Exercícios do item 1.5: 1) Calcule a força de tração nas duas barras da estrutura abaixo.
0
111 87,36)75,0(tanarc
4
3
tan =θ→=θ→=θ
0
222 13,53)333,1(tanarc
3
4
tan =θ→=θ→=θ
0)13,53(cosF)87,36(cosF:0F o
2
o
1x =+−=∑
21
2
121 F75,0F
8,0
F6,0
F06,0F8,0F =→=→=+−
0000.12)13,53(senF)87,36(senF:0F o
2
o
1y =−++=∑
000.128,0F6,0F 21 =+
Colocando-se a força F1 na expressão acima, tem-se:
N600.9
25,1
000.12
F000.128,0F6,0F75,0 222 ==→=+⋅
N200.7F9600x75,0F 11 =→=
2) Calcule a força de tração nos dois cabos da figura.
000.6FF0F000.5000.1F:0F 2121y =+→=+−−=∑
N8,730.3F06,2xF8,1x000.57,0x000.1:0M 221 =→=−+=∑
N2,269.2F08,0x000.59,1x000.16,2xF:0M 112 =→=−−=∑
Exercícios do item 1.6: 1) Calcule as reações nos apoios da viga abaixo.
0H:0F Ax ==∑
000.14VV0V000.14V:0F BABAy =+→=+−=∑
N000.8V05,3xV0,2x000.14:0M BBA =→=−=∑
N000.6V05,1x000.145,3xV:0M AAB =→=−=∑
2) Calcule as reações no apoio da viga em balanço (ou viga cantilever).
0H:0F bx ==∑
000.1V0000.1V:0F bby =→=−=∑
m.N000.3M0M0,3x000.1:0M bbO =→=−=∑
Exercícios do item 1.9: 1) Calcule as reações de apoio da viga de aço abaixo.
Dado: γs = 77 kN/m3
A carga q (N/m) é obtida multiplicando-se o peso específico pela área da seção
transversal:
2
mm000.3300x62x100x6A =+=
Ou: 2326
m10x0,3m)10(000.3A −−
==
m/N231)m(10x0,3x)m/N(77000A.q 233
==γ= −
0H0F Ax =→=∑
L.qVV0F BAy =+→=∑
Então: N20790,9x231VV BA ==+
0
2
L
.L.qL.V0M AB =−→=∑
2
Lq
V
2
Lq
V BA =→=
N5,1039
2
0,9x231
VV BA ===
2) Calcule as reações de apoio da viga de aço abaixo.
Dado: γs = 77 kN/m
3
0H0F Bx =→=∑
N20790,9x231L.qV0F By ===→=∑
m.N5,9355
2
qL
M0M
2
L
.L.q0M
2
BBo ==→=+−→=∑
Observação muito importante: A substituição de uma carga distribuída pela força
resultante somente pode usada para calcularem-se as reações de apoio. Não deve ser
usada para mais nada.
Exercícios do item 2.1: 1) Calcule a tensão normal nos dois cabos da figura.
Dados: φ1 = φ2 = 25,4 mm
Área dos cabos 1 e 2:
2
21
2
21 mm7,506AA)7,12(AA ==→π==
Tensão normal nos cabos 1 e 2:
2
2
1
1
1 mm/N48,4
)mm(7,506
)N(2,269.2
A
F
===σ
2
2
2
2
2 mm/N36,7
)mm(7,506
)N(8,730.3
A
F
===σ
2) Calcule a tensão normal nas duas barras da treliça abaixo.
Dados: φ1 = 12,5 mm ; φ2 = 20,0 mm
21
o
2
o
1x FF0)45cos(F)45(cosF:0F =→=+−=∑
0000.5)45(senF)45(senF:0F o
2
o
1y =−+=∑
N1,3536FF000.5707,0F2 211 ==→=
Cálculo da tensão normal nas barras 1 e 2:
2
2
1
1
1 mm/N8,28
)25,6(
1,3536
A
F
=
π
==σ
2
2
2
2
2 mm/N3,11
)10(
1,3536
A
F
=
π
==σ
3) Calcule a tensão normal nas duas barras da treliça abaixo. As duas barras têm seção
transversal circular. Dados: φBarra tracionada = 15 mm ; φBarra comprimida = 20 mm
866,0FF0)30cos(FF:0F 21
o
21x ⋅−=→=+=∑
N000.50F0000.52)30(senF:0F 2
o
2y −=→=+=∑
N300.43F866,0.)000.50(F 11 =→−−=
Tensão normal nas barras 1 e 2:
2
2
1
1
1 mm/N0,245
)5,7(
300.43
A
F
=
π
==σ
2
2
2
2
2 mm/N2,159
)10(
000.50
A
F
−=
π
−
==σ
4) Uma barra, de seção transversal retangular, tem altura variável (como indicado) e
largura b constante igual a 12 mm. Calcule a tensão normal no ponto de aplicação da
força F e no engaste. Dado: F = 8.000 N
2
mm/N44,44
15x12
000.8
A
F
===σ
2
Engaste mm/N67,26
25x12
000.8
A
F
===σ
5) Uma barra prismática está pendurada por uma de suas extremidades. Construa os
diagramas de força normal e de tensão normal.
Dados: γ: peso específico; A: área da seção transversal
Fazendo-se um corte imaginário à distância x os esforços que eram internos passam a
ser externos. A parte recortada também tem que estar em equilíbrio, pois qualquer
parte (ou ponto) de uma estrutura em equilíbrio também está em equilíbrio. N(x):
representa a ação da parte de cima sobre a parte de baixo.
xA)x(N0xA)x(N:0Fy γ=→=γ−=∑
x
A
Ax
A
)x(N
γ=
γ
==σ
Exercícios do item 2.2: 1) Uma barra prismática de seção transversal circular (φ = 25
mm) e de comprimento L = 800 mm fica solicitada por uma força axial de tração F =
30.000 N. Calcule a tensão normal e a deformação linear específica sabendo que o
alongamento da barra é de 2,0 mm.
2
2
mm/N1,61
)5,12(
000.30
A
F
=
π
==σ
3
10x5,2
)mm(800
)mm(0,2
L
L −
==
∆
=ε
2) Um elástico tem comprimento não esticado igual a 30,0 cm. Calcule a deformação
linear específica do elástico quando for esticado ao redor de um poste com diâmetro
externo igual a 16 cm.
P: Perímetro externo do poste: cm27,508.2R2P =π=π=
68,0
30
3027,50
L
LL
L
L
i
if
i
=
−
=
−
=
∆
=ε
Exercícios do item 2.3: 1) Uma barra prismática de seção transversal circular (d = 20
mm) fica solicitada por uma força axial de tração F = 6.000 N. Experimentalmente,
determinou-se a deformação linear específica longitudinal oo
o
L /3=ε . Calcule a
tensão normal, a variação do comprimento e do diâmetro da barra. Dado: ν = 0,25.
2
2x mm/N1,19
)10(
000.6
A
F
=
π
==σ
003,0
1000
3
/3 oo
o
xL ===ε=ε
mm5,4L1500.10x0,3LL
L
L
x
3
xxx
x
x
x =∆→=ε=∆→
∆
=ε −
yyy
y
y
y LL
L
L
ε=∆→
∆
=ε
ddL yy ε=∆=∆
43
xy
x
y
10x5,710x0,3x25,0 −−
−=−=εν−=ε→
ε
ε
−=ν
mm015,020x10x5,7d 4
−=−=∆ −
2) Calcule o volume final da barra do problema anterior.
Vi : volume inicial da barra; Vf: volume final da barra
32
iii mm9,238.471500.1x)10(LAV =π==
3
2
fff mm9,943.471)5,41500(x
4
)015,020(
LAV =+
−π
==
3
if mm7059,238.4719,943.471VVV =−=−=∆
Exercício do item 2.4: A figura abaixo mostra um diagrama Força-Alongamento de um
ensaio de tração simples. A barra tem seção transversal circular (d = 30 mm) e
comprimento inicial (referência) igual a 800 mm. Calcule:
a) a tensão (ou limite) de proporcionalidade (σP);
b) a tensão (ou limite) de escoamento (σY);
c) a tensão última (σU);
4
30.
4
D
R.A
22
2 π
=
π
=π= = 2
mm86,706
a) MPa15,14mm/N15,14
86,706
000.10
P
2
P =σ→==σ
b) MPa98,16mm/N98,16
86,706
000.12
Y
2
Y =σ→==σ
c) MPa29,28mm/N29,28
86,706
000.20
U
2
U =σ→==σ
Exercícios do item 2.5: 1) Calcule o módulo de Young (Ε) da barra do problema
anterior.
εΕ=σ .
3
10x75,3
mm800
mm3
L
L −
=ε→=
∆
=ε
3
2
10x75,3
mm/N15,14
−
=
ε
σ
=Ε 2
mm/N3,773.3=Ε→
MPa3,773.3:Ou =Ε GPa77,3=
2) Uma circunferência de raio R = 300 mm é desenhada em uma placa. Calcule ao
aplicar-se a tensão normal σx = 81,0 MPa os valores dos diâmetros ab e cd. Dados da
placa: Ε = 120 GPa; ν = 0,36
Lei de Hooke: σ=Εε xx σ=Εε→
9
6
x
x
10x120
10x81
=
Ε
σ
=ε → 4
x 10x75,6 −
=ε
mm405,0600x10x75,6L
L
L 4
x
x
x
x ==∆→
∆
=ε −
mm405,600405,0600LFab =+=
Coeficiente de Poisson (ν):
x
y
ε
ε
−=ν → xy εν−=ε =
4
10x75,6x36,0 −
− =
4
10x43,2 −
−
mm1458,0600x10x43,2L
L
L 4
y
y
y
y −=−=∆→
∆
=ε −
mm8542,5991458,0600LFcd =−=
3) Um bloco de massa m = 1.500 kg é sustentado por dois cabos de seção transversal
circular. Sendo dados d1 = 8,0 mm; d2 = 12,0 mm; Ε1 = 70 GPa e Ε2 = 120 GPa, calcule:
a) o valor do ângulo θ sabendo σ1 = σ2 ;
b) valor da tensão normal nas duas barras;
c) a deformação linear específica das duas barras.
θ
=→=−θ→=∑ sen
P
F0PsenF0F 22y
θ
θ
=→=θ−→=∑ cos
sen
P
F0cosFF0F 121x
a)
2
2
1
1
21
A
F
A
F
=→σ=σ
36
1
16
cos
)6(
sen
P
)4(
sen
cosP
22
=
θ
→
π
θ=
π
θ
θ
o
61,63
36
16
cosarc =θ→





