Capítulo 8: Transferência de calor
por condução
Condução
• Equação da condução de calor;
• Condução de calor unidimensional e em regime
permanente;
• Aletas;
• Condução de calor bidimensional (Fator de Forma);
• Condução de calor em regime transiente.
Condução
• Um corpo sólido isolado está em equilíbrio térmico se a
sua temperatura for a mesma em qualquer parte do
corpo.
• Se a temperatura no sólido não for uniforme, calor será
transferido por atividade molecular das regiões de
temperaturas elevadas para as de baixas temperaturas.
• Este processo de transferência de calor por condução é
dependente do tempo e continuará ocorrendo até que
um campo uniforme de temperatura exista em todo o
corpo isolado.
Condução
• A transferência de energia ocorre por interação molecular
(associada a energia cinética entre as partículas
individuais ou em grupo, etc...) e não há transporte de
massa (sistema):
– Exemplos: ferro elétrico, moldes de fundição, parede
com isolamento, etc.
• Sua contribuição para o processo global de transferência
de calor pode ser bastante significativa, dependendo do
material usado.
Modelo de condução térmica
• O mecanismo de transferência de calor por condução
térmica consiste de um processo de difusão.
• Temperatura é “transportada” da região de maior
concentração para a de baixa concentração.
• Joseph Fourier modelou a difusão em função do
gradiente de temperatura e de uma constante de
proporcionalidade.
Modelo de condução térmica
• O taxa de calor por unidade de área, ou fluxo de calor
(
), depende da área em que ele cruza, portanto
possui uma natureza vetorial.
Modelo de condução térmica
• Fourier postulou que a taxa de
transferência de calor por unidade de
área da superfície é proporcional ao
gradiente de temperatura normal à
superfície (dT/dn). A cte de
proporcionalidade corresponde à
condutibilidade térmica do
material (k):
Perfil de temperatura ao longo
da linha a-a, paralela ao vetor
normal n
Modelo de condução térmica

• Por que o sinal negativo na
lei de Fourier??
• Por que o fluxo de calor é
positivo quando flui na
direção do decréscimo da
temperatura (segunda lei da
termodinâmica).
Condutibilidade térmica (k)
• É uma propriedade termofísica do material através do
qual o calor flui.
• Usualmente refere-se a um material com comportamento
isotrópico e homogêneo
– Comportamento isotrópico: quando não há variação
de propriedade com a direção.
– Comportamento homogêneo: quando a propriedade é
constante em toda a superfície do material.
Condutibilidade térmica (k)
• Unidades: W/m. oC ou Btu/h.ft. oF.
• Em muitos materiais apresenta
uma grande dependência da
temperatura e uma pequena da
pressão.
• Para o mesmo fluxo de calor,
quanto maior for k menor é a
variação de temperatura ao longo
da superfície.
Modelo de condução térmica
• O fluxo de calor na superfície diagonal da cunha de
baquelite é de 680 Btu/h.ft2. Determine o fluxo de calor
e o gradiente de temperatura nas direções x e y.
Kbaquelite = 0,8089 Btu/h x ftºF
• Uma lona de freio é pressionada contra um tambor
rotativo de aço. Calor é gerado na superfície de contato
tambor-lona na taxa de 200 W/m2. 90% do calor gerado
passa para o tambor de aço, o restante passa pela
lona. Determine os gradientes térmicos no ponto de
contato tambor-lona.
Kaço = 60,3 W/mºC
Klona = 0,013 W/mºC
• Uma lona de freio é pressionada contra um tambor rotativo de aço.
Calor é gerado na superfície de contato tambor-lona na taxa de
200 W/m2. 90% do calor gerado passa para o tambor de aço, o
restante passa pela lona. Determine os gradientes térmicos no
ponto de contato tambor-lona.
Formulação – Sistema infinitesimal
ou elemento do sólido

• Considerando que a conversão de alguma forma de
energia (elétrica, química) em energia térmica pode
ocorrer dentro do sistema.
Primeira Lei da Termodinâmica
• A taxa de transferência de calor do elemento é a soma
da taxa de transferência de calor através das fronteiras
do elemento e a taxa na qual energia térmica é gerada
internamente

• Aplicando a 1ª lei e considerando que não há realização
de trabalho e nem variação de energia cinética e
potencial, pode-se escrever que:
Taxa de troca de energia interna
• A única forma de energia presente no elemento é a
energia interna do material e pode-se escrever que:

• Admitiu-se que o calor específico é constante, pois as
variações de temperatura na barra é pequena.
• Também foi admitido que o sistema é incompressível.
Taxa líquida de condução
• A lei de Fourier é utilizada para determinar a taxa
líquida de transferência de calor por condução (material)
através das seis superfícies planas do elemento.
• Considerando a condutibilidade térmica do material
constante, a forma diferencial da taxa líquida de
condução:
Taxa de calor gerada internamente
• O calor gerado dentro do elemento é expresso em
termos de volume:

• Ou seja, refere-se à energia interna específica gerada
por unidade de volume.
Equação da condução de calor
• No sistema de coordenadas cartesianas, a equação
da condução de calor é:

• Ou
Equação da condução de calor
• No sistema de coordenadas cilíndricas, a equação da
condução de calor é:
Condições de contorno
• Para determinar a distribuição de temperatura em um
meio é necessário resolver a formulação correta da
equação de calor.

• Esta solução depende das condições físicas existentes
nas fronteiras do meio e, se a situação for dependente
do tempo, das condições existentes no meio em um
determinado instante (t).
• As condições de fronteira são chamadas de
condições de contorno.
: Coordenada perpendicular à superfície através do qual o calor é transferido.
Parede Finas
• Considerando uma camada de material que apresenta
um condutibilidade térmica constante k, espessura L e
temperaturas superficiais impostas T0 e TL.
• A solução deste problema é simples quando as
camadas podem ser consideradas finas, em
consideração as dimensões do corpo que está sendo
isolado.
Condução de calor unidimensional em RP

• Para um elemento unidimensional em que não haja
geração de calor interna e em regime permanente, da
equação da condução de calor pode-se escrever que:

• A solução geral:
Perfil linear de temperatura
Condução de calor unidimensional em RP
• Para o caso em que os dois
lados da placa infinita estão em
temperaturas uniformes as
condições de contorno são:
– Para x = 0

=>

T = To

– Para x = L

=>

T = TL

• Resolvendo a equação
diferencial com estas condições
de contorno obtém-se:
Condução de calor unidimensional em RP

• O fluxo de calor pode ser calculado através da Lei de
Fourier como:

Fluxo de
Calor
Analogia: transferência de calor (RP)
e fluxo de corrente
Analogia: transferência de calor (RP)
e fluxo de corrente
Condução de calor unidimensional
em RP
• Caso uma condição de contorno de convecção esteja
presente em x = 0, as condições de contorno são:
– Para x = 0

=> h(T∞ – T ) = -k(dT/dx)

– Para x = L

=>

T = T2
Condução de calor unidimensional
em RP
• Para a condição de contorno de convecção:
Condução de calor unidimensional
em RP
• Para a condição de contorno de convecção, a taxa
de transferência de calor através da placa é:
Condução de calor unidimensional
em RP
• A taxa de transferência de
calor também pode ser
determinada na fronteira
com convecção:
Condução de calor unidimensional
em RP
• A taxa de transferência de calor também pode ser
determinada na análise do circuito térmico equivalente:

• A resistência total oferecida pelo sistema é a soma das
resistências oferecidas pela fronteira com convecção e
pelo sólido:
Condução de calor unidimensional
em RP

• A taxa total de transferência de calor pela placa é:
Resumo
• Uma fita de aquecimento é fixada a uma face de uma grande placa
de liga de alumínio 2024-T6 com 3 cm de espessura. A outra face
da placa é exposta ao meio circunvizinho, que está a uma
temperatura de 20º C. O lado de fora da fita de aquecimento está
completamente isolado. Determinar a taxa de calor que precisa
ser fornecida para manter a superfície da placa que está exposta
ao ar a uma temperatura de 80º C. Determinar também a
temperatura da superfície na qual a fita de aquecimento está
fixada. O coeficiente de transferência de calor entre a superfície da
placa e o ar é de 5 W/m2 ºC.

