1
1
ANTIMICROBIANOS
ANTIMICROBIANOS
ANTIMICROBIANOS
2
2
ANTIMICROBIANOS
ANTIMICROBIANOS
• Substâncias químicas que inibem
Substâncias químicas que inibem
o crescimento ou provocam a
o crescimento ou provocam a
destruição dos microorganismos.
destruição dos microorganismos.
• Produzidos através de
Produzidos através de
microorganismos como bactérias,
microorganismos como bactérias,
fungos, e outros, ou sintetizados
fungos, e outros, ou sintetizados
total ou parcialmente.
total ou parcialmente.
• Uma das drogas mais utilizadas
Uma das drogas mais utilizadas
na terapêutica
na terapêutica
3
3
• Segundo WAKSMAN (1942), os
Segundo WAKSMAN (1942), os
ANTIBIÓTICOS são substâncias
ANTIBIÓTICOS são substâncias
produzidos originalmente pelo fungos
produzidos originalmente pelo fungos
e bactérias, tendo como propriedade
e bactérias, tendo como propriedade
comum a atividade bactericida ou
comum a atividade bactericida ou
bacteriostática em condições
bacteriostática em condições
propícias, em germes sensíveis. São
propícias, em germes sensíveis. São
drogas utilizadas no tratamento de
drogas utilizadas no tratamento de
doenças infecciosas, assim como os
doenças infecciosas, assim como os
quimioterápicos.
quimioterápicos.
4
4
ANTIBIÓTICOS:
ANTIBIÓTICOS:
• Fungos: griseofulvina, penicilina
Fungos: griseofulvina, penicilina
• bactérias: polimixina B, bacitracina
bactérias: polimixina B, bacitracina
• Streptomices:
Streptomices: estreptomicina
estreptomicina
• Microspora
Microspora: gentamicina:
: gentamicina:
Atividade bactericida =inativação de
Atividade bactericida =inativação de
todos microrganismos
todos microrganismos
Bacteriostática =controle do
Bacteriostática =controle do
crescimento bacteriano
crescimento bacteriano
5
5
HISTÓRICO
HISTÓRICO
• Os primeiros conhecimentos acerca
Os primeiros conhecimentos acerca
dos antibióticos devem-se a Pasteur e
dos antibióticos devem-se a Pasteur e
Jouber, em 1877.
Jouber, em 1877.
• FLEMING
FLEMING (1928) contribuiu
(1928) contribuiu
valorosamente com o primeiro
valorosamente com o primeiro
componente através da contaminação
componente através da contaminação
acidental de uma colônia de
acidental de uma colônia de
estafilococos que foi lisada pelo
estafilococos que foi lisada pelo
Penicilium notatum
Penicilium notatum.
.
6
6
HISTÓRICO
HISTÓRICO
• A era moderna da quimioterapia
A era moderna da quimioterapia
antimicrobiana inicia-se em 1936 com
antimicrobiana inicia-se em 1936 com
a introdução, na clínica, das
a introdução, na clínica, das
sulfonamidas.
sulfonamidas.
• Em 1941, a introdução da
Em 1941, a introdução da
PENICILINA
PENICILINA tornou-se um marco
tornou-se um marco
histórico na Medicina por revolucionar
histórico na Medicina por revolucionar
os princípios terapêuticos até então
os princípios terapêuticos até então
usados nas doenças infecciosas.
usados nas doenças infecciosas.
7
7
• Em 1941
Em 1941 FLOREY, CHAIM
FLOREY, CHAIM et cols.
et cols.
iniciaram a utilização experimental
iniciaram a utilização experimental
desta substância no tratamento de
desta substância no tratamento de
processos infecciosos em seres
processos infecciosos em seres
humanos. Atualmente a maioria dos
humanos. Atualmente a maioria dos
antibióticos são produzidos
antibióticos são produzidos
sinteticamente ,
sinteticamente ,
8
8
• PASTEUR
PASTEUR (1877) observou que
(1877) observou que
algumas colônias eram capazes de
algumas colônias eram capazes de
produzir substâncias antagônicas a
produzir substâncias antagônicas a
outros microorganismos.
outros microorganismos.
9
9
• Dentre os agentes
Dentre os agentes
antimicrobianos (desinfetantes,
antimicrobianos (desinfetantes,
compostos fenílicos, iodados e
compostos fenílicos, iodados e
outros) utilizados nos primórdios
outros) utilizados nos primórdios
da humanidade, muitos
da humanidade, muitos
apresentavam elevada toxidade
apresentavam elevada toxidade
relativa ao paciente, isto foi o que
relativa ao paciente, isto foi o que
motivou os pesquisadores a
motivou os pesquisadores a
desenvolverem drogas com
desenvolverem drogas com
propriedades mais seletivas e de
propriedades mais seletivas e de
menor toxidade ao paciente.
menor toxidade ao paciente.
10
10
• 1877 - Joubert e Pasteur (inibição
1877 - Joubert e Pasteur (inibição
crescimento antrhax)
crescimento antrhax)
• 1928 - Fleming: Descoberta
1928 - Fleming: Descoberta
penicilina
penicilina
• 1936: Uso sulfonilamidas
1936: Uso sulfonilamidas
• 1940: Florey, Chain e Abraahm
1940: Florey, Chain e Abraahm
isolamento da penicilina.
isolamento da penicilina.
• 1941: Uso clínico penicilina
1941: Uso clínico penicilina
11
11
Classificação - Microrganismos
Classificação - Microrganismos
1) Antibacterianos (Antibióticos e
1) Antibacterianos (Antibióticos e
quimioterápicos)
quimioterápicos)
2) Antifúngicos
2) Antifúngicos
3) Antivirais
3) Antivirais
4) Antiparasitários
4) Antiparasitários
5) Antiprotozoários.
5) Antiprotozoários.
12
12
Classificação ATB p/
Classificação ATB p/
Efeito
Efeito
• BACTERICIDAS: Agem
BACTERICIDAS: Agem
matando os microorganismos
matando os microorganismos
• BACTERIOSTÁTICOS: Agem
BACTERIOSTÁTICOS: Agem
inibindo o crescimento dos
inibindo o crescimento dos
microorganismos
microorganismos.
.
13
13
ESPECTRO DE AÇÃO
ESPECTRO DE AÇÃO
• A) Antibiótico de Pequeno
A) Antibiótico de Pequeno
espectro
espectro – Atuam sobre um grupo
– Atuam sobre um grupo
limitado de microrganismos; Ex.
limitado de microrganismos; Ex.
isoniazida – é ativa somente contra
isoniazida – é ativa somente contra
micobactérias.
micobactérias.
14
14
• B) Espectro Ampliado –
B) Espectro Ampliado –
Antibióticos eficazes contra
Antibióticos eficazes contra
microrganismo Gram-positivos e
microrganismo Gram-positivos e
que também atuam contra um
que também atuam contra um
número significativo de bactérias
número significativo de bactérias
Gram-negativas. Ex. ampicilina
Gram-negativas. Ex. ampicilina
15
15
• C) Amplo Espectro –
C) Amplo Espectro – Atingem
Atingem
ampla variedade de espécies
ampla variedade de espécies
microbianas; Ex. tetraciclina e
microbianas; Ex. tetraciclina e
clorafenicol. A administração de
clorafenicol. A administração de
antibióticos de amplo espectro
antibióticos de amplo espectro
pode alterar drasticamente a
pode alterar drasticamente a
natureza flora bacteriana normal e
natureza flora bacteriana normal e
originar superinfecção de um
originar superinfecção de um
microrganismo
microrganismo
16
16
MECANISMOS DE AÇÃO
MECANISMOS DE AÇÃO
17
17
MECANISMOS DE AÇÃO
MECANISMOS DE AÇÃO
• Inibição da síntese da parede
Inibição da síntese da parede
bacteriana
bacteriana
• Inibição da síntese protéica
Inibição da síntese protéica
• Ação nos ácidos nucléicos
Ação nos ácidos nucléicos
• Inibição da função da membrana
Inibição da função da membrana
citoplasmática
citoplasmática
18
18
19
19
INIBIDORES DA PAREDE CELULAR
INIBIDORES DA PAREDE CELULAR
1.
1. Beta-lactâmicos (penicilinas,
Beta-lactâmicos (penicilinas,
cefalosporinas, carbapenemas,
cefalosporinas, carbapenemas,
monobactâmicos)
monobactâmicos)
2.
2. Glicopeptideos (vancomicina,
Glicopeptideos (vancomicina,
teicoplanina)
teicoplanina)
3.
3. Bacitracina
Bacitracina
4.
4. Cicloserina
Cicloserina
20
20
BETALACTÂMICOS
BETALACTÂMICOS
• ANEL BETALACTÂMICO
ANEL BETALACTÂMICO:
:
Afinidade por proteínas da
Afinidade por proteínas da
parede celular bacteriana,
parede celular bacteriana,
levando a destruição da mesma,
levando a destruição da mesma,
por inibição da produção de
por inibição da produção de
mucopeptídeos, levando a morte
mucopeptídeos, levando a morte
celular por ruptura do equilíbrio
celular por ruptura do equilíbrio
osmótico do microorganismo.
osmótico do microorganismo.
