Instrumentação e Medida
Amplificadores em Instrumentação
1
Universidade da Beira Interior
CAPÍTULO 5
AMPLIFICADORES EM INSTRUMENTAÇÃO
5.1. Função e Topologia
5.1.1. FUNÇÃO DO AMPLIFICADOR
- Protecção do sinal de interferências parasitas (aumento do nível);
- Através da sua alta impedância de entrada e baixa impedância de saída proporciona uma
óptima transferência do sinal;
- Melhora a precisão do sinal porque permite colocá-lo ao nível requerido pelo conversor
analógico-digital.
5.1.2. CARACTERÍSTICAS DUM AMPLIFICADOR OPERACIONAL IDEAL
-
+
v2
v1
v-
v+
i-
i+
+ Vcc
- Vcc
v0
i0
Entrada
inversora
Entrada
não inversora
Saída
Alimentação (+15 V)
Alimentação (-15 V)
Instrumentação e Medida
Amplificadores em Instrumentação
2
Universidade da Beira Interior
+
-v2
vi
=v1
-v2
vo
v1
Ri
Ro
v2
v1
vi AVi
vo
- Ganho em tensão infinito: A = ∝
- Resistência de entrada infinita: Rin = ∝
- Resistência de saída nula: Rout = 0
- Curto-circuito virtual: v+ = v-
- Correntes de entrada nulas: i+ = i- = 0
- Largura de banda infinita: BW = ∝
- Característica de transferência:
Saturação
positiva
Saturação
negativa
(v+ - v-)
v0
+ Vcc
- Vcc
Vcc / A-Vcc / A
A = declive da
recta
Zona de funcionamento linear: | v0 | < | Vcc |
| v+ - v- | = | Vcc / A |
Instrumentação e Medida
Amplificadores em Instrumentação
3
Universidade da Beira Interior
v0 = A vi = A(v+ - v-)
Amplificador operacional saturado: v+ - v- > Vcc / A ⇒ v0 = + Vcc
v+ - v- < - Vcc / A ⇒ v0 = - Vcc
5.1.3. MODELO DO AMPLIFICADOR OPERACIONAL IDEAL (NA ZONA LINEAR)
v-
v+
i-=0
i+
=0
v0
i0
A(v+
- v-
)
Circuito aberto
Resistência de saída nula
Condições adicionais:
- Ganho de tensão elevado e estável;
- v0 = 0 quando vi = 0 ( tensão de desvio nula );
- v0 = cte
quando vi = cte
( deriva nula );
- v0 = A(v+ - v-);
- O ganho de tensão é independente da frequência.
Na seguinte figura é apresentado o circuito integrado μA741 que corresponde a um amplificador
operacional.
Instrumentação e Medida
Amplificadores em Instrumentação
4
Universidade da Beira Interior
5.1.4. REFERÊNCIA DOS SINAIS
- Sinal referenciado à massa do amplificador:
Es
Rs
-
+
v2
v1
vo
vi
Es
Rs
-
+
v2
v1
vo
vi
Instrumentação e Medida
Amplificadores em Instrumentação
5
Universidade da Beira Interior
Neste caso, as topologias utilizadas são:
- Amplificador Não-Inversor;
- Amplificador Inversor;
- Seguidor de tensão;
- Sinal com referência a um potencial diferente da massa do amplificador:
Os sinais suporte de informação correspondem neste caso à diferença de potencial v2 – v1 entre os
pontos de medida.
A topologia a utilizar é a montagem diferencial.
5.1.5. TOPOLOGIAS LINEARES BÁSICAS COM AMPLIFICADORES
OPERACIONAIS
- Amplificador Não-Inversor;
- Amplificador Inversor;
- Somador;
- Amplificador Seguidor;
- Amplificador diferencial;
- Amplificador diferenciador;
- Amplificador Integrador;
- Amplificador de instrumentação.