Tq = ?
Condução de calor unidimensional
em RP
• No caso de parede compostas, o conceito de resistência
térmica pode ser utilizado de forma análoga a circuitos
elétricos série/paralelo
1
Cilindro oco
• O circuito térmico também pode ser usado para
determinar a taxa de transferência de calor
unidimensional em RP em cilindro oco ou composto.
• Neste caso a direção do fluxo será puramente radial.
• Considere um cilindro com raio interno ri e externo ro ,
comprimento L e temperaturas internas Ti e externa To.
Distribuição de temperatura unidimensional
• Considerando que não há geração interna de calor e
que o regime é permanente, a equação diferencial
apropriada para o cilindro oco é:

• As condições de contorno são:
– Para r = ri => T = Ti
– Para r = ro => T = To
•

Integrando a equação:
Taxa de transferência de calor
• A expressão para a taxa total de transferência de calor é:

• A resistência equivalente oferecida pelo cilindro à
transferência de calor é:
Resumo
Um tubo liso de aço carbono com diâmetro interno de 5,25 cm e
espessura de 0,78 cm, é recoberto com seis camadas de papel
corrugado de asbesto com 2 cm de espessura no total. A
temperatura do vapor de água no lado interno do tubo é de 150 °C
e o ar no lado externo é de 25 °C. Estime: i) a temperatura da
superfície do lado externo do isolamento e; ii) a taxa de
transferência de calor por metro de comprimento do tubo. Dados:
hvapor = 1500 W/m2°C ;
har = 5 W/m2°C.
Um tubo liso de aço carbono com diâmetro interno de 5,25 cm e
espessura de 0,78 cm, é recoberto com seis camadas de papel
corrugado de asbesto com 2 cm de espessura no total. A
temperatura do vapor de água no lado interno do tubo é de 150 °C
e o ar no lado externo é de 25 °C. Estime: i) a temperatura da
superfície do lado externo do isolamento e; ii) a taxa de
transferência de calor por metro de comprimento do tubo. Dados:
hvapor = 1500 W/m2°C ;
har = 5 W/m2°C.
Transferência de calor
• É desejável em muitas aplicações industriais aumentar
a taxa de transferência de calor de uma superfície
sólida para um fluido adjacente.

• Para tanto é preciso analisar os parâmetros de projeto e
fazer as alterações necessárias para aumentar esta
transferência de calor.
Aumento de transferência de calor
•

Considerando uma placa plana com temperatura da
superfície fixa (uniforme), a taxa de transferência de calor
pode ser elevada:
– Com o aumento da velocidade do fluido, que tem o efeito
de aumentar o coeficiente de transferência de calor (h);
– Com o aumento da diferença de temperaturas da
superfície e do fluido;
– Com o aumento da área da superfície transversal,
através da qual ocorre a convecção.

•

As duas primeiras medidas podem, em alguns casos, ser
limitadas e se tornarem insuficientes, dispendiosas e/ou
impraticáveis.
•

Uma das opções mais comuns é aumentar a área da
superfície transversal.
Aletas
• São superfícies estendidas, que vão desde a parede da
superfície sólida em direção ao fluido adjacente.

• São utilizadas para o aquecimento
resfriamento de sistemas.

e

para

o

• A condutibilidade térmica do material da aleta tem forte
efeito na distribuição de temperatura ao longo da aleta
e afeta o grau no qual a taxa de transferência de calor é
aumentada ou diminuída.
• O ideal é que a aleta tenha uma condutibilidade térmica
alta para minimizar as variações de temperatura de sua
base para a extremidade. No caso limite
(condutibilidade infinita), toda a aleta estaria à
mesma temperatura da base.
Aletas

• Como a área de contato entre o fluido e a superfície
(área molhada) no caso aletado é superior, o fluxo de
calor total é maior que no caso sem aletas.

• O problema básico no projeto térmico das superfícies
aletadas é determinar uma correlação entre o fluxo de
calor e as grandezas pertinentes ao sistema (∆T, h e k).
Aletas
Aletas
O calor é transportado da base (ou para a base) por
meio da condução térmica e adicionado (ou removido)
ao ambiente externo pela convecção térmica.
Aletas de seção transversal
constante
• É a aleta mais simples de se analisar.
• A hipótese básica desse tipo de aleta é que a
distribuição de temperatura nela é função unicamente de
x (fluxo de calor unidimensional na aleta): esta
hipótese é uma boa aproximação para certas condições.
Balanço de energia: análise preliminar
• Antes de iniciar o balanço de energia é importante notar
que a área da superfície original (sem aletas) é a soma
da área das bases das aletas com a área não aletada
restante:

• Logo, a transferência de calor total será:

• Onde o índice “ba” refere-se a base das aletas e
“na” a parte não aletada.
Balanço de energia na aleta
• Da hipótese unidimensional, o fluxo de calor na base da
aleta é independente de y e pode ser determinado por:
Balanço de energia na aleta
Balanço de energia na aleta
Equação da aleta
• Substituindo a expressão anterior na 1º Lei:

• Esta equação mostra que a taxa líquida de transferência
de calor por condução na fatia de aleta é igual a taxa
de transferência de calor por convecção do fluido
através da superfície lateral da fatia considerada.
Aleta Longa
• A ponta da aleta está em equilíbrio térmico com o
fluido, impondo neste caso a seguinte condição de
contorno:
T → T∞

quando

x →∞

• A outra condição é que a temperatura na base da aleta é
igual a temperatura da superfície onde estão montadas
as aletas:
T = Tb

quando

x =0
Equação da aleta longa
Aleta longa: solução em θ
• Sendo h constante ao longo da aleta, a solução da
equação diferencial é:

• A temperatura decai exponencialmente a partir da
temperatura da base até a do fluido numa posição
remota da base.
Aleta finita e ponta isolada
Transferência de calor: aleta finita e
ponta isolada
• A taxa de transferência de calor da aleta pode ser
determinado como:

• Onde:
Transferência de calor: aleta finita e
ponta isolada
• Analisando através do circuito térmico, a resistência
térmica da aleta:

onde N é o número de aletas fixadas à
superfície.
Transferência de calor: parte não
aletada
Transferência de calor total
Resistência equivalente
Taxa de transferência de calor total
Transferência de calor: aleta finita e
condição de convecção
• Caso exista uma condição de contorno de convecção
na extremidade da aleta (com transferência de calor
para o ambiente, por exemplo), o comprimento da
aleta precisa ser alterado:

• Este novo comprimento de aleta (Lc) será usado no
cálculo da resistência térmica da aleta:
Aleta cilíndrica
• Para o caso de uma aleta cilíndrica com diâmetro D, a
correção do comprimento da aleta será:
• Água quente a 98°C escoa através de um tubo de bronze comercial com
diâmetro interno de 2 cm. O tubo é extrudado e tem o perfil da seção
transversal mostrado abaixo. O diâmetro externo do tubo aletado é de
2,8 cm e as aletas têm 1 cm de comprimento e 2 mm de espessura. O
coeficiente de calor por convecção do lado da água é de 1200W/ m2°C.
O tubo aletado está exposto ao ar a 15°C e o coeficiente de calor por
convecção é 5 W/ m2°C. Determine a taxa de transferência de calor por
metro de comprimento do tubo.
Condição de
Contorno: convecção

aleta finita e
ponta isolada
aleta finita e
ponta isolada

Condição contorno:
convecção
3,65 vezes
menor
Nova Rexterna
Rc,e

2,275
Condução de calor bidimensional
• Soluções analíticas para condução térmica em casos 2D
requer um esforço muito maior daquelas para casos 1D.
• Há no entanto inúmeras soluções baseadas em técnicas
da Física-Matemática, tais como: séries de Fourier,
séries de Bessel, séries de Legendre, Transformada de
Laplace entre outras.
• Baseado nestas soluções analíticas o Livro Texto propõe
a determinação da taxa de calor para algumas situações
bidimensionais baseado em ”fatores de forma de
condução”.
Fator de forma de condução
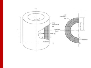
• Considerando que a geometria contém somente DUAS
superfícies ISOTÉRMICAS, T1 e T2, e que o material é
homogêneo:

