ISOMERIA
Compostos diferentes com a mesma fórmula molecular denominam-se isômeros.
Isômeros constitucionais (ou estruturais) são isômeros que diferem devido à
diferente ligação dos seus átomos. Por exemplo:

Fórmula
molecular
C4H10

C5H11Cl

C2H6O

Isômeros constitucionais
ISOMERIA
Os isômeros constitucionais podem ser subdivididos em:
a)

Isomeria de Função;

b) Isomeria de Cadeia;
c) Isomeria de posição;
d) Isomeria de Compensação ou Metameria;
e) Isomeria Dinâmica ou Tautomeria.

-Nem todos os grupos estão unidos ao mesmo centro
-São moléculas muito diferentes tanto em suas propriedades físicas como
químicas.
ISOMERIA

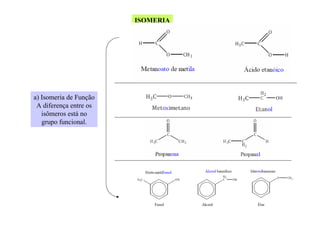
a) Isomeria de Função
A diferença entre os
isômeros está no
grupo funcional.
ISOMERIA

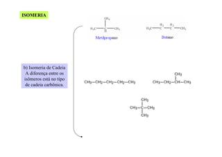
b) Isomeria de Cadeia
A diferença entre os
isômeros está no tipo
de cadeia carbônica.
ISOMERIA

c) Isomeria de
Posição
A diferença entre os
isômeros está na
posição de um grupo
funcional, de
uma insaturação ou
de um substituinte.
ISOMERIA

d) Isomeria de
Compensação ou
Metameria
A diferença entre os
isômeros está apenas
na posição de um
heteroátomo.
ISOMERIA

e) Tautomeria
Este tipo de isomeria ocorre quando dois compostos de mesma
fórmula molecular e grupos funcionais diferentes coexistem em
equilíbrio dinâmico no qual um deles está continuamente se
transformando no outro e vice-versa.

A tautomeria ocorre somente na fase líquida, em compostos cuja molécula possui um
elemento muito eletronegativo, como o oxigênio ou nitrogênio, ligado ao mesmo
tempo ao hidrogênio e a um carbono insaturado (que possui ligação π).
ESTEREOQUÍMICA

QUÍMICA NOVA, 20(6) (1997) OS FÁRMACOS E A QUIRALIDADE: UMA BREVE ABORDAGEM
ESTEREOQUÍMICA
TALIDOMIDA
ESTEREOQUÍMICA

E COM OS ALIMENTOS ?

DOCE

AMARGO
ESTEREOQUÍMICA
MOLÉCULA AQUIRAL
É aquela que é superponível com sua imagem no espelho

Têm elementos de simetria
ESTEREOQUÍMICA
MOLÉCULA QUIRAL
É aquela que não é superponível com sua imagem no espelho
ESTEREOQUÍMICA

Estuda as estruturas moleculares em três dimensões;
Estereoisômeros
Enantiômeros (enantion, grego

oposto)

Diastereoisômeros

São produtos
diferentes?
ESTEREOQUÍMICA
ISÔMEROS
ESTEREOISÔMEROS

CONSTITUCIONAL

ENANTIÔMEROS

Imagem da molécula em um espelho
plano não é sobreponível a ela
mesmo
Todo enantiômero deve possuir um
centro quiral

Espelho

DIASTEREOISÔMEROS

Imagem da molécula, em um
espelho plano é sobreponível a ela
mesmo
ESTEREOQUÍMICA
CENTRO QUIRAL
Carbono com quatro grupos diferentes ligados a ele

Carbono QUIRAL

Também chamado de centro quiral;

Características deste carbono:
Assimétrico;
Geometria tetraédrica;
Hibridação sp3;
ESTEREOQUÍMICA
COMO IDENTIFICAR UMA MOLÉCULA QUIRAL
1.
2.

