Pg 20
Ex 3
f(-1)=|-1|-2(-1) → f(-1)=1+2 → f(-1)=3
f(½)=|½| - 2 (½) → f(½)= ½ - 1 → f (½)= - ½
f(-2/3)=|-2/3|-2 (-2/3) → f(-2/3)= 2/3 + 4/3 → f(-2/3)=2
f(a)=|a|-2(|a|) → f(a)=|a|-|2a| → f(a)= - |a|
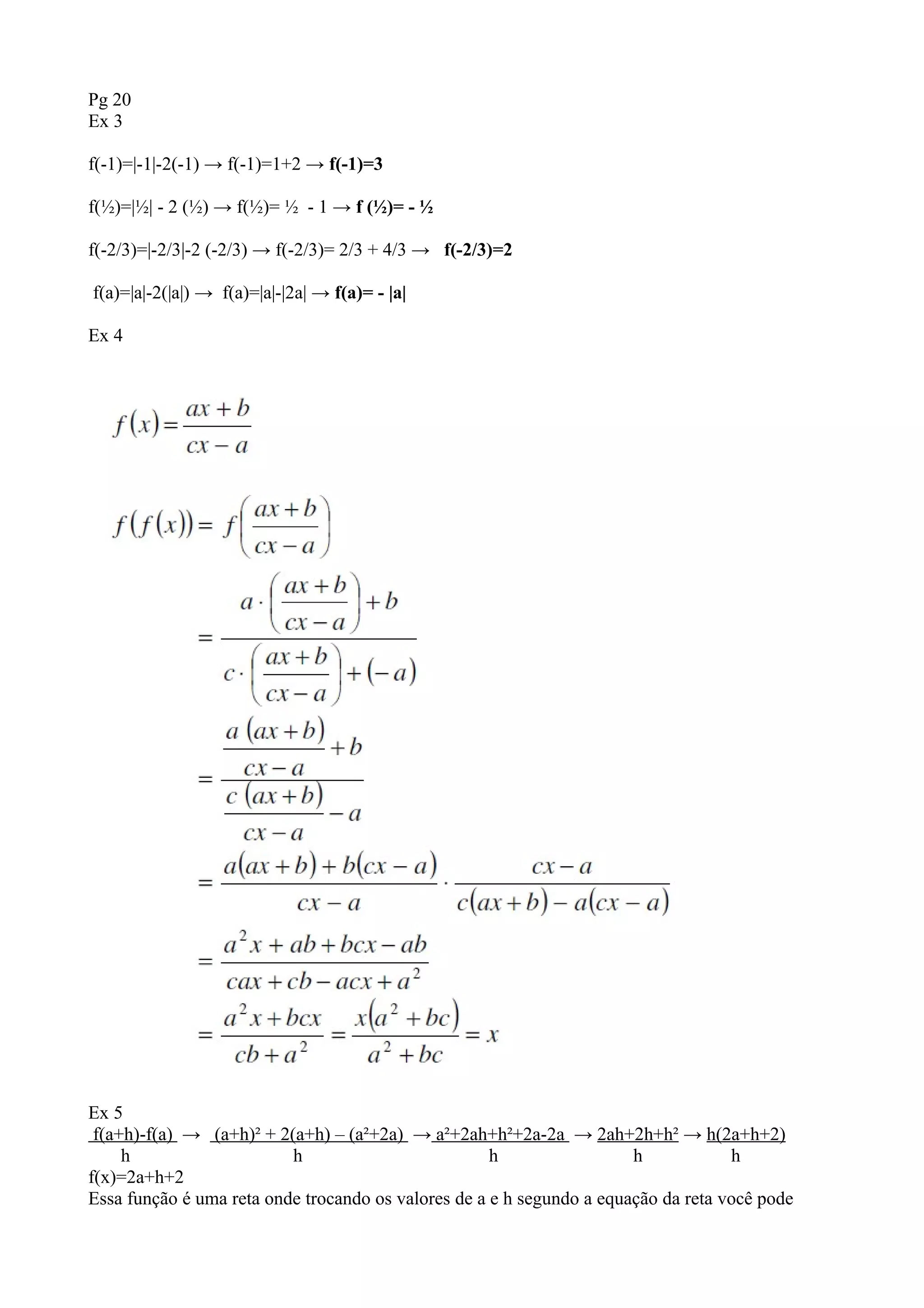
Ex 4
Ex 5
f(a+h)-f(a) → (a+h)² + 2(a+h) – (a²+2a) → a²+2ah+h²+2a-2a → 2ah+2h+h² → h(2a+h+2)
h h h h h
f(x)=2a+h+2
Essa função é uma reta onde trocando os valores de a e h segundo a equação da reta você pode
mudar a inclinação e a posição da reta no gráfico.
