Universidade Federal Rural de Pernambuco

  Unidade Acadêmica de Serra Talhada

           Curso: Agronomia

 Disciplina: Física do Ambiente Agrícola

        Professor: Mário Oliveira
                     
          Data: 15 /08/2011




                                           1
Notas
                                      1 
• Aprovação Qualificada:                              .. − 3                                                           
                                        1 V . A. + 2 V . A             a                  a                 a
                                                                                                                   V . A. ≥ 7,0
                                      2     
                                                                                                                      
                                                                         2 / 5+3 / 5       2 / 5+ 3 / 5                


                          2
                            [(1 V .A. + 2 V .A.) − 3 V .A.] ≥ 3,0
                                                     1
• Aprovação Simples: se                                     , pode-se fazer a final: 
                                                         a       a                      a


 

    2 2
         [           a           a
                                        ]
       (1 V . A. + 2 V . A.) − 3 V . A. + V . A.Final  ≥ 5,0
    1 1 a                                             
                                                       



• A primeira e a segunda verificação serão divididas em duas partes. 
  A primeira parte com 4,0 pontos e a segunda parte com 6,0 pontos. 
•   Primeira V.A. : 09/05/2011 e 12/05/2011
•   Segunda V.A.: 16/06/2011 e 20/06/2011
•   Terceira V.A.: 07/07/2011
•   V.A. Final: 18/07/2011
•   Aulas extras: 24/03/2011 (Sala 01 Bloco 03 08:00-10:00), 14/04/2011 (Sala 01 Bloco 03 08:00-
    10:00), 19/05/2011 (Sala 02 Bloco 03 08:00-10:00), 26/05/2011 (Sala 01 Bloco 03 08:00-
    10:00), 02/06/2011(Sala 01 Bloco 03 08:00-10:00)
 
                                                                                                                                   2
Faltas
  • 25% é o limite máximo.
  • O número máximo de faltas é 19.
                           Listas de Exercícios
https://sites.google.com/site/ensinodefisicanauast/home/listas-de-exercicios


                                  Gabaritos
   https://sites.google.com/site/ensinodefisicanauast/home/gabaritos




                                                                               3
Bibliografia
• Fundamentos de Física I,II, IV Halliday e 
  Resnick. Editora L.T.C., 2009, 8a ed.. 
• Física I, Sears e Zemansky, Addison Wesley, 
  2006, 10a ed.  
• Física, Volume 1, Paul A. Tipler, Gene Mosca, 
  Editora L.T.C., 2006, 5a ed. 



                                                   4
Física do Ambiente Agrícola

           Turma: SA3
  Código da Disciplina: FISC5002



                                   5
Movimento Retilíneo

      Unidade I




                      6
Movimento
• Quando um objeto ocupa lugares diferentes em 
  tempos diferentes, dizemos que ele está em 
  movimento.
• O movimento mais simples é aquele que 
  acontece sobre uma linha reta. Para simplificar 
  ainda mais, vamos considerar o objeto como um 
  ponto: ponto material (ponto dotado de massa).
• O movimento retilíneo (sobre uma linha reta) é o 
  que vamos tratar no início.
                                                  7
Posição e Deslocamento
• Posição é uma coordenada do referencial do observador, 
  representada por um vetor que aponta da origem (onde está 
  o observador) até o objeto que estamos estudando 
  (partícula).
• É a trilha deixada pela partícula quando se move de uma 
  posição para outra.

                      ∆x = x2 − x1   Deslocamento 1-D

                         
                      ∆r = r2 − r1   Deslocamento 2-D ou 3-D


• Sua unidade no S.I. é o metro.
                                                               8
Exemplo 4-1




              9
Solução




          10
Exemplo 4-2




              11
Solução




          12
(b) Podemos obter as seguintes coordenadas para x e y nos seguintes tempos:


          Tempo (s)            Coordenada x (m)     Coordenada y (m)
          0                    28                   30
          5                    56,25                -10
          10                   69                   -39
          15                   66,25                -57
          20                   48                   -64
          25                   14,25                -60

                                 y



                                                          x



                                                                              13
Velocidade Média
• Velocidade média é a medida da rapidez de 
  uma partícula em um intervalo de tempo. É 
  obtida através da inclinação da secante que 
  une dois pontos no gráfico da posição em 
  função do tempo. Unidade do S.I.: m/s.
                         ∆x x futuro − x passado
              vmédia   =   =
                         ∆t t futuro − t passado
                       Velocidade média 1-D
                                            
                               ∆r r futuro − rpassado
                       vmédia =   =
                                ∆t t futuro − t passado

                        Velocidade média 2-D ou 3-D       14
A velocidade média faz parte da secante à trajetória da partícula.
x

    x2




                                                       tan ( α ) = vmédia

                          α
    x1




            t1                                    t2                    t

                                                                              15
Velocidade Escalar Média
• A velocidade escalar média mede a rapidez, 
  mas sem considerar o sentido ou a direção do 
  deslocamento.
• É definida com a razão entre a distância 
  percorrida pelo intervalo de tempo gasto no 
  percurso:
                           Distância percorrida
                smédia   =
                                    ∆t


                                                  16
Exemplo 2-1
•   Você dirige uma picape ao longo de uma estrada retilínea por 8,4 km a 70 
    km/h, quando ela para por falta de gasolina. Nos próximos 30 minutos, 
    você caminha ao longo da estrada na direção de um posto de gasolina.
•   (a) Qual o deslocamento desde do início da viagem até a chegada ao 
    posto de gasolina?
•   (b)  Qual é o intervalo de tempo desde do início da viagem até a chegada 
    ao posto de gasolina?
•   (c) Qual é a velocidade média do começo da viagem até a chegada ao 
    posto de gasolina? Encontre-a numericamente e graficamente.
•   (d) Suponha que para pegar a gasolina, pagar e voltar até o carro; você 
    gaste 45 minutos. Qual é a velocidade escalar média desde do começo da 
    viagem até a volta até o carro 



                                                                           17
Solução




          18
10,4

8,4




       19
Velocidade instantânea
• Quando desejamos analisar a rapidez em um 
  instante de tempo, usamos a velocidade instantânea. 
  Ela é dada pela derivada da posição em relação ao 
  tempo ou pela inclinação da tangente no gráfico da 
  posição em função do tempo. Unidade do S.I.: m/s.
                           dx       ∆x
                      v=      = lim
                           dt ∆t →0 ∆t

                    Velocidade instantânea 1-D
                                
                    dr         ∆r dx ˆ dy ˆ
                   v=     = lim    = i+      j
                      dt ∆t →0 ∆t dt      dt
                   Velocidade instantânea 2-D 

                                                    20
x
    x2

                                      α

                                                                   Tan(α)=v




x1




                                                    t2
                    t1                                                           t

         A velocidade instantânea faz parte da tangente à trajetória da partícula.

                                                                                     21
Velocidade Escalar
• A velocidade escalar instantânea é o módulo 
  da velocidade instantânea:
                         
                      s= v




                                                 22
Exemplo 2-3
• A posição de uma partícula se movendo em 
  um eixo x é dada por:
• x=7,8+9,2t-2,1t3
• Com x em metros e t em segundos. Qual é a 
  velocidade em t= 3,5 s? A velocidade é 
  constante ou está variando continuamente?



                                               23
Solução




          24
Exemplo 4-3
• Para o coelho do Exemplo 4-2, encontre a 
  velocidade no tempo t=15 s.




                                              25
Solução




          26
Aceleração
• A aceleração média mede o avanço ou recuo da 
  velocidade em um intervalo de tempo. É dada 
  pela inclinação da secante em um gráfico de 
  velocidade contra tempo. Unidade do S.I.: m/s2

                      ∆v v2 − v1
                 a=     =
                      ∆t t 2 − t1
                  Aceleração média 1-D
                  
             ∆v v2 − v1 ∆v x ˆ ∆v y ˆ
            a=   =         =    i+    j
               ∆t t 2 − t1   ∆t    ∆t
                    Aceleração média 2-D

                                                   27
v1        Tan (α) = amédia



                   α

v2




     t1       t2



                             28
Aceleração Instantânea
• A aceleração instantânea é a medida do 
  avanço ou do recuo da velocidade em certo 
  instante de tempo. Unidade do S.I.: m/s2
                        dv       ∆v
                   a=      = lim
                        dt ∆t →0 ∆t
                Aceleração instantânea 1-D
                           
                dv        ∆v dv x ˆ dv y ˆ
               a=    = lim    =    i+     j
                  dt ∆t →0 ∆t   dt    dt

                   Aceleração instantânea 2-D



                                                29
v


 v2




           α



v1




                    t
      t1       t2

                        30
Exemplo 2-4




              31
Solução




          32
Exemplo 4-4
• Para o coelho do Exemplo 4-2 e 4-3, encontre 
  a aceleração do coelho para t=15s.




                                              33
Solução




          Θ=145o



               34
Aceleração Constante



                                     Velocidade inicial.
Posição inicial.




                   Velocidade inicial.



                                                           35
Equação de Torricelli




  Velocidade inicial
                       Posição inicial



                                         36
Exemplo 2-5
• A cabeça de um pica-pau está se movendo 
  para frente com uma velocidade de 7,49 m/s 
  até o bico encontrar o tronco da árvore. O 
  bico para depois de penetrar o tronco em 1,87 
  mm. Assuma que a aceleração é constante, 
  encontre o módulo da aceleração em 
  unidades de g.


                                              37
Solução




          38
Exemplo 2-6
• A Figura abaixo mostra o gráfico da velocidade 
  v da partícula contra a posição, quando a 
  partícula se move ao longo do eixo x com 
  aceleração constante. Qual é a velocidade da 
  partícula em x=0?
                   v (m/s)

                       20



                             8   70   x(m)

                                               39
Solução




50
               40
41
Exemplo 4-5




              42
Solução




          43
Queda livre
• Queda livre é quando a partícula, que está sendo estudada, se 
  move somente pela influência da gravidade da Terra. 
• Supondo o ar rarefeito, podemos considerar o movimento 
  nas proximidades da superfície da Terra com uma queda livre.
• Próximo ao nível do mar e para regiões planas (planícies e 
  planaltos), podemos dizer que a gravidade da Terra impõe 
  que os objetos se movam com aceleração constante para 
  baixo e de módulo constante igual a g=9,8 m/s2.




                                                              44
45
Exemplo 2-7
•   Em 26 de setembro de 1993, Dave Munday foi para o lado canadense das 
    Cataratas do Niágara equipado com uma bola de aço com um furo de ar 
    para entrada de ar e caiu 48m na direção da água (e das rochas). Assuma 
    que a velocidade inicial foi zero, e despreze a resistência do ar.
•   (a) Quanto durou a queda de Munday até atingir a superfície da água?
•   (b)  Munday conseguia contar três segundos até a queda, mas não podia 
    ver o quanto ele tinha caído a cada segundo. Determine a sua posição no 
    final de cada segundo.
•   (c) Qual era a velocidade de Munday quando ele atingiu a superfície da 
    água?
•   (d) Qual era a velocidade de Munday no final de cada segundo? Ele podia 
    perceber o aumento da velocidade?



                                                                           46
Solução




          47
Tempo(segundo)   Posição(metro)
0s               48m
1s               43,1m
2s               28,4m
3s               3,9m


                                  48
49
Tempo              Velocidade
                                 (segundo)          (m/s)
                                 0                  0
                                 1                  -9,8
                                 2                  -19,6
                                 3                  -29,4




proporcionais e é difícil distinguir um do outro.
                                                                 50
Exemplo 2-8
• Na figura abaixo, um jogador joga uma bola 
  de beisebol para cima com um velocidade de 
  12 m/s ao longo do eixo y.
                            y




• (a) Quanto tempo a bola leva para chegar na 
  sua altura máxima?
                                                 51
(b) Qual é a altura máxima da bola em 
relação ao seu ponto de partida?

(c) Quanto tempo a bola leva para 
atingir a altura de 5m em relação ao 
seu ponto de partida?



                                        52
Solução
• (a) A altura máxima ocorrerá quando a 
  velocidade da bola for nula, pois ela deve 
  parar de subir. Substituindo essa condição na 
  equação para a velocidade em função do 
  tempo:
  v = v0 − gt    0 = 12m / s − 9,8m / s t
                                       2    t=
                                                 12
                                                 9,8
                                                     s = 1,224 s


• (b) Podemos obter a altura máxima usando a 
  equação da posição em função do tempo:

                                                                   53
g 2
 y = y0 + v0t − t
               2

                         9,8m / s 2
y = 0 + 12m / s1,224 s −            (1,224s ) 2 = 7,348m
                            2

(c) A equação da posição em função do tempo 
pode fornecer o tempo necessário para que a bola 
atinja 5m de altura:
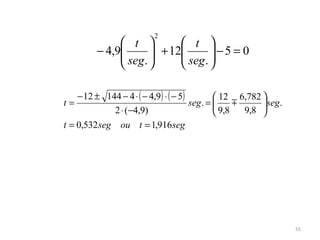
               g 2 5m = 0 + 12m / st − 9,8m / s 2 t 2
 y = y0 + v0t − t                         2
               2

                                                           54
2
               t          t 
         − 4,9
               seg.  + 12 seg .  − 5 = 0
                                 
                                

   − 12 ± 144 − 4 ⋅ ( − 4,9 ) ⋅ ( − 5)         12 6,782 
t=                                     seg. =            seg .
            2 ⋅ (−4,9)                         9,8   9,8 
t = 0,532 seg   ou t = 1,916 seg




                                                                    55
Movimento em Duas e Três 
      Dimensões
        Unidade II




                            56
Movimento de Projéteis
• Quando lançamos objetos e os deixamos somente 
  sobre a influência da gravidade da Terra, temos um 
  movimento balístico. A partícula estudada é tida 
  como um projétil.
• Considere a componente horizontal da posição como 
  x e a componente vertical como y. 
• O ângulo da velocidade inicial com o eixo x é o 
  ângulo de lançamento do projétil.