• Onde S é o fator de forma de condução e tem dimensão
de comprimento (m).
• Comparando esta equação com a das placas planas
infinitas (unidimensional) pode-se determinar que o seu
fator de forma de condução é:
Tabela 8-3.
Páginas 312 a 314
Tubos de água quente e fria seguem em paralelo por um trecho
de 5 m (figura). Ambos os tubos têm diâmetro de 5 cm, e a
distância entre suas linhas de centro é de 30 cm. As
temperaturas das superfícies dos tubos são 70°C e 15°C,
respectivamente para o de água quente e fria. Assumindo a
condutibilidade térmica do concreto como 0,75 W/m.°C,
determine a taxa de transferência de calor entre os tubos.
5
Condução de calor em regime transiente
• Até o momento só foi analisada a transferência de calor
por condução em regime permanente.
• No entanto, na prática a temperatura, e outras
propriedades, pode variar no espaço e no tempo, o
que faz com que as condições de contorno térmicas
sejam dependentes do tempo.
• Neste caso, a transferência de calor ocorre em regime
transiente (ou transitório).
Condução de calor em regime transiente
Considere que um corpo possua uma temperatura uniforme Ti e
experimente uma mudança térmica repentina em seu meio
circunvizinho.
• O calor transferido por convecção para o corpo sólido é difundido
por condução em seu interior.
• A taxa com que esta mudança é sentida no interior do corpo irá
depender da resistência à transferência de calor oferecida em suas
superfícies e a oferecida internamente (dentro do material).

Como se calcula
essa distribuição
de Temperatura e
o Fluxo de Calor?
Condução de calor em regime transiente
• Na obtenção da distribuição transitória no corpo, técnicas
matemáticas são bastante elaboradas, mesmo para um configuração
geométrica simples.
• Métodos numéricos: auxiliados por softwares. Útil para:
Geometrias compostas complicadas de diferentes materiais.
Propriedades termofísicas variáveis.
Condições de contorno não lineares.

Soluções utilizando expressões
algébricas (com auxílio de grupos
adimensionais) e cartas gráficas.
Método da Análise Concentrada
• ou Capacitância Global.
• Quando um sólido sofre uma rápida
alteração em sua temperatura, por
meio do fluido circunvizinho.
• Distribuição de temperatura no sólido é uniforme (se Resistência
Térmica na Superfície for muito maior que a Resistência Térmica
interna).
• O caso limite será aquele em que a condutibilidade térmica do
material for infinita causando uma resistência interna nula à
transferência de calor.
• A temperatura dependente do tempo pode ser determinada através da

análise concentrada.
Análise concentrada
•

A 1ª lei para um corpo irregular, sem geração interna de calor, é:

•

Onde V é o volume e A é a área da superfície do corpo.

•

A distribuição de temperatura no corpo é obtida pela integração desta
equação.
Modelo concentrado: distribuição de
temperatura

Onde a é a constante de integração.

• A condição inicial pode ser escrita como:
Para:

t=0

T = T0

• A expressão final para a temperatura no corpo é:
Quando é válido aplicar a análise concentrada?
• A análise concentrada só é válida quando a temperatura no
interior do corpo varia uniformemente.

• Se Bi ≤ 0,1

Biot (Bi) compara as
resistências interna e externa
ao corpo sólido.

* L é uma dimensão
característica do corpo.
Análise concentrada – grupos adimensionais

Razão entre a taxa de
condução de calor
para a taxa de
armazenamento de
energia térmica
Análise concentrada: taxa de
transferência de calor
• Expressão da temperatura no corpo na forma adimensional:

• A taxa de transferência de calor, em qualquer instante de
tempo, é determinada por:

• O calor total transferido do ou para o corpo sólido será:
Análise concentrada com geração
interna de calor
• Se houver geração interna de calor no corpo que
comece em t = 0, a equação diferencial da energia será:

• Temperatura do corpo com geração interna de calor:
*

Constante de tempo:

Se

: Variação lenta de Temperatura

Se

: Variação rápida de Temperatura
Exemplo: Um esfera sólida de aço, AISI 1010, com 1 cm de
diâmetro, inicialmente a 15 oC é colocada em uma corrente
de ar, T = 60 oC. Estimar a temperatura dessa esfera em
função do tempo depois de ter sido colocada na corrente de
ar quente. Estimar também a taxa de calor transferido para
a esfera. O coeficiente médio de transferência de calor por
convecção é de 20 W/m2 oC.

Tabela A-14
Exemplo: Um esfera sólida de aço, AISI 1010, com 1 cm de diâmetro,
inicialmente a 15 oC é colocada em uma corrente de ar, T = 60 oC.
Estimar a temperatura dessa esfera em função do tempo depois de
ter sido colocada na corrente de ar quente. Estimar também a taxa de
calor transferido para a esfera. O coeficiente médio de transferência de
calor por convecção é de 20 W/m2 oC.
* A resolução do livro não utiliza o
conceito de Constante de Tempo.
1
Supor Bi < 0,1 para cálculo do diâmetro e aplicar análise concentrada

Hipótese
válida;
Condução Transiente, Bi > 0,1
• Não se considera a temperatura uniforme:
–

Não se aplica a análise concentrada.

– Deve-se considerar a variação da temperatura no
tempo e no espaço.
– O distúrbio da fronteira se propaga por “difusão” no
interior do sólido.
Condução transitória unidimensional
Bi > 0,1
• O distúrbio da fronteira se propaga por „difusão‟ no interior do sólido
somente ao longo da direção “x”.
• Na ausência de geração interna de calor, a equação da condução
de calor no sistema de coordenadas cartesianas reduz-se a:

 2T 1 T

2
x
 t
• Em coordenadas cilíndricas:

 2T 1 T 1 T


2
r
r r  t

A sua análise
dependerá de
configurações
específicas, nas
quais serão definidas
uma condição
inicial (associado ao
tempo) e duas
condições de
contorno.
Sólido semi-infinito: Possui uma face com largura
“infinita”: Qualquer distúrbio na temperatura nessa face NUNCA
atingirá a outra extremidade;

• A: Mudança súbita na temperatura de superfície
T1

T1

T0

Qualquer sólido com dimensões „finitas‟ pode ser
“aproximado” como um sólido semi-infinito desde
que o distúrbio de temperatura da face não
atinja a sua outra fronteira.
Função erro de Gauss
Sólido semi-infinito
• B: Mudança súbita no fluxo de calor


qp

T0
Sólido semi-infinito
• C: Mudança súbita na temperatura do fluido

T0
6
t = (60) (24) (3600) = 5,184 x106 s
Solução Gráfica: Para casos que envolvam condução
unidimensional transiente onde Bi > 0,1
Placa infinita
Cilindro Infinito
Esfera

• Para que a transferência de calor seja unidimensional é
necessário que as dimensões do corpo, normal a direção do
fluxo, sejam muito grandes.
Condução transiente unidimensional
• A solução gráfica é apresentada para corpos sólidos
com espessura 2L submetidos a um fluxo de calor
imposto por um coeficiente de transferência de calor, h,
idêntico em ambas as faces.

• Uma análise do modelo matemático, descrito pela
equação diferencial e as condições inicial e de contorno,
indica que a distribuição da temperatura na placa é uma
função de NOVE variáveis:
Condução transiente unidimensional
• Para reduzir o número de variáveis recorre-se ao uso de grupos
adimensionais.

