EXERCÍCIOS DE 
PSICROMETRIA
• A partir de uma carta psicrométrica, estime qual é a carga térmica 
latente e sensível decorrente de uma vazão de ar de renovação de 
900m3/h a 32°C e 60% de umidade relativa que deve ser resfriado 
até a temperatura de 25°C e 50% de umidade relativa.
• Pela carta psicrométrica podemos obter a entalpia do ar externo
como sendo 81kJ/kg e a do ar interno como sendo 52kJ/kg e a
entalpia de um ponto intermediário “o” em função da Temperatura e
umidade relativa é 63kJ/kg.
• O fluxo de massa de ar externo é calculado por 900 x 0,89/ 3600 =
0,222kg/s.
•
• A carga térmica sensível retirada é 0,222 x (63‐52) = 2,442 kW =
2099,741 kcal/h
•
• Já a carga térmica latente retirada é 0,222 x (81‐63) = 3,996 kW =
• 3435,940 kcal/h.
• Nota: 1[kW]=859.845227858985[kcal/h]
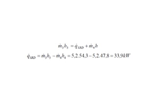
• O ar de uma sala atravessa uma serpentina de resfriamento e
desumidificação (SRD). Calcule qual a capacidade da SRD se a
condição de entrada foi de TBS = 30C e UR de 50% e a de saída foi
de 20C e UR de 40%. A vazão do ar que atravessou a serpentina foi
de 7200m3/h.
• Para o cálculo do fluxo de massa de ar que atravessa a SRD é preciso
conhecer o volume específico do ar na entrada da mesma. Este valor
é obtido a partir da marcação da condição de entrada do ar na SRD na
carta psicrométrica. Desta forma obtém‐se v=0,878m³/kg. O fluxo de
massa (kg/s) é obtido pela relação entre vazão (em m³/s) por o
volume específico. Na carta psicrométrica devemos obter ainda as
entalpias do ar na condição de entrada e de saída da SRD.
kW,),.(
,
.)hh.(mq arSRD 186735564
8780
1
3600
7200
21  
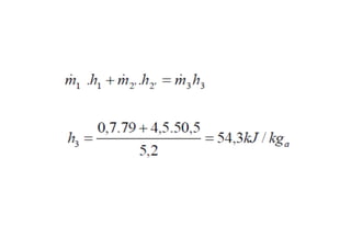
• Um fluxo de 4800 m3/h de ar a temperatura de 30C e UR de 50% é
misturado com um fluxo de 10800m3/h de ar a uma temperatura de
20C e UR de 50%. Calcule qual a temperatura e a entalpia final da
mistura do ar. Considere a densidade do ar como sendo 1,2 m3/kg.
• Q1= 4800 m3/h
• t1= 30C
• UR1= 50%
• Q2=10800m3/h
• t2=20C
• UR2 de 50%.
• Um balanço de energia em um volume de controle envolvendo a 
junção dos dois fluxos de ar fornece:
3.32.21.1 hmhmhm  
kg/kJ,
m
h.mh.m
hh.mh.mh.m 8446
3
2211
3332211 





• Traçando‐se uma linha reta ligando os pontos 1 e 2 e uma reta a partir 
da entalpia 3 calculada obtemos na intersecção o ponto 3 na carta 
psicrométrica. Desta forma: 
• TBS3=23,2°C.
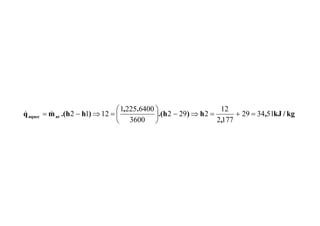
• Uma vazão de 6400m3/h de ar atravessa uma serpentina elétrica
que libera 12kW de potência de aquecimento. Se a temperatura de
entrada do ar foi de 15C e UR de 50%, calcule qual a TBS final e
qual entalpia do ar na saída? Considere que a densidade do ar na
entrada da serpentina é de 1,225 m3/kg.
• Observe que a condição do ar antes de atravessar a serpentina pode
ser obtida na carta psicrométrica a partir dos dados de TBS e UR
apresentados (Observe que h1 = 29kJ/kg).
)12.( hhmq araquec  
kg/kJ,
,
h)h.(
.,
)hh.(mq araquec 513429
1772
12
2292
3600
64002251
1212 





 
• Na carta, traçando uma reta horizontal partindo do ponto 1 e
cruzando‐a com a reta da entalpia calculada temos TBS2=21°C.
Observar que a umidade absoluta da condição do ar na entrada é a
mesma que a umidade absoluta do ar na saída.
• Um jato de ar a uma temperatura de 18C passa dentro de um duto
não isolado através de um ambiente a TBS de 32C e umidade
relativa de 60%. Nestas condições haverá condensação sobre o duto
• Para resolver este tipo de questão, basta utilizar a carta psicrométrica.
Marcar o ponto referente à temperatura e umidade relativa do ar
externo e traçando uma linha horizontal da direita para a esquerda,
verificar o ponto em que há cruzamento com a linha de saturação.
• A temperatura encontrada neste caso é de cerca de 23C. Neste
ponto, situa‐se a temperatura de orvalho do ar externo, ou seja, se a
temperatura do ar é resfriada abaixo deste valor, haverá
condensação.
• Neste exemplo a temperatura de orvalho é de 23C e a temperatura
da face externa do duto é praticamente de 18C (não há isolamento e
a condutividade da chapa é elevada), o que faz com que a
condensação da umidade seja inevitável. A solução deste problema
geralmente é conseguida através do isolamento do duto. Conclusão:
Haverá condensação sobre a face externa do duto porque a
Temperatura da chapa é menor que a Temperatura de orvalho do ar
externo
• Considere um escoamento de 1 m³/s de ar húmido a 20 ºC e 60% de
humidade relativa. Marque num diagrama psicrométrico as
seguintes evoluções (P=101325 N/m²):
• a) Calcule a entalpia e a temperatura na saida causada por um
aquecimento à potência de 10 KW.
• b) Calcule a entalpia e a temperatura na saida causada pela injeção
de 0,001 Kg/s de vapor de água saturada a 40 ºC (hsat=2573,6
KJ/Kg).
• c) Calcule a entalpia e a temperatura na saida causada pela injeção
de 0,005 Kg/s de água (líquido) a 80 ºC (hliq. sat = 335 KJ/Kg).
07 exercícios de psicrometria
07 exercícios de psicrometria
07 exercícios de psicrometria
07 exercícios de psicrometria
07 exercícios de psicrometria
07 exercícios de psicrometria
07 exercícios de psicrometria
07 exercícios de psicrometria
07 exercícios de psicrometria
07 exercícios de psicrometria
07 exercícios de psicrometria

07 exercícios de psicrometria