Instrumentação e Medida
Amplificadores em Instrumentação
6
Universidade da Beira Interior
5.1.5.1. Amplificador Não-Inversor
+
-
R1
R3
R2
vo
vi
I3
I1
I2
vi
vi
vo
Declive = (R1
/ R2
)+1
vo
3
1 2
2
2
0
1
1
0 0 2 1
2 1 2 1 1 1 2
1
0
2
0, :
0
0
1 1
0
1
i
i
i i
i i
i
Como i i vem que
I
I I
v
I
R
v v
I
R
v v v v vR R
v v 0
1R R R R R R
R
v v
R
+ −= =
=
+ =
=
−
=
⎛ ⎞ ⎛ ⎞− +
+ = ⇔ + = ⇔ =⎜ ⎟ ⎜ ⎟
⎝ ⎠ ⎝ ⎠
⎛ ⎞
= +⎜ ⎟
⎝ ⎠
R R
Instrumentação e Medida
Amplificadores em Instrumentação
7
Universidade da Beira Interior
Características:
- A saída está em fase com a entrada;
- Buffer ( isolamento entre o circuito e a carga);
- Amplificador de potência;
- Transformador de impedâncias;
- Impedância de entrada na ordem 5.
105
a 1.
1012
Ω
- Configuração útil para amplificar sinais provenientes de fontes com elevada impedância
de entrada.
5.1.5.2. Amplificador Inversor
-
+
R1
R2
R3
vo
vi
I2
I1
I3
vi
vi
vo
Declive = -R1 / R2
3
1 2
0, : 0
0
0
Como v vem que v v v
I
I I
+ + −= ≅ ⇒
=
+ =
− =
Instrumentação e Medida
Amplificadores em Instrumentação
8
Universidade da Beira Interior
0
1
1
2
2
0 1
0
1 2 2
0
0
0
i
i
i
v
I
R
v
I
R
v v R
v v
R R R
−
=
−
=
− − = ⇔ = −
Características:
- Nos circuitos amplificadores inversores a saída fica desfasada de 180º em relação à
entrada.
5.1.5.3. Amplificador Somador
-
+
Rf
R1
vo
v1
vi
R2
v2
R3
v3
Rn
vn
.
.
.
Instrumentação e Medida
Amplificadores em Instrumentação
9
Universidade da Beira Interior
Aplicando o Método da Sobreposição, obtém-se:
31 2
0
1 2 3
... n
f
n
v vv v
v R
R R R R
⎡ ⎤
= − + + + +⎢ ⎥
⎣ ⎦
A tensão de saída corresponderá à soma, com inversão de polaridade, das tensões individuais de
entrada.
Se Rf = R1 = R2 = Rn
[ ]0 1 2 3 ... nv v v v v= − + + + +
Se v1 = v2 = v3 = vn = vi
0 iv n= − v ⇒ O circuito torna-se num multiplicador.
5.1.5.5. Amplificador Seguidor de tensão
-
+
vi
vo
v2
v1
vi
vo
Declive =1
v0 = vi
Características:
- Buffer ( isolamento entre o circuito e a carga);
- Amplificador de potência ( v0 = vi Ri >> R0 );
- Transformador de impedâncias.
Instrumentação e Medida
Amplificadores em Instrumentação
10
Universidade da Beira Interior
5.1.5.6. Comparadores
As montagens com comparadores não apresentam uma característica linear, no entanto, podem
ser dadas por:
Comparador básico
Permite determinar qual das duas tensões de entrada é maior.
Uma entrada funciona como referência, vref , e a outra é um sinal variável no tempo.
A saída apresenta dois estados possíveis:
- vsat para vi > vref;
- –vsat para vi > vref;
+
-
vref
vo
vi
vi
vo
-vsat
vsat
vref
Comparador de janela
Amplificadores operacionais com saída em colector aberto.
-
+
vi
vo
vi
vo
vcc
2/3 vcc
-
+
vcc
R
R
R
R1
vcc
1/3 vcc
Instrumentação e Medida
Amplificadores em Instrumentação
11
Universidade da Beira Interior
Circuito Comparador com Histerese
Dois níveis de comparação:
– Limite superior de comparação (VS)
– Limite inferior de comparação (VI)
Os valores dos dois níveis de decisão são calculados pelas relações:
2
1 2
2
1 2
S sat
I sat
R
V V
R R
R
V V
R R
= +
+
= −
+
Quando o sinal ultrapassa VS para valores superiores, a saída do circuito muda para o estado de
valor mais baixo.
