PROPOSTA
INTERDISCIPLINAR
MATEMÁTICA E
BIOLOGIA
FRIJOF CAPRA
A teia da vida (interdependência) parte 7
http://www.youtube.com/watch?v=C2hNjTV-GAM
DIRETRIZES CURRICULARES
NACIONAIS PARA O ENSINO MÉDIO
 Na perspectiva escolar, a interdisciplinaridade não tem a
pretensão de criar novas disciplinas ou saberes, mas de utilizar os
conhecimentos de várias disciplinas para resolver um problema
concreto ou compreender um determinado fenômeno sob
diferentes pontos de vista. Em suma, a interdisciplinaridade tem
uma função instrumental. Trata-se de recorrer a um saber
diretamente útil e utilizável para responder às questões e aos
problemas sociais contemporâneos. (p. 21)
 A integração dos diferentes conhecimentos pode criar as
condições necessárias para uma aprendizagem motivadora, na
medida em que ofereça maior liberdade aos professores e alunos
para a seleção de conteúdos mais diretamente relacionados aos
assuntos ou problemas que dizem respeito à vida da comunidade.
(p. 22)
Desafios na prática docente:
 Elos entre as disciplinas;
 Necessidade de atualização;
 Contextualização;
 Planejamentos e avaliação;
 Uso de ferramentas tecnológicas;
 Diálogo;
4
CONTEÚDOS ESTRUTURANTES,
ESPECÍFICOS E BÁSICOS
BiologiaBiologia
MatemáticaMatemática
BiodiversidadeBiodiversidade
Tratamento da
Informação
Tratamento da
Informação
Estudo das
Probabilidades
Estudo das
Probabilidades
Transmissão de
características
hereditárias
Transmissão de
características
hereditáriasProbabilidade e
Genética
Probabilidade e
Genética
JUSTIFICATIVA
• A genética é, talvez, o ramo da
Biologia que mais utiliza os conceitos
matemáticos envolvidos na teoria das
probabilidades.
• Adotarmos essa abordagem
interdisciplinar é dar condições para
que os alunos construam seu
conhecimento de forma integrada,
facilitando a efetiva aprendizagem.
OBJETIVO
• Garantir que os estudantes
compreendam os conceitos biológicos e
sejam capazes de interpretar e resolver
problemas através das ferramentas
probabilísticas.
CRITÉRIOS DE AVALIAÇÃO
• Reconhecer os cromossomos como estruturas
nas quais os genes se localizam e relacionar
os conceitos: cromossomos homólogos, loco
gênico, alelos, homozigoto, heterozigoto.
• Compreender que a hereditariedade se
baseia na transmissão de genes e que este fato
está relacionado à variabilidade de seres
vivos.
• Relacionar o processo de meiose à
segregação independente dos cromossomos e
dos alelos de um gene e compreender que a
combinação dos gametas na fecundação
CRITÉRIOS DE AVALIAÇÃO
• Reconhecer um experimento aleatório.
• Determinar o espaço amostral de um
experimento aleatório.
• Interpretar e resolver problemas através das
ferramentas probabilísticas.
• Compreender a utilização do Binômio de
Newton.
• Aplicar a fórmula de Newton no
desenvolvimento de binômios
contextualizando o conhecimento.
AÇÕES DIDÁTICAS
• Inicia-se com o professor de biologia
discutindo e revisando conceitos básicos
de genética.
• Em paralelo, o professor de matemática
inicia com os conceitos de
probabilidade.
Conceitos Básicos em
Genética
CROMOSSOMO
Um cromossomo ou cromossoma é uma longa
sequência de DNA, que contém vários genes,
e outras sequências de nucleotídeos com funções
específicas nas células dos seres vivos.
GENE
Segmento da molécula de DNA que contém uma
informação genética.
 Considerado a unidade básica da herança.
 Normalmente é representado por letras.
 Cada gene codifica a síntese de um polipeptídeo que direta,
ou indiretamente, determinará uma característica do indivíduo.
Há características condicionadas por um gene e outras
por dois ou mais genes.
Gene: Segmento do DNA
Alelos ou Alelomorfos
• São genes situados no mesmo locus em cromossomos
homólogos. Estão, portanto, envolvidos com a
determinação do mesmo caracter. Podem ser iguais ou
diferentes.
Gene Dominante:
• Aquele que se expressa tanto em dose dupla
quanto em dose simples. É representado por
letras maiúsculas.
• AA/Aa
Gene recessivo
• Aquele que se expressa apenas em dose dupla.
É representado por letras minúsculas.
aa
CARIÓTIPO
GENOMA
Cromossomos Homólogos:
• São cromossomos que possuem a mesma
forma, o mesmo tamanho e a mesma seqüência
de informação genética. Aparecem aos pares
nas células diplóides, sendo um de origem
materna e outro de origem paterna.
Locus Gênico
• Local específico nos cromossomos onde estão
situados os genes.O plural de locus é Loci.
Genótipo
• Conjunto de genes de um indivíduo para uma
ou mais características. É a própria constituição
genética do indivíduo.
• AA, Aa ou aa
• BB, Bb ou bb
Fenótipo:
– É a expressão do genótipo no ambiente. Representa
o conjunto de aspectos visíveis ou não de um
indivíduo resultante da ação do genótipo com o
meio.
• FENÓTIPO = GENÓTIPO + AMBIENTE
Bronzeamento
Homozigoto:
• Aquele que apresenta os alelos idênticos para
uma determinada característica. Exemplos: AA,
aa, BB, bb...
Pode ser dominante – AA < BB
Pode ser recessivo _ aa , bb
Heterozigoto:
• Aquele que possui os alelos diferentes para
uma determinada característica. Exemplos:
Aa, Bb, Cc, Dd.
HEREDOGRAMA/ GENOGRAMA
“Sua mãe e eu
Seu irmão e eu
E a mãe do seu irmão
Meus irmãos e eu
E os pais de sua mãe
E a irmã de sua mãe
Lhe damos as boas
vindas
Boas vindas, boas vindas
Venha conhecer a vida
Eu digo que ela é
gloriosa
Tem o sol e tem a lua
Tem o medo e tem a rosa
”Boas vindas”, de Caetano Veloso
Eu digo que ela é gostosa
tem a noite e tem o dia
A poesia e tem a prosa
Eu digo que ela é gostosa
Tem a morte e tem o amor
Tem o mote e tem a glosa
Eu digo que ela é
gostosa...”
Fenocópia:
• É quando um indivíduo exibe, por efeito de fatores
ambientais, características para as quais ele não
possui o genótipo correspondente. Um exemplo é a
cor dos cabelos modificada pele uso de tinturas.
