Capítulo 2
Equação da Difusão do Calor
( Equação da distribuição de temperatura )
• O conhecimento da distribuição de
temperatura pode ser usado para o
julgamento da integridade estrutural num
sólido, através da determinação de
tensões, expansões e deflexões térmicas.
Também pode ser usada para se otimizar
a espessura de um material isolante ou
para determinar a compatibilidade entre
um revestimento e o material. Através da
distribuição de temperatura num meio é
possível determinarmos o fluxo de calor.
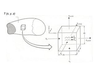
T (x, y, z)
Equação de balanço
( Conservação de energia )
[ Fluxo de calor + Fluxo de calor - Fluxo de calor = Fluxo de calor]
entra gerado sai armazenado
Fluxo de calor que entra → qx + qy + qz
y
T
kdxdz
qy


−
=
x
T
kdydz
qx


−
=
z
T
kdxdy
qz


−
=
Fluxo de calor que sai → qx+dx + qy+dy + qz+dz
Pela série de Taylor, temos:
z
z
z
z
z
y
y
y
y
y
x
x
x
x
x
d
z
q
q
d
q
d
y
q
q
d
q
d
x
q
q
d
q






+
=
+
+
=
+
=
+ +
;
;
Sendo:
dxdydz
z
z
T
k
dz
q
q
dxdydz
y
y
T
k
dy
q
q
dxdydz
x
x
T
k
dx
q
q
z
z
y
y
x
x












)
(
)
(
)
(
=
+
−
=
+
−
=
+
− Eq. 2.2
Eq. 2.3
Eq. 2.4
Fluxo de calor gerado ( Eg ) → qger = q dxdydz Eq. 2.5
Dentro de um meio pode haver uma fonte de
energia que proporciona um termo associado à
taxa de geração de energia térmica. Esta
geração é a manifestação de um processo de
conversão de energia elétrica, química ou
nuclear em energia térmica. O termo é positivo
se há uma fonte e negativo de consome
energia ( sorvedouro). Exemplos: bobinas
elétricas, combustão, reatores, etc.
qº - representa a taxa de geração de energia por
unidade de volume ( W/m3 )
Fluxo de calor armazenado (Eac) →
Eq. 2.6
O fluxo acumulado está associado a variação de
energia interna, ou seja a mudança do estado térmico.
Caso este termo exista, o corpo estará se resifriando ou
se aquecendo.
Substituindo as equações 2.2 a 2.6 em 2.1 e dividindo
pelo volume dxdydz, temos:
dxdydz
t
T
C
q p
arm



=
t
T
C
q
z
T
k
z
y
T
k
y
x
T
k
x
p















=
+
+
+ )
(
)
(
)
( Eq. 2.7
Equação da difusão do calor
Eq. 2.7
Os três primeiros termos da equação referem-se a um
fluxo ser unidimensional (T varia somente com x),
bidimensional (a T varia com x e com y) ou
tridimendional ( a T varia nas três dimensões x, y e z).
O termo q é o termo de calor gerado;
e a ser o tipo de regime (permanente ou transiente).
Considerando k como sendo constante com a
temperatura, temos:
Eq.2.8
onde α = coeficiente de difusividade térmica (m²/s),
mede a relação entre a capacidade do material em
conduzir energia e sua capacidade em acumular
energia
t
T
Cp



t
T
k
q
z
T
y
T
x
T








alfa
1
²
²
²
²
²
²
)
(
)
(
)
( =
+
+
+
p
C
k
alfa

=
Estudaremos casos simplificados da equação da
distribuição de temperatura:
a) Fluxo de calor unidimensional, sem
geração de calor e regime permanente:
b) Fluxo de calor unidimensional, com geração de
calor e regime permanente:
0
)
( =
+ q
x
T
k
x 



0
)
( =
x
T
k
x 



c) Fluxo de calor unidimensional, sem
geração de calor e regime transiente:
d) Fluxo de calor bidimensional, sem
geração de calor e regime permanente:
0
)
(
)
( =
+
y
T
k
y
x
T
k
x 







t
T
C
x
T
k
x
p







=
)
(
Também podemos usar a equação da difusão de
calor em coordenadas cilíndricas ou esféricas.
- Coordenadas cilíndricas
- Coordenadas esféricas
t
T
C
q
z
T
k
z
T
k
r
r
T
kr
r
r
p















