HIDROCARBONETOS
Grupo: Ana Clara, Eduardo, Gabriela e Luisa.
O QUE SÃO?
 Os hidrocarbonetos são compostos constituídos por, apenas,
átomos de carbono e hidrogênio
 Essa função é composta por uma ampla gama de
combustíveis, como: metano, propano e acetileno
GRUPO FUNCIONAL
Os hidrocarbonetos são afuncionais (não possuem grupo
funcional), mas podem ser divididos em:
 Alcanos;
 Alcenos;
 Alcinos;
 Alcadienos;
 Ciclanos;
 Ciclenos;
 Ciclinos;
 Aromáticos.
ALCANOS
 São de cadeia aberta e saturada
 Tem hibridização sp3
 Formula geral: CNH2N+2
 São insolúveis em água e mais densos que a mesma. Os
alcanos de até 4 carbonos são gases em temperatura
ambiente, de 5 a 17 são líquidos, e os demais, sólidos
 Alguns alcanos são encontrados no lixo, no petróleo e em
emanações gasosas naturais
 São ótimos combustíveis e podem gerar energia
 Exemplos mais comuns: metano e butano
ALCENOS
 São alifáticos insaturados que apresentam uma dupla ligação
 Fórmula geral: CNH2N
 Os alcenos que apresentam mais de 5 carbonos são
conhecidos pelo aspecto oleoso
 Exemplos mais comuns: etileno e buteno
 O etileno é incolor e de sabor adocicado, é usado como
combustível, como narcótico e na fabricação de plásticos
ALCINOS
 São alifáticos e insaturadas por uma tripla ligação
 Fórmula geral: CNH2N-2
 O mais importante é o etino, que é utilizado como gás de
maçarico e como matéria prima na fabricação de borracha
sintética
 Os alcinos de cadeia não ramificada que apresentam de 2 a 4
carbonos são gases, de 5 a 15 são líquidos e de 16 em diante
são sólidos
 Exemplos mais comuns: etino e propino
ALCADIENOS
 São alifáticos e insaturados por duas ligações duplas
 Fórmula geral: CNH2N-2
 Alguns são utilizados como matéria prima na fabricação de
borracha
 As características físicas são bem parecidas com as dos
alcenos
 Exemplos mais comuns: betacaroteno, limoneno e
poli isopreno
CICLANOS
 São saturados, formados por ligações simples e apresentam
cadeia fechada
 Fórmula geral: CNH2N
 Os ciclanos que apresentam de 3 a 5 átomos na cadeia tem
reatividade alta, já os que tem 6 ou mais átomos são muito
estáveis e reagem com dificuldade
 Exemplos mais comuns: ciclopentano e ciclo hexano
 O ciclopentano é um gás que possui anestésicos
 É muito usado como combustível, na produção de ácido
adípico e na fabricação de náilon
CICLENOS
 São insaturados, formados por ligações duplas e apresentam
cadeia fechada
 Fórmula geral: CNH2N-2
 De 3 a 5 carbonos são instáveis
 Geralmente são encontrados no petróleo, solventes,
biocombustíveis, ceras, gás natural e óleos
 Alguns ciclenos apresentam um aroma bastante apreciado,
como no caso do pineno e do alfapineno
CICLENOS – PINENO E ALFAPINENO
 Pineno: está presente no alecrim, é utilizado em tratamentos
fisioterápicos, ao estresse e à falta de apetite
 O alfapineno é extraído de pinheiros e é muito utilizado como
solvente para tintas à base de óleos
CICLINOS
 São cíclicos e insaturados
 Possuem uma ou mais ligações triplas
 Fórmula geral: CNH2N-4
AROMÁTICOS
 São insaturados, apresentam 3 ligações duplas e possuem cadeia
fechada
 Esses compostos são constituídos por, no mínimo, um anel
aromático
 A fórmula geral depende da cadeia, é indeterminada
 Muito usados no ramo industrial
 Podemos encontrar 3 aminoácidos aromáticos e, além disso, todos
os nucleotídeos do código genético também são estruturas
aromáticas
 Exemplo mais comum: benzeno
NOMENCLATURA
Prefixo + infixo + sufixo
 Prefixo: número de carbonos na cadeia principal
 Infixo: número de ligações
 Sufixo: O
 Se apresentar ramificações, estas deverão ser classificadas e
localizadas
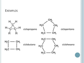
EXEMPLOS

 ciclopropano ciclopentano
ciclobutano ciclohexano
RELAÇÃO COM O AMBIENTE E A SOCIEDADE
 São encontrados no petróleo, no gás natural e no carvão
 Todos os anos, mais de 25 mil crianças intoxicam-se ao
ingerirem derivados do petróleo (como gasolina e querosene)
 A maioria das mortes pro intoxicação acontecem em
adolescentes que inalam substâncias voláteis
 Produtos abrilhantadores de móveis são extremamente
perigosos, pois podem causar pneumonia grave por aspiração
 Os hidrocarbonetos estão diretamente ligados à
contaminação de águas subterrâneas
 Os combustíveis possuem compostos especialmente nocivos
à saúde como benzeno, etilbenzeno e xileno
 Quando ingeridos, podem causar danos ao sistema nervoso
central
 O benzeno, por exemplo, já está associado à cânceres
 Os hidrocarbonetos são extremamente úteis para a
sociedade, pois são usados como combustíveis na fabricação
de tintas, borrachas sintéticas, anestesias e muitos outros
produtos