Fenocópia
GENÉTICA
LEIS DA GENÉTICA
Lei da Segregação
- Genótipo/Fenótipo
- Dominância /Recessividade
- Pleiotropia
- Alelos Letais
- Alelos Múltiplos
Lei da segregação independente dos genes
- Interação Gênica
- Epistasia
- Herança Quantitativa/poligênica
Genética pós Mendeliana-
- Mapeamento Cromossômico
- Ligação Gênica
- Herânça e Sexo
ANTÍGENOS DO SISTEMA ABO e
TIPOS (GRUPOS) SANGUÍNEOS
Possibilidades de transfusão
• Para ocorrer a transfusão de sangue,
deve haver compatibilidade entre as
hemácias do doador e o plasma do
receptor, isto é, o receptor não tem
aglutinina contra os aglutinogênios do
sangue que está recebendo.
• Tipo O = doador universal, não possui
aglutinogênio.
Sistema Rh
• Um indivíduo Rh negativo só deve
receber transfusão de sangue Rh
negativo. Caso receba sangue Rh
positivo, haverá sua sensibilização e a
formação de anticorpos Anti-Rh.
• Eritroblastose fetal: destruição do
sangue do feto Rh+, gestado por mãe
Rh- (a partir da 2ª gestação).
A SORTE ESTÁ LANÇADA!
• Em duplas ou trios construir em uma
folha uma tabela 13 colunas.
• Nomear cada coluna com os números
do 1 ao 13: 1 2 3 4 5 6 7 8 9 10 11 12 13
• Cada participante escolhe um símbolo (Δ, ,
) e distribui os mesmos nas colunas.
(número de símbolos fica a critério do
professor)
• Em seguida distribui-se 2 dados para cada
dupla ou trio. Cada participante joga os dados
e soma os resultados.
• Cada soma elimina símbolos dispostos nas
colunas.
• Por Ex: 2 + 4 = 6, se o participante que marcou
com seu símbolo na coluna 6 fará ponto
eliminando seu símbolo.
• Anotar o número de vezes que cada soma foi
obtida.
• Ganha o jogo quem eliminar todos os símbolos.
DISCUSSÃO DA ATIVIDADE
• Entre 50 lançamentos, posso afirmar que
a soma com mais chance de ser obtida é
8?
• A soma 6 tem chances maiores de ser
obtida do que a soma 3? Por quê?
• É possível obter soma 1? E soma 13?
DISCUSSÃO DA ATIVIDADE
• Construir um gráfico com as frequências
de somas obtidas.
• É correto afirmar que para todas as
duplas/trios a maior frequência obtida,
por ex., é 9? Por quê?
Espaço
Amostral
Evento
Experimento
aleatório
Evento certo
Evento impossível
INTUITIVAMENTE CHEGAMOS
A....
• PROBABILIDADE de um acontecimento
ocorrer é dada pela razão entre o
número de resultados favoráveis a esse
acontecimento pelo número de
resultados possíveis, ou seja:
UM POUCO DA HISTÓRIA DA
PROBABILIDADE...
• Com base nesse vídeo, é possível que
os alunos produzam um vídeo ou
teatro sobre essa temática?
http://www.youtube.com/watch?v=h_bXJcQgkPM
Um casal pretende ter dois
filhos. Qual é a chance do
primogênito ser homem?
 Esse exemplo clássico elucida
melhor os conhecimentos prévios
dos alunos, pois corresponde a uma
situação presenciada pelos mesmos.
Aa
(P1)
Aa
Diagrama de Punnet
Considerando que o
Alelo A é dominante,
(planta alta), quais são as
chances de nascer uma
planta anã?
Primeira Lei
de Mendel
RESULTADO
• Genótipos AA, Aa
resultam em
plantas altas
enquanto o
genótipo aa resulta
em planta anã.
• Assim a geração F1
contém uma planta
anã entre quatro.
• A chance de nascer uma planta anã é de 1
entre 4.
• Utilizando a probabilidade podemos
sistematizar por:
• P(A)= = 25%
Podemos falar ainda que temos a proporção
1:2:1.
4
1
Mendel cruzou duas variedades de
Mirabilis jalapa, uma com flores
vermelhas e outra com flores brancas. Na
geração F1 todas as flores eram rosas.
Indique qual será o resultado do
cruzamento da variedade de flores rosas
(F2).
Popular Maravilha
Primeira Lei de Mendel
Resposta
(F1)
• VV x bb
100% Flores Rosas
(F2)
• Vb x Vb
V V
b Vb Vb
b Vb Vb
V b
V VV Vb
b Vb bb
25% Flores Vermelhas
50% Flores Rosas
25% Flores Brancas
• As ovelhas de cor branca tem o
genótipo (ww) em relação a esse
caráter; a coloração preta depende de
um gene (W). De um carneiro preto
cruzado com uma ovelha branca
resultou um cordeiro branco. Qual a
probabilidade de a próxima cria ser
branca?
RESPOSTA
(F1)
• Ww x ww
• 50% cordeiro branco
W w
w Ww ww
w Ww ww
GENES LETAIS
Em drosófilas, o gene a mata os
indivíduos homozigotos ainda na
fase embrionária. Sabendo-se que
do cruzamento entre indivíduos
heterozigotos nasceram 600
descendentes, teoricamente,
quantos deverão ser heterozigotos ?
• Do cruzamento Aa x Aa, temos que:
1/4  =>aa morrem
1/4 => AA
1/2 => Aa
Se NASCERAM 600 descendentes, 1/3
será homozigoto (AA) e 2/3 será
heterozigoto (Aa). Portanto, serão 200
AA e 400 Aa.
• No homem, duas condições anormais,
catarata nos olhos e fragilidade óssea
excessiva, parecem depender de genes
dominantes localizados em cromossomos
diferentes. Um homem com catarata e
ossos normais, cujo pai tinha olhos
normais, casou-se com uma mulher que
não tinha catarata mas com ossos frágeis.
O pai dela tinha ossos normais. Qual a
probabilidade de que o primeiro filho:
• a) não apresente essas anormalidades;
• b) tenha catarata e ossos normais;
• c) tenha ossos frágeis e olhos normais;
• d) apresente catarata e ossos frágeis?
• a) não apresente essas anormalidades;
• b) tenha catarata e ossos normais;
• c) tenha ossos frágeis e olhos normais;
• d) apresente catarata e ossos frágeis?
a) ¼ ; b) ¼ ; c) ¼ ; d) ¼
Homem x Mulher
Ccoo x ccOo
cO co
Co CcOo Ccoo
co ccOo ccoo
E QUANDO TEMOS DOIS
EVENTOS...
Qual é a probabilidade de um casal
heterozigoto ter um filho do sexo
masculino e albino?