=
+
+
+ )
(
)
(
)
( /
0
/
0
²
1
1
t
T
C
q
T
ksen
sen
r
T
k
sen
r
r
T
kr
r
r
p















=
+
+
+ )
(
)
(
)
( 0
0
0
0
²
²
1
/
0
/
0
0
²
²
1
²
²
1
2.2 Equacionamento Diferencial (Condições
de Contorno e Condições iniciais )
Condição de contorno é uma afirmação
matemática relativa ao comportamento da
variável dependente.
As condições de contorno ( c.c. ) especificam a
condição térmica na superfície das fronteiras da
região.
• Condições utilizadas:
• temperatura
• fluxo de calor especificado
• condições de contorno convectivas ( balanço)
-A condição de temperatura constante é
chamada de condição de Dirichlet ou condição
de contorno de 1° espécie. Exemplo sólido em
fusão ou líquido em ebulição.
-A condição de fluxo de calor constante é
chamada de condição de Neumann ou
condição de contorno de 2° espécie. Exemplo
Justapor um calefator elétrico.
-A condição convectiva corresponde ao
aquecimento ou resfriamento na superfície
(Balanço).
• Ver o Exemplo 2-3 Incropera 8ed.
Capítulo 3
Condução Unidimensional
em Regime Permanente
• Num sistema unidimensional os
gradientes de temperatura existem
somente ao longo de uma única
coordenada, e a transferência de calor
ocorre exclusivamente nesta direção.
• Em regime permanente a temperatura
é independente do tempo.
•  Objetivo: Expressar a distribuição de
temperatura e a taxa de calor.
Parede Plana
• A temperatura é função exclusivamente
da coordenada x e o calor se transfere
somente nesta direção.
• Considere a figura abaixo - Uma
parede que separa dois fluidos de
temperaturas diferentes.
• Considerando regime permanente, fluxo
unidimensional e sem geração de calor, a
equação da difusão de calor se resume a:
; Considerando K constante
com temperatura e integrando temos,
integrando novamente temos:
d
dx
k
dT
dx





 = 0
k
dT
dx
C
= 1
T = C1 .x + C2 Eq. 3.1
As condições de contorno são:
p/ x= 0  T= Ts1
p/ x= L  T= Ts2
Substituindo as c.c. cc1 
cc2 
Temos:
Observamos que a distribuição de
temperatura é linear.
C Ts
2 1
=
( )
C
T T
L
s s
1
2 1
=
−
( )
T T T
x
L
T
s s s
= − +
2 1 1
O fluxo de calor 
ou
( )
q kA
dT
dx
KA
T T
L
x
s s
= − = −
−
2 1
)
( 2
1
"
s
s
x T
T
L
k
q −
=
Resistência Térmica
• Lei de Ohm
• U = R.i - A diferença de potencial
(medida) é proporcional a intensidade de
corrente pela resistência.
• Podemos resolver problemas de
transferência de calor por analogia com a
Lei de Ohm.
U1 U2 T1 T2
i Equivalente q 
R Rt
Resistência térmica
É a oposição que o material oferece a
passagem do calor.
Parede Plana

q KA
T
x
x =

q
T
x kA
x =

/
Logo a resistência térmica será Rt= x/kA
T1 T2
Circuito q 
x/kA
Este conceito é muito utilizado para paredes
compostas, ou seja uma associação de
materiais diferentes.
Resistência térmica de contato
( Rt” - K/Wm2 )
A resistência térmica de contato pode ser atribuída
a rugosidade da superfície. Quando fazemos a
junção de materiais diferentes ocorre a
formação de “ buracos” que contém ar, portanto
ocorrerá uma resistência a passagem do calor.
Essa troca será por condução e radiação. Essa
resistência pode ser minimizada através do uso
de graxas, metais moles, ceras etc, que
possuem um alto coeficiente de condutividade
térmica.
Exemplos
3-1 – Observar o arranjo em paralelo entre a
convecção e a radiação
Para isso linearizamos o hrad
É obtido por qconv = qrad
hradA(Tsup-Tviz )= ƐσA(T4
sup-T4
viz )
hrad= Ɛσ(T2
sup+T2
viz ) (Tsup+Tviz )
Exemplo 3-2 (Fluxo Unidimensional )