=θ
b) 2
o
o
1
1
1
)4(
)61,63(sen
)61,63(cosP
A
F
π
==σ = 2
mm/N2,145496,0
16
81,91500
=⋅
⋅π
⋅
=
⋅π
⋅
=
π
==σ
36
8958,0
81,91500
)6(
)61,63(sen
P
A
F
2
o
2
2
2
2
mm/N2,145
c) Lei de Hooke: σ=Εε
3
123
2
1111 10x074,2
)mm/N(10x70
)mm/N(2,145 −
=ε→=ε→σ=Εε
3
223
2
2222 10x21,1
)mm/N(10x120
)mm/N(2,145 −
=ε→=ε→σ=Εε
Exercícios do item 3.1: 1) Uma barra prismática de aço, com seção transversal circular,
tem 6,0 metros de comprimento e está solicitada por uma força axial de tração F = 104
N. Sabendo-se que o alongamento da barra é de 2,5 mm e que Ε = 205 GPa, calcule:
a) o diâmetro da barra;
b) a tensão normal.
a) mm1,6R
R10x205
6000x10
5,2
AE
LF
L 23
4
=→
π⋅
=→=∆
Então: d = 12,2 mm
b) 2
2
4
mm/N5,85
)1,6(
10
A
F
=
π
==σ
2) Calcule o alongamento dos dois cabos da estrutura abaixo.
Dados: φ1 = φ2 = 25,4 mm; L1 = L2 = 3,5 m; Ε1 = Ε2 = 70 GPa
mm22,0
7,50610x70
3500x2,2269
L
AE
LF
L 31
11
11
1 =
⋅
=∆→=∆
mm37,0
7,50610x70
3500x8,3730
L
AE
LF
L 31
22
22
2 =
⋅
=∆→=∆
3) Calcule o alongamento das duas barras da treliça abaixo.
Dados: φ1 = 12,5 mm ; φ2 = 20 mm; L1 = 1,0 m; L2 = 2,0 m; Ε1 = 205 GPa; Ε2 = 120 GPa
mm14,0
7,12210x205
1000x1,3536
L
AE
LF
L 31
11
11
1 =
⋅
=∆→=∆
mm19,0
2,31410x120
2000x1,3536
L
AE
LF
L 31
22
22
2 =
⋅
=∆→=∆
Exercícios do item 3.2: 1) Calcule o deslocamento horizontal do ponto de aplicação da
força de 200 kN. Dados: A = 800 mm2
; Ε = 70 GPa
mm18,22
80010x70
1800x000.250
80010x70
3600x000.80
80010x70
5400x000.200
AE
LF
H 333
n
1i ii
ii
=
⋅
+
⋅
−
⋅
==∆ ∑
=
2) Duas barras de seção transversal circular são soldadas como mostra a figura. Sendo
dados: φ1= 14 mm; φ2 = 8 mm; Ε1= Ε2 = 70 GPa, calcule:
a) a tensão normal nas duas barras;
b) o alongamento da barra.
a) 22
1 mm9,153)7(A =π=
22
2 mm3,50)4(A =π=
2
1 mm/N98,51
9,153
8000
==σ
2
2 mm/N64,59
3,50
3000
==σ
b) mm91,1
9,15310x70
2000x000.5
9,15310x70
2000x000.3
3,5010x70
500x000.3
L 333
=
⋅
+
⋅
+
⋅
=∆
3) Calcule a tensão normal máxima e o alongamento da barra prismática abaixo. Dados:
A = 7,1 x 10− 4
m2
; Ε = 120 GPa; γ = 44.300 N/m3
• A tensão normal máxima ocorre no apoio:
266
4máx m/N10x22,010x63,55x300.44
10x1,7
000.4
L
A
F
+=+=γ+=σ −
MPa85,5m/N10x85,5 26
máx ==σ
• Cálculo do alongamento:
E2
L
AE
LF
L
2
γ
+=∆
O alongamento máximo ocorre na extremidade livre:
m10x61,410x41,1
10x120x2
544300
10x1,710x120
0,3x000.4
L 64
9
2
49máx
−−
−
+=
⋅
+
⋅
=∆
mm146,0m10x46,1L 4
máx ==∆ −
Exercícios do item 3.3: 1) Calcule a tensão normal nas três barras da treliça abaixo e o
deslocamento vertical do ponto de aplicação da força P.
Dados: P = 15.000 N; Ε1 = Ε2 = 205 GPa; Α1 = Α2 = 2 x 10 − 4
m
2
Diagrama de corpo livre:
055cosF55cosF0F o
1
o
1x =+−→=∑
0PF55senF.20F 2
o
1y =−+→=∑
De onde: 1,64 F1 + F2 = P (1)
Temos uma equação e duas incógnitas, o problema é uma vez hiperestático. A outra
equação virá da “compatibilidade dos deslocamentos”.
11
o
22
11
11o
22
22
LF35cosLF
AE
LF
35cos
AE
LF
=→=
Cálculo do comprimento da barra 1: L1 cos35o
= L2
m44,2L
35cos
0,2
L 1o1 =→=
Da equação de compatibilidade:
121
o
2 F49,1F44,2F35cos0,2xF =→= (2)
Colocando-se a equação (2) na equação (1), tem-se:
1,64 F1 + 1,49 F1 = P
N4792F000.15F13,3 11 =→=
F2 = 7.140 N
Cálculo da tensão normal nas barras 1 e 2::
MPa96,23
10x2
4792
A
F
14
1
1
1 =σ→==σ
−
MPa70,35
10x2
7140
A
F
24
2
2
2 =σ→==σ
−
Cálculo do deslocamento vertical do ponto de aplicação da força P:
mm35,0V
10x2x10x205
000.2x7140
AE
LF
LV
49
22
22
2 =∆→==∆=∆
−
Exercício 2): A barra rígida (indeformável) AB, de peso desprezível, é rotulada em A,
suspensa por dois cabos e suporta uma força P = 58.000 N. Calcule a tensão normal
nos cabos 1 e 2 e a reação vertical no apoio A.
Dados: L1 = L2; Ε1 = 70 GPa; Ε2 = 205 GPa; Α1 = Α2 = 5 x 10 − 4
m
2
0PFFV0F 21Ay =−++→=∑ (1)
0d4xFd3xPd2xF0M 21A =+−→=∑
De onde: Px3Fx4Fx2 21 =+ (2)
Temos duas equações independentes da estática e três incógnitas. O Problema é uma
vez hiperestático e a outra equação virá da compatibilidade dos deslocamentos.
21
21
LL2
d4
L
d2
L
∆=∆→
∆
=
∆
9
2
9
1
22
22
11
11
10x205
F
10x70
F
2
AE
LF
AE
LF
2 =→=
De onde: F2 = 5,86 F1 (3)
Colocando-se a equação (3) na equação (2), tem-se:
Px3F86,5x4Fx2 11 =+
25,44 F1 = 3 x 58.000 → F1 = 6.839,6 N
F2 = 40.080,1 N
Cálculo da tensão normal nos cabos:
MPa68,13
10x5
6,6839
A
F
14
1
1
1 =σ→==σ
−
MPa16,80
10x5
6,080.40
A
F
24
2
2
2 =σ→==σ
−
Cálculo da reação vertical no apoio A (equação (1):
N3,080.11000.581,080.406,839.6PFFV 21A =+−−=+−−=
Exercício 3): A barra prismática abaixo está presa em dois apoios indeformáveis e
solicitada por uma força axial F. Determine as reações nos apoios A e B.
0HFH0F BAx
=+−→=∑ (1)
O problema é uma vez hiperestático. Vamos retirar um dos apoios e determinar o
deslocamento que o apoio retirado está impedindo.
Colocando-se o apoio retirado, tem-se:
Compatibilidade dos deslocamentos:
L
a.F
H
EA
L.H
EA
a.F
LL B
B
21 =→=→∆=∆
L
b.F
H)aL(
L
F
L
a.F
L
L
F
L
a.F
FHHFH AABA =→−=−=−=→−=
Exercício 4): A barra prismática abaixo está carregada axialmente por duas forças F1 e
F2. Calcule:
a) as reações nos apoios indeformáveis A e B;
b) a tensão normal no meio da barra.
Dados: F1 = 2.000 N; F2 = 3.500; Aseção transversal = 200 mm
2
Superposição dos efeitos:
N6,384.1
6,2
8,1x000.2
L
b.F
H 11
A === N4,615
6,2
8,0x000.2
L
a.F
H 11
B ===
N7,807
6,2
6,0x500.3
L
b.F
H 22
A === N3,692.2
6,2
0,2x500.3
L
a.F
H 22
B ===
N9,5767,8076,384.1HHH 2
A
1
AA =−=+=
N9,076.23,692.24,615HHH 2
B
1
BB =+−=+=
Cálculo da tensão normal no meio da barra:
F = força normal axial no meio da barra
F = − HÁ + F1 = − 576,9 + 2.000 = 1.423,1 N
Ou: F = − HB + F2 = − 2.076,9 + 3.500 = 1.423,1 N
Então: MPa1,7:oumm/N1,7
200
1,423.1
A
F 2
=σ===σ
Exercício 5): A barra prismática está na posição indicada quando a força F = 0. Calcule
as reações nos apoios rígidos A e B quando for aplicada a força F = 18.000 N.
Dados: Ε = 1,5 GPa; Α = 5 x 10 − 3
m2
OBS.: Se a barra não encostar no apoio B as reações são dadas por:
HÁ = 18.000 N e HB = 0.0
Vamos retirar o apoio B:
mm8,4
10x5x10x5,1
000.2x000.18
EA
000.2xF
L
391 ===∆
−
Colocando-se o apoio B, a reação HB deverá diminuir (encurtar) a barra de ∆L1 – 2 mm.
N5,562.6H0,28,4
10x5x10x5,1
200.3xH
B39
B
=→−=
−
N5,437.115,562.6000.18HFHH ABA =−=→=+
Exercícios Capítulo Três, item 3.4: 1) A barra prismática abaixo está livre de tensão
quando a temperatura é igual a 20ºC. Sabendo que os engastes são indeformáveis
calcule a tensão normal na barra quando a temperatura subir para 50ºC.
Dados: Ε = 205 GPa; α = 11,7 x 10 − 6
/o
C
Retirando-se o apoio B, tem-se:
Compatibilidade dos deslocamentos
TF LL ∆=∆
TL
EA
FL
∆α=
TE ∆α=σ
30x10x7,11x10x205 69 −
=σ
26
m/N10x95,71=σ
Ou: σcompressão = 71,95 MPa
2) A barra prismática abaixo está livre de tensão quando a temperatura é igual a 25º C.
Sabendo que os engastes A e B são indeformáveis calcule a tensão normal na barra
quando a temperatura descer para − 60ºC.
Dados: Ε = 70 GPa; α = 21,6 x 10 − 6
/o
C; L = 4,0 m
Compatibilidade dos deslocamentos
TF LL ∆=∆
TL
EA
FL
∆α=
TE ∆α=σ
85x10x6,21x10x70 69 −
=σ
26
m/N10x52,128=σ
Ou: σtração = 128,52 MPa
3) Resolva o problema anterior considerando que à temperatura t = − 60º C o apoio B
se desloca de 3 mm e o apoio A continua indeformável.
Dados: Ε = 70 GPa; α = 21,6 x 10 − 6
/
o
C; L = 4,0 m
T
3
F L10x3L ∆=+∆ −
TL10x3
EA
FL 3
∆α=+ −
TL10x3
E
L 3
∆α=+
σ −
85x4x10x6,2110x3
10x70
4x 63
9
−−
=+
σ
33
9
10x310x344,7
10x70
4x −−
−=
σ
26
m/N10x02,76=σ
Ou: σtração = 76,02 MPa
4) A estrutura abaixo é perfeitamente ajustada aos engastes rígidos A e B quando a
temperatura é igual a 18º C. Calcule a tensão normal nas barras 1 e 2 quando a
temperatura subir para 100º C.
Dados: Ε1 = Ε2 = 205 GPa; α1 = α2 = 12 x 10 − 6
/o
C; Α1 = 600 mm2
;
Α2 = 300 mm
2
TLTLL 2211T ∆α+∆α=∆
82x400x10x1282x500x10x12L 66
T
−−
+=∆ = 0,8856 mm
22
2
11
1
F
AE
FL
AE
FL
L +=∆
300x10x205
400xF
600x10x205
500xF
L
33F +=∆ = 1,0569 x 10
– 5
. F
∆LF = ∆LT
então: 1,0569 x 10 – 5
. F = 0,8856
F = 83.791,4 N
Cálculo da tensão normal:
2
1
1 mm/N7,139
600
4,791.83
A
F
===σ
Ou: σ1 = 139,7 MPa
2
2
2 mm/N3,279
300
4,791.83
A
F
===σ
Ou: σ2 = 279,3 MPa
5) A barra prismática está na posição indicada na figura abaixo quando a temperatura é
igual a 25º C. Sabendo que apoios A e B são indeformáveis calcule a tensão normal na
barra quando a temperatura for igual a:
a) 10º C;
b) 70º C;
c) 105º C;
Dados: Ε = 70 GPa; que α = 20 x 10 − 6
/
o
C
a) σ = 0,0
b) mm5,2mm25,245x500.2x10x20L 6
T <==∆ −
Portanto, a barra não vai encostar no apoio B, então: σ = 0,0
c) mm5,2mm0,480x500.2x10x20L 6
T >==∆ −
2
compressão33F mm/N42
10x70
500.2x
5,1
A10x70
500.2xF
L =σ→
σ
=→=∆
6) As barras estão na posição indicada na figura abaixo quando a temperatura é igual a
− 5º C. Determine a distância “d” que o ponto a se desloca quando a temperatura subir
para 40º C. Considere que a barra ab tenha coeficiente de dilatação térmica
insignificante. Dados: α1 = 23 x 10 − 6
/
o
C; α2 = 12 x 10 − 6
/
o
C
mm93,045x900x10x23TLLT 6
111 ==∆α=∆ −
mm49,045x900x10x12TLLT 6
222 ==∆α=∆ −
290
x
30
49,093,0
290
x
30
LTLT 21
=
−
→=
∆−∆
mm25,4290.
30
44,0
x
30
44,0
290
x
==→=
mm74,425,449,0d =+=
7) Um tubo de alumínio mede 35 m à temperatura de 22º C. Um tubo de aço, à mesma
temperatura, é 5 mm mais longo. Calcule em qual temperatura estes tubos terão o
mesmo comprimento.
Dados: αAlumínio = 21,6 x 10 − 6
/
o
C; αS = 11,7 x 10 − 6
/
o
C
SAL LT005.35LT000.35 ∆+=∆+
TL005.35TL000.35 SSALAL ∆α+=∆α+
Tx005.35x10x7,11005.35T000.35x10x6,21000.35 66
∆+=∆+ −−
T410,0005.35T756,0000.35 ∆+=∆+
000.35005.35T410,0T756,0 −=∆−∆
C45,14T5T346,0 o
=∆→=∆
C45,36T45,1422T o
=→+=
Observação: à temperatura t = 36,45ºC têm-se os seguintes comprimentos:
mm92,010.3545,14x000.35x10x6,21000.35L 6
AL =+= −
mm92,010.3545,14x005.35x10x7,11005.35L 6
S =+= −
Exercícios do Capítulo Quatro: Exercício: 1) Calcule a tensão de cisalhamento média
que ocorre na cola.
MPa5,2m/N10x5,2
10,0x04,0x2
000.20
A
F 26
mm ==τ→==τ
Ou:
MPa5,2mm/N5,2
100x40x2
000.20
A
F 2
mm ==τ→==τ
2) Um bloco está solicitado por uma força F = 112 kN. Calcule:
a) A tensão cisalhante média;
b) O deslocamento do ponto d considerando-se que a face inferior não se desloca.
Dados: Ε = 87,5 GPa; ν = 0,25
a) →==τ
50x160
000.112
A
F
m
2
m mm/N14=τ
b)
γ=∆→
∆
=γ≅γ 80
80
tg
Lei de Hooke no cisalhamento: γ=τ G
GPa35G
)25,01(2
5,87
)1(2
E
G =→
+
=
ν+
=
.rad10x4
)mm/N(10x35
)mm/N(14
G
4
23
2
−
=γ→=
τ
=γ
mm032,010x4x80 4
=∆→=∆ −
3) Calcule a tensão de cisalhamento média no pino e a tensão normal de tração média
no cabo da estrutura abaixo.
2
méd2méd mm/N7,71
10x14,3
500.22
A
F
=τ→==τ
2
méd2méd mm/N5,292
7x14,3
000.45
A
F
=σ→==σ
4) Calcule a tensão de cisalhamento nos parafusos da ligação abaixo. Dados: F =
35.000 N; d = 19,05 mm
Neste caso n = 4 e nA = 1 (corte simples)
2
méd2méd mm/N7,30
)525,9(x14,3x1x4
000.35
A
F
=τ→==τ
5) Calcule o diâmetro dos parafusos da ligação abaixo.
Dados: F = 200.000 N;
2
__
mm/N95=τ
Para este problema: n = 8 e nA = 1 (corte simples)
mm15,9R
)R(x14,3x1x8
000.200
95
A
F
2méd =→=→=τ
Portanto: d = 18,3 mm
6) Calcule a tensão de cisalhamento nos parafusos da ligação abaixo e a tensão normal
nas chapas. Dado: d = 12 mm
1ª opção: F = 15.000 N; n = 6; An = 1
2
méd2méd mm/N1,22
)6(x14,3x1x6
000.15
A
F
=τ→==τ
2
mm/N50
100x3
000.15
A
F
=σ→==σ
2ª opção: F = 30.000 N; n = 6; An = 2
2
méd2méd mm/N1,22
)6(x14,3x2x6
000.30
A
F
=τ→==τ
2
mm/N50
100x6
000.30
A
F
=σ→==σ
7) Um suporte para televisão é sustentado por um pino de 8 mm de diâmetro. Calcule a
tensão de cisalhamento média no pino sabendo que a massa da televisão é igual a 25
kg.
Observação: a força cisalhante no pino é provocada pelo binário exigido para o equilíbrio
de momentos fletores.
050xF800xP0MA =−→=∑
N924.3F50xF800x81,9x25 =→=
Cálculo da tensão cisalhante média no pino:
2
m2m mm/N1,78
4x14,3
924.3
A
F
=τ→==τ
Exercícios do Capítulo 5: 1) Para o eixo abaixo calcule:
a) a tensão de cisalhamento máxima;
b) o giro relativo da seção transversal B em relação ao engaste indeformável A;
c) o deslocamento horizontal do ponto c.
Dados: =T 4.600 N.mm; G = 60 GPa.
a)
J
r.T
=τ
( ) ( ) 4444
i
4
e mm2,270.8J1218