                                                   57
y


    O movimento horizontal é independente do movimento vertical. 
    O movimento horizontal tem velocidade constante, enquanto o
    Movimento vertical possui aceleração constante.




        θ0




                                                           x
                                                                    58
59
Equação de Torricelli:


                         v y = v0, y − 2 ⋅ g ⋅ ( y − y0 )
                           2    2




Eliminando o tempo através do uso da equação para a componente horizontal da 
posição, podemos obter a equação que determina a forma geométrica da trajetória:

                                                                      2
                                                    g  x − x0 
                     y = y0 + tan (θ 0 )( x − x0 ) −  v cos(θ ) 
                                                                  
                                                                          (*
                                                    2 0       0         )


Percebemos que sem a presença da gravidade da Terra (g=0), o projétil seguiria 
uma linha reta. Entretanto, a trajetória é parabólica. A parábola possui 
concavidade para baixo e cresce sua concavidade com o aumento da velocidade 
inicial e da aceleração da gravidade.



                                                                                   60
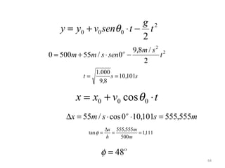
Exemplo 4-6
• Na Figura abaixo, um avião de resgate voa à 
  198 km/h (=55 m/s) e uma altura constante de 
  500 m dirigindo-se a um ponto diretamente 
  sobre a vítima, onde uma balsa deve ser 
  lançada.

        h


                                             61
(a)Qual deve ser o ângulo da linha de 
  visada do piloto até a vítima, onde a 
  balsa deve chegar?

(b)Quando a cápsula atinge a água, 
  qual deve ser sua velocidade em 
  termos de vetores unitários e na 
  notação módulo e ângulo ?

                                           62
Solução
• (a) O ângulo da linha de visada é oposto ao 
  deslocamento horizontal do avião e adjacente 
  à altura do avião, sua tangente é dada pela 
  razão do deslocamento horizontal pela altura 
  do avião. O deslocamento horizontal pode ser 
  calculado através do uso da equação da 
  componente vertical da posição (para 
  encontrar o tempo) e da componente 
  horizontal (para encontrar o deslocamento):
                                              63
g 2
    y = y0 + v0 senθ 0 ⋅ t − t
                            2
                             9,8m / s 2 2
0 = 500m + 55m / s ⋅ sen0o −           t
                                2
                 1.000
            t=         s = 10,101s
                  9,8

         x = x0 + v0 cos θ 0 ⋅ t
      ∆x = 55m / s ⋅ cos 0o ⋅10,101s = 555,555m
                        ∆x 555,555m
              tan φ =     =         = 1,111
                        h    500m


                   φ = 48o
                                                  64
(b) A equação para a velocidade em função do tempo 
possui duas componentes. A componente horizontal é 
constante e a componente vertical varia linearmente 
com o tempo:
             v x = v0 ⋅ cos θ 0 = 55m / s ⋅ cos 0o = 55m / s
                         v y = v0 senθ 0 − g ⋅ t
v y = 55m / s ⋅ sen0o − 9,8m / s 2 ⋅10,101s = −98,990m / s
               
               v = ( 55m / s ) i + ( − 98,990m / s ) ˆ
                               ˆ                     j

       v=113,243m / s e θ =− ,943o
                            60


                                                               65
Exemplo 4-7




              66
(b) Qual é o alcance máximo 
das balas de canhão ?




                           67
Solução
• (a) Podemos obter o alcance das balas de 
  canhão com o uso combinado das equações 
  para a componente horizontal em função do 
  tempo e da componente vertical em função 
  do  tempo. A componente vertical em função 
  do tempo permite obter o tempo de voo da 
  bala de canhão:


                                            68
69
70
Movimento Circular Uniforme
• Quando uma partícula possui um trajetória em forma de 
  círculo dizemos que seu movimento é circular.
• Se o movimento é realizado percorrendo deslocamentos 
  angulares proporcionais aos tempos gastos para realizá-los, 
  temos um movimento circular uniforme.
• O movimento circular é periódico, devido à forma do fechada 
  do círculo.
• O movimento circular sendo não-reto possui aceleração. 
  Apesar disso o M.C.U. (movimento circular uniforme) possui 
  velocidade de módulo constante (e direção, sentido variáveis)


                                                              71
y            
                                   v


                      R            
                                   r
                                    θ



                                                       x




Partícula se movendo em movimento circular uniforme.

                                                           72
Para um observador no centro do círculo, temos para um movimento circular 
uniforme com raio R e período T:

i)Componente x da posição:

                      x = ⋅
                              
                         R cos
                               2 t 
                                   
                                             π
                               T 

ii) Componente y da posição:

 
                                           2πt 
                               y = R ⋅ sen     
                                           T 

    Esse resultado vem da decomposição do vetor posição em coordenadas 
    cartesianas e da proporção existente entre o ângulo percorrido e o tempo
    gasto para atingir esse ângulo.




                                                                               73
Para obter a velocidade, basta efetuar a derivada da posição em relação ao tempo.

Componente x da velocidade:
                                        2πR       2πt 
                               vx = −       ⋅ sen     
                                         T         T 
Componente y da velocidade:

                                  2πR       2πt 
                             vy =     ⋅ cos     
                                   T        T 
Fazendo o produto escalar com o vetor posição, observamos que o mesmo é nulo. 
Portanto, o vetor posição e a velocidade são perpendiculares. Um resultado esperado, 
pois a velocidade faz parte da tangente ao círculo. O módulo da velocidade é dado por:
                                             2πR
                                        v=       ,
                                              T
Comprimento do círculo dividido pelo período.



                                                                                    74
A aceleração pode ser obtida como derivada da velocidade em relação ao tempo:

Componente x da aceleração:

                                    v2     2πt 
                             a x = − ⋅ cos     
                                    R       T 

Componente y da aceleração:
                                      v2     2πt 
                               a y = − ⋅ sen     
                                      R       T 
A aceleração é centrípeta (aponta para o centro do círculo):

                                          2
                                    v r
                                 a=−
                                     R R
O módulo é dado por:

                                         v2
                                      a=
                                         R
                                                                                75
A frequência do movimento circular uniforme é dada por (unidade do S.I. é o 
hertz):
                                 1
                         f       =
                                 T
   A velocidade angular do movimento circular uniforme é dada por (unidade do 
   S.I. é rad/s) :

                                         v
                               ω = 2πf =
                                         R




                                                                                 76
Exemplo 4-10
• Pilotos de caça sempre se preocuparam em 
  fazer uma volta muito fechada. Quando o 
  piloto sofre os efeitos da aceleração 
  centrípeta, com a cabeça ao longo do centro 
  de curvatura, a pressão sanguínea no cérebro 
  decresce, levando à perda das funções 
  cerebrais. Há vários sinais de aviso. Quando a 
  aceleração centrípeta é 2g ou 3g, o piloto se 
  sente pesado.
                                                77
78
Solução
• Como a velocidade muda de sentido durante 
  o loop, temos que o loop corresponde a um 
  semicírculo. Sendo assim, o tempo do loop 
  corresponde a um meio período e o período 
  do M.C.U. é portanto T=48s. Com o período 
  podemos obter o raio da trajetória, mas antes 
  devemos calcular a velocidade escalar:


                                               79
80
Movimento Relativo
• As medidas feitas por um observador são, em 
  princípio, diferentes das realizadas por outro 
  observador.
• Considere a relatividade de Galileu, onde 
  temos observadores que se separam um do 
  outro através de uma velocidade constante.
•   Temos o observador A (Alex) em repouso sobre o solo e o referencial 
    B(Bárbara) em movimento com velocidade constante, em linha reta 
    horizontal, em relação à Alex (ou ao solo).


                                                                           81
Dois Referenciais de Galileu
Alex                                     Bárbara


                                                     Objeto
            xOA                          xOB




                                               VBA




                                                              82
Transformações de Galileu
      xOB = xOA − vBA ⋅ tOA
     
     tOB = tOA
      Dicionário das posições e tempos


         vOB = vOA − vBA
         Dicionário de velocidades




                                         83
Invariantes
•   Tempo (tempo absoluto).
•   Aceleração.
•   Força.
•   Qualquer lei física, e em especial,as fórmulas 
    que representam a lei física.
                Um referencial de Galileu é 
                conhecido como referencial inercial, 
                pois deixa as leis de Newton 
                invariantes.


                                                        84
Exemplo 4-11




               85
86
Solução




          87
88
Relatividade 2-D
                           Objeto


               
rOA             rOB

        
        vBA           Bárbara




         Alex




                                    89
Transformações de Galileu
                        
             rOB = rOA − vBA ⋅ tOA
             
             tOB = tOA
              Dicionário das posições e tempos.
                            
                  vOB = vOA − vBA
                 Dicionário de velocidades.

 Um referencial que não obedece à relatividade de 
 Galileu é conhecido como referencial não-inercial. 
 (Por exemplo, um observador girando em torno de 
 um eixo fixo no espaço).
                                                       90
Exemplo 4-12




               91
N



    20o




          L



              92
Solução




          93
94
Força e Movimento

     Unidade III




                    95
Primeira Lei de Newton




                         96
• A primeira Lei de Newton supõe que o observador é inercial (obedece à 
  relatividade de Galileu), e portanto, admite que um observador que se move 
  com velocidade constante em relação à ele é equivalente a esse observador 
  em questão.
• Um observador inercial sempre garante que na ausência de forças temos que a 
  partícula observada se move em linha reta com velocidade constante (M.R.U.) 
  ou permanece em repouso.
• Dessa forma, na ausência de forças a partícula está em equilíbrio. Este 
  equilíbrio pode ser estático, se tivermos repouso (ausência de movimento); ou 
  dinâmico, se tivermos um movimento retilíneo uniforme.
• Um corpo em M.R.U. ou repouso está inerte do ponto de vista da dinâmica.
• Quanto mais massa (quantidade de matéria) um corpo tiver, maior será a sua 
  inércia (tendência a permanecer em equilíbrio).
• As outras leis de Newton também exigem que o observador seja inercial.
• Força é a causa unidimensional do movimento (puxar, empurrar, etc.)
• Força resultante é a soma vetorial de todas as forças.
• O efeito combinado de um conjunto de forças é dado pela força resultante.



                                                                               97
Segunda Lei de Newton
A força resultante que age sobre um corpo é 
dada pelo produto da massa do corpo por sua 
aceleração.
Unidade de Força no S.I.: Newton (N).
Unidade de massa no S.I.: quilograma (kg)




                                               98
• Devemos fazer um diagrama de corpo livre isolando as forças que atuam sobre o 
  corpo observado.
• Em seguida, devemos somar as forças que atuam sobre o corpo; obtendo a força 
  resultante.
• Resta obter massa ou aceleração do corpo, em questão, dependendo das medidas 
  feitas ou dos dados fornecidos.
• A segunda lei de Newton propõe que o fator entre força (causa do movimento) e 
  aceleração (efeito do movimento) é a massa. Por isso a massa é conhecida como a 
  inércia do corpo (em coordenadas cartesianas).
• Quanto maior a massa, menor será a aceleração adquirida pelo corpo.
• Quanto maior a força, maior será a aceleração adquirida pelo corpo.




                                                                                 99
Exemplo 5-3




              100
(A)   (B)   (C)




                  101
Solução




          102
103
Exemplo 5-2
• Na vista superior da Figura, uma lata de 
  biscoitos de 2kg é acelerada a 3m/s2 na 
                            
  orientação definida por     , em uma superfície 
                            a

  horizontal sem atrito. A aceleração é causada 
  por três forças horizontais, das quais apenas 
                                               
                                               F2
  duas são mostradas;     , de módulo 10N e       , 
                        F1
                                            
  de módulo 20N. Qual é a terceira força,      , 
                                           F3
  em termos dos vetores unitários e na notação 
  módulo-ângulo?
                                                  104
y
      
      F2   
           a
               50o



30o                  x


F1




                         105
Solução
• A segunda lei de Newton para o problema diz 
  que a soma das três forças é igual ao produto 
  da massa pela aceleração. Esta equação 
  vetorial corresponde a duas equações 
  escalares:
     F1, x + F2, x + F3, x = ma x   − F1 cos 300 + 0 + F3, x = ma cos 50o
                                     
                                    
                                     − F1sen30 + F2 + F3, y = masen50
                                                0                         o
     F1, y + F2, y + F3, y = ma y   



                                    m
    − 10 N cos 30o + F3, x = 2kg ⋅ 3 2 ⋅ cos 50 o    F3, x = 12,5 N

                                    s               
                                        m
− 10 Nsen30o + 20 N + F3, y = 2kg ⋅ 3 2 ⋅ sen50o    F3, y = −10,4 N
                                       s
                                                                              106
Em coordenadas cartesianas, a terceira 
força vale:
                    
                    F3 = (12,5 N ) i + ( − 10,4 N ) ˆ
                                   ˆ                j

Para obter a força em coordenadas polares, 
devemos calcular o módulo da força e  o ângulo 
que ela faz com o eixo x:

  F3 = F32x + F32y
         ,      ,                F3 = 16 N
            F3, y
  tan θ =                      θ = −40     o
            F3, x

                                                        107
Força Gravitacional




                Terra




                        108
Força Normal
•   Esta é a força que aparece devido 
    ao contanto entre duas 
    superfícies.
•   É perpendicular a superfície onde 
    o corpo observado foi posto.
•   Surge para impedir que o corpo, 
    ao permanecer sobre a 
    superfície, acabe deformando a 
    superfície em questão.
•   Sua ausência indica que o corpo 
    não está mais sobre a superfície.