– Sabemos que a probabilidade de nascer um
filho albino não depende do sexo, portanto,
temos eventos chamados INDEPENDENTES.
EVENTOS INDEPENDENTES
• Dois eventos são independentes
quando a realização ou a não‐
realização de um dos eventos não
afeta a probabilidade da realização
do outro e vice versa.‐
REGRA DA
MULTIPLICAÇÃO “E”
• Se dois ou mais eventos são
independentes, a probabilidade deles
ocorrerem simultaneamente é igual ao
produto das probabilidades de
ocorrerem separadamente.
DESTA FORMA:
• A probabilidade de um casal heterozigoto ter
um filho do sexo masculino e albino será dada
por:
p(A∩B)= ½ x ¼ = 1/8 = 12,5%
• (FEEQ-CE) A capacidade de sentir o
gosto de uma substância amarga
chamada feniltiocarbamida (PTC)
deve-se a um gene dominante. A
probabilidade de um casal (sensível a
essa substância e heterozigótico) ter
um filho do sexo feminino e sensível ao
PTC é:
2ª Lei de Mendel
Sensível = PP ou Pp Pp x Pp
Não sensível = pp
Sensível = ¾
menina = 1/2
Resposta: 3/4 x 1/2 = 3/8
P p
P PP Pp
p Pp pp
• O esquema ao lado
representa o
resultado da tipagem
sanguínea de um
casal. Sabendo que a
mulher é filha de pai
pertencente ao tipo
O, Rh-
, a
probabilidade desse
casal ter uma criança
pertencente ao tipo
AB, Rh+
é de :
GRUPOS SANGUÍNEOS DO SISTEMA ABO
• A porcentagem dos grupos sanguíneos na
população brasileira é aproximadamente
igual à da população mundial. Salvo em
determinados grupos étnicos (com pouca ou
nenhuma miscigenação), como os índios
brasileiros onde a quase totalidade dos
indivíduos é do grupo O+.
• * Dados aproximados
• Fonte: http://www.saude.pr.gov.br/modules/conteudo/conteudo.php?conteudo=198
• * Dados aproximados
• Fonte: http://www.saude.pr.gov.br/modules/conteudo/conteudo.php?conteudo=198
ATIVIDADE
• Com os dados anteriores é possível
calcular a probabilidade da incidência de
pessoas que pertencem a determinado
grupo sanguíneo.
• Desta forma calcule:
a)A probabilidade de uma pessoa pertencer
ao grupo A+
grupo AB-
b) Descreva todos os tipos sanguíneos
• A identificação de 4 bebês de um berçário
foi perdida. Os bebês e os 4 casais que
tiveram filho no mesmo dia foram tipados e
os resultados são os seguintes:
• Faça a correspondência entre os bebês e
seus pais.
bebês Progenitores
1 O a)AB x O
2 A b)A x O
3 B c)A x B
4 AB d)O x O
• A identificação de 4 bebês de um berçário
foi perdida. Os bebês e os 4 casais que
tiveram filho no mesmo dia foram tipados e
os resultados são os seguintes:
• Faça a correspondência entre os bebês e
seus pais.
1d, 2b, 3a, 4c
bebês Progenitores
1 O a)AB x O
2 A b)A x O
3 B c)A x B
4 AB d)O x O
NA MATEMÁTICA...
• Que atividades podem ser
realizadas com base no sistema
sanguíneo ABO?
• Os percentuais obtidos em sala
condizem com o mostrado no
gráfico?
OUTRA SITUAÇÃO
• Um casal de indivíduos heterozigotos para
o albinismo deseja saber qual é a
probabilidade de seu primeiro filho nascer
homozigoto recessivo ou heterozigoto
dominante, como calcular?
- Nesse caso, se nascer homozigoto,
obrigatoriamente não será heterozigoto
dominante. E, se nascer heterozigoto
dominante, obrigatoriamente não será
homozigoto.
RETROCRUZAMENTO OU CRUZAMENTO-TESTE
EVENTOS MUTUAMENTE
EXCLUSIVOS
• Quando a ocorrência de um evento
exclui a possibilidade da ocorrência
de outro e vice-versa, eles são
chamados eventos mutuamente
exclusivos.
REGRA DA SOMA “ OU”
• A probabilidade de dois ou mais eventos
mutuamente exclusivos ocorrerem é
igual à soma das probabilidades de
cada evento ocorrer.
• Desta forma a probabilidade de um casal de
indivíduos heterozigotos para o albinismo ter
seu primeiro filho homozigoto recessivo OU
heterozigoto dominante é dada por:
p(AUB) = ¼ + ½ = ¾ = 75%
ACONSELHAMENTO
GENÉTICO
• https://www.youtube.com/watch?v=rkwLpEKb68w&feature=plcp
• O binômio de Newton, desenvolvido
em 1667 por Isaac Newton, daí seu
nome, trata dos números binomiais
em forma de coeficiente de um
polinômio regular do tipo (a+b)n
.
NÚMERO BINOMIAL
O número total de combinações de n elementos,
tomados p a p, também é chamado de NÚMERO
binomial representado por
lê-se: n sobre p. Por analogia com as
frações, dizemos que n é o seu numerador
e p, o  denominador.
Cn,p=
TRIÂNGULO DE PASCAL
• A  disposição 
ordenada  dos
números   binomiais,  
como  na tabela ao
lado, recebe  o 
nome   de Triângulo
de Pascal
Os números binomiais com o mesmo numerador
são escritos na mesma linha e os de mesmo
denominador, na mesma coluna
Substituindo cada número binomial pelo seu
respectivo valor, temos:
Fórmula do Desenvolvimento
do Binômio de Newton
Observe que os expoentes da variável a
decrescem de n até 0 e os expoentes de b
crescem de 0 até n
Denomina-se Binômio de Newton , a todo binômio
da forma (a + b)n
, sendo n um número natural. .
BINÔMIO DE NEWTON
• Observações:
1) o desenvolvimento do binômio (a + b)n
é um
polinômio.
2) o desenvolvimento de (a + b)n
possui n + 1
termos .
3) os coeficientes dos termos equidistantes dos
extremos , no desenvolvimento de 
(a + b)n
são iguais .
4) a soma dos coeficientes de (a + b)n
é igual a
2n
.
MÉTODO BINOMIAL APLICADO
A PROBABILIDADE
• Trata-se de uma distribuição de
probabilidade adequada aos
experimentos que apresentam
apenas dois resultados (sucesso
ou fracasso).
Este modelo fundamenta-se nas seguintes hipóteses:
• São realizadas n experimentos do mesmo tipo
(idênticos);
• Cada experimento admite dois resultados possíveis,
um chamado sucesso e o outro fracasso;
• As probabilidades p, de sucesso, e q = 1 – p, de
fracasso, permanecem constantes em todos os
experimentos;
• Os resultados dos experimentos são independentes.