21
21
O
NH
CO
S
COOH
N
R
BETALACTÂMICOS
BETALACTÂMICOS
22
22
ANTIBIÓTICOS BETA-LACTÂMICOS
ANTIBIÓTICOS BETA-LACTÂMICOS
• PENICILINAS
PENICILINAS
• CEFALOSPORINAS
CEFALOSPORINAS
• CARBAPENÊMICOS
CARBAPENÊMICOS
• MONOBACTÂMICOS
MONOBACTÂMICOS
• INIBIDORES
INIBIDORES
BETALACTAMASES
BETALACTAMASES
23
23
Inibidores da Síntese da Parede
Inibidores da Síntese da Parede
Citoplasma
síntese
de
precursores
da
parede
UDP
NAG
NAM
D- ala
D- ala
L- alanina
Ácido D-glutamico
L- lisina
Cicloserina
24
24
Cicloserina
•inibe as reacões envolvidas
•na incorporação de D-ala-D-ala
•na cadeia tripeptídica de NAM
25
25
Membrana
citoplasmática
síntese de novas
subunidades
ligadas ao lípídeo
transportador
Glicopeptídeos
Ligam-se a resíduos de D-ala-D-ala,
prevenindo a incorporação de subunidades de
peptidoglicano crescente
Bacitracina
Previne a desfosforilação
do fosfolipídeo transportador,
impedindo a regeneração do
mesmo para a síntese continuar
C55 lipídeo
NAG NAM P P
L- lisina
Inibidores da Síntese da Parede
26
26
Glicopeptídeos
•Ligam-se a resíduos de D-ala-
D-ala, prevenindo a
incorporação de subunidades
de peptidoglicano crescente
C55 lipídeo
NAG NAM P P
L- lisina
- Vancomicina
- Teicoplanina
27
27
Bacitracina
•Previne a desfosforilação do
fosfolipídeo transportador,
impedindo a regeneração do
mesmo para a síntese continuar
C55 lipídeo
NAG NAM P P
L- lisina
28
28
Atividade dos Glicopeptídeos
Atividade dos Glicopeptídeos
• Moléculas polares grandes;
• São ativos contra MRSA;
• Vancomicina oral é utilizada para
Clostridium difficile;
•E.coli e Pseudomonas = RESISTENTES
•Staphylococcus, Streptococcus e
Enterococcus = SENSÍVEL
• Vancomicina é nefrotóxica (teicoplanina
é menos).
29
29
ligação de novas
unidades de parede ao
peptidoglicano crescente
Beta-lactâmicos
inibem as enzimas que
catalisam a transpeptidação e
outras reações da etapa final
da síntese da parede
NAG
NAM
NAG
NAM
D-
ala
Inibidores da Síntese da Parede
30
30
Antibióticos Beta-lactâmicos
Antibióticos Beta-lactâmicos
• Todos agem por ligação em PBPs
Todos agem por ligação em PBPs
(penicillin-binding proteins)
(penicillin-binding proteins)
• PBPs são enzimas envolvidas na
PBPs são enzimas envolvidas na
ligação das cadeias peptídicas da
ligação das cadeias peptídicas da
parede
parede
31
31
Antibióticos Beta-lactâmicos
Antibióticos Beta-lactâmicos
• Bactérias diferentes podem ter PBPs
Bactérias diferentes podem ter PBPs
distintas
distintas
• O espectro de atividade dependerá da
O espectro de atividade dependerá da
capacidade de ligação do antibiótico à
capacidade de ligação do antibiótico à
PBP do microrganismo
PBP do microrganismo
32
32
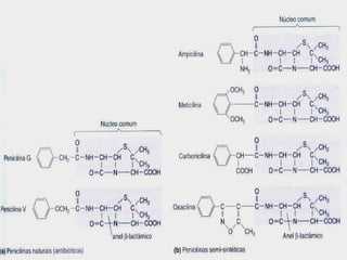
PENICILINAS
PENICILINAS
• BENZILPENICILINAS
BENZILPENICILINAS
• FENOXIMETILPENICILINA
FENOXIMETILPENICILINA
• AMPICILINA / AMOXICILINA
AMPICILINA / AMOXICILINA
• OXACILINA / CLOXACILINA /
OXACILINA / CLOXACILINA /
DICLOXACILINA
DICLOXACILINA
• CARBENICILINA E TICARCILINA
CARBENICILINA E TICARCILINA
• AZLOCILINA / MEZLOCILINA /
AZLOCILINA / MEZLOCILINA /
PIPERACILINA
PIPERACILINA
33
33
34
34
PENICILINAS
PENICILINAS
• NATURAIS: BENZILPENICILINAS
NATURAIS: BENZILPENICILINAS
(Uso injetável)
(Uso injetável)
Penicilina G Cristalina
Penicilina G Cristalina
Penicilina G Procaína
Penicilina G Procaína
Penicilina G Benzatina
Penicilina G Benzatina
FENOXIMETILPENICILINA (Uso
FENOXIMETILPENICILINA (Uso
Oral)
Oral)
35
35
PENICILINAS
PENICILINAS
Espectro de Ação
Espectro de Ação
• PEQUENO.
PEQUENO.
• Cocos GRAM + (Streptococos e
Cocos GRAM + (Streptococos e
pneumococos)
pneumococos)
• Cocos GRAM – (Neisseria
Cocos GRAM – (Neisseria
meningitides)
meningitides)
• Bacilos GRAM +
Bacilos GRAM +
• Anaeróbios
Anaeróbios
• Treponema Pallidum
Treponema Pallidum
36
36
OXACILINA
OXACILINA
• Penicilina Penicilinase-resistente
Penicilina Penicilinase-resistente
• Ação contra Estafilococos (s.
Ação contra Estafilococos (s.
aureus) produtor de penicilinases
aureus) produtor de penicilinases
• Uso Hospitalar
Uso Hospitalar
• Staphylococcus Epidermidis -
Staphylococcus Epidermidis -
resistente em 40 a 60% casos.
resistente em 40 a 60% casos.
• Nome Comercial: Staficilin-N (500
Nome Comercial: Staficilin-N (500
mg)
mg)
• Intervalos: 4/4 a 6/6 hs
Intervalos: 4/4 a 6/6 hs
37
37
CARBENICILINA/TICARCILIN
CARBENICILINA/TICARCILIN
A/ PIPERACILINA
A/ PIPERACILINA
PENICILINAS
PENICILINAS
ANTIPSEUDOMONAS
ANTIPSEUDOMONAS
38
38
CEFALOSPORINAS
CEFALOSPORINAS
• Como todos os antibióticos beta-lactam
Como todos os antibióticos beta-lactam
(e.g. penicilinas), as cefalosporinas
(e.g. penicilinas), as cefalosporinas
interferem na sintese da parede celular
interferem na sintese da parede celular
de
de peptidoglicano
peptidoglicano via inibição de
via inibição de enzimas
enzimas
envolvidas no processo de
envolvidas no processo de
transpeptidação
transpeptidação
• Há resistência em algumas estirpes
Há resistência em algumas estirpes
devido a disseminação de
devido a disseminação de plasmídeos
plasmídeos que
que
codificam o
codificam o gene
gene da proteína beta-
da proteína beta-
lactamase, que destrói o antibiótico antes
lactamase, que destrói o antibiótico antes
que possa ter efeitos.
que possa ter efeitos.
39
39
CEFALOSPORINAS
CEFALOSPORINAS
• Foram isoladas de culturas de
Foram isoladas de culturas de
Cephalosporium
Cephalosporium acremonium
acremonium de um
de um
esgoto na ilha italiana de
esgoto na ilha italiana de Sardenha
Sardenha
em
em 1948
1948 pelo italiano
pelo italiano Giuseppe
Giuseppe
Brotzu
Brotzu. Ele reparou que em cultura
. Ele reparou que em cultura
inibiam a
inibiam a Salmonella
Salmonella typhi
typhi
• A farmacêutica
A farmacêutica Eli
Eli Lilly
Lilly lançou as
lançou as
primeiras cefalosporinas na década
primeiras cefalosporinas na década
de
de 1960
1960.
.
40
40
• Cefazolina
Cefazolina
• Cefalotina
Cefalotina
• Cefapirina
Cefapirina
• Cefalexina
Cefalexina
• Cefradina
Cefradina
• Cefadroxil
Cefadroxil
1ª Geração
1ª Geração
• Cefamandol
• Cefuroxima
• Cefonicide
• Ceforanide
• Cefaclor
• Cefprozil
• Loracarbefe
• Cefpodoxime
• Cefotetam
2ª Geração
41
41
Espectro Cefalosporinas
Espectro Cefalosporinas
de 1
de 1a
a
Geração
Geração
• Cocos aeróbios Gram (+) (exceto
Cocos aeróbios Gram (+) (exceto
enterococo)
enterococo)
• Estafilococo produtor de penicilinase,
Estafilococo produtor de penicilinase,
mas não sobre os oxacilina-
mas não sobre os oxacilina-
resistentes.
resistentes.
• Sensíveis: E.coli, P. mirabilis,
Sensíveis: E.coli, P. mirabilis,
Klebsiella pneumoniae.
Klebsiella pneumoniae.
• Resistentes: P.aeruginosa e
Resistentes: P.aeruginosa e
Haemophylus influenzae.
Haemophylus influenzae.
42
42
Cefalosporinas de 2
Cefalosporinas de 2a
a
Geração
Geração
Cefoxitina (Mefoxin), Cefaclor (ceclor),
Cefoxitina (Mefoxin), Cefaclor (ceclor),
Cefuroxima (Zinacef)
Cefuroxima (Zinacef)
• Menos ativas que as de 1
Menos ativas que as de 1a
a
geração
geração
contra cocos Gram (+); Maior
contra cocos Gram (+); Maior
atividade contra bacilos Gram (-).
atividade contra bacilos Gram (-).