• A solução gráfica fornece a temperatura na linha de centro e na
superfície (x = L) relacionando Bi2Fo com diferentes curvas Bi.
• A solução gráfica para o calor transferido permite encontrá-lo
através:
1 - Placa Plana infinita

(Fig 8-20, 8-21 e 8-22)
2- Cilindro infinito

(Fig 8-23, 8-24 e 8-25)
• Uma grande parede sólida de tijolo com 15 cm de espessura
atinge uma temperatura uniforme de 0oC durante uma noite
de inverno. Às 9 h da manhã o ar adjacente à parede se
aquece até uma temperatura de 15oC. O ar se mantém nesta
temperatura até as 15 h.

Estimar a temperatura na linha de centro e na superfície
da parede de tijolo às 12 h. Determinar também a
temperatura média do tijolo e a quantidade de calor/m2 que
foi transferida do ar para o tijolo. “h” pode ser considerado
constante e igual a 50W/m2 oC.
Configurações multidimensionais
São restritas aquelas que podem ser
formadas através do uso de um sólido semiinfinito, placas infinitas, ou um cilindro infinito.
Restrições adicionais:
• Todas as condições de contorno
térmicas precisam experimentar uma
mudança súbita simultânea.
• A distribuição de temperatura inicial no
corpo é uniforme, T0.
• Todas as temperaturas da superfície do
fluido, definidas nas condições de
contorno após a mudança repentina,
precisam ser iguais, T.
• Fluxo de calor uniforme ou condições
de contorno não lineares não podem
estar presentes.
Configurações multidimensionais
• Temperatura adimensional num
paralelepípedo:

• Temperatura adimensional num
cilindro infinito:

Usar Lc = L ; NÃO L/2
Exemplo
Um cilindro de aço inoxidável (AISI 304) de 2 cm de diâmetro e 5 cm
de comprimento é retirado de um forno e colocado sobre uma mesa
como mostrado na figura. O cilindro está a uma temperatura uniforme
de 300°C quando é retirado do forno. A superfície em contato com a
mesa é considerada perfeitamente isolada durante o processo de
resfriamento, e as demais superfícies estão em contato com o ar a
uma temperatura de 15°C. Determinar a temperatura máxima do
cilindro 10 minutos depois de ter sido retirado do forno. O coeficiente
médio de transferência de calor durante o processo de resfriamento é
de 50 W/m2.°C.

Resolução Livro texto

9
Um cilindro de aço inoxidável (AISI 304) de 2 cm de diâmetro e 5 cm de
comprimento é retirado de um forno e colocado sobre uma mesa como
mostrado na figura. O cilindro está a uma temperatura uniforme de
300°C quando é retirado do forno. A superfície em contato com a mesa é
considerada perfeitamente isolada durante o processo de resfriamento,
e as demais superfícies estão em contato com o ar a uma temperatura
de 15°C. Determinar a temperatura máxima do cilindro 10 minutos
depois de ter sido retirado do forno. O coeficiente médio de
transferência de calor durante o processo de resfriamento é de 50
W/m2.°C.
Resumo: Condução Transiente
• Bi <0,1

Análise Concentrada: “Corpo qualquer”

• Unidimensional. Bi>0,1
Sólido semi-infinito: 3
condições de contorno (Mudanças súbitas em: Ts, Q,
T): “Fórmulas erf (X)”
• Unidimensional. Bi>0,1
Placa infinita , Cilindro
Infinito: “Gráficos”
Lc = L/2
• Configurações multidimensionais:
“Produto das Tadimensionais”
Lc = L
Exercícios propostos

8-7 ; 8-11 ; 8-21 ; 8-25 ; 8-28 ; 8-30 ; 8-38
2
2

d3
di
de
3
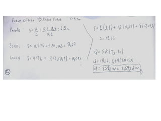
• O Tijolo da chaminé da figura a seguir, tem 5 m de altura.
Uma estimativa da taxa de transferência de calor total
através da parede da chaminé quando as superfícies
internas estão a uma temperatura uniforme de 100ºC e
as superfícies externas são mantidas a uma temperatura
uniforme de 20º C é requerida.
• Tabela A-15.2

Ktijolo = 0,72 W/mºC

D = 5m
L = 0,1 m

* Solução no livro texto
Parede
Extremidades

Parede

.

• Qc = 27,7 x 0,72 (100-20) = 1,595 kW

• 4 planos de
Simetria
Uma condução unidimensional em regime permanente com
geração interna de energia ocorre numa placa plana de 50 mm
de espessura e condutibilidade térmica constante de 5 W/m.K.
Para estas condições, a distribuição de temperatura tem a forma
T(x) = a + bx + cx2. A superfície em x = 0 tem temperatura T(0) =
120°C e experimenta uma convecção com um fluido a 20°C e
h=500 W/m2.K. Já a superfície em x = L está bem isolada.
a) Através do balanço de energia na parede, calcule a taxa de
geração de calor.

b) Determine os coeficientes a, b e c aplicando as condições de
contorno à distribuição de temperatura dada.

Fluido
a)

b)
2

)

120

= T(x)
Componentes eletrônicos estão instalados
no lado anterior de uma placa de circuito
(0,2 cm x 10 cm x 15 cm) que dissipa 15
W
uniformemente. A condutibilidade
térmica da placa é 12 W/m.°C. Todo o
calor gerado nos componentes é
conduzido através da placa e dissipado
pelo lado oposto para um meio a 37°C,
com um coeficiente de transferência de
calor de 45 W/m2.°C.
(a) Determine as temperaturas
superfícies dos dois lados da placa.

das

(b) Agora, considere que uma placa de
alumínio de 0,1 cm de espessura (com
mesma altura e largura da placa de
circuito), contendo 20 aletas retangulares
(0,2 cm x 2 cm x 15 cm), é colada à parte
posterior da placa de circuito com uma
camada de 0,03 cm de um adesivo (k =
1,8 W/m.°C). Determine as novas
temperaturas nos dois lados da placa de
circuito.

Componentes
eletrônicos

Aletas
Componentes eletrônicos estão instalados no
lado anterior de uma placa de circuito (0,2
cm x 10 cm x 15 cm) que dissipa 15 W
uniformemente. A condutibilidade térmica da
placa é 12 W/m.°C. Todo o calor gerado nos
componentes é conduzido através da placa e
dissipado pelo lado oposto para um meio a
37°C, com um coeficiente de transferência de
calor de 45 W/m2.°C.
(a) Determine as temperaturas
superfícies dos dois lados da placa.

das

(b) Agora, considere que uma placa de
alumínio de 0,1 cm de espessura (com
mesma altura e largura da placa de circuito),
contendo 20 aletas retangulares (0,2 cm x 2
cm x 15 cm), é colada à parte posterior da
placa de circuito com uma camada de 0,03
cm de um adesivo (k = 1,8 W/m.°C).
Determine as novas temperaturas nos dois
lados da placa de circuito.
Componentes
eletrônicos

Aletas
Componentes eletrônicos estão instalados no
lado anterior de uma placa de circuito (0,2
cm x 10 cm x 15 cm) que dissipa 15 W
uniformemente. A condutibilidade térmica da
placa é 12 W/m.°C. Todo o calor gerado nos
componentes é conduzido através da placa e
dissipado pelo lado oposto para um meio a
37°C, com um coeficiente de transferência de
calor de 45 W/m2.°C.
(a) Determine as temperaturas
superfícies dos dois lados da placa.

das

(b) Agora, considere que uma placa de
alumínio de 0,1 cm de espessura (com
mesma altura e largura da placa de circuito),
contendo 20 aletas retangulares (0,2 cm x 2
cm x 15 cm), é colada à parte posterior da
placa de circuito com uma camada de 0,03
cm de um adesivo (k = 1,8 W/m.°C).
Determine as novas temperaturas nos dois
lados da placa de circuito.
Componentes
eletrônicos

Aletas
Conteúdo de Transferência de Calor
Conteúdo de Transferência de Calor
Conteúdo de Transferência de Calor

