Metabolismo

De Carboidratos
Carboidratos                        Nucleotídeos


         Lipídeos       Proteínas



                    Energia
                       +
               Moléculas Corporais
Conjunto de reações químicas, catalisadas por
enzimas, que ocorrem no organismo –
METABOLISMO.

A conversão dos alimentos em moléculas mais simples
e energia é conhecida como catabolismo – após a
digestão

Anabolismo – reações que produzem as grandes
moléculas necessárias às células a partir das pequenas
moléculas e da energia liberada pelo catabolismo
Anabolismo = Biossíntese

Síntese de moléculas biologicamente importantes


                 ALIMENTOS


                 MOLÉCULAS           SOL


                   ENERGIA
FOTOSSÍNTESE


Energia Luminosa     Energia Química        Carboidratos


           6 CO2 + 6 H2O   Luz
                                 C6H12O6 + 6O2


               Reações Catabolíticas
                   CARBOIDRATOS
    ATP                                           ATP

        ATP                                 ATP
                    ATP          ATP

                     Combustíveis
Macromoléculas              Moléculas Simples


                       Energia
Energia


                   Glicose


    fotossíntese                     catabolismo
      CO2                              H2O
      H2O                              CO2
Para que precisamos desta energia?




            Para manter o organismo em
            funcionamento.
Trabalho Químico – Anabolismo


Trabalho mecânico – Contração
muscular


Trabalho de transporte – impulsos
nervosos
Transferência e Armazenamento de Energia

            CARBOIDRTOS


        MOLÉCULAS PEQUENAS


               ENERGIA



             ARMAZENADA
      ADENOSINA TRIFOSFATO - ATP
Catabolismo


          Energia Química


Átomos de H e elétrons de alta energia



            Transportados
            COENZIMAS
Nicotinamida Adenosina dinucleotídeo NAD+ (oxidada) –
NADH (reduzida). O NADH difere do NAD por um
próton e um par de elétrons.


Nicotinamida Adenina dinucleotídio fosfato (NADP+)
(oxidada) – NADPH (reduzida)


Flavina Adenina Dinucleotídio FAD (oxidada) – FADH2
(reduzida)


Flavina Mononucleotídio FMN (oxidada) – FMNH2
Glicólise                                 Hemácias
                                          Células da
    Glicose                               córnea
                                          Cristalino
            principais vias metabólicas
                                          Rins
    Energia                               Testículos
                     Processo             Fibras
      Glicólise      Anaeróbio            musculares
                                          brancas

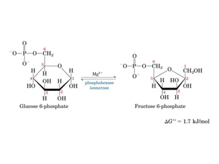
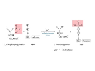
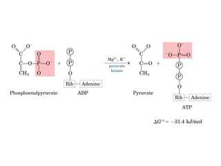
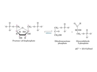
 Primeiro estágio da completa degradação da glicose
 durante o catabolismo
Metabolismo e catabolismo   bioquimica
Metabolismo e catabolismo   bioquimica
Metabolismo e catabolismo   bioquimica
Metabolismo e catabolismo   bioquimica
Metabolismo e catabolismo   bioquimica
Metabolismo e catabolismo   bioquimica
Metabolismo e catabolismo   bioquimica
Metabolismo e catabolismo   bioquimica
Metabolismo e catabolismo   bioquimica
Metabolismo e catabolismo   bioquimica
Metabolismo e catabolismo   bioquimica
Metabolismo e catabolismo   bioquimica
Metabolismo e catabolismo   bioquimica
Metabolismo e catabolismo   bioquimica
Metabolismo e catabolismo   bioquimica
Metabolismo e catabolismo   bioquimica

Metabolismo e catabolismo bioquimica

  • 1.
  • 2.
    Carboidratos Nucleotídeos Lipídeos Proteínas Energia + Moléculas Corporais
  • 3.
    Conjunto de reaçõesquímicas, catalisadas por enzimas, que ocorrem no organismo – METABOLISMO. A conversão dos alimentos em moléculas mais simples e energia é conhecida como catabolismo – após a digestão Anabolismo – reações que produzem as grandes moléculas necessárias às células a partir das pequenas moléculas e da energia liberada pelo catabolismo
  • 4.
    Anabolismo = Biossíntese Síntesede moléculas biologicamente importantes ALIMENTOS MOLÉCULAS SOL ENERGIA
  • 5.
    FOTOSSÍNTESE Energia Luminosa Energia Química Carboidratos 6 CO2 + 6 H2O Luz C6H12O6 + 6O2 Reações Catabolíticas CARBOIDRATOS ATP ATP ATP ATP ATP ATP Combustíveis
  • 6.
    Macromoléculas Moléculas Simples Energia Energia Glicose fotossíntese catabolismo CO2 H2O H2O CO2
  • 7.
    Para que precisamosdesta energia? Para manter o organismo em funcionamento.
  • 8.
    Trabalho Químico –Anabolismo Trabalho mecânico – Contração muscular Trabalho de transporte – impulsos nervosos
  • 9.
    Transferência e Armazenamentode Energia CARBOIDRTOS MOLÉCULAS PEQUENAS ENERGIA ARMAZENADA ADENOSINA TRIFOSFATO - ATP
  • 10.
    Catabolismo Energia Química Átomos de H e elétrons de alta energia Transportados COENZIMAS
  • 11.
    Nicotinamida Adenosina dinucleotídeoNAD+ (oxidada) – NADH (reduzida). O NADH difere do NAD por um próton e um par de elétrons. Nicotinamida Adenina dinucleotídio fosfato (NADP+) (oxidada) – NADPH (reduzida) Flavina Adenina Dinucleotídio FAD (oxidada) – FADH2 (reduzida) Flavina Mononucleotídio FMN (oxidada) – FMNH2
  • 12.
    Glicólise Hemácias Células da Glicose córnea Cristalino principais vias metabólicas Rins Energia Testículos Processo Fibras Glicólise Anaeróbio musculares brancas Primeiro estágio da completa degradação da glicose durante o catabolismo