• O desenvolvimento de uma
expressão binomial, dá como
resultado todas as possíveis
combinações de p e q em n
eventos.
Exemplos:
• Atirar em um alvo, atingindo-o ou
não;
• Fumantes ou não fumantes em
um grupo de adultos;
• Alunos de uma escola vacinados
ou não vacinados.
Exemplos
• Respostas de um teste como diversas
questões do tipo V ou F;
• Escolha entre um produto bom ou
defeituoso;
• Sexo das crianças nascidas em
determinada maternidade;
Exemplo!
• Um casal deseja ter 3 filhos, sendo dois
filhos homens e uma mulher em
qualquer ordem. Calcule a
probabilidade desse fato acontecer.
• Representamos o nascimento de um
menino por M e o nascimento de uma
menina por F, temos:
p(M) = p = ½
p(F)=q= ½
A={FFF, MMM, MFF, MFM, MMF, FMF,
FMM, FFM}
p+q=1
• Como experimentalmente sabemos que
cada nascimento é independente de
nascimentos anteriores, temos:
• p(MMM)= p(M).p(M).p(M)=p.p.p=p3
• p(MFF)= p(M).p(F).p(F)=p.q.q= pq2
• p(MFM)= p(M).p(F).p(M)=p.q.p= p2
q
• p(MMF)= p(M).p(M).p(F)=p.p.q= p2
q
• p(FFM)= p(F).p(F).p(M)= q.q.p= pq2
• p(FMF)= p(F).p(M).p(F)= q.p.q= pq2
• p(FMM)= p(F).p(M).p(M)= q.p.p= p2
q
• p(FFF)= p(F).p(F).p(F)= q.q.q= q3
• Se não considerarmos a ordem dos
nascimentos, as possibilidades se reduzem a
MMM, MMF, MFF e FFF e as probabilidades
correspondem a:
p(MMM)= p3
p(MMF)= 3 p2
q
p(MFF)= 3 pq2
p(FFF)= q3
escrevemos: p3
+ 3 p2
q+ 3 pq2
+ q3
=1 , que é a
expressão binomial (p+q)3
=1
p3
+ 3p2
q+ 3pq2
+q3
= 1
• Probabilidade de que as 3 crianças sejam
meninos= p3= ½ x ½ x ½ = 1/8
• Probabilidade de que 2 crianças sejam meninos
e uma menina= 3p2q= 3(½ x ½ )x ½ = 3/8
• Probabilidade de que 2 crianças sejam meninas
e um menino= 3pq2= 3½ x (½ x ½ )= 3/8
• Probabilidade de que as 3 crianças sejam
meninas= q3= ½ x ½ x ½ = 1/8
• Observamos que:
1p3
+ 3 p2
q+ 3 pq2
+1q3
= p3
+ p2
q + pq2
+ q3






0
3






1
3






2
3






3
3
Ou seja : o desenvolvimento de uma
expressão binomial, dá como
resultado todas as possíveis
combinações de p e q em n eventos.
Um casal pretende ter 5 filhos e deseja
saber qual é a probabilidade de ter:
a)5 meninos em qualquer ordem
b)2 meninos e 3 meninas em qualquer
ordem
c)1 menino e 4 meninas em qualquer
ordem
Utilizando a forma geral
• A probabilidade de A ocorrer em k as n vezes é
dada por pk
qn-k.
Sendo
p(M) = p = ½ p(F)=q= ½
a) 5 meninos= (½)5
(½)0
= 1/32
b) 2 meninos e 3 meninas= (½)2
(½)3
= 5/16
c)5/32






k
n






5
5






2
5
Outra aplicação do Binômio de
Newton
• Proporções Mendelianas
COR DA PELE HUMANA-
Herança quantitativa
• A cor da pele humana é resultado da concentração
de um pigmento marrom chamado melanina a qual é
determinada por no mínimo dois pares de genes,
que indicaremos pelas letras Nn e Bb.
• Aqui N e B determinarão uma grande quantidade de
melanina (são os alelos efetivos) e n e b uma
pequena quantidade (alelos não efetivos). Com isto
em mente, as pessoas NNBB serão negras e as nnbb
serão brancas. Entre estes dois extremos teremos os
mulatos com suas nuances: escuro, médio e claro.
Os cruzamentos possíveis entre um CASAL DE
MULATOS MÉDIOS estão representados
esquematicamente abaixo:
• Se denotarmos por p os alelos efetivos (N e B),
por q os alelos não efetivos (n e b) e
desenvolvermos o binômio de Newton com n
= 4 (número total de genes envolvidos nessa
característica), obteremos:
Repare , também, que a soma dos valores desta quinta
linha é igual a 16, que seria o denominador das frações
que expressam as proporções fenotípicas esperadas na
descendência do cruzamento entre dois duplos
heterozigotos nesta herança
(1/16+ 4/16+ 6/16+4/16+1/16)
A COR DOS OLHOS
• A cor da iris em humanos varia do azul claro,
passa pelo verde, ao quase negro. No entanto,
não existe pigmento azul, verde ou preto na iris
humana. A cor dos olhos e causada pela
distribuição de um simples pigmento marrom, a
melanina, o mesmo pigmento que adiciona cor
a pele e aos cabelos. A iris possui duas
camadas de pigmento, uma no fundo e outra na
frente. Se na frente não houver pigmento ou se
este for pouco, a iris parecera azul.
• A cor azul aparece em virtude da dispersão da
luz na camada frontal, vista de encontro ao
fundo escuro pigmentado pela melanina, do
mesmo modo como o céu parece azul, por causa
da dispersão da luz no ar em um fundo preto do
espaço.
• Quando mais melanina e incorporada na
camada frontal da retina, a cor da iris pode
tornar-se verde (azul, mais marrom amarelado),
marrom e finalmente quase negra.
• Possivelmente dois ou mais pares de genes
estão envolvidos na síntese direta de melanina
na parte frontal da iris, com cada gene tendo
dois alelos mostrando dominância incompleta, o
que dariam cinco classes de cor dos olhos
• Proporção 1:4:6:4:1
• Pelo menos dois genes independentes,
com dominância incompleta, controlam a
cor dos olhos. Um homem e uma mulher,
ambos heterozigotos para ambos os genes,
podem ter crianças com cinco tipos
diferentes de cor dos olhos, variando do
azul claro (sem alelos dominantes
incompletos), marrom claro (dois alelos
com dominância incompleta) ao negro
(todos os alelos dominantes incompletos).
