AGRUPAMENTO DE ESCOLAS DE PATAIAS

Futebol
Prof. Ana Maçãs

Ano Lectivo 2010/2011
Prof. Ana Maçãs

Escola E.B. 2,3 de Pataias

ANÁLISE DO FUTEBOL E DESENVOLVIMENTO DE UMA ESTRUTURA DE CONHECIMENTOS

Futebol

Cultura Desportiva

Regulamento

Fisiologia do Treino e Condição Física

Habilidades Motoras

Aquecimento

Conceitos Psico - Sociais

Técnica

Espírito de grupo

Condição Física
Conhecimento

"Fair play"
Passe

Recepção

Capacidades Coordenativas

Condução de Bola

Finta

Capacidades Condicionais

Remate

Marcação

Desmarcação

Desarme

Cooperação
Aplicação

Respeito pelos colegas
História

Competição
Retorno à calma

Espírito de sacrifício
Táctica
Comunicação
Ofensiva

Defensiva

Penetração

Contenção

Cobertura ofensiva

Cobertura defensiva

Mobilidade

Equilíbrio

Situação de jogo 3x3
Situação de jogo 5x5

Material de apoio teórico de Futebol

1
Prof. Ana Maçãs

Escola E.B. 2,3 de Pataias

CULTURA DESPORTIVA

HISTÓRIA
É impossível determinar a origem do futebol. Porém o seu aparecimento pode ser remetido para o Japão por
volta de 1000 anos a.C. Era um jogo que punha em confronto dois grupos que, compostos por muita gente,
disputavam uma bola com as mãos e os pés. O terreno de jogo era quadrado, de dimensões variáveis e os
vértices eram definidos por um pinheiro a Noroeste, uma cerejeira a Sudoeste, um ácer a Nordeste e um
salgueiro a Sueste.
Na Grécia, e sem remontarmos a épocas tão longínquas, encontram-se os primeiros vestígios do futebol
ocidental. Por ocasião das Olimpíadas, praticava-se o Sfoeris Machis ou Esferomaquia, jogo usado
principalmente para treinar soldados.
Em Roma aparece o Haspartam – jogo de actividade brutal e violenta – que punha em confronto dois grupos
compostos por um número ilimitado de homens, que deviam empurrar e bater com a mão (metida numa
espécie de luva) uma bexiga cheia de ar ou areia até conseguir ultrapassar uma linha marcada no campo
inimigo. Pensa-se que este jogo chegou às Ilhas Britânicas, onde obteve grande sucesso, levado pelos
romanos nas suas viagens e conquistas.
Por seu lado, os franceses afirmam que a origem do futebol vem do jogo da Choule ou Joule que se
praticava no princípio do século XIV, e consistia empurrar uma bola de couro, cheia de erva ou de ar, até
uma parede limite para conseguir marcar um golo.
Mas o jogo que tem mais semelhanças com o futebol actual é o Cálcio italiano, o jogo do Cálcio. Era um
desporto de Inverno (só se jogava durante o primeiro trimestre do ano).
Praticava-se em qualquer praça pública que reunisse as condições exigidas pelo regulamento; ter linhas
laterais e uma de baliza que ao ser atravessada pela bola significava que um golo tinha sido obtido. A bola
podia ser jogada com o pé ou com a mão, mas neste caso seria falta se fosse jogada acima da cabeça. O jogo
era dirigido por seis árbitros sentados e cada equipa era formada por 27 jogadores, que se dispunham no
terreno da seguinte forma: 3 defesas, 4 três quartos, 5 médios e 15 avançados.
O Cálcio, como todos os outros jogos enunciados, aos quais se atribui a paternidade do futebol, era um jogo
bruto e violento, em que rasteirar, empurrar e toda a espécie de astúcias eram permitidas e em que a técnica
e táctica primavam pela ausência.
O futebol como jogo moderno nasceu em Inglaterra em 1863. Neste ano foi criada em Londres a Football
Association, e , uns anos mais tarde, em 1885, são feitas as primeiras regras deste jogo, a partir das quais se
foram introduzindo alterações até às leis da actualidade.
Portanto, o futebol propriamente dito tem pouco mais de um século de vida e, durante esse período de
tempo, construiu o império mais espectacular nunca alcançado por outro desporto, já que à sua volta gira
Material de apoio teórico de Futebol

2
Prof. Ana Maçãs

Escola E.B. 2,3 de Pataias

uma infinidade de ambições, sonhos, organizações, dinheiros e subornos, que fazem do futebol o desporto
mais controverso que jamais existiu.

Leis de jogo do Futebol
Lei 1 – O Campo de Jogo

Lei 2 – A bola
Tem um diâmetro de 68 a 71 cm e pesa 396 a 453 gramas, dependente dos escalões.
Lei 3 – Número de Jogadores
Onze, incluindo o capitão e o guarda–redes ( o mínimo 7 ); suplentes, no máximo 7; Substituições são
permitidas 3.
O capitão de equipa pode: dar instruções aos jogadores, solicitar o árbitro respeitosamente para qualquer
esclarecimento. Deve: respeitar e fazer respeitar as determinações do árbitro, observar e fazer observar as
regras de lealdade e correcção para com os adversários. Procurar acalmar conflitos provocados pelos seus
companheiros ou em que estes sejam intervenientes.

Material de apoio teórico de Futebol

3
Prof. Ana Maçãs

Escola E.B. 2,3 de Pataias

Lei 4 – Equipamento
Camisola, calções, meias, caneleiras, calçado próprio (o guarda-redes pode usar calças de fato de treino e
camisola, o que o distingue dos outros jogadores e árbitro).
Lei 5 – O Árbitro
Tem por missão cumprir e fazer cumprir, dentro das instalações desportivas, as leis e as normas do jogo.
Lei 6 – Árbitros Auxiliares
São dois e têm por missão auxiliar o árbitro, assinalando: faltas, bolas fora de jogo, pontapés de canto e de
baliza, lançamentos pela linha lateral, a posição de jogadores em fora de jogo e as substituições.
Lei 7 – Duração do Jogo
Seniores e Juniores – 90 min.; Juvenis – 80 min.; Iniciados – 70 min.; Infantis – 60 min.; Escolas – 50 min.;
Femininos – 70 min. . O intervalo entre cada parte do jogo pode variar entre 5 min. e 10 min. .
Lei 8 – Começo do Jogo
Inicia-se com o sinal do árbitro e depois da saudação (obrigatória) ao público.
Lei 9 – Bola Fora e Bola em Jogo
Bola fora: Quando ultrapassa completamente as linhas laterais ou de baliza, quando jogo tiver sido
interrompido pelo árbitro;
Bola em jogo: Sempre que dentro das quatro linhas, mesmo quando ressalta para o terreno de jogo após ter
tocado no árbitro ou nos árbitros auxiliares, desde que estes se encontrem dentro do terreno do jogo.

Lei 10 – Marcação de Golos
Só é golo quando a bola, em condições regulamentares transpõe
completamente a linha de baliza entre os postes e por baixo da barra.

Material de apoio teórico de Futebol

4
Prof. Ana Maçãs

Escola E.B. 2,3 de Pataias

Lei 11 – Fora de Jogo
Quando o jogador está no meio campo adversário e à frente da linha da bola, tendo somente um adversário
entre si e a linha de baliza no momento em que a bola lhe é passada por um colega de equipa. O fora de jogo
pode ser:


de acção: quando o jogador nessa posição tem uma acção directa ou indirecta na jogada, tirando
vantagem dessa posição (sempre punível );



de posição: se o jogador nessa posição não interfere no jogo nem influência a acção do adversário
(não é punível)

Lei 12 – Faltas e Incorrecções
São punidas com um pontapé livre directo, sendo marcadas no local onde tiverem sido cometidas (ou
pontapé de grande penalidade caso o infractor seja um jogador da equipa que defende na grande área). Um
jogador será punido com pontapé de livre directo se cometer uma das seguintes infracções:


dar ou tentar dar um pontapé ao adversário



rasteirar um adversário



saltar sobre o adversário



carregar um adversário de modo violento ou perigoso



agredir, ou tentar agredir, ou cuspir no adversário



carregar um adversário pelas costas



empurrar um adversário



jogar a bola com as mãos (excepto o guarda-redes dentro da área)



agarrar o adversário

Um jogador será punido com pontapé de livre indirecto se cometer uma das seguintes cinco infracções:


jogar de maneira que o árbitro considere perigosa



carregar correctamente o adversário, ou seja, com o ombro em igual região do adversário, desde que
a bola não esteja a uma distância jogavel desse jogador (2 a 3 metros )



fazer obstrução ilegal ao adversário



carregar o guarda-redes, excepto quando não detém a bola, esteja a fazer obstrução ao adversário ou
esteja fora da área da baliza



se o guarda-redes, na sua área, demorar mais do que seis segundos para repor a bola em jogo.

Material de apoio teórico de Futebol

5
Prof. Ana Maçãs

Escola E.B. 2,3 de Pataias

Um jogador é advertido (cartão amarelo) quando:


entrar ou reentrar e sair do terreno de jogo sem a autorização dos árbitros



infringir com persistência



mostrar desacordo com qualquer decisão do árbitro , quer por gestos quer por palavras ou atitudes



incorrer em comportamento incorrecto ( e.g.: atirar a bola para longe, após o árbitro ter apitado para
interromper o jogo )

Um jogador será expulso (cartão vermelho) quando:


se tornar culpado de conduta violenta ou brutalidade



usar linguagem injuriosa ou grosseira



reincidir em comportamento incorrecto depois de advertido

Lei 13 – Pontapés Livres
Na marcação de um pontapé livre, em qualquer zona do terreno, os adversários devem situar-se pelo menos
9,15 m da sua marcação:
-

directos: castigam as faltas mais graves; podem ser marcados golos (Lei 12)

-

indirectos: castigam as faltas menos graves; podem ser marcados golos desde que a bola antes de
entrar na baliza tenha sido tocada por jogador diferente do que o cobrou o castigo.

Lei 14 – Pontapé de Grande penalidade
Só há nove faltas (Lei 12) que levam à punição de uma equipa com um pontapé de grande penalidade, desde
que sejam cometidas dentro da grande área defensiva.
Lei 15 – Lançamento da Bola pela Linha Lateral
Quando a bola ultrapassa completamente uma das linhas laterais, quer seja rente ao solo quer seja pelo ar.
Na execução, o jogador deve estar de frente para o terreno de jogo, com os pés em contacto com o solo. A
bola deve ser arremessada por cima da cabeça.
Lei 16 – Pontapé de Baliza
Quando a bola ultrapassa completamente a linha de baliza, sem ser entre os postes, tocada em último lugar
por um jogador da equipa atacante.

