Lipídios Insolúveis em água Funções biológicas: - Estocagem de energia - Elementos estruturais das membranas biológicas - Cofatores enzimáticos - Carreadores de elétrons - Pigmentos - Âncoras hidrofóbicas - Hormônios  - Mensageiros intracelulares Ácidos graxos Ácidos carboxílicos com cadeias hidrocarbônicas com 4-36 átomos de carbono Saturados ou insaturados Nomenclatura: Comprimento da cadeia:Número de duplas ligações   Posição das duplas
 
- Propriedades físicas determinadas pelo comprimento e grau de insaturação da cadeia carbônica: Solubilidade em água, ponto de fusão
TRIACILGLICERÓIS Triglicérides ou gorduras neutras - Funções: Estoque de energia (vantagens) e isolamento térmico. - Conteúdo de triacilgliceróis nos alimentos - Hidrogenação
-  Ceras  – ésteres de ácidos graxos saturados e insaturados de cadeias longas (14-36) com álcoois de cadeias longas (16-30) –repele água, consistência LÍPIDES DE MEMBRANA Estrutura de membrana - Tipos:  Glicerofosfolípidios : fosfoglicerídios – 2 ácidos graxos ligados por ligação ester aos carbonos 1 e 2 do glicerol e um grupamento polar ou carregado ligado por ligação fosfodiéster ao carbono 3.
 
 
-  Esfingolípides : compostos de uma molécula de esfingosina, um amino-álcool de cadeia longa, uma cadeia longa de ácido graxo e um grupo polar unido por ligação glicosídica ou fosfodiéster Função: Grupos sangüíneos humanos
 
Esteróis : Composto de quatro anéis fundidos,  três de 6 carbonos e 1 de 5.  Derivados: Hormônios esteróides Ácidos Biliares Testosterona Hormônios esteróides transmitem mensagens entre tecidos Cortisol Estradiol
OUTRAS FUNÇÕES Fosfatidilinositol age como sinalizador intracelular Vitaminas E e K são cofatores em reações de óxido redução
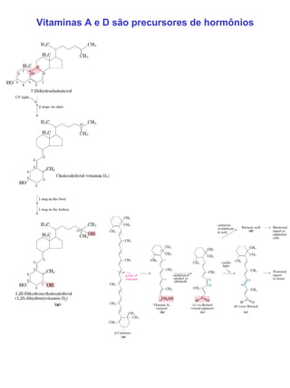
Vitaminas A e D são precursores de hormônios
Membranas  Biológicas
 
 
 
 
 
 
 
 
 
 
 
 
 
 
 
 
 

7 LipíDios E Membranas BiolóGicas

  • 1.
    Lipídios Insolúveis emágua Funções biológicas: - Estocagem de energia - Elementos estruturais das membranas biológicas - Cofatores enzimáticos - Carreadores de elétrons - Pigmentos - Âncoras hidrofóbicas - Hormônios - Mensageiros intracelulares Ácidos graxos Ácidos carboxílicos com cadeias hidrocarbônicas com 4-36 átomos de carbono Saturados ou insaturados Nomenclatura: Comprimento da cadeia:Número de duplas ligações  Posição das duplas
  • 2.
  • 3.
    - Propriedades físicasdeterminadas pelo comprimento e grau de insaturação da cadeia carbônica: Solubilidade em água, ponto de fusão
  • 4.
    TRIACILGLICERÓIS Triglicérides ougorduras neutras - Funções: Estoque de energia (vantagens) e isolamento térmico. - Conteúdo de triacilgliceróis nos alimentos - Hidrogenação
  • 5.
    - Ceras – ésteres de ácidos graxos saturados e insaturados de cadeias longas (14-36) com álcoois de cadeias longas (16-30) –repele água, consistência LÍPIDES DE MEMBRANA Estrutura de membrana - Tipos: Glicerofosfolípidios : fosfoglicerídios – 2 ácidos graxos ligados por ligação ester aos carbonos 1 e 2 do glicerol e um grupamento polar ou carregado ligado por ligação fosfodiéster ao carbono 3.
  • 6.
  • 7.
  • 8.
    - Esfingolípides: compostos de uma molécula de esfingosina, um amino-álcool de cadeia longa, uma cadeia longa de ácido graxo e um grupo polar unido por ligação glicosídica ou fosfodiéster Função: Grupos sangüíneos humanos
  • 9.
  • 10.
    Esteróis : Compostode quatro anéis fundidos, três de 6 carbonos e 1 de 5. Derivados: Hormônios esteróides Ácidos Biliares Testosterona Hormônios esteróides transmitem mensagens entre tecidos Cortisol Estradiol
  • 11.
    OUTRAS FUNÇÕES Fosfatidilinositolage como sinalizador intracelular Vitaminas E e K são cofatores em reações de óxido redução
  • 12.
    Vitaminas A eD são precursores de hormônios
  • 13.
  • 14.
  • 15.
  • 16.
  • 17.
  • 18.
  • 19.
  • 20.
  • 21.
  • 22.
  • 23.
  • 24.
  • 25.
  • 26.
  • 27.
  • 28.
  • 29.
  • 30.