Quando o sinal ultrapassa VS para valores inferiores, a saída do circuito muda para o estado de
valor mais alto.
-
+
vo
vi
R2
R1
vi
vo
-Vsat
Vsat
VsVt
Instrumentação e Medida
Amplificadores em Instrumentação
12
Universidade da Beira Interior
5.2. Amplificador Diferencial
O amplificador diferencial é obtido combinando a montagem inversora e não inversora.
Esta montagem têm como objectivo ampliar a diferença das tensões imposta às suas entradas,
v2 – v1.
-
+
R3
R1
R2
R4
vo
v1
v2
Vc
Aplicando o Principio da Sobreposição:
(1)
-
+
R3
R1
R2
R4
vo1
v1
I1
I2
I3
I4
Instrumentação e Medida
Amplificadores em Instrumentação
13
Universidade da Beira Interior
I3 = I4 = 0 ⇒ Montagem Inversora: 2
01 1
1
R
v v
R
= −
(2)
-
+
R3
R1
R2
R4
vo2
v2
I1
I2
I3
I4
v
3 4
4
4
2
3
3
2 2
2
4 3 3 4 3 3 4
2
02
1
2 4
02 2
1 3 4
0
1 1
0
: 1
1
I I
v
I
R
v v
I
R
v v v Rv
v v
R R R R R R R
R
Configuração não inversora v v
R
R R
v v
R R R
+ =
=
−
=
⎛ ⎞−
+ = ⇔ + = ⇔ =⎜ ⎟
+⎝ ⎠
⎛ ⎞
− = +⎜ ⎟
⎝ ⎠
⎛ ⎞⎛ ⎞
= + ⎜ ⎟⎜ ⎟
+⎝ ⎠⎝ ⎠
4
v
Instrumentação e Medida
Amplificadores em Instrumentação
14
Universidade da Beira Interior
(3)
2 4
1 3
3 2 2
2 1 2 1
02 2 02 2
3 2 21 1
3
11
2 2 2
02 2 02 2
1 1 2 1
1 1
1
1
R R
Se
R R
R R R
R R R R
v v v v
R R RR RR
RR
R R R
v v v v
R R R R
=
⎛ ⎞ ⎛ ⎞
⎜ ⎟ ⎜ ⎟⎛ ⎞ ⎛ ⎞
⎜ ⎟ ⎜ ⎟= + ⇔ = + ⇔⎜ ⎟ ⎜ ⎟
⎜ ⎟ ⎜ ⎟⎝ ⎠ ⎝ ⎠ ++ ⎜ ⎟⎜ ⎟
⎝ ⎠⎝ ⎠
⎛ ⎞⎛ ⎞
= + ⇔ =⎜ ⎟⎜ ⎟
+⎝ ⎠⎝ ⎠
De (1), (2) e (3):
( )
0 01 02
2 2 2 2
0 1 2 0 2 1
1 1 1 1
, d
v v v
R R R R
v v v v v v em que G
R R R R
= +
= − + ⇔ = − =
Gd – Ganho diferencial
Instrumentação e Medida
Amplificadores em Instrumentação
15
Universidade da Beira Interior
(4)
-
+
R3
R1
R2
R4
vo3
vc
I1
I2
I3
I4
v
Características:
- Amplificação da diferença entre as duas tensões de entrada;
- Anular a tensão comum às entradas.
c
Gd – Ganho diferencial
Gc – Ganho de modo comum
( )
0 01 02 03
0 2 1d c
v v v v
v G v v G v
= + +
= − +
Um dos problemas mais comuns numa cadeia de medição é a existência de sinais de fraca
amplitude, embebidos em ruído, causando erros de medição que podem ser apreciáveis.
Esta situação verifica-se em muitos transdutores. Ainda, alguns transdutores têm uma impedância
de saída muito elevada, o que origina erros por efeito de carga assinaláveis.