Material de apoio teórico de Futebol

6
Prof. Ana Maçãs

Escola E.B. 2,3 de Pataias

Lei 17 – Pontapé de Canto
Quando a bola é jogada em ultimo lugar por um jogador que defende e ultrapassa a linha da baliza sem ser
entre os postes.

FISIOLOGIA DO TREINO E CONDIÇÃO FÍSICA
No plano energético-funcional, o Futebol/ Futsal faz apelo a esforços intermitentes, mistos alternados
(aeróbios-anaeróbios), e pode ser considerada como uma actividade de resistência, em regime de velocidade,
de força e de coordenação táctico-técnica. Deste modo o Futebol/ Futsal solicita fontes energéticas aeróbias
e anaeróbias, bem como um misto de resistência, velocidade, força e agilidade. Assim, durante a unidade
didáctica de Futebol continuaremos a dar relevância ao trabalho de condição física.

AQUECIMENTO

O aquecimento pode ser entendido como: “todas as medidas que, antes de um trabalho físico, possibilitem a
criação de um estado de preparação psicofísico e cinestésico-coordenativo óptimo e que possam diminuir a
probabilidade de ocorrência de lesões” (Weineck, 1986). Deste modo, antes da actividade real da aula,
deverão ser realizados vários exercícios de intensidade moderada com objectivo de melhorar a transição do
estado de repouso para o de actividade e alongamentos para aumentar a amplitude dos movimentos das
articulações envolvidas na actividade a desenvolver, assim como alongamentos específicos para aumentar a
flexibilidade da região lombar.
Este deverá ter uma intensidade adequada, contemplando uma mobilização eficaz das principais articulações
a serem solicitadas no decurso da aula. Tem ainda de passar pela mobilização geral e específica e ser
adequada aos conteúdos e exigências dos exercícios seguintes. O exercício preparatório de esforço constituise como um meio introdutório de excelência para a prevenção de lesões na aula. No Futebol, a corrida
contínua e alongamentos dos MI parecem ser os meios mais utilizados como parte integrante do exercício
preparatório de esforço.
Depois do esforço realizado, em função dos diversos parâmetros de carga, produz-se uma fadiga mais ou
menos elevada, dependendo da intensidade da aula. Esta medida/estado funcional, representa um mecanismo
de defesa orgânica que visa impedir o esgotamento das reservas energéticas essenciais. Deste modo surge a
necessidade de recompensar a “agressão” produzida, pelo que é necessário ter presente um momento de
relaxamento, quer das principais articulações e músculos solicitados, como também ao nível psíquico.
No final de cada aula, são recomendados cerca de 5 minutos de actividades de retorno à calma (caminhada
lenta, exercícios de alongamento), para que ocorra um retorno gradual da frequência cardíaca e da pressão

Material de apoio teórico de Futebol

7
Prof. Ana Maçãs

Escola E.B. 2,3 de Pataias

arterial aos níveis normais. Esta parte da aula assume grande preponderância por reduzir a possibilidade de
ocorrência, apesar de muito rara, de um episódio de hipotensão posterior à sessão.

CONDIÇÃO FÍSICA

Esta revela-se como fundamental desenvolver as Capacidades Físicas de Base. De entre estas destacam-se as
capacidades coordenativas, na medida em que cada vez mais os alunos apresentam deficits neste domínio,
podendo influenciar negativamente o seu bem-estar futuro (Rolim, 2003).
Fundamentos pedagógicos do desenvolvimento da força:


Desenvolvimento harmonioso de todos os grupos musculares, actuando global e selectivamente.

Fortalecimento da musculatura das costas com o objectivo de prevenir os desvios da coluna vertebral.


Fortalecimento da musculatura abdominal e da região sacro-lombar.



Fortalecimento da musculatura dos braços, da cintura escapulo-umeral e costas.

Fundamentos pedagógicos no desenvolvimento da velocidade:


Aperfeiçoamento da velocidade de deslocamento e da velocidade de execução nas condições solicitadas

pela aplicação das habilidades e dos hábitos motores.

Fundamentos pedagógicos para o desenvolvimento da resistência:


Desenvolvimento da resistência nos esforços de duração com ritmos variados.



Desenvolvimento da capacidade respiratória através do aumento do tórax e da amplitude dos

movimentos do diafragma.


Desenvolvimento da resistência através de esforços repetidos em tempos variáveis.



Aperfeiçoamento da resistência através de esforços repetidos em tempos uniformes de variados.



Aperfeiçoamento da resistência através de esforços repetidos em tempos variados.



Aumento da resistência geral do organismo aos esforços de duração efectuados em tempos uniformes e

variados.


Aumento da resistência geral do organismo com acento sobre a resistência em regime de esforços

anaeróbios.

RETORNO À CALMA

Depois do esforço realizado, em função dos diversos parâmetros de carga, produz-se uma fadiga mais ou
menos elevada, dependendo da intensidade da aula. Esta medida/ estado funcional representa um mecanismo
de defesa orgânica que visa impedir o esgotamento das reservas energéticas essenciais. Deste modo surge a
Material de apoio teórico de Futebol

8
Prof. Ana Maçãs

Escola E.B. 2,3 de Pataias

necessidade de recompensar a “agressão” produzida, pelo que é necessário ter presente um momento de
relaxamento, quer das principais articulações e músculos solicitados, como também ao nível psíquico.
A este nível procuraremos realizar alongamentos como forma de facilitar a recuperação do aluno. Teremos
também em atenção a importância de reforçar os conteúdos abordados na aula, aquilatar dificuldades na
execução dos mesmos, assim como possíveis soluções para essas dificuldades.

HABILIDADES MOTORAS
“Sem diminuir a importância das restantes características, é a relação de oposição dos elementos das duas
equipas em confronto e a relação de cooperação entre os elementos da mesma equipa, ocorridas num
contexto aleatório, que traduzem a essência dos JDC. Esta permanente relação de sinal contrário, entre as
equipas em confronto, impõe mudanças alternadas de comportamentos e atitudes, de acordo com o objectivo
do jogo (o golo) e com as finalidades de cada fase ou situação (ataque ou defesa). Compete aos jogadores de
ambas as equipas, individualmente, em pequenos grupos ou colectivamente, assumir comportamentos que
induzam o aparecimento de situações favoráveis conducentes à concretização dos objectivos, na observância
das regras do jogo” (Garganta e Pinto, 1995).

No jogo de futebol é possível identificar duas grandes fases: ataque e defesa. Em cada uma dessas fases as
equipas perseguem objectivos contrários. Se na fase de ataque, que corresponde ao momento em que a
equipa tem a posse da bola, o objectivo é procurar mantê-la, tentar criar situações de finalização e marcar
golo, já a fase de defesa (sem posse de bola) tem como objectivo procurar apoderar-se da bola, impedir a
criação de situações de finalização e a marcação de golo (Garganta e Pinto, 1995).

Para uma melhor compreensão da estrutura do jogo de futebol é primeiro necessário entender os conceitos
chave de fases, princípios, factores e formas que, segundo Teodorescu (1984), são as componentes
fundamentais da táctica.

Fases
 Representam as etapas percorridas no desenvolvimento tanto do ataque como da defesa desde o
seu início até à sua completa consumação.

Princípios
 Regras de base segundo as quais os jogadores coordenam e dirigem a sua actividade (consideradas
individualmente e em colectivo durante as fases).
Material de apoio teórico de Futebol

9
Prof. Ana Maçãs

Escola E.B. 2,3 de Pataias

Factores
 Constituem os meios pelos quais os jogadores actuam nas fases do ataque ou da defesa aplicando
simultaneamente os princípios.

Formas
 Estrutura organizadora da actividade durante o jogo e nas diversas fases.

Fases e Princípios do Jogo de Futebol

JOGO DE FUTEBOL
ATAQUE

DEFESA

(com posse de bola)

(sem posse de bola)

1. Objectivos
Progressão / Finalização

Cobertura/Defesa da baliza

Manutenção da posse da bola

Recuperação da posse da bola

2. Fases
Construção das acções ofensivas

Impedir a construção das acções ofensivas

Criação de situações de finalização

Anular as situações de finalização

Finalização

Defender a baliza

3. Princípios
3.1 Gerais
Não permitir a inferioridade numérica
Evitar a igualdade numérica
Procurar criar a superioridade numérica
3.2 Específicos
1. Penetração

1. Contenção

2. Cobertura Ofensiva

2. Cobertura Defensiva

3. Mobilidade

3. Equilíbrio

4. Espaço

4. Concentração
(adaptado de Queiroz, 1983)

Material de apoio teórico de Futebol

10
Prof. Ana Maçãs

Escola E.B. 2,3 de Pataias

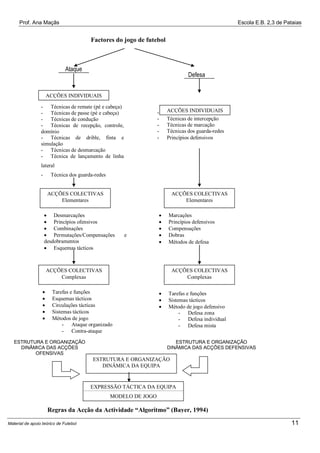
Factores do jogo de futebol

Ataque

Defesa

ACÇÕES INDIVIDUAIS
- Técnicas de remate (pé e cabeça)
- Técnicas de passe (pé e cabeça)
- Técnicas de condução
- Técnicas de recepção, controle,
domínio
- Técnicas de drible, finta e
simulação
- Técnicas de desmarcação
- Técnica de lançamento de linha

-

ACÇÕES INDIVIDUAIS
Técnicas de desarme
Técnicas de intercepção
Técnicas de marcação
Técnicas dos guarda-redes
Princípios defensivos

lateral
-

Técnica dos guarda-redes

-

Princípios ofensivos
ACÇÕES COLECTIVAS
Elementares

ACÇÕES COLECTIVAS
Elementares

 Desmarcações
 Princípios ofensivos
 Combinações
 Permutações/Compensações
desdobramentos
 Esquemas tácticos

e







Marcações
Princípios defensivos
Compensações
Dobras
Métodos de defesa

ACÇÕES COLECTIVAS
Complexas






ACÇÕES COLECTIVAS
Complexas

Tarefas e funções
Esquemas tácticos
Circulações tácticas
Sistemas tácticos
Métodos de jogo
- Ataque organizado
- Contra-ataque

ESTRUTURA E ORGANIZAÇÃO
DINÂMICA DAS ACÇÕES
OFENSIVAS





Tarefas e funções
Sistemas tácticos
Método de jogo defensivo
- Defesa zona
- Defesa individual
- Defesa mista
ESTRUTURA E ORGANIZAÇÃO
DINÂMICA DAS ACÇÕES DEFENSIVAS

ESTRUTURA E ORGANIZAÇÃO
DINÂMICA DA EQUIPA

EXPRESSÃO TÁCTICA DA EQUIPA
MODELO DE JOGO

Regras da Acção da Actividade “Algoritmo” (Bayer, 1994)
Material de apoio teórico de Futebol

11
Prof. Ana Maçãs

Escola E.B. 2,3 de Pataias

- Portador da Bola 

Se posso rematar, remato (prioridade);



Se não posso rematar passo;



Se não posso rematar nem passar conservo a bola.

