PONTIFÍCIA UNIVERSIDADE CATÓLICA DE MINAS GERAIS
ENGENHARIA ELETRÔNICA E DE TELECOMUNICAÇÃO
Projeto – Transmissão
de voz digital
Ciro Marcus Monteiro Campos
Belo Horizonte,
29/11/2006
Paulo Miranda Teixeira Junior
Vanessa Gomes Faria
Projeto – Transmissão
de voz digital
Trabalho apresentado
na disciplina de
Sistemas Analógicos VII,
da Escola de
Engenharia Eletrônica e
de Telecomunicação da
Pontifícia Universidade
Católica de Minas
Gerais.
Orientador:Francisco
Garcia
2
Belo Horizonte
Sumário:
1. Lista de material 04
2. Objetivo 05
3. Introdução 05
4. Cálculos 07
5. Parte Digital 16
6. Resultados 20
7. Comentários 26
8. Conclusão 26
9. Bibliografia 26
Anexo:
DataSheet dos CI’s utilizados.
3
Lista de material:
Lista de componentes utilizados nos filtros:
Capacitores:
- 30 unidades 10nF;
- 2 unidades 47nF;
- 2 unidades 5,6nF;
- 2 unidades 2,2nF;
- 5 unidades 15nF.
Resistores de 1%:
- 4 unidades 4,02KΩ;
- 5 unidades 6,65KΩ;
- 4 unidades 7,87KΩ;
- 2 unidades 2KΩ;
- 2 unidades 3,32KΩ;
- 2 unidades 3,92KΩ;
- 2 unidades 59KΩ;
- 2 unidades 301KΩ;
- 2 unidades 249KΩ;
- 2 unidades 82,5KΩ;
- 2 unidades 18,2KΩ;
- 2 unidades 14KΩ;
- 8 unidades 10KΩ;
- 1 unidade 232KΩ;
- 1 unidade 31,6KΩ;
- 1 unidade 16,2KΩ;
Amplificadores:
- 9 unidades LF351.
- 2 protoboard de 2 vias;
- Fios;
- 1 microfone;
Lista de Componentes do Gerador de Onda Quadrada:
4
- 1 U1 CI555
- 1 R1 3,3 KΩ 1/4W
- 1 R2 383,8 Ω 1/4W
- 2 C 47nF 50V
- 1 D 1N4148
- 1 C2 0.01uF 50V
Objetivo:
Este trabalho consiste em projetarmos um circuito de transmissão de voz
digital, utilizando nossos conhecimentos obtidos a partir das aulas teóricas e
também das práticas, com o auxílio do professor orientador.
Introdução:
Os sinais elétricos, provenientes de microfones, que captam e/ou que
agem sobre os sistemas físicos são geralmente sinais analógicos.O
processamento de sinal no domínio analógico é uma tarefa complexa e pouco
flexível, pelo que é muito comum o recurso à amostragem e ao processamento
do sinal analógico no domínio digital usando processadores digitais de sinal.
Uma vez transportado para o domínio digital, o sinal pode ser processado de
forma tão exata quanto o desejado - dependendo da resolução escolhida -
sendo esta uma das principais vantagens do processamento digital de sinal. O
desempenho de um sistema deste tipo é geralmente limitado pela velocidade e
resolução dos blocos de conversão e pela qualidade dos blocos de filtragem
envolvidos na aquisição e reconstrução do sinal. No sistema apresentado na
figura abaixo existe um pré - amplificador usado para condicionar o sinal para
um nível adequado. A característica mais importante que deve ter um pré-
amplificador diz respeito ao ruído: quanto maior a relação sinal/ruído melhor.
Seguido ao pré - amplificador temos filtro anti-aliasing (filtro passa – faixa) na
entrada, seguido de um circuito de sample & hold e de um conversor A/D,
vulgarmente designado por ADC – Analog to Digital Converter. O conversor
A/D transforma o valor de tensão em cada amostra num vetor digital de bits
que é processado na Linha de transmissão (LT). Após, o sinal digital
processado passa por um conversor D/A, ou DAC – Digital to Analog
Converter, que transforma um número digital num nível de tensão
5
correspondente e conseqüentemente num sinal analógico. Na saída é usado
um filtro de reconstrução ( Filtro passa baixa).
Definição:
fa ∴ frequência de amostragem (sample) - frequência à qual são
tiradas amostras do sinal de entrada.
Figura 1 – Diagrama de blocos.
Filtro anti-aliasing
A filtragem na entrada do sistema – tipicamente feita com um filtro passa-baixo
ou passa-faixa – tem como função reduzir o ruído fora da banda útil do sinal, e
evitar a degradação do sinal devido a aliasing provocado pelo efeito de
amostragem. O filtro Anti-Aliasing limita a frequência do sinal de entrada de
modo a evitar o surgimento de sobreposição espectral significativa próximo de
fa/2.
Circuito de Sample & Hold
O circuito de sample/hold pode ser representado conceitualmente como um
interruptor e um capacitor, tal como pode ser visto na figura seguinte.
Figura 2 – Circuito de Sample & Hold
6
O circuito de sample & hold funciona com base no sinal que controla o
interruptor. O seu funcionamento tem duas fases de operação distintas: na fase
de aquisição (sample) o interruptor fecha e a tensão de entrada vi é passada
para o capacitor C. Na fase de retenção (hold) o interruptor é aberto e o
capacitor mantém aos seus terminais a tensão no instante anterior ao de
comutação, devido à continuidade da tensão aos terminais do capacitor. Como
o circuito fica aberto este valor de tensão não é alterado até que o interruptor
volte a ser fechado. A frequência à qual é comutado o interruptor é a frequência
de amostragem (ou de sample). A figura seguinte ilustra a amostragem de um
sinal de entrada genérico vi . A tensão vs representa o sinal de relógio que
controla o interruptor. A tensão do sinal a observar é acompanhada pelo
capacitor na fase de aquisição e é armazenada no capacitor durante a fase de
retenção, dando origem ao sinal vo na saída do circuito.
Figura 3 – Amostragem de um sinal genérico.
7
Figura 4 – Sinal de entrada Vi e sinal amostrado Vs.
Filtro de reconstrução
Na saída, é comum a utilização de um filtro de reconstrução depois da
conversão de sinal digital para sinal analógico. Tipicamente esta tarefa é
realizada com um filtro passa-baixo e tem por objetivo a eliminação das
réplicas do sinal em múltiplos inteiros da freqüência de conversão.
Cálculos:
Cálculos para o filtro passa- baixa utilizando filtro Elíptico.
Circuito do Filtro Elíptico:
C1
C2
C4C3
+V
V2
+15V
+V
V1
-15V
+
R3
R4
R6
R7
R2R1
Figura 5 – Filtro Passa- Baixa
8
C5
R5
Figura 6– Continuação do filtro passa baixa, porém esta parte do circuito é utilizado
somente no final do 3ºestágio.
Para o cálculo do filtro passa – baixa foi necessário normalizar o filtro e a
partir desta normalização, procurar os valores normalizados na tabela 3.9 e
fazer os procedimentos de cálculo.
Dados do filtro: 3KHz na freqüência de corte
40 Db de atenuação em 4KHz
Normalização: A = 4KHz / 3KHz
A= 1,33
Dados da tabela:
N = 7 RdB = 0,28dB
R1 R2 R3 R4 R5 C1 C2 C3 C4 C5 K G α β ω
N = 7 RdB = 0,28dB
Ω =
1,325
Amin =
65,79
0,3525
0,4407
0,5221
0,7049
0,8815
1,0440
4,0970
0,9119
0,6146
18,44
4,1030
2,7650
1,000
7,0290
3,9490
2,9290
1,5620
0,8452
0,6297
0,2607
0,8170
1,07
0,130
4
0,408
5
0,535
0
2,684
1,106
1,91 3
2,,520
1,046
1,446
1,612
0,290
4
0,147
8
0,041
8
0,372
6
0,552
4
0,882
5
1,012
2,606
1,576
1,347
Figura 7 – Tabela 3 – 9 Filtro Passa - Baixa Elíptico
Através da tabela com os respectivos valores dos componentes acima, é
possível calcular os valores dos componentes.