Ex: 6
f(1/x)
1 - 1 1 - x
x → x f(1/x)= 1 – x
2 + 7 2 + 7x → 2+7x
x x
f(1/f(x))
1 2x + 7
x - 1 → f(1/f(x))= x – 1
2x + 7
Ex: 7
f(1/a)=f(a)/a² → (1/a)² + 1 = (1+a²)/a → (a²+1/a²) = (a²+1)/a²
Então f(1/a)=f(a)/a²
Ex: 8
f(1+h) - f(1)
1 - 1 → 1-1-h → -h
1+h 1+h 1+h
f(a+h)= 1 - 1 → a-(a+h) → -h
a+h a a(a+h) a(a+h)
Ex: 10
a)
Aesfera=4πx² como a relação é explícita, logo inferimos que a função é a própria fórmula.
f(x)= 4πx²
b)
f(x)=6x² pelo mesmo método da letra “a”.
c)
Assumindo que a figura seja um cubo.
A=6a² ou seja f(area)= 6a² ou f(x)=6x²
Pg 21
Ex: 13
a) Dm= IR b) Dm= [2,2] c) Dm= IR -{4} d) Dm={xЄ IR |x ≥ 2}
e) Dm={xЄ IR | x=(-∞,1)U(3,+∞)} f) Dm=[-3,7] g)Dm= IR
h)Dm= IR - {a} i)Dm={xЄ IR | -5 ≤ x ≥2}
j)Dm={xЄ IR | x=(-∞,1) U [0,+∞)} k) Dm= IR -{0} l)Dm={xЄ IR | x ≥0}
Ex: 15
a)
Dm={xЄ IR | -2 ≤ x >2}
Im= [0,2]
b)
Dm= IR
Im={0, 0,5 , 1}
c)
Dm = IR
Im = {xЄ IR |(-∞,0] U {1} U [4,+∞)}
Ex: 16
b) f(x)=x²+8x+14
e) y=x³
PG 23
Ex: 29
a)
Dm = IR
Im = IR
b)
Dm = IR
Im = IR
c)
f(x)=x²-1
g(x)=2x-1
d)
d → 1
f+g=(x²-1)+(2x-1) → x²+2x-2
d → 2
f-g=(x²-1)-(2x-1) → x²-2x
d → 3
f.g=(x²-1).(2x-1) → 2x³-2x-x²+1 → 2x³-x²-2x+1
d → 4
f/g= x²-1
2x-1
d → 5
fog=(2x-1)²-1 → 4x²-4x+1
d → 6
gof=2(x²-1)-1 → 2x²-3
e)
Todos os domínios exceto d4 são o conjunto dos números reais. Em d4 o domínio é IR -{½}.