Aula 02 - Cap . 2 e 3.pdf aaaaaaaaaaaaaa

  • 1.
    Capítulo 2 Equação daDifusão do Calor ( Equação da distribuição de temperatura )
  • 2.
    • O conhecimentoda distribuição de temperatura pode ser usado para o julgamento da integridade estrutural num sólido, através da determinação de tensões, expansões e deflexões térmicas. Também pode ser usada para se otimizar a espessura de um material isolante ou para determinar a compatibilidade entre um revestimento e o material. Através da distribuição de temperatura num meio é possível determinarmos o fluxo de calor.
  • 3.
  • 4.
    Equação de balanço (Conservação de energia ) [ Fluxo de calor + Fluxo de calor - Fluxo de calor = Fluxo de calor] entra gerado sai armazenado Fluxo de calor que entra → qx + qy + qz y T kdxdz qy   − = x T kdydz qx   − = z T kdxdy qz   − =
  • 5.
    Fluxo de calorque sai → qx+dx + qy+dy + qz+dz Pela série de Taylor, temos: z z z z z y y y y y x x x x x d z q q d q d y q q d q d x q q d q       + = + + = + = + + ; ;
  • 6.
  • 7.
    Fluxo de calorgerado ( Eg ) → qger = q dxdydz Eq. 2.5 Dentro de um meio pode haver uma fonte de energia que proporciona um termo associado à taxa de geração de energia térmica. Esta geração é a manifestação de um processo de conversão de energia elétrica, química ou nuclear em energia térmica. O termo é positivo se há uma fonte e negativo de consome energia ( sorvedouro). Exemplos: bobinas elétricas, combustão, reatores, etc.
  • 8.
    qº - representaa taxa de geração de energia por unidade de volume ( W/m3 ) Fluxo de calor armazenado (Eac) → Eq. 2.6 O fluxo acumulado está associado a variação de energia interna, ou seja a mudança do estado térmico. Caso este termo exista, o corpo estará se resifriando ou se aquecendo. Substituindo as equações 2.2 a 2.6 em 2.1 e dividindo pelo volume dxdydz, temos: dxdydz t T C q p arm    =
  • 9.
    t T C q z T k z y T k y x T k x p                = + + + ) ( ) ( ) ( Eq.2.7 Equação da difusão do calor Eq. 2.7 Os três primeiros termos da equação referem-se a um fluxo ser unidimensional (T varia somente com x), bidimensional (a T varia com x e com y) ou tridimendional ( a T varia nas três dimensões x, y e z).
  • 10.
    O termo qé o termo de calor gerado; e a ser o tipo de regime (permanente ou transiente). Considerando k como sendo constante com a temperatura, temos: Eq.2.8 onde α = coeficiente de difusividade térmica (m²/s), mede a relação entre a capacidade do material em conduzir energia e sua capacidade em acumular energia t T Cp    t T k q z T y T x T         alfa 1 ² ² ² ² ² ² ) ( ) ( ) ( = + + + p C k alfa  =
  • 11.
    Estudaremos casos simplificadosda equação da distribuição de temperatura: a) Fluxo de calor unidimensional, sem geração de calor e regime permanente: b) Fluxo de calor unidimensional, com geração de calor e regime permanente: 0 ) ( = + q x T k x     0 ) ( = x T k x    
  • 12.
    c) Fluxo decalor unidimensional, sem geração de calor e regime transiente: d) Fluxo de calor bidimensional, sem geração de calor e regime permanente: 0 ) ( ) ( = + y T k y x T k x         t T C x T k x p        = ) (
  • 13.
    Também podemos usara equação da difusão de calor em coordenadas cilíndricas ou esféricas. - Coordenadas cilíndricas - Coordenadas esféricas t T C q z T k z T k r r T kr r r p                = + + + ) ( ) ( ) ( / 0 / 0 ² 1 1 t T C q T ksen sen r T k sen r r T kr r r p                = + + + ) ( ) ( ) ( 0 0 0 0 ² ² 1 / 0 / 0 0 ² ² 1 ² ² 1
