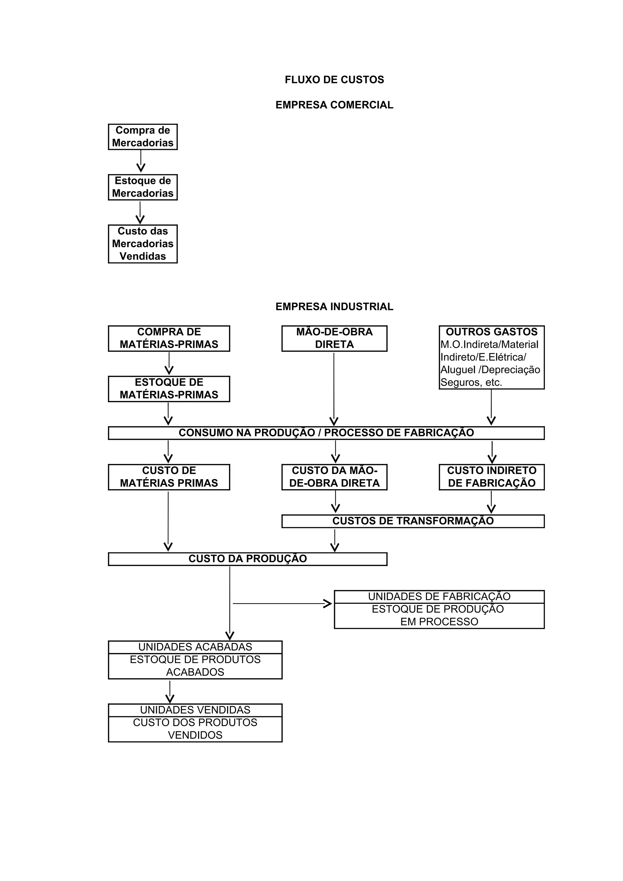
FLUXO DE CUSTOS

                            EMPRESA COMERCIAL

Compra de
Mercadorias


Estoque de
Mercadorias


 Custo das
Mercadorias
 Vendidas



                            EMPRESA INDUSTRIAL

   COMPRA DE                   MÃO-DE-OBRA            OUTROS GASTOS
 MATÉRIAS-PRIMAS                 DIRETA              M.O.Indireta/Material
                                                     Indireto/E.Elétrica/
                                                     Aluguel /Depreciação
   ESTOQUE DE                                        Seguros, etc.
 MATÉRIAS-PRIMAS


              CONSUMO NA PRODUÇÃO / PROCESSO DE FABRICAÇÃO


    CUSTO DE                  CUSTO DA MÃO-           CUSTO INDIRETO
 MATÉRIAS PRIMAS              DE-OBRA DIRETA          DE FABRICAÇÃO


                                    CUSTOS DE TRANSFORMAÇÃO


               CUSTO DA PRODUÇÃO


                                          UNIDADES DE FABRICAÇÃO
                                           ESTOQUE DE PRODUÇÃO
                                               EM PROCESSO

    UNIDADES ACABADAS
   ESTOQUE DE PRODUTOS
        ACABADOS


    UNIDADES VENDIDAS
   CUSTO DOS PRODUTOS
        VENDIDOS
Contabilidade de custos

                          ESQUEMA BÁSICO DA CONTABILIDADE DE CUSTOS
                                               GASTOS
            CLASSIFICAÇÃO         ATIVADOS
                                                   ATIVIDADES FABRIS
TIPOS                           INVESTIMENTO               CUSTO
Aquisição de matérias-    Estoque de matérias- Matérias-primas
primas                    primas

Aquisição de                  Estoque de      Fábrica     Materiais indiretos
suprimentos                   suprimentos
                                             Escritório


Salários da     Fábrica                                           M .O. D.
                                                                  M .O. I.
               Escritório
                                                                  Energia Elétrica
Serviços       Fábrica                                            Água
                                                                  Telefone
               Escritório


Despesa paga                  Prêmios de       Fábrica
antecipadamente               seguros a                           Seguros
                              incorrer
                                             Escritório


                              Imóveis          Fábrica
Instalações                                                       Depreciação
                               Máquinas e   Escritório
                               Equipamentos
                               da Fábrica
                                                                  Depreciação
                               Móveis e Utensílios
                               do Escritório