Pg 53
Ex: 1
a)
K 0 X 2X X/2 -X 2X
Dm IR IR IR IR IR IR
Im 0 IR IR IR IR IR
b)
c)
Ex:2
a)
Y x² X²/2 -2x²
Dm IR IR IR
Im [0,+∞) [0,+∞) (-∞,0]
Gráfico de x² e x²/2
Gráfico de -2x
b)
Y x² x²+1 2X²+1/2 x²-3
Dm IR IR IR IR
Im [0,+∞) [1,+∞) [1/2,+∞) (-∞,0]
Gráfico de x²
Gráfico de x²+1
Gráfico de (2x²+1)/2
Gráfico de X²-3
c)
y=0 → x²-2x+1
Dm= IR
Im=[0 ,+∞)
y= 1 → x²-2x+2
Dm= IR
Im=[1 ,+∞)
y= -1 → x²-2x
Dm= IR
Im=[-1 ,-∞)
d)
Dm= IR
Im=[4 ,+∞)
Ex: 3
a)
Dm= IR
Im= IR
b)
Dm= IR
Im=[0,+∞)
c)
Dm= IR
Im=[-4,+∞)
Ex: 4
a)
Dm= IR
Im=[0,-∞)
b)
Dm= IR -{0}
Im= IR -{0}
c)
Dm= IR -{4}
Im= IR -{1}
Ex:5
f(-1)=a(-1)+b=2 → f(-1)=-a+b=2
f(2)= 2a+b=3
-a+b=2 .2 -a+7/3=2 → a=1/3
2a+b=3
3b=7 → b=7/3
logo a=1/3 e b = 7/3
Pag 56
Ex:31
a)
a1 → A função é senóide e periódica com período igual a π
a2 → a função é periódica com período 2π/3
a3 → a função é periódica com período 4π
a4 → a função é periódica com período 6π
b)
b1 → Periódica com período igual a 2π
b2 → Periódica com período igual a 2π
b3 → Periódica com período igual a 2π
b4 → Periódica com período igual a 2π
b5 → Periódica com período igual a 2π
c)
c1 → Periódica com período igual a π
c2 → Periódica com período igual a π
c3 → Periódica com período igual a π
d)
Periódica com período igual a 2π
e)
Periódica com período igual a 2π
i)
Periódica com período igual a 2π
j)
Periódica com período igual a π/2
Trabalho de Cálculo
Professor: Alfredo
Nome do aluno: Jonathan Leandro Souza
Curso: Físcia licenciatura noturno
Instituiçao:UFG

QUESTOES DE CÁLCULO

  • 1.
    Pg 20 Ex 3 f(-1)=|-1|-2(-1)→ f(-1)=1+2 → f(-1)=3 f(½)=|½| - 2 (½) → f(½)= ½ - 1 → f (½)= - ½ f(-2/3)=|-2/3|-2 (-2/3) → f(-2/3)= 2/3 + 4/3 → f(-2/3)=2 f(a)=|a|-2(|a|) → f(a)=|a|-|2a| → f(a)= - |a| Ex 4 Ex 5 f(a+h)-f(a) → (a+h)² + 2(a+h) – (a²+2a) → a²+2ah+h²+2a-2a → 2ah+2h+h² → h(2a+h+2) h h h h h f(x)=2a+h+2 Essa função é uma reta onde trocando os valores de a e h segundo a equação da reta você pode
  • 2.
    mudar a inclinaçãoe a posição da reta no gráfico. Ex: 6 f(1/x) 1 - 1 1 - x x → x f(1/x)= 1 – x 2 + 7 2 + 7x → 2+7x x x f(1/f(x)) 1 2x + 7 x - 1 → f(1/f(x))= x – 1 2x + 7 Ex: 7 f(1/a)=f(a)/a² → (1/a)² + 1 = (1+a²)/a → (a²+1/a²) = (a²+1)/a² Então f(1/a)=f(a)/a² Ex: 8 f(1+h) - f(1) 1 - 1 → 1-1-h → -h 1+h 1+h 1+h f(a+h)= 1 - 1 → a-(a+h) → -h a+h a a(a+h) a(a+h) Ex: 10 a) Aesfera=4πx² como a relação é explícita, logo inferimos que a função é a própria fórmula. f(x)= 4πx² b) f(x)=6x² pelo mesmo método da letra “a”. c) Assumindo que a figura seja um cubo. A=6a² ou seja f(area)= 6a² ou f(x)=6x²
  • 3.