32
DD
32
J =→−
π
=−
π
=
MPa01,5:oumm/N01,5
2,270.8
9x600.4
máx
2
máx =τ==τ
b) .rad10x42,7
2,270.8x10x60
800x600.4
GJ
TL 3
3
−
===θ
c)
mm067,010x42,7x9x9
9
tg 3
==θ=∆→
∆
=θ≅θ −
2) Um eixo de seção transversal circular fica solicitado pelos momentos de torção
indicados na figura abaixo. Calcule a tensão de cisalhamento máxima e o giro relativo da
seção transversal B em relação ao engaste indeformável A. Dado: G = 25 GPa.
J
r.T
=τ onde:
444
mm3,592.613J50
32
D
32
J =→
π
=
π
=
MPa67,1:oumm/N67,1
3,592.613
25x000.41
máx
2
máx =τ==τ
GJ
TL
=θ
.rad10x194,3
3,592.613x10x25
000.2x000.63
3,592.613x10x25
500.3x000.22 3
33B
−
−=−=θ
Resposta: .rad10x194,3 3
B
−
=θ (no sentido de 63.000 N.mm)
3) A tensão de cisalhamento máxima que solicita o eixo abaixo é igual a 32,5 MPa.
Sabendo que o eixo tem seção transversal circular (Φ = 12 mm) e L = 500 mm calcule o
valor da força F. Para este valor de F calcule o giro relativo da seção transversal onde
está aplicado o binário em relação ao engaste rígido. Dado: G = 42 GPa.
F12T =
44
mm75,2035J12
32
J =→
π
=
N9,918F
75,2035
6F12
5,32
J
r.T
máx =→
⋅
==τ→=τ
Cálculo do ângulo de torção:
75,2035x10x42
5009,91812
GJ
TL
3
⋅⋅
==θ
.rad064,0=θ (ou: 3,7º)
4) Determine as reações nos engastes indeformáveis. O eixo é prismático e tem seção
transversal circular.
TTT0M BA =+→=∑
O Problema é uma vez hiperestático. Precisamos de mais uma equação que virá da
“compatibilidade dos deslocamentos”. Retirando-se o apoio B tem-se o giro relativo θB:
JG
a.T
GJ
TL
B ==θ
Colocando-se o engaste B, tem-se o giro relativo :|
Bθ
JG
L.TB|
B =θ
Compatibilidade dos deslocamentos:
JG
L.TB
B
|
B →θ=θ
JG
a.T
=
L
a.T
TB =
Da equação de equilíbrio:
=−=−=
L
a.T
TTTT BA T
L
L
L
a.T
−
L
b.T
T)aL(
L
T
T AA =→−=
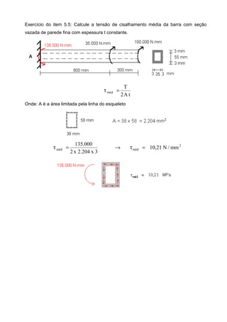
Exercício do item 5.5: Calcule a tensão de cisalhamento média da barra com seção
vazada de parede fina com espessura t constante.
tA2
T
méd =τ
Onde: A é a área limitada pela linha do esqueleto
2
médméd mm/N21,10
3x204.2x2
000.135
=τ→=τ
Exercícios do item 6.4: 1) Calcule a tensão normal e a tensão cisalhante nos pontos
KeJ,I .
Esforços internos na seção transversal que contém os três pontos:
M = − 15.000 N.m e V = − 5.000 N
44
3
Z m10x8,1
12
30,0x08,0
I −
==
Cálculo da tensão normal (σ):
ZI
y.M
=σ
MPa5,12m/N10x5,12
10x8,1
)15,0(x000.15 26
I4I ==σ→
−−
=σ −
0
10x8,1
)0(x000.15
J4J =σ→
−
=σ −
MPa5,12m/N10x5,12
10x8,1
)15,0(x000.15 26
K4K −=−=σ→
−
=σ −
Cálculo da tensão cisalhante (τ):
ZI.b
Q.V
=τ
0
10x8,1x08,0
0x000.5
4I ==τ −
MPa3125,0m/N10x125,3
10x8,1x08,0
075,0x15,0x08,0x000.5 25
4J ===τ −
0
10x8,1x08,0
0x000.5
4K ==τ −
Exercício 2) Uma viga em balanço tem largura b constante em todo o comprimento igual
a 10 cm e altura variável, como mostra a figura abaixo. Calcule máxcmáxtmáx e, τσσ
no meio da viga e no engaste. Dado; P = 30.000 N
• No meio da viga tem-se:
M = − 30.000 (N) x 2,5 (m) = − 75.000 N.m
V = − 30.000 N
45
3
Z m10x8125,2
12
15,0x10,0
I −
==
MPa200m/N10x200
10x8125,2
)075,0(x000.75 26
5tmáx ==
−−
=σ −
MPa200m/N10x200
10x8125,2
)075,0(x000.75 26
5cmáx −=−=
−
=σ −
MPa3m/N10x3
10x8125,2x10,0
)0375,0x075,0x10,0(x000.30 26
5máx ===τ −
• No engaste da viga tem-se:
M = − 30.000 (N) x 5,0 (m) = − 150.000 N.m
V = − 30.000 N
44
3
Z m10x3021,1
12
25,0x10,0
I −
==
MPa144m/N10x144
10x3021,1
)125,0(x000.150 26
4tmáx ==
−−
=σ −
MPa144m/N10x144
10x3021,1
)125,0(x000.150 26
4cmáx −=−=
−
=σ −
MPa8,1m/N10x8,1
10x3021,1x10,0
)0625,0x125,0x10,0(x000.30 26
4máx ===τ −
Exercício 3: Para a viga abaixo calcule as tensões normais extremas (σmáx T e σmáx C ) e
a maior tensão cisalhante.
N000.27VV0F BAY =+→=∑
09,3xV7,2x000.152,1x000.120M BA =−+→=∑
N9,076.14VB =
02,1x000.157,2x000.129,3xV0M AB =−−→=∑
N1,923.12VA =
44
3
Z m10x998,6
12
36,0x18,0
I −
==
MPa34,4m/N10x34,4
10x998,6
18,0x3,892.16 26
4tmáx ===σ −
MPa34,4m/N10x34,4
10x998,6
)18,0(x3,892.16 26
4cmáx −=−=
−
=σ −
MPa326,0m/N2,854.325
10x998,6x18,0
09,0x18,0x18,0x9,076.14 2
4máx ===τ −
Exercício 4: A viga abaixo está solicitada por três forças atuando no plano de simetria
vertical. Calcule as tensões normais extremas (σmáx T e σmáx C ) e a maior tensão
cisalhante.
N500.12VV0F BAY =+→=∑
09x000.20,6xV0,4x500.40,2x000.60M BA =+−+→=∑
N000.8VB =
00,3x000.20,2x500.40,4x000.6Vx60M AB =+−−→=∑
N500.4VA =
Cálculo do momento de inércia IZ:
44
33
Z m10x25,2
12
30,0x10,0
12
h.b
I −
===
Cálculo das tensões normais extremas:
26
4
Z
Tmáx m/N10x0,6
10x25,2
15,0x000.9
I
y.M
===σ −
= 6,0 MPa
26
4
Z
Cmáx m/N10x0,6
10x25,2
)15,0(x000.9
I
y.M
−=
−
==σ −
= − 6,0 MPa
Cálculo de τmáx:
ZIb
Q.V
=τ
25
4máx m/N10x0,3
1025,2x10,0
)075,0x15,0x10,0(x000.6
==τ −
Exercícios do item 6.7: 1) Sendo Ε Ι = constante, determine:
a) a equação da tangente à linha elástica;
b) a equação da linha elástica;
c) a deflexão do ponto A;
d) a deflexão do ponto d.
Colocando-se o sistema de referência no ponto A:
)x(M)x(vIE ||
−=
)Lx0(x.P)x(M ≤≤−=
x.P)x(vIE ||
+=
1
2
|
C
2
xP
)x(vIE +=
Os engastes impedem rotações, então: 0)L(v |
=
2
PL
C0C
2
LP
)L(vIE
2
11
2
|
−=→=+=
a)
2
PL
2
xP
)x(vIE
22
|
−=
Integrando a equação acima tem-se a expressão de v(x):
2
23
C
2
xPL
6
xP
)x(vIE +−=
Os engastes impedem deslocamentos, então: 0)L(v =
3
PL
2
PL
6
PL
C0C
2
LPL
6
LP
)L(vIE
333
22
23
=+−=→=+−=
b)
3
PL
2
xPL
6
xP
)x(vIE
323
+−=
c)
3
PL
2
0PL
6
0P
)0(vIE
323
+−=
IE3
PL
v)0(v
3
A ==
d)
( )
3
PL
2
)2L(PL
6
2LP
)2L(vIE
323
+−=
3
333
PL
48
)16121(
3
PL
4
PL
48
PL
)2/L(EIv
+−
=+−=
EI48
PL5
v)2/L(v
3
d ==
2) Sendo Ε Ι = constante, determine:
a) a equação da tangente à linha elástica;
b) a equação da linha elástica;
c) a deflexão do ponto A;
d) a deflexão do ponto d.
)Lx0(
2
qx
)x(M
2
≤≤−=
2
qx
)x(vIE
2
||
+=
1
3
|
C
6
qx
)x(vIE +=
Os engastes impedem rotações, então: 0)L(v |
=
6
qL
C0C
6
Lq
)L(vIE
3
11
3
|
−=→=+=
a)
6
qL
6
xq
)x(vIE
33
|
−=
Integrando a equação acima tem-se a expressão de v(x):
2
34
C
6
xqL
24
xq
)x(vIE +−=
Os engastes impedem deslocamentos, então: 0)L(v =
8
qL
6
qL
24
qL
C0C
6
LqL
24
Lq
)L(vIE
444
22
34
=+−=→=+−=
b)
8
qL
6
xqL
24
xq
)x(vIE
434
+−=
c)
8
qL
6
0qL
24
0q
)0(vIE
434
+−=
IE8
qL
v)0(v
4
A ==
d)
8
qL
6
)3/L(qL
24
)3/L(q
)3/L(vIE
434
+−=
4
444
qL
1944
)2431081(
8
qL
18
qL
1944
qL
)3/L(EIv
+−
=+−=
EI243
qL17
EI1944
qL136
v)3/L(v
44
d ===
3) Sendo Ε Ι = constante, determine:
a) a equação da tangente à linha elástica;
b) a equação da linha elástica;
c) a deflexão máxima;
d) a rotação nos apoios.
)Lx0(
2
qx
x
2
qL
2
qx
xV)x(M
22
A ≤≤−=−=
2
qx
x
2
qL
)x(vIE
2
||
+−=
1
3
2|
C
6
qx
x
4
qL
)x(vIE ++−=
21
4
3
CxC
24
qx
x
12
qL
)x(vIE +++−=
Condições de contorno (ou condições de extremidades):
0)0(v = e 0)L(v =
0C0C0C
24
0q
0
12
qL
)0(vIE 221
4
3
=→=+++−=
0LC
24
qL
L
12
qL
)L(vIE 1
4
3
=++−=
24
qL
C
24
qL
12
qL
LC
3
1
44
1 =→−=
a)
24
qL
6
qx
x
4
qL
)x(vIE
33
2|
++−=
b) x
24
qL
24
qx
x
12
qL
)x(vIE
34
3
++−=
c) A deflexão máxima ocorre no meio da viga:
)2/L(
24
qL
24
)2/L(q
)2/L(
12
qL
)2/L(vIE
34
3
++−=
4
444
qL
384
)814(
48
qL
384
qL
96
qL
)2/L(vIE
++−
=++−=
IE384
qL5
)2/L(vv
4
máx ==
Observação: Para vigas bi-apoiadas a deflexão máxima ocorre onde
0)x(v|
=
0
24
qL
6
qx
x
4
qL
)x(vIE
33
2|
=++−=
De onde:
0LxL6x40
24
L
x
4
L
6
x 323
3
2
3
=+−→=+−
A equação do terceiro grau acima fornece três raízes reais que são:
X1 = 1,366L
X2 = 0,5L
X3 = − 0,366L
d) Rotação nos apoios: )x()x(v|
θ≅
IE24
qL
)0(v
24
qL
6
0q
0
4
qL
)0(vIE
3
A
|
33
2|
=θ≅→++−=
IE24
qL
)L(v
24
qL
6
qL
L
4
qL
)L(vIE
3
B
|
33
2|
−=θ≅→++−=
4) Determine a deflexão no meio da viga. IE = constante.
Trecho 1: )2/Lx0(x
2
P
)x(M ≤≤=
x
2
P
)x(vIE ||
−=
1
2|
Cx
4
P
)x(vIE +−=
Para x = L/2: v|
(L/2) = 0
16
PL
C0C)2/L(
4
P
)2/L(vIE
2
11
2|
=→=+−=
2
2
3
Cx
16
PL
x
12
P
)x(vIE ++−=
Para x = 0: v(0) = 0
0C0C0
16
PL
0
12
P
)0(vIE 22
2
3
=→=++−=
Cálculo da deflexão no meio do vão:
3
332
3
PL
96
)31(
32
PL
96
PL
)2/L(
16
PL
)2/L(
12
P
)2/L(vIE
+−
=+−=+−=
IE48
PL
v)2/L(v
3
máx ==
5) Sabendo que a deflexão máxima da viga abaixo é igual a 0,6 cm calcule o valor do
módulo de elasticidade da viga abaixo. IE = constante.
IE48
PL
v
3
máx =
44
3
z m10x375,3
12
30,015,0
I −
=
⋅
=
4
3
10x375,3E48
)4,6(26000
006,0 −
⋅⋅
=
29
m/N10x12,70E = ou: GPa12,70E =
6) Calcule a deflexão (flecha) máxima da viga abaixo. IE = constante.
Dados: Ε = 120 GPa; q = 80.000 N/m
43
33
m10x083,2I
12
)5,0(20,0
12
hb
I −
=→
⋅
==
EI
qL00652,0
v)L52,0(v
4
máx ==
m10x3,1
10x083,2x10x120
)5(x000.80x00652,0
v 3
39
4
máx
−
−
==
Exercícios do item 7.1: 1) Para a estrutura abaixo calcule as tensões normais extremas
e a posição da linha neutra.
Dado: F = 100.000 N
Reduzindo a força F ao centróide tem-se:
MZ = 100.000 (N) x 100 (mm) = 1,0 x 10
7
N.mm
z
z
I
yM
A
F ⋅
+=σ
12
400x200
y10x0,1
400x200
100.000
3
7
⋅
−−=σ
y10x375,91,25 3
⋅−−=σ −
Cálculo das tensões normais extremas:
23
Tmáx mm/N625,0)200(10x375,91,25 =−−−=σ −
23
Cmáx mm/N125,3)200(10x375,91,25 −=−−=σ −
Equação da linha neutra: σ = 0
y10x375,91,250 3
⋅−−= −
mm133,33
10x375,9
1,25
y 3
−=
−
= −
Exercício 2) Calcule a tensão normal nos pontos f e g e a posição da linha neutra no
engaste. Calcule também a tensão de cisalhamento máxima.
Seção transversal do engaste:
Mz = – 3000 x 3,7 – 5.000 x 2,5 = – 23.600 N.m
z
z
I
yM
A
F ⋅
+=σ
12
5,0x25,0
y23600
5,0x0,25
150.000
3
⋅
−−=σ
y10x06,910x1,2 66
⋅−−=σ
Cálculo das tensões normais:
MPa06,1)25,0(10x06,910x1,2 66
f =−⋅−−=σ
MPa46,3)25,0(10x06,910x1,2 66
g −=⋅−−=σ
Equação da linha neutra: σ = 0
y10x06,910x1,20 66
⋅−−=
m13,0
10x06,9
10x1,2
y 6
6
−=
−
=
Cálculo de τmáx:
ZIb
QV
⋅
⋅
=τ
2
3máx m/N000.96
10x604,2x25,0
0,125x0,25x0,25x8.000
==τ −
Exercícios do item 8.4: 1) Investigue se vai ocorrer flambagem do pilar BC. Dados: ΕBC =
120 GPa; LBC = 4,0 m.
Cálculo da carga crítica do pilar BC:
( )2
fl
min
2
CR
L
IE
P
π
=
4
3
min mm500.112
12
30x50
I ==
mm40004000x0,1LKLfl ==⋅=
( )
N5,327.8
4000
112500x10x120
P 2
32
CR =
⋅π
=
A força de compressão que atua no pilar BC é maior do que a carga crítica ( CRP ) do
pilar. Portanto, vai ocorre flambagem do pilar BC.
2) Resolva o problema anterior considerando-se que o pilar BC está engastado no ponto
C.
Cálculo da carga crítica do pilar BC:
( )2
fl
min
2
CR
L
IE
P
π
=
mm28004000x7,0LKLfl ==⋅=
( )
N9,994.16
2800
112500x10x120
P 2
32
CR =
⋅π
=
CRBC PF < , neste caso não vai ocorrer flambagem do pilar.
3) Calcule o valor crítico da força P. As duas barras têm seção transversal circular com
diâmetro φ = 15mm e módulo de elasticidade Ε = 205 GPa.
o
60)5,0(cosarc
69,0
345,0
cos =θ→=θ→=θ
P155,1
60sen
P
F0senFP0F o22Y
−=−=→=θ+→=∑
θ−=→=θ+→=∑ cosFF0cosFF0F 2121X
P5775,060cos)P155,1(F o
1 =−−=
Cálculo da carga crítica da barra 2:
( )2
fl
min
2
CR
L
IE
P
π
=
49
44
min m10x485,2
64
)015,0(
64
D
I −
=
π
=
π
=
m69,069,0x0,1LKLfl ==⋅=
( )
N560.10
69,0
10x485,2x10x205
P 2
992
CR =
⋅π
=
−
Para que ocorra flambagem da barra 2: F2 = Pcr, então:
N9,142.9P560.10P155,1 =→=
Exercício do item 9.2: Calcule a tensão normal e a tensão cisalhante nas direções θ =
60º e θ = 150º.
MPa32
25x15
000.12
A
F
xx −=σ→
−
==σ
Para θ = 60º tem-se as tensões:
MPa2460sen.32sen. 022
x −=−=θσ=σθ
MPa86,1360cos.60sen)32(cos.sen. oo
x =−−=θθσ−=τθ
Para θ = 150º tem-se as tensões:
MPa8150sen.32sen. 022
x −=−=θσ=σθ
MPa86,13150cos.150sen)32(cos.sen. oo
x −=−−=θθσ−=τθ
Exercício do item 9.3: Duas peças de madeira são coladas como mostra a figura abaixo.
A cola não pode ser tracionada e a tensão admissível ao cisalhamento é igual a 4,0
MPa. Investigue se a solicitação na cola é admissível.
θθτ+θσ+θσ=σθ sencos2cossen xy
2
y
2
x
( ) ( )θ−θτ+θθσ−σ=τθ
22
xyxy cossencossen
Neste problema: σx = 2,0 MPa ; σy = − 5,0 MPa ; τxy = 0,0
Para θ = 45º tem-se as tensões:
MPa5,1045cos0,545sen0,2 o2o2
−=σ→+−=σ θθ
( ) MPa5,3045cos45sen0,20,5 oo
−=τ→+−−=τ θθ
Conclusão: A solicitação na cola é admissível.
Exercício do item 9.5: 1) Um elemento estrutural fica solicitado pelas tensões indicadas
na figura abaixo. Calcule:
a) as tensões e as direções principais (mostre os resultados em um elemento orientado);
b) as tensões que atuam nos planos que formam ângulos de 10
0
;
c) a maior tensão de cisalhamento do plano xOy e a direção θ3.
a) 2
xy
2
yxyx
2
1
22
τ+