Ao avaliar a sobreposição não devemos “romper ou formar” ligações;
Para ser uma molécula quiral basta uma única região do molécula não coincidir com a
outra imagem;

Espelho

III e IV

Não são superponíveis

ENANTIÔMEROS
ESTEREOQUÍMICA
COMO IDENTIFICAR UMA MOLÉCULA QUIRAL
3.

Moléculas quirais não possuem plano de simetria;

Plano de simetria
Esta molécula é AQUIRAL

Possui plano de simetria

Esta molécula também possui plano de simetria

AQUIRAL
ESTEREOQUÍMICA
COMO IDENTIFICAR UMA MOLÉCULA QUIRAL

2-cloropropano

2-clorobutano
ESTEREOQUÍMICA
CENTRO QUIRAL
Outros átomos que também podem fazem quatro ligações pode ser um centro quiral;
1.

Devido a geometria tetraédrica o centro quiral do carbono pode existir em ambos os
arranjos tridimensionais que não são imagens superponíveis;
Estereoisômeros as
imagens não são
superponíveis

2-butanol
ESTEREOQUÍMICA
Propriedades de moléculas quirais
•

Os ENANTIÔMEROS possuem as mesmas propriedades FÍSICAS (P.F; P.E; Espectro
IV; UV; RMN

se medidos em solventes aquirais)

EXCETO O SENTIDO DE

ROTAÇÃO DO PLANO DE POLARIZAÇÃO DA LUZ.
•

Os ENANTIÔMEROS possuem as mesmas propriedades QUÍMICAS

EXCETO AS

REAÇÕES COM OUTROS COMPOSTOS OPTICAMENTE ATIVOS.
ATIVIDADE ÓTICA DE MOLÉCULAS QUIRAIS

DEXTROROTATÓRIAS (d, +)
LEVOROTATÓRIAS (l,-)

Gira a luz polarizada para a direita

Gira a luz polarizada para a esquerda
ESTEREOQUÍMICA
COMPOSTO OPTICAMENTE ATIVO
São capazes de modificar a rotação da luz polarizada;
COMPOSTOS QUIRAIS

SÃO OPTICAMENTE ATIVOS

MISTURA RACÊMICA
Mistura de partes iguais dos enantiômeros (+) e (-).

IMPORTÂNCIA DA QUIRALIDADE
1.

A quiralidade está difundida em todo o universo;

2.

O corpo humano é estruturalmente QUIRAL;

3.

A maioria das moléculas dos seres vivos são quirais e, geralmente, somente um tipo
é encontrado;

4.

Quase todos os aminoácidos que formam as proteínas são quirais e todos desviam a
luz para a esquerda (levorotatórios);
ESTEREOQUÍMICA
ESTEREOQUÍMICA
ATIVIDADE ÓTICA
Descoberto pelo físico João-Baptista Biot – 1815;
1848

Luis Pasteur

princípio da estereoquímica

Os enantiômeros giram o plano da luz polarizada em iguais quantidades mas em direções
opostas;

Onda eletromagnética

Ou seja, enantiômeros resolvidos (separados) apresentam atividade ótica;

As oscilações do campo elétrico e magnético podem ocorrer em todos os possíveis
planos perpendiculares a direção de propagação.
ESTEREOQUÍMICA
ATIVIDADE ÓTICA
Onda eletromagnética polarizada
Quando um feixe de luz comum passa através de um polarizador;
O polarizador interage com o campo elétrico da luz;
Após a interação a luz emerge do polarizador oscilando apenas em um plano;

POLARÍMETRO
Equipamento capaz de polarizar a luz;
A lente geralmente é constituída de CaCO3 em determinada forma cristalina
Chamado de polaróide PRISMA DE NICOL;
ESTEREOQUÍMICA
ATIVIDADE ÓTICA
POLARÍMETRO
ESTEREOQUÍMICA
ATIVIDADE ÓTICA
POLARÍMETRO

A) Polarímetro sem amostra;
B)

Observação de uma amostra que não é opticamente ativa;

C)

Observação de uma amostra que é opticamente ativa;
Rotação da luz polarizada;
ESTEREOQUÍMICA
ATIVIDADE ÓTICA
MEDIÇÃO
Medições realizadas em graus;
A rotação pode ocorrer para duas direções:
DIREITA (SENTIDO DO RELÓGIO)
dextrorotatório (d, +)

Assume-se valor POSITIVO

ESQUERDA (SENTIDO CONTRÁRIO DO RELÓGIO)
NEGATIVO Levorotatória (l, -);

FATORES QUE INFLUENCIAM:
Concentração da solução;
Comprimento de onda utilizado na fonte de luz;
Comprimento do tubo de amostra;
Temperatura;
Natureza do solvente.