                                         109
Força Elástica




         A força elástica é sempre 
         oposta ao deslocamento, de 
         maneira a garantir o retorno 
         da mola à sua posição de 
         equilíbrio.




                                         110
Tensão (Tração)
• Quando prendemos 
  uma corda a um objeto, 
  a corda realiza uma 
  força conhecida como 
  tensão da corda; 
  fazendo o objeto se 
  mover.
• Essa força aponta do 
  objeto para a corda.


                                111
Resistência do Ar




                    112
113
Terceira Lei de Newton

Quando dois corpos interagem, as forças que 
um corpo realiza sobre outro são iguais em 
módulo e têm sentidos opostos.




          A               B



                                               114
A terceira lei de Newton nos diz como um sistema mecânico se forma. 
O sistema se forma aos  pares como um corpo agindo (ação) e outro 
reagindo (reação), com forças opostas.
Existem duas versões da terceira lei:

Fraca: o par de forças (ação e reação) são opostos, mas não estão na
linha que une os corpos.
Forte: o par de força (ação e reação) são opostos e estão na linha que 
une os corpos.

A terceira lei de Newton é uma expressão da conservação do momento. 
Um dos princípios mais queridos da Física.




                                                                          115
Exemplo 5-4
• A Figura mostra um bloco D (o bloco 
  deslizante) de massa M=3,3 kg. O bloco está 
  livre para se mover ao longo de uma 
  superfície horizontal sem atrito e está ligado, 
  por uma corda que passa por uma polia sem 
  atrito, a um segundo bloco P (o bloco 
  pendente), de massa m=2,1 kg. As massas da 
  corda e da polia podem ser desprezadas em 
  comparação com a massa dos blocos. 
                                                 116
Enquanto o bloco pendente P desce, o bloco 
deslizante D acelera para a direita. 
Determine (a) a aceleração do bloco D, (b) a 
aceleração do bloco P e (c) a tensão na 
corda.
             Bloco deslizante D


                M



     Superfície sem atrito

                                  m
                                      Bloco pendente P

                                                         117
Solução
• Diagrama de corpo livre para o bloco D:
                      
                     FN              
                                     T
                      
                      Fg

• Diagrama de corpo livre para o bloco P:
                         
                           FN

                                
                                Fg          118
A segunda lei de Newton para o bloco D é dada por (esquecendo o movimento na 
direção vertical):

                             T = Ma (I )
A segunda lei de Newton para o bloco P é dada por:


                                T − mg = m( − a ) (II )
Subtraindo a equação (II) da equação (I), podemos obter o módulo da aceleração dos 
dois blocos (eles têm o mesmo módulo de aceleração, pois estão unidos por uma corda 
e perfazem o mesmo deslocamento em um dado intervalo de tempo):
                                      m          m
                                  a=      g = 3,8 2
                                     M +m        s
Substituindo na equação (I) obtemos a tensão na corda:

                                          Mm
                                      T=      g
                                         M +m                                    119
Exemplo 5-5
• Na Figura, uma corda puxa para cima uma 
  caixa de biscoitos ao longo de um plano 
  inclinado sem atrito cujo ângulo é  θ = 30o
A massa da caixa é m=5kg, e o módulo da força 
  exercida pela corda é T=25N. Qual é a 
  componente a da aceleração da caixa ao 
  longo do plano inclinado?


                                             120
Corda




θ




            121
Solução
• Diagrama de corpo livre para o bloco:
                         
                         FN
                                     
                                     T
         y
                                
                    x   90º-θ   Fg




                                          122
O movimento se dá ao longo do eixo x (paralelo ao plano inclinado) a componente da 
força gravitacional é negativa e tem módulo dado pelo produto do peso pelo seno da 
inclinação do plano inclinado. Portanto a segunda lei de Newton para este caso é:


   T − mgsenθ = ma                      T
                                   a=     − gsenθ
                                        m

  Se a tensão da corda estivesse ausente, a inclinação do plano iria reduzir a 
  aceleração do bloco (comparando com uma queda livre) com um fator dado pelo 
  seno da inclinação do plano inclinado. O valor da aceleração é dado por:

                                              m
                                       a = 0,1 2
                                              s
  Portanto o bloco acelera para cima com uma aceleração de módulo baixo. Na 
  ausência da corda cairia com uma aceleração menor em módulo que a aceleração 
  da gravidade.


                                                                                      123
Exemplo 5-7
• A Figura mostra um arranjo no qual duas forças são 
                               
   aplicadas a um bloco de 4kg em um piso sem atrito, 
                              F1
   mas apenas a força      está indicada. Essa força tem 
   módulo fixo, mas o ângulo θ entre ela e o semi-eixo x 
                                         
   positivo pode variar. A força        é horizontal e seu 
                                         F2
   módulo é constante. A Figura mostra a aceleração 
   horizontal ax do bloco em função de θ no intervalo      
          .         Qual é o valor de ax para θ=180º ?
 0 ≤ θ ≤ 90
       o




                                                        124
        ax (m/s2)
F1          3
     θ
            2


           1




                0o       90o

                     θ




                               125
Solução
• A segunda lei de Newton para o bloco pode ser aplicada 
  apenas para a direção onde ocorre o movimento (eixo x):
                       F1 cos θ + F2 = ma
• Podemos usar o primeiro ponto do gráfico para obter:
                     F1 + F2 = 12 N     (I )
• O segundo ponto do gráfico fornece uma segunda equação:

                   F2 = 2 N         ( II )
• Substituindo a segunda equação na primeira equação, 
  obtemos:
                        F1 = 10 N
                                                            126
Portanto a aceleração para um ângulo de 180º será:

                               F1        F2
                          a x = cos180 +
                                      0

                               m         m
A aceleração para esse ângulo vale:

                                         m
                                 a x = −2 2
                                         s




                                                     127
Exemplo 5-9




              128
A
    B




        129
Solução
• Diagrama de corpo livre para o bloco A:




                                            130
• Diagrama de corpo livre para o bloco B:




                                            131
132
133
Exemplo 6-5




              134
Solução




          135
136
Atrito
• Atrito é a resistência que uma superfície impõe a um corpo se movendo sobre 
    ela.
•   O atrito é tangencial à superfície envolvida.
•   O atrito é uma força oposta a força (resultante) que atua sobre um corpo, fazendo 
    com que ele se mova (ou tenha tendência a se mover) sobre uma superfície.
•   O atrito passa por três etapas. Primeiro, o atrito equilibra a força resultante que 
    age sobre corpo sobre a superfície. Segundo, o atrito atinge um valor máximo, na 
    iminência do movimento, de módulo proporcional à força normal que age sobre o 
    corpo. Terceiro, quando o corpo se move o atrito reduz seu valor, mas ainda é 
    proporcional à força normal que a superfície impõe sobre o corpo.
•   Juntos, atrito e força normal, representam as forças que uma superfície realiza 
    sobre um corpo em contato com ela. A força normal empurra o corpo para fora da 
    superfície e o atrito impede o movimento do corpo sobre a superfície.



                                                                                     137
Propriedades do Atrito




                         138
Exemplo 6-1
Se a roda de um carro estiver travada (impedida de 
girar) durante uma frenagem de emergência, o carro 
desliza pela pista. Pedaços queimados de pneus e 
pequenos trechos derretidos da pista formam as 
marcas de derrapagem. O recorde de marcas de 
derrapagem que ocorreu em uma via pública 
aconteceu em 1960 em um Jaguar na rodovia M1 na 
Inglaterra – as marcas tinha 290m de comprimento!



                                                      139
v=0




290m




             140
Solução
• Diagrama de corpo livre para o carro:




                                          141
142
Exemplo 6-3




              143
O bloco desliza sobre uma rampa e está preso por várias cordas 
(apenas uma é mostrada). A rampa é lubrificada com água para 
diminuir o coeficiente de atrito estático para 0,4. Assuma atrito 
desprezível no ponto (lubrificado) onde as cordas passam pelo 
canto superior da rampa. Se cada homem homem no topo da 
pirâmide puxa com uma força (razoável) de 686 N , quantos 
homens são necessários para colocar o bloco na iminência do 
movimento?




                  x
            y            θ



                                                                 144
Solução
• Diagrama de corpo livre para o bloco:




                        θ




                                          145
146
Força Centrípeta




                   147
Exemplo 6-7
• Em um apresentação circense de 1901, Allo 
  “Dare Devil” Diavolo apresentou o desafio de 
  fazer uma bicicleta atravessar um loop 
  (Figura). Assumindo que o loop é um círculo 
  de raio R=2,7m, qual é a menor velocidade 
  que Diavolo deve ter no topo do loop para 
  permanecer em contato com a pista?


                                              148
R




    149
Solução
• Diagrama de corpo livre no topo do loop:




                       Direção centrípeta




                                             150
151
Exemplo 6-8
• Até mesmo os aficionados por montanha-
  russa se amedrontam quando pensam no 
  Rotor, que é essencialmente um grande 
  cilindro oco que está rodando em torno do 
  seu eixo central. Antes de uma volta começar, 
  o participante entra por uma porta lateral e se 
  apoia em uma parede coberta com uma lona. 
  A porta é fechada e quando o cilindro começa 
  a girar, o participante e a parede giram juntos.
                                                152
153
Solução
• Diagrama de corpo livre para o participante
                                y   
                                   fs
                FN

           Direção centrípeta       
                                    Fg




                                                154
(a) A segunda lei de Newton possui duas componentes: a centrípeta e a vertical

                                    f s − Fg = 0
                                   
                                             v2
                                    FN = m R
                                   

A força de atrito estática é sempre menor que o produto do coeficiente de atrito 
    estático pelo módulo da força normal:

                       R     R f s Rg                          Rg
                    v = FN ≥
                      2
                                  =   , v≥
                       m     m µs µs                           µs
Portanto a velocidade mínima será dada por:

                                   Rg   2,1m9,8m / s 2
                          vmin =      =                = 7,17m / s
                                   µs       0,4


                                                                                    155
(b) O módulo da força centrípeta é dado pela componente centrípeta da segunda lei de 
Newton:

                       v2
                 FN = m = 49kg
                               ( 7,17m / s ) = 1.200 N2


                       R            2,1m




                                                                                   156
Energia Cinética e Trabalho

         Unidade IV




                              157
6.4 Energia Cinética




                       158
Exemplo 7-1
• Em 1896 em Waco, Texas, William Crush estacionou 
  duas locomotivas em lados opostos de um ferrovia 
  de 6,4km de comprimento, e as permitiu colidir na 
  velocidade máxima na frente de 30.000 
  espectadores. Assumindo que cada locomotiva 
  pesava 1,2x106N e que a aceleração foi constante e 
  igual à 0,26 m/s2, qual era a energia cinética total das 
  duas locomotivas imediatamente antes da colisão?



                                                         159
Solução
• Podemos usar a Equação de Toriccelli para 
  obter a velocidade das duas locomotivas no 
  instante da colisão:
          v 2 = v0 + 2a∆x = 0 2 + 2 ⋅ 0,26m / s 2 ⋅ 3,2 ×103 m, v = 40,8m / s
                 2



• A massa de cada locomotiva é dada por:
                            P 1,2 ⋅106 N
                          m= =           = 1,22 × 105 kg
                            g 9,8m / s 2

• A energia cinética total das duas locomotivas 
  é dada por:  = 2 1 mv  = 1,22 ×10 kg ( 40,8m / s ) = 2 ×10 J
             K    
                    2
                         
                                 2             5              2         8

                                    

                                                                                160
Trabalho de uma força constante e de 
         uma força variável



     W = Fd cos θ    W = Fx ⋅ ∆x + Fy ⋅ ∆y




                                             161
Trabalho (conceito)
• O trabalho é a quantidade de energia 
  necessária para fazer a partícula romper com 
  seu estado de equilíbrio.
• Somente as componentes da força paralelas 
  ao deslocamento contribuem para o trabalho.
• Energia é a capacidade de um sistema físico 
  de mudar ao longo do tempo.


                                              162
163
Exemplo 7-2
•   Dois espiões industriais estão deslizando um cofre de massa 225kg, 
    inicialmente estacionário, de um deslocamento de módulo 8,5m ao longo 
    da horizontal, indo na direção do caminhão deles. O empurrão do espião 
    001 faz um ângulo de 30o com a horizontal e aponta para baixo e tem 
    módulo 12N; o empurrão do espião 002 tem módulo 10N e faz um ângulo 
    de 40o com a horizontal e aponta para cima. O módulo e a direção das 
    forças não mudam quando o cofre é deslocado horizontalmente, e o 
    atrito entre o cofre e o piso é desprezível.
•   (a) Qual o trabalho total feito pelos dois espiões durante o deslocamento 
    do cofre?
•   (b) Durante o deslocamento, qual é o trabalho da força gravitacional 
    sobre o cofre e qual o trabalho da força normal do piso sobre o cofre?
•   (c) O cofre está inicialmente em repouso, qual é a velocidade final do 
    cofre após do deslocamento?

                                                                           164
Solução
• (a) O trabalho realizado pelo espião 001 é 
  dado por:
               
         W1 = F1 • d = F1d cos θ = 12 N 8,5m cos 300 = 88,33 J

• O trabalho realizado pelo espião 002 é dado 
                
  por:     W = F • d = 10 N 8,5m cos 40 = 65,11J
              2    2
                                            o



• O trabalho total é a soma do trabalho dos dois 
  espiões:
                    W = W1 + W2 = 153,4 J


                                                                 165
(b) O trabalho da força gravitacional é dado por:


                                  Wg = Fg d cos 900 = 0

O trabalho da força normal é dado por:

                                                (
                             W = FN d cos − 90 0 = 0     )
Ambos trabalhos são nulos, pois as forças gravitacional e normal são perpendiculares 
ao deslocamento!