É importante apresentar as situações de uma forma aberta, no sentido de criar diversas possibilidades de
resolução para um mesmo problema. É importante considerar a imprevisibilidade das situações. Devemos
estimular a apreciação do contexto diferenciando situações em que se justificam diferentes acções, no
sentido de não jogarmos sempre da mesma forma independentemente das situações.

Acções Técnico-tácticas Ofensivas
Apesar do jogo não ter cabimento sem acções técnicas e de, por vezes, ser prestada demasiada atenção nelas,
a técnica deve ser encarada como um meio que está ao serviço de um resolução táctica. Deste modo, e em
todos os Jogos Desportivos Colectivos, um passe, uma finta ou um remate deve ser sempre contextualizado
em função da intenção táctica. Ou seja, é aconselhável que a sua abordagem/exercitação seja realizada em
situação de jogo (ainda que muito reduzido) e não de forma analítica. Porém, pensamos que, na escola, o
recurso a esta a situação não é de todo descabida (nas acções de ataque) pois esta pode por vezes ser a única
forma de garantirmos que todos os alunos exercitam determinado gesto técnico com à-vontade.

Passe
Acção técnico-táctica que estabelece a comunicação entre os jogadores da mesma equipa, e tem por
objectivo fazer com que a mesma progrida no terreno.

Formas de executar o passe:
-

Parte interna do pé – para distâncias curtas;

-

Peito do pé – para distâncias mais longas;

-

Parte externa do pé - para dar mais velocidade à bola;

-

Cabeça – em bolas aéreas;

Determinantes técnicas:
-

Pé de apoio ao lado da bola;

Material de apoio teórico de Futebol

12
Prof. Ana Maçãs

Escola E.B. 2,3 de Pataias

-

Ponta do pé de apoio na direcção para onde se pretende passar a bola;

-

O pé que realiza o passe deve contactar a bola central parte central;

-

Perna de balanço estendida à frente;

-

Perna de apoio ligeiramente flectida;

-

Tronco ligeiramente inclinado à frente;

-

Membros superiores equilibram o movimento;

Recepção
Acção técnica individual de controlo ou domínio de bola. Tem por objectivo receber o passe de um
companheiro ou interceptar um passe, remate, …, do adversário.

Determinantes técnicas:
-

Parte interna do pé (a);

-

Peito do pé (b);

-

Planta do pé (c);

-

Peito;

-

Cabeça;

a)

b)

c)

d)

A acção técnica individual – recepção, pode ser efectuada com todas as superfícies corporais, exceptuando
os braços e as mãos.

Aspectos importantes:
-

No momento antes de tocar a bola, o pé de contacto é levado adiante, ficando à frente do pé de
apoio e atrás da bola;

-

No momento de contacto com a bola, o pé que recebe a bola é arrastado descontraidamente para
trás;

-

A perna de apoio deve estar ligeiramente flectida;

-

O tronco deve estar ligeiramente flectido;

Material de apoio teórico de Futebol

13
Prof. Ana Maçãs

-

Escola E.B. 2,3 de Pataias

Deslocar-se na direcção da trajectória da bola;

Condução de bola
Acção técnica de deslocamento controlado da bola no espaço de jogo, por parte de um jogador. Esta acção é
fundamental, para os jogadores se deslocarem com a bola controlada em direcção à baliza adversária. No
entanto, esta acção só deve ser utilizada em recurso, principalmente quando há companheiros melhor
colocados.

Determinantes técnicas:
-

Parte interna do pé – mais precisa e menos rápida (a);

-

Peito do pé – menos precisa e mais rápida;

-

Parte externa do pé – eficiente e rápida (b);

Aspectos importantes:
-

Bola sempre próxima do pé que a conduz;

-

Conduzir a bola do lado oposto ao que se encontra o adversário;

-

Tronco ligeiramente inclinado à frente;

-

Observar o espaço de jogo e a bola simultaneamente;

Remate

Acção técnica exercida pelo jogador sobre a bola, com o objectivo de a introduzir na baliza adversária.

Formas de executar o remate:
-

Parte interna do pé – muito preciso, pouco forte;

-

Parte externa do pé;

-

Peito do pé – preciso, muito forte;

-

Cabeça;

Determinantes técnicas:
-

Pé de apoio na direcção do remate;

Material de apoio teórico de Futebol

14
Prof. Ana Maçãs

Escola E.B. 2,3 de Pataias

-

Pé que remata em extensão;

-

Tronco ligeiramente inclinado atrás e no
momento

do

remate

em

inclinação

acentuada à frente;
-

Contactar no centro da bola a fim de dar
mais velocidade.

Cabeceamento
É o gesto técnico de tocar a bola com a cabeça. Este gesto pode estar ligado, à recepção, ao remate, à
condução de bola e à intercepção.

Determinantes técnicas :
-

Os membros superiores auxiliam o movimento de
elevação do corpo, trás para a frente e de baixo para cima,
ao mesmo tempo em que se dá a extensão das pernas;

-

Contacto com a bola é realizado com a testa;

-

Ligeira inclinação do corpo atrás para depois ser
impulsionado à frente em direcção à bola, para dar mais
potência no cabeceamento;

-

Manter o contacto visual com a bola durante a trajectória aérea;

Drible – Finta – Simulação

Drible – é a acção técnica de ultrapassar com a bola controlada o adversário directo, existindo
contacto físico;
Finta – é a acção técnica de ultrapassar com a bola controlada o adversário directo, não existindo
contacto físico;

Material de apoio teórico de Futebol

15
Prof. Ana Maçãs

Escola E.B. 2,3 de Pataias

Simulação – é uma acção técnica individual, realizada por qualquer segmento corporal, tendo por
objectivo desequilibrar ou ludibriar o adversário directo de forma a ultrapassá-lo.

Determinantes técnicas:
-

Levantar a cabeça;

-

Conduzir a bola com o pé mais afastado do adversário;

-

Proteger a bola com o corpo;

-

Mudar de repente de direcção e aumentar a velocidade.

Desmarcação

É a acção individual do jogador no ataque com o objectivo de criar, ocupar e explorar eficientemente o
espaço de jogo, para receber a bola ou para desequilibrar a defesa.

Tipos de desmarcação

- de apoio - movimento de aproximação ao jogador de posse de bola, que visa fundamentalmente a
manutenção da posse de bola - desmarcação de apoio frontal, lateral e à retaguarda.

- de ruptura - tem como objectivo a progressão/finalização.

Material de apoio teórico de Futebol

16
Prof. Ana Maçãs

Escola E.B. 2,3 de Pataias

Acções Técnico-tácticas Defensivas
Intercepção
Quanto à intercepção pouco há a dizer. Esta consiste, tal como o próprio nome indica, na intercepção da
bola.
Marcação
É, enquanto factor defensivo, a técnica mais importante para o cumprimento dos objectivos da defesa
visando a anulação e cobertura dos adversários e espaços livres. As acções de marcação devem iniciar-se
imediatamente após a perda da posse de bola.

Tipos de Marcação

- marcação ao jogador com bola
 o portador da bola deverá ser sempre marcado homem a homem;
 o defesa deverá colocar-se entre o portador da bola e a sua baliza;
 quanto mais perigosa a sua posição mais pressionante deverá ser a marcação.

- marcação ao jogador sem bola
 a marcação será mais agressiva quando o adversário directo se aproximar da bola ou o
portador da bola se aproximar do adversário directo, para não permitir a criação de uma
situação de superioridade numérica.

Desarme
Determinantes técnicas:
1. Colocar o pé perpendicularmente à direcção do deslocamento da bola, de modo a bloqueá-la;
2. Estar atento aos deslocamentos, que da bola, quer do adversário;
3. Intervir só quando tiver a certeza de que vai conseguir desarmar o adversário.

Material de apoio teórico de Futebol

17
Prof. Ana Maçãs

Escola E.B. 2,3 de Pataias

Princípios específicos
Penetração
O jogador que se encontra na posse de bola deve ter como primeira preocupação ver se existe possibilidade
de finalizar (marcar golo), ou espaço livre de progressão para a baliza contrária.

Cobertura Ofensiva
A equipa que ataca deve procurar restabelecer o equilíbrio fazendo apelo a um 2º atacante (2x2), alcançando
assim a igualdade numérica e respeitando o segundo princípio do ataque.

Mobilidade
O 2x2 é menos vantajoso para o ataque do que o 1x1. Sendo assim o 2º atacante deve afastar-se do portador
da bola, libertando-o da sobremarcação. Se o 2º defensor não acompanhar cria-se assim uma situação de
1x0.

Espaço
O ataque tem todo o interesse em tornar o jogo mais aberto, com maior amplitude, em largura e
profundidade, em criar linhas de passe, de forma a obrigar a defesa a flutuar e a ter maior dificuldade em
criar situações de superioridade numérica.

Contenção
Em resposta à penetração, a equipa que defende deve fechar de imediato a linha de remate ou de progressão
para a baliza, colocando um jogador entre o portador da bola e a baliza, criando assim uma situação de
igualdade numérica (1x1).
Material de apoio teórico de Futebol

18
Prof. Ana Maçãs

Escola E.B. 2,3 de Pataias

Cobertura Defensiva
A equipa que defende deve evitar a igualdade numérica, devendo defender com mais um defesa que o
número total de atacantes adversários. Criada a superioridade numérica cumpre-se este segundo princípio da
defesa.

Equilíbrio
O segundo defesa deve acompanhar o segundo atacante, tentando restabelecer, ainda que de modo frágil,
situações de igualdade numérica (1x1).

Concentração
Compete à defesa restringir o espaço disponível para jogar, diminuir a amplitude do ataque, obrigando a
adversário a jogar em pequenos espaços, de forma a facilitar a cobertura defensiva e a criação permanente de
situações de superioridade numérica.

(adaptado de Queirós, 1983)

Material de apoio teórico de Futebol

19
Prof. Ana Maçãs

Escola E.B. 2,3 de Pataias

Técnica de Guarda – Redes
Do ponto de vista defensivo, o guarda – redes deve dominar a atitude base defensiva, a colocação no terreno
e as técnicas de receber, blocar, interceptar, afastar a bola e sair ao adversário com bola.