Conteúdo de Transferência de Calor

  • 1.
    Capítulo 8: Transferênciade calor por condução
  • 2.
    Condução • Equação dacondução de calor; • Condução de calor unidimensional e em regime permanente; • Aletas; • Condução de calor bidimensional (Fator de Forma); • Condução de calor em regime transiente.
  • 3.
    Condução • Um corposólido isolado está em equilíbrio térmico se a sua temperatura for a mesma em qualquer parte do corpo. • Se a temperatura no sólido não for uniforme, calor será transferido por atividade molecular das regiões de temperaturas elevadas para as de baixas temperaturas. • Este processo de transferência de calor por condução é dependente do tempo e continuará ocorrendo até que um campo uniforme de temperatura exista em todo o corpo isolado.
  • 4.
    Condução • A transferênciade energia ocorre por interação molecular (associada a energia cinética entre as partículas individuais ou em grupo, etc...) e não há transporte de massa (sistema): – Exemplos: ferro elétrico, moldes de fundição, parede com isolamento, etc. • Sua contribuição para o processo global de transferência de calor pode ser bastante significativa, dependendo do material usado.
  • 5.
    Modelo de conduçãotérmica • O mecanismo de transferência de calor por condução térmica consiste de um processo de difusão. • Temperatura é “transportada” da região de maior concentração para a de baixa concentração. • Joseph Fourier modelou a difusão em função do gradiente de temperatura e de uma constante de proporcionalidade.
  • 6.
    Modelo de conduçãotérmica • O taxa de calor por unidade de área, ou fluxo de calor ( ), depende da área em que ele cruza, portanto possui uma natureza vetorial.
  • 7.
    Modelo de conduçãotérmica • Fourier postulou que a taxa de transferência de calor por unidade de área da superfície é proporcional ao gradiente de temperatura normal à superfície (dT/dn). A cte de proporcionalidade corresponde à condutibilidade térmica do material (k): Perfil de temperatura ao longo da linha a-a, paralela ao vetor normal n
  • 8.
    Modelo de conduçãotérmica • Por que o sinal negativo na lei de Fourier?? • Por que o fluxo de calor é positivo quando flui na direção do decréscimo da temperatura (segunda lei da termodinâmica).
  • 9.
    Condutibilidade térmica (k) •É uma propriedade termofísica do material através do qual o calor flui. • Usualmente refere-se a um material com comportamento isotrópico e homogêneo – Comportamento isotrópico: quando não há variação de propriedade com a direção. – Comportamento homogêneo: quando a propriedade é constante em toda a superfície do material.
  • 10.
    Condutibilidade térmica (k) •Unidades: W/m. oC ou Btu/h.ft. oF. • Em muitos materiais apresenta uma grande dependência da temperatura e uma pequena da pressão. • Para o mesmo fluxo de calor, quanto maior for k menor é a variação de temperatura ao longo da superfície.
  • 11.
  • 12.
    • O fluxode calor na superfície diagonal da cunha de baquelite é de 680 Btu/h.ft2. Determine o fluxo de calor e o gradiente de temperatura nas direções x e y. Kbaquelite = 0,8089 Btu/h x ftºF
  • 14.
    • Uma lonade freio é pressionada contra um tambor rotativo de aço. Calor é gerado na superfície de contato tambor-lona na taxa de 200 W/m2. 90% do calor gerado passa para o tambor de aço, o restante passa pela lona. Determine os gradientes térmicos no ponto de contato tambor-lona. Kaço = 60,3 W/mºC Klona = 0,013 W/mºC
  • 15.
    • Uma lonade freio é pressionada contra um tambor rotativo de aço. Calor é gerado na superfície de contato tambor-lona na taxa de 200 W/m2. 90% do calor gerado passa para o tambor de aço, o restante passa pela lona. Determine os gradientes térmicos no ponto de contato tambor-lona.
  • 16.
    Formulação – Sistemainfinitesimal ou elemento do sólido • Considerando que a conversão de alguma forma de energia (elétrica, química) em energia térmica pode ocorrer dentro do sistema.
  • 17.
    Primeira Lei daTermodinâmica • A taxa de transferência de calor do elemento é a soma da taxa de transferência de calor através das fronteiras do elemento e a taxa na qual energia térmica é gerada internamente • Aplicando a 1ª lei e considerando que não há realização de trabalho e nem variação de energia cinética e potencial, pode-se escrever que:
  • 18.
    Taxa de trocade energia interna • A única forma de energia presente no elemento é a energia interna do material e pode-se escrever que: • Admitiu-se que o calor específico é constante, pois as variações de temperatura na barra é pequena. • Também foi admitido que o sistema é incompressível.
  • 19.
    Taxa líquida decondução • A lei de Fourier é utilizada para determinar a taxa líquida de transferência de calor por condução (material) através das seis superfícies planas do elemento. • Considerando a condutibilidade térmica do material constante, a forma diferencial da taxa líquida de condução:
  • 20.
    Taxa de calorgerada internamente • O calor gerado dentro do elemento é expresso em termos de volume: • Ou seja, refere-se à energia interna específica gerada por unidade de volume.
  • 21.
    Equação da conduçãode calor • No sistema de coordenadas cartesianas, a equação da condução de calor é: • Ou
  • 22.
    Equação da conduçãode calor • No sistema de coordenadas cilíndricas, a equação da condução de calor é:
  • 23.
    Condições de contorno •Para determinar a distribuição de temperatura em um meio é necessário resolver a formulação correta da equação de calor. • Esta solução depende das condições físicas existentes nas fronteiras do meio e, se a situação for dependente do tempo, das condições existentes no meio em um determinado instante (t). • As condições de fronteira são chamadas de condições de contorno.
  • 24.
    : Coordenada perpendicularà superfície através do qual o calor é transferido.
  • 25.
    Parede Finas • Considerandouma camada de material que apresenta um condutibilidade térmica constante k, espessura L e temperaturas superficiais impostas T0 e TL. • A solução deste problema é simples quando as camadas podem ser consideradas finas, em consideração as dimensões do corpo que está sendo isolado.
  • 26.
    Condução de calorunidimensional em RP • Para um elemento unidimensional em que não haja geração de calor interna e em regime permanente, da equação da condução de calor pode-se escrever que: • A solução geral: Perfil linear de temperatura
  • 27.
    Condução de calorunidimensional em RP • Para o caso em que os dois lados da placa infinita estão em temperaturas uniformes as condições de contorno são: – Para x = 0 => T = To – Para x = L => T = TL • Resolvendo a equação diferencial com estas condições de contorno obtém-se:
  • 28.
    Condução de calorunidimensional em RP • O fluxo de calor pode ser calculado através da Lei de Fourier como: Fluxo de Calor
  • 29.
    Analogia: transferência decalor (RP) e fluxo de corrente
  • 30.
    Analogia: transferência decalor (RP) e fluxo de corrente
  • 31.
    Condução de calorunidimensional em RP • Caso uma condição de contorno de convecção esteja presente em x = 0, as condições de contorno são: – Para x = 0 => h(T∞ – T ) = -k(dT/dx) – Para x = L => T = T2
  • 32.
    Condução de calorunidimensional em RP • Para a condição de contorno de convecção:
  • 33.
    Condução de calorunidimensional em RP • Para a condição de contorno de convecção, a taxa de transferência de calor através da placa é:
  • 34.
    Condução de calorunidimensional em RP • A taxa de transferência de calor também pode ser determinada na fronteira com convecção:
  • 35.
