Incorporar apresentação
Baixado 81 vezes
















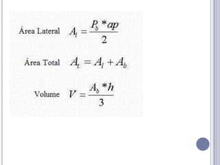
O documento discute formas geométricas básicas como prisma, paralelepípedo, cubo, pirâmide, cilindro e cone. Detalha suas definições, características e fórmulas para calcular área e volume. Também menciona brevemente a aplicação dessas formas na arquitetura e arte.