Assume-se valor
ESTEREOQUÍMICA
ATIVIDADE ÓTICA
ROTAÇÃO ESPECÍFICA
D = raia D do sódio (589,6 nm);
T = temperatura, 0C;
α= rotação observada, graus
L = comprimento do tubo de amostra, cm
C = concentração da solução, g.mL-1
OBS: NO SI am = Poder rotatório ótico específico (rad m2 kg-1)
ESTEREOQUÍMICA
ATIVIDADE ÓTICA
ESTEREOQUÍMICA
NOMENCLATURA ENANTIÔMEROS: SISTEMA (R-S)

1.

Não existe correlação entre a configuração do enantiômero e a direção da rotação
ótica;

2.

Não existe correlação entre a designação R e S e a direção de rotação ótica;

R

Do latin rectus (direito – a favor do relógio)

S

Do latin sinister (esquerdo – contra o relógio)

COMO DETERMINAR A PRIORIDADE DOS GRUPOS?
ESTEREOQUÍMICA
NOMENCLATURA ENANTIÔMEROS: SISTEMA (R-S)
BASES (regras de precedência):
1.

Número atômico do elemento ligado ao centro quiral
•

Menor número atômico

menor prioridade (4)

•

Maior número atômico

maior prioridade (1)

OBS: No caso de isótopos o de maior massa atômica tem maior prioridade
2.

Quando os átomos ligados ao centro quiral forem iguais passa-se a determinar a
prioridade pelo próximo átomo;

3.

Deve-se posicionar o grupo de menor precedência (4) na posição contrária ao
observador (atrás do plano);

Visão da molécula com o grupo de menor prioridade apontando para fora do plano
ESTEREOQUÍMICA
NOMENCLATURA ENANTIÔMEROS: SISTEMA (R-S)
ESTEREOQUÍMICA
BASES:
3.

Quando houver ligações duplas ou triplas deve-se duplicar ou triplicar ambos os
átomos;

(S)-Alanina
[(S)-(+)-2-ácido
aminopropionico]
[α]D = +8.5°

(S)-Gliceraldeído
[(S)-(–)-2,3-dihidroxipropanal], [α]D = –8.7°
ESTEREOQUÍMICA

(R)-(+)-2-Metil-1-butanol

(R)-(–)-1-Cloro-2-metilbutano

(S)-(–)-2-Metil-1-butanol

S)-(+)-1-Cloro-2-metilbutano
ESTEREOQUÍMICA
NOMENCLATURA ENANTIÔMEROS: SISTEMA (R-S)
PROJEÇÕES DE FISCHER
1.

As linhas verticais representam ligações que se projetam para trás do plano do papel (ou
que estão no plano do papel);

2.

As linhas horizontais representam ligações que se projetam para fora do plano do papel;

3.

As intersecções das linhas horizontais e verticais representa um átomo de carbono,
normalmente um carbono quiral;

4.

Quando usamos as projeções de Fischer para testar a superponibilidade de duas
estruturas é permitido girá-las de 1800 no plano do papel;

5.

Não podemos girar as estruturas de nenhum outro ângulo;

6.

Deve-se manter as estruturas no plano do papel;

7.