 σ−σ
±
σ+σ
=σ
( )2
2
2
1 25
2
8535
2
8535
−+




 −
±
+
=σ
então: MPa36,951 =σ e MPa64,242 =σ
0
1
x1
xy
1 5,22
3536,95
25
tg −=θ→
−
−
=
σ−σ
τ
=θ
0
2
2x
xy
2 5,67
64,2435
25
tg =θ→





−
−
−=







σ−σ
τ
−=θ
b) Para
0
10=θ , tem-se as tensões:
000202
10sen10cos)25(210cos8510sen35 −++=σθ MPa94,74=
( ) )10cos10sen(2510cos10sen3585 020200
−−−=τθ MPa04,32=
c) τmáx= 2
xy
2
yx
2
τ+






 σ−σ
τmáx= 2
2
)25(
2
8535
−+




 −
= 35,36 MPa
( )
0
33
yx
xymáx
3
51,22)4144,0(tanarc
5,0)8535(
2536,35
5,0
tg
=θ→=θ
⋅−
−
−=








⋅σ−σ
τ+τ
−=θ
2) Para um ponto da barra abaixo calcule:
a) as tensões principais e as direções principais (mostre os resultados em um
elemento orientado):
b) τmáx do plano xoy e a direção θ3 .
22
mm68,126)35,6(A =π=
2
2x mm/N71
)mm(68,126
)N(000.9
A
F
===σ
a)
( )2
xy
2
yxyx
2
1
22
τ+






 σ−σ
±
σ+σ
=σ
( )2
2
2
1 0
2
071
2
071
+




 −
±
+
=σ 5,355,35 ±=
De onde: MPa711 =σ e 02 =σ
Cálculo das direções principais:
0
0
7171
0
tan
x1
xy
1 =
−
=
σ−σ
τ
=θ (indeterminado)
Neste caso, a fórmula acima não pode ser usada. Nos planos principais a tensão
cisalhante é nula. Então, σx e σy são tensões principais:
o
11x 90;MPa71 =θ=σ=σ
o
22y 0;0 =θ=σ=σ
b)
( )2
xy
2
yx
min
máx
2
τ+






 σ−σ
±=τ
( ) →+




 −
±=τ 2
2
min
máx 0
2
071
MPa5,35eMPa5,35 minmáx −=τ=τ
( ) 1
5,0)071(
05,35
5,0
tan
yx
xymáx
3 −=





