Teste t-Student



PROFª DOUTORA CÉLIA SALES
Conteúdos
                          2

 Teste t-Student para amostras independentes
   Lógica do cálculo do teste

   Cálculo e interpretação no SPSS




Célia Sales - UAL
Teste t
                                            3

 O teste t testa se a média de dois grupos é significativamente
                             diferente



           Será que homens e mulheres têm peso
                significativamente diferente?


                Presente na população, com elevada
                probabilidade




Célia Sales - UAL
4

Quero comparar a média de dois grupos. Posso aplicar
                     o teste t?




    Verificação de pressupostos de testes paramétricos




Célia Sales - UAL
Lógica do t-test
                       (Field, 2005, p. 286-287)
                                   5


                    O Teste t compara (no numerador)




       Diferença entre as médias       Diferença que obteríamos devido ao
         dos grupos a comparar            acaso (sem diferença “real na
        (diferenças observadas)           população”, i.e. quando H0 é
                                         verdadeira) entre as médias das
                                                    amostras


      Tendo em conta a variabilidade entre as amostras,
               na população (no denominador)

Célia Sales - UAL
Lógica do t-test
                                          6



                                                                     (É zero!)

                    Observed difference          Expected difference
                     between sample
                          means           -   between population means
                                                  (se h0 verdadeira)
          t = ________________________________________

                            Estimate of SE of the difference
                                betweeen two samples




Célia Sales - UAL
Lógica do t-test
                      (Field, 2005, p. 286-287)
                                      7

   Usa o SE como uma medida da variabilidade entre as
   médias das amostras:

       Se SE é PEQUENO: esperamos que quase todas as amostras tenham
        uma média semelhante (DIFERENÇAS entre as médias serão
        provavelmente PEQUENAS)

       Se SE é GRANDE: esperamos obter diferenças grandes entre as
        médias das amostras devido ao acaso (sem efeito na população)




Célia Sales - UAL
Teste t no Spss
                                    8


   O teste t testa se a média de dois grupos é
      significativamente diferente
         1 variável categorial: Variável independente ou factor,
          variável que define os grupos a comparar (Ex: Sexo)
         e uma variável quantitativa: Variável dependente,
          variável cuja média queremos comparar nos dois
          grupos (Ex: Idade)
      Será que homens e mulheres têm uma idade
        significativamente diferente?



Célia Sales - UAL
t-test para amostras independentes no SPSS
                              9

Analyse – Compare Means - Independent Samples T
                      test

Caixa Test Variable: variável dependente (variável cujas
  médias se pretendem comparar. Ex: consumo café)
Caixa Grouping Variable:
 Variável independente (variável que define os 2 grupos de
  sujeitos que serão comparados. Ex: sexo)
Define Groups:
 Coloque os valores das categorias correspondentes aos 2
  grupos a comparar


Célia Sales - UAL
Interpretação do output
                                  10


  1.       Veja a coluna Levene’s Test for Equality of
           Variance:

          Se Sig. é menor que 0.05, não há homogeneidade
           de variâncias, logo, devemos usar a linha Equal
           variances not assumed
          Se Sig. é maior ou igual a 0.05, usar os resultados
           da linha Equal variances assumed




Célia Sales - UAL
Interpretar e reportar o Output
                                          11

  1.       Observe o valor das médias, para compreender como
           diferem os grupos

  2.       Reporte o valor do teste t, graus de liberdade df, e p

  3.       Reporte também os valores das médias M e os
           respectivos Erros Padrão SE


    Exemplo:
    Em média, os alunos absentistas da área A são mais jovens (M = 13.16, SE
    = 0.19) que os alunos absentistas da área B (M = 14.30, SE = 0.12). Esta
    diferença é estatisticamente significativa, t(381.549)= - 5.047, p = 0.000.


Célia Sales - UAL
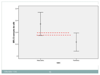
Error Bar Charts
                           12




   Na fase de exploração dos dados, antes de
   procedermos aos testes de hipóteses sobre
   diferenças entre médias, há vantagens em realizar
   sempre este tipo de gráficos.

   Vamos supor que os dois grupos provêm de
   populações diferentes. Vamos representar, para
   cada grupo a média e o intervalo de confiança.

Célia Sales - UAL
Error Bar Charts
                                      13

     Gráficos que representam a média e o intervalo de
     confiança dos vários grupos a comparar.

