Trabalho Cálculo III Pêndulo Simples Alunos: Juliana Rodrigues Leandro Sales Rocha Mariana Conti Renato Kazuo Miyamoto Prof.  Valdemir Antunes Engenharia Elétrica – 3º Semestre CCET
Pêndulo Simples: Pêndulo simples é um instrumento que consiste em um objeto que oscila em torno de um eixo fixo em movimentos harmônicos.
Fundamentos Teóricos Uma partícula de massa  m  em um sistema de pêndulo simples se move em uma trajetória dentro de um arco de circunferência de raio  Ѳ  e comprimento  L .
As forças que agem sobre a partícula são a força peso  P = m.g  e a tensão  T  do fio. Adotando um referencial de coordenadas polar, a componente tangencial da força resultante é descrita pela expressão: (1) Sendo  F T  a força tangencial e  Ѳ  o ângulo formado entre o fio do pêndulo e a direção vertical. A equação para o movimento ao longo do perímetro do arco, também chamado de movimento tangencial é: (2)
Sendo  a tg   a aceleração aplicada à partícula na direção do movimento, também chamada aceleração tangencial. A variação da posição angular ( Ѳ ) da partícula ao longo de uma trajetória circular, por unidade de tempo é chamada  velocidade angular  ω . Assim podemos definir a velocidade  angular  ω  como: (3) A velocidade escalar da partícula, também chamada velocidade tangencial está relacionada à velocidade angular através da seguinte expressão: (4) Sendo  L  o raio da circunferência descrita pela partícula durante o movimento. Aplicando a expressão  (3)  na expressão  (4) , temos:  (5)
Sabendo que a aceleração é a variação da velocidade em função do tempo, a aceleração tangencial é descrita como: (6) Substituindo a expressão   (5)  na expressão  (6) , temos: (7) A expressão  (7)  descreve a aceleração tangencial em função do comprimento do fio e do ângulo  Ѳ . A equação do movimento tangencial é obtida com a substituição das expressões  (1)  e  (7)  na expressão  (2) :
Equação linear 2º ordem do Pêndulo: Para ângulos pequenos podemos considerar:
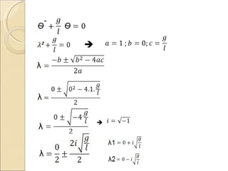
 
Solução em termos das raízes (Raízes Complexas):
Condições iniciais:
 
Cálculo do Período (T)
Dados do Experimento:
Substituindo Valores para obter valor teórico do período: L = 2 metros g = 9,8 m/s²
 
Obrigado! Referencial Teórico: Halliday, D., Resnick, R., Walker, J.- “Fundamentos de Física 2” – São Paulo:  Editora LTC, 4ª edição, 1996. Mathematical pendulum, disponível em: http://www.fizika.org/skripte/of-prakt/of-praktikum.html

Trab calculo iii_pendulo3

  • 1.
    Trabalho Cálculo IIIPêndulo Simples Alunos: Juliana Rodrigues Leandro Sales Rocha Mariana Conti Renato Kazuo Miyamoto Prof. Valdemir Antunes Engenharia Elétrica – 3º Semestre CCET
  • 2.
    Pêndulo Simples: Pêndulosimples é um instrumento que consiste em um objeto que oscila em torno de um eixo fixo em movimentos harmônicos.
  • 3.
    Fundamentos Teóricos Umapartícula de massa m em um sistema de pêndulo simples se move em uma trajetória dentro de um arco de circunferência de raio Ѳ e comprimento L .
  • 4.
    As forças queagem sobre a partícula são a força peso P = m.g e a tensão T do fio. Adotando um referencial de coordenadas polar, a componente tangencial da força resultante é descrita pela expressão: (1) Sendo F T a força tangencial e Ѳ o ângulo formado entre o fio do pêndulo e a direção vertical. A equação para o movimento ao longo do perímetro do arco, também chamado de movimento tangencial é: (2)
  • 5.
    Sendo atg a aceleração aplicada à partícula na direção do movimento, também chamada aceleração tangencial. A variação da posição angular ( Ѳ ) da partícula ao longo de uma trajetória circular, por unidade de tempo é chamada velocidade angular ω . Assim podemos definir a velocidade angular ω como: (3) A velocidade escalar da partícula, também chamada velocidade tangencial está relacionada à velocidade angular através da seguinte expressão: (4) Sendo L o raio da circunferência descrita pela partícula durante o movimento. Aplicando a expressão (3) na expressão (4) , temos: (5)
  • 6.
    Sabendo que aaceleração é a variação da velocidade em função do tempo, a aceleração tangencial é descrita como: (6) Substituindo a expressão (5) na expressão (6) , temos: (7) A expressão (7) descreve a aceleração tangencial em função do comprimento do fio e do ângulo Ѳ . A equação do movimento tangencial é obtida com a substituição das expressões (1) e (7) na expressão (2) :
  • 7.
    Equação linear 2ºordem do Pêndulo: Para ângulos pequenos podemos considerar:
  • 8.
  • 9.
    Solução em termosdas raízes (Raízes Complexas):
  • 10.
  • 11.
  • 12.
  • 13.
  • 14.
    Substituindo Valores paraobter valor teórico do período: L = 2 metros g = 9,8 m/s²
  • 15.
  • 16.
    Obrigado! Referencial Teórico:Halliday, D., Resnick, R., Walker, J.- “Fundamentos de Física 2” – São Paulo: Editora LTC, 4ª edição, 1996. Mathematical pendulum, disponível em: http://www.fizika.org/skripte/of-prakt/of-praktikum.html