(Adaptado de: AUDESIRK; AUDESIRK,
1986).
Interdisciplinaridade  biologia e matematica
Interdisciplinaridade  biologia e matematica

Interdisciplinaridade biologia e matematica

  • 1.
  • 2.
    FRIJOF CAPRA A teiada vida (interdependência) parte 7 http://www.youtube.com/watch?v=C2hNjTV-GAM
  • 3.
    DIRETRIZES CURRICULARES NACIONAIS PARAO ENSINO MÉDIO  Na perspectiva escolar, a interdisciplinaridade não tem a pretensão de criar novas disciplinas ou saberes, mas de utilizar os conhecimentos de várias disciplinas para resolver um problema concreto ou compreender um determinado fenômeno sob diferentes pontos de vista. Em suma, a interdisciplinaridade tem uma função instrumental. Trata-se de recorrer a um saber diretamente útil e utilizável para responder às questões e aos problemas sociais contemporâneos. (p. 21)  A integração dos diferentes conhecimentos pode criar as condições necessárias para uma aprendizagem motivadora, na medida em que ofereça maior liberdade aos professores e alunos para a seleção de conteúdos mais diretamente relacionados aos assuntos ou problemas que dizem respeito à vida da comunidade. (p. 22)
  • 4.
    Desafios na práticadocente:  Elos entre as disciplinas;  Necessidade de atualização;  Contextualização;  Planejamentos e avaliação;  Uso de ferramentas tecnológicas;  Diálogo; 4
  • 5.
    CONTEÚDOS ESTRUTURANTES, ESPECÍFICOS EBÁSICOS BiologiaBiologia MatemáticaMatemática BiodiversidadeBiodiversidade Tratamento da Informação Tratamento da Informação Estudo das Probabilidades Estudo das Probabilidades Transmissão de características hereditárias Transmissão de características hereditáriasProbabilidade e Genética Probabilidade e Genética
  • 6.
    JUSTIFICATIVA • A genéticaé, talvez, o ramo da Biologia que mais utiliza os conceitos matemáticos envolvidos na teoria das probabilidades. • Adotarmos essa abordagem interdisciplinar é dar condições para que os alunos construam seu conhecimento de forma integrada, facilitando a efetiva aprendizagem.
  • 7.
    OBJETIVO • Garantir queos estudantes compreendam os conceitos biológicos e sejam capazes de interpretar e resolver problemas através das ferramentas probabilísticas.
  • 8.
    CRITÉRIOS DE AVALIAÇÃO •Reconhecer os cromossomos como estruturas nas quais os genes se localizam e relacionar os conceitos: cromossomos homólogos, loco gênico, alelos, homozigoto, heterozigoto. • Compreender que a hereditariedade se baseia na transmissão de genes e que este fato está relacionado à variabilidade de seres vivos. • Relacionar o processo de meiose à segregação independente dos cromossomos e dos alelos de um gene e compreender que a combinação dos gametas na fecundação
  • 9.
    CRITÉRIOS DE AVALIAÇÃO •Reconhecer um experimento aleatório. • Determinar o espaço amostral de um experimento aleatório. • Interpretar e resolver problemas através das ferramentas probabilísticas. • Compreender a utilização do Binômio de Newton. • Aplicar a fórmula de Newton no desenvolvimento de binômios contextualizando o conhecimento.
  • 10.
    AÇÕES DIDÁTICAS • Inicia-secom o professor de biologia discutindo e revisando conceitos básicos de genética. • Em paralelo, o professor de matemática inicia com os conceitos de probabilidade.
  • 11.
  • 12.
    CROMOSSOMO Um cromossomo oucromossoma é uma longa sequência de DNA, que contém vários genes, e outras sequências de nucleotídeos com funções específicas nas células dos seres vivos.
  • 13.
    GENE Segmento da moléculade DNA que contém uma informação genética.  Considerado a unidade básica da herança.  Normalmente é representado por letras.  Cada gene codifica a síntese de um polipeptídeo que direta, ou indiretamente, determinará uma característica do indivíduo. Há características condicionadas por um gene e outras por dois ou mais genes. Gene: Segmento do DNA
  • 14.
    Alelos ou Alelomorfos •São genes situados no mesmo locus em cromossomos homólogos. Estão, portanto, envolvidos com a determinação do mesmo caracter. Podem ser iguais ou diferentes.
  • 15.
    Gene Dominante: • Aqueleque se expressa tanto em dose dupla quanto em dose simples. É representado por letras maiúsculas. • AA/Aa
  • 16.
    Gene recessivo • Aqueleque se expressa apenas em dose dupla. É representado por letras minúsculas. aa
  • 18.
  • 19.
  • 20.
    Cromossomos Homólogos: • Sãocromossomos que possuem a mesma forma, o mesmo tamanho e a mesma seqüência de informação genética. Aparecem aos pares nas células diplóides, sendo um de origem materna e outro de origem paterna.
  • 21.
    Locus Gênico • Localespecífico nos cromossomos onde estão situados os genes.O plural de locus é Loci.
  • 22.
    Genótipo • Conjunto degenes de um indivíduo para uma ou mais características. É a própria constituição genética do indivíduo. • AA, Aa ou aa • BB, Bb ou bb
  • 23.
    Fenótipo: – É aexpressão do genótipo no ambiente. Representa o conjunto de aspectos visíveis ou não de um indivíduo resultante da ação do genótipo com o meio. • FENÓTIPO = GENÓTIPO + AMBIENTE
  • 24.
  • 25.
    Homozigoto: • Aquele queapresenta os alelos idênticos para uma determinada característica. Exemplos: AA, aa, BB, bb... Pode ser dominante – AA < BB Pode ser recessivo _ aa , bb
  • 26.
    Heterozigoto: • Aquele quepossui os alelos diferentes para uma determinada característica. Exemplos: Aa, Bb, Cc, Dd.
  • 28.
  • 29.
    “Sua mãe eeu Seu irmão e eu E a mãe do seu irmão Meus irmãos e eu E os pais de sua mãe E a irmã de sua mãe Lhe damos as boas vindas Boas vindas, boas vindas Venha conhecer a vida Eu digo que ela é gloriosa Tem o sol e tem a lua Tem o medo e tem a rosa ”Boas vindas”, de Caetano Veloso Eu digo que ela é gostosa tem a noite e tem o dia A poesia e tem a prosa Eu digo que ela é gostosa Tem a morte e tem o amor Tem o mote e tem a glosa Eu digo que ela é gostosa...”
  • 31.
    Fenocópia: • É quandoum indivíduo exibe, por efeito de fatores ambientais, características para as quais ele não possui o genótipo correspondente. Um exemplo é a cor dos cabelos modificada pele uso de tinturas.