• Induz betalactamases, perdeu
Induz betalactamases, perdeu
atividade contra Bacteroides fragilis
atividade contra Bacteroides fragilis
• Profilaxia cirurgias colorretais
Profilaxia cirurgias colorretais.
.
43
43
• Ceftriaxona
Ceftriaxona
• Cefotaxima
Cefotaxima
• Ceftizoxima
Ceftizoxima
• Ceftazidima
Ceftazidima
• Cefoperazona
Cefoperazona
• Ceftibuteno
Ceftibuteno
• Cefixima
Cefixima
• Cefatamet
Cefatamet
3ª Geração
3ª Geração
•Cefipima
•Cefpiroma
4ª Geração
44
44
Cefalosporinas de 3
Cefalosporinas de 3a
a
Geração
Geração
Cefotaxima (Claforan), Ceftriaxona
Cefotaxima (Claforan), Ceftriaxona
(Rocefin), Ceftazidima(Fortaz)
(Rocefin), Ceftazidima(Fortaz)
• Maior eficácia sobre bacilos Gram -
Maior eficácia sobre bacilos Gram -
como Enterobacteriaceas
como Enterobacteriaceas
• Utilizados em infecções graves.
Utilizados em infecções graves.
• Alto Custo.
Alto Custo.
• Ceftriaxona e Cefotaxima utilizadas
Ceftriaxona e Cefotaxima utilizadas
p/ tratamento de meningites
p/ tratamento de meningites
45
45
Cefalosporinas de 4
Cefalosporinas de 4a
a
Geração
Geração
• Mesma actividade contra Gram-
Mesma actividade contra Gram-
negativas, mas com maior potencia
negativas, mas com maior potencia
para
para Gram-positivas
Gram-positivas do que os de
do que os de
terceira geração. Mais resistentes à
terceira geração. Mais resistentes à
degradação por beta-lactamase
degradação por beta-lactamase
(mais eficazes contra estirpes
(mais eficazes contra estirpes
parcialmente resistentes).
parcialmente resistentes).
• Maior atividade contra Pseudomonas
Maior atividade contra Pseudomonas
e enterobacteriáceas.
e enterobacteriáceas.
46
46
MONOBACTÂMICOS
MONOBACTÂMICOS
AZTREONAM (Azactam)
AZTREONAM (Azactam)
• Germes aeróbios Gram (-):
Germes aeróbios Gram (-):
enterobacteriáceas, H.influenzae,
enterobacteriáceas, H.influenzae,
Neisseria Gonorrhoeae.
Neisseria Gonorrhoeae.
• Não tem ação sobre Gram (+) e
Não tem ação sobre Gram (+) e
anaeróbios. Alternativa em
anaeróbios. Alternativa em
tratamento de infecções graves
tratamento de infecções graves
hospitalares por germes Gram (-).
hospitalares por germes Gram (-).
47
47
CARBAPENÊMICOS
CARBAPENÊMICOS
IMIPENEM (Tienan) e MEROPENEM
IMIPENEM (Tienan) e MEROPENEM
(Meronen)
(Meronen)
• ATBs de maior espectro
ATBs de maior espectro
antibacteriano que existem.
antibacteriano que existem.
• Opções excepcionais em infecções
Opções excepcionais em infecções
mistas por germes
mistas por germes
multirresistentes (restrito a uso em
multirresistentes (restrito a uso em
CTI de grandes hospitais)
CTI de grandes hospitais)
48
48
RESISTÊNCIA AOS
RESISTÊNCIA AOS
BETALACTÂMICOS
BETALACTÂMICOS
 MODIFICAÇÃO DE PROTEÍNAS
MODIFICAÇÃO DE PROTEÍNAS
 IMPERMEABILIDADE CELULAR
IMPERMEABILIDADE CELULAR
 PRODUÇÃO DE
PRODUÇÃO DE
BETALACTAMASES
BETALACTAMASES
49
49
Inibidores de Beta-lactamases
Inibidores de Beta-lactamases
• Ácido clavulânico:
Ácido clavulânico: usado com
usado com
amoxicilina ou c/ ticarcilina
amoxicilina ou c/ ticarcilina
• Sulbactam:
Sulbactam: usado com ampicilina
usado com ampicilina
• Tazobactam:
Tazobactam: usado com piperacilina
usado com piperacilina
50
50
Inibidores de betalactamases
Inibidores de betalactamases
• Amoxicilina/clavulanato e
Amoxicilina/clavulanato e
Ampicilina/sulbactam:
Ampicilina/sulbactam:
• Usado em otites, sinusites e DBPOC
Usado em otites, sinusites e DBPOC
infectado com maior atividade
infectado com maior atividade
contra Haemophilus influenzae.
contra Haemophilus influenzae.
• Primeira escolha em mordidas
Primeira escolha em mordidas
humanas e de animais.
humanas e de animais.
• Estafilococos sensíveis a meticilina
Estafilococos sensíveis a meticilina.
.
51
51
Inibidores da Síntese Protéica
Inibidores da Síntese Protéica
• As subunidades ribossômicas
As subunidades ribossômicas
envolvidas na tradução em
envolvidas na tradução em
procariotos são menores (30S &
procariotos são menores (30S &
50S) do que em eucariotos (40S
50S) do que em eucariotos (40S
& 60S)
& 60S)
52
52
53
53
Inibidores da Síntese Protéica
Inibidores da Síntese Protéica
• Aminoglicosídeos: amicacina,
canamicina, espectinomicina,
estreptomicina, gentamicina, neomicina,
netilmicina, tobramicina
• Tetraciclinas: tetraciclina,
clortetraciclina, oxitetraciclina, doxiciclina,
minociclina
54
54
Inibidores da Síntese Protéica
Inibidores da Síntese Protéica
• Macrolídeos:
Macrolídeos: eritromicina,
eritromicina,
azitromicina, claritromicina,
azitromicina, claritromicina,
roxitromicina
roxitromicina
• Cloranfenicol
Cloranfenicol
• Ácido fusídico
Ácido fusídico
55
55
AMINOGLICOSÍDEOS
AMINOGLICOSÍDEOS
• Principal alternativa no tratamento da
Principal alternativa no tratamento da
sepse grave;
sepse grave;
• Não são absorvidos pela via oral;
Não são absorvidos pela via oral;
• Entrada na bactéria está relacionado a
Entrada na bactéria está relacionado a
um mecanismo de transporte oxigênio-
um mecanismo de transporte oxigênio-
dependente (ausente em estreptococos,
dependente (ausente em estreptococos,
enterococos e anaeróbios);
enterococos e anaeróbios);
• São nefrotóxicos e ototóxicos.
São nefrotóxicos e ototóxicos.
56
56
MACROLÍDEOS
MACROLÍDEOS
• Eritromicina
Eritromicina
• Azitromicina
Azitromicina
• Claritromicina
Claritromicina
CH3
CH3
OH
CH3
O
CH3
O
O
H5C2
H3C
HO
HO
H3C
O
O
OH N(CH3)
CH3
O
O
CH3
OCH3
OH
57
57
MACROLÍDEOS
MACROLÍDEOS
• Macrolídeos recentes inibem
Macrolídeos recentes inibem
Mycobacterium
Mycobacterium, protozoários (
, protozoários (T. gondii,
T. gondii,
E. histolytica, P. falciparum
E. histolytica, P. falciparum),
),
Campylobacter
Campylobacter,
, Helicobacter
Helicobacter,
, Borrelia
Borrelia,
,
Neisseria
Neisseria & outros patógenos genitais;
& outros patógenos genitais;
• Boa atividade contra patógenos
Boa atividade contra patógenos
respiratórios e genito-urinários;
respiratórios e genito-urinários;
• Complicações no trato GI,
Complicações no trato GI,
principalmente; eritromicina.
principalmente; eritromicina.
58
58
TETRACICLINAS
TETRACICLINAS
Natural: clortetraciclina,
oxitetraciclina e
tetraciclina
Semi-sintéticas:
doxiciclina, minociclina
OH O OH O
OH
R1 R2 R3 R4
CONH2
OH
Inibem a síntese
protéica
prevenindo o
amino-acil tRNA de
entrar no sítio
aceptor do
ribossomo
59
59
TETRACICLINAS
TETRACICLINAS
• Ativas contra Gram (+), Gram (-),
Ativas contra Gram (+), Gram (-),
Chlamydia
Chlamydia,
, Rickettsia
Rickettsia,
, Coxiella
Coxiella,
,
espiroquetas, algumas micobactérias,
espiroquetas, algumas micobactérias,
E histolytica
E histolytica & plasmódios;
& plasmódios;
• Efeitos na dentição (quelante de
Efeitos na dentição (quelante de
Ca
Ca+2
+2
);
);
• É comum intolerância no trato GI.
É comum intolerância no trato GI.
60
60
CLORANFENICOL
CLORANFENICOL
• Núcleo Nitrobenzeno –
Núcleo Nitrobenzeno – Bloqueia a
Bloqueia a
peptidil transferase, bloqueando assim a
peptidil transferase, bloqueando assim a
ligação peptídica
ligação peptídica
• Bacteriostáticos
Bacteriostáticos contra Gram (+),
contra Gram (+),
muitos Gram (-) (exceto
muitos Gram (-) (exceto P. aeruginosa
P. aeruginosa),
),
leptospiras,
leptospiras, T. pallidum
T. pallidum, clamídias,
, clamídias,
micoplasmas, rickétsias e vários
micoplasmas, rickétsias e vários
anaeróbios
anaeróbios
• Agente de segunda escolha
Agente de segunda escolha devidos
devidos
aos efeitos na medula
aos efeitos na medula
61
61
Ácido Fusídico
Ácido Fusídico
• Ativo contra a maioria dos cocos
Ativo contra a maioria dos cocos
Gram (+) e Gram (-), incluindo os
Gram (+) e Gram (-), incluindo os
MRSA
MRSA
• Tem atividade contra micobacterias,
Tem atividade contra micobacterias,
G.