Para calcularmos os valores dos componentes, utilizamos as seguintes
fórmulas:
Cálculo dos coeficientes:
22
*2
βα
α
+
=a
9
22
2
βα
ω
+
=b
22
* βα += FSFc
fcFSF **2 π=
Cálculo dos componentes 1 º , 2º e 3º estágios:
É necessário arbitrar um valor para o capacitor C1 e desta forma prosseguir
com os cálculos.
C3 = C4 = C1/2
4
)1(1
2
−
≥
bC
C
bcC
R
1
1
3 =
24)1(1
4
4
cCbcC
b
R
+−
=
R1=R2=2R3
Assim como para o capacitor, também tivemos de arbitrar um valor para
o parâmetro R = 10K.
R6=R
R7 = (K – 1)R






−+−+= 2
4
1
1
2
21
22
2 aC
cRbCb
a
C
C
K
Ganho da seção:
124
1
CC
bKC
G
+
=
No 1º estágio teremos:
22
*2
βα
α
+
=a = 22
5524,02904,0
2904,0*2
+
= 0,930
22
2
βα
ω
+
=b 22
2
5524,02904,0
606,2
+
= = 17,437
fcFSF **2 π= = KK 84,183**2 =π
22
* βα += FSFc KK 96,115524,02904,0*84,18 22
=+=
10
Cálculo dos capacitores:
Arbitramos um valor para C1 = 10 nF
C3 = C4 = C1/2 = 5nF
4
)1(1
2
−
≥
bC
C
4
)1437,17(10 −
≥
nF
nF09,41≥ C2 = 47nF
Cálculo dos resistores:
bcC
R
1
1
3 = ==
437,1710*96,11
1
nK
2KΩ
24)1(1
4
4
cCbcC
b
R
+−
= =
+−
=
nKnK 47*76,411)43,171(10*96,11
43,174
59,097KΩ
R1=R2=2R3 = 4 KΩ
Arbitramos um valor para o parâmetro R = 10 KΩ
R6=R = 10KΩ
R7 = (K – 1)R = (9,261 – 1)*10K = 82,61KΩ






−+−+= 2
4
1
1
2
21
22
2 aC
cRbCb
a
C
C
K
=





−+−+= n
KKnn
n
47*9308,0
097,59*96,11
1
437,1710
2
437,172
930,0
10
47*2
2 9,26
1
Ganho da seção:
124
1
CC
bKC
G
+
= =
+
=
nn
n
1047*4
10*261,9*437,17
8,156
No 2º estágio teremos:
22
*2
βα
α
+
=a = 22
8825,01478,0
1478,0*2
+
= 0,330
22
2
βα
ω
+
=b 22
2
8825,01478,0
576,1
+
= = 3,1
fcFSF **2 π= = KK 84,183**2 =π
22
* βα += FSFc KK 148,178825,01478,0*154,19 22
=+=
11
Cálculo dos capacitores:
Arbitramos um valor para C1 = 10 nF
C3 = C4 = C1/2 = 5nF
4
)1(1
2
−
≥
bC
C
4
)11,3(10 −
≥
nF
nF255,5≥ C2 = 5,6nF
Cálculo dos resistores:
bcC
R
1
1
3 = ==
1,310*148,17
1
nK
3,311KΩ
24)1(1
4
4
cCbcC
b
R
+−
= =
+−
=
nKnK 6,5*48,17*4)1,31(10*48,17
1,34
298,14KΩ
R1=R2=2R3 = 6,622 KΩ
Arbitramos um valor para o parâmetro R = 10 KΩ
R6=R = 10KΩ
R7 = (K – 1)R = (2,838 – 1)*10K = 18,384KΩ






−+−+= 2
4
1
1
2
21
22
2 aC
cRbCb
a
C
C
K
=





−+−+= n
KKnn
n
6,5*330,0
14,298*48,17
1
1,310
2
1,32
330,0
10
6,5*2
2 2,838
Ganho da seção:
124
1
CC
bKC
G
+
= =
+
=
nn
n
106,5*4
10*838,2*1,3
2,718
Cálculo do 3º estágio:
22
*2
βα
α
+
=a = 22
012,10418,0
0418,0*2
+
= 0,0825
22
2
βα
ω
+
=b 22
2
012,10418,0
347,1
+
= = 1,769
fcFSF **2 π= = KK 84,183**2 =π
22
* βα += FSFc KK 410,19012,10418,0*84,18 22
=+=
Cálculo dos capacitores:
12
Arbitramos um valor para C1 = 10 nF
C3 = C4 = C1/2 = 5nF
4
)1(1
2
−
≥
bC
C
4
)1769,1(10 −
≥
nF
nF922,1≥ C2 = 2,2nF
0*5*
1
5
αRFSF
C = nF
KK
14
3726,0*10*84,18
1
==
Cálculo dos resistores:
bcC
R
1
1
3 = ==
769,110*410,19
1
nK
3,874KΩ
24)1(1
4
4
cCbcC
b
R
+−
= =
+−
=
nKnK 2,2*410,19*4)769,11(10*410,19
769,14
298,14KΩ
R1=R2=2R3 = 7,748 KΩ
Arbitramos um valor para o parâmetro R = 10 KΩ
R6=R5=R = 10KΩ
R7 = (K – 1)R = (2,413 – 1)*10K = 14,131KΩ






−+−+= 2
4
1
1
2
21
22
2 aC
cRbCb
a
C
C
K
=





−+−+= n
KKnn
n
2,2*08253,0
05,246*410,19
1
769,110
2
769,12
08253,0
10
2,2*2
2 2,4
13
Ganho da seção:
124
1
CC
bKC
G
+
= =
+
=
nn
n
102,2*4
10*413,2*769,1
2,27
O ganho total do filtro será a multiplicação do ganho dos três estágios. Então,
temos:
GTotal = 8,156*2,718*2,27 = 50,32
13
Figura 8 – Filtro Passa – Alta Chebyshev
Dados do filtro:
Freqüência de corte = 300Hz
Chebyshev com ripple de 0,5dB
Utilizamos um filtro passa alta chebyshev de 4ªordem.
1º Estágio:
K=1
De acordo com a tabela 8.2, retirada do livro Amplificadores Operacionais –
Antônio Pertence Júnior, temos:
a = 0,350706
b = 1,063519
Arbitramos um valor para C = 15nF
CcKbaa
b
R
*)]1(*82^[
4
1
ω−++
=
Ω=
−++
= K
nF
61,214
15*3002)]11(063519,1*82^350706,0350706,0[
063519,1*4
π
O valor comercial mais próximo para R1 = 232KΩ
1
222
** RCc
b
R
ω
= Ω== K
KnF
2,6
61,214*)15(*)300*2(
063519,1
22
π
14
O valor comercial mais próximo para R2 = 6,65KΩ
2º Estágio:
K=1
De acordo com a tabela 8.2, retirada do livro Amplificadores Operacionais –
Antônio Pertence Júnior, temos:
a = 0,846680
b = 0,356412
Arbitramos um valor para C = 15nF
CcKbaa
b
R
*)]1(*82^[
4
1
ω−++
=
Ω=
−++
= K
nF
79,29
15*3002)]11(356412,0*82^846680,0846680,0[
356412,0*4
π
O valor comercial mais próximo para R1 = 31,6KΩ
1
222
** RCc
b
R
ω
= Ω== K
KnF
98,14
79,29*)15(*)300*2(
356412,0
22
π
O valor comercial mais próximo para R2 = 16,2KΩ
Para a construção do filtro Passa – Faixa fizemos a junção do filtro Passa –
Alta com o filtro Passa – Baixa.