Hidrocarbonetos

  • 1.
    HIDROCARBONETOS Grupo: Ana Clara,Eduardo, Gabriela e Luisa.
  • 2.
    O QUE SÃO? Os hidrocarbonetos são compostos constituídos por, apenas, átomos de carbono e hidrogênio  Essa função é composta por uma ampla gama de combustíveis, como: metano, propano e acetileno
  • 3.
    GRUPO FUNCIONAL Os hidrocarbonetossão afuncionais (não possuem grupo funcional), mas podem ser divididos em:  Alcanos;  Alcenos;  Alcinos;  Alcadienos;  Ciclanos;  Ciclenos;  Ciclinos;  Aromáticos.
  • 4.
    ALCANOS  São decadeia aberta e saturada  Tem hibridização sp3  Formula geral: CNH2N+2  São insolúveis em água e mais densos que a mesma. Os alcanos de até 4 carbonos são gases em temperatura ambiente, de 5 a 17 são líquidos, e os demais, sólidos  Alguns alcanos são encontrados no lixo, no petróleo e em emanações gasosas naturais  São ótimos combustíveis e podem gerar energia  Exemplos mais comuns: metano e butano
  • 5.
    ALCENOS  São alifáticosinsaturados que apresentam uma dupla ligação  Fórmula geral: CNH2N  Os alcenos que apresentam mais de 5 carbonos são conhecidos pelo aspecto oleoso  Exemplos mais comuns: etileno e buteno  O etileno é incolor e de sabor adocicado, é usado como combustível, como narcótico e na fabricação de plásticos
  • 6.
    ALCINOS  São alifáticose insaturadas por uma tripla ligação  Fórmula geral: CNH2N-2  O mais importante é o etino, que é utilizado como gás de maçarico e como matéria prima na fabricação de borracha sintética  Os alcinos de cadeia não ramificada que apresentam de 2 a 4 carbonos são gases, de 5 a 15 são líquidos e de 16 em diante são sólidos  Exemplos mais comuns: etino e propino
  • 7.
    ALCADIENOS  São alifáticose insaturados por duas ligações duplas  Fórmula geral: CNH2N-2  Alguns são utilizados como matéria prima na fabricação de borracha  As características físicas são bem parecidas com as dos alcenos  Exemplos mais comuns: betacaroteno, limoneno e poli isopreno
  • 8.
    CICLANOS  São saturados,formados por ligações simples e apresentam cadeia fechada  Fórmula geral: CNH2N  Os ciclanos que apresentam de 3 a 5 átomos na cadeia tem reatividade alta, já os que tem 6 ou mais átomos são muito estáveis e reagem com dificuldade  Exemplos mais comuns: ciclopentano e ciclo hexano  O ciclopentano é um gás que possui anestésicos  É muito usado como combustível, na produção de ácido adípico e na fabricação de náilon
  • 9.
    CICLENOS  São insaturados,formados por ligações duplas e apresentam cadeia fechada  Fórmula geral: CNH2N-2  De 3 a 5 carbonos são instáveis  Geralmente são encontrados no petróleo, solventes, biocombustíveis, ceras, gás natural e óleos  Alguns ciclenos apresentam um aroma bastante apreciado, como no caso do pineno e do alfapineno
  • 10.
    CICLENOS – PINENOE ALFAPINENO  Pineno: está presente no alecrim, é utilizado em tratamentos fisioterápicos, ao estresse e à falta de apetite  O alfapineno é extraído de pinheiros e é muito utilizado como solvente para tintas à base de óleos
  • 11.
    CICLINOS  São cíclicose insaturados  Possuem uma ou mais ligações triplas  Fórmula geral: CNH2N-4
  • 12.
    AROMÁTICOS  São insaturados,apresentam 3 ligações duplas e possuem cadeia fechada  Esses compostos são constituídos por, no mínimo, um anel aromático  A fórmula geral depende da cadeia, é indeterminada  Muito usados no ramo industrial  Podemos encontrar 3 aminoácidos aromáticos e, além disso, todos os nucleotídeos do código genético também são estruturas aromáticas  Exemplo mais comum: benzeno
  • 13.
    NOMENCLATURA Prefixo + infixo+ sufixo  Prefixo: número de carbonos na cadeia principal  Infixo: número de ligações  Sufixo: O  Se apresentar ramificações, estas deverão ser classificadas e localizadas
  • 14.
  • 15.
    RELAÇÃO COM OAMBIENTE E A SOCIEDADE  São encontrados no petróleo, no gás natural e no carvão  Todos os anos, mais de 25 mil crianças intoxicam-se ao ingerirem derivados do petróleo (como gasolina e querosene)  A maioria das mortes pro intoxicação acontecem em adolescentes que inalam substâncias voláteis  Produtos abrilhantadores de móveis são extremamente perigosos, pois podem causar pneumonia grave por aspiração  Os hidrocarbonetos estão diretamente ligados à contaminação de águas subterrâneas
  • 16.
     Os combustíveispossuem compostos especialmente nocivos à saúde como benzeno, etilbenzeno e xileno  Quando ingeridos, podem causar danos ao sistema nervoso central  O benzeno, por exemplo, já está associado à cânceres  Os hidrocarbonetos são extremamente úteis para a sociedade, pois são usados como combustíveis na fabricação de tintas, borrachas sintéticas, anestesias e muitos outros produtos