G. lamblia e
lamblia e P. falciparum
P. falciparum
• Utilizado em algumas infecções
Utilizado em algumas infecções
estafilocócicas e topicamente
estafilocócicas e topicamente
62
62
AÇÃO NO ÁCIDO NUCLÉICO
AÇÃO NO ÁCIDO NUCLÉICO
63
63
Atividade em Ácidos Nucleicos
Atividade em Ácidos Nucleicos
• Inibição da síntese de precursores:
Inibição da síntese de precursores:
Sulfonamidas e Trimetoprima
Sulfonamidas e Trimetoprima
• Inibição da replicação de DNA:
Inibição da replicação de DNA:
Quinolonas
Quinolonas
• Inibição da RNA polimerase:
Inibição da RNA polimerase:
Rifampicina
Rifampicina
64
64
Inibição da Síntese de Precursores
Inibição da Síntese de Precursores
• Trimetoprima -
Trimetoprima - inibe a síntese do
inibe a síntese do
folato necessário para a síntese das
folato necessário para a síntese das
purinas e pirimidinas por inibição
purinas e pirimidinas por inibição
enzimática
enzimática
• Sulfonamidas -
Sulfonamidas - também inibe o folato,
também inibe o folato,
só que em etapa distinta
só que em etapa distinta
65
65
Inibição da Síntese de Precursores
Inibição da Síntese de Precursores
síntese do ácido tetrahidrofólico
síntese do ácido tetrahidrofólico
NH2
SO2NH
PABA
Di-hidropteroato
sintetase
Ácido p-amino benzóico
(PABA) + pteridina
Ácido di-hidropteróico
NH2
COOH
Sulfonamidas
X
Inibição por analogia estrutural
66
66
Síntese do Ácido Tetrahidrofólico
Síntese do Ácido Tetrahidrofólico
(Cont.)
(Cont.)
Di-hidrofolato
sintetase
Ácido di-hidropteróico
Ácido Di-hidrofólico
L-glutamina
67
67
Síntese do Ácido Tetrahidrofólico
Síntese do Ácido Tetrahidrofólico
(Cont.)
(Cont.)
N
N
H2N
NH2
OCH3
OCH3
OCH3
Trimetoprima
Di-hidrofolato
redutase
Ácido di-hidrofólico
Ácido
tetrahidrofólico (THFA)
X
N
N
H2N
OH
CH2NH C
N
glu
Ácido Fólico
O
68
68
Síntese do Ácido Tetrahidrofólico
Síntese do Ácido Tetrahidrofólico
(Cont.)
(Cont.)
Ácido tetrahidrofólico
(THFA)
Pirimidinas Purinas
69
69
Inibidores da Replicação do DNA
Inibidores da Replicação do DNA
• Quinolonas (ác. nalidixico,
Quinolonas (ác. nalidixico,
ciprofloxacina, norfloxacina, etc)
ciprofloxacina, norfloxacina, etc)
- agentes que afetam a DNA girase
- agentes que afetam a DNA girase
• DNA girase é necessária para o
DNA girase é necessária para o
espiralamneto do DNA
espiralamneto do DNA
70
70
Outros Agentes que Afetam Ác.
Outros Agentes que Afetam Ác.
Nucléicos
Nucléicos
• Rifamicinas (rifampicina) -
Rifamicinas (rifampicina) -
inibidores específicos da RNA
inibidores específicos da RNA
polimerase DNA-dependente
polimerase DNA-dependente
(bloqueia a formação de mRNA).
(bloqueia a formação de mRNA).
• Nitroimidazóis (metronidazol) -
Nitroimidazóis (metronidazol) -
Quando reduzidos, reagem com o
Quando reduzidos, reagem com o
DNA, oxidando-o e causando ruptura
DNA, oxidando-o e causando ruptura
da molécula.
da molécula.
71
71
Lesão à Membrana Citoplasmática
Lesão à Membrana Citoplasmática
• Polimixina B:
Polimixina B: representante dos
representante dos
antibióticos polipeptídicos; Efetivo
antibióticos polipeptídicos; Efetivo
contra Gram (-). Tem atividade
contra Gram (-). Tem atividade
contra
contra P. aeruginosa;
P. aeruginosa;
• Anfotericinas
Anfotericinas
• Ionóforos
Ionóforos
72
72
73
73
74
74
ANTIVIRAIS
ANTIVIRAIS
• HIV
HIV
• Hepatites B e C
Hepatites B e C
• Herpes virus: HSV, VZV, CMV
Herpes virus: HSV, VZV, CMV
• Influenza
Influenza
• RSV
RSV
• Febre Lassa
Febre Lassa
Condições para o Emprego
Condições para o Emprego
de Antivirals
de Antivirals
75
75
Antivirais contra HIV
Antivirais contra HIV
•Abacavir
•Didanosine
•Lamivudine
•Stavudine
•Zalcitabine
•Zidovudine
•Inibidores de
Protease
•Indinavir
•Nelfinavir
•Ritonavir
•Saquinavir
76
76
Antivirais contra vírus
Antivirais contra vírus
respiratórios
respiratórios
Influenza
Amantadine
Rimantadine
Zanamivir
Oseltamivir
Parainfluenza
?Ribavirin
RSV
Ribavirin
77
77
Medicamentos Antimicoticos
Medicamentos Antimicoticos
• Daktacorte;
Daktacorte;
• Nistatina;
Nistatina;
• Miconazol;
Miconazol;
• Griseofluvina;
Griseofluvina;
78
78
Daktacorte
Daktacorte:
:
• Indicações: infecções da pele,
Indicações: infecções da pele,
causadas por dermatofitos ou
causadas por dermatofitos ou
leveduras.
leveduras.
• RAM: irritação cutânea que
RAM: irritação cutânea que
desaparece logo após a interrupção
desaparece logo após a interrupção
do tratamento.
do tratamento.
79
79
•NISTATINA
•Indicação: candidiase oral e
vulvovaginal.
•RAM: diarréia, vomito, náuseas,
gosto amargo na boca.
• MICONASOL:
MICONASOL:
• Indicação: Ptiriase e Eritasma.
Indicação: Ptiriase e Eritasma.
• RAM: ardor e prurido local.
RAM: ardor e prurido local.
80
80
•Indicação: para tratar infecções da
pele, couro cabeludo e das unhas.
RAM: alergia com lesões da pele,
enjôo, vômitos, diarréia, dores de
cabeça, alterações das células
sanguíneas.
•GRISEOFLUVINA:
GRISEOFLUVINA:
81
81
ANTIPROTOZOÁRIOS
Os principais protozoários que
produzem doenças em seres
humanos são aqueles que causam
Malária, Amebíase, Leishaniose,
Tripanossomíase e Tricomoníase.
82
82
Cloridrato de cloroquina, fosfato de cloroquina e
sulfato de hidroxicloroquina (derivados da 4-
aminoquinolina).
 Cloridrato de mefloquina.
 Fosfato de primaquina (derivado da 8-aminoquinolona
 Gliconato de quinidina e sulfato de quinina.
FÁRMACOS ANTIMALÁRICOS
A cloroquina e a hidroxicloroquina, tem a
capacidade de interromper a síntese se
proteína no parasita.
83
83
A HIDROXICLOROQUINA: constitui uma
alternativa quando não se dispõe de
cloroquina. Para tratar malaria causada por
cepas de P. falciparum resistentes à
cloroquina a múltiplos fármacos, a quinina
constituem o fármacos de escolha e é
administrada com agentes anti-maláricos de
ação mais lenta.
A PRIMAQUINA: é o fármaco de escolha em
combinação com a cloroquina no tratamento
da malária por P. malária, P. vivax e P. ovale.
84
84
A MEFLOQUINA: é utilizada para
tratar malária causada por P.
falciparum e também na profilaxia de
infecções pelo parasita da malária,
incluindo cepas de P. falciparum
resistentes a cloroquina.
A QUINIDINA: deve ser administrada
por via parenteral no tratamento de
malária em pacientes que não podem
tolerar a terapia oral.
85
85
ATOVAQUONA: Inibe o transporte de
elétrons, causando redução da atividade de
várias enzimas das mitocôndrias. Por sua
vez, esse efeito inibe a síntese de ácido
nucléico e do trifosfato de adenosina.
86
86
FURAZOLIDONA: Pode matar as
bactérias e protozoários ao interferir em
seus sistemas enzimáticos e ao inibir a
monoamina oxidase.
IODOQUINOL: É um amebicida de
contato, que atua diretamente sobre os
protozoários presentes no TGI.
87
87
MERTONIDAZOL: Destrói as bactérias, as
amebas e o trichomonas ao romper o DNA
e ao inibir a síntese de ácidos nucléicos,
causando finalmente a morte celular.
PENTAMIDINA: Interferem na síntese de
DNA, RNA, fosfolipídio e proteínas pelos
microrganismos.
88
88
Os fármacos anti-helmínticos atuam
por narcose ou paralisia do verme, ou
lesando a sua cutícula, acarretando na
digestão parcial ou rejeição do verme
por mecanismos imunológicos.