Parte Digital do projeto:
15
Figura 9 – Implementação digital do projeto
Teoria sobre o 555:
O temporizador 555 é um circuito integrado de alta versatilidade, pois
apresenta um grande número de aplicações em circuitos eletrônicos. Na
maioria das aplicações o 555 é utilizado para produzir intervalos de tempo.
Dentre as aplicações principais, podemos citar: temporizadores, geradores de
pulsos, multivibradores, alarmes etc.
O temporizador 555 foi introduzido no mercado mundial pela
SIGNETICS (uma subsidiária da PHILLIPS) em 1972.A alta aceitação do
mesmo, levou inúmeras industrias de semicondutores a fabricarem (sob
concessão da SIGNETICS) o temporizador 555.
É conveniente ressaltar que o 555 é uma forma de aplicação dos AOP’s,
pois o circuito interno do mesmo apresenta dois comparadores.Na figura 10
apresentamos o diagrama em blocos do circuito interno do 555.Observe a
existência de 3 resistores de 5KΩ,razão pela qual este integrado é denominado
555.
16
Figura 10 – Circuito Integrado 555.
O 555 permite correntes de até 20mA e, portanto, pode acionar diversas
cargas TTL, bem como pequenos alto falantes e relés diretamente.
Uma das aplicações mais comuns do 555 é a sua situação como gerador de
sinais quadrados para acionar circuitos lógicos.Na figura 11 temos um exemplo
disso.
Esta parte do projeto trata de um oscilador que gera uma onda quadrada
com o CI555 para inicializar a conversão. Neste projeto também foi escolhida a
freqüência de 8KHz.
Com o CI555 existem várias possibilidades de gerar ondas quadradas, e neste
projeto específico onde temos que gerar uma onda com duty-cycle 10% em
nível baixo e 90% em nível alto, utilizaremos o circuito da figura 11.
17
Figura 11- Circuito gerador de onda quadrada.
Este circuito tem um tempo de nível alto igual ao tempo de nível baixo porque o
capacitor C é carregado pela malha de Vcc,R1,D e C, o diodo D curto-circuita
R2,retirando o mesmo do circuito de carga. A malha de descarga é feita por C,
R2 e o pino 7 do CI 555.
O tempo Ton=0.693xR1xC e Toff=0.693xR2xC.O capacitor de 0.01uF deve ser
colocado para redução de ruídos. Como nossa freqüência é de 8KHz então :
T=Ton+Toff=125 µ s. Ton=112,5 µ s. Toff=12,5 µ s. O capacitor arbitrado foi de
47nF, então :
Ω=
⋅
= K
n
R 45.3
47693.0
5,112
1
µ
.
Ω=
⋅
= 8,383
47693.0
5,12
2
n
R
µ
.
O diodo D será o 1N4148.
Sample – Hold (LF398):
18
Como Toff(10%) = 12,5 µ s, o tempo para o capacitor C descarregar é
aproximadamente este. Segundo o gráfico Acquisition Time que pode ser
encontrado na primeira página do DataSheet do fabricante, com um tempo de
aproximadamente 10 μs, o capacitor recomendado é 3nF.
Figura 12 – Sample/Hold.
Conversor A/D 0802:
A freqüência de clock recomendada para este conversor é de 640KHz,
segundo o DataSheet. Porém, com esta freqüência, o tempo de conversão
seria superior ao Ton(112,5 μs) projetado para o 555. Escolhemos então, a
freqüência de 730KHz que gera um tempo de conversão de 100 μs. Este valor
foi arbitrado próximo ao valor do DataSheet para preservar a confiabilidade da
conversão. A partir desta freqüência, calculamos o resistor e o capacitor que
definem o CLK IN e o CLK R do conversor. De acordo com a página 23 do
DataSheet fclk = 1/1,1*RC.
19
Resultados:
Lay out do Filtro Passa Faixa:
Figura 13 – Lay out do filtro passa faixa/passa baixa impresso na placa de fenolite.
20
1.000 Hz 10.00 Hz 100.0 Hz 1.000kHz 10.00kHz
50.00 dB
25.00 dB
0.000 dB
-25.00 dB
-50.00 dB
-75.00 dB
-100.0 dB
A: c13_2
Measurement Cursors
1 c13_2 X: 3.0304k Y: 31.015
2 c13_2 X: 4.0530k Y: -55.161
Cursor 2 - Cursor 1 X: 1.0226k Y: -86.176
Simulações e testes feitos com os filtros no Circuit Maker:
C13
15nF
+
U3
LF351
+V
V6
-15V
+V
V5
+15V
C12
5nF
C11
5nF
C10
2.2nF
C9
10nF
+
U2
LF351
+V
V4
-15V
+V
V3
+15V
C8
5nF
C7
5nF
C6
5.6nF
C5
10nF
C1
10nF
C2
47nF
C4
5nF
C3
5nF
+V
V2
+15V
+V
V1
-15V
+
U1
LF351 R19
10k
R18
7.87K
R17
7.87K
R16
14K
R15
10k
R14
249K
R13
3.92K
R12
6.65K
R11
6.65K
R10
18.20K
R9
10k
R8
301K
R5
3.32K
R3
2K
R4
59K
R6
10k
R7
82.5k
R2
4.02K
R1
4.02K
Figura 14 – Circuito Filtro Passa Baixa
Figura 15 – Simulação feita no Circuit Maker do filtro passa baixa
Circuito Passa – Faixa:
21
1.000 Hz 10.00 Hz 100.0 Hz 1.000kHz 10.00kHz
75.00 dB
25.00 dB
-25.00 dB
-75.00 dB
-125.0 dB
-175.0 dB
A: c13_2
Measurement Cursors
1 c13_2 X: 3.0438k Y: 30.563
2 c13_2 X: 4.0234k Y: -41.658
Cursor 2 - Cursor 1 X: 979.57 Y: -72.221
1.000 Hz 10.00 Hz 100.0 Hz 1.000kHz 10.00kHz
75.00 dB
25.00 dB
-25.00 dB
-75.00 dB
-125.0 dB
-175.0 dB
A: c13_2
Measurement Cursors
1 c13_2 X: 60.607 Y: -27.181
2 c13_2 X: 295.14 Y: 34.165
Cursor 2 - Cursor 1 X: 234.53 Y: 61.346
C20
15nF
+
U7
LF351
+
U6
LF351 +V
V15
+15V
+V
V14
+15V
+V
V13
-15V
+V
V12
-15V
C19
15nF
C18
15nF
C17
15nF
1kHz
V7
-100m/100mV
C13
15nF
+
U3
LF351
+V
V6
-15V
+V
V5
+15V
C12
5nF
C11
5nF
C10
2.2nF
C9
10nF
+
U2
LF351
+V
V4
-15V
+V
V3
+15V
C8
5nF
C7
5nF
C6
5.6nF
C5
10nF
C1
10nF
C2
47nF
C4
5nF
C3
5nF
+V
V2
+15V
+V
V1
-15V
+
U1
LF351
R28
6.65K
R27
16.2K
R26
31.6k
R25
232k
R19
10k
R18
7.87K
R17
7.87K
R16
14K
R15
10k
R14
249K
R13
3.92K
R12
6.65K
R11
6.65K
R10
18.20K
R9
10k
R8
301K
R5
3.32K
R3
2K
R4
59K
R6
10k
R7
82.5k
R2
4.02K
R1
4.02K
Figura 16 – Circuito do filtro Passa – Faixa.