Instrumentação e Medida
Amplificadores em Instrumentação
16
Universidade da Beira Interior
Adicionalmente, como no caso das pontes com transdutores resistivos, a tensão de saída do
transdutor tem sinais em modo comum, que são transferidos para a saída do amplificador. O sinal
em modo comum, vc, surge nas duas entradas do amplificador diferencial com a mesma
polaridade.
-
+
R3
R1
R2
R4
vc
vc+ ½ vdvc - ½ vd
vd
A capacidade de um amplificador diferencial em eliminar sinais em modo comum é medida pelo
factor de rejeição em modo comum, CMRR (Common Mode Rejection Ratio), expresso em dB
definido por:
20log , ,d d
r
c c
G G
CMRR e
G G
τ
⎛ ⎞
= =⎜ ⎟
⎝ ⎠
já que:
0 0 0
0
d c
d d c c
v v v
v G v G v
= +
= +
Instrumentação e Medida
Amplificadores em Instrumentação
17
Universidade da Beira Interior
Em que:
2 1
2 1
2
d
c
v v v
v v
v
= −
+
=
A tensão em modo comum, vc:
- Tensão aplicada a ambas as entradas do amplificador, tal que:
1
2
2
2
d
c
d
c
v
v v
v
v v
= −
= +
- A saída para um amplificador diferencial ideal devido à tensão de modo comum é nula;
- Os amplificadores reais não exibem uma perfeita rejeição da tensão de modo comum.
Esta será tanto melhor, quanto maior for o CMRR:
0
0 0
1
d d c c
c
d d c d d c
d r
v G v G v
G
v G v v v G v v
G τ
= +
⎛ ⎞ ⎛ ⎞
= + ⇔ = +⎜ ⎟ ⎜ ⎟
⎝ ⎠⎝ ⎠
A CMRR apropriada nas condições de uma medida caracterizada por uma tensão diferencial
mínima, vd min, implica que a tensão de modo comum máxima, vc max, satisfaça a desigualdade:
vd min >> (1/τr) vc max
Instrumentação e Medida
Amplificadores em Instrumentação
18
Universidade da Beira Interior
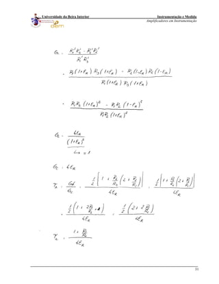
5.2.1. ESTUDO DO AMPLIFICADOR DIFERENCIAL DE UM ÚNICO AmpOp
A montagem de um amplificador diferencial com um único amplificador operacional é descrita
na seguinte figura:
v1
v2
-
+
R3
R1
R2
R4
vo
Face ao já exposto, a tensão de saída, v0, será dada por:
( )
1 4 2 3 1 2 4 2
0
1 3 4 1 3 4 1 22
c d
R R R R R R R R
v v
R R R R R R R R
⎛ ⎞− +
= + ⎜ ⎟
+ +⎝ ⎠
v
+
em que:
2 1
2 1
2
d
c
v v v
v v
v
= −
+
=
Instrumentação e Medida
Amplificadores em Instrumentação
19
Universidade da Beira Interior
pelo que, virá:
- Ganho de modo comum:
( )
1 4 2 3
1 3 4
c
R R R R
G
R R R
−
=
+
- Ganho diferencial: 1 2 4 2
1 3 4 1 22
d
R R R R
G
R R R R R
⎛ ⎞+
= +⎜ ⎟
+ +⎝ ⎠
Para:
2 4 2
1 3 1
0 , ec d
R R R
G G
R R R
= ⇒ = =
Esta condição será satisfeita para: R3 = R1 e R4 = R2
No entanto, esta condição nunca será totalmente cumprida, pois os valores das resistências são
afectados por uma indeterminação, ± εR, em torno dos valores nominais das resistências, R, tal
que:
R’ = R ( 1 ± εR )
O pior dos casos corresponde a uma escolha prática das resistências cujas variações quando
comparadas com os valores nominais serão adicionadas de modo promover o máximo ganho de
modo comum:
R1’ = R1 ( 1 + εR ) , R2’ = R2 ( 1 - εR )
R3’ = R3 ( 1 - εR ) , R4’ = R4 ( 1 + εR )
Instrumentação e Medida
Amplificadores em Instrumentação
20
Universidade da Beira Interior
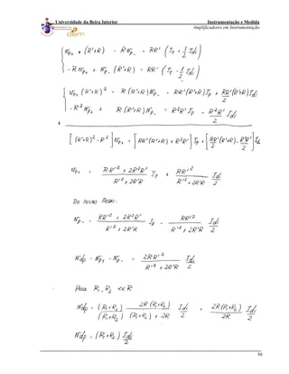
Nestas condições, o ganho de modo comum devido aos erros de emparelhamento das resistências
será dado por:
2
1 2
44
1
R dR
c
d
GR
G
R R G
εε
= =
+ +
A taxa de rejeição de modo comum correspondente será:
1
4
d d
r
c R
G G
G
τ
ε
+
= =
Mais pormenores da dedução das equações em Cálculos Auxiliares
Influência das resistências das fontes
Considerando que as tensões a medir são as f.e.m., es1 e es2, das fontes de tensão com resistências
internas Rs1 e Rs2, respectivamente, estas resistências deverão ser contempladas no raciocínio
seguido para anular o ganho de modo comum.