Posição base e colocação no terreno
 Entre os postes, com os pés afastados e as pernas flectidas;
 Tronco ligeiramente inclinado em frente, com os braços ao lado do
corpo;
 Deslocamentos na baliza em função do movimento da bola.

Recepção da bola
É a acção em que o guarda – redes recebe a bola num único contacto, usando as mãos com os dedos
afastados.
As recepções podem ser altas, baixas e em mergulho.
Na recepção baixa a bola é segura com as duas mãos, estando a perna de apoio flectida na direcção da bola e
o tronco inclinado em frente.
Na técnica de mergulho, o guarda-redes projecta-se lateralmente sobre a perna, coxa, anca e tronco.
O blocar da bola é uma situação particular da recepção. A técnica de blocar mais utilizada é aquela em que o
guarda-redes, de pé, amortece a bola a meia altura, segurando-a de seguida entre o peito e os antebraços.
Outra as vezes o guarda-redes tem a necessidade de se deslocar em voo para captar a bola.
Depois de a agarrar, deve preocupar-se com a queda e com a protecção da bola, devendo para o efeito
protegê-la segurando-a contra o peito.

Desviar/ afastar a bola
Por vezes não é possível controlar a bola com as duas mãos, sendo o
guarda redes obrigado a afastá-la ou desviá-la da zona de baliza.
Para afastar a bola deve socá-la com os punhos. Para desviar por
cima ou para o lado da baliza, deve usar a palma de uma ou de
ambas as mãos.

Material de apoio teórico de Futebol

20
Prof. Ana Maçãs

Escola E.B. 2,3 de Pataias

Saídas

As saídas são situações de elevada dificuldade para o guarda-redes na medida em
que pressupõem uma disputa individual entre este e um adversário que poderá
fintá-lo ou rematar.
Na saída, o guarda-redes avança para diminuir o ângulo de remate e poderá
executar algumas técnicas já descritas: desviar, blocar, mergulhar. O guarda-redes
pode afastar a bola utilizando os pés.
No “capítulo ofensivo”, o guarda redes deve dominar as técnicas de pontapear a
bola e de passe com a mão ou com os pés, por forma a colocar rapidamente a bola
em jogo e explorar a possibilidade de contra-ataque.

Material de apoio teórico de Futebol

21
Prof. Ana Maçãs

Escola E.B. 2,3 de Pataias

Sugestão para a configuração das aulas
1. Exercício: passe 2 a 2

Parâmetro a
Avaliar

Introdutório

Elementar

Avançado

 Tem muita dificuldade

 A recepção é feita com

 Tem uma boa

na recepção da bola.
 Executa o passe

alguma dificuldade.
 Limita-se apenas a

incorrectamente e sem

parte interior do pé.

bola.

realizar o passe com a

qualquer técnica.

recepção da

Passe e

 O passe é feito para

Recepção
 Realiza o passe sem

que a bola seja enviada

direcção apropriada.

 Imprime efeitos
à bola para

para a frente do colega,

passar.

deslocando-se numa
posição frontal à baliza.

 Executa o
passe com
qualquer parte
do pé.

2. Condução de Bola

Parâmetro
a Avaliar

Introdutório

Elementar

Avançado

 Perde constantemente o

 Realiza a condução da

 Realiza a

controlo da bola.

bola satisfatoriamente

condução da

mas de forma lenta.

bola com

 A coordenação da
 Não coordena a condução de
bola com o remate.

condução da bola com

precisão com
rapidez.

o remate é satisfatória.
Utiliza razoavelmente

 Executa o

os apoios na
preparação para o
Condução

Material de apoio teórico de Futebol

remate com a
técnica correcta.

remate.

22
Prof. Ana Maçãs

Escola E.B. 2,3 de Pataias

 Ainda centraliza um

da Bola e
Remate

pouco a visão sobre a
 Centraliza a visão sobre a

bola.

bola.

 Descentraliza a
visão sobre a
bola.

3. Situação de Jogo

Parâmetro a
Avaliar

Introdutório

Elementar

Avançado

 Jogo estático.

 Ocupação mais racional

 Gestão

do espaço de jogo.
 Circulação da bola à
 Aglutinação em torno

periferia.

racional do
espaço de
jogo.
 Antecipação

da bola.

está presente
 Comunicação gestual

Situação de
 Utilização da

Jogo

comunicação verbal.

sobrepõem-se à
comunicação verbal.
 A visão vai sendo

em todas as
acções.
 Leitura do
jogo.

progressivamente
 Olhar exclusivo sobre a

libertada para ler o jogo.

bola.
 Iniciação da
utilização da
comunicação
motora.

Material de apoio teórico de Futebol

23
Prof. Ana Maçãs

Escola E.B. 2,3 de Pataias

Fases do ensino do futebol
Fase 1 – construção da relação com a bola
Ataque – da bola possuída à bola trocada
Defesa – da bola desejada á bola capturada
Fase 2 – consciencialização dos alvos
Ataque – entre o jogo directo e o jogo indirecto
Defesa – da defesa da baliza á defesa do campo
Fase 3 – construção da noção de oposição
Ataque – do espaço próximo ao espaço afastado
Defesa – da passividade á conquista da bola; da defesa anárquica as tarefas
defensivas
Fase 4 – Construção da noção de cooperação
Ataque – do jogo a solo ao jogo combinado
Defesa – da acção isolada á acção em bloco; do jogo afastado ao jogo
compactado

Nível Avançado
O aluno deve:

1. Coopera com os companheiros, quer nos exercícios, quer no jogo, escolhendo as acções favoráveis ao
êxito pessoal e do grupo, admitindo as indicações que lhe dirigem e aceitando as opções e falhas dos
colegas.

2. Aceita as decisões da arbitragem, identificando os respectivos sinais e trata com igual cordialidade e
respeito os colegas e adversários, evitando acções que ponham em risco a sua integridade física, mesmo que
isso implique desvantagem no jogo.

3. Adequa a sua actuação quer como jogador quer como árbitro ao objectivo do jogo, à função e ao modo de
execução das principais acções técnico-tácticas e às regras do jogo.

4. Em situação de jogo 5x5.
Material de apoio teórico de Futebol

24
Prof. Ana Maçãs

Escola E.B. 2,3 de Pataias

4.1. Logo que recupera a posse de bola, reage de imediato, colaborando na organização das acções ofensivas
Enquadra-se ofensivamente controlando a bola, e realiza a acção mais adequada, com oportunidade, de
acordo com a leitura do jogo.

4.1.1. Penetra, protegendo a bola. fintando ou driblando para finalizar ou fixar a acção do adversário directo
e ou outros defensores.

4.1.2. Remata, se conseguir posição vantajosa.

4.1.3. Passa a um companheiro em desmarcação para a baliza ou em apoio, utilizando, conforme a situação,
passes rasteiros ou passes por alto.

4.1.4. Após passe a um companheiro próximo, desmarca-se (sai) no mesmo corredor ou em diagonal para
outro corredor (sentido contrário ao passe), de acordo com a posição do companheiro e adversários, criando
nova linha de passe mais ofensiva.

4.1.5. Devolve a bola, colocando-a à frente do receptor (de forma a permitir a continuidade da acção
ofensiva), se a recebeu de um companheiro próximo que, entretanto, abriu linha de passe.

4.2. Desmarca-se, para oferecer linha de passe para penetração ou remate ou linha de passe de apoio (de
acordo com a movimentação geral), procurando criar situações de superioridade numérica favoráveis à
continuação das acções ofensivas da sua equipa, garantindo a largura e profundidade do ataque.

4.3. Logo que a sua equipa perde a posse da bola, reage de imediato procurando impedir a construção das
acções ofensivas, realizando com oportunidade e de acordo com a situação, as seguintes acções.

4.3.1. Pressiona o jogador em posse de bola reduzindo o seu espaço ofensivo.

4.3.2. Colabora com o companheiro criando situações de superioridade numérica defensiva sobre o
portador da bola.

4.3.3. Fecha as linhas de passe mais ofensivas impedindo a recepção da bola.

4.3.4. Realiza as dobras quando os companheiros são ultrapassados por atacantes em penetração.
Material de apoio teórico de Futebol

25
Prof. Ana Maçãs

Escola E.B. 2,3 de Pataias

4.3.5. Ajusta a sua posição defensiva, ocupando a posição do companheiro que realizou a acção anterior
(compensação).

4.4. Como guarda-redes, enquadra-se com a bola para impedir o golo. Ao recuperar a bola passa a um
jogador desmarcado.

5. Realiza com oportunidade e correcção global, no jogo e em exercícios critério, as acções: 1) recepção e
controlo da bola, 2) remate, 3) remate de cabeça, 4) condução de bola, 5) drible, 6) passe, 7) finta, 8)
desmarcação, 9) marcação, 10) pressão, 11) intercepção e 12) desarme.

Material de apoio teórico de Futebol

26
Prof. Ana Maçãs

Escola E.B. 2,3 de Pataias

BIBLIOGRAFIA
Bayer, C. (1994). O Ensino dos Desportos Colectivos. Dinalivro. Lisboa.
Castelo, J. (1994). Futebol – Modelo técnico-táctico do jogo. Edições FMH – UTL. Lisboa.
Dugrand, M. (1989). Football, de la transparence à la complexité. P.U.F. Paris.
Faria, R. (1999). Periodização Táctica – Um Imperativo Concepto-metodológico do Rendimento Superior
em Futebol. Trabalho realizado no âmbito da disciplina seminário, opção de futebol. FCDEF-UP. Porto.
Garganta, J. (1997). Modelação Táctica do Jogo de Futebol. Estudo da Organização da Fase Ofensiva em
Equipas de Alto Rendimento. Tese de Doutoramento. FCDEF-UP. Porto.
Garganta, J. (1999). A Importância da Forma de Jogo 1x1 na Formação do Futebolista. Revista Horizonte,
15-17.
Garganta, J. & Pinto, J. (1995). O ensino do futebol. A. Graça & J. Oliveira (Eds.), O ensino dos jogos
desportivos, 95-136. CEJD. FCDEF – UP. Porto.
Martinho, J. (2000). Modelo de Jogo, Componentes do Rendimento e Período Preparatório – Que
concepções? Que operacionalização? Trabalho realizado no âmbito da disciplina seminário, opção de
futebol. FCDEF-UP. Porto.
Pacheco, R. (2001): O ensino do futebol – futebol de 7. Um jogo de iniciação ao futebol de 11. Porto.
Pinto, J. (1996). A Táctica no Futebol: Abordagem Conceptual e Implicações na Formação. Estratégia e
táctica nos Jogos Desportivos Colectivos, 51-62. J. Oliveira e F. Tavares (Eds.). Centro de Estudos dos
Jogos Desportivos. FCDEF-UP. Porto.
Queiroz, C. (1983). Para uma teoria do ensino/treino em futebol. Ludens, vol. 8, nº1, 25-44. Lisboa.
Queiroz, C. (1986). Estrutura e organização dos exercícios de treino em futebol. Federação Portuguesa de
Futebol. Lisboa.
Rolim, R. (2003). Atletismo. Apontamentos fornecidos pelo autor no âmbito da cadeira de Didáctica de
atletismo. FDCEF-UP. Porto.
Teodorescu, L. (1984). Problemas da teoria e metodologia dos jogos desportivos. Livros Horizonte. Lisboa.
Weineck, J. (1983). Manuel de l’entraînement. Ed. Vigot. Paris
Vickers, J. (1990). Instructional Design for Teaching Physical Activities. Human Kinetics Books,
Champaign, IL.