  • 32.
  • 33.
  • 34.
    LEIS DA GENÉTICA Leida Segregação - Genótipo/Fenótipo - Dominância /Recessividade - Pleiotropia - Alelos Letais - Alelos Múltiplos Lei da segregação independente dos genes - Interação Gênica - Epistasia - Herança Quantitativa/poligênica Genética pós Mendeliana- - Mapeamento Cromossômico - Ligação Gênica - Herânça e Sexo
  • 35.
    ANTÍGENOS DO SISTEMAABO e TIPOS (GRUPOS) SANGUÍNEOS
  • 37.
    Possibilidades de transfusão •Para ocorrer a transfusão de sangue, deve haver compatibilidade entre as hemácias do doador e o plasma do receptor, isto é, o receptor não tem aglutinina contra os aglutinogênios do sangue que está recebendo. • Tipo O = doador universal, não possui aglutinogênio.
  • 38.
    Sistema Rh • Umindivíduo Rh negativo só deve receber transfusão de sangue Rh negativo. Caso receba sangue Rh positivo, haverá sua sensibilização e a formação de anticorpos Anti-Rh. • Eritroblastose fetal: destruição do sangue do feto Rh+, gestado por mãe Rh- (a partir da 2ª gestação).
  • 39.
    A SORTE ESTÁLANÇADA! • Em duplas ou trios construir em uma folha uma tabela 13 colunas. • Nomear cada coluna com os números do 1 ao 13: 1 2 3 4 5 6 7 8 9 10 11 12 13
  • 40.
    • Cada participanteescolhe um símbolo (Δ, , ) e distribui os mesmos nas colunas. (número de símbolos fica a critério do professor) • Em seguida distribui-se 2 dados para cada dupla ou trio. Cada participante joga os dados e soma os resultados. • Cada soma elimina símbolos dispostos nas colunas.
  • 41.
    • Por Ex:2 + 4 = 6, se o participante que marcou com seu símbolo na coluna 6 fará ponto eliminando seu símbolo. • Anotar o número de vezes que cada soma foi obtida. • Ganha o jogo quem eliminar todos os símbolos.
  • 42.
    DISCUSSÃO DA ATIVIDADE •Entre 50 lançamentos, posso afirmar que a soma com mais chance de ser obtida é 8? • A soma 6 tem chances maiores de ser obtida do que a soma 3? Por quê? • É possível obter soma 1? E soma 13?
  • 43.
    DISCUSSÃO DA ATIVIDADE •Construir um gráfico com as frequências de somas obtidas. • É correto afirmar que para todas as duplas/trios a maior frequência obtida, por ex., é 9? Por quê?
  • 44.
  • 45.
    INTUITIVAMENTE CHEGAMOS A.... • PROBABILIDADEde um acontecimento ocorrer é dada pela razão entre o número de resultados favoráveis a esse acontecimento pelo número de resultados possíveis, ou seja:
  • 46.
    UM POUCO DAHISTÓRIA DA PROBABILIDADE... • Com base nesse vídeo, é possível que os alunos produzam um vídeo ou teatro sobre essa temática? http://www.youtube.com/watch?v=h_bXJcQgkPM
  • 47.
    Um casal pretendeter dois filhos. Qual é a chance do primogênito ser homem?  Esse exemplo clássico elucida melhor os conhecimentos prévios dos alunos, pois corresponde a uma situação presenciada pelos mesmos.
  • 48.
    Aa (P1) Aa Diagrama de Punnet Considerandoque o Alelo A é dominante, (planta alta), quais são as chances de nascer uma planta anã? Primeira Lei de Mendel
  • 49.
    RESULTADO • Genótipos AA,Aa resultam em plantas altas enquanto o genótipo aa resulta em planta anã. • Assim a geração F1 contém uma planta anã entre quatro.
  • 50.
    • A chancede nascer uma planta anã é de 1 entre 4. • Utilizando a probabilidade podemos sistematizar por: • P(A)= = 25% Podemos falar ainda que temos a proporção 1:2:1. 4 1
  • 52.
    Mendel cruzou duasvariedades de Mirabilis jalapa, uma com flores vermelhas e outra com flores brancas. Na geração F1 todas as flores eram rosas. Indique qual será o resultado do cruzamento da variedade de flores rosas (F2). Popular Maravilha Primeira Lei de Mendel
  • 53.
    Resposta (F1) • VV xbb 100% Flores Rosas (F2) • Vb x Vb V V b Vb Vb b Vb Vb V b V VV Vb b Vb bb 25% Flores Vermelhas 50% Flores Rosas 25% Flores Brancas
  • 54.
    • As ovelhasde cor branca tem o genótipo (ww) em relação a esse caráter; a coloração preta depende de um gene (W). De um carneiro preto cruzado com uma ovelha branca resultou um cordeiro branco. Qual a probabilidade de a próxima cria ser branca?
  • 55.
    RESPOSTA (F1) • Ww xww • 50% cordeiro branco W w w Ww ww w Ww ww
  • 56.
    GENES LETAIS Em drosófilas,o gene a mata os indivíduos homozigotos ainda na fase embrionária. Sabendo-se que do cruzamento entre indivíduos heterozigotos nasceram 600 descendentes, teoricamente, quantos deverão ser heterozigotos ?
  • 57.
    • Do cruzamentoAa x Aa, temos que: 1/4  =>aa morrem 1/4 => AA 1/2 => Aa Se NASCERAM 600 descendentes, 1/3 será homozigoto (AA) e 2/3 será heterozigoto (Aa). Portanto, serão 200 AA e 400 Aa.
  • 58.
    • No homem,duas condições anormais, catarata nos olhos e fragilidade óssea excessiva, parecem depender de genes dominantes localizados em cromossomos diferentes. Um homem com catarata e ossos normais, cujo pai tinha olhos normais, casou-se com uma mulher que não tinha catarata mas com ossos frágeis. O pai dela tinha ossos normais. Qual a probabilidade de que o primeiro filho: • a) não apresente essas anormalidades; • b) tenha catarata e ossos normais; • c) tenha ossos frágeis e olhos normais; • d) apresente catarata e ossos frágeis?
  • 59.
    • a) nãoapresente essas anormalidades; • b) tenha catarata e ossos normais; • c) tenha ossos frágeis e olhos normais; • d) apresente catarata e ossos frágeis? a) ¼ ; b) ¼ ; c) ¼ ; d) ¼ Homem x Mulher Ccoo x ccOo cO co Co CcOo Ccoo co ccOo ccoo
  • 60.
    E QUANDO TEMOSDOIS EVENTOS... Qual é a probabilidade de um casal heterozigoto ter um filho do sexo masculino e albino? – Sabemos que a probabilidade de nascer um filho albino não depende do sexo, portanto, temos eventos chamados INDEPENDENTES.