Gráfico Passa – Faixa ( Corte de 60Hz a 300hz):
Figura 17 – Simulação do filtro PF (fc = 300Hz)
Gráfico Passa Faixa (3KHz a 4KHz):
Figura 18– Simulação do filtro PF (fc = 3KHz)
22
Gráfico Passa Faixa – Detalhe Ripple:
1.000kHz
50.00 dB
40.00 dB
30.00 dB
20.00 dB
10.00 dB
0.000 dB
-10.00 dB
A: c13_2
Measurement Cursors
1 c13_2 X: 292.56 Y: 34.140
2 c13_2 X: 2.1922k Y: 33.285
Cursor 2 - Cursor 1 X: 1.8997k Y: -854.71m
Figura 19 – Ripple do Filtro Passa Faixa.
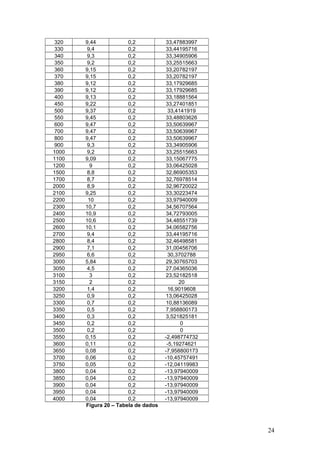
Tabela de dados, obtidos a partir dos testes feitos na sala de aula:
BASE DE DADOS
f (Hz) V (saída) V (entrada) Ganho (dB)
10 0,05 0,2 -12,04119983
20 0,05 0,2 -12,04119983
30 0,05 0,2 -12,04119983
40 0,05 0,2 -12,04119983
50 0,05 0,2 -12,04119983
60 0,05 0,2 -12,04119983
70 0,05 0,2 -12,04119983
80 0,05 0,2 -12,04119983
90 0,07 0,2 -9,118639113
100 0,08 0,2 -7,958800173
110 0,11 0,2 -5,19274621
120 0,14 0,2 -3,0980392
130 0,23 0,2 1,213956807
140 0,34 0,2 4,608978428
150 0,45 0,2 7,043650362
160 0,6 0,2 9,542425094
170 0,8 0,2 12,04119983
180 1,1 0,2 14,80725379
190 1,5 0,2 17,50122527
200 2 0,2 20
210 2,6 0,2 22,27886705
220 3,4 0,2 24,60897843
230 4,4 0,2 26,84845362
240 5,6 0,2 28,94316063
250 6,7 0,2 30,50089614
260 7,9 0,2 31,93194191
270 8,8 0,2 32,86905353
280 9,28 0,2 33,33035961
290 9,5 0,2 33,53387219
300 9,55 0,2 33,57946752
310 9,5 0,2 33,53387219
23
320 9,44 0,2 33,47883997
330 9,4 0,2 33,44195716
340 9,3 0,2 33,34905906
350 9,2 0,2 33,25515663
360 9,15 0,2 33,20782197
370 9,15 0,2 33,20782197
380 9,12 0,2 33,17929685
390 9,12 0,2 33,17929685
400 9,13 0,2 33,18881564
450 9,22 0,2 33,27401851
500 9,37 0,2 33,4141919
550 9,45 0,2 33,48803626
600 9,47 0,2 33,50639967
700 9,47 0,2 33,50639967
800 9,47 0,2 33,50639967
900 9,3 0,2 33,34905906
1000 9,2 0,2 33,25515663
1100 9,09 0,2 33,15067775
1200 9 0,2 33,06425028
1500 8,8 0,2 32,86905353
1700 8,7 0,2 32,76978514
2000 8,9 0,2 32,96720022
2100 9,25 0,2 33,30223474
2200 10 0,2 33,97940009
2300 10,7 0,2 34,56707564
2400 10,9 0,2 34,72793005
2500 10,6 0,2 34,48551739
2600 10,1 0,2 34,06582756
2700 9,4 0,2 33,44195716
2800 8,4 0,2 32,46498581
2900 7,1 0,2 31,00456706
2950 6,6 0,2 30,3702788
3000 5,84 0,2 29,30765703
3050 4,5 0,2 27,04365036
3100 3 0,2 23,52182518
3150 2 0,2 20
3200 1,4 0,2 16,9019608
3250 0,9 0,2 13,06425028
3300 0,7 0,2 10,88136089
3350 0,5 0,2 7,958800173
3400 0,3 0,2 3,521825181
3450 0,2 0,2 0
3500 0,2 0,2 0
3550 0,15 0,2 -2,498774732
3600 0,11 0,2 -5,19274621
3650 0,08 0,2 -7,958800173
3700 0,06 0,2 -10,45757491
3750 0,05 0,2 -12,04119983
3800 0,04 0,2 -13,97940009
3850 0,04 0,2 -13,97940009
3900 0,04 0,2 -13,97940009
3950 0,04 0,2 -13,97940009
4000 0,04 0,2 -13,97940009
Figura 20 – Tabela de dados
24
A seguir segue o gráfico do Ganho(dB) x Freqüência(Hz) do Filtro Passa –
Faixa:
Ripple
29
30
31
32
33
34
35
100 1000 10000
Frequência (Hz)
Ganho(dB)
Figura 21 – Gráfico do ripple do filtro passa – faixa, obtido a partir da tabela de dados.
A partir dos valores obtidos na tabela de dados, através de testes feitos
na sala de aula, temos o gráfico do filtro passa – faixa abaixo:
Filtro Passa Faixa
-20
-10
0
10
20
30
40
10 100 1000 10000
Frequência (Hz)
Ganho(dB)
Figura 22 – Gráfico do filtro passa – faixa, obtido da tabela de dados.
25
Comentários sobre os testes realizados sobre o projeto:
Os testes foram realizados separadamente em cada circuito. Ao se
realizar o teste no circuito passa faixa, o mesmo apresentou uma oscilação a
partir do 2ºestágio. Após várias tentativas foi observado que durante a
montagem dois resistores foram trocados, motivo pelo qual as oscilações
apareceram. Foi feita a troca dos resistores e o circuito voltou a operar
satisfatoriamente. Logo após, foi testada a parte onde se encontra o circuito
digital do nosso projeto. No início dos testes foi observado primeiramente que o
Sample/Hold ficava em Hold durante pouco tempo. Para melhorar seu
funcionamento foi instalado um inversor com transistor para inverter o sinal de
controle do sample/hold. Após esta implementação foi observada a onda
digitalizada na saída do amplificador operacional acoplado ao conversor D/A.
Em seguida, foi testado o filtro passa baixa, e este por sua vez, apresentou
uma oscilação no 1º estágio, que não foi solucionado para os testes, ele foi
jumpeado do circuito. Ao ser feita a interligação dos circuitos houve a
necessidade de se elevar o nível DC da saída do filtro passa faixa, pois o
circuito “digital” não aceita sinal negativo e também tivemos que alterar o valor
do resistor de saída do amplificador operacional do conversor D/A para 1KΩ.
Isso foi feito para diminuir o valor do sinal que entra no filtro passa baixa, pois o
mesmo tem alto ganho e foi inserido um resistor de 100Ω antes deste mesmo
filtro para servir como carga do 1º estágio.