⋅−
+
−=








⋅σ−σ
τ+τ
−=θ
o
3 45)1(tanarc −=−=θ
Observação: Em uma barra tracionada (ou comprimida) a tensão cisalhante máxima
atua nos planos que formam 45º com o eixo x e seu valor é a metade da tensão normal
máxima:
2
x
máx
σ
=τ . No entanto, dependendo da resistência do material máxτ pode
romper uma barra.
3) Um eixo maciço está solicitado por um torque Τ = 73.630 N.mm. Para um ponto
localizado na superfície do eixo calcule usando o círculo de Mohr:
a) as tensões principais e as direções principais (mostre os resultados em um
elemento orientado):
b) τmáx do plano xoy e a direção θ3.
O momento de torção (ou torque) produz um estado de cisalhamento puro.
J
r.T
=τ (Expressão válida para seção transversal circular)
4
44
mm3,592.613
32
)50(
32
D
J =
π
=
π
=
2
xyxy mm/N3
3,613592
25x73630
=τ→=τ
Círculo de Mohr:
Elemento orientado da letra a:
b) τmáx = 3,0 MPa θ3 = 90º
Exercícios do item 9.8: 1)Uma circunferência de raio r = 600 mm é desenhada em
uma placa quadrada de lado L = 1400 mm. Determine os comprimentos dos diâmetros
ab e cd depois de aplicadas as tensões indicadas.
Dados: σx = 150 MPa; σy = 80 MPa ; Ε = 70 GPa ; ν = 0,3
[ ])(
E
1
zyxx σ+σν−σ=ε
[ ] 366
9x 10x486,2)010x80(3,010x150
10x70
1 −
=+−−=ε
xxx LL
L
L
ε=∆→
∆
=ε
mm98,2120010x486,21200L 3
xab =⋅=⋅ε=∆ −
mm98,1202L98,21200L1200L abFababF =→+=∆+=
[ ])(
E
1
zxyy σ+σν−σ=ε
[ ] 366
9y 10x786,1)010x150(3,010x80
10x70
1 −
−=+−−=ε
yyy LL
L
L
ε=∆→
∆
=ε
mm14,2120010x786,11200L 3
ycd −=⋅−=⋅ε=∆ −
mm86,1197L14,21200L1200L cdFcdcdF =→−=∆+=
2) Em uma chapa de liga de titânio desenhou-se uma linha inclinada. Calcule o valor em
graus do ângulo β depois de aplicadas as tensões indicadas.
Dados: σx = 90 MPa; σy = 70 MPa Εtitânio = 120 GPa ; νtitânio = 0,36
o
55,27)5217,0(tanarc
mm230
mm120
tg =β→=β→=β
[ ])(
E
1
zyxx σ+σν−σ=ε
[ ] 466
9x 10x06,9)010x70(36,010x90
10x120
1 −
=+−−=ε
xxx LL
L
L
ε=∆→
∆
=ε
mm2208,023010x60,9230L 4
xx =⋅=⋅ε=∆ −
mm2208,230L2208,0230L230L FxxFx =→+=∆+=
[ ])(
E
1
zxyy σ+σν−σ=ε
[ ] 466
9y 10x53,8)010x90(36,010x70
10x120
1 −
−=+−−=ε
yyy LL
L
L
ε=∆→
∆
=ε
mm102,012010x53,8120L 4
yy −=⋅−=⋅ε=∆ −
mm898,119L102,0120L120L FyyFy =→−=∆+=
o
FFF 51,27)5208,0(tanarc
mm2208,230
mm898,119
tg =β→=β→=β
3) Uma barra está solicitada pela tensão normal σx. Para este caso demonstre que:
ν−
ε+ε+ε
=σ
21
E)( zyx
x
Lei de Hooke Generalizada:
[ ])(
E
1
zyxx σ+σν−σ=ε
[ ])(
E
1
zxyy σ+σν−σ=ε
[ ])(
E
1
yxzz σ+σν−σ=ε
Para uma barra solicitada pela tensão normal σx tem-se:
[ ]
E
)00(
E
1 x
xx
σ
=+ν−σ=ε
[ ]
E
)0(0
E
1 x
xy
νσ
−=+σν−=ε
[ ]
E
)0(0
E
1 x
xz
νσ
−=+σν−=ε
Somando as deformações εx , εy e εz tem-se:
EEE
xxx
zyx
νσ
−
νσ
−
σ
=ε+ε+ε
)1(
E
x
zyx ν−ν−
σ
=ε+ε+ε
ν−
ε+ε+ε
=σ
21
E)( zyx
x
4) Em muitas situações de carregamento a tensão normal em uma direção é igual a
zero, como na chapa da figura abaixo onde σz = 0 (estado plano de tensão). Para este
caso demonstre que:
ν−
ε+εν
−=ε
1
)( yx
z
Para uma chapa solicitada por σx e σy tem-se:
[ ] )(
E
1
)0(
E
1
yxyxx νσ−σ=+σν−σ=ε
[ ] )(
E
1
)0(
E
1
xyxyy νσ−σ=+σν−σ=ε
[ ] E
)(
)(0
E
1 yx
yxz
σ+σν
−=σ+σν−=ε
Somando as expressões de εx e εy , tem-se:
)(
E
1
yxyx νσ−σ=ε+ε + )(
E
1
xy νσ−σ
yxyx (
E
1
νσ−σ=ε+ε + )xy νσ−σ
)1()1(E)( yxyx ν−σ+ν−σ=ε+ε
)()1(E)( yxyx σ+σν−=ε+ε
De onde:
ν−
ε+ε
=σ+σ
1
E)( yx
yx
Colocando-se a expressão acima na expressão de εz, tem-se:
E
1
)(
EE
)( yxyx
z
ν−
ε+ε
⋅
ν
−=
σ+σν
−=ε
ν−
ε+εν
−=ε
1
)( yx
z
Exercícios sobre critério de resistência de von Mises (item 10.4)
2
Y
2
yz
2
xz
2
xyzyzxyx
2
z
2
y
2
x )(3 σ<τ+τ+τ+σσ−σσ−σσ−σ+σ+σ
1) Usando o critério de resistência de von Mises investigue se o eixo abaixo está em
segurança. Dado: MPa100Y =σ
26
2x m/N10x96,79
)025,0(
157000
A
F
=
π
==σ
J
rT⋅
=τ 26
4yx m/N10x06,25
32
)05,0(
025,0x615
=
π
=τ→
Critério de von Mises:
2
Y
2
xy
2
x )(3 σ<τ+σ
222
100)06,25(3)96,79( <+
000.106,277.8 <
Segundo o critério de von Mises o eixo está em segurança.
2) Sabendo que MPa240Y =σ calcule o valor do momento de torção que inicia o
escoamento do eixo abaixo.
J
rT⋅
=τ T10x2595,3
32
)25(
5,12xT 4
4yx
−
=
π
=τ→
2
Y
2
xy )(3 σ<τ
224
240)T10x5259,3(3 =−
57600T10x06243,1x3 27
=−
mm.N109.425T
10x72918,3
57600
T 7
2
=→= −
Observação: Usando o critério de Tresca: Y31 σ<σ−σ
2
xy
2
yxyx
2
1
22
τ+






 σ−σ
±
σ+σ
=σ 2
xy
2
1 τ±=σ→
T10x2595,3 4
xy1
−
=τ+=σ ; T10x2595,3 4
xy2
−
−=τ−=σ
As três tensões principais são:
T10x2595,3 4
1
−
=σ 02 =σ T10x2595,3 4
3
−
−=σ
Colocando as tensões principais extremas no critério de Tresca:
−−
T10x2595,3 4
240)T10x5259,3( 4
=− −
De onde: Τ = 368.155 N.mm
Comparação entre os critérios de von Mises e de Tresca:
1547,1
155.368
109.425
Tresca
Misesvon
==
Portanto, o valor do momento de torção que inicia o escoamento do eixo segundo o critério de
von Mises é 15,47% maior que o valor fornecido pelo critério de Tresca. Esta é a diferença
máxima entre os dois critérios e ocorre na torção pura.
3) Sabendo que MPa400Y =σ calcule o valor da força P inicia o escoamento da viga
abaixo.
A
F
I
yM
Z
+=σ
P100,5xP2M −=−=
30,0x2,0
P15
12
3,0x2,0
yP10
3
−
−
=σ
P250y.P22,222.22 −−=σ
Tensão normal no ponto b:
P250P33,333.3P250)15,0.(P22,222.22b −−=−−=σ
P33,3583b −=σ
Para que inicie o escoamento (critério de von Mises):
2622
Y
2
x )10x400()P33,3583( =−→σ=σ
Ou: N9,627.111P10x400P33,3583 6
=→=
Observação: Se tirar a força axial (N = 0):
N000.120P10x400P33,3333 6
=→=
4) Usando o critério de von Mises investigue se o elemento abaixo está em segurança.
Dado: MPa320Y =σ
2
Y
2
yz
2
xz
2
xyzyzxyx
2
z
2
y
2
x )(3 σ<τ+τ+τ+σσ−σσ−σσ−σ+σ+σ
2222222
320)306045(3110x)80(110x50)80(x50110)80(50 <+++−−−−−+−+
400.102875.47 <
Segundo o critério de von Mises o elemento está em segurança.
5) Usando o critério de von Mises calcule o valor da tensão normal σX que inicia o
escoamento do elemento abaixo. Dado: MPa720Y =σ
2
Y
2
yz
2
xz
2
xyzyzxyx
2
z
2
y
2
x )(3 σ<τ+τ+τ+σσ−σσ−σσ−σ+σ+σ
2222
xx
222
x 207)50400(3120801208012080 =+++⋅−⋅σ−⋅σ−++σ
849.42500.23200 x
2
x =+σ−σ
0349.19200 x
2
x =−σ−σ
De onde: MPa3,71eMPa3,271 xx −=σ=σ
6) Usando o critério de von Mises calcule o valor da tensão cisalhante τXY que inicia o
escoamento do elemento abaixo.
Dado: MPa150Y =σ
2
Y
2
yz
2
xz
2
xyzyzxyx
2
z
2
y
2
x )(3 σ<τ+τ+τ+σσ−σσ−σσ−σ+σ+σ
2222
xy
222
150)5040(3120801200800120800 =++τ+⋅−⋅−⋅−++
500.22)25001600(311200 2
xy =++τ+
7500480011200225003 2
xy −−−=τ
10003 2
xy −=τ
Portanto, para 0xy =τ o elemento já está escoando.
7) Usando o critério de von Mises calcule o valor da tensão cisalhante τXZ que inicia o
escoamento do elemento abaixo.
Dado: MPa150Y =σ
2
Y
2
yz
2
xz
2
xyzyzxyx
2
z
2
y
2
x )(3 σ<τ+τ+τ+σσ−σσ−σσ−σ+σ+σ
222
xz
2222
150)500(3120801200800120800 =+τ++⋅−⋅−⋅−++
500.22)7500311200 2
xz =+τ+
3
3800
38003 zx
2
zx =τ→=τ
MPa59,35zx =τ
8) Usando o critério de von Mises investigue se o elemento abaixo está em segurança
quando solicitado pelas tensões indicadas.
Dado: MPa320Y =σ
2
Y
2
yz
2
xz
2
xyzyzxyx
2
z
2
y
2
x )(3 σ<τ+τ+τ+σσ−σσ−σσ−σ+σ+σ
9) Usando o critério de von Mises investigue se o elemento abaixo está em segurança
quando solicitado pela tensão indicada.
Dado: MPa320Y =σ
2
Y
2
yz
2
xz
2
xyzyzxyx
2
z
2
y
2
x )(3 σ<τ+τ+τ+σσ−σσ−σσ−σ+σ+σ
Observação: “O escoamento ocorre sem variação de volume” (?????)
Vamos supor que uma barra de aço doce tem tensão de escoamento .MPa400Y =σ
Aplicando-se a F = 80.000 N, tem-se:
Y
2
mm/N400
2010
80000
σ==
⋅
=σ
Tensão esférica: 0
V
V
≠
∆
Tensões desvidadoras: 0
V
V
=
∆
A tensão de cisalhamento é igual a zero em todas as direções do estado de tensão esférico. O
escoamento é provocado pela tensão cisalhante, portanto, as tensões desviadoras são as
responsáveis pelo escoamento. Então, podemos afirmar que o escoamento ocorre sem
variação de volume?
Exercícios do Anexo à apostila:
1) Determine as coordenadas do centróide de uma área retangular.
h.b
dzdy.y
A
dA.y
y
h
0
b
0A
_
∫ ∫∫
== [ ] b.
2
h
.
h.b
1
z.
2
y
h.b
1 2
b
0
h
0
2
=





=
de onde:
2
h
y
_
=
h.b
dz.zdy
A
dA.z
z
h
0
b
0A
_
∫ ∫∫
== [ ]
2
b
h
h.b
1
2
z
.y
h.b
1 2b
0
2
h
0 ⋅⋅=





=
de onde:
2
b
z
_
=
O Sistema de referência pode ter origem em qualquer ponto do plano da área.
Para o sistema de referência acima:
mmxxz
_
=
→= 0y
_
0
A
dA.y
y A
_
==
∫
0dA.y:entãoA A
=∞≠ ∫
0dA.yQ AZ == ∫
O eixo z passa pelo centróide da área A, portanto, o momento estático de uma área
finita em relação a qualquer eixo que passa pelo centróide é nulo.
2) Calcule o momento estático da área hachurada em relação ao eixo horizontal do
centróide.
60
60
160
200
2
160
200
60
60AZ z
2
y
dz.dy.ydA.yQ −
−
−
−
− −
⋅=== ∫ ∫∫
[ ] [ ] [ ] 120000.40600.25
2
1
)60(60)200()160(
2
1
Q 22
Z ⋅−=−−⋅−−−=
3
Z mm000.864Q −=
Outra forma de calcular-se o momento estático:
AyQ
A
Q
y
A
dA.y
y
_
Z
Z
_
A
_
⋅=→=→=
∫
3
Z mm000.86412040)180(Q −=⋅⋅−=
Outra forma de calcular-se o momento estático: através da área abaixo
3
_
Z mm000.86436012020AyQ =⋅⋅=⋅=
3) Calcule o momento estático da área hachurada em relação ao eixo horizontal do
centróide.
3
_
Z mm000.400.2120200100AyQ =⋅⋅=⋅=
• Demonstração do teorema dos eixos paralelos
2
|ZZ a.AII +=
2
|YY b.AII +=
∫=
A
2|
|Z
dA)y(I
[ ]∫∫ ++=+=
A
2|2|
A
2|
Z dAaay2)y(dA)ay(I
∫ ∫ ∫++=
A A A
2|2|
Z dAadAya2dA)y(I
O momento estático de uma área em relação a um eixo que passa pelo seu centróide é
nulo, então:
∫ =
A
|
0dAy
2
|ZZ a.AII +=
4) Para a área abaixo, determine:
a) o momento de inércia IZ
b) o momento de inércia IY
a)
∫∫∫ −−
⋅==
2b
2b
2h
2h
2
A
2
Z dzdyydAyI
⋅=
−
2h
2h
3
Z
3
y
I
2b
2b
z − 




 −
−⋅






 −
−=
2
b
2
b
8
h
8
h
3
1 33
12
hb
Ib
8
h
8
h
3
1
I
3
Z
33
Z =→⋅







+=
b)
∫∫∫ −−
⋅==
2b
2b
22h
2hA
2
Y dzzdydAzI
⋅= −
2h
2hY yI
2b
2b
3
3
z
−
12
bh 3
=
5) Determine o momento de inércia de uma área circular vazada em relação ao eixo Z.
∫=
A
2
Z dAyI
drrddA ⋅θ=
θ=→=θ senry
r
y
sen
∫ θθ= drrd)rsen(I 2
Z ∫ ∫
π
θ=
er
ir
2
0
23
dsendrr
( )
π
θθ−θ⋅=
2
0
er
ir
4
Z cossen
2
1
4
r
I
( ) ( )[ ])0cos0sen0(2cos2sen2
2
1
4
rr
I
4
i
4
e
Z −−ππ−π⋅
−
=
( ) ( )
4
rr
I2
2
1
4
rr
I
4
i
4
e
Z
4
i
4
e
Z
−π
=→π⋅
−
=
Ou colocando em função dos diâmetros externo e interno:














−




π
=
4
i
4
e
Z
2
D
2
D
4
I








−
π
=
16
D
16
D
4
4
i
4
e
[ ]4
i
4
eZ DD
64
I −
π
=
Particularizando para seção cheia (Di = 0):
64
D
I
4
e
Z
π
=
Observações: 1ª ) Existem infinitos eixos de simetria que passam pelo centróide de uma
área circular. Portanto, todos os momentos de inércia em relação aos eixos que passam
pelo centróide são iguais.
2ª ) Não confundir momento de inércia (I) com momento de inércia à torção (J)
I é usado na flexão
J é usado na torção
64
D
II
4
YZ
π
== (para seção circular cheia)
222
yzr +=
∫ ∫ ∫∫ +=+==
A A A
2222
A
2
dAydAzdA)yz(dArJ
ZY IIJ +=
32
D
64
D
64
D 444
π
=
π
+
π
=
6) Calcule o momento de inércia de uma área em forma de “T” em relação ao eixo
horizontal (Z) do centróide.
Cálculo das coordenadas do centróide:
0z
_
=
21
_
22
_
11A
_
AA
yAyA
A
ydA
y
+
+
==
∫
10,0x80,020,0x50,0
55,0x10,0x80,025,0x50,0x20,0
+
+
=
m383,0
18,0
069,0
y
_
==
Se o sistema de referência auxiliar for colocado na face superior, tem-se:
=
_
y m217,0
18,0
039,0
10,0x80,020,0x50,0
35,0x50,0x20,005,0x10,0x80,0
==
+
+
Transladando-se o sistema de referência para o centróide da figura, tem-se:
Cálculo de IZ usando-se o teorema dos eixos paralelos:
2
|ZZ a.AII +=
2
3
2
3
Z )133,0(x5,0x2,0
12
5,0x2,0
)167,0(x1,0x8,0
12
1,0x8,0
I +++=
43
Z m10x15,6I −
=
7) Para a área do exercício anterior calcule o momento de inércia em relação ao eixo y
( YI ).
43
33
Y m10x6,4
12
20,0x50,0
12
80,0x10,0
I −
=+=
8) Para a área abaixo calcule os momentos de inércia em relação aos eixos Z e Y.
410
33
Z mm10x97,1
12
400x300
12
800x500
I =−=
49
33
Y mm10x43,7
12
300x400
12
500x800
I =−=