ANTI-
HELMINTICOS:
89
89
BENZIMIDAZÓIS: Incluem
mebendazol, tiabendazol e albendazol.
Representam agentes de largo espectro e
constituem um dos principais grupos de
anti-helmínticos utilizados na clínica. O
mebendazol é rapidamente absorvido por
via oral. O tiabendazol é rapiudamente
absorvido pelo trato gastrintestinal.
90
90
PIPERAZINA: é utilizada para tratar
as infecções causadas por nematóides
(Ascaris lumbricoides e Enterobius
Vermicularis).
Inibe a transmissão neuromuscular no
verme de forma reversível,
provavelmente ao atuar como GABA, o
neurotransmissor inibidor. Os vermes
são expelidos ainda vivos.
91
91
OXAMNIQUINA: é utilizada no
tratamento da esquistossomose; seu
mecanismo de ação pode envolver a
intercalação no DNA, enquanto a sua
ação a capacidade do parasita em
concertar substancias.

8antimicrobianos-13408072750718-phpapp01-120627092855-phpapp01.pdf

  • 1.
  • 2.
    2 2 ANTIMICROBIANOS ANTIMICROBIANOS • Substâncias químicasque inibem Substâncias químicas que inibem o crescimento ou provocam a o crescimento ou provocam a destruição dos microorganismos. destruição dos microorganismos. • Produzidos através de Produzidos através de microorganismos como bactérias, microorganismos como bactérias, fungos, e outros, ou sintetizados fungos, e outros, ou sintetizados total ou parcialmente. total ou parcialmente. • Uma das drogas mais utilizadas Uma das drogas mais utilizadas na terapêutica na terapêutica
  • 3.
    3 3 • Segundo WAKSMAN(1942), os Segundo WAKSMAN (1942), os ANTIBIÓTICOS são substâncias ANTIBIÓTICOS são substâncias produzidos originalmente pelo fungos produzidos originalmente pelo fungos e bactérias, tendo como propriedade e bactérias, tendo como propriedade comum a atividade bactericida ou comum a atividade bactericida ou bacteriostática em condições bacteriostática em condições propícias, em germes sensíveis. São propícias, em germes sensíveis. São drogas utilizadas no tratamento de drogas utilizadas no tratamento de doenças infecciosas, assim como os doenças infecciosas, assim como os quimioterápicos. quimioterápicos.
  • 4.
    4 4 ANTIBIÓTICOS: ANTIBIÓTICOS: • Fungos: griseofulvina,penicilina Fungos: griseofulvina, penicilina • bactérias: polimixina B, bacitracina bactérias: polimixina B, bacitracina • Streptomices: Streptomices: estreptomicina estreptomicina • Microspora Microspora: gentamicina: : gentamicina: Atividade bactericida =inativação de Atividade bactericida =inativação de todos microrganismos todos microrganismos Bacteriostática =controle do Bacteriostática =controle do crescimento bacteriano crescimento bacteriano
  • 5.
    5 5 HISTÓRICO HISTÓRICO • Os primeirosconhecimentos acerca Os primeiros conhecimentos acerca dos antibióticos devem-se a Pasteur e dos antibióticos devem-se a Pasteur e Jouber, em 1877. Jouber, em 1877. • FLEMING FLEMING (1928) contribuiu (1928) contribuiu valorosamente com o primeiro valorosamente com o primeiro componente através da contaminação componente através da contaminação acidental de uma colônia de acidental de uma colônia de estafilococos que foi lisada pelo estafilococos que foi lisada pelo Penicilium notatum Penicilium notatum. .
  • 6.
    6 6 HISTÓRICO HISTÓRICO • A eramoderna da quimioterapia A era moderna da quimioterapia antimicrobiana inicia-se em 1936 com antimicrobiana inicia-se em 1936 com a introdução, na clínica, das a introdução, na clínica, das sulfonamidas. sulfonamidas. • Em 1941, a introdução da Em 1941, a introdução da PENICILINA PENICILINA tornou-se um marco tornou-se um marco histórico na Medicina por revolucionar histórico na Medicina por revolucionar os princípios terapêuticos até então os princípios terapêuticos até então usados nas doenças infecciosas. usados nas doenças infecciosas.
  • 7.
    7 7 • Em 1941 Em1941 FLOREY, CHAIM FLOREY, CHAIM et cols. et cols. iniciaram a utilização experimental iniciaram a utilização experimental desta substância no tratamento de desta substância no tratamento de processos infecciosos em seres processos infecciosos em seres humanos. Atualmente a maioria dos humanos. Atualmente a maioria dos antibióticos são produzidos antibióticos são produzidos sinteticamente , sinteticamente ,
  • 8.
    8 8 • PASTEUR PASTEUR (1877)observou que (1877) observou que algumas colônias eram capazes de algumas colônias eram capazes de produzir substâncias antagônicas a produzir substâncias antagônicas a outros microorganismos. outros microorganismos.
  • 9.
    9 9 • Dentre osagentes Dentre os agentes antimicrobianos (desinfetantes, antimicrobianos (desinfetantes, compostos fenílicos, iodados e compostos fenílicos, iodados e outros) utilizados nos primórdios outros) utilizados nos primórdios da humanidade, muitos da humanidade, muitos apresentavam elevada toxidade apresentavam elevada toxidade relativa ao paciente, isto foi o que relativa ao paciente, isto foi o que motivou os pesquisadores a motivou os pesquisadores a desenvolverem drogas com desenvolverem drogas com propriedades mais seletivas e de propriedades mais seletivas e de menor toxidade ao paciente. menor toxidade ao paciente.
  • 10.
    10 10 • 1877 -Joubert e Pasteur (inibição 1877 - Joubert e Pasteur (inibição crescimento antrhax) crescimento antrhax) • 1928 - Fleming: Descoberta 1928 - Fleming: Descoberta penicilina penicilina • 1936: Uso sulfonilamidas 1936: Uso sulfonilamidas • 1940: Florey, Chain e Abraahm 1940: Florey, Chain e Abraahm isolamento da penicilina. isolamento da penicilina. • 1941: Uso clínico penicilina 1941: Uso clínico penicilina
  • 11.
    11 11 Classificação - Microrganismos Classificação- Microrganismos 1) Antibacterianos (Antibióticos e 1) Antibacterianos (Antibióticos e quimioterápicos) quimioterápicos) 2) Antifúngicos 2) Antifúngicos 3) Antivirais 3) Antivirais 4) Antiparasitários 4) Antiparasitários 5) Antiprotozoários. 5) Antiprotozoários.
  • 12.
    12 12 Classificação ATB p/ ClassificaçãoATB p/ Efeito Efeito • BACTERICIDAS: Agem BACTERICIDAS: Agem matando os microorganismos matando os microorganismos • BACTERIOSTÁTICOS: Agem BACTERIOSTÁTICOS: Agem inibindo o crescimento dos inibindo o crescimento dos microorganismos microorganismos. .
  • 13.
    13 13 ESPECTRO DE AÇÃO ESPECTRODE AÇÃO • A) Antibiótico de Pequeno A) Antibiótico de Pequeno espectro espectro – Atuam sobre um grupo – Atuam sobre um grupo limitado de microrganismos; Ex. limitado de microrganismos; Ex. isoniazida – é ativa somente contra isoniazida – é ativa somente contra micobactérias. micobactérias.
  • 14.
    14 14 • B) EspectroAmpliado – B) Espectro Ampliado – Antibióticos eficazes contra Antibióticos eficazes contra microrganismo Gram-positivos e microrganismo Gram-positivos e que também atuam contra um que também atuam contra um número significativo de bactérias número significativo de bactérias Gram-negativas. Ex. ampicilina Gram-negativas. Ex. ampicilina
  • 15.
    15 15 • C) AmploEspectro – C) Amplo Espectro – Atingem Atingem ampla variedade de espécies ampla variedade de espécies microbianas; Ex. tetraciclina e microbianas; Ex. tetraciclina e clorafenicol. A administração de clorafenicol. A administração de antibióticos de amplo espectro antibióticos de amplo espectro pode alterar drasticamente a pode alterar drasticamente a natureza flora bacteriana normal e natureza flora bacteriana normal e originar superinfecção de um originar superinfecção de um microrganismo microrganismo
  • 16.
  • 17.
    17 17 MECANISMOS DE AÇÃO MECANISMOSDE AÇÃO • Inibição da síntese da parede Inibição da síntese da parede bacteriana bacteriana • Inibição da síntese protéica Inibição da síntese protéica • Ação nos ácidos nucléicos Ação nos ácidos nucléicos • Inibição da função da membrana Inibição da função da membrana citoplasmática citoplasmática
  • 18.
  • 19.
    19 19 INIBIDORES DA PAREDECELULAR INIBIDORES DA PAREDE CELULAR 1. 1. Beta-lactâmicos (penicilinas, Beta-lactâmicos (penicilinas, cefalosporinas, carbapenemas, cefalosporinas, carbapenemas, monobactâmicos) monobactâmicos) 2. 2. Glicopeptideos (vancomicina, Glicopeptideos (vancomicina, teicoplanina) teicoplanina) 3. 3. Bacitracina Bacitracina 4. 4. Cicloserina Cicloserina
  • 20.