    Condução de calorunidimensional em RP • A taxa de transferência de calor também pode ser determinada na análise do circuito térmico equivalente: • A resistência total oferecida pelo sistema é a soma das resistências oferecidas pela fronteira com convecção e pelo sólido:
  • 36.
    Condução de calorunidimensional em RP • A taxa total de transferência de calor pela placa é:
  • 37.
  • 38.
    • Uma fitade aquecimento é fixada a uma face de uma grande placa de liga de alumínio 2024-T6 com 3 cm de espessura. A outra face da placa é exposta ao meio circunvizinho, que está a uma temperatura de 20º C. O lado de fora da fita de aquecimento está completamente isolado. Determinar a taxa de calor que precisa ser fornecida para manter a superfície da placa que está exposta ao ar a uma temperatura de 80º C. Determinar também a temperatura da superfície na qual a fita de aquecimento está fixada. O coeficiente de transferência de calor entre a superfície da placa e o ar é de 5 W/m2 ºC. Tq = ?
  • 41.
    Condução de calorunidimensional em RP • No caso de parede compostas, o conceito de resistência térmica pode ser utilizado de forma análoga a circuitos elétricos série/paralelo
  • 43.
  • 45.
    Cilindro oco • Ocircuito térmico também pode ser usado para determinar a taxa de transferência de calor unidimensional em RP em cilindro oco ou composto. • Neste caso a direção do fluxo será puramente radial. • Considere um cilindro com raio interno ri e externo ro , comprimento L e temperaturas internas Ti e externa To.
  • 47.
    Distribuição de temperaturaunidimensional • Considerando que não há geração interna de calor e que o regime é permanente, a equação diferencial apropriada para o cilindro oco é: • As condições de contorno são: – Para r = ri => T = Ti – Para r = ro => T = To • Integrando a equação:
  • 48.
    Taxa de transferênciade calor • A expressão para a taxa total de transferência de calor é: • A resistência equivalente oferecida pelo cilindro à transferência de calor é:
  • 49.
  • 50.
    Um tubo lisode aço carbono com diâmetro interno de 5,25 cm e espessura de 0,78 cm, é recoberto com seis camadas de papel corrugado de asbesto com 2 cm de espessura no total. A temperatura do vapor de água no lado interno do tubo é de 150 °C e o ar no lado externo é de 25 °C. Estime: i) a temperatura da superfície do lado externo do isolamento e; ii) a taxa de transferência de calor por metro de comprimento do tubo. Dados: hvapor = 1500 W/m2°C ; har = 5 W/m2°C.
  • 51.
    Um tubo lisode aço carbono com diâmetro interno de 5,25 cm e espessura de 0,78 cm, é recoberto com seis camadas de papel corrugado de asbesto com 2 cm de espessura no total. A temperatura do vapor de água no lado interno do tubo é de 150 °C e o ar no lado externo é de 25 °C. Estime: i) a temperatura da superfície do lado externo do isolamento e; ii) a taxa de transferência de calor por metro de comprimento do tubo. Dados: hvapor = 1500 W/m2°C ; har = 5 W/m2°C.
  • 54.
    Transferência de calor •É desejável em muitas aplicações industriais aumentar a taxa de transferência de calor de uma superfície sólida para um fluido adjacente. • Para tanto é preciso analisar os parâmetros de projeto e fazer as alterações necessárias para aumentar esta transferência de calor.
  • 55.
    Aumento de transferênciade calor • Considerando uma placa plana com temperatura da superfície fixa (uniforme), a taxa de transferência de calor pode ser elevada: – Com o aumento da velocidade do fluido, que tem o efeito de aumentar o coeficiente de transferência de calor (h); – Com o aumento da diferença de temperaturas da superfície e do fluido; – Com o aumento da área da superfície transversal, através da qual ocorre a convecção. • As duas primeiras medidas podem, em alguns casos, ser limitadas e se tornarem insuficientes, dispendiosas e/ou impraticáveis. • Uma das opções mais comuns é aumentar a área da superfície transversal.
  • 56.
    Aletas • São superfíciesestendidas, que vão desde a parede da superfície sólida em direção ao fluido adjacente. • São utilizadas para o aquecimento resfriamento de sistemas. e para o • A condutibilidade térmica do material da aleta tem forte efeito na distribuição de temperatura ao longo da aleta e afeta o grau no qual a taxa de transferência de calor é aumentada ou diminuída. • O ideal é que a aleta tenha uma condutibilidade térmica alta para minimizar as variações de temperatura de sua base para a extremidade. No caso limite (condutibilidade infinita), toda a aleta estaria à mesma temperatura da base.
  • 57.
    Aletas • Como aárea de contato entre o fluido e a superfície (área molhada) no caso aletado é superior, o fluxo de calor total é maior que no caso sem aletas. • O problema básico no projeto térmico das superfícies aletadas é determinar uma correlação entre o fluxo de calor e as grandezas pertinentes ao sistema (∆T, h e k).
  • 58.
  • 59.
    Aletas O calor étransportado da base (ou para a base) por meio da condução térmica e adicionado (ou removido) ao ambiente externo pela convecção térmica.
  • 60.
    Aletas de seçãotransversal constante • É a aleta mais simples de se analisar. • A hipótese básica desse tipo de aleta é que a distribuição de temperatura nela é função unicamente de x (fluxo de calor unidimensional na aleta): esta hipótese é uma boa aproximação para certas condições.
  • 61.
    Balanço de energia:análise preliminar • Antes de iniciar o balanço de energia é importante notar que a área da superfície original (sem aletas) é a soma da área das bases das aletas com a área não aletada restante: • Logo, a transferência de calor total será: • Onde o índice “ba” refere-se a base das aletas e “na” a parte não aletada.
  • 62.
    Balanço de energiana aleta • Da hipótese unidimensional, o fluxo de calor na base da aleta é independente de y e pode ser determinado por:
  • 63.
  • 64.
  • 65.
    Equação da aleta •Substituindo a expressão anterior na 1º Lei: • Esta equação mostra que a taxa líquida de transferência de calor por condução na fatia de aleta é igual a taxa de transferência de calor por convecção do fluido através da superfície lateral da fatia considerada.
  • 66.
    Aleta Longa • Aponta da aleta está em equilíbrio térmico com o fluido, impondo neste caso a seguinte condição de contorno: T → T∞ quando x →∞ • A outra condição é que a temperatura na base da aleta é igual a temperatura da superfície onde estão montadas as aletas: T = Tb quando x =0
  • 67.
  • 68.
    Aleta longa: soluçãoem θ • Sendo h constante ao longo da aleta, a solução da equação diferencial é: • A temperatura decai exponencialmente a partir da temperatura da base até a do fluido numa posição remota da base.
  • 69.
    Aleta finita eponta isolada
  • 70.
    Transferência de calor:aleta finita e ponta isolada • A taxa de transferência de calor da aleta pode ser determinado como: • Onde:
  • 71.
    Transferência de calor:aleta finita e ponta isolada • Analisando através do circuito térmico, a resistência térmica da aleta: onde N é o número de aletas fixadas à superfície.
  • 72.
    Transferência de calor:parte não aletada
  • 73.
  • 74.
  • 75.
    Taxa de transferênciade calor total
  • 76.
    Transferência de calor:aleta finita e condição de convecção • Caso exista uma condição de contorno de convecção na extremidade da aleta (com transferência de calor para o ambiente, por exemplo), o comprimento da aleta precisa ser alterado: • Este novo comprimento de aleta (Lc) será usado no cálculo da resistência térmica da aleta:
  • 77.
    Aleta cilíndrica • Parao caso de uma aleta cilíndrica com diâmetro D, a correção do comprimento da aleta será:
  • 79.