(c) O trabalho total é portanto dado pela soma do trabalho dos dois espiões e é igual a 
variação da energia cinética (teorema do trabalho e energia cinética):
                                      1 2 1 2             2W
                           W = ∆K =     mv f − m0 , v 2 =
                                                      f
                                      2       2            m

A velocidade final é dada por:           2W   2(153,4 J )
                                  vf =      =             = 1,17m / s
                                          m     225kg
                                                                                      166
Trabalho realizado pela força 
             gravitacional
• Como a força gravitacional aponta na direção 
  vertical e é constante, temos:
                  W = m⋅ g ⋅( y
                  g      inicial−y )
                                   final


• A massa da partícula é m, o módulo da 
  aceleração da gravidade é g e y é a altura do 
  objeto.



                                               167
Exemplo 7-6
• Um elevador de massa m=500kg está descendo com 
              vi = 4m / s
  velocidade                  ,quando o cabo de sustentação começa a 
                                                                   
                                                                 g
  deslizar fazendo com que o elevador caia com aceleração         
                                                                a=
                                                                   5

• (a) Durante a queda de 12m, qual é o trabalho da força 
  gravitacional sobre o elevador?
• (b) Durante a queda de 12m, qual é o trabalho sobre o 
  elevador realizado pela tensão no cabo de sustentação?
• (c) Qual é o trabalho resultante sobre o elevador durante a 
  queda?
• (d)Qual é a energia cinética do elevador no fim da queda de 
  12m?
                                                                  168
Solução
• (a) O trabalho da força gravitacional é dado 
  por:W = − m ⋅ g ⋅ ∆ y = − 500kg ⋅ 9,8m / s ⋅ ( − 12m) = 5,88 × 10 J
          g
                                        2                      4



• (b) Para obter o trabalho da tensão no cabo, 
  considere a segunda lei de Newton:
                                             g      4
                  T − Fg = m ⋅ a, T − mg = m − , T = m ⋅ g
                                             5      5

• O trabalho da tensão na corda será dado por:
                       4       4
  WT = Td cos 180 0 = − mgd = − 500kg ⋅ 9,8m / s 2 ⋅12m = −4,7 × 10 4 J
                       5       5



                                                                          169
(c) O trabalho total é a soma dos trabalhos da força gravitacional e da tensão no cabo:


                      W = WT + Wg = 1,18 ×10 4 J

(d) A energia cinética final pode ser obtida através do teorema do  trabalho e energia 
cinética, utilizando o trabalho total e a velocidade inicial:
 

                          W = ∆K = K f − K i
                    1 2        1
                      mvi + W = 500kg ( 4m / s ) + 1,18 ×10 4 J = 1,58 × 10 4 J
                                                2
             Kf =
                    2          2




                                                                                     170
Trabalho da força elástica
• A força elástica é diretamente oposta ao 
  sentido do deslocamento da mola, portanto é 
  uma força variável. Seu trabalho é dado por:
                    1              2 1              2
                We = ⋅ k ⋅ xinicial − ⋅ k ⋅ x final
                    2                2
• A constante de mola é k e x é o deslocamento 
  da mola.


                                                        171
Exemplo 7-8
• Na Figura, um pote de cominho de massa 
  m=0,4kg desliza sobre uma superfície 
  horizontal sem atrito com uma velocidade 
  v=0,5m/s. Então atinge uma mola de 
  constante elástica k=750N/m e a comprime. 
  Quando o pote é parado momentaneamente 
  pela mola, de que distância d a mola é 
  comprimida?

                                           172
k                
                 v
                     m

    Sem atrito




                         173
Solução
• O trabalho da força elástica é dado por:
                       1 2 1 2 1 2 1                     1
                         kxi − kx f = k 0 − k ( − d ) = − kd 2
                                                     2
              W=
                       2      2      2     2             2


• A variação da energia cinética é dada por:
                                  1 2 1 2 1 2 1 2           1
                           ∆K =     mv f − mvi = m0 − mv = − mv 2
                                  2       2     2    2      2
• O teorema do trabalho e energia cinética diz 
  que: 1     1       m    0,4kg
              kd 2 =       mv 2 , d =       v=               0,5m / s = 1,2 ×10 − 2 m = 1,2cm
          2            2                k        750 N / m


                                                                                                174
Potência
• A potência média de uma força, atuando durante um 
  intervalo de tempo Δt, é dada pelo razão do trabalho 
  realizado pela força pelo intervalo de tempo:
                                      W
                           Pmédia   =
                                      ∆t
• A potência instantânea é dada pela derivada do trabalho 
  realizado pela força em relação ao tempo:
                             dW
                          P =
                              dt
• A unidade de potência no S.I. é o Watt (W).


                                                             175
Podemos relacionar a potência média com a força média atuando sobre a partícula e a 
velocidade média:
                                       
                    Pmédia   = Fmédia • vmédia = Fmédia vmédia
Também podemos relacionar a potência instantânea diretamente com a força aplicada 
sobre a partícula, e a sua velocidade instantânea:
                                
                           P = F • v = Fv cos θ
Durante o movimento de uma máquina mecânica (por exemplo, um carro), somente a 
energia dissipada para o ambiente não é utilizada pela máquina. Podemos definir o 
rendimento da máquina, η,  como a razão entre a potência utilizada, Pu , e a potência 
total fornecida à máquina, que é soma da potência utilizada com a potência dissipada, 
Pt = Pu + Pd . Sendo assim, 

                                       Pu
                                    η=
                                       Pt
                                                                                    176
Exemplo 7-11
• Duas forças constantes agindo sobre uma caixa 
  quando a caixa se desloca para a direita sobre um 
  piso sem atrito. A primeira força é horizontal e 
  aponta no sentido oposto ao da velocidade, com 
  módulo 12N; a segunda força faz um ângulo de 60o 
  com o piso e tem módulo 4N. A velocidade da caixa 
  em certo instante é 3 m/s. Qual é a potência devida à 
  cada força naquele instante e qual a potência 
  resultante? O trabalho total está variando naquele 
  instante?

                                                     177
Solução
• A potência da primeira força é dada por:
                
           P = F1 • v = F1v cos 180 o = 2 N ⋅ 3m / s ⋅ −1 = −6W
            1


• A potência da segunda força é dada por:
                    
           P2 = F2 • v = F2 v cos 600 = 4 N ⋅ 3m / s ⋅ 0,5 = 6W

• A potência resultante é dada pela soma das duas 
  potências:             P=0
• Como a potência é a derivada do trabalho em 
  relação ao tempo, temos que o trabalho não está 
  variando naquele instante.
                                                                  178
Energia Potencial e Conservação 
          de Energia
           Unidade IV




                               179
Energia Potencial




                    180
•O valor numérico da energia potencial depende de um 
valor de referência escolhido pelo observador. Geralmente 
o valor da energia potencial na origem (onde está o 
observador), ou no infinito (muito distante do observador).
•Este valor de referência é, geralmente, o número zero.
•A energia potencial, assim, se torna uma função da posição 
atribuindo valores em energia para a possibilidade da 
partícula passar por a posição observada.
•O trabalho é realizado através da extração da energia 
potencial do sistema; transformando potencial em energia 
cinética, fazendo a partícula sair de uma posição para outra.




                                                            181
A força aplicada sobre a partícula pode ser obtida a partir da energia potencial:

                                             dU
                                     F =−
                                             dx
Um mínimo na energia potencial corresponde a um ponto de equilíbrio estável  
(onde a força sobre a partícula é nula, sem causas para se mover naquele ponto).




                                 U


Um máximo na energia potencial corresponde a um ponto de equilíbrio instável 
                                                           x
(onde a força sobre a partícula é nula, sem causas para se mover naquele ponto).



                               U


                                                        x
                                                                                    182
Exemplo 8-2
• Uma preguiça repousa sobre um galho colocado a 5m acima 
  do solo.
• (a) Qual é a energia potencial gravitacional U do sistema 
  Terra-preguiça se o ponto de referência y=0 é escolhido como 
  sendo (1) o solo, (2) um balcão três metros acima do solo, (3) 
  no galho, (4) 1 m acima do galho? Considere a energia 
  potencial gravitacional como sendo nula em y=0. 
• (b) A preguiça desce até o chão. Em cada situação qual á a 
  variação da energia potencial gravitacional do sistema Terra-
  preguiça durante a descida?


                                                              183
Solução
• (a) (1) Tomando o solo como ponto de 
  referência, temos para a energia potencial 
  gravitacional: U = mgy = 2kg ⋅ 9,8m / s 2 ⋅ 5m = 98 J
• (2) Considerando o balcão como ponto de 
  referência, a altura da preguiça vale 2m, 
  portanto: U = mgy = 2kg ⋅ 9,8m / s 2 ⋅ 2m = 39,2 J
• (3) Tomando o galho como ponto de 
  referência, a altura da preguiça vale 0, 
  portanto:  U = mgy = 2kg ⋅ 9,8m / s ⋅ 0 = 0 J
                                   2



                                                          184
(4) Escolhendo o ponto de referência como estando a um 1m acima do galho, a altura da 
preguiça vale -1m, portanto:
                           U = mgy = 2kg ⋅ 9,8m / s 2 ⋅ ( − 1m ) = −19,6 J

(b) Para todos os pontos de referência observa-se que a variação na altura da preguiça foi 
-5m, portanto a variação na energia potencial será a mesma nas quatro situações:


                ∆U = mg∆y = 2kg ⋅ 9,8m / s 2 ⋅ ( − 5m ) = −98 J




                                                                                       185
Força conservativa e força dissipativa
• Força conservativa é aquela em que o 
  trabalho em uma trajetória fechada é nulo. 
  Com isso o trabalho da força conservativa 
  independe do caminho. Exemplo: força 
  gravitacional e força elástica.
• Força dissipativa é aquela em que o trabalho 
  em uma trajetória fechada é diferente de 
  zero. Exemplo: força de atrito. 

                                                  186
Energia Mecânica
• A energia mecânica é a soma da energia cinética com 
  a energia potencial:

                     Emecânica = K + U
• Para partículas submetidas à uma força conservativa, 
  temos um dos princípios mais queridos da Física: a 
  conservação da energia (mecânica)! A energia 
  mecânica não muda com o passar do tempo.
                       Einicial = E final


                                                     187
•No caso de forças dissipativas, a energia mecânica não é 
conservada. Neste caso, ela se transforma em outras formas de 
energia: calor, som, etc. Sendo assim, a energia mecânica 
acaba diminuindo, enquanto a energia do ambiente (onde a 
partícula se encontra) acaba aumentando; através da injeção 
de energia devida ao trabalho das forças dissipativas.
• O trabalho das forças dissipativas é igual a variação da energia 
mecânica do sistema:


                      Wdissipativas = ∆Emecânica
•Apesar da energia mecânica não ser conservada, a energia do 
sistema : ambiente mais partícula é conservada. Sendo assim, 
podemos garantir que a energia (total) ainda é conservada.


                                                               188
Exemplo 8-3
• Uma criança de massa m desce até o solo 
  através de um toboágua à uma altura de 8,5m 
  acima do solo. Assumindo que o toboágua é 
  uma superfície sem atrito devido à água 
  contida nele, obtenha a velocidade da criança 
  quando ela chega ao solo.




                                              189
Solução
• Como não existe atrito no toboágua, a energia 
  mecânica é conservada durante o 
  deslocamento da criança. No alto do toboágua 
  a sua energia mecânica é devida à energia 
  potencial:
                    Etopo = mgh

• Quando chega no solo, a energia mecânica da 
  criança é devida somente a energia cinética:
                             1 2
                   Esolo =     mv
                             2
                                              190
Como a energia mecânica se conserva, temos a seguinte equação:


                                Etopo = Esolo
                                        1 2
                                mgh =     mv
                                        2

                       v = 2 gh = 2 ⋅ 9,8m / s 2 ⋅ 8,5m = 13m / s




                                                                    191
Exemplo 8-7
• Na Figura, um pacote de pamonha desliza sobre um 
  piso com velocidade            . Ele atinge, então, uma 
                                         i  v = 4m / s
  mola; comprimindo-a até parar momentaneamente. 
  O caminho até a mola, inicialmente relaxada, é sem 
  atrito, mas a partir do instante em que o pacote 
  começa a comprimir a mola, uma força de atrito de 
  módulo 15N atua sobre o pacote. Se k=10.000 N/m, 
  de que distância d a mola é comprimida pelo pacote?