-
+
R’3
R’1
R2
R4
vo
Rs2
Rs1
es1
es2
Instrumentação e Medida
Amplificadores em Instrumentação
21
Universidade da Beira Interior
R1 = Rs1 + R’1 e R3 = Rs2 + R’3
A condição de equilíbrio que anula o ganho de modo comum será dada por:
R’3 + Rs2 = R’1 + Rs1 e R4 = R2
Tal que o ganho diferencial para esta expressão virá:
2 2
1 1 3' '
d
2s s
R R
G
R R R R
= =
+ +
Esta expressão mostra a necessidade de levar em consideração as resistências das fontes para
determinação do desempenho do amplificador.
Dificuldades originadas por esta montagem
- A sua impedância de entrada relativamente baixa, torna o desempenho susceptível às
resistências das fontes de excitação.
- A dificuldade em ajustar continuamente o ganho diferencial, que para cada valor de
ganho, necessita do emparelhamento de quatro resistências de modo a manter a taxa de
rejeição de modo comum a um valor aceitável.
Instrumentação e Medida
Amplificadores em Instrumentação
22
Universidade da Beira Interior
Instrumentação e Medida
Amplificadores em Instrumentação
23
Universidade da Beira Interior
Instrumentação e Medida
Amplificadores em Instrumentação
24
Universidade da Beira Interior
Instrumentação e Medida
Amplificadores em Instrumentação
25
Universidade da Beira Interior
Instrumentação e Medida
Amplificadores em Instrumentação
26
Universidade da Beira Interior
5.2.2. ESTUDO DO AMPLIFICADOR DIFERENCIAL DE DOIS AmpOp’s
De modo a apresentar uma elevada impedância de entrada e por consequência tornar os ganhos
diferencial e de modo comum praticamente independentes das resistências das fontes, é utilizada
uma montagem de amplificador diferencial com dois amplificadores operacionais:
-
+
R3R2
R4
vo
R1
-
+
v2
v1
A tensão de saída, v0, desta montagem será dada por:
1 3 2 4 4 2
0
1 3 3 1
1
1 2
2
c d
R R R R R R
v v
R R R R
v
⎡ ⎤⎛ ⎞−
= + + +⎢ ⎥⎜ ⎟
⎝ ⎠⎣ ⎦
em que:
2 1
2 1
2
d
c
v v v
v v
v
= −
+
=
Instrumentação e Medida
Amplificadores em Instrumentação
27
Universidade da Beira Interior
pelo que, virá:
- Ganho de modo comum: 1 3 2 4
1 3
c
R R R R
G
R R
−
=
- Ganho diferencial: 4 2
3 1
1
1 2
2
d
R R
G
R R
⎡ ⎤⎛ ⎞
= + +⎢ ⎥⎜ ⎟
⎝ ⎠⎣ ⎦
Para:
1 4 1
2 3 2
0 , e 1c d
R R R
G G
R R R
= ⇒ = = +
Esta condição será satisfeita para: R3 = R2 e R4 = R1
Tal como anteriormente, esta condição nunca será exactamente cumprida devido à
indeterminação, ± εR, em torno dos valores nominais das resistências, R. No pior dos casos, o
ganho de modo comum máximo será dado por:
Gc’ = 4 εR
Pelo que a taxa de rejeição de modo comum correspondente será:
1
2
1
4
d
r
c R
R
G R
G
τ
ε
+
= =
Mais pormenores da dedução das equações em Cálculos Auxiliares
Instrumentação e Medida
Amplificadores em Instrumentação
28
Universidade da Beira Interior
Dificuldades originadas por esta montagem
- O ganho do primeiro andar é dado por:
2
1
1
1
1
d
d
GR
G
R G
= + =
−
Então, a tensão de saída do primeiro andar, v01, será dada por:
01 1 1 1 1
2
d
c
v
v G v G v G= = −
Se o ganho diferencial, Gd, é relativamente baixo e se o ganho de modo comum, Gc, é
importante, existe o risco de saturação do primeiro andar.