Exercicios resolvidos de resmat mecsol

  • 1.
    Exercícios do item1.5: 1) Calcule a força de tração nas duas barras da estrutura abaixo. 0 111 87,36)75,0(tanarc 4 3 tan =θ→=θ→=θ 0 222 13,53)333,1(tanarc 3 4 tan =θ→=θ→=θ 0)13,53(cosF)87,36(cosF:0F o 2 o 1x =+−=∑ 21 2 121 F75,0F 8,0 F6,0 F06,0F8,0F =→=→=+− 0000.12)13,53(senF)87,36(senF:0F o 2 o 1y =−++=∑ 000.128,0F6,0F 21 =+ Colocando-se a força F1 na expressão acima, tem-se: N600.9 25,1 000.12 F000.128,0F6,0F75,0 222 ==→=+⋅ N200.7F9600x75,0F 11 =→= 2) Calcule a força de tração nos dois cabos da figura.
  • 2.
    000.6FF0F000.5000.1F:0F 2121y =+→=+−−=∑ N8,730.3F06,2xF8,1x000.57,0x000.1:0M221 =→=−+=∑ N2,269.2F08,0x000.59,1x000.16,2xF:0M 112 =→=−−=∑ Exercícios do item 1.6: 1) Calcule as reações nos apoios da viga abaixo. 0H:0F Ax ==∑ 000.14VV0V000.14V:0F BABAy =+→=+−=∑ N000.8V05,3xV0,2x000.14:0M BBA =→=−=∑ N000.6V05,1x000.145,3xV:0M AAB =→=−=∑ 2) Calcule as reações no apoio da viga em balanço (ou viga cantilever). 0H:0F bx ==∑ 000.1V0000.1V:0F bby =→=−=∑ m.N000.3M0M0,3x000.1:0M bbO =→=−=∑
  • 3.
    Exercícios do item1.9: 1) Calcule as reações de apoio da viga de aço abaixo. Dado: γs = 77 kN/m3 A carga q (N/m) é obtida multiplicando-se o peso específico pela área da seção transversal: 2 mm000.3300x62x100x6A =+= Ou: 2326 m10x0,3m)10(000.3A −− == m/N231)m(10x0,3x)m/N(77000A.q 233 ==γ= − 0H0F Ax =→=∑ L.qVV0F BAy =+→=∑ Então: N20790,9x231VV BA ==+
  • 4.
    0 2 L .L.qL.V0M AB =−→=∑ 2 Lq V 2 Lq VBA =→= N5,1039 2 0,9x231 VV BA === 2) Calcule as reações de apoio da viga de aço abaixo. Dado: γs = 77 kN/m 3 0H0F Bx =→=∑ N20790,9x231L.qV0F By ===→=∑ m.N5,9355 2 qL M0M 2 L .L.q0M 2 BBo ==→=+−→=∑ Observação muito importante: A substituição de uma carga distribuída pela força resultante somente pode usada para calcularem-se as reações de apoio. Não deve ser usada para mais nada.
  • 5.
    Exercícios do item2.1: 1) Calcule a tensão normal nos dois cabos da figura. Dados: φ1 = φ2 = 25,4 mm Área dos cabos 1 e 2: 2 21 2 21 mm7,506AA)7,12(AA ==→π== Tensão normal nos cabos 1 e 2: 2 2 1 1 1 mm/N48,4 )mm(7,506 )N(2,269.2 A F ===σ 2 2 2 2 2 mm/N36,7 )mm(7,506 )N(8,730.3 A F ===σ 2) Calcule a tensão normal nas duas barras da treliça abaixo. Dados: φ1 = 12,5 mm ; φ2 = 20,0 mm
  • 6.
    21 o 2 o 1x FF0)45cos(F)45(cosF:0F =→=+−=∑ 0000.5)45(senF)45(senF:0Fo 2 o 1y =−+=∑ N1,3536FF000.5707,0F2 211 ==→= Cálculo da tensão normal nas barras 1 e 2: 2 2 1 1 1 mm/N8,28 )25,6( 1,3536 A F = π ==σ 2 2 2 2 2 mm/N3,11 )10( 1,3536 A F = π ==σ 3) Calcule a tensão normal nas duas barras da treliça abaixo. As duas barras têm seção transversal circular. Dados: φBarra tracionada = 15 mm ; φBarra comprimida = 20 mm 866,0FF0)30cos(FF:0F 21 o 21x ⋅−=→=+=∑ N000.50F0000.52)30(senF:0F 2 o 2y −=→=+=∑ N300.43F866,0.)000.50(F 11 =→−−= Tensão normal nas barras 1 e 2: 2 2 1 1 1 mm/N0,245 )5,7( 300.43 A F = π ==σ 2 2 2 2 2 mm/N2,159 )10( 000.50 A F −= π − ==σ
  • 7.
    4) Uma barra,de seção transversal retangular, tem altura variável (como indicado) e largura b constante igual a 12 mm. Calcule a tensão normal no ponto de aplicação da força F e no engaste. Dado: F = 8.000 N 2 mm/N44,44 15x12 000.8 A F ===σ 2 Engaste mm/N67,26 25x12 000.8 A F ===σ 5) Uma barra prismática está pendurada por uma de suas extremidades. Construa os diagramas de força normal e de tensão normal. Dados: γ: peso específico; A: área da seção transversal Fazendo-se um corte imaginário à distância x os esforços que eram internos passam a ser externos. A parte recortada também tem que estar em equilíbrio, pois qualquer parte (ou ponto) de uma estrutura em equilíbrio também está em equilíbrio. N(x): representa a ação da parte de cima sobre a parte de baixo.
  • 8.
    xA)x(N0xA)x(N:0Fy γ=→=γ−=∑ x A Ax A )x(N γ= γ ==σ Exercícios doitem 2.2: 1) Uma barra prismática de seção transversal circular (φ = 25 mm) e de comprimento L = 800 mm fica solicitada por uma força axial de tração F = 30.000 N. Calcule a tensão normal e a deformação linear específica sabendo que o alongamento da barra é de 2,0 mm. 2 2 mm/N1,61 )5,12( 000.30 A F = π ==σ 3 10x5,2 )mm(800 )mm(0,2 L L − == ∆ =ε 2) Um elástico tem comprimento não esticado igual a 30,0 cm. Calcule a deformação linear específica do elástico quando for esticado ao redor de um poste com diâmetro externo igual a 16 cm. P: Perímetro externo do poste: cm27,508.2R2P =π=π= 68,0 30 3027,50 L LL L L i if i = − = − = ∆ =ε
  • 9.
    Exercícios do item2.3: 1) Uma barra prismática de seção transversal circular (d = 20 mm) fica solicitada por uma força axial de tração F = 6.000 N. Experimentalmente, determinou-se a deformação linear específica longitudinal oo o L /3=ε . Calcule a tensão normal, a variação do comprimento e do diâmetro da barra. Dado: ν = 0,25. 2 2x mm/N1,19 )10( 000.6 A F = π ==σ 003,0 1000 3 /3 oo o xL ===ε=ε mm5,4L1500.10x0,3LL L L x 3 xxx x x x =∆→=ε=∆→ ∆ =ε − yyy y y y LL L L ε=∆→ ∆ =ε ddL yy ε=∆=∆ 43 xy x y 10x5,710x0,3x25,0 −− −=−=εν−=ε→ ε ε −=ν mm015,020x10x5,7d 4 −=−=∆ − 2) Calcule o volume final da barra do problema anterior. Vi : volume inicial da barra; Vf: volume final da barra 32 iii mm9,238.471500.1x)10(LAV =π== 3 2 fff mm9,943.471)5,41500(x 4 )015,020( LAV =+ −π == 3 if mm7059,238.4719,943.471VVV =−=−=∆
  • 10.
    Exercício do item2.4: A figura abaixo mostra um diagrama Força-Alongamento de um ensaio de tração simples. A barra tem seção transversal circular (d = 30 mm) e comprimento inicial (referência) igual a 800 mm. Calcule: a) a tensão (ou limite) de proporcionalidade (σP); b) a tensão (ou limite) de escoamento (σY); c) a tensão última (σU); 4 30. 4 D R.A 22 2 π = π =π= = 2 mm86,706 a) MPa15,14mm/N15,14 86,706 000.10 P 2 P =σ→==σ b) MPa98,16mm/N98,16 86,706 000.12 Y 2 Y =σ→==σ c) MPa29,28mm/N29,28 86,706 000.20 U 2 U =σ→==σ Exercícios do item 2.5: 1) Calcule o módulo de Young (Ε) da barra do problema anterior. εΕ=σ . 3 10x75,3 mm800 mm3 L L − =ε→= ∆ =ε 3 2 10x75,3 mm/N15,14 − = ε σ =Ε 2 mm/N3,773.3=Ε→ MPa3,773.3:Ou =Ε GPa77,3=
  • 11.
    2) Uma circunferênciade raio R = 300 mm é desenhada em uma placa. Calcule ao aplicar-se a tensão normal σx = 81,0 MPa os valores dos diâmetros ab e cd. Dados da placa: Ε = 120 GPa; ν = 0,36 Lei de Hooke: σ=Εε xx σ=Εε→ 9 6 x x 10x120 10x81 = Ε σ =ε → 4 x 10x75,6 − =ε mm405,0600x10x75,6L L L 4 x x x x ==∆→ ∆ =ε − mm405,600405,0600LFab =+= Coeficiente de Poisson (ν): x y ε ε −=ν → xy εν−=ε = 4 10x75,6x36,0 − − = 4 10x43,2 − − mm1458,0600x10x43,2L L L 4 y y y y −=−=∆→ ∆ =ε − mm8542,5991458,0600LFcd =−= 3) Um bloco de massa m = 1.500 kg é sustentado por dois cabos de seção transversal circular. Sendo dados d1 = 8,0 mm; d2 = 12,0 mm; Ε1 = 70 GPa e Ε2 = 120 GPa, calcule: a) o valor do ângulo θ sabendo σ1 = σ2 ; b) valor da tensão normal nas duas barras; c) a deformação linear específica das duas barras.
  • 12.
    θ =→=−θ→=∑ sen P F0PsenF0F 22y θ θ =→=θ−→=∑cos sen P F0cosFF0F 121x a) 2 2 1 1 21 A F A F =→σ=σ 36 1 16 cos )6( sen P )4( sen cosP 22 = θ → π θ= π θ θ o 61,63 36 16 cosarc =θ→      =θ b) 2 o o 1 1 1 )4( )61,63(sen )61,63(cosP A F π ==σ = 2 mm/N2,145496,0 16 81,91500 =⋅ ⋅π ⋅ = ⋅π ⋅ = π ==σ 36 8958,0 81,91500 )6( )61,63(sen P A F 2 o 2 2 2 2 mm/N2,145 c) Lei de Hooke: σ=Εε 3 123 2 1111 10x074,2 )mm/N(10x70 )mm/N(2,145 − =ε→=ε→σ=Εε 3 223 2 2222 10x21,1 )mm/N(10x120 )mm/N(2,145 − =ε→=ε→σ=Εε
  • 13.
    Exercícios do item3.1: 1) Uma barra prismática de aço, com seção transversal circular, tem 6,0 metros de comprimento e está solicitada por uma força axial de tração F = 104 N. Sabendo-se que o alongamento da barra é de 2,5 mm e que Ε = 205 GPa, calcule: a) o diâmetro da barra; b) a tensão normal. a) mm1,6R R10x205 6000x10 5,2 AE LF L 23 4 =→ π⋅ =→=∆ Então: d = 12,2 mm b) 2 2 4 mm/N5,85 )1,6( 10 A F = π ==σ 2) Calcule o alongamento dos dois cabos da estrutura abaixo. Dados: φ1 = φ2 = 25,4 mm; L1 = L2 = 3,5 m; Ε1 = Ε2 = 70 GPa mm22,0 7,50610x70 3500x2,2269 L AE LF L 31 11 11 1 = ⋅ =∆→=∆ mm37,0 7,50610x70 3500x8,3730 L AE LF L 31 22 22 2 = ⋅ =∆→=∆ 3) Calcule o alongamento das duas barras da treliça abaixo.
  • 14.
    Dados: φ1 =12,5 mm ; φ2 = 20 mm; L1 = 1,0 m; L2 = 2,0 m; Ε1 = 205 GPa; Ε2 = 120 GPa mm14,0 7,12210x205 1000x1,3536 L AE LF L 31 11 11 1 = ⋅ =∆→=∆ mm19,0 2,31410x120 2000x1,3536 L AE LF L 31 22 22 2 = ⋅ =∆→=∆ Exercícios do item 3.2: 1) Calcule o deslocamento horizontal do ponto de aplicação da força de 200 kN. Dados: A = 800 mm2 ; Ε = 70 GPa mm18,22 80010x70 1800x000.250 80010x70 3600x000.80 80010x70 5400x000.200 AE LF H 333 n 1i ii ii = ⋅ + ⋅ − ⋅ ==∆ ∑ = 2) Duas barras de seção transversal circular são soldadas como mostra a figura. Sendo dados: φ1= 14 mm; φ2 = 8 mm; Ε1= Ε2 = 70 GPa, calcule: a) a tensão normal nas duas barras; b) o alongamento da barra.
  • 15.
    a) 22 1 mm9,153)7(A=π= 22 2 mm3,50)4(A =π= 2 1 mm/N98,51 9,153 8000 ==σ 2 2 mm/N64,59 3,50 3000 ==σ b) mm91,1 9,15310x70 2000x000.5 9,15310x70 2000x000.3 3,5010x70 500x000.3 L 333 = ⋅ + ⋅ + ⋅ =∆ 3) Calcule a tensão normal máxima e o alongamento da barra prismática abaixo. Dados: A = 7,1 x 10− 4 m2 ; Ε = 120 GPa; γ = 44.300 N/m3 • A tensão normal máxima ocorre no apoio: 266 4máx m/N10x22,010x63,55x300.44 10x1,7 000.4 L A F +=+=γ+=σ − MPa85,5m/N10x85,5 26 máx ==σ • Cálculo do alongamento:
  • 16.
    E2 L AE LF L 2 γ +=∆ O alongamento máximoocorre na extremidade livre: m10x61,410x41,1 10x120x2 544300 10x1,710x120 0,3x000.4 L 64 9 2 49máx −− − += ⋅ + ⋅ =∆ mm146,0m10x46,1L 4 máx ==∆ − Exercícios do item 3.3: 1) Calcule a tensão normal nas três barras da treliça abaixo e o deslocamento vertical do ponto de aplicação da força P. Dados: P = 15.000 N; Ε1 = Ε2 = 205 GPa; Α1 = Α2 = 2 x 10 − 4 m 2 Diagrama de corpo livre: 055cosF55cosF0F o 1 o 1x =+−→=∑ 0PF55senF.20F 2 o 1y =−+→=∑ De onde: 1,64 F1 + F2 = P (1) Temos uma equação e duas incógnitas, o problema é uma vez hiperestático. A outra equação virá da “compatibilidade dos deslocamentos”.
  • 17.
    11 o 22 11 11o 22 22 LF35cosLF AE LF 35cos AE LF =→= Cálculo do comprimentoda barra 1: L1 cos35o = L2 m44,2L 35cos 0,2 L 1o1 =→= Da equação de compatibilidade: 121 o 2 F49,1F44,2F35cos0,2xF =→= (2) Colocando-se a equação (2) na equação (1), tem-se: 1,64 F1 + 1,49 F1 = P N4792F000.15F13,3 11 =→= F2 = 7.140 N Cálculo da tensão normal nas barras 1 e 2:: MPa96,23 10x2 4792 A F 14 1 1 1 =σ→==σ − MPa70,35 10x2 7140 A F 24 2 2 2 =σ→==σ − Cálculo do deslocamento vertical do ponto de aplicação da força P: mm35,0V 10x2x10x205 000.2x7140 AE LF LV 49 22 22 2 =∆→==∆=∆ −
  • 18.
    Exercício 2): Abarra rígida (indeformável) AB, de peso desprezível, é rotulada em A, suspensa por dois cabos e suporta uma força P = 58.000 N. Calcule a tensão normal nos cabos 1 e 2 e a reação vertical no apoio A. Dados: L1 = L2; Ε1 = 70 GPa; Ε2 = 205 GPa; Α1 = Α2 = 5 x 10 − 4 m 2 0PFFV0F 21Ay =−++→=∑ (1) 0d4xFd3xPd2xF0M 21A =+−→=∑ De onde: Px3Fx4Fx2 21 =+ (2) Temos duas equações independentes da estática e três incógnitas. O Problema é uma vez hiperestático e a outra equação virá da compatibilidade dos deslocamentos. 21 21 LL2 d4 L d2 L ∆=∆→ ∆ = ∆
  • 19.
    9 2 9 1 22 22 11 11 10x205 F 10x70 F 2 AE LF AE LF 2 =→= De onde:F2 = 5,86 F1 (3) Colocando-se a equação (3) na equação (2), tem-se: Px3F86,5x4Fx2 11 =+ 25,44 F1 = 3 x 58.000 → F1 = 6.839,6 N F2 = 40.080,1 N Cálculo da tensão normal nos cabos: MPa68,13 10x5 6,6839 A F 14 1 1 1 =σ→==σ − MPa16,80 10x5 6,080.40 A F 24 2 2 2 =σ→==σ − Cálculo da reação vertical no apoio A (equação (1): N3,080.11000.581,080.406,839.6PFFV 21A =+−−=+−−= Exercício 3): A barra prismática abaixo está presa em dois apoios indeformáveis e solicitada por uma força axial F. Determine as reações nos apoios A e B. 0HFH0F BAx =+−→=∑ (1)
  • 20.
    O problema éuma vez hiperestático. Vamos retirar um dos apoios e determinar o deslocamento que o apoio retirado está impedindo. Colocando-se o apoio retirado, tem-se: Compatibilidade dos deslocamentos: L a.F H EA L.H EA a.F LL B B 21 =→=→∆=∆ L b.F H)aL( L F L a.F L L F L a.F FHHFH AABA =→−=−=−=→−= Exercício 4): A barra prismática abaixo está carregada axialmente por duas forças F1 e F2. Calcule: a) as reações nos apoios indeformáveis A e B; b) a tensão normal no meio da barra. Dados: F1 = 2.000 N; F2 = 3.500; Aseção transversal = 200 mm 2 Superposição dos efeitos:
  • 21.
    N6,384.1 6,2 8,1x000.2 L b.F H 11 A ===N4,615 6,2 8,0x000.2 L a.F H 11 B === N7,807 6,2 6,0x500.3 L b.F H 22 A === N3,692.2 6,2 0,2x500.3 L a.F H 22 B === N9,5767,8076,384.1HHH 2 A 1 AA =−=+= N9,076.23,692.24,615HHH 2 B 1 BB =+−=+= Cálculo da tensão normal no meio da barra: F = força normal axial no meio da barra F = − HÁ + F1 = − 576,9 + 2.000 = 1.423,1 N Ou: F = − HB + F2 = − 2.076,9 + 3.500 = 1.423,1 N Então: MPa1,7:oumm/N1,7 200 1,423.1 A F 2 =σ===σ Exercício 5): A barra prismática está na posição indicada quando a força F = 0. Calcule as reações nos apoios rígidos A e B quando for aplicada a força F = 18.000 N. Dados: Ε = 1,5 GPa; Α = 5 x 10 − 3 m2
  • 22.
    OBS.: Se abarra não encostar no apoio B as reações são dadas por: HÁ = 18.000 N e HB = 0.0 Vamos retirar o apoio B: mm8,4 10x5x10x5,1 000.2x000.18 EA 000.2xF L 391 ===∆ − Colocando-se o apoio B, a reação HB deverá diminuir (encurtar) a barra de ∆L1 – 2 mm. N5,562.6H0,28,4 10x5x10x5,1 200.3xH B39 B =→−= − N5,437.115,562.6000.18HFHH ABA =−=→=+
  • 23.
    Exercícios Capítulo Três,item 3.4: 1) A barra prismática abaixo está livre de tensão quando a temperatura é igual a 20ºC. Sabendo que os engastes são indeformáveis calcule a tensão normal na barra quando a temperatura subir para 50ºC. Dados: Ε = 205 GPa; α = 11,7 x 10 − 6 /o C Retirando-se o apoio B, tem-se: Compatibilidade dos deslocamentos TF LL ∆=∆ TL EA FL ∆α= TE ∆α=σ 30x10x7,11x10x205 69 − =σ 26 m/N10x95,71=σ Ou: σcompressão = 71,95 MPa
  • 24.
    2) A barraprismática abaixo está livre de tensão quando a temperatura é igual a 25º C. Sabendo que os engastes A e B são indeformáveis calcule a tensão normal na barra quando a temperatura descer para − 60ºC. Dados: Ε = 70 GPa; α = 21,6 x 10 − 6 /o C; L = 4,0 m Compatibilidade dos deslocamentos TF LL ∆=∆ TL EA FL ∆α= TE ∆α=σ 85x10x6,21x10x70 69 − =σ 26 m/N10x52,128=σ
  • 25.
    Ou: σtração =128,52 MPa 3) Resolva o problema anterior considerando que à temperatura t = − 60º C o apoio B se desloca de 3 mm e o apoio A continua indeformável. Dados: Ε = 70 GPa; α = 21,6 x 10 − 6 / o C; L = 4,0 m T 3 F L10x3L ∆=+∆ − TL10x3 EA FL 3 ∆α=+ − TL10x3 E L 3 ∆α=+ σ − 85x4x10x6,2110x3 10x70 4x 63 9 −− =+ σ
  • 26.
    33 9 10x310x344,7 10x70 4x −− −= σ 26 m/N10x02,76=σ Ou: σtração= 76,02 MPa 4) A estrutura abaixo é perfeitamente ajustada aos engastes rígidos A e B quando a temperatura é igual a 18º C. Calcule a tensão normal nas barras 1 e 2 quando a temperatura subir para 100º C. Dados: Ε1 = Ε2 = 205 GPa; α1 = α2 = 12 x 10 − 6 /o C; Α1 = 600 mm2 ; Α2 = 300 mm 2 TLTLL 2211T ∆α+∆α=∆ 82x400x10x1282x500x10x12L 66 T −− +=∆ = 0,8856 mm