                                                        192

    vi
k

         Pacote de Pamonha




                             193
Solução
• Como existe atrito durante a compressão da mola, 
  não podemos assumir que a energia mecânica se 
  conserva. Neste caso o trabalho da força de atrito 
  será igual a variação na energia mecânica. A energia 
  mecânica inicial era devida à energia cinética do 
  pacote:                   1 2
                      Ei =        mvi
                             2
• A energia mecânica final é devida à energia potencial 
  elástica da mola:        1
                                  k(− d )
                                            2
                       Ef =
                              2

                                                      194
O trabalho da força de atrito será dado por:

                                    W = fk ⋅ ( − d ) = − fk ⋅ d
Este trabalho será igual a variação na energia mecânica:

                                       W = ∆E = E f − Ei
A equação anterior pode ser escrita na seguinte forma:
                                         1 2           1
                                           kd + f k d − mvi2 = 0
                                         2             2
Cuja solução será:

                                         − fk +      f k2 + kmvi2
                                   d=
                                                     k
A solução negativa foi esquecida pois seria uma solução inválida, pois apontaria uma 
distensão da mola e não uma compressão. Substituindo os valores:

                     − 15 N + (15 N ) 2 + (10.000 N / m) ⋅ 2kg ⋅ ( 4m / s )
                                                                       2

                  d=                                                        = 0,055m = 5,5cm
                                        10.000 N / m

                                                                                               195
Exemplo 8-8
• A figura mostra uma encosta montanhosa e 
  um vale aonde um deslizamento acontece. As 
  rochas tem uma massa total m, caem de uma 
  altura y=H, movem-se de uma distância d1 ao 
  longo de uma encosta de inclinação θ=450 , e 
  depois movem de uma distância d2 ao longo 
                                     d
  de um vale plano. Qual é a razão     , se o 
                                   2
                                     H
  coeficiente de atrito cinético tem um valor 
  razoável de 0,6?
                                              196
Rochas
y=H

                d1
       θ             d2

 y=0
                     Vale




                            197
Solução
• A energia mecânica no início deslizamento é 
  devida apenas a energia potencial 
  gravitacional das rochas:
                      Ei = mgH

• A energia mecânica final é nula:
                       Ef = 0
• Para obter a força de atrito na encosta 
  considere o diagrama de corpo livre:
                                                 198
y

                                                     
                                                     FN
                                
                        x       fk
                                               
                                               Fg      θ
                                        θ



A segunda Lei de Newton para a componente y é dada por:

                            FN − mg cos θ = 0
De maneira que a força de atrito cinética será dada por:
                                     f k ,1 = µ k mg cos θ


                                                             199
Para obter a força de atrito cinético no vale, vamos utilizar o seguinte diagrama de corpo 
livre:
                                                      
                                                      FN
                y
                        x       
                                fk

                                                        
                                                        Fg
A segunda Lei de Newton para a componente y é dada por:

                                            FN − mg = 0

Portanto a força de atrito cinético no vale será:

                                               f k , 2 = µ k mg
O trabalho da força de atrito será dado por:

                            W = ( − f k ,1 ) d1 + ( − f k , 2 ) d 2 = − µ k mgd1 cos θ − µ k mgd 2

                                                                                                     200
A distância d1 pode ser obtida em termos da altura da encosta, H, através do uso da 
trigonometria:
                                               H          H
                                      senθ =      , d1 =
                                               d1        senθ
De maneira que o trabalho da força de atrito é dado por:

                                                     H          
                                       W = − µ k mg        + d2 
                                                     tan θ      
O trabalho da força de atrito é igual a variação na energia mecânica:

                                           H           
                        W = ∆E , − µ k mg        + d 2  = −mgH
                                           tan θ       
Resolvendo a equação anterior para d2/H, nós obtemos:

                              d2   1   1   1     1
                                 =   −   =   −         = 0,67
                              H µ k tan θ 0,6 tan 45 0




                                                                                       201
Centro de Massa e Momento 
           Linear
         Unidade V




                             202
Centro de Massa
• O centro de massa é a partícula equivalente que 
  substitui todas as partículas de um sistema, 
  possuindo a massa total do sistema de partículas.
• O centro de massa é a média ponderada das 
  posições das partículas, com a massa de cada 
  partícula sendo o peso associado à cada posição da 
  partícula:
                      n                               n                               n

                     ∑m x    i       i               ∑m y    i       i               ∑m z    i i
             xCM =   i =1
                        n
                                         ,   yCM =   i =1
                                                        n
                                                                         ,   zCM =   i =1
                                                                                        n

                     ∑m
                      i =1
                                 i                    ∑m
                                                      i =1
                                                                 i                   ∑m
                                                                                      i =1
                                                                                              i




                                                                                                   203
Exemplo 9-1
• Três partículas de massa m1=1,2kg, m2=2,5kg e 
  m3=3,4kg formam um triângulo equilátero de 
  lado a=140 cm. Qual é o centro de massa do 
  sistema?                 m
                           3

            y
                a
                               a

       m1
                                     m2

                       a
                                          x

                                              204
Solução
• As posições das partículas são dadas por:
      Partícula               Componente x da        Componente y da
                              posição                posição
      1                       0                      0
      2                       a=140cm                0
      3                       a/2=70cm                 3
                                                         a = 120cm
                                                      2


• Componente x do centro de massa:
              m1 x1 + m2 x2 + m3 x3 1,2kg ⋅ 0 + 2,5kg ⋅140cm + 3,4kg ⋅ 70cm
      xCM =                        =                                        = 83cm
                 m1 + m2 + m3                 1,2kg + 2,5kg + 3,4kg


                                                                                     205
Componente y do centro de massa:


                m1 y1 + m2 y2 + m3 y 3 1,2kg ⋅ 0 + 2,5kg ⋅ 0 + 3,4kg ⋅120cm
        yCM =                         =                                     = 58cm
                    m1 + m2 + m3              1,2kg + 2,5kg + 3,4kg




                                                                                     206
Para o caso de um corpo contínuo, devemos trocar a soma por um integral e as 
massas pela densidade (“derivada” da massa em relação ao comprimento, área e 
volume do corpo).

Unidimensional:


 xCM     =
           ∫ xλdl ,    yCM   =
                               ∫ yλdl ,    zCM   =
                                                   ∫ zλdl
             M                   M                   M
Bidimensional:

   xCM   =
           ∫ xσdA ,    yCM   =
                               ∫ yσdA ,   zCM    =
                                                   ∫ zσdA
              M                  M                   M
Tridimensional:

    xCM   =
            ∫ xρdV ,   yCM   =
                               ∫ yρdV ,   zCM    =
                                                   ∫ zρdV
                 M               M                   M



                                                                                207
Exemplo 9-2
• A Figura mostra um disco de densidade 
  superficial de massa uniforme de raio 2R em 
  que um buraco de raio R foi feito em uma 
  linha de montagem. Utilizando o sistema de 
  coordenadas xy mostrado, encontre a posição 
  do centro de massa do disco.




                                            208
y




    x




        209
Solução
• Primeiro devemos encontrar o centro de 
  massa de um disco homogêneo. Como a 
  densidade superficial de massa é constante, 
  apenas devemos buscar o centróide (centro 
  geométrico) do disco:
                     R 2π                             R 2π

                     ∫ ∫ r cosθrdθdr                  ∫ ∫ rsenθrdθdr
             xCM =   0 0
                                       = 0,   yCM =   0 0
                                                                       =0
                            πR   2
                                                             πR   2




• Portanto o centróide se localiza no centro do 
  disco!
                                                                            210
O centro de massa da placa poderá ser obtido através do centro de massa do disco 
completo, para isso considere o disco sendo composta pelo disco com o buraco, S, e o 
buraco, B, D=S+B. Sendo o disco composto por essas duas partículas, nós obtemos a 
seguinte equação:


                           xD =
                                  (     2
                                                )
                                π ( 2 R ) − R 2 xS + πR 2 ⋅ (− R)
                                                                  =0
                                            π ( 2R)
                                                    2



                         yD =
                                  (     2
                                                )
                               π ( 2 R ) − R 2 y S + πR 2 ⋅ (0)
                                                                =0
                                          π ( 2R )
                                                   2

Resolvendo as duas equações, nós encontramos a posição do disco com o buraco:


                                                  R
                                             xs =
                                                  3
                                             ys = 0
                                            




                                                                                   211
A força que atua sobre a partícula equivalente, o centro de massa é a força 
resultante que atua no sistema de partículas (ou corpo contínuo). A massa do centro 
de massa é a massa total do sistema de partículas, M; sua aceleração é a derivada 
segunda da posição do centro de massa em relação ao tempo.

A segunda lei de Newton para o centro de massa é dada por:
               Fres , x = M ⋅ aCM , x , Fres , y = M ⋅ aCM , y , Fres , z = M ⋅ aCM , z ,
onde
                             n
                  M = ∑ mi ,
                            i =1

                              d 2 xCM             d 2 yCM             d 2 zCM
                  aCM , x   =         , aCM , y =         , aCM , z =
                                dt 2                dt 2                dt 2




                                                                                            212
Exemplo 9-3
• As três partículas na Figura estão inicialmente 
  em repouso. Cada uma experimenta forças 
  devidas às partículas fora do sistema. As 
  direções estão indicadas, e os módulos são F1 
  = 6N, F2=12N e F3=14N. Qual a aceleração do 
  centro de massa do sistema, e em que direção 
  ele se move?


                                                213
y
                  θ=45o


4kg         8kg



                      x




          4kg




                          214
Solução




          215
216
Momento linear
• O momento é relacionado com a capacidade 
  de um ente físico mudar de um lugar para 
  outro (no espaço).
• Para uma partícula pontual (ponto dotado de 
  massa), o momento linear (em um sistema 
  coordenadas cartesiano, referencial de 
  Galileu) é dado por:
                        
                   p = m⋅v

                                             217
Momento linear do C.M.
• Para um sistema de partículas, o momento do sistema de 
  partículas é o momento do centro de massa (momento da 
  partícula equivalente)
• O momento do centro de massa é a soma dos momentos de 
  cada partícula:
                        n                   
                                            drCM
                 PCM = ∑ mi ⋅ vi , PCM = M ⋅
                       i =1                   dt
• Para o caso contínuo, o momento do centro de massa 
  (momento do corpo) é dado em termos da densidade de 
  massa:                       
                         P = ∫ ρv dV

                                                         218
Impulso
• O impulso, J, de uma força mede o quanto a 
  força (efetivamente) contribuiu para produzir 
  movimento sobre a partícula em um intervalo 
  de tempo:
                               
                  J = ∫ F ⋅ dt = Fmédia ⋅ ∆t
• Através da segunda lei de Newton, podemos 
  obter o teorema do impulso momento-linear:
                                         
     J res = ∆p = p f − pi , J res = PCM , f − PCM ,i
                                                    219
Exemplo 9-5
• Colisão contra o muro de carros de corrida. A Figura é uma 
  vista superior da trajetória de um carro de corrida quando 
  entra em rota de colisão com um muro de proteção. 
  Imediatamente antes da colisão, ele está trafegando com 
  uma velocidade vi=70m/s ao longo de uma linha reta fazendo 
  um ângulo de 30º com o muro. Imediatamente depois da 
  colisão a velocidade era vf=50m/s e fazia um ângulo de 10º 
  com o muro. A massa do piloto é m=80kg.
• (a) Qual é o impulso sobre o piloto devido à colisão?
• (b) A colisão dura 14ms. Qual é o módulo da força média que 
  age sobre o piloto durante a colisão?

                                                            220
Solução




          221
222
O impulso faz com que a conservação do momento seja quebrada. Sendo assim, somente 
a presença da força durante aquele intervalo de tempo impede a conservação do 
momento.


                             Choques Mecânicos

    Tipo de Choque          Conservação            Condição do sistema
                                                   de partículas

    Elástico.               Energia Cinética.      Isolado.
                            Momento Linear.        Sem forças internas.

    Inelástico.             Momento Linear.        Isolado.
                                                   Com forças internas.




                                                                             223
Conservação do momento linear
• Se as forças externas que atuam sobre um 
  sistema possuem uma resultante nula, o 
  momento linear é conservado.
                             
                   Pinicial = Pfinal
• Isto se deve à forma geral da segunda lei de 
  Newton (que admite a mudança da massa 
  com o decorrer do tempo):
                                     
                         dp        dP
                   Fres =    , Fres = CM
                          dt          dt

                                                  224
Exemplo 9-6 
• Explosão unidimensional. Uma urna de 
  votação de massa m=6kg desliza com 
  velocidade v=4 m/s em um piso sem atrito no 
  sentido positivo de um eixo x. A urna explode 
  em dois pedaços. Um pedaço, de massa 
  m1=2kg, se move no sentido positivo do eixo x 
  com velocidade v1=8 m/s. Qual é a velocidade 
  do segundo pedaço, de massa m2?

                                              225
Solução




          226
227
Exemplo 9-8




              228
y




A       C
                  80o

    B

                        x

                50o




                            229
Solução




          230
231
Exemplo 9-9
• O pêndulo balístico era usado para medir a velocidade de 
  projéteis antes que os dispositivos eletrônicos fossem 
  inventados. A versão mostrada na Figura era composta por 
  um grande bloco de madeira de massa M=5,4kg, pendurado 
  por duas cordas compridas. Uma bala de massa m=9,5g é 
  disparada contra o bloco e sua velocidade se anula 
  rapidamente. O sistema bloco-bala oscila para cima, com o 
  centro de massa subindo a uma distância h=6,3 cm antes de o 
  pêndulo parar momentaneamente no final da trajetória em 
  arco de circunferência. Qual é a velocidade da bala antes da 
  colisão?


                                                             232
M

m

        h




            233
Solução
• Como a velocidade da bala se anula 
  rapidamente, forças internas agem dentro do 
  sistema. Entretanto, as forças externas 
  durante o impacto são nulas (a força 
  gravitacional e a tensão na corda se anulam). 
  Dessa forma, o momento linear é conservado 
  e a energia cinética não é conservada, ou seja, 
  a colisão é inelástica.

                                                234
235
236
Exemplo 9-11
• Duas esferas metálicas, inicialmente 
  suspensas por cordas verticais, apenas se 
  tocam, como mostra a Figura. A esfera 1, de 
  massa m1=30g, é puxada para a esquerda até a 
  altura h1=8cm e liberada a partir do repouso. 
  Na parte mais baixa da trajetória ela sofre 
  uma colisão elástica com a esfera 2, cuja 
  massa é m2=75g. Qual é a velocidade v1f da 
  esfera 1 imediatamente após a colisão?
                                              237
h1



     1
          2

     m1
          m2




               238
Solução




          239
240
241
Rotação

Unidade VI




             242
Cinemática da rotação
• Uma rotação é um movimento que efetua 
  arcos de círculo em torno de um eixo (fixo) no 
  espaço. Para estudar uma rotação devemos 
  utilizar as coordenadas cilíndricas (raio, ângulo 
  e coordenada cartesiana ao longo do eixo). Se 
  durante a trajetória, a partícula mantém seu 
  raio fixo e o plano de rotação também, 
  podemos determinar a posição da partícula 
  através de um ângulo (unidade  do S.I. é 
  radiano).