Conclusão:
A partir deste trabalho pudemos colocar em prática nossos
conhecimentos obtidos através de aulas teóricas e práticas vistas
anteriormente. Este foi um projeto que englobou tanto a parte analógica (filtros)
quanto a digital (conversores), nos exigindo bastante dedicação para poder
fazer o projeto funcionar. Através deste, notamos o quão difícil é fazer um
projeto e conseguir os resultados esperados na prática, pois nem sempre tudo
que calculamos podem ser encontrados em valores comerciais. E muitas vezes
as diferenças desses valores encontrados podem provocar distorções nos
resultados esperados. Pudemos perceber que um projeto requer muito
empenho e conhecimento sobre o que se está projetando, pois senão este não
funciona. Concluindo, podemos dizer que esta foi uma experiência valida que
necessitou muito dos nossos conhecimentos, nosso estudo, juntando em um só
trabalho uma grande quantidade de informações no qual tivemos que nos
dedicar para colocar na teoria e na prática o projeto funcionando.
Bibliografia:
- Internet;
- Livro Amplificadores Operacionais – Antônio Pertence Júnior;
- Apostila indicada pelo professor.
26

Projeto – Transmissão de voz digital

  • 1.
    PONTIFÍCIA UNIVERSIDADE CATÓLICADE MINAS GERAIS ENGENHARIA ELETRÔNICA E DE TELECOMUNICAÇÃO Projeto – Transmissão de voz digital Ciro Marcus Monteiro Campos Belo Horizonte, 29/11/2006
  • 2.
    Paulo Miranda TeixeiraJunior Vanessa Gomes Faria Projeto – Transmissão de voz digital Trabalho apresentado na disciplina de Sistemas Analógicos VII, da Escola de Engenharia Eletrônica e de Telecomunicação da Pontifícia Universidade Católica de Minas Gerais. Orientador:Francisco Garcia 2
  • 3.
    Belo Horizonte Sumário: 1. Listade material 04 2. Objetivo 05 3. Introdução 05 4. Cálculos 07 5. Parte Digital 16 6. Resultados 20 7. Comentários 26 8. Conclusão 26 9. Bibliografia 26 Anexo: DataSheet dos CI’s utilizados. 3
  • 4.
    Lista de material: Listade componentes utilizados nos filtros: Capacitores: - 30 unidades 10nF; - 2 unidades 47nF; - 2 unidades 5,6nF; - 2 unidades 2,2nF; - 5 unidades 15nF. Resistores de 1%: - 4 unidades 4,02KΩ; - 5 unidades 6,65KΩ; - 4 unidades 7,87KΩ; - 2 unidades 2KΩ; - 2 unidades 3,32KΩ; - 2 unidades 3,92KΩ; - 2 unidades 59KΩ; - 2 unidades 301KΩ; - 2 unidades 249KΩ; - 2 unidades 82,5KΩ; - 2 unidades 18,2KΩ; - 2 unidades 14KΩ; - 8 unidades 10KΩ; - 1 unidade 232KΩ; - 1 unidade 31,6KΩ; - 1 unidade 16,2KΩ; Amplificadores: - 9 unidades LF351. - 2 protoboard de 2 vias; - Fios; - 1 microfone; Lista de Componentes do Gerador de Onda Quadrada: 4
  • 5.
    - 1 U1CI555 - 1 R1 3,3 KΩ 1/4W - 1 R2 383,8 Ω 1/4W - 2 C 47nF 50V - 1 D 1N4148 - 1 C2 0.01uF 50V Objetivo: Este trabalho consiste em projetarmos um circuito de transmissão de voz digital, utilizando nossos conhecimentos obtidos a partir das aulas teóricas e também das práticas, com o auxílio do professor orientador. Introdução: Os sinais elétricos, provenientes de microfones, que captam e/ou que agem sobre os sistemas físicos são geralmente sinais analógicos.O processamento de sinal no domínio analógico é uma tarefa complexa e pouco flexível, pelo que é muito comum o recurso à amostragem e ao processamento do sinal analógico no domínio digital usando processadores digitais de sinal. Uma vez transportado para o domínio digital, o sinal pode ser processado de forma tão exata quanto o desejado - dependendo da resolução escolhida - sendo esta uma das principais vantagens do processamento digital de sinal. O desempenho de um sistema deste tipo é geralmente limitado pela velocidade e resolução dos blocos de conversão e pela qualidade dos blocos de filtragem envolvidos na aquisição e reconstrução do sinal. No sistema apresentado na figura abaixo existe um pré - amplificador usado para condicionar o sinal para um nível adequado. A característica mais importante que deve ter um pré- amplificador diz respeito ao ruído: quanto maior a relação sinal/ruído melhor. Seguido ao pré - amplificador temos filtro anti-aliasing (filtro passa – faixa) na entrada, seguido de um circuito de sample & hold e de um conversor A/D, vulgarmente designado por ADC – Analog to Digital Converter. O conversor A/D transforma o valor de tensão em cada amostra num vetor digital de bits que é processado na Linha de transmissão (LT). Após, o sinal digital processado passa por um conversor D/A, ou DAC – Digital to Analog Converter, que transforma um número digital num nível de tensão 5
  • 6.
    correspondente e conseqüentementenum sinal analógico. Na saída é usado um filtro de reconstrução ( Filtro passa baixa). Definição: fa ∴ frequência de amostragem (sample) - frequência à qual são tiradas amostras do sinal de entrada. Figura 1 – Diagrama de blocos. Filtro anti-aliasing A filtragem na entrada do sistema – tipicamente feita com um filtro passa-baixo ou passa-faixa – tem como função reduzir o ruído fora da banda útil do sinal, e evitar a degradação do sinal devido a aliasing provocado pelo efeito de amostragem. O filtro Anti-Aliasing limita a frequência do sinal de entrada de modo a evitar o surgimento de sobreposição espectral significativa próximo de fa/2. Circuito de Sample & Hold O circuito de sample/hold pode ser representado conceitualmente como um interruptor e um capacitor, tal como pode ser visto na figura seguinte. Figura 2 – Circuito de Sample & Hold 6
  • 7.
    O circuito desample & hold funciona com base no sinal que controla o interruptor. O seu funcionamento tem duas fases de operação distintas: na fase de aquisição (sample) o interruptor fecha e a tensão de entrada vi é passada para o capacitor C. Na fase de retenção (hold) o interruptor é aberto e o capacitor mantém aos seus terminais a tensão no instante anterior ao de comutação, devido à continuidade da tensão aos terminais do capacitor. Como o circuito fica aberto este valor de tensão não é alterado até que o interruptor volte a ser fechado. A frequência à qual é comutado o interruptor é a frequência de amostragem (ou de sample). A figura seguinte ilustra a amostragem de um sinal de entrada genérico vi . A tensão vs representa o sinal de relógio que controla o interruptor. A tensão do sinal a observar é acompanhada pelo capacitor na fase de aquisição e é armazenada no capacitor durante a fase de retenção, dando origem ao sinal vo na saída do circuito. Figura 3 – Amostragem de um sinal genérico. 7
  • 8.
    Figura 4 –Sinal de entrada Vi e sinal amostrado Vs. Filtro de reconstrução Na saída, é comum a utilização de um filtro de reconstrução depois da conversão de sinal digital para sinal analógico. Tipicamente esta tarefa é realizada com um filtro passa-baixo e tem por objetivo a eliminação das réplicas do sinal em múltiplos inteiros da freqüência de conversão. Cálculos: Cálculos para o filtro passa- baixa utilizando filtro Elíptico. Circuito do Filtro Elíptico: C1 C2 C4C3 +V V2 +15V +V V1 -15V + R3 R4 R6 R7 R2R1 Figura 5 – Filtro Passa- Baixa 8
  • 9.