    • Água quentea 98°C escoa através de um tubo de bronze comercial com diâmetro interno de 2 cm. O tubo é extrudado e tem o perfil da seção transversal mostrado abaixo. O diâmetro externo do tubo aletado é de 2,8 cm e as aletas têm 1 cm de comprimento e 2 mm de espessura. O coeficiente de calor por convecção do lado da água é de 1200W/ m2°C. O tubo aletado está exposto ao ar a 15°C e o coeficiente de calor por convecção é 5 W/ m2°C. Determine a taxa de transferência de calor por metro de comprimento do tubo.
  • 80.
  • 82.
    aleta finita e pontaisolada Condição contorno: convecção
  • 83.
  • 84.
    Condução de calorbidimensional • Soluções analíticas para condução térmica em casos 2D requer um esforço muito maior daquelas para casos 1D. • Há no entanto inúmeras soluções baseadas em técnicas da Física-Matemática, tais como: séries de Fourier, séries de Bessel, séries de Legendre, Transformada de Laplace entre outras. • Baseado nestas soluções analíticas o Livro Texto propõe a determinação da taxa de calor para algumas situações bidimensionais baseado em ”fatores de forma de condução”.
  • 85.
    Fator de formade condução • Considerando que a geometria contém somente DUAS superfícies ISOTÉRMICAS, T1 e T2, e que o material é homogêneo: • Onde S é o fator de forma de condução e tem dimensão de comprimento (m). • Comparando esta equação com a das placas planas infinitas (unidimensional) pode-se determinar que o seu fator de forma de condução é: Tabela 8-3. Páginas 312 a 314
  • 89.
    Tubos de águaquente e fria seguem em paralelo por um trecho de 5 m (figura). Ambos os tubos têm diâmetro de 5 cm, e a distância entre suas linhas de centro é de 30 cm. As temperaturas das superfícies dos tubos são 70°C e 15°C, respectivamente para o de água quente e fria. Assumindo a condutibilidade térmica do concreto como 0,75 W/m.°C, determine a taxa de transferência de calor entre os tubos.
  • 91.
  • 93.
    Condução de calorem regime transiente • Até o momento só foi analisada a transferência de calor por condução em regime permanente. • No entanto, na prática a temperatura, e outras propriedades, pode variar no espaço e no tempo, o que faz com que as condições de contorno térmicas sejam dependentes do tempo. • Neste caso, a transferência de calor ocorre em regime transiente (ou transitório).
  • 94.
    Condução de calorem regime transiente Considere que um corpo possua uma temperatura uniforme Ti e experimente uma mudança térmica repentina em seu meio circunvizinho. • O calor transferido por convecção para o corpo sólido é difundido por condução em seu interior. • A taxa com que esta mudança é sentida no interior do corpo irá depender da resistência à transferência de calor oferecida em suas superfícies e a oferecida internamente (dentro do material). Como se calcula essa distribuição de Temperatura e o Fluxo de Calor?
  • 95.
    Condução de calorem regime transiente • Na obtenção da distribuição transitória no corpo, técnicas matemáticas são bastante elaboradas, mesmo para um configuração geométrica simples. • Métodos numéricos: auxiliados por softwares. Útil para: Geometrias compostas complicadas de diferentes materiais. Propriedades termofísicas variáveis. Condições de contorno não lineares. Soluções utilizando expressões algébricas (com auxílio de grupos adimensionais) e cartas gráficas.
  • 96.
    Método da AnáliseConcentrada • ou Capacitância Global. • Quando um sólido sofre uma rápida alteração em sua temperatura, por meio do fluido circunvizinho. • Distribuição de temperatura no sólido é uniforme (se Resistência Térmica na Superfície for muito maior que a Resistência Térmica interna). • O caso limite será aquele em que a condutibilidade térmica do material for infinita causando uma resistência interna nula à transferência de calor. • A temperatura dependente do tempo pode ser determinada através da análise concentrada.
  • 97.
    Análise concentrada • A 1ªlei para um corpo irregular, sem geração interna de calor, é: • Onde V é o volume e A é a área da superfície do corpo. • A distribuição de temperatura no corpo é obtida pela integração desta equação.
  • 98.
    Modelo concentrado: distribuiçãode temperatura Onde a é a constante de integração. • A condição inicial pode ser escrita como: Para: t=0 T = T0 • A expressão final para a temperatura no corpo é:
  • 99.
    Quando é válidoaplicar a análise concentrada? • A análise concentrada só é válida quando a temperatura no interior do corpo varia uniformemente. • Se Bi ≤ 0,1 Biot (Bi) compara as resistências interna e externa ao corpo sólido. * L é uma dimensão característica do corpo.
  • 100.
    Análise concentrada –grupos adimensionais Razão entre a taxa de condução de calor para a taxa de armazenamento de energia térmica
  • 101.
    Análise concentrada: taxade transferência de calor • Expressão da temperatura no corpo na forma adimensional: • A taxa de transferência de calor, em qualquer instante de tempo, é determinada por: • O calor total transferido do ou para o corpo sólido será:
  • 102.
    Análise concentrada comgeração interna de calor • Se houver geração interna de calor no corpo que comece em t = 0, a equação diferencial da energia será: • Temperatura do corpo com geração interna de calor:
  • 103.
    * Constante de tempo: Se :Variação lenta de Temperatura Se : Variação rápida de Temperatura
  • 104.
    Exemplo: Um esferasólida de aço, AISI 1010, com 1 cm de diâmetro, inicialmente a 15 oC é colocada em uma corrente de ar, T = 60 oC. Estimar a temperatura dessa esfera em função do tempo depois de ter sido colocada na corrente de ar quente. Estimar também a taxa de calor transferido para a esfera. O coeficiente médio de transferência de calor por convecção é de 20 W/m2 oC. Tabela A-14
  • 105.
    Exemplo: Um esferasólida de aço, AISI 1010, com 1 cm de diâmetro, inicialmente a 15 oC é colocada em uma corrente de ar, T = 60 oC. Estimar a temperatura dessa esfera em função do tempo depois de ter sido colocada na corrente de ar quente. Estimar também a taxa de calor transferido para a esfera. O coeficiente médio de transferência de calor por convecção é de 20 W/m2 oC.
  • 108.
    * A resoluçãodo livro não utiliza o conceito de Constante de Tempo.
  • 109.
  • 111.
    Supor Bi <0,1 para cálculo do diâmetro e aplicar análise concentrada Hipótese válida;
  • 112.
    Condução Transiente, Bi> 0,1 • Não se considera a temperatura uniforme: – Não se aplica a análise concentrada. – Deve-se considerar a variação da temperatura no tempo e no espaço. – O distúrbio da fronteira se propaga por “difusão” no interior do sólido.
  • 113.
    Condução transitória unidimensional Bi> 0,1 • O distúrbio da fronteira se propaga por „difusão‟ no interior do sólido somente ao longo da direção “x”. • Na ausência de geração interna de calor, a equação da condução de calor no sistema de coordenadas cartesianas reduz-se a:  2T 1 T  2 x  t • Em coordenadas cilíndricas:  2T 1 T 1 T   2 r r r  t A sua análise dependerá de configurações específicas, nas quais serão definidas uma condição inicial (associado ao tempo) e duas condições de contorno.
  • 114.
    Sólido semi-infinito: Possuiuma face com largura “infinita”: Qualquer distúrbio na temperatura nessa face NUNCA atingirá a outra extremidade; • A: Mudança súbita na temperatura de superfície T1 T1 T0 Qualquer sólido com dimensões „finitas‟ pode ser “aproximado” como um sólido semi-infinito desde que o distúrbio de temperatura da face não atinja a sua outra fronteira.
  • 116.
  • 117.
    Sólido semi-infinito • B:Mudança súbita no fluxo de calor  qp T0
  • 118.
    Sólido semi-infinito • C:Mudança súbita na temperatura do fluido T0
  • 119.
  • 121.
    t = (60)(24) (3600) = 5,184 x106 s
  • 122.