- A montagem inversora é composta pelos amplificadores do 1º e 2º andar, enquanto a
montagem não-inversora apenas é constituída pelo amplificador do 2º andar. Assim, as
duas montagens terão respostas em frequência distintas, o que irá originar uma
deterioração da taxa de rejeição em função da frequência.
- Esta montagem requer, a cada mudança de ganho, uma selecção delicada do
emparelhamento de resistências de modo a evitar uma degradação da taxa de rejeição de
modo comum. Assim, torna-se preferível utilizar uma montagem com uma resistência de
regulação.
Instrumentação e Medida
Amplificadores em Instrumentação
29
Universidade da Beira Interior
Instrumentação e Medida
Amplificadores em Instrumentação
30
Universidade da Beira Interior
Instrumentação e Medida
Amplificadores em Instrumentação
31
Universidade da Beira Interior
Instrumentação e Medida
Amplificadores em Instrumentação
32
Universidade da Beira Interior
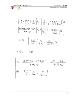
5.2.3. ESTUDO DO AMPLIFICADOR DE INSTRUMENTAÇÃO
Um amplificador de instrumentação apresenta as seguintes características:
- Elevada impedância de entrada;
- Controlo do ganho através de uma única resistência;
- Elevado ganho;
- Elevada CMRR;
- Perfeita simetria entre as montagens inversora e não-inversora.
-
+
+
-
-
+
R6
R7
R5
R4
R2
R3
R1
vo
v1
v2
I4
I1
I5
I2
v'1
v'2
Nesta montagem pode-se distinguir:
- um andar de entrada formado por dois amplificadores operacionais em montagem não-
inversora;
- um andar de saída constituído por um amplificador diferencial.
Instrumentação e Medida
Amplificadores em Instrumentação
33
Universidade da Beira Interior
Se:
( )
4 5
6
0 2
4
6 7
' '
R R
R
v v
R
R R
=⎧
⎪
⇒ = −⎨
⎪ =⎩
1v
Aplicando a Lei dos Nós:
4 5
1 2 3
1 1 1 1 1 2
1 1 2
2 2 1
2 2
3
3
2 2 1 21 2
3 22
3 11
0
' '
'
'
I I
I I I
v v v v v v
I I I
R R
v v
I
R
v v v vv v I II
R RR
+ =
= =
⎧ − − −⎧
= = ⇔ =⎪ ⎪
⎪ ⎪
⎪ ⎪
⎪ ⎪
−⎪ ⎪
= ⇔⎨ ⎨
⎪ ⎪
⎪ ⎪
⎪ ⎪ − −−⎪ ⎪ = ⇔ ==
⎪ ⎪⎩⎩
R
⇔
1 2 2
1 2 1
1 2 1
1 3 3
2 3 2
1 3 1
'
'
R R R
v R v v
R R R
R R R
v R v
R R R
⎧ ⎛ ⎞
= −⎪ ⎜ ⎟
+⎝ ⎠⎪
⎪
⎨
⎪
⎛ ⎞⎪ = −⎜ ⎟⎪ +⎝ ⎠⎩
2
1v
Instrumentação e Medida
Amplificadores em Instrumentação
34
Universidade da Beira Interior
1 3 3 1 2 2
2 1 3 2 1 2 1 2
1 3 1 1 2 1
1 3 32 1 2
3 2 2
1 3 1 1 2 1
' '
R R R R R R
v v R v v R v v
R R R R R R
R R RR R R
R v R
R R R R R R
⎡ ⎤
1v
⎡ ⎤⎛ ⎞ ⎛ ⎞
− = − − −⎢ ⎥ ⎢ ⎥⎜ ⎟ ⎜ ⎟