Não é permitido virar as estruturas

Fischer
ESTEREOQUÍMICA
MISTURA RACÊMICA
Mistura de partes iguais de enantiômeros;
São opticamente inativos;
Podem ser separados:
Solventes quirais;

Cromatografia com coluna quiral;

Reações que envolvam substâncias também quirais;

Butanona
Aquiral

hidrogênio
Aquiral

(±)-2-butanol
quiral
ESTEREOQUÍMICA
DIASTEREOISÔMEROS
São estereoisômeros cujas moléculas não são imagens especulares superponíveis;

São moléculas que apresentam dois ou mais centros quirais (exceto para isômeros cis,
trans onde as moléculas não apresentam centros quirais);

Para compostos cujos centros quirais são tetraédricos (sp3) o número total de
estereoisômeros não excederá 2n, onde n é o número de centros quirais tetraédricos (regra
de van’t Hoff);

Os diasteroisômeros apresentam propriedades físicas diferentes (P.F; P.E; solubilidades,
etc.);
ESTEREOQUÍMICA
DIASTEREOISÔMEROS
Exemplos de diasteroisômeros sem carbono quiral

DIASTEROISÔMEROS
ESTEREOQUÍMICA
DIASTEREOISÔMEROS
Exemplos de diasteroisômeros com dois carbonos quirais
DIFERENTES PROPRIEDADES FÍSICAS
DISTEROISÔMEROS

ENANTIÔMEROS

ENANTIÔMEROS

MESMAS PROPRIEDADES FÍSICAS E QUÍMICAS
ESTEREOQUÍMICA
DIASTEREOISÔMEROS
Exemplos de diasteroisômeros com DOIS carbonos quirais

Diasteroisômeros

Exemplos de diasteroisômeros com UM carbono quiral
ESTEREOQUÍMICA
DIASTEREOISÔMEROS
Treonina

Enantiômeros

Enantiômeros
ESTEREOQUÍMICA
DIASTEREOISÔMEROS
MESOESTRUTURAS
Estruturas com dois carbonos quirais nem sempre possuem 4 estereoisômeros;
Ocorre com moléculas que mesmo contendo centros quirais elas são aquirais.
ESTEREOQUÍMICA
DIASTEREOISÔMEROS
MESOESTRUTURAS
CLASSIFICAÇÃO DAS RELAÇÕES ENTRE MOLÉCULAS
São superponíveis?

SIM

Tem a mesma fórmula molecular?
OU
São iguais em seus pesos moleculares e
suas composições elementares?

NÃO

Não são isômeros

NÃO

SIM
São a mesma
molécula

Diferem unicamente pelo
NÃO
arranjo de seus átomos no espaço?

São isômeros

São isômeros
estruturais

SIM
É um deles superponível
com a imagem no espelho do outro?

SIM

São enântiômeros

São quirais

NÃO

NÃO

São diasteroisômeros

NÃO

São intercambiáveis a
temperatura ambiente?

São estereoisômeros

São estereoisômeros
conformacionais

São superponíveis com suas
respectivas imagens no espelho?