Material de apoio teórico de Futebol

27
Prof. Ana Maçãs

Material de apoio teórico de Futebol

Escola E.B. 2,3 de Pataias

28

Futebol

  • 1.
    AGRUPAMENTO DE ESCOLASDE PATAIAS Futebol Prof. Ana Maçãs Ano Lectivo 2010/2011
  • 2.
    Prof. Ana Maçãs EscolaE.B. 2,3 de Pataias ANÁLISE DO FUTEBOL E DESENVOLVIMENTO DE UMA ESTRUTURA DE CONHECIMENTOS Futebol Cultura Desportiva Regulamento Fisiologia do Treino e Condição Física Habilidades Motoras Aquecimento Conceitos Psico - Sociais Técnica Espírito de grupo Condição Física Conhecimento "Fair play" Passe Recepção Capacidades Coordenativas Condução de Bola Finta Capacidades Condicionais Remate Marcação Desmarcação Desarme Cooperação Aplicação Respeito pelos colegas História Competição Retorno à calma Espírito de sacrifício Táctica Comunicação Ofensiva Defensiva Penetração Contenção Cobertura ofensiva Cobertura defensiva Mobilidade Equilíbrio Situação de jogo 3x3 Situação de jogo 5x5 Material de apoio teórico de Futebol 1
  • 3.
    Prof. Ana Maçãs EscolaE.B. 2,3 de Pataias CULTURA DESPORTIVA HISTÓRIA É impossível determinar a origem do futebol. Porém o seu aparecimento pode ser remetido para o Japão por volta de 1000 anos a.C. Era um jogo que punha em confronto dois grupos que, compostos por muita gente, disputavam uma bola com as mãos e os pés. O terreno de jogo era quadrado, de dimensões variáveis e os vértices eram definidos por um pinheiro a Noroeste, uma cerejeira a Sudoeste, um ácer a Nordeste e um salgueiro a Sueste. Na Grécia, e sem remontarmos a épocas tão longínquas, encontram-se os primeiros vestígios do futebol ocidental. Por ocasião das Olimpíadas, praticava-se o Sfoeris Machis ou Esferomaquia, jogo usado principalmente para treinar soldados. Em Roma aparece o Haspartam – jogo de actividade brutal e violenta – que punha em confronto dois grupos compostos por um número ilimitado de homens, que deviam empurrar e bater com a mão (metida numa espécie de luva) uma bexiga cheia de ar ou areia até conseguir ultrapassar uma linha marcada no campo inimigo. Pensa-se que este jogo chegou às Ilhas Britânicas, onde obteve grande sucesso, levado pelos romanos nas suas viagens e conquistas. Por seu lado, os franceses afirmam que a origem do futebol vem do jogo da Choule ou Joule que se praticava no princípio do século XIV, e consistia empurrar uma bola de couro, cheia de erva ou de ar, até uma parede limite para conseguir marcar um golo. Mas o jogo que tem mais semelhanças com o futebol actual é o Cálcio italiano, o jogo do Cálcio. Era um desporto de Inverno (só se jogava durante o primeiro trimestre do ano). Praticava-se em qualquer praça pública que reunisse as condições exigidas pelo regulamento; ter linhas laterais e uma de baliza que ao ser atravessada pela bola significava que um golo tinha sido obtido. A bola podia ser jogada com o pé ou com a mão, mas neste caso seria falta se fosse jogada acima da cabeça. O jogo era dirigido por seis árbitros sentados e cada equipa era formada por 27 jogadores, que se dispunham no terreno da seguinte forma: 3 defesas, 4 três quartos, 5 médios e 15 avançados. O Cálcio, como todos os outros jogos enunciados, aos quais se atribui a paternidade do futebol, era um jogo bruto e violento, em que rasteirar, empurrar e toda a espécie de astúcias eram permitidas e em que a técnica e táctica primavam pela ausência. O futebol como jogo moderno nasceu em Inglaterra em 1863. Neste ano foi criada em Londres a Football Association, e , uns anos mais tarde, em 1885, são feitas as primeiras regras deste jogo, a partir das quais se foram introduzindo alterações até às leis da actualidade. Portanto, o futebol propriamente dito tem pouco mais de um século de vida e, durante esse período de tempo, construiu o império mais espectacular nunca alcançado por outro desporto, já que à sua volta gira Material de apoio teórico de Futebol 2
  • 4.
    Prof. Ana Maçãs EscolaE.B. 2,3 de Pataias uma infinidade de ambições, sonhos, organizações, dinheiros e subornos, que fazem do futebol o desporto mais controverso que jamais existiu. Leis de jogo do Futebol Lei 1 – O Campo de Jogo Lei 2 – A bola Tem um diâmetro de 68 a 71 cm e pesa 396 a 453 gramas, dependente dos escalões. Lei 3 – Número de Jogadores Onze, incluindo o capitão e o guarda–redes ( o mínimo 7 ); suplentes, no máximo 7; Substituições são permitidas 3. O capitão de equipa pode: dar instruções aos jogadores, solicitar o árbitro respeitosamente para qualquer esclarecimento. Deve: respeitar e fazer respeitar as determinações do árbitro, observar e fazer observar as regras de lealdade e correcção para com os adversários. Procurar acalmar conflitos provocados pelos seus companheiros ou em que estes sejam intervenientes. Material de apoio teórico de Futebol 3
  • 5.
    Prof. Ana Maçãs EscolaE.B. 2,3 de Pataias Lei 4 – Equipamento Camisola, calções, meias, caneleiras, calçado próprio (o guarda-redes pode usar calças de fato de treino e camisola, o que o distingue dos outros jogadores e árbitro). Lei 5 – O Árbitro Tem por missão cumprir e fazer cumprir, dentro das instalações desportivas, as leis e as normas do jogo. Lei 6 – Árbitros Auxiliares São dois e têm por missão auxiliar o árbitro, assinalando: faltas, bolas fora de jogo, pontapés de canto e de baliza, lançamentos pela linha lateral, a posição de jogadores em fora de jogo e as substituições. Lei 7 – Duração do Jogo Seniores e Juniores – 90 min.; Juvenis – 80 min.; Iniciados – 70 min.; Infantis – 60 min.; Escolas – 50 min.; Femininos – 70 min. . O intervalo entre cada parte do jogo pode variar entre 5 min. e 10 min. . Lei 8 – Começo do Jogo Inicia-se com o sinal do árbitro e depois da saudação (obrigatória) ao público. Lei 9 – Bola Fora e Bola em Jogo Bola fora: Quando ultrapassa completamente as linhas laterais ou de baliza, quando jogo tiver sido interrompido pelo árbitro; Bola em jogo: Sempre que dentro das quatro linhas, mesmo quando ressalta para o terreno de jogo após ter tocado no árbitro ou nos árbitros auxiliares, desde que estes se encontrem dentro do terreno do jogo. Lei 10 – Marcação de Golos Só é golo quando a bola, em condições regulamentares transpõe completamente a linha de baliza entre os postes e por baixo da barra. Material de apoio teórico de Futebol 4
  • 6.
    Prof. Ana Maçãs EscolaE.B. 2,3 de Pataias Lei 11 – Fora de Jogo Quando o jogador está no meio campo adversário e à frente da linha da bola, tendo somente um adversário entre si e a linha de baliza no momento em que a bola lhe é passada por um colega de equipa. O fora de jogo pode ser:  de acção: quando o jogador nessa posição tem uma acção directa ou indirecta na jogada, tirando vantagem dessa posição (sempre punível );  de posição: se o jogador nessa posição não interfere no jogo nem influência a acção do adversário (não é punível) Lei 12 – Faltas e Incorrecções São punidas com um pontapé livre directo, sendo marcadas no local onde tiverem sido cometidas (ou pontapé de grande penalidade caso o infractor seja um jogador da equipa que defende na grande área). Um jogador será punido com pontapé de livre directo se cometer uma das seguintes infracções:  dar ou tentar dar um pontapé ao adversário  rasteirar um adversário  saltar sobre o adversário  carregar um adversário de modo violento ou perigoso  agredir, ou tentar agredir, ou cuspir no adversário  carregar um adversário pelas costas  empurrar um adversário  jogar a bola com as mãos (excepto o guarda-redes dentro da área)  agarrar o adversário Um jogador será punido com pontapé de livre indirecto se cometer uma das seguintes cinco infracções:  jogar de maneira que o árbitro considere perigosa  carregar correctamente o adversário, ou seja, com o ombro em igual região do adversário, desde que a bola não esteja a uma distância jogavel desse jogador (2 a 3 metros )  fazer obstrução ilegal ao adversário  carregar o guarda-redes, excepto quando não detém a bola, esteja a fazer obstrução ao adversário ou esteja fora da área da baliza  se o guarda-redes, na sua área, demorar mais do que seis segundos para repor a bola em jogo. Material de apoio teórico de Futebol 5
  • 7.
    Prof. Ana Maçãs EscolaE.B. 2,3 de Pataias Um jogador é advertido (cartão amarelo) quando:  entrar ou reentrar e sair do terreno de jogo sem a autorização dos árbitros  infringir com persistência  mostrar desacordo com qualquer decisão do árbitro , quer por gestos quer por palavras ou atitudes  incorrer em comportamento incorrecto ( e.g.: atirar a bola para longe, após o árbitro ter apitado para interromper o jogo ) Um jogador será expulso (cartão vermelho) quando:  se tornar culpado de conduta violenta ou brutalidade  usar linguagem injuriosa ou grosseira  reincidir em comportamento incorrecto depois de advertido Lei 13 – Pontapés Livres Na marcação de um pontapé livre, em qualquer zona do terreno, os adversários devem situar-se pelo menos 9,15 m da sua marcação: - directos: castigam as faltas mais graves; podem ser marcados golos (Lei 12) - indirectos: castigam as faltas menos graves; podem ser marcados golos desde que a bola antes de entrar na baliza tenha sido tocada por jogador diferente do que o cobrou o castigo. Lei 14 – Pontapé de Grande penalidade Só há nove faltas (Lei 12) que levam à punição de uma equipa com um pontapé de grande penalidade, desde que sejam cometidas dentro da grande área defensiva. Lei 15 – Lançamento da Bola pela Linha Lateral Quando a bola ultrapassa completamente uma das linhas laterais, quer seja rente ao solo quer seja pelo ar. Na execução, o jogador deve estar de frente para o terreno de jogo, com os pés em contacto com o solo. A bola deve ser arremessada por cima da cabeça. Lei 16 – Pontapé de Baliza Quando a bola ultrapassa completamente a linha de baliza, sem ser entre os postes, tocada em último lugar por um jogador da equipa atacante. Material de apoio teórico de Futebol 6
  • 8.