  • 27.
    22 2 11 1 F AE FL AE FL L +=∆ 300x10x205 400xF 600x10x205 500xF L 33F +=∆= 1,0569 x 10 – 5 . F ∆LF = ∆LT então: 1,0569 x 10 – 5 . F = 0,8856 F = 83.791,4 N Cálculo da tensão normal: 2 1 1 mm/N7,139 600 4,791.83 A F ===σ Ou: σ1 = 139,7 MPa 2 2 2 mm/N3,279 300 4,791.83 A F ===σ Ou: σ2 = 279,3 MPa 5) A barra prismática está na posição indicada na figura abaixo quando a temperatura é igual a 25º C. Sabendo que apoios A e B são indeformáveis calcule a tensão normal na barra quando a temperatura for igual a: a) 10º C; b) 70º C; c) 105º C; Dados: Ε = 70 GPa; que α = 20 x 10 − 6 / o C
  • 28.
    a) σ =0,0 b) mm5,2mm25,245x500.2x10x20L 6 T <==∆ − Portanto, a barra não vai encostar no apoio B, então: σ = 0,0 c) mm5,2mm0,480x500.2x10x20L 6 T >==∆ − 2 compressão33F mm/N42 10x70 500.2x 5,1 A10x70 500.2xF L =σ→ σ =→=∆ 6) As barras estão na posição indicada na figura abaixo quando a temperatura é igual a − 5º C. Determine a distância “d” que o ponto a se desloca quando a temperatura subir para 40º C. Considere que a barra ab tenha coeficiente de dilatação térmica insignificante. Dados: α1 = 23 x 10 − 6 / o C; α2 = 12 x 10 − 6 / o C
  • 29.
    mm93,045x900x10x23TLLT 6 111 ==∆α=∆− mm49,045x900x10x12TLLT 6 222 ==∆α=∆ −
  • 30.
    290 x 30 49,093,0 290 x 30 LTLT 21 = − →= ∆−∆ mm25,4290. 30 44,0 x 30 44,0 290 x ==→= mm74,425,449,0d =+= 7)Um tubo de alumínio mede 35 m à temperatura de 22º C. Um tubo de aço, à mesma temperatura, é 5 mm mais longo. Calcule em qual temperatura estes tubos terão o mesmo comprimento. Dados: αAlumínio = 21,6 x 10 − 6 / o C; αS = 11,7 x 10 − 6 / o C SAL LT005.35LT000.35 ∆+=∆+ TL005.35TL000.35 SSALAL ∆α+=∆α+ Tx005.35x10x7,11005.35T000.35x10x6,21000.35 66 ∆+=∆+ −− T410,0005.35T756,0000.35 ∆+=∆+ 000.35005.35T410,0T756,0 −=∆−∆ C45,14T5T346,0 o =∆→=∆ C45,36T45,1422T o =→+= Observação: à temperatura t = 36,45ºC têm-se os seguintes comprimentos: mm92,010.3545,14x000.35x10x6,21000.35L 6 AL =+= − mm92,010.3545,14x005.35x10x7,11005.35L 6 S =+= −
  • 31.
    Exercícios do CapítuloQuatro: Exercício: 1) Calcule a tensão de cisalhamento média que ocorre na cola. MPa5,2m/N10x5,2 10,0x04,0x2 000.20 A F 26 mm ==τ→==τ Ou: MPa5,2mm/N5,2 100x40x2 000.20 A F 2 mm ==τ→==τ 2) Um bloco está solicitado por uma força F = 112 kN. Calcule: a) A tensão cisalhante média; b) O deslocamento do ponto d considerando-se que a face inferior não se desloca. Dados: Ε = 87,5 GPa; ν = 0,25 a) →==τ 50x160 000.112 A F m 2 m mm/N14=τ
  • 32.
    b) γ=∆→ ∆ =γ≅γ 80 80 tg Lei deHooke no cisalhamento: γ=τ G GPa35G )25,01(2 5,87 )1(2 E G =→ + = ν+ = .rad10x4 )mm/N(10x35 )mm/N(14 G 4 23 2 − =γ→= τ =γ mm032,010x4x80 4 =∆→=∆ − 3) Calcule a tensão de cisalhamento média no pino e a tensão normal de tração média no cabo da estrutura abaixo.
  • 33.
    2 méd2méd mm/N7,71 10x14,3 500.22 A F =τ→==τ 2 méd2méd mm/N5,292 7x14,3 000.45 A F =σ→==σ 4)Calcule a tensão de cisalhamento nos parafusos da ligação abaixo. Dados: F = 35.000 N; d = 19,05 mm Neste caso n = 4 e nA = 1 (corte simples) 2 méd2méd mm/N7,30 )525,9(x14,3x1x4 000.35 A F =τ→==τ 5) Calcule o diâmetro dos parafusos da ligação abaixo. Dados: F = 200.000 N; 2 __ mm/N95=τ Para este problema: n = 8 e nA = 1 (corte simples)
  • 34.
    mm15,9R )R(x14,3x1x8 000.200 95 A F 2méd =→=→=τ Portanto: d= 18,3 mm 6) Calcule a tensão de cisalhamento nos parafusos da ligação abaixo e a tensão normal nas chapas. Dado: d = 12 mm 1ª opção: F = 15.000 N; n = 6; An = 1 2 méd2méd mm/N1,22 )6(x14,3x1x6 000.15 A F =τ→==τ 2 mm/N50 100x3 000.15 A F =σ→==σ 2ª opção: F = 30.000 N; n = 6; An = 2 2 méd2méd mm/N1,22 )6(x14,3x2x6 000.30 A F =τ→==τ 2 mm/N50 100x6 000.30 A F =σ→==σ
  • 35.
    7) Um suportepara televisão é sustentado por um pino de 8 mm de diâmetro. Calcule a tensão de cisalhamento média no pino sabendo que a massa da televisão é igual a 25 kg. Observação: a força cisalhante no pino é provocada pelo binário exigido para o equilíbrio de momentos fletores. 050xF800xP0MA =−→=∑ N924.3F50xF800x81,9x25 =→= Cálculo da tensão cisalhante média no pino: 2 m2m mm/N1,78 4x14,3 924.3 A F =τ→==τ
  • 36.
    Exercícios do Capítulo5: 1) Para o eixo abaixo calcule: a) a tensão de cisalhamento máxima; b) o giro relativo da seção transversal B em relação ao engaste indeformável A; c) o deslocamento horizontal do ponto c. Dados: =T 4.600 N.mm; G = 60 GPa. a) J r.T =τ ( ) ( ) 4444 i 4 e mm2,270.8J1218 32 DD 32 J =→− π =− π = MPa01,5:oumm/N01,5 2,270.8 9x600.4 máx 2 máx =τ==τ b) .rad10x42,7 2,270.8x10x60 800x600.4 GJ TL 3 3 − ===θ c) mm067,010x42,7x9x9 9 tg 3 ==θ=∆→ ∆ =θ≅θ −
  • 37.
    2) Um eixode seção transversal circular fica solicitado pelos momentos de torção indicados na figura abaixo. Calcule a tensão de cisalhamento máxima e o giro relativo da seção transversal B em relação ao engaste indeformável A. Dado: G = 25 GPa. J r.T =τ onde: 444 mm3,592.613J50 32 D 32 J =→ π = π = MPa67,1:oumm/N67,1 3,592.613 25x000.41 máx 2 máx =τ==τ GJ TL =θ .rad10x194,3 3,592.613x10x25 000.2x000.63 3,592.613x10x25 500.3x000.22 3 33B − −=−=θ Resposta: .rad10x194,3 3 B − =θ (no sentido de 63.000 N.mm) 3) A tensão de cisalhamento máxima que solicita o eixo abaixo é igual a 32,5 MPa. Sabendo que o eixo tem seção transversal circular (Φ = 12 mm) e L = 500 mm calcule o valor da força F. Para este valor de F calcule o giro relativo da seção transversal onde está aplicado o binário em relação ao engaste rígido. Dado: G = 42 GPa.
  • 38.
    F12T = 44 mm75,2035J12 32 J =→ π = N9,918F 75,2035 6F12 5,32 J r.T máx=→ ⋅ ==τ→=τ Cálculo do ângulo de torção: 75,2035x10x42 5009,91812 GJ TL 3 ⋅⋅ ==θ .rad064,0=θ (ou: 3,7º) 4) Determine as reações nos engastes indeformáveis. O eixo é prismático e tem seção transversal circular. TTT0M BA =+→=∑ O Problema é uma vez hiperestático. Precisamos de mais uma equação que virá da “compatibilidade dos deslocamentos”. Retirando-se o apoio B tem-se o giro relativo θB:
  • 39.
    JG a.T GJ TL B ==θ Colocando-se oengaste B, tem-se o giro relativo :| Bθ JG L.TB| B =θ Compatibilidade dos deslocamentos: JG L.TB B | B →θ=θ JG a.T = L a.T TB = Da equação de equilíbrio: =−=−= L a.T TTTT BA T L L L a.T − L b.T T)aL( L T T AA =→−=
  • 40.
    Exercício do item5.5: Calcule a tensão de cisalhamento média da barra com seção vazada de parede fina com espessura t constante. tA2 T méd =τ Onde: A é a área limitada pela linha do esqueleto 2 médméd mm/N21,10 3x204.2x2 000.135 =τ→=τ
  • 41.
    Exercícios do item6.4: 1) Calcule a tensão normal e a tensão cisalhante nos pontos KeJ,I . Esforços internos na seção transversal que contém os três pontos: M = − 15.000 N.m e V = − 5.000 N 44 3 Z m10x8,1 12 30,0x08,0 I − == Cálculo da tensão normal (σ): ZI y.M =σ MPa5,12m/N10x5,12 10x8,1 )15,0(x000.15 26 I4I ==σ→ −− =σ − 0 10x8,1 )0(x000.15 J4J =σ→ − =σ − MPa5,12m/N10x5,12 10x8,1 )15,0(x000.15 26 K4K −=−=σ→ − =σ −
  • 42.
    Cálculo da tensãocisalhante (τ): ZI.b Q.V =τ 0 10x8,1x08,0 0x000.5 4I ==τ − MPa3125,0m/N10x125,3 10x8,1x08,0 075,0x15,0x08,0x000.5 25 4J ===τ − 0 10x8,1x08,0 0x000.5 4K ==τ − Exercício 2) Uma viga em balanço tem largura b constante em todo o comprimento igual a 10 cm e altura variável, como mostra a figura abaixo. Calcule máxcmáxtmáx e, τσσ no meio da viga e no engaste. Dado; P = 30.000 N
  • 43.
    • No meioda viga tem-se: M = − 30.000 (N) x 2,5 (m) = − 75.000 N.m V = − 30.000 N 45 3 Z m10x8125,2 12 15,0x10,0 I − == MPa200m/N10x200 10x8125,2 )075,0(x000.75 26 5tmáx == −− =σ − MPa200m/N10x200 10x8125,2 )075,0(x000.75 26 5cmáx −=−= − =σ − MPa3m/N10x3 10x8125,2x10,0 )0375,0x075,0x10,0(x000.30 26 5máx ===τ − • No engaste da viga tem-se: M = − 30.000 (N) x 5,0 (m) = − 150.000 N.m V = − 30.000 N 44 3 Z m10x3021,1 12 25,0x10,0 I − == MPa144m/N10x144 10x3021,1 )125,0(x000.150 26 4tmáx == −− =σ − MPa144m/N10x144 10x3021,1 )125,0(x000.150 26 4cmáx −=−= − =σ − MPa8,1m/N10x8,1 10x3021,1x10,0 )0625,0x125,0x10,0(x000.30 26 4máx ===τ − Exercício 3: Para a viga abaixo calcule as tensões normais extremas (σmáx T e σmáx C ) e a maior tensão cisalhante.
  • 44.
    N000.27VV0F BAY =+→=∑ 09,3xV7,2x000.152,1x000.120MBA =−+→=∑ N9,076.14VB = 02,1x000.157,2x000.129,3xV0M AB =−−→=∑ N1,923.12VA = 44 3 Z m10x998,6 12 36,0x18,0 I − == MPa34,4m/N10x34,4 10x998,6 18,0x3,892.16 26 4tmáx ===σ − MPa34,4m/N10x34,4 10x998,6 )18,0(x3,892.16 26 4cmáx −=−= − =σ − MPa326,0m/N2,854.325 10x998,6x18,0 09,0x18,0x18,0x9,076.14 2 4máx ===τ − Exercício 4: A viga abaixo está solicitada por três forças atuando no plano de simetria vertical. Calcule as tensões normais extremas (σmáx T e σmáx C ) e a maior tensão cisalhante.
  • 45.
    N500.12VV0F BAY =+→=∑ 09x000.20,6xV0,4x500.40,2x000.60MBA =+−+→=∑ N000.8VB = 00,3x000.20,2x500.40,4x000.6Vx60M AB =+−−→=∑ N500.4VA = Cálculo do momento de inércia IZ: 44 33 Z m10x25,2 12 30,0x10,0 12 h.b I − === Cálculo das tensões normais extremas: 26 4 Z Tmáx m/N10x0,6 10x25,2 15,0x000.9 I y.M ===σ − = 6,0 MPa 26 4 Z Cmáx m/N10x0,6 10x25,2 )15,0(x000.9 I y.M −= − ==σ − = − 6,0 MPa Cálculo de τmáx: ZIb Q.V =τ 25 4máx m/N10x0,3 1025,2x10,0 )075,0x15,0x10,0(x000.6 ==τ −
  • 46.
    Exercícios do item6.7: 1) Sendo Ε Ι = constante, determine: a) a equação da tangente à linha elástica; b) a equação da linha elástica; c) a deflexão do ponto A; d) a deflexão do ponto d. Colocando-se o sistema de referência no ponto A: )x(M)x(vIE || −= )Lx0(x.P)x(M ≤≤−= x.P)x(vIE || += 1 2 | C 2 xP )x(vIE += Os engastes impedem rotações, então: 0)L(v | = 2 PL C0C 2 LP )L(vIE 2 11 2 | −=→=+= a) 2 PL 2 xP )x(vIE 22 | −= Integrando a equação acima tem-se a expressão de v(x): 2 23 C 2 xPL 6 xP )x(vIE +−=
  • 47.
    Os engastes impedemdeslocamentos, então: 0)L(v = 3 PL 2 PL 6 PL C0C 2 LPL 6 LP )L(vIE 333 22 23 =+−=→=+−= b) 3 PL 2 xPL 6 xP )x(vIE 323 +−= c) 3 PL 2 0PL 6 0P )0(vIE 323 +−= IE3 PL v)0(v 3 A == d) ( ) 3 PL 2 )2L(PL 6 2LP )2L(vIE 323 +−= 3 333 PL 48 )16121( 3 PL 4 PL 48 PL )2/L(EIv +− =+−= EI48 PL5 v)2/L(v 3 d == 2) Sendo Ε Ι = constante, determine: a) a equação da tangente à linha elástica; b) a equação da linha elástica; c) a deflexão do ponto A; d) a deflexão do ponto d. )Lx0( 2 qx )x(M 2 ≤≤−= 2 qx )x(vIE 2 || +=
  • 48.
    1 3 | C 6 qx )x(vIE += Os engastesimpedem rotações, então: 0)L(v | = 6 qL C0C 6 Lq )L(vIE 3 11 3 | −=→=+= a) 6 qL 6 xq )x(vIE 33 | −= Integrando a equação acima tem-se a expressão de v(x): 2 34 C 6 xqL 24 xq )x(vIE +−= Os engastes impedem deslocamentos, então: 0)L(v = 8 qL 6 qL 24 qL C0C 6 LqL 24 Lq )L(vIE 444 22 34 =+−=→=+−= b) 8 qL 6 xqL 24 xq )x(vIE 434 +−= c) 8 qL 6 0qL 24 0q )0(vIE 434 +−= IE8 qL v)0(v 4 A == d) 8 qL 6 )3/L(qL 24 )3/L(q )3/L(vIE 434 +−= 4 444 qL 1944 )2431081( 8 qL 18 qL 1944 qL )3/L(EIv +− =+−= EI243 qL17 EI1944 qL136 v)3/L(v 44 d === 3) Sendo Ε Ι = constante, determine: a) a equação da tangente à linha elástica; b) a equação da linha elástica; c) a deflexão máxima; d) a rotação nos apoios.
  • 49.
    )Lx0( 2 qx x 2 qL 2 qx xV)x(M 22 A ≤≤−=−= 2 qx x 2 qL )x(vIE 2 || +−= 1 3 2| C 6 qx x 4 qL )x(vIE ++−= 21 4 3 CxC 24 qx x 12 qL )x(vIE+++−= Condições de contorno (ou condições de extremidades): 0)0(v = e 0)L(v = 0C0C0C 24 0q 0 12 qL )0(vIE 221 4 3 =→=+++−= 0LC 24 qL L 12 qL )L(vIE 1 4 3 =++−= 24 qL C 24 qL 12 qL LC 3 1 44 1 =→−= a) 24 qL 6 qx x 4 qL )x(vIE 33 2| ++−= b) x 24 qL 24 qx x 12 qL )x(vIE 34 3 ++−= c) A deflexão máxima ocorre no meio da viga: )2/L( 24 qL 24 )2/L(q )2/L( 12 qL )2/L(vIE 34 3 ++−= 4 444 qL 384 )814( 48 qL 384 qL 96 qL )2/L(vIE ++− =++−=
  • 50.
    IE384 qL5 )2/L(vv 4 máx == Observação: Paravigas bi-apoiadas a deflexão máxima ocorre onde 0)x(v| = 0 24 qL 6 qx x 4 qL )x(vIE 33 2| =++−= De onde: 0LxL6x40 24 L x 4 L 6 x 323 3 2 3 =+−→=+− A equação do terceiro grau acima fornece três raízes reais que são: X1 = 1,366L X2 = 0,5L X3 = − 0,366L d) Rotação nos apoios: )x()x(v| θ≅ IE24 qL )0(v 24 qL 6 0q 0 4 qL )0(vIE 3 A | 33 2| =θ≅→++−= IE24 qL )L(v 24 qL 6 qL L 4 qL )L(vIE 3 B | 33 2| −=θ≅→++−=
  • 51.
    4) Determine adeflexão no meio da viga. IE = constante. Trecho 1: )2/Lx0(x 2 P )x(M ≤≤= x 2 P )x(vIE || −= 1 2| Cx 4 P )x(vIE +−= Para x = L/2: v| (L/2) = 0 16 PL C0C)2/L( 4 P )2/L(vIE 2 11 2| =→=+−= 2 2 3 Cx 16 PL x 12 P )x(vIE ++−= Para x = 0: v(0) = 0 0C0C0 16 PL 0 12 P )0(vIE 22 2 3 =→=++−= Cálculo da deflexão no meio do vão: 3 332 3 PL 96 )31( 32 PL 96 PL )2/L( 16 PL )2/L( 12 P )2/L(vIE +− =+−=+−= IE48 PL v)2/L(v 3 máx == 5) Sabendo que a deflexão máxima da viga abaixo é igual a 0,6 cm calcule o valor do módulo de elasticidade da viga abaixo. IE = constante.
  • 52.
    IE48 PL v 3 máx = 44 3 z m10x375,3 12 30,015,0 I− = ⋅ = 4 3 10x375,3E48 )4,6(26000 006,0 − ⋅⋅ = 29 m/N10x12,70E = ou: GPa12,70E = 6) Calcule a deflexão (flecha) máxima da viga abaixo. IE = constante. Dados: Ε = 120 GPa; q = 80.000 N/m 43 33 m10x083,2I 12 )5,0(20,0 12 hb I − =→ ⋅ == EI qL00652,0 v)L52,0(v 4 máx == m10x3,1 10x083,2x10x120 )5(x000.80x00652,0 v 3 39 4 máx − − ==
  • 53.
    Exercícios do item7.1: 1) Para a estrutura abaixo calcule as tensões normais extremas e a posição da linha neutra. Dado: F = 100.000 N Reduzindo a força F ao centróide tem-se: MZ = 100.000 (N) x 100 (mm) = 1,0 x 10 7 N.mm z z I yM A F ⋅ +=σ
  • 54.
    12 400x200 y10x0,1 400x200 100.000 3 7 ⋅ −−=σ y10x375,91,25 3 ⋅−−=σ − Cálculodas tensões normais extremas: 23 Tmáx mm/N625,0)200(10x375,91,25 =−−−=σ − 23 Cmáx mm/N125,3)200(10x375,91,25 −=−−=σ − Equação da linha neutra: σ = 0 y10x375,91,250 3 ⋅−−= − mm133,33 10x375,9 1,25 y 3 −= − = − Exercício 2) Calcule a tensão normal nos pontos f e g e a posição da linha neutra no engaste. Calcule também a tensão de cisalhamento máxima. Seção transversal do engaste:
  • 55.
    Mz = –3000 x 3,7 – 5.000 x 2,5 = – 23.600 N.m z z I yM A F ⋅ +=σ 12 5,0x25,0 y23600 5,0x0,25 150.000 3 ⋅ −−=σ y10x06,910x1,2 66 ⋅−−=σ Cálculo das tensões normais: MPa06,1)25,0(10x06,910x1,2 66 f =−⋅−−=σ MPa46,3)25,0(10x06,910x1,2 66 g −=⋅−−=σ Equação da linha neutra: σ = 0 y10x06,910x1,20 66 ⋅−−= m13,0 10x06,9 10x1,2 y 6 6 −= − = Cálculo de τmáx: ZIb QV ⋅ ⋅ =τ 2 3máx m/N000.96 10x604,2x25,0 0,125x0,25x0,25x8.000 ==τ −
  • 56.
    Exercícios do item8.4: 1) Investigue se vai ocorrer flambagem do pilar BC. Dados: ΕBC = 120 GPa; LBC = 4,0 m. Cálculo da carga crítica do pilar BC: ( )2 fl min 2 CR L IE P π = 4 3 min mm500.112 12 30x50 I == mm40004000x0,1LKLfl ==⋅= ( ) N5,327.8 4000 112500x10x120 P 2 32 CR = ⋅π = A força de compressão que atua no pilar BC é maior do que a carga crítica ( CRP ) do pilar. Portanto, vai ocorre flambagem do pilar BC.
  • 57.
    2) Resolva oproblema anterior considerando-se que o pilar BC está engastado no ponto C. Cálculo da carga crítica do pilar BC: ( )2 fl min 2 CR L IE P π = mm28004000x7,0LKLfl ==⋅= ( ) N9,994.16 2800 112500x10x120 P 2 32 CR = ⋅π = CRBC PF < , neste caso não vai ocorrer flambagem do pilar. 3) Calcule o valor crítico da força P. As duas barras têm seção transversal circular com diâmetro φ = 15mm e módulo de elasticidade Ε = 205 GPa.