    20 20 BETALACTÂMICOS BETALACTÂMICOS • ANEL BETALACTÂMICO ANELBETALACTÂMICO: : Afinidade por proteínas da Afinidade por proteínas da parede celular bacteriana, parede celular bacteriana, levando a destruição da mesma, levando a destruição da mesma, por inibição da produção de por inibição da produção de mucopeptídeos, levando a morte mucopeptídeos, levando a morte celular por ruptura do equilíbrio celular por ruptura do equilíbrio osmótico do microorganismo. osmótico do microorganismo.
  • 21.
  • 22.
    22 22 ANTIBIÓTICOS BETA-LACTÂMICOS ANTIBIÓTICOS BETA-LACTÂMICOS •PENICILINAS PENICILINAS • CEFALOSPORINAS CEFALOSPORINAS • CARBAPENÊMICOS CARBAPENÊMICOS • MONOBACTÂMICOS MONOBACTÂMICOS • INIBIDORES INIBIDORES BETALACTAMASES BETALACTAMASES
  • 23.
    23 23 Inibidores da Sínteseda Parede Inibidores da Síntese da Parede Citoplasma síntese de precursores da parede UDP NAG NAM D- ala D- ala L- alanina Ácido D-glutamico L- lisina Cicloserina
  • 24.
    24 24 Cicloserina •inibe as reacõesenvolvidas •na incorporação de D-ala-D-ala •na cadeia tripeptídica de NAM
  • 25.
    25 25 Membrana citoplasmática síntese de novas subunidades ligadasao lípídeo transportador Glicopeptídeos Ligam-se a resíduos de D-ala-D-ala, prevenindo a incorporação de subunidades de peptidoglicano crescente Bacitracina Previne a desfosforilação do fosfolipídeo transportador, impedindo a regeneração do mesmo para a síntese continuar C55 lipídeo NAG NAM P P L- lisina Inibidores da Síntese da Parede
  • 26.
    26 26 Glicopeptídeos •Ligam-se a resíduosde D-ala- D-ala, prevenindo a incorporação de subunidades de peptidoglicano crescente C55 lipídeo NAG NAM P P L- lisina - Vancomicina - Teicoplanina
  • 27.
    27 27 Bacitracina •Previne a desfosforilaçãodo fosfolipídeo transportador, impedindo a regeneração do mesmo para a síntese continuar C55 lipídeo NAG NAM P P L- lisina
  • 28.
    28 28 Atividade dos Glicopeptídeos Atividadedos Glicopeptídeos • Moléculas polares grandes; • São ativos contra MRSA; • Vancomicina oral é utilizada para Clostridium difficile; •E.coli e Pseudomonas = RESISTENTES •Staphylococcus, Streptococcus e Enterococcus = SENSÍVEL • Vancomicina é nefrotóxica (teicoplanina é menos).
  • 29.
    29 29 ligação de novas unidadesde parede ao peptidoglicano crescente Beta-lactâmicos inibem as enzimas que catalisam a transpeptidação e outras reações da etapa final da síntese da parede NAG NAM NAG NAM D- ala Inibidores da Síntese da Parede
  • 30.
    30 30 Antibióticos Beta-lactâmicos Antibióticos Beta-lactâmicos •Todos agem por ligação em PBPs Todos agem por ligação em PBPs (penicillin-binding proteins) (penicillin-binding proteins) • PBPs são enzimas envolvidas na PBPs são enzimas envolvidas na ligação das cadeias peptídicas da ligação das cadeias peptídicas da parede parede
  • 31.
    31 31 Antibióticos Beta-lactâmicos Antibióticos Beta-lactâmicos •Bactérias diferentes podem ter PBPs Bactérias diferentes podem ter PBPs distintas distintas • O espectro de atividade dependerá da O espectro de atividade dependerá da capacidade de ligação do antibiótico à capacidade de ligação do antibiótico à PBP do microrganismo PBP do microrganismo
  • 32.
    32 32 PENICILINAS PENICILINAS • BENZILPENICILINAS BENZILPENICILINAS • FENOXIMETILPENICILINA FENOXIMETILPENICILINA •AMPICILINA / AMOXICILINA AMPICILINA / AMOXICILINA • OXACILINA / CLOXACILINA / OXACILINA / CLOXACILINA / DICLOXACILINA DICLOXACILINA • CARBENICILINA E TICARCILINA CARBENICILINA E TICARCILINA • AZLOCILINA / MEZLOCILINA / AZLOCILINA / MEZLOCILINA / PIPERACILINA PIPERACILINA
  • 33.
  • 34.
    34 34 PENICILINAS PENICILINAS • NATURAIS: BENZILPENICILINAS NATURAIS:BENZILPENICILINAS (Uso injetável) (Uso injetável) Penicilina G Cristalina Penicilina G Cristalina Penicilina G Procaína Penicilina G Procaína Penicilina G Benzatina Penicilina G Benzatina FENOXIMETILPENICILINA (Uso FENOXIMETILPENICILINA (Uso Oral) Oral)
  • 35.
    35 35 PENICILINAS PENICILINAS Espectro de Ação Espectrode Ação • PEQUENO. PEQUENO. • Cocos GRAM + (Streptococos e Cocos GRAM + (Streptococos e pneumococos) pneumococos) • Cocos GRAM – (Neisseria Cocos GRAM – (Neisseria meningitides) meningitides) • Bacilos GRAM + Bacilos GRAM + • Anaeróbios Anaeróbios • Treponema Pallidum Treponema Pallidum
  • 36.
    36 36 OXACILINA OXACILINA • Penicilina Penicilinase-resistente PenicilinaPenicilinase-resistente • Ação contra Estafilococos (s. Ação contra Estafilococos (s. aureus) produtor de penicilinases aureus) produtor de penicilinases • Uso Hospitalar Uso Hospitalar • Staphylococcus Epidermidis - Staphylococcus Epidermidis - resistente em 40 a 60% casos. resistente em 40 a 60% casos. • Nome Comercial: Staficilin-N (500 Nome Comercial: Staficilin-N (500 mg) mg) • Intervalos: 4/4 a 6/6 hs Intervalos: 4/4 a 6/6 hs
  • 37.
  • 38.
    38 38 CEFALOSPORINAS CEFALOSPORINAS • Como todosos antibióticos beta-lactam Como todos os antibióticos beta-lactam (e.g. penicilinas), as cefalosporinas (e.g. penicilinas), as cefalosporinas interferem na sintese da parede celular interferem na sintese da parede celular de de peptidoglicano peptidoglicano via inibição de via inibição de enzimas enzimas envolvidas no processo de envolvidas no processo de transpeptidação transpeptidação • Há resistência em algumas estirpes Há resistência em algumas estirpes devido a disseminação de devido a disseminação de plasmídeos plasmídeos que que codificam o codificam o gene gene da proteína beta- da proteína beta- lactamase, que destrói o antibiótico antes lactamase, que destrói o antibiótico antes que possa ter efeitos. que possa ter efeitos.
  • 39.
    39 39 CEFALOSPORINAS CEFALOSPORINAS • Foram isoladasde culturas de Foram isoladas de culturas de Cephalosporium Cephalosporium acremonium acremonium de um de um esgoto na ilha italiana de esgoto na ilha italiana de Sardenha Sardenha em em 1948 1948 pelo italiano pelo italiano Giuseppe Giuseppe Brotzu Brotzu. Ele reparou que em cultura . Ele reparou que em cultura inibiam a inibiam a Salmonella Salmonella typhi typhi • A farmacêutica A farmacêutica Eli Eli Lilly Lilly lançou as lançou as primeiras cefalosporinas na década primeiras cefalosporinas na década de de 1960 1960. .
  • 40.
    40 40 • Cefazolina Cefazolina • Cefalotina Cefalotina •Cefapirina Cefapirina • Cefalexina Cefalexina • Cefradina Cefradina • Cefadroxil Cefadroxil 1ª Geração 1ª Geração • Cefamandol • Cefuroxima • Cefonicide • Ceforanide • Cefaclor • Cefprozil • Loracarbefe • Cefpodoxime • Cefotetam 2ª Geração
  • 41.
    41 41 Espectro Cefalosporinas Espectro Cefalosporinas de1 de 1a a Geração Geração • Cocos aeróbios Gram (+) (exceto Cocos aeróbios Gram (+) (exceto enterococo) enterococo) • Estafilococo produtor de penicilinase, Estafilococo produtor de penicilinase, mas não sobre os oxacilina- mas não sobre os oxacilina- resistentes. resistentes. • Sensíveis: E.coli, P. mirabilis, Sensíveis: E.coli, P. mirabilis, Klebsiella pneumoniae. Klebsiella pneumoniae. • Resistentes: P.aeruginosa e Resistentes: P.aeruginosa e Haemophylus influenzae. Haemophylus influenzae.
  • 42.
    42 42 Cefalosporinas de 2 Cefalosporinasde 2a a Geração Geração Cefoxitina (Mefoxin), Cefaclor (ceclor), Cefoxitina (Mefoxin), Cefaclor (ceclor), Cefuroxima (Zinacef) Cefuroxima (Zinacef) • Menos ativas que as de 1 Menos ativas que as de 1a a geração geração contra cocos Gram (+); Maior contra cocos Gram (+); Maior atividade contra bacilos Gram (-). atividade contra bacilos Gram (-). • Induz betalactamases, perdeu Induz betalactamases, perdeu atividade contra Bacteroides fragilis atividade contra Bacteroides fragilis • Profilaxia cirurgias colorretais Profilaxia cirurgias colorretais. .
  • 43.