                                                  243
y




                                 r



                             θ
Eixo de rotação


                                                       x


                          Coordenadas cartesianas: (x,y,z)

                  z       Coordenadas cilíndricas: (r,θ,z)


                                                             244
Deslocamento angular
• Quando a partícula muda de um ângulo para 
  outro, ela deixa um pequeno rastro em forma 
  de arco de círculo; o deslocamento angular:
                   ∆θ = θ 2 − θ1
Unidade do S.I.: radiano (rad)




                                            245
Velocidade Angular
• A velocidade angular média é a razão entre o 
  deslocamento angular realizado e o intervalo 
  de tempo gasta para efetuá-lo:
                       ∆θ
                    ω=
                       ∆t

• A velocidade angular instantânea é a derivada 
  do ângulo em relação ao tempo:
                            dθ
                       ω=
                            dt
                                              246
Aceleração Angular




                     247
Exemplo 10-1




               248
Solução
• (a) Para fazer o gráfico considere a seguinte 
  tabela para a posição angular
       t(segundos)        Θ(radianos)
       -3                 3,05
       0                  -1
       5,4                3,05




                                                   249
250
Considere a seguinte tabela para a dependência da velocidade angular em relação ao 
tempo

             t(segundos)                     ω(radianos/segundo)
             -3                              -2,1
             6                               2,4




                                                                                      251
(d) O movimento se inicia no segundo quadrante 
com sentido do movimento dado pelo sentido 
horário. Segue indo para o quarto quadrante e a 
partir de 1,2 segundos o sentido do movimento 
muda para o sentido anti-horário atingindo o 
primeiro quadrante em 2,8 segundos e depois 
retornando para o segundo quadrante 
completando uma volta.




                                              252
Movimento Circular Uniformemente 
       Variado (M.C.U.V.)




                                253
Exemplo 10-3




               254
Solução




          255
256
Decomposição em coordenadas 
          polares




                               257
258
259
Exemplo 10-5




               260
(a) Que ângulo θP o arco deve subtender para que a seja 4g no ponto P?

(b) Qual é o módulo a da aceleração experimentada pelo passageiro no ponto P e depois 
    de passar pelo ponto P?


                                  P




                                              θP



                                                             Ponto de embarque




                                                                                   261
Solução




          262
263
Momento de Inércia
• Assim como modificamos a causa para uma rotação, devemos 
  modificar a inércia para a rotação.
• A inércia da rotação é dada pela distribuição das massas em 
  torno do eixo de rotação (momento de segunda ordem):
• Partícula pontual:
                                I = m⋅r2
• Sistema de partículas:
                                       n
                                  I = ∑ mi ⋅ ri 2
                                      i =1
• Corpo contínuo:
                    I = ∫ r 2 λdl , I = ∫ r 2σdA, I = ∫ r 2 ρdV

                                                                  264
Teorema dos Eixos Paralelos




                              265
Exemplo 10-6
• A Figura mostra um corpo rígido formado por duas 
  partículas de massa m ligadas por uma barra de 
  comprimento L e massa desprezível.
• (a) Qual é o momento de inércia ICM em relação a um 
  eixo passando pelo centro de massa e perpendicular 
  à barra?
• (b) Qual é  o momento de inércia I do corpo em 
  relação a um eixo passando pela extremidade 
  esquerda da barra e paralelo ao primeiro eixo? 

                                                    266
m                    m
          CM




    L/2
               L/2




                         267
Solução




          268
Exemplo 10-7
• Considere uma barra fina, uniforme, de massa M e 
  comprimento L, sobre um eixo x cuja origem está no 
  centro da barra.
• (a) Qual é o momento de inércia em relação a um 
  eixo perpendicular à barra passando pelo seu 
  centro?
• (b) Qual é o momento de inércia I da barra em 
  relação a um novo eixo perpendicular à barra 
  passando pela extremidade esquerda?

                                                   269
Solução




          270
271
Energia Cinética da Rotação
• Uma partícula, sistema de partículas ou corpo 
  contínuo girando em torno de um eixo fixo no 
  espaço possui energia cinética dada por:
                         1 2
                      K = Iω
                         2

• I é o momento de inércia e ω é a velocidade 
  angular.


                                                 272
Torque
• Diante de uma rotação, temos que modificar a causa do 
  movimento de uma força (linear, cartesiana) para o torque :
                             
                           τ = r×F
• O torque, definido pelo produto vetorial, aponta na direção 
  do eixo de rotação. 
• Somente forças perpendiculares à direção radial são capazes 
  de modificar uma rotação. 
• As coordenadas cilíndricas (r,θ e z), possuem uma coordenada 
  reta. Em razão disso, o torque (causa de uma rotação) é um 
  vetor; como a causa de uma translação (força).


                                                                273
Eixo de rotação.                             ˆ
                                             i        ˆ
                                                      j      ˆ
                                                             k
                                      
                                      τ = x         y       z
           
           τ                              Fx        Fy      Fz
       
       r
                       
                       F
                                 τ = r ⋅ F ⋅ sen(θ ) = r⊥ ⋅ F = r ⋅ F⊥


           θ é o ângulo entre o vetor posição e a força.

             r⊥
                  é o braço de alavanca.

             F⊥
                  é a componente tangencial da força.




                                                                         274
Segunda Lei de Newton para Rotações
• Com as modificações na inércia e na massa, 
  podemos obter a segunda lei de Newton para 
  rotações:
                     τ = I ⋅α
• Como se vê basta modificar a causa (torque), 
  efeito (aceleração angular) e inércia 
  (momento de inércia).


                                              275
Exemplo 11-3




               276
z




    θ       y




x



                277
Solução




          278
O torque associado à terceira força é dado por:

                              ˆ
                              i    ˆ
                                   j    kˆ
                      
                      τ 3 = 2,6m   0  1,5m = ( 3 N ⋅ m ) i + ( − 5,2 N ⋅ m ) k
                                                         ˆ                   ˆ
                              0  − 2N   0




                                                                                 279
Exemplo 10-9 
• A Figura mostra um disco uniforme com 
  massa M=2,5kg e raio R=20cm, montado em 
  uma eixo fixo horizontal. Um bloco de massa 
  m=1,2kg  está pendurado em uma corda sem 
  massa que está enrolada na circunferência do 
  disco. Encontre a aceleração do bloco que cai, 
  a aceleração angular do disco e a tensão na 
  corda. A corda não desliza e não há atrito no 
  eixo de rotação. 
                                               280
M




m




    281
Solução
• Diagrama de corpo livre para o disco


                     R


                          
                          T




                                         282
A segunda lei de Newton para rotações diz que o torque deve ser igual ao momento 
de inércia multiplicado pela aceleração angular. O momento de inércia de um disco 
(em relação a um eixo passando pelo centro de massa) é dado por:

                                  2π R   2
                                              M          1
                             I=   ∫∫r
                                  0 0
                                             πR 2
                                                  rdrdθ = MR 2
                                                         2

A segunda lei de Newton é dada por:
                                                          1     a     1
                          τ = − RT = I ( − α ) ⇒ RT =       MR 2 ⇒ T = Ma
                                                          2     R     2
Diagrama de corpo livre para o bloco:                
                                                     T


                                                     
                                                     Fg

                                                                                 283
Segunda lei de Newton para o bloco:
                       T − mg = m( − a ) ⇒ T = m( g − a )

Reunindo a segunda lei de Newton para o disco e a segunda lei de Newton para o bloco, 
obtemos:
                                       1                        m
                                         Ma = m( g − a ) ⇒ a =      g
                                       2                          M
                                                               m+
                                                                  2

Portanto, a aceleração do bloco vale
                                         1,2kg        m       m
                                a=                 9,8 2 = 4,8 2
                                             2,5kg    s       s
                                     1,2kg +
                                               2


A aceleração angular do disco vale

                                              m
                                                4,8
                                         a    s 2 = 24 rad
                                       α= =
                                         R 0,2m         s2




                                                                                   284
A tensão na corda é dada pela segunda lei de Newton para rotações aplicada ao bloco:


                              1    1         m
                           T = Ma = 2,5kg 4,8 2 = 6 N
                              2    2         s




                                                                                       285
Trabalho e energia cinética da rotação
• O trabalho realizado por um torque sobre 
  uma partícula, sistema de partículas ou corpo 
  contínuo é dado por:
                              θ2
                       W = ∫ τ ⋅ dθ
                              θ1

• Este trabalho também obedece ao teorema 
  do trabalho e energia cinética:
                             1 2         1 2
                  W = ∆K =     Iω final − Iωinicial
                             2           2

• A potência de um dado torque é dada por:
                 Pmédia = τ médio ⋅ ωmédia , P = τ ⋅ ω

                                                         286
Exemplo 10-2
• Uma chaminé cilíndrica começa a tombar 
  quando sua base é danificada. Trate a 
  chaminé como uma barra fina de 
  comprimento L=55m (Figura). Qual é a sua 
  velocidade angular ω no instante em que faz 
  um ângulo θ=35º com a vertical?




                                                 287
y



                   θ
    CM
L
         L/2




                       288
Solução




          289
290
Rolamento, Torque e Momento 
           Angular
          Unidade VII




                               291
Rolamento como uma combinação de 
       translação e rotação




                                292
A Energia Cinética do Rolamento
• Sendo o rolamento a composição de uma 
  translação com uma rotação, a energia 
  cinética do rolamento é composta de duas 
  parcelas (uma para translação e outra para 
  rotação):

                1        1
             K = I CM ω + MvCM
                       2    2

                2        2

                                                293
Forças do Rolamento
• Como a força normal e a força gravitacional 
  atuam no centro de massa do corpo, é preciso 
  a presença da força de atrito dinâmica para 
  garantir o corpo movimento.
• Se o corpo está rolando em um plano 
  horizontal:       a = αR
                   CM

• Caso o corpo esteja rolando em um plano 
  inclinado:
                           gsenθ
                 aCM    =
                             I CM
                          1+
                             MR 2            294
Exemplo 11-2
• Uma bola uniforme, de massa M=6kg e raio R, rola 
  suavemente, a partir do repouso, descendo uma 
  rampa inclinada de ângulo θ=30º.
• (a) A bola desce uma distância vertical h=1,2m para 
  chegar à base da rampa. Qual é a sua velocidade ao 
  chegar à base da rampa?
• (b) Quais são o módulo e a orientação da força de 
  atrito que age sobre a bola quando ele desce a 
  rampa rolando?

                                                     295
Solução




          296
297
298
Momento Angular
• Devemos modificar a definição do momento para 
  o caso da rotação:   
                     L=r×p
• O momento angular aponta na direção do eixo de 
  rotação e seu sentido é dado pela regra da mão 
  direita aplicada ao vetor posição e momento 
  linear.
• O momento angular é máximo na situação em 
  que vetor posição e momento linear são 
  perpendiculares (movimento circular).
                                               299
Eixo de rotação.                           ˆ
                                            i        ˆ
                                                     j      ˆ
                                                            k
                                    
                                   τ = x          y       z

         
             L                          px         py      pz
         r
                       
                       p
                                τ = r ⋅ p ⋅ sen(θ ) = r⊥ ⋅ p = r ⋅ p⊥


θ é o ângulo entre o vetor posição e o momento.

 r⊥
       é a componente do vetor posição perpendicular ao momento.

       é a componente tangencial do momento
p⊥



                                                                        300
Exemplo 11-4




               301
e passará a 4m do ponto O. Quais são o módulo e a orientação do momento angular 
         
total        em relação ao ponto O do sistema formado pelas duas partículas?
     L



                        
                         p2



                                      r ⊥2
                                        r ⊥1
                              
                               r2




                                                         
                                                          p1
                                               
                                                r1



                                                                                   302
Solução
• Como foram dadas as componentes do vetor 
  posição perpendiculares às direções do 
  momentos das partículas podemos calcular o 
  módulo do momento angular de cada 
  partículas como: l = r p = 2m ⋅ 5kg ⋅ m = 10kg ⋅ m
                     1   ⊥1 1
                                                        2


                                              s        2
                                               m       m2
                     l2 = r⊥ 2 p2 = 4m ⋅ 2kg ⋅ = 8kg ⋅
                                                s      s

• O momento angular da primeira partícula 
  aponta para fora do plano da figura e o 
  segundo aponta para dentro do plano da 
  figura (regra da mão direita).                            303
Como o momento angular da primeira partícula 
é maior que o da segunda partícula, o momento 
angular total aponta para fora do plano da 
figura. O seu módulo é dado por:

                                m2         m2
              L = (10 − 8) kg ⋅    = 2kg ⋅
                                 s          s




                                                304
Se o corpo, partícula ou corpo contínuo 
estiver girando em torno de um eixo 
fixo com velocidade angular constante, 
podemos relacionar o momento angular 
diretamente com o momento de 
inércia:
               L = Iω

                                           305
Segunda Lei de Newton para rotações
• O torque resultante que age sobre a partícula, 
  sistema de partículas ou corpo contínuo é 
  igual à derivada em relação ao tempo do 
  momento angular da partícula, corpo 
  contínuo ou sistema de partículas.
                               
                             dL
                      τ res =
                              dt



                                               306
Exemplo 11-5
• Na Figura um pinguim de massa m cai, sem 
  velocidade inicial, do ponto A, a uma distância 
  horizontal D da origem O de um sistema de 
  coordenadas x,y,z. (O sentido positivo do eixo 
  z é para fora do papel.)
                                   