  • 58.
    o 60)5,0(cosarc 69,0 345,0 cos =θ→=θ→=θ P155,1 60sen P F0senFP0F o22Y −=−=→=θ+→=∑ θ−=→=θ+→=∑cosFF0cosFF0F 2121X P5775,060cos)P155,1(F o 1 =−−= Cálculo da carga crítica da barra 2: ( )2 fl min 2 CR L IE P π = 49 44 min m10x485,2 64 )015,0( 64 D I − = π = π = m69,069,0x0,1LKLfl ==⋅= ( ) N560.10 69,0 10x485,2x10x205 P 2 992 CR = ⋅π = − Para que ocorra flambagem da barra 2: F2 = Pcr, então: N9,142.9P560.10P155,1 =→=
  • 59.
    Exercício do item9.2: Calcule a tensão normal e a tensão cisalhante nas direções θ = 60º e θ = 150º. MPa32 25x15 000.12 A F xx −=σ→ − ==σ Para θ = 60º tem-se as tensões: MPa2460sen.32sen. 022 x −=−=θσ=σθ MPa86,1360cos.60sen)32(cos.sen. oo x =−−=θθσ−=τθ Para θ = 150º tem-se as tensões: MPa8150sen.32sen. 022 x −=−=θσ=σθ MPa86,13150cos.150sen)32(cos.sen. oo x −=−−=θθσ−=τθ Exercício do item 9.3: Duas peças de madeira são coladas como mostra a figura abaixo. A cola não pode ser tracionada e a tensão admissível ao cisalhamento é igual a 4,0 MPa. Investigue se a solicitação na cola é admissível.
  • 60.
    θθτ+θσ+θσ=σθ sencos2cossen xy 2 y 2 x () ( )θ−θτ+θθσ−σ=τθ 22 xyxy cossencossen Neste problema: σx = 2,0 MPa ; σy = − 5,0 MPa ; τxy = 0,0 Para θ = 45º tem-se as tensões: MPa5,1045cos0,545sen0,2 o2o2 −=σ→+−=σ θθ ( ) MPa5,3045cos45sen0,20,5 oo −=τ→+−−=τ θθ Conclusão: A solicitação na cola é admissível. Exercício do item 9.5: 1) Um elemento estrutural fica solicitado pelas tensões indicadas na figura abaixo. Calcule: a) as tensões e as direções principais (mostre os resultados em um elemento orientado); b) as tensões que atuam nos planos que formam ângulos de 10 0 ; c) a maior tensão de cisalhamento do plano xOy e a direção θ3. a) 2 xy 2 yxyx 2 1 22 τ+        σ−σ ± σ+σ =σ ( )2 2 2 1 25 2 8535 2 8535 −+      − ± + =σ então: MPa36,951 =σ e MPa64,242 =σ 0 1 x1 xy 1 5,22 3536,95 25 tg −=θ→ − − = σ−σ τ =θ
  • 61.
    0 2 2x xy 2 5,67 64,2435 25 tg =θ→      − − −=        σ−σ τ −=θ b)Para 0 10=θ , tem-se as tensões: 000202 10sen10cos)25(210cos8510sen35 −++=σθ MPa94,74= ( ) )10cos10sen(2510cos10sen3585 020200 −−−=τθ MPa04,32= c) τmáx= 2 xy 2 yx 2 τ+        σ−σ τmáx= 2 2 )25( 2 8535 −+      − = 35,36 MPa ( ) 0 33 yx xymáx 3 51,22)4144,0(tanarc 5,0)8535( 2536,35 5,0 tg =θ→=θ ⋅− − −=         ⋅σ−σ τ+τ −=θ 2) Para um ponto da barra abaixo calcule: a) as tensões principais e as direções principais (mostre os resultados em um elemento orientado): b) τmáx do plano xoy e a direção θ3 .
  • 62.
    22 mm68,126)35,6(A =π= 2 2x mm/N71 )mm(68,126 )N(000.9 A F ===σ a) ()2 xy 2 yxyx 2 1 22 τ+        σ−σ ± σ+σ =σ ( )2 2 2 1 0 2 071 2 071 +      − ± + =σ 5,355,35 ±= De onde: MPa711 =σ e 02 =σ Cálculo das direções principais: 0 0 7171 0 tan x1 xy 1 = − = σ−σ τ =θ (indeterminado) Neste caso, a fórmula acima não pode ser usada. Nos planos principais a tensão cisalhante é nula. Então, σx e σy são tensões principais: o 11x 90;MPa71 =θ=σ=σ o 22y 0;0 =θ=σ=σ
  • 63.
    b) ( )2 xy 2 yx min máx 2 τ+        σ−σ ±=τ () →+      − ±=τ 2 2 min máx 0 2 071 MPa5,35eMPa5,35 minmáx −=τ=τ ( ) 1 5,0)071( 05,35 5,0 tan yx xymáx 3 −=      ⋅− + −=         ⋅σ−σ τ+τ −=θ o 3 45)1(tanarc −=−=θ Observação: Em uma barra tracionada (ou comprimida) a tensão cisalhante máxima atua nos planos que formam 45º com o eixo x e seu valor é a metade da tensão normal máxima: 2 x máx σ =τ . No entanto, dependendo da resistência do material máxτ pode romper uma barra. 3) Um eixo maciço está solicitado por um torque Τ = 73.630 N.mm. Para um ponto localizado na superfície do eixo calcule usando o círculo de Mohr: a) as tensões principais e as direções principais (mostre os resultados em um elemento orientado):
  • 64.
    b) τmáx doplano xoy e a direção θ3. O momento de torção (ou torque) produz um estado de cisalhamento puro. J r.T =τ (Expressão válida para seção transversal circular) 4 44 mm3,592.613 32 )50( 32 D J = π = π = 2 xyxy mm/N3 3,613592 25x73630 =τ→=τ Círculo de Mohr:
  • 65.
    Elemento orientado daletra a: b) τmáx = 3,0 MPa θ3 = 90º
  • 66.
    Exercícios do item9.8: 1)Uma circunferência de raio r = 600 mm é desenhada em uma placa quadrada de lado L = 1400 mm. Determine os comprimentos dos diâmetros ab e cd depois de aplicadas as tensões indicadas. Dados: σx = 150 MPa; σy = 80 MPa ; Ε = 70 GPa ; ν = 0,3 [ ])( E 1 zyxx σ+σν−σ=ε [ ] 366 9x 10x486,2)010x80(3,010x150 10x70 1 − =+−−=ε xxx LL L L ε=∆→ ∆ =ε mm98,2120010x486,21200L 3 xab =⋅=⋅ε=∆ − mm98,1202L98,21200L1200L abFababF =→+=∆+= [ ])( E 1 zxyy σ+σν−σ=ε [ ] 366 9y 10x786,1)010x150(3,010x80 10x70 1 − −=+−−=ε yyy LL L L ε=∆→ ∆ =ε
  • 67.
    mm14,2120010x786,11200L 3 ycd −=⋅−=⋅ε=∆− mm86,1197L14,21200L1200L cdFcdcdF =→−=∆+= 2) Em uma chapa de liga de titânio desenhou-se uma linha inclinada. Calcule o valor em graus do ângulo β depois de aplicadas as tensões indicadas. Dados: σx = 90 MPa; σy = 70 MPa Εtitânio = 120 GPa ; νtitânio = 0,36 o 55,27)5217,0(tanarc mm230 mm120 tg =β→=β→=β [ ])( E 1 zyxx σ+σν−σ=ε [ ] 466 9x 10x06,9)010x70(36,010x90 10x120 1 − =+−−=ε xxx LL L L ε=∆→ ∆ =ε mm2208,023010x60,9230L 4 xx =⋅=⋅ε=∆ − mm2208,230L2208,0230L230L FxxFx =→+=∆+= [ ])( E 1 zxyy σ+σν−σ=ε [ ] 466 9y 10x53,8)010x90(36,010x70 10x120 1 − −=+−−=ε yyy LL L L ε=∆→ ∆ =ε mm102,012010x53,8120L 4 yy −=⋅−=⋅ε=∆ − mm898,119L102,0120L120L FyyFy =→−=∆+=
  • 68.
    o FFF 51,27)5208,0(tanarc mm2208,230 mm898,119 tg =β→=β→=β 3)Uma barra está solicitada pela tensão normal σx. Para este caso demonstre que: ν− ε+ε+ε =σ 21 E)( zyx x Lei de Hooke Generalizada: [ ])( E 1 zyxx σ+σν−σ=ε [ ])( E 1 zxyy σ+σν−σ=ε [ ])( E 1 yxzz σ+σν−σ=ε Para uma barra solicitada pela tensão normal σx tem-se: [ ] E )00( E 1 x xx σ =+ν−σ=ε [ ] E )0(0 E 1 x xy νσ −=+σν−=ε [ ] E )0(0 E 1 x xz νσ −=+σν−=ε Somando as deformações εx , εy e εz tem-se: EEE xxx zyx νσ − νσ − σ =ε+ε+ε )1( E x zyx ν−ν− σ =ε+ε+ε ν− ε+ε+ε =σ 21 E)( zyx x 4) Em muitas situações de carregamento a tensão normal em uma direção é igual a zero, como na chapa da figura abaixo onde σz = 0 (estado plano de tensão). Para este caso demonstre que:
  • 69.
    ν− ε+εν −=ε 1 )( yx z Para umachapa solicitada por σx e σy tem-se: [ ] )( E 1 )0( E 1 yxyxx νσ−σ=+σν−σ=ε [ ] )( E 1 )0( E 1 xyxyy νσ−σ=+σν−σ=ε [ ] E )( )(0 E 1 yx yxz σ+σν −=σ+σν−=ε Somando as expressões de εx e εy , tem-se: )( E 1 yxyx νσ−σ=ε+ε + )( E 1 xy νσ−σ yxyx ( E 1 νσ−σ=ε+ε + )xy νσ−σ )1()1(E)( yxyx ν−σ+ν−σ=ε+ε )()1(E)( yxyx σ+σν−=ε+ε De onde: ν− ε+ε =σ+σ 1 E)( yx yx Colocando-se a expressão acima na expressão de εz, tem-se: E 1 )( EE )( yxyx z ν− ε+ε ⋅ ν −= σ+σν −=ε ν− ε+εν −=ε 1 )( yx z
  • 70.
    Exercícios sobre critériode resistência de von Mises (item 10.4) 2 Y 2 yz 2 xz 2 xyzyzxyx 2 z 2 y 2 x )(3 σ<τ+τ+τ+σσ−σσ−σσ−σ+σ+σ 1) Usando o critério de resistência de von Mises investigue se o eixo abaixo está em segurança. Dado: MPa100Y =σ 26 2x m/N10x96,79 )025,0( 157000 A F = π ==σ J rT⋅ =τ 26 4yx m/N10x06,25 32 )05,0( 025,0x615 = π =τ→ Critério de von Mises: 2 Y 2 xy 2 x )(3 σ<τ+σ 222 100)06,25(3)96,79( <+ 000.106,277.8 < Segundo o critério de von Mises o eixo está em segurança.
  • 71.
    2) Sabendo queMPa240Y =σ calcule o valor do momento de torção que inicia o escoamento do eixo abaixo. J rT⋅ =τ T10x2595,3 32 )25( 5,12xT 4 4yx − = π =τ→ 2 Y 2 xy )(3 σ<τ 224 240)T10x5259,3(3 =− 57600T10x06243,1x3 27 =− mm.N109.425T 10x72918,3 57600 T 7 2 =→= − Observação: Usando o critério de Tresca: Y31 σ<σ−σ 2 xy 2 yxyx 2 1 22 τ+        σ−σ ± σ+σ =σ 2 xy 2 1 τ±=σ→ T10x2595,3 4 xy1 − =τ+=σ ; T10x2595,3 4 xy2 − −=τ−=σ
  • 72.
    As três tensõesprincipais são: T10x2595,3 4 1 − =σ 02 =σ T10x2595,3 4 3 − −=σ Colocando as tensões principais extremas no critério de Tresca: −− T10x2595,3 4 240)T10x5259,3( 4 =− − De onde: Τ = 368.155 N.mm Comparação entre os critérios de von Mises e de Tresca: 1547,1 155.368 109.425 Tresca Misesvon == Portanto, o valor do momento de torção que inicia o escoamento do eixo segundo o critério de von Mises é 15,47% maior que o valor fornecido pelo critério de Tresca. Esta é a diferença máxima entre os dois critérios e ocorre na torção pura. 3) Sabendo que MPa400Y =σ calcule o valor da força P inicia o escoamento da viga abaixo. A F I yM Z +=σ P100,5xP2M −=−= 30,0x2,0 P15 12 3,0x2,0 yP10 3 − − =σ
  • 73.
    P250y.P22,222.22 −−=σ Tensão normalno ponto b: P250P33,333.3P250)15,0.(P22,222.22b −−=−−=σ P33,3583b −=σ Para que inicie o escoamento (critério de von Mises): 2622 Y 2 x )10x400()P33,3583( =−→σ=σ Ou: N9,627.111P10x400P33,3583 6 =→= Observação: Se tirar a força axial (N = 0): N000.120P10x400P33,3333 6 =→= 4) Usando o critério de von Mises investigue se o elemento abaixo está em segurança. Dado: MPa320Y =σ
  • 74.
    2 Y 2 yz 2 xz 2 xyzyzxyx 2 z 2 y 2 x )(3 σ<τ+τ+τ+σσ−σσ−σσ−σ+σ+σ 2222222 320)306045(3110x)80(110x50)80(x50110)80(50<+++−−−−−+−+ 400.102875.47 < Segundo o critério de von Mises o elemento está em segurança. 5) Usando o critério de von Mises calcule o valor da tensão normal σX que inicia o escoamento do elemento abaixo. Dado: MPa720Y =σ 2 Y 2 yz 2 xz 2 xyzyzxyx 2 z 2 y 2 x )(3 σ<τ+τ+τ+σσ−σσ−σσ−σ+σ+σ 2222 xx 222 x 207)50400(3120801208012080 =+++⋅−⋅σ−⋅σ−++σ 849.42500.23200 x 2 x =+σ−σ
  • 75.
    0349.19200 x 2 x =−σ−σ Deonde: MPa3,71eMPa3,271 xx −=σ=σ 6) Usando o critério de von Mises calcule o valor da tensão cisalhante τXY que inicia o escoamento do elemento abaixo. Dado: MPa150Y =σ 2 Y 2 yz 2 xz 2 xyzyzxyx 2 z 2 y 2 x )(3 σ<τ+τ+τ+σσ−σσ−σσ−σ+σ+σ 2222 xy 222 150)5040(3120801200800120800 =++τ+⋅−⋅−⋅−++ 500.22)25001600(311200 2 xy =++τ+ 7500480011200225003 2 xy −−−=τ 10003 2 xy −=τ Portanto, para 0xy =τ o elemento já está escoando. 7) Usando o critério de von Mises calcule o valor da tensão cisalhante τXZ que inicia o escoamento do elemento abaixo. Dado: MPa150Y =σ
  • 76.
    2 Y 2 yz 2 xz 2 xyzyzxyx 2 z 2 y 2 x )(3 σ<τ+τ+τ+σσ−σσ−σσ−σ+σ+σ 222 xz 2222 150)500(3120801200800120800=+τ++⋅−⋅−⋅−++ 500.22)7500311200 2 xz =+τ+ 3 3800 38003 zx 2 zx =τ→=τ MPa59,35zx =τ 8) Usando o critério de von Mises investigue se o elemento abaixo está em segurança quando solicitado pelas tensões indicadas. Dado: MPa320Y =σ 2 Y 2 yz 2 xz 2 xyzyzxyx 2 z 2 y 2 x )(3 σ<τ+τ+τ+σσ−σσ−σσ−σ+σ+σ
  • 77.
    9) Usando ocritério de von Mises investigue se o elemento abaixo está em segurança quando solicitado pela tensão indicada. Dado: MPa320Y =σ 2 Y 2 yz 2 xz 2 xyzyzxyx 2 z 2 y 2 x )(3 σ<τ+τ+τ+σσ−σσ−σσ−σ+σ+σ Observação: “O escoamento ocorre sem variação de volume” (?????) Vamos supor que uma barra de aço doce tem tensão de escoamento .MPa400Y =σ Aplicando-se a F = 80.000 N, tem-se: Y 2 mm/N400 2010 80000 σ== ⋅ =σ Tensão esférica: 0 V V ≠ ∆ Tensões desvidadoras: 0 V V = ∆ A tensão de cisalhamento é igual a zero em todas as direções do estado de tensão esférico. O escoamento é provocado pela tensão cisalhante, portanto, as tensões desviadoras são as responsáveis pelo escoamento. Então, podemos afirmar que o escoamento ocorre sem variação de volume?
  • 78.
    Exercícios do Anexoà apostila: 1) Determine as coordenadas do centróide de uma área retangular. h.b dzdy.y A dA.y y h 0 b 0A _ ∫ ∫∫ == [ ] b. 2 h . h.b 1 z. 2 y h.b 1 2 b 0 h 0 2 =      = de onde: 2 h y _ = h.b dz.zdy A dA.z z h 0 b 0A _ ∫ ∫∫ == [ ] 2 b h h.b 1 2 z .y h.b 1 2b 0 2 h 0 ⋅⋅=      = de onde: 2 b z _ = O Sistema de referência pode ter origem em qualquer ponto do plano da área. Para o sistema de referência acima: mmxxz _ =
  • 79.
    →= 0y _ 0 A dA.y y A _ == ∫ 0dA.y:entãoAA =∞≠ ∫ 0dA.yQ AZ == ∫ O eixo z passa pelo centróide da área A, portanto, o momento estático de uma área finita em relação a qualquer eixo que passa pelo centróide é nulo. 2) Calcule o momento estático da área hachurada em relação ao eixo horizontal do centróide. 60 60 160 200 2 160 200 60 60AZ z 2 y dz.dy.ydA.yQ − − − − − − ⋅=== ∫ ∫∫ [ ] [ ] [ ] 120000.40600.25 2 1 )60(60)200()160( 2 1 Q 22 Z ⋅−=−−⋅−−−= 3 Z mm000.864Q −= Outra forma de calcular-se o momento estático: AyQ A Q y A dA.y y _ Z Z _ A _ ⋅=→=→= ∫ 3 Z mm000.86412040)180(Q −=⋅⋅−= Outra forma de calcular-se o momento estático: através da área abaixo
  • 80.
    3 _ Z mm000.86436012020AyQ =⋅⋅=⋅= 3)Calcule o momento estático da área hachurada em relação ao eixo horizontal do centróide. 3 _ Z mm000.400.2120200100AyQ =⋅⋅=⋅= • Demonstração do teorema dos eixos paralelos 2 |ZZ a.AII += 2 |YY b.AII +=
  • 81.
    ∫= A 2| |Z dA)y(I [ ]∫∫ ++=+= A 2|2| A 2| ZdAaay2)y(dA)ay(I ∫ ∫ ∫++= A A A 2|2| Z dAadAya2dA)y(I O momento estático de uma área em relação a um eixo que passa pelo seu centróide é nulo, então: ∫ = A | 0dAy 2 |ZZ a.AII += 4) Para a área abaixo, determine: a) o momento de inércia IZ b) o momento de inércia IY a) ∫∫∫ −− ⋅== 2b 2b 2h 2h 2 A 2 Z dzdyydAyI ⋅= − 2h 2h 3 Z 3 y I 2b 2b z −       − −⋅        − −= 2 b 2 b 8 h 8 h 3 1 33 12 hb Ib 8 h 8 h 3 1 I 3 Z 33 Z =→⋅        +=
  • 82.
    b) ∫∫∫ −− ⋅== 2b 2b 22h 2hA 2 Y dzzdydAzI ⋅=− 2h 2hY yI 2b 2b 3 3 z − 12 bh 3 = 5) Determine o momento de inércia de uma área circular vazada em relação ao eixo Z. ∫= A 2 Z dAyI drrddA ⋅θ= θ=→=θ senry r y sen ∫ θθ= drrd)rsen(I 2 Z ∫ ∫ π θ= er ir 2 0 23 dsendrr ( ) π θθ−θ⋅= 2 0 er ir 4 Z cossen 2 1 4 r I ( ) ( )[ ])0cos0sen0(2cos2sen2 2 1 4 rr I 4 i 4 e Z −−ππ−π⋅ − =
  • 83.
    ( ) () 4 rr I2 2 1 4 rr I 4 i 4 e Z 4 i 4 e Z −π =→π⋅ − = Ou colocando em função dos diâmetros externo e interno:               −     π = 4 i 4 e Z 2 D 2 D 4 I         − π = 16 D 16 D 4 4 i 4 e [ ]4 i 4 eZ DD 64 I − π = Particularizando para seção cheia (Di = 0): 64 D I 4 e Z π = Observações: 1ª ) Existem infinitos eixos de simetria que passam pelo centróide de uma área circular. Portanto, todos os momentos de inércia em relação aos eixos que passam pelo centróide são iguais. 2ª ) Não confundir momento de inércia (I) com momento de inércia à torção (J) I é usado na flexão J é usado na torção
  • 84.
    64 D II 4 YZ π == (para seçãocircular cheia) 222 yzr += ∫ ∫ ∫∫ +=+== A A A 2222 A 2 dAydAzdA)yz(dArJ ZY IIJ += 32 D 64 D 64 D 444 π = π + π = 6) Calcule o momento de inércia de uma área em forma de “T” em relação ao eixo horizontal (Z) do centróide. Cálculo das coordenadas do centróide: 0z _ =
  • 85.
    21 _ 22 _ 11A _ AA yAyA A ydA y + + == ∫ 10,0x80,020,0x50,0 55,0x10,0x80,025,0x50,0x20,0 + + = m383,0 18,0 069,0 y _ == Se o sistemade referência auxiliar for colocado na face superior, tem-se: = _ y m217,0 18,0 039,0 10,0x80,020,0x50,0 35,0x50,0x20,005,0x10,0x80,0 == + + Transladando-se o sistema de referência para o centróide da figura, tem-se: Cálculo de IZ usando-se o teorema dos eixos paralelos: 2 |ZZ a.AII += 2 3 2 3 Z )133,0(x5,0x2,0 12 5,0x2,0 )167,0(x1,0x8,0 12 1,0x8,0 I +++=
  • 86.
    43 Z m10x15,6I − = 7)Para a área do exercício anterior calcule o momento de inércia em relação ao eixo y ( YI ). 43 33 Y m10x6,4 12 20,0x50,0 12 80,0x10,0 I − =+= 8) Para a área abaixo calcule os momentos de inércia em relação aos eixos Z e Y. 410 33 Z mm10x97,1 12 400x300 12 800x500 I =−= 49 33 Y mm10x43,7 12 300x400 12 500x800 I =−=