    C5 R5 Figura 6– Continuaçãodo filtro passa baixa, porém esta parte do circuito é utilizado somente no final do 3ºestágio. Para o cálculo do filtro passa – baixa foi necessário normalizar o filtro e a partir desta normalização, procurar os valores normalizados na tabela 3.9 e fazer os procedimentos de cálculo. Dados do filtro: 3KHz na freqüência de corte 40 Db de atenuação em 4KHz Normalização: A = 4KHz / 3KHz A= 1,33 Dados da tabela: N = 7 RdB = 0,28dB R1 R2 R3 R4 R5 C1 C2 C3 C4 C5 K G α β ω N = 7 RdB = 0,28dB Ω = 1,325 Amin = 65,79 0,3525 0,4407 0,5221 0,7049 0,8815 1,0440 4,0970 0,9119 0,6146 18,44 4,1030 2,7650 1,000 7,0290 3,9490 2,9290 1,5620 0,8452 0,6297 0,2607 0,8170 1,07 0,130 4 0,408 5 0,535 0 2,684 1,106 1,91 3 2,,520 1,046 1,446 1,612 0,290 4 0,147 8 0,041 8 0,372 6 0,552 4 0,882 5 1,012 2,606 1,576 1,347 Figura 7 – Tabela 3 – 9 Filtro Passa - Baixa Elíptico Através da tabela com os respectivos valores dos componentes acima, é possível calcular os valores dos componentes. Para calcularmos os valores dos componentes, utilizamos as seguintes fórmulas: Cálculo dos coeficientes: 22 *2 βα α + =a 9
  • 10.
    22 2 βα ω + =b 22 * βα +=FSFc fcFSF **2 π= Cálculo dos componentes 1 º , 2º e 3º estágios: É necessário arbitrar um valor para o capacitor C1 e desta forma prosseguir com os cálculos. C3 = C4 = C1/2 4 )1(1 2 − ≥ bC C bcC R 1 1 3 = 24)1(1 4 4 cCbcC b R +− = R1=R2=2R3 Assim como para o capacitor, também tivemos de arbitrar um valor para o parâmetro R = 10K. R6=R R7 = (K – 1)R       −+−+= 2 4 1 1 2 21 22 2 aC cRbCb a C C K Ganho da seção: 124 1 CC bKC G + = No 1º estágio teremos: 22 *2 βα α + =a = 22 5524,02904,0 2904,0*2 + = 0,930 22 2 βα ω + =b 22 2 5524,02904,0 606,2 + = = 17,437 fcFSF **2 π= = KK 84,183**2 =π 22 * βα += FSFc KK 96,115524,02904,0*84,18 22 =+= 10
  • 11.
    Cálculo dos capacitores: Arbitramosum valor para C1 = 10 nF C3 = C4 = C1/2 = 5nF 4 )1(1 2 − ≥ bC C 4 )1437,17(10 − ≥ nF nF09,41≥ C2 = 47nF Cálculo dos resistores: bcC R 1 1 3 = == 437,1710*96,11 1 nK 2KΩ 24)1(1 4 4 cCbcC b R +− = = +− = nKnK 47*76,411)43,171(10*96,11 43,174 59,097KΩ R1=R2=2R3 = 4 KΩ Arbitramos um valor para o parâmetro R = 10 KΩ R6=R = 10KΩ R7 = (K – 1)R = (9,261 – 1)*10K = 82,61KΩ       −+−+= 2 4 1 1 2 21 22 2 aC cRbCb a C C K =      −+−+= n KKnn n 47*9308,0 097,59*96,11 1 437,1710 2 437,172 930,0 10 47*2 2 9,26 1 Ganho da seção: 124 1 CC bKC G + = = + = nn n 1047*4 10*261,9*437,17 8,156 No 2º estágio teremos: 22 *2 βα α + =a = 22 8825,01478,0 1478,0*2 + = 0,330 22 2 βα ω + =b 22 2 8825,01478,0 576,1 + = = 3,1 fcFSF **2 π= = KK 84,183**2 =π 22 * βα += FSFc KK 148,178825,01478,0*154,19 22 =+= 11
  • 12.
    Cálculo dos capacitores: Arbitramosum valor para C1 = 10 nF C3 = C4 = C1/2 = 5nF 4 )1(1 2 − ≥ bC C 4 )11,3(10 − ≥ nF nF255,5≥ C2 = 5,6nF Cálculo dos resistores: bcC R 1 1 3 = == 1,310*148,17 1 nK 3,311KΩ 24)1(1 4 4 cCbcC b R +− = = +− = nKnK 6,5*48,17*4)1,31(10*48,17 1,34 298,14KΩ R1=R2=2R3 = 6,622 KΩ Arbitramos um valor para o parâmetro R = 10 KΩ R6=R = 10KΩ R7 = (K – 1)R = (2,838 – 1)*10K = 18,384KΩ       −+−+= 2 4 1 1 2 21 22 2 aC cRbCb a C C K =      −+−+= n KKnn n 6,5*330,0 14,298*48,17 1 1,310 2 1,32 330,0 10 6,5*2 2 2,838 Ganho da seção: 124 1 CC bKC G + = = + = nn n 106,5*4 10*838,2*1,3 2,718 Cálculo do 3º estágio: 22 *2 βα α + =a = 22 012,10418,0 0418,0*2 + = 0,0825 22 2 βα ω + =b 22 2 012,10418,0 347,1 + = = 1,769 fcFSF **2 π= = KK 84,183**2 =π 22 * βα += FSFc KK 410,19012,10418,0*84,18 22 =+= Cálculo dos capacitores: 12
  • 13.
    Arbitramos um valorpara C1 = 10 nF C3 = C4 = C1/2 = 5nF 4 )1(1 2 − ≥ bC C 4 )1769,1(10 − ≥ nF nF922,1≥ C2 = 2,2nF 0*5* 1 5 αRFSF C = nF KK 14 3726,0*10*84,18 1 == Cálculo dos resistores: bcC R 1 1 3 = == 769,110*410,19 1 nK 3,874KΩ 24)1(1 4 4 cCbcC b R +− = = +− = nKnK 2,2*410,19*4)769,11(10*410,19 769,14 298,14KΩ R1=R2=2R3 = 7,748 KΩ Arbitramos um valor para o parâmetro R = 10 KΩ R6=R5=R = 10KΩ R7 = (K – 1)R = (2,413 – 1)*10K = 14,131KΩ       −+−+= 2 4 1 1 2 21 22 2 aC cRbCb a C C K =      −+−+= n KKnn n 2,2*08253,0 05,246*410,19 1 769,110 2 769,12 08253,0 10 2,2*2 2 2,4 13 Ganho da seção: 124 1 CC bKC G + = = + = nn n 102,2*4 10*413,2*769,1 2,27 O ganho total do filtro será a multiplicação do ganho dos três estágios. Então, temos: GTotal = 8,156*2,718*2,27 = 50,32 13
  • 14.
    Figura 8 –Filtro Passa – Alta Chebyshev Dados do filtro: Freqüência de corte = 300Hz Chebyshev com ripple de 0,5dB Utilizamos um filtro passa alta chebyshev de 4ªordem. 1º Estágio: K=1 De acordo com a tabela 8.2, retirada do livro Amplificadores Operacionais – Antônio Pertence Júnior, temos: a = 0,350706 b = 1,063519 Arbitramos um valor para C = 15nF CcKbaa b R *)]1(*82^[ 4 1 ω−++ = Ω= −++ = K nF 61,214 15*3002)]11(063519,1*82^350706,0350706,0[ 063519,1*4 π O valor comercial mais próximo para R1 = 232KΩ 1 222 ** RCc b R ω = Ω== K KnF 2,6 61,214*)15(*)300*2( 063519,1 22 π 14
  • 15.