  • 61.
    EVENTOS INDEPENDENTES • Doiseventos são independentes quando a realização ou a não‐ realização de um dos eventos não afeta a probabilidade da realização do outro e vice versa.‐
  • 62.
    REGRA DA MULTIPLICAÇÃO “E” •Se dois ou mais eventos são independentes, a probabilidade deles ocorrerem simultaneamente é igual ao produto das probabilidades de ocorrerem separadamente.
  • 63.
    DESTA FORMA: • Aprobabilidade de um casal heterozigoto ter um filho do sexo masculino e albino será dada por: p(A∩B)= ½ x ¼ = 1/8 = 12,5%
  • 64.
    • (FEEQ-CE) Acapacidade de sentir o gosto de uma substância amarga chamada feniltiocarbamida (PTC) deve-se a um gene dominante. A probabilidade de um casal (sensível a essa substância e heterozigótico) ter um filho do sexo feminino e sensível ao PTC é: 2ª Lei de Mendel
  • 65.
    Sensível = PPou Pp Pp x Pp Não sensível = pp Sensível = ¾ menina = 1/2 Resposta: 3/4 x 1/2 = 3/8 P p P PP Pp p Pp pp
  • 66.
    • O esquemaao lado representa o resultado da tipagem sanguínea de um casal. Sabendo que a mulher é filha de pai pertencente ao tipo O, Rh- , a probabilidade desse casal ter uma criança pertencente ao tipo AB, Rh+ é de :
  • 68.
    GRUPOS SANGUÍNEOS DOSISTEMA ABO • A porcentagem dos grupos sanguíneos na população brasileira é aproximadamente igual à da população mundial. Salvo em determinados grupos étnicos (com pouca ou nenhuma miscigenação), como os índios brasileiros onde a quase totalidade dos indivíduos é do grupo O+. • * Dados aproximados • Fonte: http://www.saude.pr.gov.br/modules/conteudo/conteudo.php?conteudo=198
  • 69.
    • * Dadosaproximados • Fonte: http://www.saude.pr.gov.br/modules/conteudo/conteudo.php?conteudo=198
  • 70.
    ATIVIDADE • Com osdados anteriores é possível calcular a probabilidade da incidência de pessoas que pertencem a determinado grupo sanguíneo. • Desta forma calcule: a)A probabilidade de uma pessoa pertencer ao grupo A+ grupo AB- b) Descreva todos os tipos sanguíneos
  • 71.
    • A identificaçãode 4 bebês de um berçário foi perdida. Os bebês e os 4 casais que tiveram filho no mesmo dia foram tipados e os resultados são os seguintes: • Faça a correspondência entre os bebês e seus pais. bebês Progenitores 1 O a)AB x O 2 A b)A x O 3 B c)A x B 4 AB d)O x O
  • 72.
    • A identificaçãode 4 bebês de um berçário foi perdida. Os bebês e os 4 casais que tiveram filho no mesmo dia foram tipados e os resultados são os seguintes: • Faça a correspondência entre os bebês e seus pais. 1d, 2b, 3a, 4c bebês Progenitores 1 O a)AB x O 2 A b)A x O 3 B c)A x B 4 AB d)O x O
  • 73.
    NA MATEMÁTICA... • Queatividades podem ser realizadas com base no sistema sanguíneo ABO? • Os percentuais obtidos em sala condizem com o mostrado no gráfico?
  • 74.
    OUTRA SITUAÇÃO • Umcasal de indivíduos heterozigotos para o albinismo deseja saber qual é a probabilidade de seu primeiro filho nascer homozigoto recessivo ou heterozigoto dominante, como calcular? - Nesse caso, se nascer homozigoto, obrigatoriamente não será heterozigoto dominante. E, se nascer heterozigoto dominante, obrigatoriamente não será homozigoto. RETROCRUZAMENTO OU CRUZAMENTO-TESTE
  • 75.
    EVENTOS MUTUAMENTE EXCLUSIVOS • Quandoa ocorrência de um evento exclui a possibilidade da ocorrência de outro e vice-versa, eles são chamados eventos mutuamente exclusivos.
  • 76.
    REGRA DA SOMA“ OU” • A probabilidade de dois ou mais eventos mutuamente exclusivos ocorrerem é igual à soma das probabilidades de cada evento ocorrer.
  • 77.
    • Desta formaa probabilidade de um casal de indivíduos heterozigotos para o albinismo ter seu primeiro filho homozigoto recessivo OU heterozigoto dominante é dada por: p(AUB) = ¼ + ½ = ¾ = 75%
  • 78.
  • 80.
    • O binômiode Newton, desenvolvido em 1667 por Isaac Newton, daí seu nome, trata dos números binomiais em forma de coeficiente de um polinômio regular do tipo (a+b)n .
  • 81.
    NÚMERO BINOMIAL O númerototal de combinações de n elementos, tomados p a p, também é chamado de NÚMERO binomial representado por lê-se: n sobre p. Por analogia com as frações, dizemos que n é o seu numerador e p, o  denominador. Cn,p=
  • 82.
    TRIÂNGULO DE PASCAL •A  disposição  ordenada  dos números   binomiais,   como  na tabela ao lado, recebe  o  nome   de Triângulo de Pascal Os números binomiais com o mesmo numerador são escritos na mesma linha e os de mesmo denominador, na mesma coluna
  • 83.
    Substituindo cada númerobinomial pelo seu respectivo valor, temos:
  • 85.
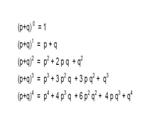
    Fórmula do Desenvolvimento doBinômio de Newton Observe que os expoentes da variável a decrescem de n até 0 e os expoentes de b crescem de 0 até n Denomina-se Binômio de Newton , a todo binômio da forma (a + b)n , sendo n um número natural. . BINÔMIO DE NEWTON
  • 86.
    • Observações: 1) odesenvolvimento do binômio (a + b)n é um polinômio. 2) o desenvolvimento de (a + b)n possui n + 1 termos . 3) os coeficientes dos termos equidistantes dos extremos , no desenvolvimento de  (a + b)n são iguais . 4) a soma dos coeficientes de (a + b)n é igual a 2n .
  • 87.
    MÉTODO BINOMIAL APLICADO APROBABILIDADE • Trata-se de uma distribuição de probabilidade adequada aos experimentos que apresentam apenas dois resultados (sucesso ou fracasso).
  • 88.
    Este modelo fundamenta-senas seguintes hipóteses: • São realizadas n experimentos do mesmo tipo (idênticos); • Cada experimento admite dois resultados possíveis, um chamado sucesso e o outro fracasso; • As probabilidades p, de sucesso, e q = 1 – p, de fracasso, permanecem constantes em todos os experimentos; • Os resultados dos experimentos são independentes.