                              Estoque de Produtos
                              Acabados

( * ) (Vendas, Administração, Financeiro, etc)
O suprimento pode ser utilizado na fábrica ou no escritório
O CUSTO representa o custo dos produtos acabados ou fabricados, retornando à condição de investimento.
A DESPESA e a PERDA vão para o resultado.
CONSUMIDOS
              ATIVIDADES NÃO FABRIS*    ANORMAL / INVOLUNTÁRIO
                     DESPESA                       PERDA
                                       - Graves acidentes



                                       - Incêndios
                 Material de Consumo



                                       - Inundações
                 Salários

                                       - Furtos
                    Energia Elétrica
                    Água
                    Telefone




                    Seguros




                    Depreciação




                    Depreciação




condição de investimento.
RELACIONAMENTO DE CUSTOS COM A CONTABILIDADE FINANCEIRA

1) Contabilidade Geral                                          2) Contabilidade de Custos
 - Registra os gastos por natureza e trans-                     - Registra e controla os valores
   fere à Contabilidade de Custos aqueles                       no processo de produção, devolvendo-os
  relacionados com a produção.                                  à Contabilidade Geral na forma de estoques
                                                                e custo dos produtos vendidos.

                                                      Estoque de                          Produção em
       Materiais                                     Matéria-prima                          Processo
                                                                                     custo de
                                                                                     transfor-
                                                                                     mação


                                                  saldo final                         saldo final




                                                     Estoque de                           Custo dos
        Salários                                  Prods. Acabados                       Prod. Vendidos
M.O.Direta
M.O.Indireta



                                                  saldo final                         saldo final




   Outros Gastos
E.Elétrica
Manutenção
Depreciação
seguros, etc




3) Contabilidade Geral
 - Recebe da Contabilidade de Custos os
valores dos estoques e custo dos produ-
tos vendidos e prepara as demonstrações
financeiras.

         D.R.E.                         Balanço
DEMONSTRAÇAO DE RESULTADO / EMPRESA INDUSTRIAL

   Vendas (Receitas Líquidas)                                   2,000,000.00
   ( - ) Custo dos Produtos Vendidos                             (900,000.00)
   ( = ) Lucro Bruto                                            1,100,000.00

   ( - ) Despesas Operacionais:
        Despesas de vendas                         350,000.00
        Despesas Administrativas                   250,000.00
        Despesas Financeiras                       100,000.00   (700,000.00)
   ( = ) Lucro operacional                                       400,000.00


              DEMONSTRAÇAO DO CUSTO DOS PRODUTOS VENDIDOS

 1) Estoque inicial de matérias -primas                           80,000.00
 2) Compras de matérias-primas                                   450,000.00
 3) Estoque final de matérias -primas                             70,000.00
 4) Matérias-primas consumidas ( 1 + 2 - 3 )                     460,000.00
 5) Mão-de-Obra Direta (MOD)                                     240,000.00
 6) Custos Indiretos de Fabricação (CIF):
    - Mão de obra indireta                         100,000.00
    - Materiais indiretos                           40,000.00
    - Energia elétrica                              40,000.00
    - Manutenção de máquinas e equipamentos         30,000.00
    - Depreciação de máquinas e equipamentos        50,000.00
    - Seguros                                       20,000.00
    - Aluguel                                       20,000.00     300,000.00
 7) Custo da produção ( 4 + 5 + 6 )                             1,000,000.00
 8) Estoque inicial de produção em processo                       100,000.00
 9) Estoque final de produção em processo                          50,000.00
10) Custo dos produtos acabados ( 7 + 8 - 9 )                   1,050,000.00
11) Estoque inicial de produtos acabados                          100,000.00
12) Estoque final de produtos acabados                            250,000.00
13) Custo dos produtos vendidos ( 10 + 11 - 12 )                  900,000.00