    43 43 • Ceftriaxona Ceftriaxona • Cefotaxima Cefotaxima •Ceftizoxima Ceftizoxima • Ceftazidima Ceftazidima • Cefoperazona Cefoperazona • Ceftibuteno Ceftibuteno • Cefixima Cefixima • Cefatamet Cefatamet 3ª Geração 3ª Geração •Cefipima •Cefpiroma 4ª Geração
  • 44.
    44 44 Cefalosporinas de 3 Cefalosporinasde 3a a Geração Geração Cefotaxima (Claforan), Ceftriaxona Cefotaxima (Claforan), Ceftriaxona (Rocefin), Ceftazidima(Fortaz) (Rocefin), Ceftazidima(Fortaz) • Maior eficácia sobre bacilos Gram - Maior eficácia sobre bacilos Gram - como Enterobacteriaceas como Enterobacteriaceas • Utilizados em infecções graves. Utilizados em infecções graves. • Alto Custo. Alto Custo. • Ceftriaxona e Cefotaxima utilizadas Ceftriaxona e Cefotaxima utilizadas p/ tratamento de meningites p/ tratamento de meningites
  • 45.
    45 45 Cefalosporinas de 4 Cefalosporinasde 4a a Geração Geração • Mesma actividade contra Gram- Mesma actividade contra Gram- negativas, mas com maior potencia negativas, mas com maior potencia para para Gram-positivas Gram-positivas do que os de do que os de terceira geração. Mais resistentes à terceira geração. Mais resistentes à degradação por beta-lactamase degradação por beta-lactamase (mais eficazes contra estirpes (mais eficazes contra estirpes parcialmente resistentes). parcialmente resistentes). • Maior atividade contra Pseudomonas Maior atividade contra Pseudomonas e enterobacteriáceas. e enterobacteriáceas.
  • 46.
    46 46 MONOBACTÂMICOS MONOBACTÂMICOS AZTREONAM (Azactam) AZTREONAM (Azactam) •Germes aeróbios Gram (-): Germes aeróbios Gram (-): enterobacteriáceas, H.influenzae, enterobacteriáceas, H.influenzae, Neisseria Gonorrhoeae. Neisseria Gonorrhoeae. • Não tem ação sobre Gram (+) e Não tem ação sobre Gram (+) e anaeróbios. Alternativa em anaeróbios. Alternativa em tratamento de infecções graves tratamento de infecções graves hospitalares por germes Gram (-). hospitalares por germes Gram (-).
  • 47.
    47 47 CARBAPENÊMICOS CARBAPENÊMICOS IMIPENEM (Tienan) eMEROPENEM IMIPENEM (Tienan) e MEROPENEM (Meronen) (Meronen) • ATBs de maior espectro ATBs de maior espectro antibacteriano que existem. antibacteriano que existem. • Opções excepcionais em infecções Opções excepcionais em infecções mistas por germes mistas por germes multirresistentes (restrito a uso em multirresistentes (restrito a uso em CTI de grandes hospitais) CTI de grandes hospitais)
  • 48.
    48 48 RESISTÊNCIA AOS RESISTÊNCIA AOS BETALACTÂMICOS BETALACTÂMICOS MODIFICAÇÃO DE PROTEÍNAS MODIFICAÇÃO DE PROTEÍNAS  IMPERMEABILIDADE CELULAR IMPERMEABILIDADE CELULAR  PRODUÇÃO DE PRODUÇÃO DE BETALACTAMASES BETALACTAMASES
  • 49.
    49 49 Inibidores de Beta-lactamases Inibidoresde Beta-lactamases • Ácido clavulânico: Ácido clavulânico: usado com usado com amoxicilina ou c/ ticarcilina amoxicilina ou c/ ticarcilina • Sulbactam: Sulbactam: usado com ampicilina usado com ampicilina • Tazobactam: Tazobactam: usado com piperacilina usado com piperacilina
  • 50.
    50 50 Inibidores de betalactamases Inibidoresde betalactamases • Amoxicilina/clavulanato e Amoxicilina/clavulanato e Ampicilina/sulbactam: Ampicilina/sulbactam: • Usado em otites, sinusites e DBPOC Usado em otites, sinusites e DBPOC infectado com maior atividade infectado com maior atividade contra Haemophilus influenzae. contra Haemophilus influenzae. • Primeira escolha em mordidas Primeira escolha em mordidas humanas e de animais. humanas e de animais. • Estafilococos sensíveis a meticilina Estafilococos sensíveis a meticilina. .
  • 51.
    51 51 Inibidores da SínteseProtéica Inibidores da Síntese Protéica • As subunidades ribossômicas As subunidades ribossômicas envolvidas na tradução em envolvidas na tradução em procariotos são menores (30S & procariotos são menores (30S & 50S) do que em eucariotos (40S 50S) do que em eucariotos (40S & 60S) & 60S)
  • 52.
  • 53.
    53 53 Inibidores da SínteseProtéica Inibidores da Síntese Protéica • Aminoglicosídeos: amicacina, canamicina, espectinomicina, estreptomicina, gentamicina, neomicina, netilmicina, tobramicina • Tetraciclinas: tetraciclina, clortetraciclina, oxitetraciclina, doxiciclina, minociclina
  • 54.
    54 54 Inibidores da SínteseProtéica Inibidores da Síntese Protéica • Macrolídeos: Macrolídeos: eritromicina, eritromicina, azitromicina, claritromicina, azitromicina, claritromicina, roxitromicina roxitromicina • Cloranfenicol Cloranfenicol • Ácido fusídico Ácido fusídico
  • 55.
    55 55 AMINOGLICOSÍDEOS AMINOGLICOSÍDEOS • Principal alternativano tratamento da Principal alternativa no tratamento da sepse grave; sepse grave; • Não são absorvidos pela via oral; Não são absorvidos pela via oral; • Entrada na bactéria está relacionado a Entrada na bactéria está relacionado a um mecanismo de transporte oxigênio- um mecanismo de transporte oxigênio- dependente (ausente em estreptococos, dependente (ausente em estreptococos, enterococos e anaeróbios); enterococos e anaeróbios); • São nefrotóxicos e ototóxicos. São nefrotóxicos e ototóxicos.
  • 56.
    56 56 MACROLÍDEOS MACROLÍDEOS • Eritromicina Eritromicina • Azitromicina Azitromicina •Claritromicina Claritromicina CH3 CH3 OH CH3 O CH3 O O H5C2 H3C HO HO H3C O O OH N(CH3) CH3 O O CH3 OCH3 OH
  • 57.
    57 57 MACROLÍDEOS MACROLÍDEOS • Macrolídeos recentesinibem Macrolídeos recentes inibem Mycobacterium Mycobacterium, protozoários ( , protozoários (T. gondii, T. gondii, E. histolytica, P. falciparum E. histolytica, P. falciparum), ), Campylobacter Campylobacter, , Helicobacter Helicobacter, , Borrelia Borrelia, , Neisseria Neisseria & outros patógenos genitais; & outros patógenos genitais; • Boa atividade contra patógenos Boa atividade contra patógenos respiratórios e genito-urinários; respiratórios e genito-urinários; • Complicações no trato GI, Complicações no trato GI, principalmente; eritromicina. principalmente; eritromicina.
  • 58.
    58 58 TETRACICLINAS TETRACICLINAS Natural: clortetraciclina, oxitetraciclina e tetraciclina Semi-sintéticas: doxiciclina,minociclina OH O OH O OH R1 R2 R3 R4 CONH2 OH Inibem a síntese protéica prevenindo o amino-acil tRNA de entrar no sítio aceptor do ribossomo
  • 59.
    59 59 TETRACICLINAS TETRACICLINAS • Ativas contraGram (+), Gram (-), Ativas contra Gram (+), Gram (-), Chlamydia Chlamydia, , Rickettsia Rickettsia, , Coxiella Coxiella, , espiroquetas, algumas micobactérias, espiroquetas, algumas micobactérias, E histolytica E histolytica & plasmódios; & plasmódios; • Efeitos na dentição (quelante de Efeitos na dentição (quelante de Ca Ca+2 +2 ); ); • É comum intolerância no trato GI. É comum intolerância no trato GI.
  • 60.
    60 60 CLORANFENICOL CLORANFENICOL • Núcleo Nitrobenzeno– Núcleo Nitrobenzeno – Bloqueia a Bloqueia a peptidil transferase, bloqueando assim a peptidil transferase, bloqueando assim a ligação peptídica ligação peptídica • Bacteriostáticos Bacteriostáticos contra Gram (+), contra Gram (+), muitos Gram (-) (exceto muitos Gram (-) (exceto P. aeruginosa P. aeruginosa), ), leptospiras, leptospiras, T. pallidum T. pallidum, clamídias, , clamídias, micoplasmas, rickétsias e vários micoplasmas, rickétsias e vários anaeróbios anaeróbios • Agente de segunda escolha Agente de segunda escolha devidos devidos aos efeitos na medula aos efeitos na medula
  • 61.
    61 61 Ácido Fusídico Ácido Fusídico •Ativo contra a maioria dos cocos Ativo contra a maioria dos cocos Gram (+) e Gram (-), incluindo os Gram (+) e Gram (-), incluindo os MRSA MRSA • Tem atividade contra micobacterias, Tem atividade contra micobacterias, G. G. lamblia e lamblia e P. falciparum P. falciparum • Utilizado em algumas infecções Utilizado em algumas infecções estafilocócicas e topicamente estafilocócicas e topicamente
  • 62.
    62 62 AÇÃO NO ÁCIDONUCLÉICO AÇÃO NO ÁCIDO NUCLÉICO
  • 63.