              No SPSS (para amostras independentes):

     GRAPHS – LEGACY DIALOGUES - ERROR BAR – SIMPLE
     (SUMMARIES FOR GROUPS OF CASES) – DEFINE:

              VARIABLE (variável cuja média se pretende comparar)
              CATEGORY AXIS (variável que define os grupos a comparar)




Célia Sales - UAL
Error Bar Charts: Interpretação
                               14

 O Error Bar Chart mostra os limites dentro dos
   quais se encontra, com 95% de certeza, o valor
   verdadeiro da média (i.e., média da população)

 Quando os intervalos de confiança de vários
   grupos se sobrepõem, as médias das populações de
   onde provêm os grupos serão provavelmente
   bastante próximas




Célia Sales - UAL
Célia Sales - UAL   15
Leitura de apoio
                           16

 Field (2010), cap. 9




Célia Sales - UAL

Teste t student

  • 1.
  • 2.
    Conteúdos 2  Teste t-Student para amostras independentes  Lógica do cálculo do teste  Cálculo e interpretação no SPSS Célia Sales - UAL
  • 3.
    Teste t 3 O teste t testa se a média de dois grupos é significativamente diferente Será que homens e mulheres têm peso significativamente diferente? Presente na população, com elevada probabilidade Célia Sales - UAL
  • 4.
    4 Quero comparar amédia de dois grupos. Posso aplicar o teste t? Verificação de pressupostos de testes paramétricos Célia Sales - UAL
  • 5.
    Lógica do t-test (Field, 2005, p. 286-287) 5 O Teste t compara (no numerador) Diferença entre as médias Diferença que obteríamos devido ao dos grupos a comparar acaso (sem diferença “real na (diferenças observadas) população”, i.e. quando H0 é verdadeira) entre as médias das amostras Tendo em conta a variabilidade entre as amostras, na população (no denominador) Célia Sales - UAL
  • 6.
    Lógica do t-test 6 (É zero!) Observed difference Expected difference between sample means - between population means (se h0 verdadeira) t = ________________________________________ Estimate of SE of the difference betweeen two samples Célia Sales - UAL
  • 7.
    Lógica do t-test (Field, 2005, p. 286-287) 7 Usa o SE como uma medida da variabilidade entre as médias das amostras:  Se SE é PEQUENO: esperamos que quase todas as amostras tenham uma média semelhante (DIFERENÇAS entre as médias serão provavelmente PEQUENAS)  Se SE é GRANDE: esperamos obter diferenças grandes entre as médias das amostras devido ao acaso (sem efeito na população) Célia Sales - UAL
  • 8.
    Teste t noSpss 8  O teste t testa se a média de dois grupos é significativamente diferente  1 variável categorial: Variável independente ou factor, variável que define os grupos a comparar (Ex: Sexo)  e uma variável quantitativa: Variável dependente, variável cuja média queremos comparar nos dois grupos (Ex: Idade) Será que homens e mulheres têm uma idade significativamente diferente? Célia Sales - UAL
  • 9.
    t-test para amostrasindependentes no SPSS 9 Analyse – Compare Means - Independent Samples T test Caixa Test Variable: variável dependente (variável cujas médias se pretendem comparar. Ex: consumo café) Caixa Grouping Variable:  Variável independente (variável que define os 2 grupos de sujeitos que serão comparados. Ex: sexo) Define Groups:  Coloque os valores das categorias correspondentes aos 2 grupos a comparar Célia Sales - UAL
  • 10.
    Interpretação do output 10 1. Veja a coluna Levene’s Test for Equality of Variance:  Se Sig. é menor que 0.05, não há homogeneidade de variâncias, logo, devemos usar a linha Equal variances not assumed  Se Sig. é maior ou igual a 0.05, usar os resultados da linha Equal variances assumed Célia Sales - UAL
  • 11.
    Interpretar e reportaro Output 11 1. Observe o valor das médias, para compreender como diferem os grupos 2. Reporte o valor do teste t, graus de liberdade df, e p 3. Reporte também os valores das médias M e os respectivos Erros Padrão SE Exemplo: Em média, os alunos absentistas da área A são mais jovens (M = 13.16, SE = 0.19) que os alunos absentistas da área B (M = 14.30, SE = 0.12). Esta diferença é estatisticamente significativa, t(381.549)= - 5.047, p = 0.000. Célia Sales - UAL
  • 12.
    Error Bar Charts 12 Na fase de exploração dos dados, antes de procedermos aos testes de hipóteses sobre diferenças entre médias, há vantagens em realizar sempre este tipo de gráficos. Vamos supor que os dois grupos provêm de populações diferentes. Vamos representar, para cada grupo a média e o intervalo de confiança. Célia Sales - UAL
  • 13.
    Error Bar Charts 13 Gráficos que representam a média e o intervalo de confiança dos vários grupos a comparar. No SPSS (para amostras independentes): GRAPHS – LEGACY DIALOGUES - ERROR BAR – SIMPLE (SUMMARIES FOR GROUPS OF CASES) – DEFINE: VARIABLE (variável cuja média se pretende comparar) CATEGORY AXIS (variável que define os grupos a comparar) Célia Sales - UAL
  • 14.
    Error Bar Charts:Interpretação 14  O Error Bar Chart mostra os limites dentro dos quais se encontra, com 95% de certeza, o valor verdadeiro da média (i.e., média da população)  Quando os intervalos de confiança de vários grupos se sobrepõem, as médias das populações de onde provêm os grupos serão provavelmente bastante próximas Célia Sales - UAL
  • 15.
  • 16.
    Leitura de apoio 16  Field (2010), cap. 9 Célia Sales - UAL