• (a) Qual é o momento angular     do pinguim 
                                   l
  em relação ao ponto O?
• (b) Qual é o torque em torno da origem 
  devido à força gravitacional?
                                                307
O


    D




        308
Solução




          309
310
Exemplo 11-6
•   George Washington Gale Ferris, Jr, um engenheiro civil formado no 
    Instituto Politécnico Rensselaer, construiu a roda gigante original para a 
    Exposição Mundial de 1893 em  Chicago. A roda, uma impressionante 
    construção para a época, tinha 36 carros de madeira, cada um com a 
    capacidade de 60 passageiros, em um círculo de raio 38m. A massa de 
    cada carro ficava em torno de 1,1x104kg. A massa da estrutura da roda 
    vale 6x105kg estava concentrada no aro de metal que sustentava os 
    carros. A roda completava uma volta em 2 minutos.
•   (a) Estime o módulo do momento angular da roda, cabines e passageiros 
    quando a roda realizava uma volta completa.
•   (b) Se a roda acelerava do repouso até a velocidade desejada em um 
    intervalo de tempo de 5 segundos, estime o módulo do torque resultante 
    que age sobre a roda.


                                                                             311
Solução




          312
313
Conservação do momento angular
• Na ausência de torques externos, o momento 
  angular de uma partícula, corpo contínuo ou 
  sistema de partículas é conservado ao longo 
  do tempo.
                             
                   Linicial = L final




                                             314
Exemplo 11-8
• Na Figura, uma barata de massa m caminha 
  sobre um disco de massa 6m e raio R. O disco 
  inicialmente gira com velocidade angular 
  ω=1,5 rad/s no sentido anti-horário. A barata 
  está inicialmente no raio r=0,8R, mas depois 
  caminha até a borda do disco. Trate a barata 
  como uma partícula. Qual é a sua velocidade 
  angular final?

                                               315
ωi




           
R           r




                     316
Solução




          317
318
Fluidos

Unidade VIII




               319
Propriedades Básicas dos Fluidos
• Um fluido é um objeto sem rigidez, suas partes podem se mover 
  umas em relação às outras.
• Dessa forma, para entender um fluido é preciso estudar 
  quantidades que mostram a variabilidade das diversas partes de 
  um fluido.
• Uma linha de corrente é a trajetória descrita por um ponto do 
  fluido.
• A seção transversal do fluido é o corte feito por um plano 
  atravessando o fluido.
                                     Linha de corrente.


Seção transversal.

                                                                    320
Densidade
• Para medir a inércia de um fluido devemos utilizar a densidade (e 
  não a massa) do fluido. A densidade é dada pela derivada da massa 
  (m) em relação ao volume do fluido (V):
                                        ∆m
                               ρ = lim
                                  ∆V →0 ∆V

• Em geral, a densidade depende de cada parte do fluido. Entretanto, 
  temos o caso de um fluido uniforme com a densidade não 
  apresentando mudança de uma parte para outra do fluido. Neste 
  caso temos a densidade (uniforme) dada pela razão da massa do 
  fluido pelo seu volume:             m
                                 ρ=
                                      V
• Unidade no S.I.: kg/m3

                                                                  321
Pressão
• Para analisar a causa do movimento devemos utilizar o 
  conceito de pressão, que é a causa que faz um pequeno 
  elemento da seção transversal do fluido se mover (ΔA).  
  A pressão é a derivada da força  (F) em relação à área (A) 
  da seção transversal do fluido:
                                   ∆F
                          p = lim
                              ∆A→0 ∆A
• A força (F) utilizada para definir a pressão aponta na 
  direção oposta à normal do fluido!
• Para o caso da pressão ser uniforme (não variar ao longo 
  da seção transversal do fluido), a definição de pressão é 
  dada por:
• Unidade do S.I.: Pascal (Pa).
                                   F
                              p=
                                   A

                                                          322
Exemplo 14-1
• Uma sala de estar tem as dimensões do piso 
  de 3,5m de largura e 4,2m de espessura e uma 
  altura de 2,4m.
• (a) Quanto o ar dentro da sala pesa se a 
  pressão do ar no sala é 1 atm?
• (b) Qual o módulo da força que o ar exerce no 
  topo da sua cabeça, se você considere que a 
  área correspondente vale 0,04 m2?

                                              323
Solução




          324
Hidrostática
                   Princípio de Stevin
• Para um fluido em repouso, sobre a influência da 
  gravidade da Terra; a pressão depende apenas da 
  componente perpendicular à seção transversal do 
  fluido (altura, y, ou profundidade, h) e independe das 
  componentes paralelas à seção transversal do fluido:
                       p2 = p1 + ρ ⋅ g ⋅ ( y1 − y2 )
• Em termos da profundidade do fluido, temos (p0 é a 
  pressão no topo do fluido):
                        p = p0 + ρ ⋅ g ⋅ h

                                                       325
Exemplo 14-2
• Um mergulhador novato praticando em uma piscina 
  inala ar suficiente do seu tanque até encher os 
  pulmões até mergulhar até uma profundidade L e 
  retornar à superfície. Ele ignora as instruções e não 
  exala o ar durante a subida. Quando ele atinge a 
  superfície, a diferença entre a pressão do ar nos seus 
  pulmões e a pressão atmosférica é 9,3kPa. De que 
  profundidade partiu?



                                                       326
Solução




          327
Exemplo 14-3




               328
d


            óleo
                          l




Interface

                   Água




                              329
Solução




          330
Princípio de Pascal
• Qualquer variação na pressão nas 
  extremidades do fluido é transmitida a todas 
  as partes do fluido de maneira igual:
                       ∆p = ∆pext

• O princípio de Pascal é utilizado no elevador 
  hidráulico, onde aplicamos uma força 
  pequena em uma extremidade para obter 
  uma força grande na outra extremidade:
                             A 
                        F2 =  2  F1
                             A 
                              1
                                                   331
Princípio de Arquimedes
• Quando um objeto está imerso em fluido, 
  aparece uma força que tenta expelir o objeto 
  do fluido. Esta força é o empuxo, que segundo 
  o princípio de Arquimedes é igual ao peso do 
  líquido deslocado (pelo objeto):
              E = g ⋅ mlíquido deslocado = g ⋅ ρ líquido ⋅ Vlíquido deslocado
                                    
                                    E



                                                                                332
Exemplo 14-4




               333
x

        y
θ




            334
Solução




          335
O módulo do empuxo é dado pelo peso da água deslocada pela prancha:
       E = ρ águaVg = 1.024 kg m3 2,5 ⋅10 −2 m 3 ⋅ 9,8 m s 2 = 2,509 ⋅10 2 N
As componentes da força de arrasto são dadas por:
    
               Fa , x = mgsenθ = 83kg ⋅ 9,8 m s 2 ⋅ sen300 = 406,7 N
    
     Fa , y = mg cos θ − E = 83kg ⋅ 9,8 m s ⋅ cos 30 − 250,9 N = 453,5 N
                                              2         0
    
O módulo da força de arrasto é dado por:

                                Fa = Fa2,x + Fa2, y = 609 N

A direção da força de arrasto é dada pelo seguinte ângulo:
                                            Fa , y       453,5 N
                                  tan φ =            =           = 1,11
                                            Fa , x       406,7 N


                                             φ = 48o
 


                                                                               336
Flutuação
• Para que um objeto flutue é preciso que a força 
  gravitacional equilibre o empuxo exercido pelo 
  fluido:                    E=F g
                         
                         E

                         
                         Fg

• Se a força gravitacional é maior que o empuxo, o 
  objeto afunda dentro do fluido. Caso contrário, o 
  objeto é expelido do fluido!
                                                       337
Exemplo 14-5




               338
Solução




          339
340
Dinâmica dos fluidos
           Equação da Continuidade
• Supondo que o fluido é incompressível (sua 
  densidade é uniforme e não muda ao longo 
  do tempo) e não possui vazamentos; temos a 
  seguinte equação para a velocidade (da linha 
  de corrente) e área (da seção transversal do 
  fluido):
                    A1 ⋅ v1 = A2 ⋅ v2

                                              341
Exemplo 14-6
• A água cai de uma torneira afinando sua seção 
  transversal quando cai. A área da seção 
  transversal na boca da torneira é A0=1,2cm2 e a 
  área da seção transversal na parte de baixo é 
  A=0,35cm2. A boca da torneira e o nível 
  inferior estão separados por uma distância 
  h=45mm. Qual é a vazão volumétrica na boca 
  da torneira?

                                                342
Solução




          343
344
Equação de Bernoulli
• Com o fluido se movendo, devemos substituir 
  o princípio de Stevin pela equação de 
  Bernoulli (expressão da conservação de 
  energia):
                             1                             1
            p1 + ρ ⋅ g ⋅ y1 + ⋅ ρ ⋅ v12 = p2 + ρ ⋅ g ⋅ y2 + ⋅ ρ ⋅ v2
                                                                   2

                             2                             2




                                                                       345
Exemplo 14-7




               346
Solução




          347
348
Exemplo 14-8
• No Velho Oeste, um bandido acerta um tiro 
  em um tanque de água com a tampa aberta, 
  criando um buraco a uma profundidade h 
  abaixo da superfície da água. Qual é a 
  velocidade v da água que está saindo do 
  tanque?




                                               349
Solução




          350
Temperatura, Calor e Primeira 
   Lei da Termodinâmica
          Unidade IX




                                 351
Introdução
• A termodinâmica trata da dinâmica que um sistema possui ao 
  modificar o arranjo dos seus graus de liberdade internos.
• Para medir a agitação dos graus de liberdade internos, 
  usamos a temperatura. Quente significa que o sistema está 
  muito agitado e frio é a situação oposta.
• O calor é a energia transferida para o sistema que modifica os 
  graus de liberdade internos, sem modificar os graus de 
  liberdades externos; fazendo a temperatura do sistema 
  variar.
• Trabalho é a energia transferida para o sistema capaz de 
  modificar seus graus de liberdade externos.

                                                               352
Lei Zero da Termodinâmica
• Se um corpo está em equilíbrio 
  termodinâmico com um certo corpo e 
  também em equilíbrio termodinâmico com 
  um terceiro corpo. Então o segundo e o 
  terceiro corpos mencionados estarão em 
  equilíbrio entre si.
• A temperatura é portanto uma função do 
  estado do sistema!

                                            353
Temperatura
• Existem várias escalas de temperatura, mas três são mais 
  usadas no dia-a-dia. 
• A escala Kelvin é a mais utilizada em artigos científicos. Seu 
  zero é a menor temperatura que um sistema pode atingir.
• A escala Celsius é muito utilizada na medicina. Seu zero é o 
  ponto de congelamento da água. O valor de 100 é atribuído 
  para o ponto de ebulição da água.
• A escala Fahrenheit modifica os valores do ponto de 
  congelamento da água para 32 e o ponto de ebulição para 
  212. Muito utilizada nos Estados Unidos.


                                                                    354
Escalas de Temperatura
• A relação entre a escala Celsius, Tc,  e Kelvin, T; 
  é dada por:
                  TC = T − 273,15

• A relação entre a escala Celsius e Fahrenheit, 
  TF, é dada por:
                                9
                       TF = 32 + TC
                                5




                                                    355
Exemplo 18-1
• Suponha que você encontre velhos notas 
  científicas que descrevem uma escala de 
  temperatura chamada Z em que o ponto de 
  ebulição da água vale é 650Z e o ponto de 
  congelamento é -14oZ. A qual temperatura da 
  escala Fahrenheit uma temperatura de -98oZ 
  irá corresponder? Assuma que a escala  Z é 
  linear, ou seja, o valor de um grau na escala Z 
  é o mesmo em todo o intervalo da escala.
                                                 356
Solução




          357
Dilatação Térmica
• Quando um corpo sofre um aumento de 
  temperatura, seu comprimento cresce 
  proporcional ao incremento na temperatura:
                  ∆L = Lα∆T
• O coeficiente de dilatação linear é α.
• O volume do corpo também cresce com o 
  aumento de temperatura:
                     ∆V = Vβ∆T

• O coeficiente de dilatação volumétrica é dado 
  por: β = 3α
                                               358
Exemplo 18-2
Em um dia quente em Las Vegas, um caminhão 
carregou 37.000L de óleo diesel. Ele encontrou 
tempo frio no caminho até Payson, Utah, onde a 
temperatura era 23K abaixo da temperatura em 
Las Vegas, onde ele entregou sua carga 
completa. Quantos litros ele entregou? O 
coeficiente de dilatação volumétrica do óleo 
diesel é 9,5x10-4oC-1, e o coeficiente de dilatação 
linear do aço do caminhão é 11x10-6oC-1?
                                                  359
Solução




          360
Capacidade Calorífica
• Quando calor é injetado em um sistema, sua 
  temperatura aumenta. A capacidade 
  calorífica, C, é o fator entre o calor injetado, 
  Q, e a variação de temperatura, ΔT:
                 Q = C ⋅ ∆T = C ⋅ (T f − Ti )

• A capacidade calorífica é constante para a 
  maioria dos materiais sólidos e líquidos.

                                                      361
Calor Específico
• Para considerar somente a substância, introduzimos o calor 
  específico; que é a razão entre a capacidade calorífica e a 
  massa do material, m:
                      Q = m ⋅ c ⋅ ∆T = m ⋅ c ⋅ (T f − Ti )
• O calor específico é constante para os materiais sólidos ou 
  líquidos.
• O calor específico molar é dado em termos da quantidade de 
  moles (número de moléculas dividido pelo número de 
  Avogrado):
                           Q = n ⋅ cmolar ⋅ ∆T
• Unidade do S.I.: J/kg K ou J/mol K.