    Prof. Ana Maçãs EscolaE.B. 2,3 de Pataias Lei 17 – Pontapé de Canto Quando a bola é jogada em ultimo lugar por um jogador que defende e ultrapassa a linha da baliza sem ser entre os postes. FISIOLOGIA DO TREINO E CONDIÇÃO FÍSICA No plano energético-funcional, o Futebol/ Futsal faz apelo a esforços intermitentes, mistos alternados (aeróbios-anaeróbios), e pode ser considerada como uma actividade de resistência, em regime de velocidade, de força e de coordenação táctico-técnica. Deste modo o Futebol/ Futsal solicita fontes energéticas aeróbias e anaeróbias, bem como um misto de resistência, velocidade, força e agilidade. Assim, durante a unidade didáctica de Futebol continuaremos a dar relevância ao trabalho de condição física. AQUECIMENTO O aquecimento pode ser entendido como: “todas as medidas que, antes de um trabalho físico, possibilitem a criação de um estado de preparação psicofísico e cinestésico-coordenativo óptimo e que possam diminuir a probabilidade de ocorrência de lesões” (Weineck, 1986). Deste modo, antes da actividade real da aula, deverão ser realizados vários exercícios de intensidade moderada com objectivo de melhorar a transição do estado de repouso para o de actividade e alongamentos para aumentar a amplitude dos movimentos das articulações envolvidas na actividade a desenvolver, assim como alongamentos específicos para aumentar a flexibilidade da região lombar. Este deverá ter uma intensidade adequada, contemplando uma mobilização eficaz das principais articulações a serem solicitadas no decurso da aula. Tem ainda de passar pela mobilização geral e específica e ser adequada aos conteúdos e exigências dos exercícios seguintes. O exercício preparatório de esforço constituise como um meio introdutório de excelência para a prevenção de lesões na aula. No Futebol, a corrida contínua e alongamentos dos MI parecem ser os meios mais utilizados como parte integrante do exercício preparatório de esforço. Depois do esforço realizado, em função dos diversos parâmetros de carga, produz-se uma fadiga mais ou menos elevada, dependendo da intensidade da aula. Esta medida/estado funcional, representa um mecanismo de defesa orgânica que visa impedir o esgotamento das reservas energéticas essenciais. Deste modo surge a necessidade de recompensar a “agressão” produzida, pelo que é necessário ter presente um momento de relaxamento, quer das principais articulações e músculos solicitados, como também ao nível psíquico. No final de cada aula, são recomendados cerca de 5 minutos de actividades de retorno à calma (caminhada lenta, exercícios de alongamento), para que ocorra um retorno gradual da frequência cardíaca e da pressão Material de apoio teórico de Futebol 7
  • 9.
    Prof. Ana Maçãs EscolaE.B. 2,3 de Pataias arterial aos níveis normais. Esta parte da aula assume grande preponderância por reduzir a possibilidade de ocorrência, apesar de muito rara, de um episódio de hipotensão posterior à sessão. CONDIÇÃO FÍSICA Esta revela-se como fundamental desenvolver as Capacidades Físicas de Base. De entre estas destacam-se as capacidades coordenativas, na medida em que cada vez mais os alunos apresentam deficits neste domínio, podendo influenciar negativamente o seu bem-estar futuro (Rolim, 2003). Fundamentos pedagógicos do desenvolvimento da força:  Desenvolvimento harmonioso de todos os grupos musculares, actuando global e selectivamente. Fortalecimento da musculatura das costas com o objectivo de prevenir os desvios da coluna vertebral.  Fortalecimento da musculatura abdominal e da região sacro-lombar.  Fortalecimento da musculatura dos braços, da cintura escapulo-umeral e costas. Fundamentos pedagógicos no desenvolvimento da velocidade:  Aperfeiçoamento da velocidade de deslocamento e da velocidade de execução nas condições solicitadas pela aplicação das habilidades e dos hábitos motores. Fundamentos pedagógicos para o desenvolvimento da resistência:  Desenvolvimento da resistência nos esforços de duração com ritmos variados.  Desenvolvimento da capacidade respiratória através do aumento do tórax e da amplitude dos movimentos do diafragma.  Desenvolvimento da resistência através de esforços repetidos em tempos variáveis.  Aperfeiçoamento da resistência através de esforços repetidos em tempos uniformes de variados.  Aperfeiçoamento da resistência através de esforços repetidos em tempos variados.  Aumento da resistência geral do organismo aos esforços de duração efectuados em tempos uniformes e variados.  Aumento da resistência geral do organismo com acento sobre a resistência em regime de esforços anaeróbios. RETORNO À CALMA Depois do esforço realizado, em função dos diversos parâmetros de carga, produz-se uma fadiga mais ou menos elevada, dependendo da intensidade da aula. Esta medida/ estado funcional representa um mecanismo de defesa orgânica que visa impedir o esgotamento das reservas energéticas essenciais. Deste modo surge a Material de apoio teórico de Futebol 8
  • 10.
    Prof. Ana Maçãs EscolaE.B. 2,3 de Pataias necessidade de recompensar a “agressão” produzida, pelo que é necessário ter presente um momento de relaxamento, quer das principais articulações e músculos solicitados, como também ao nível psíquico. A este nível procuraremos realizar alongamentos como forma de facilitar a recuperação do aluno. Teremos também em atenção a importância de reforçar os conteúdos abordados na aula, aquilatar dificuldades na execução dos mesmos, assim como possíveis soluções para essas dificuldades. HABILIDADES MOTORAS “Sem diminuir a importância das restantes características, é a relação de oposição dos elementos das duas equipas em confronto e a relação de cooperação entre os elementos da mesma equipa, ocorridas num contexto aleatório, que traduzem a essência dos JDC. Esta permanente relação de sinal contrário, entre as equipas em confronto, impõe mudanças alternadas de comportamentos e atitudes, de acordo com o objectivo do jogo (o golo) e com as finalidades de cada fase ou situação (ataque ou defesa). Compete aos jogadores de ambas as equipas, individualmente, em pequenos grupos ou colectivamente, assumir comportamentos que induzam o aparecimento de situações favoráveis conducentes à concretização dos objectivos, na observância das regras do jogo” (Garganta e Pinto, 1995). No jogo de futebol é possível identificar duas grandes fases: ataque e defesa. Em cada uma dessas fases as equipas perseguem objectivos contrários. Se na fase de ataque, que corresponde ao momento em que a equipa tem a posse da bola, o objectivo é procurar mantê-la, tentar criar situações de finalização e marcar golo, já a fase de defesa (sem posse de bola) tem como objectivo procurar apoderar-se da bola, impedir a criação de situações de finalização e a marcação de golo (Garganta e Pinto, 1995). Para uma melhor compreensão da estrutura do jogo de futebol é primeiro necessário entender os conceitos chave de fases, princípios, factores e formas que, segundo Teodorescu (1984), são as componentes fundamentais da táctica. Fases  Representam as etapas percorridas no desenvolvimento tanto do ataque como da defesa desde o seu início até à sua completa consumação. Princípios  Regras de base segundo as quais os jogadores coordenam e dirigem a sua actividade (consideradas individualmente e em colectivo durante as fases). Material de apoio teórico de Futebol 9
  • 11.
    Prof. Ana Maçãs EscolaE.B. 2,3 de Pataias Factores  Constituem os meios pelos quais os jogadores actuam nas fases do ataque ou da defesa aplicando simultaneamente os princípios. Formas  Estrutura organizadora da actividade durante o jogo e nas diversas fases. Fases e Princípios do Jogo de Futebol JOGO DE FUTEBOL ATAQUE DEFESA (com posse de bola) (sem posse de bola) 1. Objectivos Progressão / Finalização Cobertura/Defesa da baliza Manutenção da posse da bola Recuperação da posse da bola 2. Fases Construção das acções ofensivas Impedir a construção das acções ofensivas Criação de situações de finalização Anular as situações de finalização Finalização Defender a baliza 3. Princípios 3.1 Gerais Não permitir a inferioridade numérica Evitar a igualdade numérica Procurar criar a superioridade numérica 3.2 Específicos 1. Penetração 1. Contenção 2. Cobertura Ofensiva 2. Cobertura Defensiva 3. Mobilidade 3. Equilíbrio 4. Espaço 4. Concentração (adaptado de Queiroz, 1983) Material de apoio teórico de Futebol 10
  • 12.
    Prof. Ana Maçãs EscolaE.B. 2,3 de Pataias Factores do jogo de futebol Ataque Defesa ACÇÕES INDIVIDUAIS - Técnicas de remate (pé e cabeça) - Técnicas de passe (pé e cabeça) - Técnicas de condução - Técnicas de recepção, controle, domínio - Técnicas de drible, finta e simulação - Técnicas de desmarcação - Técnica de lançamento de linha - ACÇÕES INDIVIDUAIS Técnicas de desarme Técnicas de intercepção Técnicas de marcação Técnicas dos guarda-redes Princípios defensivos lateral - Técnica dos guarda-redes - Princípios ofensivos ACÇÕES COLECTIVAS Elementares ACÇÕES COLECTIVAS Elementares  Desmarcações  Princípios ofensivos  Combinações  Permutações/Compensações desdobramentos  Esquemas tácticos e      Marcações Princípios defensivos Compensações Dobras Métodos de defesa ACÇÕES COLECTIVAS Complexas      ACÇÕES COLECTIVAS Complexas Tarefas e funções Esquemas tácticos Circulações tácticas Sistemas tácticos Métodos de jogo - Ataque organizado - Contra-ataque ESTRUTURA E ORGANIZAÇÃO DINÂMICA DAS ACÇÕES OFENSIVAS    Tarefas e funções Sistemas tácticos Método de jogo defensivo - Defesa zona - Defesa individual - Defesa mista ESTRUTURA E ORGANIZAÇÃO DINÂMICA DAS ACÇÕES DEFENSIVAS ESTRUTURA E ORGANIZAÇÃO DINÂMICA DA EQUIPA EXPRESSÃO TÁCTICA DA EQUIPA MODELO DE JOGO Regras da Acção da Actividade “Algoritmo” (Bayer, 1994) Material de apoio teórico de Futebol 11
  • 13.