    Solução Gráfica: Paracasos que envolvam condução unidimensional transiente onde Bi > 0,1 Placa infinita Cilindro Infinito Esfera • Para que a transferência de calor seja unidimensional é necessário que as dimensões do corpo, normal a direção do fluxo, sejam muito grandes.
  • 123.
    Condução transiente unidimensional •A solução gráfica é apresentada para corpos sólidos com espessura 2L submetidos a um fluxo de calor imposto por um coeficiente de transferência de calor, h, idêntico em ambas as faces. • Uma análise do modelo matemático, descrito pela equação diferencial e as condições inicial e de contorno, indica que a distribuição da temperatura na placa é uma função de NOVE variáveis:
  • 124.
    Condução transiente unidimensional •Para reduzir o número de variáveis recorre-se ao uso de grupos adimensionais. • A solução gráfica fornece a temperatura na linha de centro e na superfície (x = L) relacionando Bi2Fo com diferentes curvas Bi. • A solução gráfica para o calor transferido permite encontrá-lo através:
  • 125.
    1 - PlacaPlana infinita (Fig 8-20, 8-21 e 8-22)
  • 126.
    2- Cilindro infinito (Fig8-23, 8-24 e 8-25)
  • 127.
    • Uma grandeparede sólida de tijolo com 15 cm de espessura atinge uma temperatura uniforme de 0oC durante uma noite de inverno. Às 9 h da manhã o ar adjacente à parede se aquece até uma temperatura de 15oC. O ar se mantém nesta temperatura até as 15 h. Estimar a temperatura na linha de centro e na superfície da parede de tijolo às 12 h. Determinar também a temperatura média do tijolo e a quantidade de calor/m2 que foi transferida do ar para o tijolo. “h” pode ser considerado constante e igual a 50W/m2 oC.
  • 131.
    Configurações multidimensionais São restritasaquelas que podem ser formadas através do uso de um sólido semiinfinito, placas infinitas, ou um cilindro infinito. Restrições adicionais: • Todas as condições de contorno térmicas precisam experimentar uma mudança súbita simultânea. • A distribuição de temperatura inicial no corpo é uniforme, T0. • Todas as temperaturas da superfície do fluido, definidas nas condições de contorno após a mudança repentina, precisam ser iguais, T. • Fluxo de calor uniforme ou condições de contorno não lineares não podem estar presentes.
  • 132.
    Configurações multidimensionais • Temperaturaadimensional num paralelepípedo: • Temperatura adimensional num cilindro infinito: Usar Lc = L ; NÃO L/2
  • 133.
    Exemplo Um cilindro deaço inoxidável (AISI 304) de 2 cm de diâmetro e 5 cm de comprimento é retirado de um forno e colocado sobre uma mesa como mostrado na figura. O cilindro está a uma temperatura uniforme de 300°C quando é retirado do forno. A superfície em contato com a mesa é considerada perfeitamente isolada durante o processo de resfriamento, e as demais superfícies estão em contato com o ar a uma temperatura de 15°C. Determinar a temperatura máxima do cilindro 10 minutos depois de ter sido retirado do forno. O coeficiente médio de transferência de calor durante o processo de resfriamento é de 50 W/m2.°C. Resolução Livro texto 9
  • 134.
    Um cilindro deaço inoxidável (AISI 304) de 2 cm de diâmetro e 5 cm de comprimento é retirado de um forno e colocado sobre uma mesa como mostrado na figura. O cilindro está a uma temperatura uniforme de 300°C quando é retirado do forno. A superfície em contato com a mesa é considerada perfeitamente isolada durante o processo de resfriamento, e as demais superfícies estão em contato com o ar a uma temperatura de 15°C. Determinar a temperatura máxima do cilindro 10 minutos depois de ter sido retirado do forno. O coeficiente médio de transferência de calor durante o processo de resfriamento é de 50 W/m2.°C.
  • 136.
    Resumo: Condução Transiente •Bi <0,1 Análise Concentrada: “Corpo qualquer” • Unidimensional. Bi>0,1 Sólido semi-infinito: 3 condições de contorno (Mudanças súbitas em: Ts, Q, T): “Fórmulas erf (X)” • Unidimensional. Bi>0,1 Placa infinita , Cilindro Infinito: “Gráficos” Lc = L/2 • Configurações multidimensionais: “Produto das Tadimensionais” Lc = L
  • 137.
    Exercícios propostos 8-7 ;8-11 ; 8-21 ; 8-25 ; 8-28 ; 8-30 ; 8-38
  • 138.
  • 139.
  • 142.
  • 144.
    • O Tijoloda chaminé da figura a seguir, tem 5 m de altura. Uma estimativa da taxa de transferência de calor total através da parede da chaminé quando as superfícies internas estão a uma temperatura uniforme de 100ºC e as superfícies externas são mantidas a uma temperatura uniforme de 20º C é requerida. • Tabela A-15.2 Ktijolo = 0,72 W/mºC D = 5m L = 0,1 m * Solução no livro texto
  • 145.
    Parede Extremidades Parede . • Qc =27,7 x 0,72 (100-20) = 1,595 kW • 4 planos de Simetria
  • 146.
    Uma condução unidimensionalem regime permanente com geração interna de energia ocorre numa placa plana de 50 mm de espessura e condutibilidade térmica constante de 5 W/m.K. Para estas condições, a distribuição de temperatura tem a forma T(x) = a + bx + cx2. A superfície em x = 0 tem temperatura T(0) = 120°C e experimenta uma convecção com um fluido a 20°C e h=500 W/m2.K. Já a superfície em x = L está bem isolada. a) Através do balanço de energia na parede, calcule a taxa de geração de calor. b) Determine os coeficientes a, b e c aplicando as condições de contorno à distribuição de temperatura dada. Fluido
  • 147.
  • 148.
  • 149.
    Componentes eletrônicos estãoinstalados no lado anterior de uma placa de circuito (0,2 cm x 10 cm x 15 cm) que dissipa 15 W uniformemente. A condutibilidade térmica da placa é 12 W/m.°C. Todo o calor gerado nos componentes é conduzido através da placa e dissipado pelo lado oposto para um meio a 37°C, com um coeficiente de transferência de calor de 45 W/m2.°C. (a) Determine as temperaturas superfícies dos dois lados da placa. das (b) Agora, considere que uma placa de alumínio de 0,1 cm de espessura (com mesma altura e largura da placa de circuito), contendo 20 aletas retangulares (0,2 cm x 2 cm x 15 cm), é colada à parte posterior da placa de circuito com uma camada de 0,03 cm de um adesivo (k = 1,8 W/m.°C). Determine as novas temperaturas nos dois lados da placa de circuito. Componentes eletrônicos Aletas
  • 150.
    Componentes eletrônicos estãoinstalados no lado anterior de uma placa de circuito (0,2 cm x 10 cm x 15 cm) que dissipa 15 W uniformemente. A condutibilidade térmica da placa é 12 W/m.°C. Todo o calor gerado nos componentes é conduzido através da placa e dissipado pelo lado oposto para um meio a 37°C, com um coeficiente de transferência de calor de 45 W/m2.°C. (a) Determine as temperaturas superfícies dos dois lados da placa. das (b) Agora, considere que uma placa de alumínio de 0,1 cm de espessura (com mesma altura e largura da placa de circuito), contendo 20 aletas retangulares (0,2 cm x 2 cm x 15 cm), é colada à parte posterior da placa de circuito com uma camada de 0,03 cm de um adesivo (k = 1,8 W/m.°C). Determine as novas temperaturas nos dois lados da placa de circuito. Componentes eletrônicos Aletas
  • 152.
    Componentes eletrônicos estãoinstalados no lado anterior de uma placa de circuito (0,2 cm x 10 cm x 15 cm) que dissipa 15 W uniformemente. A condutibilidade térmica da placa é 12 W/m.°C. Todo o calor gerado nos componentes é conduzido através da placa e dissipado pelo lado oposto para um meio a 37°C, com um coeficiente de transferência de calor de 45 W/m2.°C. (a) Determine as temperaturas superfícies dos dois lados da placa. das (b) Agora, considere que uma placa de alumínio de 0,1 cm de espessura (com mesma altura e largura da placa de circuito), contendo 20 aletas retangulares (0,2 cm x 2 cm x 15 cm), é colada à parte posterior da placa de circuito com uma camada de 0,03 cm de um adesivo (k = 1,8 W/m.°C). Determine as novas temperaturas nos dois lados da placa de circuito. Componentes eletrônicos Aletas