  • 14.
    2.2 Equacionamento Diferencial(Condições de Contorno e Condições iniciais ) Condição de contorno é uma afirmação matemática relativa ao comportamento da variável dependente. As condições de contorno ( c.c. ) especificam a condição térmica na superfície das fronteiras da região. • Condições utilizadas: • temperatura • fluxo de calor especificado • condições de contorno convectivas ( balanço)
  • 16.
    -A condição detemperatura constante é chamada de condição de Dirichlet ou condição de contorno de 1° espécie. Exemplo sólido em fusão ou líquido em ebulição. -A condição de fluxo de calor constante é chamada de condição de Neumann ou condição de contorno de 2° espécie. Exemplo Justapor um calefator elétrico. -A condição convectiva corresponde ao aquecimento ou resfriamento na superfície (Balanço).
  • 17.
    • Ver oExemplo 2-3 Incropera 8ed.
  • 18.
  • 19.
    • Num sistemaunidimensional os gradientes de temperatura existem somente ao longo de uma única coordenada, e a transferência de calor ocorre exclusivamente nesta direção. • Em regime permanente a temperatura é independente do tempo. •  Objetivo: Expressar a distribuição de temperatura e a taxa de calor.
  • 20.
    Parede Plana • Atemperatura é função exclusivamente da coordenada x e o calor se transfere somente nesta direção. • Considere a figura abaixo - Uma parede que separa dois fluidos de temperaturas diferentes.
  • 22.
    • Considerando regimepermanente, fluxo unidimensional e sem geração de calor, a equação da difusão de calor se resume a: ; Considerando K constante com temperatura e integrando temos, integrando novamente temos: d dx k dT dx       = 0 k dT dx C = 1
  • 23.
    T = C1.x + C2 Eq. 3.1 As condições de contorno são: p/ x= 0  T= Ts1 p/ x= L  T= Ts2
  • 24.
    Substituindo as c.c.cc1  cc2  Temos: Observamos que a distribuição de temperatura é linear. C Ts 2 1 = ( ) C T T L s s 1 2 1 = − ( ) T T T x L T s s s = − + 2 1 1
  • 25.
    O fluxo decalor  ou ( ) q kA dT dx KA T T L x s s = − = − − 2 1 ) ( 2 1 " s s x T T L k q − =
  • 26.
    Resistência Térmica • Leide Ohm • U = R.i - A diferença de potencial (medida) é proporcional a intensidade de corrente pela resistência. • Podemos resolver problemas de transferência de calor por analogia com a Lei de Ohm.
  • 27.
    U1 U2 T1T2 i Equivalente q  R Rt Resistência térmica É a oposição que o material oferece a passagem do calor. Parede Plana  q KA T x x =  q T x kA x =  /
  • 28.
    Logo a resistênciatérmica será Rt= x/kA T1 T2 Circuito q  x/kA Este conceito é muito utilizado para paredes compostas, ou seja uma associação de materiais diferentes.
  • 29.
    Resistência térmica decontato ( Rt” - K/Wm2 ) A resistência térmica de contato pode ser atribuída a rugosidade da superfície. Quando fazemos a junção de materiais diferentes ocorre a formação de “ buracos” que contém ar, portanto ocorrerá uma resistência a passagem do calor. Essa troca será por condução e radiação. Essa resistência pode ser minimizada através do uso de graxas, metais moles, ceras etc, que possuem um alto coeficiente de condutividade térmica.
  • 30.
    Exemplos 3-1 – Observaro arranjo em paralelo entre a convecção e a radiação Para isso linearizamos o hrad É obtido por qconv = qrad hradA(Tsup-Tviz )= ƐσA(T4 sup-T4 viz ) hrad= Ɛσ(T2 sup+T2 viz ) (Tsup+Tviz ) Exemplo 3-2 (Fluxo Unidimensional )