋅10 −6 ∆t = = ⇒ ∆t ≅ 35µs 2 2 v (0,998c) 1− 2 1− c c2 Então, em relação a R, o méson, ainda " vivo", é capaz de percorrer uma distância l dada por : l = v ⋅ ∆t = (0,998 ⋅ 3 ⋅108 ) ⋅ (35 ⋅10 −6 ) ⇒ l ≅ 10500m Dessa forma, fica explicado por que os mésons conseguem chegar à superfície da Terra.
  • 19.
    Exemplo 01 Um fogueteparte da Terra com velocidade v= 0,8c, em relação à Terra, transportando um astronauta. Em relação ao foguete, a viagem dura 3 anos. Quanto durou a viagem do astronauta em relação a um observador na Terra? ∆t = ? → ∆t / = 3anos ∆t / 3 ∆t = ⇒ ∆t = v2 (0,8c) 2 1− 2 1− c c2 3 ∆t = ⇒ ∆t = 5anos 0,6
  • 20.
    Contração do Espaço Se um observador mede o comprimento de um objeto que está em movimento relativamente a ele, o valor obtido é diferente daquele que seria encontrado se a medição fosse feita num referencial onde o objeto estivesse em repouso, Esse efeito é conseqüência direta da dilatação do tempo. Analisemos uma situação hipotética simples. Isso é o que Einstein chamava de experiência mental.
  • 21.
     R: referencialem repouso em relação ao corpo cujo comprimento será medido (no caso, o corpo é o túnel). Para esse referencial, o comprimento do túnel l.  R': referencial móvel em relação ao corpo (túnel) cujo comprimento será medido. Para esse referencial, o comprimento do túnel l’
  • 22.
    Do ponto devista do referencial R l v= ⇒ l = v ⋅ ∆t ∆t
  • 23.
    Do ponto devista do referencial R’ l' ∆t / v= ⇒ l ' = v ⋅ ∆t '. Como ∆t = , ∆t ' v 2 1− 2 c v2 podemos escrever ∆t ' = ∆t ⋅ 1 − 2 . Então; c v2 l ' = v ⋅ ∆t ' ⇒ l ' = v ⋅ ∆t 1 − 2 c Temos : v2 l' = l 1− 2 c
  • 24.
    Se o corpoem estudo estivesse dentro do vagão e fixado nele, o referencial R, em repouso em relação ao corpo, estaria no vagão. O referencial R', por sua vez, em movimento em relação ao corpo, estaria no solo. Nessa situação, a contração do comprimento do corpo ocorreria para R'. O comprimento l' que a barra tem em relação a R' é menor que o comprimento l que ela tem em relação a R: l ' menor que l v2 l' = l 1− 2 c
  • 25.
    A contração docomprimento só ocorre na direção do movimento e é um efeito provocado pela não-simultaneidade na determinação das coordenadas das extremidades do objeto medido.
  • 26.
    Exemplo 02 Considere umabarra em repouso em relação a um sistema de referência R’. Este se movimenta em relação ao sistema de referência R com velocidade v=08c. Seja L=1,0m o comprimento da barra medido no referencial R’. Sabendo-se que a barra está alinhada na direção do movimento, determine o comprimento da barra em relação ao referencial R.
  • 27.
    L/ = 1,0m v= 0,8c L/  v2  /  (0,8c) 2  L = =  1− 2  ⋅ L ⇒ L =  1−  ⋅1 γ  c    c2   L = 0,36 = 0,60m
  • 28.
    Exemplo 03 Umanave espacial tem o comprimento de 100m, medidos por um observador em repouso em relação à nave. Se a nave passar por um observador com velocidade de 0,99c, qual o comprimento que este observador atribuirá à nave? L/ = 100m v = 0,99c L/  v2  /  (0,99c) 2  L = =  1− 2  ⋅ L ⇒ L =  1−  ⋅100 γ  c    c2   L= ( ) 0,02 ⋅100 = 14m Se a nave espacial passar pelo observador em repouso com a velocidade 0,01c, qual o comprimento que este observador medirá?
  • 29.
    Composição de velocidades u' → velocidade do objeto P em relação ao vagão v → velocidade do vagão u → velocidade do objeto P em relação ao solo (R) Pode - se demonstrar que a velocidade u do objeto P em relação ao solo é dada por : u '+v u= vu ' 1+ 2 c
  • 30.
    Exemplo 04 Uma navemove-se com velocidade 0,80 c em relação ao solo quando lança um projétil com velocidade 0,60 c em relação a ela, como ilustra a figura. u '+ v 0,60c + 0,80c u= = ⇒ vu ' 0,80c ⋅ 0,60c 1+ 2 1+ c c2 1,40c ⇒u = ⇒ u = 0,95c 1,48 Imagine que fosse possível termos v = c e u' = c; calculem o novo valor de u.
  • 31.
    Massa e Energia Paraque o princípio da conservação da quantidade de movimento continuasse válido no domínio de colisões interratômicas (onde a velocidade das partículas é compatível à velocidade da luz), Einstein reformulou os conceitos de massa e energia. m0 Massa de repouso A massa do corpo é maior quando em movimento do m0 que quando em repouso. m = γ ⋅ m0 ⇒ m = v2 1− 2 O aumento da massa não c significa que aumenta o número de partículas do corpo, e sim a inércia.
  • 32.
    Massa é umaforma de Energia E = m ⋅ c → Energia Total 2 E0 = m0 ⋅ c → Energia de repouso 2 Energia Cinética EC = E − E0 EC = m ⋅ c − m0 ⋅ c 2 2
  • 33.
    Quantidade de Movimento Q= m⋅v m0 Como : m = , temos : v2 1− 2 c m0 Q= ⋅v v2 1− 2 c