                                                                 362
Calor Latente
• Durante uma transição de fases, a temperatura do 
  material não muda até uma fase (sólida, líquida, 
  gasosa, etc.) ter se convertido na outra.
• O calor absorvido,Q, durante a transição é dado por:
                        Q = m⋅ L
• A massa do material é m, enquanto L é o calor 
  latente da substância para a transição considerada 
  (calor de transformação).
• Unidade do S.I.: J/kg.

                                                     363
Exemplo 18-3
(a) Quanto de calor deve ser absorvido por gelo 
    de massa m=720g à -10oC para se 
    transformar em água líquida a 15oC?
(b) Se você fornecer ao gelo somente 210kJ de 
    energia (em forma de calor), qual é o estado 
    final do gelo e sua temperatura? 



                                                364
Solução




          365
366
367
Trabalho
• O trabalho mecânico realizado por um gás é 
  dado pela integral da pressão contra o volume 
  do gás:
                        Vf

                   W=   ∫ p ⋅ dV
                        Vi

• Esta é a energia necessária para modificar o 
  volume de um gás (variável externa).



                                                  368
Primeira Lei da Termodinâmica
•   A diferença entre o calor introduzido em um sistema e o trabalho 
    realizado pelo sistema independe do processo pelo qual o sistema passou 
    e é igual a variação da energia interna do sistema (energia devida à 
    agitação dos graus de liberdade internos):

                     ∆Eint = Q − W = Eint, f − Eint,i
•   Para variações diferenciais, temos:

•   A energia interna é função do estado do sistema! Mas o calor e o trabalho 
    não são funções do estado do sistema (dependem do processo que o 
    sistema passou)!
                                 dEint = dQ − dW

                                                                           369
Processos Termodinâmicos
• Processo adiabático: É aquele (tão rápido) em que não há 
  trocas de calor, Q=0.
• Processo isovolumétrico: É aquele em que o volume do 
  sistema é mantido constante. O trabalho realizado pelo 
  sistema é nulo, W=0.
• Processo isobárico: É aquele em que a pressão sobre o 
  sistema é mantida constante. Neste caso  W =p ⋅∆          V
• Processo isotérmico: É aquele em que a temperatura é 
  mantida constante.



                                                           370
Exemplo 18-5
Considere que 1kg de água líquida à 100oC pode ser 
convertida em vapor à 100oC por evaporação na 
pressão atmosférica padrão. O volume da água varia de 
1x10-3m3 como água líquida para 1,671m3 como gás.
(a)Quanto trabalho o sistema faz durante esse 
processo?
(b) Quanto energia é transferida para o sistema em 
forma de calor durante o processo?
(c) Qual é a mudança na energia interna do sistema 
durante o processo?
                                                    371
Solução




          372
373
Imagens

Unidade X




            374
Dois tipos de imagens
• Imagem Real: É a imagem formada do lado 
  oposto ao que está o objeto, considerando o 
  espelho como origem.
• Imagem Virtual: É a imagem formado do 
  mesmo lado em que está o objeto, 
  considerando o espelho como origem.



                                                 375
Leis da reflexão
• Quando a luz incide em um meio, podemos 
  distinguir o ângulo de incidência (com a 
  normal à interface, θi) e o ângulo de reflexão 
  (com a normal à interface, θr).
                  θi   θr




                                                    376
• O ângulo de incidência e de reflexão são
  iguais!
• A imagem pode ser formada pelos raios ou 
  por seus prolongamentos.
• A imagem é real, se é formada do mesmo lado 
  do objeto (com a interface na origem).
• A imagem é virtual, se formada do lado 
  oposto ao objeto (com a interface na origem).
• A imagem pode ser ampliada ou reduzida.
• Para obter a imagem fazemos os encontros 
  dos raios que vêm das extremidades do 
  objeto.                                    377
Espelhos Planos
• Os espelhos são superfícies que refletem a 
  maioria da luz que incidem sobre elas!
• Um espelho plano é um espelho com uma 
  superfície plana.

        Objeto
                                  Imagem




                                                378
• Em um espelho plano a imagem não 
  apresenta ampliação!
• Em um espelho plano a imagem é virtual!
• Em um espelho plano, a distância da imagem 
  até o espelho é a mesma distância do objeto 
  até o espelho!




                                             379
Espelhos Esféricos
• É o espelho cuja superfície é uma porção de 
  uma esfera.
• Pode ser côncavo, quando a superfície 
  refletora é formada pela parte de dentro da 
  esfera.
• Pode ser convexo, quando a superfície 
  refletora é formada pela parte de fora da 
  esfera.

                                                 380
Espelho convexo                Espelho côncavo

• Os espelhos esféricos têm a propriedade de 
  convergir/divergir os raios que vêm do infinito (paralelos 
  entre si) para o foco do espelho.
• No caso do espelho côncavo, o espelho converge os raios 
  para o foco. A distância focal é positiva (foco na frente do 
  espelho).
• No caso do espelho convexo, o espelho diverge os raios do 
  foco. A distância focal é negativa (foco atrás do espelho).
                                                                  381
• Considerando a distância do objeto ao 
  espelho como p, a distância da imagem ao 
  objeto como i e a distância focal como f. 
  Temos a seguinte equação para os espelhos 
  esféricos:       1 1 1
                     + =
                    p i f
• O módulo da distância focal é o metade do 
  raio do espelho:  f = r
                         2
• A altura da imagem,    , e altura do objeto h; 
                       h   ´



  estão relacionadas por:
                       ´
                     h     i
•                    h
                        =−
                           p

                                                    382
• Em um espelho esférico a imagem pode ser 
  virtual ou real.
• Em um espelho esférico a imagem pode ser 
  reduzida ou ampliada.
• Podemos prever esses comportamentos, 
  localizando a posição da imagem em relação 
  ao foco do espelho e seu centro através do 
  encontro dos raios de luz (ou dos seus 
  prolongamentos).



                                                383
Exemplo 34-1




               384
Solução




          385
386
Leis da Refração
• A refração acontece quando os raios de luz 
  atravessam de um meio para outro!
                     θ1




                          θ2

• Podemos distinguir o ângulo de incidência, θ1, 
  e o ângulo de refração, θ2.
                                                387
Lei de Snell
• O índice de refração é a razão da velocidade 
  da luz no vácuo pela velocidade da luz no 
  meio:  n = c
             v

• Os ângulos de incidência e refração são 
  relacionados com os índices de refração do 
  meio 1, n1, e meio 2, n2:
                 n1sen(θ1 ) = n2 sen(θ 2 )



                                                  388
Exemplo 33-3
(a)Na Figura, um feixe de luz monocromático 
reflete e refrata no ponto A de uma interface de 
um material 1 com índice de refração n1=1,33 
com um material 2 de índice de refração 
n2=1,77. O feixe incidente faz um ângulo de 50º 
com a interface. Qual é o ângulo de reflexão no 
ponto A? Qual é o ângulo de refração nesse 
ponto? 

                                               389
(b) A luz que penetra no material 2 no ponto A atinge o 
ponto B da interface do material 2 com o material 3, 
que é o ar, como mostrado na Figura. A interface onde 
está o ponto B é a paralela à interface onde está o 
ponto A. Em B, parte da luz reflete e outra parte entra 
no ar. Qual é o ângulo de reflexão? Qual é o ângulo de 
refração no ar?
                                         Meio 1


                       A

                                       Meio 2


                           B                    Meio 3

                                                         390
Solução




          391
392
Reflexão Interna Total
• Para ângulos maiores que o ângulo crítico, θc, 
  a luz é totalmente refletida pela interface 
  entre os dois meios. Neste caso a refração não 
  existe, apenas a reflexão! O ângulo crítico é 
  dado por:
                             n2 
                  θ C = sen  
                           −1
                            n 
                             1




                                               393
Exemplo 33-5
A proposta de um anel de diamantes, claro, é brilhar. Parte da arte de 
cortar um diamante é garantir que toda luz incidente sobre essas 
superfícies é refletida, garantido o brilho do diamante. A figura mostra 
um corte transversal de um diamante brilhante, com um raio de luz 
entrando no ponto A da superfície de cima. Neste tipo de corte, as 
superfícies de cima e de baixo tem normais que fazem um ângulo de  
48,84º. No ponto B, pelo menos parte da luz é refletida e retorna para 
a superfície de cima, mas parte refrata e pode deixar o diamante. 
Considere  um raio de luz incidente com um ângulo θ1=40o em A. A luz 
escapa se existe ar (n4 =1) sob a superfície de baixo? A luz escapa se 
uma superfície gordurosa (n4 =1,63) cobre a superfície? O índice de 
refração do diamante é ndia =2,419.


                                                                      394
θ1


          θ2


     θ3

                    48,84o
θ4




                             395
Solução




          396
397
Superfícies Refratoras Esféricas
• Se a interface entre os dois meios é uma porção de 
  esfera, temos uma superfície refratora esférica.
• Se a superfície é côncava, o raio de curvatura é 
  negativo. Se a superfície é convexa, o raio de 
  curvatura é positivo.
• A superfície refratora esférica pode formar uma 
  imagem de um objeto. A imagem pode ser real, se 
  fica do lado oposto ao objeto (em relação à 
  interface); ou virtual, se fica do mesmo lado do 
  objeto (em relação à interface).

                                                        398
O             C
                                  I



• Sendo p, a distância do objeto até a interface, 
  e i, a distância da imagem até a interface; 
  temos:
                  n1 n2 n2 − n1
                    + =
                  p i      r



                                                399
Exemplo 34-2
Um mosquito jurássico foi descoberto dentro de 
uma pedra de âmbar, que tem índice de 
refração 1,6. Uma superfície do âmbar é 
côncava e tem raio de curvatura 3mm. A cabeça 
do mosquito está no eixo central da pedra de 
âmbar e, quando vista ao longo do eixo, 
aparenta estar enterrada a uma distância de 
5mm dentro do âmbar. Qual é a verdadeira 
distância em que o mosquito está enterrado?
                                             400
Solução
Como temos uma superfície refratora côncava, 
o raio de curvatura é negativo e vale r=-3mm. 
Foi dada a distância da imagem, que é negativa; 
já que o mosquito está do mesmo lado que a 
sua imagem (dentro do âmbar): i=-5mm. Dessa 
forma, a distância do mosquito até o vértice da 
superfície refratora esférica é dada através da 
equação:

                                              401
402
Lentes Delgadas
• Se unirmos duas superfícies refratoras 
  esféricas separadas de uma distância muito 
  pequena, temos uma lente delgada.
• As lentes delgadas podem formar imagens 
  através da convergência dos raios (lente 
  convergente) ou do prolongamento dos raios, 
  ou seja, da divergência dos raios (lente 
  divergente).

                                            403
Lente convergente           Lente divergente


• Temos a seguinte equação para as imagens 
  das lentes delgadas:
                           1 1 1
                            + =
                           p i f




                                                      404
Equação do Fabricante de Lentes
• A distância focal da lente é dada por (o meio 
  que envolve a lente é o ar):
                1            1 1
                  = ( n − 1)  − 
                             r r 
                f             1 2

• Se a distância focal é positiva, a lente é 
  convergente.; caso contrário, a lente é 
  divergente.
• A ampliação da lente é dada por:
                      h´  i
                    m= =−
                      h   p                        405
Exemplo 34-4
Um louva-a-deus está em um eixo central de uma lente 
delgada simétrica, a 20cm da lente. A ampliação do 
louva-a-deus vale m=-0,25, e o índice de refração do 
material da lente é 1,65.
(a)Determine o tipo de imagem produzida pela lente, o 
tipo de lente, se o louva-a-deus está do mesmo lado ou 
do lado oposto ao ponto focal, de que lado da lente a 
imagem aparece, e se a imagem é invertida.
(b)Quais são os dois raios de curvatura da lente?

                                                     406
Solução




          407
408
409
Instrumentos Óticos
                                  O olho
•   O sistema córnea-cristalino dos olhos focaliza a luz sobre a retina, onde 
    ela é sentida pelos bastonetes e cones que enviam a informação ao longo 
    do nervo ótico para o cérebro.
•    Quando o olho está relaxado, o comprimento focal do sistema córnea-
    cristalino está em torno de 2,5 cm, que é a distância até a retina. 
•   Quando os objetos são colocados próximos aos olhos o cristalino varia de 
    forma a diminuir o comprimento focal total, de tal modo que a imagem 
    permaneça focalizada pela retina. 
•   A menor distância para a qual a imagem pode ser focalizada na retina é 
    chamada de ponto próximo, tipicamente em torno de 25 cm.



                                                                            410
• O tamanho aparente de um objeto depende do tamanho 
da imagem na retina e, portanto, maior o tamanho aparente 
do objeto.
•Quanto mais próximo o objeto, maior sua imagem na retina 
e, portanto, maior o tamanho aparente do objeto.




                                                             411
Lupa
• Uma lupa simples cria uma imagem virtual cujo tamanho 
  angular      é maior do que o tamanho angular θ produzido 
                                  θ′
  pelo próprio objeto a uma distância igual a 25 cm , a distância 
  mais próxima do olho para que se tenha um visão 
  confortável.
• A ampliação angular produzida por uma lupa simples é dada 
  pela razão entre o tamanho angular da imagem virtual e o 
  tamanho angular do mesmo objeto nessa distância:
                                   θ′
                              M=
                                   θ


• Para uma lupa simples com distância focal f, obtemos M=(25 
  cm/f).
                                                                412
Microscópio Ótico
• No microscópio ótico a lente da objetiva forma uma 
  primeira imagem no tubo do instrumento e a ocular 
  forma uma imagem virtual final, geralmente no 
  infinito, da primeira imagem.
• A ampliação angular é dada em termos das 
  distâncias focais da objetiva, f1 e da ocular f2 e da 
  distância da primeira imagem até a objetiva:
                      M=
                         ( 25 cm) ⋅ s1′
                              f1     f2


                                                       413

Física do ambiente agrícola

Notas do Editor