+ +⎝ ⎠⎝ ⎠ ⎣ ⎦⎣ ⎦
⎡ ⎤ ⎡ ⎤⎛ ⎞ ⎛ ⎞
= + − +⎢ ⎥ ⎢ ⎥⎜ ⎟ ⎜ ⎟
+ +⎝ ⎠⎝ ⎠ ⎣ ⎦⎣ ⎦
Se,
( )
( )
( )
2 3
2
2 1 2 2
1 2 1
2
2 1
1
6 2
0 2 1
4 1
1 1
' '
2
1
2
1
R R
R
v v R v v
R R R
R
v v
R
R R
v v v
R R
=
⎡ ⎤⎛ ⎞
− = + − −⎢ ⎥⎜ ⎟
⎝ ⎠⎣ ⎦
⎛ ⎞
= + −⎜ ⎟
⎝ ⎠
⎛ ⎞
= + −⎜ ⎟
⎝ ⎠
1
A tensão de saída diferencial virá:
( )6 2
0 2
4 1
2
1d
R R
v v
R R
⎛ ⎞
= + −⎜ ⎟
⎝ ⎠
1v
Caso exista uma tensão de modo comum, v0c, então a expressão da tensão de saída virá:
( )6 2
0 0 0 2 1
4 1
2
1d c
R R
v v v v v v
R R
⎛ ⎞
= + = + − +⎜ ⎟
⎝ ⎠
c
Instrumentação e Medida
Amplificadores em Instrumentação
35
Universidade da Beira Interior
As tensões de saída do primeiro andar virão:
( )
( )
2
1 1 1 2
1
3
2 2 2 1
1
'
'
R
v v v v
R
R
v v v v
R
⎧
= + −⎪
⎪⎪
⎨
⎪
⎪ = + −
⎪⎩
Deste modo, em função de vd = v2 – v1 e de vc = ( v1 + v2)/2
2
1
1
3
2
1
1
'
2
1
'
2
c d
c d
R
v v v
R
R
v v
R
⎧ ⎛ ⎞
= − +⎪ ⎜ ⎟
⎝ ⎠⎪
⎪
⎨
⎪
⎛ ⎞⎪ = + +⎜ ⎟⎪ ⎝ ⎠⎩
v
O segundo andar do amplificador de instrumentação consiste numa montagem diferencial, que
para:
6
2
4
2 4
1 3
6
2
4 6
4
d
R
c
R
G
R
R R
R R
R
G
R R
ε
⎧
=⎪
⎪⎪
= ⇒ ⎨
⎪
⎪ =
+⎪⎩
A tensão de saída do amplificador de instrumentação virá:
( )0 2 2 1 2' 'd cv G v v G v= − + c
Instrumentação e Medida
Amplificadores em Instrumentação
36
Universidade da Beira Interior
6 2 3 6
0
4 1 4
4
1 R
d c
R R R R
v v
R R R R
ε⎛ ⎞+
= + +⎜ ⎟
+⎝ ⎠ 6
v
Para R3 = R2 :
- Ganho diferencial: 6 2
4 1
2
1d
R R
G
R R
⎛ ⎞
= +⎜ ⎟
⎝ ⎠
- Ganho de modo comum: 6
4 6
4 R
c
R
G
R R
ε
=
+
Se R4 = R6 :
- Ganho diferencial: 2
1
2
1d
R
G
R
= +
- Ganho de modo comum: 2c RG ε=
A taxa de rejeição de modo comum de um amplificador de instrumentação será dada por:
2 4
1 6
2 1
1 1
4
d
r
c R
G R R
G R R
τ
ε
⎛ ⎞⎛ ⎞
= = + +⎜ ⎟⎜ ⎟
⎝ ⎠⎝ ⎠
Caso R4 = R6 :
2
1
2 1
1
2
d
r
c R
G R
G R
τ
ε
⎛ ⎞
= = +⎜ ⎟
⎝ ⎠
Mais pormenores da dedução das equações em Cálculos Auxiliares
Instrumentação e Medida
Amplificadores em Instrumentação
37
Universidade da Beira Interior
Instrumentação e Medida
Amplificadores em Instrumentação
38
Universidade da Beira Interior
Instrumentação e Medida
Amplificadores em Instrumentação
39
Universidade da Beira Interior
5.3. Tensão de Desvio em Amplificadores
As pequenas assimetrias existentes entre as vias inversora e não-inversora dos amplificadores
resultam no aparecimento de uma tensão de desvio à saída, v’d0, quando as duas entradas são
ligadas à massa do amplificador.