Esquema basico custos

  • 1.
    FLUXO DE CUSTOS EMPRESA COMERCIAL Compra de Mercadorias Estoque de Mercadorias Custo das Mercadorias Vendidas EMPRESA INDUSTRIAL COMPRA DE MÃO-DE-OBRA OUTROS GASTOS MATÉRIAS-PRIMAS DIRETA M.O.Indireta/Material Indireto/E.Elétrica/ Aluguel /Depreciação ESTOQUE DE Seguros, etc. MATÉRIAS-PRIMAS CONSUMO NA PRODUÇÃO / PROCESSO DE FABRICAÇÃO CUSTO DE CUSTO DA MÃO- CUSTO INDIRETO MATÉRIAS PRIMAS DE-OBRA DIRETA DE FABRICAÇÃO CUSTOS DE TRANSFORMAÇÃO CUSTO DA PRODUÇÃO UNIDADES DE FABRICAÇÃO ESTOQUE DE PRODUÇÃO EM PROCESSO UNIDADES ACABADAS ESTOQUE DE PRODUTOS ACABADOS UNIDADES VENDIDAS CUSTO DOS PRODUTOS VENDIDOS
  • 2.
    Contabilidade de custos ESQUEMA BÁSICO DA CONTABILIDADE DE CUSTOS GASTOS CLASSIFICAÇÃO ATIVADOS ATIVIDADES FABRIS TIPOS INVESTIMENTO CUSTO Aquisição de matérias- Estoque de matérias- Matérias-primas primas primas Aquisição de Estoque de Fábrica Materiais indiretos suprimentos suprimentos Escritório Salários da Fábrica M .O. D. M .O. I. Escritório Energia Elétrica Serviços Fábrica Água Telefone Escritório Despesa paga Prêmios de Fábrica antecipadamente seguros a Seguros incorrer Escritório Imóveis Fábrica Instalações Depreciação Máquinas e Escritório Equipamentos da Fábrica Depreciação Móveis e Utensílios do Escritório Estoque de Produtos Acabados ( * ) (Vendas, Administração, Financeiro, etc) O suprimento pode ser utilizado na fábrica ou no escritório O CUSTO representa o custo dos produtos acabados ou fabricados, retornando à condição de investimento. A DESPESA e a PERDA vão para o resultado.
  • 3.
    CONSUMIDOS ATIVIDADES NÃO FABRIS* ANORMAL / INVOLUNTÁRIO DESPESA PERDA - Graves acidentes - Incêndios Material de Consumo - Inundações Salários - Furtos Energia Elétrica Água Telefone Seguros Depreciação Depreciação condição de investimento.
  • 4.
    RELACIONAMENTO DE CUSTOSCOM A CONTABILIDADE FINANCEIRA 1) Contabilidade Geral 2) Contabilidade de Custos - Registra os gastos por natureza e trans- - Registra e controla os valores fere à Contabilidade de Custos aqueles no processo de produção, devolvendo-os relacionados com a produção. à Contabilidade Geral na forma de estoques e custo dos produtos vendidos. Estoque de Produção em Materiais Matéria-prima Processo custo de transfor- mação saldo final saldo final Estoque de Custo dos Salários Prods. Acabados Prod. Vendidos M.O.Direta M.O.Indireta saldo final saldo final Outros Gastos E.Elétrica Manutenção Depreciação seguros, etc 3) Contabilidade Geral - Recebe da Contabilidade de Custos os valores dos estoques e custo dos produ- tos vendidos e prepara as demonstrações financeiras. D.R.E. Balanço
  • 5.
    DEMONSTRAÇAO DE RESULTADO/ EMPRESA INDUSTRIAL Vendas (Receitas Líquidas) 2,000,000.00 ( - ) Custo dos Produtos Vendidos (900,000.00) ( = ) Lucro Bruto 1,100,000.00 ( - ) Despesas Operacionais: Despesas de vendas 350,000.00 Despesas Administrativas 250,000.00 Despesas Financeiras 100,000.00 (700,000.00) ( = ) Lucro operacional 400,000.00 DEMONSTRAÇAO DO CUSTO DOS PRODUTOS VENDIDOS 1) Estoque inicial de matérias -primas 80,000.00 2) Compras de matérias-primas 450,000.00 3) Estoque final de matérias -primas 70,000.00 4) Matérias-primas consumidas ( 1 + 2 - 3 ) 460,000.00 5) Mão-de-Obra Direta (MOD) 240,000.00 6) Custos Indiretos de Fabricação (CIF): - Mão de obra indireta 100,000.00 - Materiais indiretos 40,000.00 - Energia elétrica 40,000.00 - Manutenção de máquinas e equipamentos 30,000.00 - Depreciação de máquinas e equipamentos 50,000.00 - Seguros 20,000.00 - Aluguel 20,000.00 300,000.00 7) Custo da produção ( 4 + 5 + 6 ) 1,000,000.00 8) Estoque inicial de produção em processo 100,000.00 9) Estoque final de produção em processo 50,000.00 10) Custo dos produtos acabados ( 7 + 8 - 9 ) 1,050,000.00 11) Estoque inicial de produtos acabados 100,000.00 12) Estoque final de produtos acabados 250,000.00 13) Custo dos produtos vendidos ( 10 + 11 - 12 ) 900,000.00