    63 63 Atividade em ÁcidosNucleicos Atividade em Ácidos Nucleicos • Inibição da síntese de precursores: Inibição da síntese de precursores: Sulfonamidas e Trimetoprima Sulfonamidas e Trimetoprima • Inibição da replicação de DNA: Inibição da replicação de DNA: Quinolonas Quinolonas • Inibição da RNA polimerase: Inibição da RNA polimerase: Rifampicina Rifampicina
  • 64.
    64 64 Inibição da Síntesede Precursores Inibição da Síntese de Precursores • Trimetoprima - Trimetoprima - inibe a síntese do inibe a síntese do folato necessário para a síntese das folato necessário para a síntese das purinas e pirimidinas por inibição purinas e pirimidinas por inibição enzimática enzimática • Sulfonamidas - Sulfonamidas - também inibe o folato, também inibe o folato, só que em etapa distinta só que em etapa distinta
  • 65.
    65 65 Inibição da Síntesede Precursores Inibição da Síntese de Precursores síntese do ácido tetrahidrofólico síntese do ácido tetrahidrofólico NH2 SO2NH PABA Di-hidropteroato sintetase Ácido p-amino benzóico (PABA) + pteridina Ácido di-hidropteróico NH2 COOH Sulfonamidas X Inibição por analogia estrutural
  • 66.
    66 66 Síntese do ÁcidoTetrahidrofólico Síntese do Ácido Tetrahidrofólico (Cont.) (Cont.) Di-hidrofolato sintetase Ácido di-hidropteróico Ácido Di-hidrofólico L-glutamina
  • 67.
    67 67 Síntese do ÁcidoTetrahidrofólico Síntese do Ácido Tetrahidrofólico (Cont.) (Cont.) N N H2N NH2 OCH3 OCH3 OCH3 Trimetoprima Di-hidrofolato redutase Ácido di-hidrofólico Ácido tetrahidrofólico (THFA) X N N H2N OH CH2NH C N glu Ácido Fólico O
  • 68.
    68 68 Síntese do ÁcidoTetrahidrofólico Síntese do Ácido Tetrahidrofólico (Cont.) (Cont.) Ácido tetrahidrofólico (THFA) Pirimidinas Purinas
  • 69.
    69 69 Inibidores da Replicaçãodo DNA Inibidores da Replicação do DNA • Quinolonas (ác. nalidixico, Quinolonas (ác. nalidixico, ciprofloxacina, norfloxacina, etc) ciprofloxacina, norfloxacina, etc) - agentes que afetam a DNA girase - agentes que afetam a DNA girase • DNA girase é necessária para o DNA girase é necessária para o espiralamneto do DNA espiralamneto do DNA
  • 70.
    70 70 Outros Agentes queAfetam Ác. Outros Agentes que Afetam Ác. Nucléicos Nucléicos • Rifamicinas (rifampicina) - Rifamicinas (rifampicina) - inibidores específicos da RNA inibidores específicos da RNA polimerase DNA-dependente polimerase DNA-dependente (bloqueia a formação de mRNA). (bloqueia a formação de mRNA). • Nitroimidazóis (metronidazol) - Nitroimidazóis (metronidazol) - Quando reduzidos, reagem com o Quando reduzidos, reagem com o DNA, oxidando-o e causando ruptura DNA, oxidando-o e causando ruptura da molécula. da molécula.
  • 71.
    71 71 Lesão à MembranaCitoplasmática Lesão à Membrana Citoplasmática • Polimixina B: Polimixina B: representante dos representante dos antibióticos polipeptídicos; Efetivo antibióticos polipeptídicos; Efetivo contra Gram (-). Tem atividade contra Gram (-). Tem atividade contra contra P. aeruginosa; P. aeruginosa; • Anfotericinas Anfotericinas • Ionóforos Ionóforos
  • 72.
  • 73.
  • 74.
    74 74 ANTIVIRAIS ANTIVIRAIS • HIV HIV • HepatitesB e C Hepatites B e C • Herpes virus: HSV, VZV, CMV Herpes virus: HSV, VZV, CMV • Influenza Influenza • RSV RSV • Febre Lassa Febre Lassa Condições para o Emprego Condições para o Emprego de Antivirals de Antivirals
  • 75.
    75 75 Antivirais contra HIV Antiviraiscontra HIV •Abacavir •Didanosine •Lamivudine •Stavudine •Zalcitabine •Zidovudine •Inibidores de Protease •Indinavir •Nelfinavir •Ritonavir •Saquinavir
  • 76.
    76 76 Antivirais contra vírus Antiviraiscontra vírus respiratórios respiratórios Influenza Amantadine Rimantadine Zanamivir Oseltamivir Parainfluenza ?Ribavirin RSV Ribavirin
  • 77.
    77 77 Medicamentos Antimicoticos Medicamentos Antimicoticos •Daktacorte; Daktacorte; • Nistatina; Nistatina; • Miconazol; Miconazol; • Griseofluvina; Griseofluvina;
  • 78.
    78 78 Daktacorte Daktacorte: : • Indicações: infecçõesda pele, Indicações: infecções da pele, causadas por dermatofitos ou causadas por dermatofitos ou leveduras. leveduras. • RAM: irritação cutânea que RAM: irritação cutânea que desaparece logo após a interrupção desaparece logo após a interrupção do tratamento. do tratamento.
  • 79.
    79 79 •NISTATINA •Indicação: candidiase orale vulvovaginal. •RAM: diarréia, vomito, náuseas, gosto amargo na boca. • MICONASOL: MICONASOL: • Indicação: Ptiriase e Eritasma. Indicação: Ptiriase e Eritasma. • RAM: ardor e prurido local. RAM: ardor e prurido local.
  • 80.
    80 80 •Indicação: para tratarinfecções da pele, couro cabeludo e das unhas. RAM: alergia com lesões da pele, enjôo, vômitos, diarréia, dores de cabeça, alterações das células sanguíneas. •GRISEOFLUVINA: GRISEOFLUVINA:
  • 81.
    81 81 ANTIPROTOZOÁRIOS Os principais protozoáriosque produzem doenças em seres humanos são aqueles que causam Malária, Amebíase, Leishaniose, Tripanossomíase e Tricomoníase.
  • 82.
    82 82 Cloridrato de cloroquina,fosfato de cloroquina e sulfato de hidroxicloroquina (derivados da 4- aminoquinolina).  Cloridrato de mefloquina.  Fosfato de primaquina (derivado da 8-aminoquinolona  Gliconato de quinidina e sulfato de quinina. FÁRMACOS ANTIMALÁRICOS A cloroquina e a hidroxicloroquina, tem a capacidade de interromper a síntese se proteína no parasita.
  • 83.
    83 83 A HIDROXICLOROQUINA: constituiuma alternativa quando não se dispõe de cloroquina. Para tratar malaria causada por cepas de P. falciparum resistentes à cloroquina a múltiplos fármacos, a quinina constituem o fármacos de escolha e é administrada com agentes anti-maláricos de ação mais lenta. A PRIMAQUINA: é o fármaco de escolha em combinação com a cloroquina no tratamento da malária por P. malária, P. vivax e P. ovale.
  • 84.
    84 84 A MEFLOQUINA: éutilizada para tratar malária causada por P. falciparum e também na profilaxia de infecções pelo parasita da malária, incluindo cepas de P. falciparum resistentes a cloroquina. A QUINIDINA: deve ser administrada por via parenteral no tratamento de malária em pacientes que não podem tolerar a terapia oral.
  • 85.
    85 85 ATOVAQUONA: Inibe otransporte de elétrons, causando redução da atividade de várias enzimas das mitocôndrias. Por sua vez, esse efeito inibe a síntese de ácido nucléico e do trifosfato de adenosina.
  • 86.
    86 86 FURAZOLIDONA: Pode mataras bactérias e protozoários ao interferir em seus sistemas enzimáticos e ao inibir a monoamina oxidase. IODOQUINOL: É um amebicida de contato, que atua diretamente sobre os protozoários presentes no TGI.
  • 87.
    87 87 MERTONIDAZOL: Destrói asbactérias, as amebas e o trichomonas ao romper o DNA e ao inibir a síntese de ácidos nucléicos, causando finalmente a morte celular. PENTAMIDINA: Interferem na síntese de DNA, RNA, fosfolipídio e proteínas pelos microrganismos.
  • 88.
    88 88 Os fármacos anti-helmínticosatuam por narcose ou paralisia do verme, ou lesando a sua cutícula, acarretando na digestão parcial ou rejeição do verme por mecanismos imunológicos. ANTI- HELMINTICOS:
  • 89.
    89 89 BENZIMIDAZÓIS: Incluem mebendazol, tiabendazole albendazol. Representam agentes de largo espectro e constituem um dos principais grupos de anti-helmínticos utilizados na clínica. O mebendazol é rapidamente absorvido por via oral. O tiabendazol é rapiudamente absorvido pelo trato gastrintestinal.
  • 90.
    90 90 PIPERAZINA: é utilizadapara tratar as infecções causadas por nematóides (Ascaris lumbricoides e Enterobius Vermicularis). Inibe a transmissão neuromuscular no verme de forma reversível, provavelmente ao atuar como GABA, o neurotransmissor inibidor. Os vermes são expelidos ainda vivos.
  • 91.
    91 91 OXAMNIQUINA: é utilizadano tratamento da esquistossomose; seu mecanismo de ação pode envolver a intercalação no DNA, enquanto a sua ação a capacidade do parasita em concertar substancias.