  • 89.
    • O desenvolvimentode uma expressão binomial, dá como resultado todas as possíveis combinações de p e q em n eventos.
  • 90.
    Exemplos: • Atirar emum alvo, atingindo-o ou não; • Fumantes ou não fumantes em um grupo de adultos; • Alunos de uma escola vacinados ou não vacinados.
  • 91.
    Exemplos • Respostas deum teste como diversas questões do tipo V ou F; • Escolha entre um produto bom ou defeituoso; • Sexo das crianças nascidas em determinada maternidade;
  • 92.
    Exemplo! • Um casaldeseja ter 3 filhos, sendo dois filhos homens e uma mulher em qualquer ordem. Calcule a probabilidade desse fato acontecer.
  • 93.
    • Representamos onascimento de um menino por M e o nascimento de uma menina por F, temos: p(M) = p = ½ p(F)=q= ½ A={FFF, MMM, MFF, MFM, MMF, FMF, FMM, FFM} p+q=1
  • 94.
    • Como experimentalmentesabemos que cada nascimento é independente de nascimentos anteriores, temos: • p(MMM)= p(M).p(M).p(M)=p.p.p=p3 • p(MFF)= p(M).p(F).p(F)=p.q.q= pq2 • p(MFM)= p(M).p(F).p(M)=p.q.p= p2 q • p(MMF)= p(M).p(M).p(F)=p.p.q= p2 q • p(FFM)= p(F).p(F).p(M)= q.q.p= pq2 • p(FMF)= p(F).p(M).p(F)= q.p.q= pq2 • p(FMM)= p(F).p(M).p(M)= q.p.p= p2 q • p(FFF)= p(F).p(F).p(F)= q.q.q= q3
  • 95.
    • Se nãoconsiderarmos a ordem dos nascimentos, as possibilidades se reduzem a MMM, MMF, MFF e FFF e as probabilidades correspondem a: p(MMM)= p3 p(MMF)= 3 p2 q p(MFF)= 3 pq2 p(FFF)= q3 escrevemos: p3 + 3 p2 q+ 3 pq2 + q3 =1 , que é a expressão binomial (p+q)3 =1
  • 96.
    p3 + 3p2 q+ 3pq2 +q3 =1 • Probabilidade de que as 3 crianças sejam meninos= p3= ½ x ½ x ½ = 1/8 • Probabilidade de que 2 crianças sejam meninos e uma menina= 3p2q= 3(½ x ½ )x ½ = 3/8 • Probabilidade de que 2 crianças sejam meninas e um menino= 3pq2= 3½ x (½ x ½ )= 3/8 • Probabilidade de que as 3 crianças sejam meninas= q3= ½ x ½ x ½ = 1/8
  • 97.
    • Observamos que: 1p3 +3 p2 q+ 3 pq2 +1q3 = p3 + p2 q + pq2 + q3       0 3       1 3       2 3       3 3 Ou seja : o desenvolvimento de uma expressão binomial, dá como resultado todas as possíveis combinações de p e q em n eventos.
  • 99.
    Um casal pretendeter 5 filhos e deseja saber qual é a probabilidade de ter: a)5 meninos em qualquer ordem b)2 meninos e 3 meninas em qualquer ordem c)1 menino e 4 meninas em qualquer ordem
  • 100.
    Utilizando a formageral • A probabilidade de A ocorrer em k as n vezes é dada por pk qn-k. Sendo p(M) = p = ½ p(F)=q= ½ a) 5 meninos= (½)5 (½)0 = 1/32 b) 2 meninos e 3 meninas= (½)2 (½)3 = 5/16 c)5/32       k n       5 5       2 5
  • 101.
    Outra aplicação doBinômio de Newton • Proporções Mendelianas
  • 102.
    COR DA PELEHUMANA- Herança quantitativa • A cor da pele humana é resultado da concentração de um pigmento marrom chamado melanina a qual é determinada por no mínimo dois pares de genes, que indicaremos pelas letras Nn e Bb. • Aqui N e B determinarão uma grande quantidade de melanina (são os alelos efetivos) e n e b uma pequena quantidade (alelos não efetivos). Com isto em mente, as pessoas NNBB serão negras e as nnbb serão brancas. Entre estes dois extremos teremos os mulatos com suas nuances: escuro, médio e claro. Os cruzamentos possíveis entre um CASAL DE MULATOS MÉDIOS estão representados esquematicamente abaixo:
  • 104.
    • Se denotarmospor p os alelos efetivos (N e B), por q os alelos não efetivos (n e b) e desenvolvermos o binômio de Newton com n = 4 (número total de genes envolvidos nessa característica), obteremos:
  • 105.
    Repare , também,que a soma dos valores desta quinta linha é igual a 16, que seria o denominador das frações que expressam as proporções fenotípicas esperadas na descendência do cruzamento entre dois duplos heterozigotos nesta herança (1/16+ 4/16+ 6/16+4/16+1/16)
  • 106.
    A COR DOSOLHOS • A cor da iris em humanos varia do azul claro, passa pelo verde, ao quase negro. No entanto, não existe pigmento azul, verde ou preto na iris humana. A cor dos olhos e causada pela distribuição de um simples pigmento marrom, a melanina, o mesmo pigmento que adiciona cor a pele e aos cabelos. A iris possui duas camadas de pigmento, uma no fundo e outra na frente. Se na frente não houver pigmento ou se este for pouco, a iris parecera azul.
  • 107.
    • A corazul aparece em virtude da dispersão da luz na camada frontal, vista de encontro ao fundo escuro pigmentado pela melanina, do mesmo modo como o céu parece azul, por causa da dispersão da luz no ar em um fundo preto do espaço. • Quando mais melanina e incorporada na camada frontal da retina, a cor da iris pode tornar-se verde (azul, mais marrom amarelado), marrom e finalmente quase negra. • Possivelmente dois ou mais pares de genes estão envolvidos na síntese direta de melanina na parte frontal da iris, com cada gene tendo dois alelos mostrando dominância incompleta, o que dariam cinco classes de cor dos olhos
  • 108.
  • 109.
    • Pelo menosdois genes independentes, com dominância incompleta, controlam a cor dos olhos. Um homem e uma mulher, ambos heterozigotos para ambos os genes, podem ter crianças com cinco tipos diferentes de cor dos olhos, variando do azul claro (sem alelos dominantes incompletos), marrom claro (dois alelos com dominância incompleta) ao negro (todos os alelos dominantes incompletos). (Adaptado de: AUDESIRK; AUDESIRK, 1986).