    O valor comercialmais próximo para R2 = 6,65KΩ 2º Estágio: K=1 De acordo com a tabela 8.2, retirada do livro Amplificadores Operacionais – Antônio Pertence Júnior, temos: a = 0,846680 b = 0,356412 Arbitramos um valor para C = 15nF CcKbaa b R *)]1(*82^[ 4 1 ω−++ = Ω= −++ = K nF 79,29 15*3002)]11(356412,0*82^846680,0846680,0[ 356412,0*4 π O valor comercial mais próximo para R1 = 31,6KΩ 1 222 ** RCc b R ω = Ω== K KnF 98,14 79,29*)15(*)300*2( 356412,0 22 π O valor comercial mais próximo para R2 = 16,2KΩ Para a construção do filtro Passa – Faixa fizemos a junção do filtro Passa – Alta com o filtro Passa – Baixa. Parte Digital do projeto: 15
  • 16.
    Figura 9 –Implementação digital do projeto Teoria sobre o 555: O temporizador 555 é um circuito integrado de alta versatilidade, pois apresenta um grande número de aplicações em circuitos eletrônicos. Na maioria das aplicações o 555 é utilizado para produzir intervalos de tempo. Dentre as aplicações principais, podemos citar: temporizadores, geradores de pulsos, multivibradores, alarmes etc. O temporizador 555 foi introduzido no mercado mundial pela SIGNETICS (uma subsidiária da PHILLIPS) em 1972.A alta aceitação do mesmo, levou inúmeras industrias de semicondutores a fabricarem (sob concessão da SIGNETICS) o temporizador 555. É conveniente ressaltar que o 555 é uma forma de aplicação dos AOP’s, pois o circuito interno do mesmo apresenta dois comparadores.Na figura 10 apresentamos o diagrama em blocos do circuito interno do 555.Observe a existência de 3 resistores de 5KΩ,razão pela qual este integrado é denominado 555. 16
  • 17.
    Figura 10 –Circuito Integrado 555. O 555 permite correntes de até 20mA e, portanto, pode acionar diversas cargas TTL, bem como pequenos alto falantes e relés diretamente. Uma das aplicações mais comuns do 555 é a sua situação como gerador de sinais quadrados para acionar circuitos lógicos.Na figura 11 temos um exemplo disso. Esta parte do projeto trata de um oscilador que gera uma onda quadrada com o CI555 para inicializar a conversão. Neste projeto também foi escolhida a freqüência de 8KHz. Com o CI555 existem várias possibilidades de gerar ondas quadradas, e neste projeto específico onde temos que gerar uma onda com duty-cycle 10% em nível baixo e 90% em nível alto, utilizaremos o circuito da figura 11. 17
  • 18.
    Figura 11- Circuitogerador de onda quadrada. Este circuito tem um tempo de nível alto igual ao tempo de nível baixo porque o capacitor C é carregado pela malha de Vcc,R1,D e C, o diodo D curto-circuita R2,retirando o mesmo do circuito de carga. A malha de descarga é feita por C, R2 e o pino 7 do CI 555. O tempo Ton=0.693xR1xC e Toff=0.693xR2xC.O capacitor de 0.01uF deve ser colocado para redução de ruídos. Como nossa freqüência é de 8KHz então : T=Ton+Toff=125 µ s. Ton=112,5 µ s. Toff=12,5 µ s. O capacitor arbitrado foi de 47nF, então : Ω= ⋅ = K n R 45.3 47693.0 5,112 1 µ . Ω= ⋅ = 8,383 47693.0 5,12 2 n R µ . O diodo D será o 1N4148. Sample – Hold (LF398): 18
  • 19.
    Como Toff(10%) =12,5 µ s, o tempo para o capacitor C descarregar é aproximadamente este. Segundo o gráfico Acquisition Time que pode ser encontrado na primeira página do DataSheet do fabricante, com um tempo de aproximadamente 10 μs, o capacitor recomendado é 3nF. Figura 12 – Sample/Hold. Conversor A/D 0802: A freqüência de clock recomendada para este conversor é de 640KHz, segundo o DataSheet. Porém, com esta freqüência, o tempo de conversão seria superior ao Ton(112,5 μs) projetado para o 555. Escolhemos então, a freqüência de 730KHz que gera um tempo de conversão de 100 μs. Este valor foi arbitrado próximo ao valor do DataSheet para preservar a confiabilidade da conversão. A partir desta freqüência, calculamos o resistor e o capacitor que definem o CLK IN e o CLK R do conversor. De acordo com a página 23 do DataSheet fclk = 1/1,1*RC. 19
  • 20.
    Resultados: Lay out doFiltro Passa Faixa: Figura 13 – Lay out do filtro passa faixa/passa baixa impresso na placa de fenolite. 20
  • 21.
    1.000 Hz 10.00Hz 100.0 Hz 1.000kHz 10.00kHz 50.00 dB 25.00 dB 0.000 dB -25.00 dB -50.00 dB -75.00 dB -100.0 dB A: c13_2 Measurement Cursors 1 c13_2 X: 3.0304k Y: 31.015 2 c13_2 X: 4.0530k Y: -55.161 Cursor 2 - Cursor 1 X: 1.0226k Y: -86.176 Simulações e testes feitos com os filtros no Circuit Maker: C13 15nF + U3 LF351 +V V6 -15V +V V5 +15V C12 5nF C11 5nF C10 2.2nF C9 10nF + U2 LF351 +V V4 -15V +V V3 +15V C8 5nF C7 5nF C6 5.6nF C5 10nF C1 10nF C2 47nF C4 5nF C3 5nF +V V2 +15V +V V1 -15V + U1 LF351 R19 10k R18 7.87K R17 7.87K R16 14K R15 10k R14 249K R13 3.92K R12 6.65K R11 6.65K R10 18.20K R9 10k R8 301K R5 3.32K R3 2K R4 59K R6 10k R7 82.5k R2 4.02K R1 4.02K Figura 14 – Circuito Filtro Passa Baixa Figura 15 – Simulação feita no Circuit Maker do filtro passa baixa Circuito Passa – Faixa: 21
  • 22.
    1.000 Hz 10.00Hz 100.0 Hz 1.000kHz 10.00kHz 75.00 dB 25.00 dB -25.00 dB -75.00 dB -125.0 dB -175.0 dB A: c13_2 Measurement Cursors 1 c13_2 X: 3.0438k Y: 30.563 2 c13_2 X: 4.0234k Y: -41.658 Cursor 2 - Cursor 1 X: 979.57 Y: -72.221 1.000 Hz 10.00 Hz 100.0 Hz 1.000kHz 10.00kHz 75.00 dB 25.00 dB -25.00 dB -75.00 dB -125.0 dB -175.0 dB A: c13_2 Measurement Cursors 1 c13_2 X: 60.607 Y: -27.181 2 c13_2 X: 295.14 Y: 34.165 Cursor 2 - Cursor 1 X: 234.53 Y: 61.346 C20 15nF + U7 LF351 + U6 LF351 +V V15 +15V +V V14 +15V +V V13 -15V +V V12 -15V C19 15nF C18 15nF C17 15nF 1kHz V7 -100m/100mV C13 15nF + U3 LF351 +V V6 -15V +V V5 +15V C12 5nF C11 5nF C10 2.2nF C9 10nF + U2 LF351 +V V4 -15V +V V3 +15V C8 5nF C7 5nF C6 5.6nF C5 10nF C1 10nF C2 47nF C4 5nF C3 5nF +V V2 +15V +V V1 -15V + U1 LF351 R28 6.65K R27 16.2K R26 31.6k R25 232k R19 10k R18 7.87K R17 7.87K R16 14K R15 10k R14 249K R13 3.92K R12 6.65K R11 6.65K R10 18.20K R9 10k R8 301K R5 3.32K R3 2K R4 59K R6 10k R7 82.5k R2 4.02K R1 4.02K Figura 16 – Circuito do filtro Passa – Faixa. Gráfico Passa – Faixa ( Corte de 60Hz a 300hz): Figura 17 – Simulação do filtro PF (fc = 300Hz) Gráfico Passa Faixa (3KHz a 4KHz): Figura 18– Simulação do filtro PF (fc = 3KHz) 22
  • 23.