    Prof. Ana Maçãs EscolaE.B. 2,3 de Pataias - Portador da Bola  Se posso rematar, remato (prioridade);  Se não posso rematar passo;  Se não posso rematar nem passar conservo a bola. É importante apresentar as situações de uma forma aberta, no sentido de criar diversas possibilidades de resolução para um mesmo problema. É importante considerar a imprevisibilidade das situações. Devemos estimular a apreciação do contexto diferenciando situações em que se justificam diferentes acções, no sentido de não jogarmos sempre da mesma forma independentemente das situações. Acções Técnico-tácticas Ofensivas Apesar do jogo não ter cabimento sem acções técnicas e de, por vezes, ser prestada demasiada atenção nelas, a técnica deve ser encarada como um meio que está ao serviço de um resolução táctica. Deste modo, e em todos os Jogos Desportivos Colectivos, um passe, uma finta ou um remate deve ser sempre contextualizado em função da intenção táctica. Ou seja, é aconselhável que a sua abordagem/exercitação seja realizada em situação de jogo (ainda que muito reduzido) e não de forma analítica. Porém, pensamos que, na escola, o recurso a esta a situação não é de todo descabida (nas acções de ataque) pois esta pode por vezes ser a única forma de garantirmos que todos os alunos exercitam determinado gesto técnico com à-vontade. Passe Acção técnico-táctica que estabelece a comunicação entre os jogadores da mesma equipa, e tem por objectivo fazer com que a mesma progrida no terreno. Formas de executar o passe: - Parte interna do pé – para distâncias curtas; - Peito do pé – para distâncias mais longas; - Parte externa do pé - para dar mais velocidade à bola; - Cabeça – em bolas aéreas; Determinantes técnicas: - Pé de apoio ao lado da bola; Material de apoio teórico de Futebol 12
  • 14.
    Prof. Ana Maçãs EscolaE.B. 2,3 de Pataias - Ponta do pé de apoio na direcção para onde se pretende passar a bola; - O pé que realiza o passe deve contactar a bola central parte central; - Perna de balanço estendida à frente; - Perna de apoio ligeiramente flectida; - Tronco ligeiramente inclinado à frente; - Membros superiores equilibram o movimento; Recepção Acção técnica individual de controlo ou domínio de bola. Tem por objectivo receber o passe de um companheiro ou interceptar um passe, remate, …, do adversário. Determinantes técnicas: - Parte interna do pé (a); - Peito do pé (b); - Planta do pé (c); - Peito; - Cabeça; a) b) c) d) A acção técnica individual – recepção, pode ser efectuada com todas as superfícies corporais, exceptuando os braços e as mãos. Aspectos importantes: - No momento antes de tocar a bola, o pé de contacto é levado adiante, ficando à frente do pé de apoio e atrás da bola; - No momento de contacto com a bola, o pé que recebe a bola é arrastado descontraidamente para trás; - A perna de apoio deve estar ligeiramente flectida; - O tronco deve estar ligeiramente flectido; Material de apoio teórico de Futebol 13
  • 15.
    Prof. Ana Maçãs - EscolaE.B. 2,3 de Pataias Deslocar-se na direcção da trajectória da bola; Condução de bola Acção técnica de deslocamento controlado da bola no espaço de jogo, por parte de um jogador. Esta acção é fundamental, para os jogadores se deslocarem com a bola controlada em direcção à baliza adversária. No entanto, esta acção só deve ser utilizada em recurso, principalmente quando há companheiros melhor colocados. Determinantes técnicas: - Parte interna do pé – mais precisa e menos rápida (a); - Peito do pé – menos precisa e mais rápida; - Parte externa do pé – eficiente e rápida (b); Aspectos importantes: - Bola sempre próxima do pé que a conduz; - Conduzir a bola do lado oposto ao que se encontra o adversário; - Tronco ligeiramente inclinado à frente; - Observar o espaço de jogo e a bola simultaneamente; Remate Acção técnica exercida pelo jogador sobre a bola, com o objectivo de a introduzir na baliza adversária. Formas de executar o remate: - Parte interna do pé – muito preciso, pouco forte; - Parte externa do pé; - Peito do pé – preciso, muito forte; - Cabeça; Determinantes técnicas: - Pé de apoio na direcção do remate; Material de apoio teórico de Futebol 14
  • 16.
    Prof. Ana Maçãs EscolaE.B. 2,3 de Pataias - Pé que remata em extensão; - Tronco ligeiramente inclinado atrás e no momento do remate em inclinação acentuada à frente; - Contactar no centro da bola a fim de dar mais velocidade. Cabeceamento É o gesto técnico de tocar a bola com a cabeça. Este gesto pode estar ligado, à recepção, ao remate, à condução de bola e à intercepção. Determinantes técnicas : - Os membros superiores auxiliam o movimento de elevação do corpo, trás para a frente e de baixo para cima, ao mesmo tempo em que se dá a extensão das pernas; - Contacto com a bola é realizado com a testa; - Ligeira inclinação do corpo atrás para depois ser impulsionado à frente em direcção à bola, para dar mais potência no cabeceamento; - Manter o contacto visual com a bola durante a trajectória aérea; Drible – Finta – Simulação Drible – é a acção técnica de ultrapassar com a bola controlada o adversário directo, existindo contacto físico; Finta – é a acção técnica de ultrapassar com a bola controlada o adversário directo, não existindo contacto físico; Material de apoio teórico de Futebol 15
  • 17.
    Prof. Ana Maçãs EscolaE.B. 2,3 de Pataias Simulação – é uma acção técnica individual, realizada por qualquer segmento corporal, tendo por objectivo desequilibrar ou ludibriar o adversário directo de forma a ultrapassá-lo. Determinantes técnicas: - Levantar a cabeça; - Conduzir a bola com o pé mais afastado do adversário; - Proteger a bola com o corpo; - Mudar de repente de direcção e aumentar a velocidade. Desmarcação É a acção individual do jogador no ataque com o objectivo de criar, ocupar e explorar eficientemente o espaço de jogo, para receber a bola ou para desequilibrar a defesa. Tipos de desmarcação - de apoio - movimento de aproximação ao jogador de posse de bola, que visa fundamentalmente a manutenção da posse de bola - desmarcação de apoio frontal, lateral e à retaguarda. - de ruptura - tem como objectivo a progressão/finalização. Material de apoio teórico de Futebol 16
  • 18.
    Prof. Ana Maçãs EscolaE.B. 2,3 de Pataias Acções Técnico-tácticas Defensivas Intercepção Quanto à intercepção pouco há a dizer. Esta consiste, tal como o próprio nome indica, na intercepção da bola. Marcação É, enquanto factor defensivo, a técnica mais importante para o cumprimento dos objectivos da defesa visando a anulação e cobertura dos adversários e espaços livres. As acções de marcação devem iniciar-se imediatamente após a perda da posse de bola. Tipos de Marcação - marcação ao jogador com bola  o portador da bola deverá ser sempre marcado homem a homem;  o defesa deverá colocar-se entre o portador da bola e a sua baliza;  quanto mais perigosa a sua posição mais pressionante deverá ser a marcação. - marcação ao jogador sem bola  a marcação será mais agressiva quando o adversário directo se aproximar da bola ou o portador da bola se aproximar do adversário directo, para não permitir a criação de uma situação de superioridade numérica. Desarme Determinantes técnicas: 1. Colocar o pé perpendicularmente à direcção do deslocamento da bola, de modo a bloqueá-la; 2. Estar atento aos deslocamentos, que da bola, quer do adversário; 3. Intervir só quando tiver a certeza de que vai conseguir desarmar o adversário. Material de apoio teórico de Futebol 17
  • 19.
    Prof. Ana Maçãs EscolaE.B. 2,3 de Pataias Princípios específicos Penetração O jogador que se encontra na posse de bola deve ter como primeira preocupação ver se existe possibilidade de finalizar (marcar golo), ou espaço livre de progressão para a baliza contrária. Cobertura Ofensiva A equipa que ataca deve procurar restabelecer o equilíbrio fazendo apelo a um 2º atacante (2x2), alcançando assim a igualdade numérica e respeitando o segundo princípio do ataque. Mobilidade O 2x2 é menos vantajoso para o ataque do que o 1x1. Sendo assim o 2º atacante deve afastar-se do portador da bola, libertando-o da sobremarcação. Se o 2º defensor não acompanhar cria-se assim uma situação de 1x0. Espaço O ataque tem todo o interesse em tornar o jogo mais aberto, com maior amplitude, em largura e profundidade, em criar linhas de passe, de forma a obrigar a defesa a flutuar e a ter maior dificuldade em criar situações de superioridade numérica. Contenção Em resposta à penetração, a equipa que defende deve fechar de imediato a linha de remate ou de progressão para a baliza, colocando um jogador entre o portador da bola e a baliza, criando assim uma situação de igualdade numérica (1x1). Material de apoio teórico de Futebol 18
  • 20.
    Prof. Ana Maçãs EscolaE.B. 2,3 de Pataias Cobertura Defensiva A equipa que defende deve evitar a igualdade numérica, devendo defender com mais um defesa que o número total de atacantes adversários. Criada a superioridade numérica cumpre-se este segundo princípio da defesa. Equilíbrio O segundo defesa deve acompanhar o segundo atacante, tentando restabelecer, ainda que de modo frágil, situações de igualdade numérica (1x1). Concentração Compete à defesa restringir o espaço disponível para jogar, diminuir a amplitude do ataque, obrigando a adversário a jogar em pequenos espaços, de forma a facilitar a cobertura defensiva e a criação permanente de situações de superioridade numérica. (adaptado de Queirós, 1983) Material de apoio teórico de Futebol 19
  • 21.