SIM

SIM
São estereoisômeros
figuracionais

São aquirais

Isomeria e estereoquimica

  • 1.
    ISOMERIA Compostos diferentes coma mesma fórmula molecular denominam-se isômeros. Isômeros constitucionais (ou estruturais) são isômeros que diferem devido à diferente ligação dos seus átomos. Por exemplo: Fórmula molecular C4H10 C5H11Cl C2H6O Isômeros constitucionais
  • 2.
    ISOMERIA Os isômeros constitucionaispodem ser subdivididos em: a) Isomeria de Função; b) Isomeria de Cadeia; c) Isomeria de posição; d) Isomeria de Compensação ou Metameria; e) Isomeria Dinâmica ou Tautomeria. -Nem todos os grupos estão unidos ao mesmo centro -São moléculas muito diferentes tanto em suas propriedades físicas como químicas.
  • 3.
    ISOMERIA a) Isomeria deFunção A diferença entre os isômeros está no grupo funcional.
  • 4.
    ISOMERIA b) Isomeria deCadeia A diferença entre os isômeros está no tipo de cadeia carbônica.
  • 5.
    ISOMERIA c) Isomeria de Posição Adiferença entre os isômeros está na posição de um grupo funcional, de uma insaturação ou de um substituinte.
  • 6.
    ISOMERIA d) Isomeria de Compensaçãoou Metameria A diferença entre os isômeros está apenas na posição de um heteroátomo.
  • 7.
    ISOMERIA e) Tautomeria Este tipode isomeria ocorre quando dois compostos de mesma fórmula molecular e grupos funcionais diferentes coexistem em equilíbrio dinâmico no qual um deles está continuamente se transformando no outro e vice-versa. A tautomeria ocorre somente na fase líquida, em compostos cuja molécula possui um elemento muito eletronegativo, como o oxigênio ou nitrogênio, ligado ao mesmo tempo ao hidrogênio e a um carbono insaturado (que possui ligação π).
  • 8.
    ESTEREOQUÍMICA QUÍMICA NOVA, 20(6)(1997) OS FÁRMACOS E A QUIRALIDADE: UMA BREVE ABORDAGEM
  • 9.
  • 10.
    ESTEREOQUÍMICA E COM OSALIMENTOS ? DOCE AMARGO
  • 11.
    ESTEREOQUÍMICA MOLÉCULA AQUIRAL É aquelaque é superponível com sua imagem no espelho Têm elementos de simetria
  • 12.
    ESTEREOQUÍMICA MOLÉCULA QUIRAL É aquelaque não é superponível com sua imagem no espelho
  • 13.
    ESTEREOQUÍMICA Estuda as estruturasmoleculares em três dimensões; Estereoisômeros Enantiômeros (enantion, grego oposto) Diastereoisômeros São produtos diferentes?
  • 14.
    ESTEREOQUÍMICA ISÔMEROS ESTEREOISÔMEROS CONSTITUCIONAL ENANTIÔMEROS Imagem da moléculaem um espelho plano não é sobreponível a ela mesmo Todo enantiômero deve possuir um centro quiral Espelho DIASTEREOISÔMEROS Imagem da molécula, em um espelho plano é sobreponível a ela mesmo
  • 15.
    ESTEREOQUÍMICA CENTRO QUIRAL Carbono comquatro grupos diferentes ligados a ele Carbono QUIRAL Também chamado de centro quiral; Características deste carbono: Assimétrico; Geometria tetraédrica; Hibridação sp3;
  • 16.
    ESTEREOQUÍMICA COMO IDENTIFICAR UMAMOLÉCULA QUIRAL 1. 2. Ao avaliar a sobreposição não devemos “romper ou formar” ligações; Para ser uma molécula quiral basta uma única região do molécula não coincidir com a outra imagem; Espelho III e IV Não são superponíveis ENANTIÔMEROS
  • 17.
    ESTEREOQUÍMICA COMO IDENTIFICAR UMAMOLÉCULA QUIRAL 3. Moléculas quirais não possuem plano de simetria; Plano de simetria Esta molécula é AQUIRAL Possui plano de simetria Esta molécula também possui plano de simetria AQUIRAL
  • 18.
    ESTEREOQUÍMICA COMO IDENTIFICAR UMAMOLÉCULA QUIRAL 2-cloropropano 2-clorobutano
  • 19.
    ESTEREOQUÍMICA CENTRO QUIRAL Outros átomosque também podem fazem quatro ligações pode ser um centro quiral; 1. Devido a geometria tetraédrica o centro quiral do carbono pode existir em ambos os arranjos tridimensionais que não são imagens superponíveis; Estereoisômeros as imagens não são superponíveis 2-butanol