    Pg 21 Ex: 13 a)Dm= IR b) Dm= [2,2] c) Dm= IR -{4} d) Dm={xЄ IR |x ≥ 2} e) Dm={xЄ IR | x=(-∞,1)U(3,+∞)} f) Dm=[-3,7] g)Dm= IR h)Dm= IR - {a} i)Dm={xЄ IR | -5 ≤ x ≥2} j)Dm={xЄ IR | x=(-∞,1) U [0,+∞)} k) Dm= IR -{0} l)Dm={xЄ IR | x ≥0} Ex: 15 a) Dm={xЄ IR | -2 ≤ x >2} Im= [0,2] b) Dm= IR Im={0, 0,5 , 1}
  • 4.
    c) Dm = IR Im= {xЄ IR |(-∞,0] U {1} U [4,+∞)} Ex: 16 b) f(x)=x²+8x+14
  • 6.
  • 10.
    PG 23 Ex: 29 a) Dm= IR Im = IR b) Dm = IR Im = IR c) f(x)=x²-1 g(x)=2x-1
  • 11.
    d) d → 1 f+g=(x²-1)+(2x-1)→ x²+2x-2 d → 2 f-g=(x²-1)-(2x-1) → x²-2x d → 3 f.g=(x²-1).(2x-1) → 2x³-2x-x²+1 → 2x³-x²-2x+1 d → 4 f/g= x²-1 2x-1 d → 5 fog=(2x-1)²-1 → 4x²-4x+1 d → 6 gof=2(x²-1)-1 → 2x²-3 e) Todos os domínios exceto d4 são o conjunto dos números reais. Em d4 o domínio é IR -{½}. Pg 53 Ex: 1 a)
  • 12.
    K 0 X2X X/2 -X 2X Dm IR IR IR IR IR IR Im 0 IR IR IR IR IR b)
  • 13.
  • 14.
    Ex:2 a) Y x² X²/2-2x² Dm IR IR IR Im [0,+∞) [0,+∞) (-∞,0] Gráfico de x² e x²/2 Gráfico de -2x
  • 15.
    b) Y x² x²+12X²+1/2 x²-3 Dm IR IR IR IR Im [0,+∞) [1,+∞) [1/2,+∞) (-∞,0] Gráfico de x² Gráfico de x²+1
  • 16.
  • 17.
    c) y=0 → x²-2x+1 Dm=IR Im=[0 ,+∞) y= 1 → x²-2x+2 Dm= IR Im=[1 ,+∞)
  • 18.
    y= -1 →x²-2x Dm= IR Im=[-1 ,-∞) d) Dm= IR Im=[4 ,+∞)
  • 19.
    Ex: 3 a) Dm= IR Im=IR b) Dm= IR Im=[0,+∞)
  • 20.
  • 21.
    b) Dm= IR -{0} Im=IR -{0} c) Dm= IR -{4} Im= IR -{1}
  • 22.
    Ex:5 f(-1)=a(-1)+b=2 → f(-1)=-a+b=2 f(2)=2a+b=3 -a+b=2 .2 -a+7/3=2 → a=1/3 2a+b=3 3b=7 → b=7/3 logo a=1/3 e b = 7/3 Pag 56 Ex:31 a) a1 → A função é senóide e periódica com período igual a π a2 → a função é periódica com período 2π/3
  • 23.
    a3 → afunção é periódica com período 4π a4 → a função é periódica com período 6π
  • 24.
    b) b1 → Periódicacom período igual a 2π b2 → Periódica com período igual a 2π
  • 25.
    b3 → Periódicacom período igual a 2π b4 → Periódica com período igual a 2π
  • 26.
    b5 → Periódicacom período igual a 2π c) c1 → Periódica com período igual a π c2 → Periódica com período igual a π
  • 27.
    c3 → Periódicacom período igual a π d) Periódica com período igual a 2π e) Periódica com período igual a 2π i) Periódica com período igual a 2π
  • 28.
  • 29.
    Trabalho de Cálculo Professor:Alfredo Nome do aluno: Jonathan Leandro Souza Curso: Físcia licenciatura noturno Instituiçao:UFG