    Prof. Ana Maçãs EscolaE.B. 2,3 de Pataias Técnica de Guarda – Redes Do ponto de vista defensivo, o guarda – redes deve dominar a atitude base defensiva, a colocação no terreno e as técnicas de receber, blocar, interceptar, afastar a bola e sair ao adversário com bola. Posição base e colocação no terreno  Entre os postes, com os pés afastados e as pernas flectidas;  Tronco ligeiramente inclinado em frente, com os braços ao lado do corpo;  Deslocamentos na baliza em função do movimento da bola. Recepção da bola É a acção em que o guarda – redes recebe a bola num único contacto, usando as mãos com os dedos afastados. As recepções podem ser altas, baixas e em mergulho. Na recepção baixa a bola é segura com as duas mãos, estando a perna de apoio flectida na direcção da bola e o tronco inclinado em frente. Na técnica de mergulho, o guarda-redes projecta-se lateralmente sobre a perna, coxa, anca e tronco. O blocar da bola é uma situação particular da recepção. A técnica de blocar mais utilizada é aquela em que o guarda-redes, de pé, amortece a bola a meia altura, segurando-a de seguida entre o peito e os antebraços. Outra as vezes o guarda-redes tem a necessidade de se deslocar em voo para captar a bola. Depois de a agarrar, deve preocupar-se com a queda e com a protecção da bola, devendo para o efeito protegê-la segurando-a contra o peito. Desviar/ afastar a bola Por vezes não é possível controlar a bola com as duas mãos, sendo o guarda redes obrigado a afastá-la ou desviá-la da zona de baliza. Para afastar a bola deve socá-la com os punhos. Para desviar por cima ou para o lado da baliza, deve usar a palma de uma ou de ambas as mãos. Material de apoio teórico de Futebol 20
  • 22.
    Prof. Ana Maçãs EscolaE.B. 2,3 de Pataias Saídas As saídas são situações de elevada dificuldade para o guarda-redes na medida em que pressupõem uma disputa individual entre este e um adversário que poderá fintá-lo ou rematar. Na saída, o guarda-redes avança para diminuir o ângulo de remate e poderá executar algumas técnicas já descritas: desviar, blocar, mergulhar. O guarda-redes pode afastar a bola utilizando os pés. No “capítulo ofensivo”, o guarda redes deve dominar as técnicas de pontapear a bola e de passe com a mão ou com os pés, por forma a colocar rapidamente a bola em jogo e explorar a possibilidade de contra-ataque. Material de apoio teórico de Futebol 21
  • 23.
    Prof. Ana Maçãs EscolaE.B. 2,3 de Pataias Sugestão para a configuração das aulas 1. Exercício: passe 2 a 2 Parâmetro a Avaliar Introdutório Elementar Avançado  Tem muita dificuldade  A recepção é feita com  Tem uma boa na recepção da bola.  Executa o passe alguma dificuldade.  Limita-se apenas a incorrectamente e sem parte interior do pé. bola. realizar o passe com a qualquer técnica. recepção da Passe e  O passe é feito para Recepção  Realiza o passe sem que a bola seja enviada direcção apropriada.  Imprime efeitos à bola para para a frente do colega, passar. deslocando-se numa posição frontal à baliza.  Executa o passe com qualquer parte do pé. 2. Condução de Bola Parâmetro a Avaliar Introdutório Elementar Avançado  Perde constantemente o  Realiza a condução da  Realiza a controlo da bola. bola satisfatoriamente condução da mas de forma lenta. bola com  A coordenação da  Não coordena a condução de bola com o remate. condução da bola com precisão com rapidez. o remate é satisfatória. Utiliza razoavelmente  Executa o os apoios na preparação para o Condução Material de apoio teórico de Futebol remate com a técnica correcta. remate. 22
  • 24.
    Prof. Ana Maçãs EscolaE.B. 2,3 de Pataias  Ainda centraliza um da Bola e Remate pouco a visão sobre a  Centraliza a visão sobre a bola. bola.  Descentraliza a visão sobre a bola. 3. Situação de Jogo Parâmetro a Avaliar Introdutório Elementar Avançado  Jogo estático.  Ocupação mais racional  Gestão do espaço de jogo.  Circulação da bola à  Aglutinação em torno periferia. racional do espaço de jogo.  Antecipação da bola. está presente  Comunicação gestual Situação de  Utilização da Jogo comunicação verbal. sobrepõem-se à comunicação verbal.  A visão vai sendo em todas as acções.  Leitura do jogo. progressivamente  Olhar exclusivo sobre a libertada para ler o jogo. bola.  Iniciação da utilização da comunicação motora. Material de apoio teórico de Futebol 23
  • 25.
    Prof. Ana Maçãs EscolaE.B. 2,3 de Pataias Fases do ensino do futebol Fase 1 – construção da relação com a bola Ataque – da bola possuída à bola trocada Defesa – da bola desejada á bola capturada Fase 2 – consciencialização dos alvos Ataque – entre o jogo directo e o jogo indirecto Defesa – da defesa da baliza á defesa do campo Fase 3 – construção da noção de oposição Ataque – do espaço próximo ao espaço afastado Defesa – da passividade á conquista da bola; da defesa anárquica as tarefas defensivas Fase 4 – Construção da noção de cooperação Ataque – do jogo a solo ao jogo combinado Defesa – da acção isolada á acção em bloco; do jogo afastado ao jogo compactado Nível Avançado O aluno deve: 1. Coopera com os companheiros, quer nos exercícios, quer no jogo, escolhendo as acções favoráveis ao êxito pessoal e do grupo, admitindo as indicações que lhe dirigem e aceitando as opções e falhas dos colegas. 2. Aceita as decisões da arbitragem, identificando os respectivos sinais e trata com igual cordialidade e respeito os colegas e adversários, evitando acções que ponham em risco a sua integridade física, mesmo que isso implique desvantagem no jogo. 3. Adequa a sua actuação quer como jogador quer como árbitro ao objectivo do jogo, à função e ao modo de execução das principais acções técnico-tácticas e às regras do jogo. 4. Em situação de jogo 5x5. Material de apoio teórico de Futebol 24
  • 26.
    Prof. Ana Maçãs EscolaE.B. 2,3 de Pataias 4.1. Logo que recupera a posse de bola, reage de imediato, colaborando na organização das acções ofensivas Enquadra-se ofensivamente controlando a bola, e realiza a acção mais adequada, com oportunidade, de acordo com a leitura do jogo. 4.1.1. Penetra, protegendo a bola. fintando ou driblando para finalizar ou fixar a acção do adversário directo e ou outros defensores. 4.1.2. Remata, se conseguir posição vantajosa. 4.1.3. Passa a um companheiro em desmarcação para a baliza ou em apoio, utilizando, conforme a situação, passes rasteiros ou passes por alto. 4.1.4. Após passe a um companheiro próximo, desmarca-se (sai) no mesmo corredor ou em diagonal para outro corredor (sentido contrário ao passe), de acordo com a posição do companheiro e adversários, criando nova linha de passe mais ofensiva. 4.1.5. Devolve a bola, colocando-a à frente do receptor (de forma a permitir a continuidade da acção ofensiva), se a recebeu de um companheiro próximo que, entretanto, abriu linha de passe. 4.2. Desmarca-se, para oferecer linha de passe para penetração ou remate ou linha de passe de apoio (de acordo com a movimentação geral), procurando criar situações de superioridade numérica favoráveis à continuação das acções ofensivas da sua equipa, garantindo a largura e profundidade do ataque. 4.3. Logo que a sua equipa perde a posse da bola, reage de imediato procurando impedir a construção das acções ofensivas, realizando com oportunidade e de acordo com a situação, as seguintes acções. 4.3.1. Pressiona o jogador em posse de bola reduzindo o seu espaço ofensivo. 4.3.2. Colabora com o companheiro criando situações de superioridade numérica defensiva sobre o portador da bola. 4.3.3. Fecha as linhas de passe mais ofensivas impedindo a recepção da bola. 4.3.4. Realiza as dobras quando os companheiros são ultrapassados por atacantes em penetração. Material de apoio teórico de Futebol 25
  • 27.
    Prof. Ana Maçãs EscolaE.B. 2,3 de Pataias 4.3.5. Ajusta a sua posição defensiva, ocupando a posição do companheiro que realizou a acção anterior (compensação). 4.4. Como guarda-redes, enquadra-se com a bola para impedir o golo. Ao recuperar a bola passa a um jogador desmarcado. 5. Realiza com oportunidade e correcção global, no jogo e em exercícios critério, as acções: 1) recepção e controlo da bola, 2) remate, 3) remate de cabeça, 4) condução de bola, 5) drible, 6) passe, 7) finta, 8) desmarcação, 9) marcação, 10) pressão, 11) intercepção e 12) desarme. Material de apoio teórico de Futebol 26
  • 28.
    Prof. Ana Maçãs EscolaE.B. 2,3 de Pataias BIBLIOGRAFIA Bayer, C. (1994). O Ensino dos Desportos Colectivos. Dinalivro. Lisboa. Castelo, J. (1994). Futebol – Modelo técnico-táctico do jogo. Edições FMH – UTL. Lisboa. Dugrand, M. (1989). Football, de la transparence à la complexité. P.U.F. Paris. Faria, R. (1999). Periodização Táctica – Um Imperativo Concepto-metodológico do Rendimento Superior em Futebol. Trabalho realizado no âmbito da disciplina seminário, opção de futebol. FCDEF-UP. Porto. Garganta, J. (1997). Modelação Táctica do Jogo de Futebol. Estudo da Organização da Fase Ofensiva em Equipas de Alto Rendimento. Tese de Doutoramento. FCDEF-UP. Porto. Garganta, J. (1999). A Importância da Forma de Jogo 1x1 na Formação do Futebolista. Revista Horizonte, 15-17. Garganta, J. & Pinto, J. (1995). O ensino do futebol. A. Graça & J. Oliveira (Eds.), O ensino dos jogos desportivos, 95-136. CEJD. FCDEF – UP. Porto. Martinho, J. (2000). Modelo de Jogo, Componentes do Rendimento e Período Preparatório – Que concepções? Que operacionalização? Trabalho realizado no âmbito da disciplina seminário, opção de futebol. FCDEF-UP. Porto. Pacheco, R. (2001): O ensino do futebol – futebol de 7. Um jogo de iniciação ao futebol de 11. Porto. Pinto, J. (1996). A Táctica no Futebol: Abordagem Conceptual e Implicações na Formação. Estratégia e táctica nos Jogos Desportivos Colectivos, 51-62. J. Oliveira e F. Tavares (Eds.). Centro de Estudos dos Jogos Desportivos. FCDEF-UP. Porto. Queiroz, C. (1983). Para uma teoria do ensino/treino em futebol. Ludens, vol. 8, nº1, 25-44. Lisboa. Queiroz, C. (1986). Estrutura e organização dos exercícios de treino em futebol. Federação Portuguesa de Futebol. Lisboa. Rolim, R. (2003). Atletismo. Apontamentos fornecidos pelo autor no âmbito da cadeira de Didáctica de atletismo. FDCEF-UP. Porto. Teodorescu, L. (1984). Problemas da teoria e metodologia dos jogos desportivos. Livros Horizonte. Lisboa. Weineck, J. (1983). Manuel de l’entraînement. Ed. Vigot. Paris Vickers, J. (1990). Instructional Design for Teaching Physical Activities. Human Kinetics Books, Champaign, IL. Material de apoio teórico de Futebol 27
  • 29.
    Prof. Ana Maçãs Materialde apoio teórico de Futebol Escola E.B. 2,3 de Pataias 28