  • 20.
    ESTEREOQUÍMICA Propriedades de moléculasquirais • Os ENANTIÔMEROS possuem as mesmas propriedades FÍSICAS (P.F; P.E; Espectro IV; UV; RMN se medidos em solventes aquirais) EXCETO O SENTIDO DE ROTAÇÃO DO PLANO DE POLARIZAÇÃO DA LUZ. • Os ENANTIÔMEROS possuem as mesmas propriedades QUÍMICAS EXCETO AS REAÇÕES COM OUTROS COMPOSTOS OPTICAMENTE ATIVOS. ATIVIDADE ÓTICA DE MOLÉCULAS QUIRAIS DEXTROROTATÓRIAS (d, +) LEVOROTATÓRIAS (l,-) Gira a luz polarizada para a direita Gira a luz polarizada para a esquerda
  • 21.
    ESTEREOQUÍMICA COMPOSTO OPTICAMENTE ATIVO Sãocapazes de modificar a rotação da luz polarizada; COMPOSTOS QUIRAIS SÃO OPTICAMENTE ATIVOS MISTURA RACÊMICA Mistura de partes iguais dos enantiômeros (+) e (-). IMPORTÂNCIA DA QUIRALIDADE 1. A quiralidade está difundida em todo o universo; 2. O corpo humano é estruturalmente QUIRAL; 3. A maioria das moléculas dos seres vivos são quirais e, geralmente, somente um tipo é encontrado; 4. Quase todos os aminoácidos que formam as proteínas são quirais e todos desviam a luz para a esquerda (levorotatórios);
  • 22.
  • 23.
    ESTEREOQUÍMICA ATIVIDADE ÓTICA Descoberto pelofísico João-Baptista Biot – 1815; 1848 Luis Pasteur princípio da estereoquímica Os enantiômeros giram o plano da luz polarizada em iguais quantidades mas em direções opostas; Onda eletromagnética Ou seja, enantiômeros resolvidos (separados) apresentam atividade ótica; As oscilações do campo elétrico e magnético podem ocorrer em todos os possíveis planos perpendiculares a direção de propagação.
  • 24.
    ESTEREOQUÍMICA ATIVIDADE ÓTICA Onda eletromagnéticapolarizada Quando um feixe de luz comum passa através de um polarizador; O polarizador interage com o campo elétrico da luz; Após a interação a luz emerge do polarizador oscilando apenas em um plano; POLARÍMETRO Equipamento capaz de polarizar a luz; A lente geralmente é constituída de CaCO3 em determinada forma cristalina Chamado de polaróide PRISMA DE NICOL;
  • 25.
  • 26.
    ESTEREOQUÍMICA ATIVIDADE ÓTICA POLARÍMETRO A) Polarímetrosem amostra; B) Observação de uma amostra que não é opticamente ativa; C) Observação de uma amostra que é opticamente ativa; Rotação da luz polarizada;
  • 27.
    ESTEREOQUÍMICA ATIVIDADE ÓTICA MEDIÇÃO Medições realizadasem graus; A rotação pode ocorrer para duas direções: DIREITA (SENTIDO DO RELÓGIO) dextrorotatório (d, +) Assume-se valor POSITIVO ESQUERDA (SENTIDO CONTRÁRIO DO RELÓGIO) NEGATIVO Levorotatória (l, -); FATORES QUE INFLUENCIAM: Concentração da solução; Comprimento de onda utilizado na fonte de luz; Comprimento do tubo de amostra; Temperatura; Natureza do solvente. Assume-se valor
  • 28.
    ESTEREOQUÍMICA ATIVIDADE ÓTICA ROTAÇÃO ESPECÍFICA D= raia D do sódio (589,6 nm); T = temperatura, 0C; α= rotação observada, graus L = comprimento do tubo de amostra, cm C = concentração da solução, g.mL-1 OBS: NO SI am = Poder rotatório ótico específico (rad m2 kg-1)
  • 29.
  • 30.
    ESTEREOQUÍMICA NOMENCLATURA ENANTIÔMEROS: SISTEMA(R-S) 1. Não existe correlação entre a configuração do enantiômero e a direção da rotação ótica; 2. Não existe correlação entre a designação R e S e a direção de rotação ótica; R Do latin rectus (direito – a favor do relógio) S Do latin sinister (esquerdo – contra o relógio) COMO DETERMINAR A PRIORIDADE DOS GRUPOS?
  • 31.