    Gráfico Passa Faixa– Detalhe Ripple: 1.000kHz 50.00 dB 40.00 dB 30.00 dB 20.00 dB 10.00 dB 0.000 dB -10.00 dB A: c13_2 Measurement Cursors 1 c13_2 X: 292.56 Y: 34.140 2 c13_2 X: 2.1922k Y: 33.285 Cursor 2 - Cursor 1 X: 1.8997k Y: -854.71m Figura 19 – Ripple do Filtro Passa Faixa. Tabela de dados, obtidos a partir dos testes feitos na sala de aula: BASE DE DADOS f (Hz) V (saída) V (entrada) Ganho (dB) 10 0,05 0,2 -12,04119983 20 0,05 0,2 -12,04119983 30 0,05 0,2 -12,04119983 40 0,05 0,2 -12,04119983 50 0,05 0,2 -12,04119983 60 0,05 0,2 -12,04119983 70 0,05 0,2 -12,04119983 80 0,05 0,2 -12,04119983 90 0,07 0,2 -9,118639113 100 0,08 0,2 -7,958800173 110 0,11 0,2 -5,19274621 120 0,14 0,2 -3,0980392 130 0,23 0,2 1,213956807 140 0,34 0,2 4,608978428 150 0,45 0,2 7,043650362 160 0,6 0,2 9,542425094 170 0,8 0,2 12,04119983 180 1,1 0,2 14,80725379 190 1,5 0,2 17,50122527 200 2 0,2 20 210 2,6 0,2 22,27886705 220 3,4 0,2 24,60897843 230 4,4 0,2 26,84845362 240 5,6 0,2 28,94316063 250 6,7 0,2 30,50089614 260 7,9 0,2 31,93194191 270 8,8 0,2 32,86905353 280 9,28 0,2 33,33035961 290 9,5 0,2 33,53387219 300 9,55 0,2 33,57946752 310 9,5 0,2 33,53387219 23
  • 24.
    320 9,44 0,233,47883997 330 9,4 0,2 33,44195716 340 9,3 0,2 33,34905906 350 9,2 0,2 33,25515663 360 9,15 0,2 33,20782197 370 9,15 0,2 33,20782197 380 9,12 0,2 33,17929685 390 9,12 0,2 33,17929685 400 9,13 0,2 33,18881564 450 9,22 0,2 33,27401851 500 9,37 0,2 33,4141919 550 9,45 0,2 33,48803626 600 9,47 0,2 33,50639967 700 9,47 0,2 33,50639967 800 9,47 0,2 33,50639967 900 9,3 0,2 33,34905906 1000 9,2 0,2 33,25515663 1100 9,09 0,2 33,15067775 1200 9 0,2 33,06425028 1500 8,8 0,2 32,86905353 1700 8,7 0,2 32,76978514 2000 8,9 0,2 32,96720022 2100 9,25 0,2 33,30223474 2200 10 0,2 33,97940009 2300 10,7 0,2 34,56707564 2400 10,9 0,2 34,72793005 2500 10,6 0,2 34,48551739 2600 10,1 0,2 34,06582756 2700 9,4 0,2 33,44195716 2800 8,4 0,2 32,46498581 2900 7,1 0,2 31,00456706 2950 6,6 0,2 30,3702788 3000 5,84 0,2 29,30765703 3050 4,5 0,2 27,04365036 3100 3 0,2 23,52182518 3150 2 0,2 20 3200 1,4 0,2 16,9019608 3250 0,9 0,2 13,06425028 3300 0,7 0,2 10,88136089 3350 0,5 0,2 7,958800173 3400 0,3 0,2 3,521825181 3450 0,2 0,2 0 3500 0,2 0,2 0 3550 0,15 0,2 -2,498774732 3600 0,11 0,2 -5,19274621 3650 0,08 0,2 -7,958800173 3700 0,06 0,2 -10,45757491 3750 0,05 0,2 -12,04119983 3800 0,04 0,2 -13,97940009 3850 0,04 0,2 -13,97940009 3900 0,04 0,2 -13,97940009 3950 0,04 0,2 -13,97940009 4000 0,04 0,2 -13,97940009 Figura 20 – Tabela de dados 24
  • 25.
    A seguir segueo gráfico do Ganho(dB) x Freqüência(Hz) do Filtro Passa – Faixa: Ripple 29 30 31 32 33 34 35 100 1000 10000 Frequência (Hz) Ganho(dB) Figura 21 – Gráfico do ripple do filtro passa – faixa, obtido a partir da tabela de dados. A partir dos valores obtidos na tabela de dados, através de testes feitos na sala de aula, temos o gráfico do filtro passa – faixa abaixo: Filtro Passa Faixa -20 -10 0 10 20 30 40 10 100 1000 10000 Frequência (Hz) Ganho(dB) Figura 22 – Gráfico do filtro passa – faixa, obtido da tabela de dados. 25
  • 26.
    Comentários sobre ostestes realizados sobre o projeto: Os testes foram realizados separadamente em cada circuito. Ao se realizar o teste no circuito passa faixa, o mesmo apresentou uma oscilação a partir do 2ºestágio. Após várias tentativas foi observado que durante a montagem dois resistores foram trocados, motivo pelo qual as oscilações apareceram. Foi feita a troca dos resistores e o circuito voltou a operar satisfatoriamente. Logo após, foi testada a parte onde se encontra o circuito digital do nosso projeto. No início dos testes foi observado primeiramente que o Sample/Hold ficava em Hold durante pouco tempo. Para melhorar seu funcionamento foi instalado um inversor com transistor para inverter o sinal de controle do sample/hold. Após esta implementação foi observada a onda digitalizada na saída do amplificador operacional acoplado ao conversor D/A. Em seguida, foi testado o filtro passa baixa, e este por sua vez, apresentou uma oscilação no 1º estágio, que não foi solucionado para os testes, ele foi jumpeado do circuito. Ao ser feita a interligação dos circuitos houve a necessidade de se elevar o nível DC da saída do filtro passa faixa, pois o circuito “digital” não aceita sinal negativo e também tivemos que alterar o valor do resistor de saída do amplificador operacional do conversor D/A para 1KΩ. Isso foi feito para diminuir o valor do sinal que entra no filtro passa baixa, pois o mesmo tem alto ganho e foi inserido um resistor de 100Ω antes deste mesmo filtro para servir como carga do 1º estágio. Conclusão: A partir deste trabalho pudemos colocar em prática nossos conhecimentos obtidos através de aulas teóricas e práticas vistas anteriormente. Este foi um projeto que englobou tanto a parte analógica (filtros) quanto a digital (conversores), nos exigindo bastante dedicação para poder fazer o projeto funcionar. Através deste, notamos o quão difícil é fazer um projeto e conseguir os resultados esperados na prática, pois nem sempre tudo que calculamos podem ser encontrados em valores comerciais. E muitas vezes as diferenças desses valores encontrados podem provocar distorções nos resultados esperados. Pudemos perceber que um projeto requer muito empenho e conhecimento sobre o que se está projetando, pois senão este não funciona. Concluindo, podemos dizer que esta foi uma experiência valida que necessitou muito dos nossos conhecimentos, nosso estudo, juntando em um só trabalho uma grande quantidade de informações no qual tivemos que nos dedicar para colocar na teoria e na prática o projeto funcionando. Bibliografia: - Internet; - Livro Amplificadores Operacionais – Antônio Pertence Júnior; - Apostila indicada pelo professor. 26