    ESTEREOQUÍMICA NOMENCLATURA ENANTIÔMEROS: SISTEMA(R-S) BASES (regras de precedência): 1. Número atômico do elemento ligado ao centro quiral • Menor número atômico menor prioridade (4) • Maior número atômico maior prioridade (1) OBS: No caso de isótopos o de maior massa atômica tem maior prioridade 2. Quando os átomos ligados ao centro quiral forem iguais passa-se a determinar a prioridade pelo próximo átomo; 3. Deve-se posicionar o grupo de menor precedência (4) na posição contrária ao observador (atrás do plano); Visão da molécula com o grupo de menor prioridade apontando para fora do plano
  • 32.
  • 33.
    ESTEREOQUÍMICA BASES: 3. Quando houver ligaçõesduplas ou triplas deve-se duplicar ou triplicar ambos os átomos; (S)-Alanina [(S)-(+)-2-ácido aminopropionico] [α]D = +8.5° (S)-Gliceraldeído [(S)-(–)-2,3-dihidroxipropanal], [α]D = –8.7°
  • 34.
  • 35.
    ESTEREOQUÍMICA NOMENCLATURA ENANTIÔMEROS: SISTEMA(R-S) PROJEÇÕES DE FISCHER 1. As linhas verticais representam ligações que se projetam para trás do plano do papel (ou que estão no plano do papel); 2. As linhas horizontais representam ligações que se projetam para fora do plano do papel; 3. As intersecções das linhas horizontais e verticais representa um átomo de carbono, normalmente um carbono quiral; 4. Quando usamos as projeções de Fischer para testar a superponibilidade de duas estruturas é permitido girá-las de 1800 no plano do papel; 5. Não podemos girar as estruturas de nenhum outro ângulo; 6. Deve-se manter as estruturas no plano do papel; 7. Não é permitido virar as estruturas Fischer
  • 36.
    ESTEREOQUÍMICA MISTURA RACÊMICA Mistura departes iguais de enantiômeros; São opticamente inativos; Podem ser separados: Solventes quirais; Cromatografia com coluna quiral; Reações que envolvam substâncias também quirais; Butanona Aquiral hidrogênio Aquiral (±)-2-butanol quiral
  • 37.
    ESTEREOQUÍMICA DIASTEREOISÔMEROS São estereoisômeros cujasmoléculas não são imagens especulares superponíveis; São moléculas que apresentam dois ou mais centros quirais (exceto para isômeros cis, trans onde as moléculas não apresentam centros quirais); Para compostos cujos centros quirais são tetraédricos (sp3) o número total de estereoisômeros não excederá 2n, onde n é o número de centros quirais tetraédricos (regra de van’t Hoff); Os diasteroisômeros apresentam propriedades físicas diferentes (P.F; P.E; solubilidades, etc.);
  • 38.
  • 39.
    ESTEREOQUÍMICA DIASTEREOISÔMEROS Exemplos de diasteroisômeroscom dois carbonos quirais DIFERENTES PROPRIEDADES FÍSICAS DISTEROISÔMEROS ENANTIÔMEROS ENANTIÔMEROS MESMAS PROPRIEDADES FÍSICAS E QUÍMICAS
  • 40.
    ESTEREOQUÍMICA DIASTEREOISÔMEROS Exemplos de diasteroisômeroscom DOIS carbonos quirais Diasteroisômeros Exemplos de diasteroisômeros com UM carbono quiral
  • 41.
  • 42.
    ESTEREOQUÍMICA DIASTEREOISÔMEROS MESOESTRUTURAS Estruturas com doiscarbonos quirais nem sempre possuem 4 estereoisômeros; Ocorre com moléculas que mesmo contendo centros quirais elas são aquirais.
  • 43.
  • 44.
    CLASSIFICAÇÃO DAS RELAÇÕESENTRE MOLÉCULAS São superponíveis? SIM Tem a mesma fórmula molecular? OU São iguais em seus pesos moleculares e suas composições elementares? NÃO Não são isômeros NÃO SIM São a mesma molécula Diferem unicamente pelo NÃO arranjo de seus átomos no espaço? São isômeros São isômeros estruturais SIM É um deles superponível com a imagem no espelho do outro? SIM São enântiômeros São quirais NÃO NÃO São diasteroisômeros NÃO São intercambiáveis a temperatura ambiente? São estereoisômeros São estereoisômeros conformacionais São superponíveis com suas respectivas imagens no espelho? SIM SIM São estereoisômeros figuracionais São aquirais