Este defeito é esquematizado por meio de uma fonte de tensão, edi, que corresponde à tensão de
desvio de entrada.
Dependendo do tipo de amplificador, a tensão varia de alguns μV a mV, sendo este valor mais
significativo em amplificadores com andar de entrada tipo FET do que em amplificadores com
andar de entrada bipolar. Neste último caso, os amplificadores possuem um desvio muito
reduzido, tal que são denominados por amplificadores de precisão.
______________________________________________________________________________
Caso do amplificador de instrumentação
Este amplificador é constituído por dois andares:
- O primeiro andar, de ganho G, apresenta uma tensão de desvio de entrada, ed1;
- O segundo andar, geralmente de ganho unitário, apresenta uma tensão de desvio de
entrada, ed2.
A tensão de desvio à saída será:
v’d0 = G ed1 + ed2
A tensão de desvio equivalente, edi, que retorna às entradas é dada por:
edi = ed1 + ed2 / G
Instrumentação e Medida
Amplificadores em Instrumentação
40
Universidade da Beira Interior
Influência da temperatura
A tensão de desvio, edi, é função da temperatura do amplificador. Os fabricantes especificam a
tensão de desvio para uma temperatura, T0, geralmente 25 ºC, assim como a sua sensibilidade
térmica, d edi / d T, expressa em μV / ºC.
Para um amplificador que se encontre à temperatura T, a tensão de desvio será dada por:
0
0
( ) ( )
, com,
di di di
di
di
e T e T e
d e
e T T T
d T
= + Δ
Δ = Δ Δ = − T
5.4. Estudo dos Efeitos das Correntes de Polarização
Uma corrente de polarização é fornecida a cada entrada do amplificador, Ip+ e Ip-. O sentidos
destas correntes, o mesmo para cada entrada depende da natureza do andar de entrada (NPN,
PNP, JFET).
As correntes, Ip+ e Ip-, iguais no caso ideal, apresentam uma ligeira variação designada por
corrente de desvio, Idi , que é dada por:
Idi = Ip+ - Ip-
Designa-se por corrente de polarização, o valor médio de Ip+ e Ip- :
Ip = ( Ip+ + Ip- ) / 2
Instrumentação e Medida
Amplificadores em Instrumentação
41
Universidade da Beira Interior
Pelo que:
Ip+ = Ip + Idi / 2
Ip- = Ip - Idi / 2
A ordem de grandezas da corrente de polarização Ip , vai de umas dezenas de nA para andares de
entrada bipolares a 10-3
a 102
pA para andares de entrada FET.
A corrente de desvio, Idi , é uma fracção da corrente de polarização, tipicamente de 0,1 a
aproximadamente 1.
5.4.1. INFLUÊNCIA DA TEMPERATURA
A corrente de polarização, Ip , e a corrente de desvio, Idi , dependem da temperatura, sendo
especificadas para uma temperatura, T0, geralmente 25 ºC, assim como as suas sensibilidades
térmicas, d Ip / d T, e d Idi / d T expressa em μV / ºC.
Para um amplificador que se encontre à temperatura T, virão:
0
0
0
( ) ( )
, com,
( ) ( )
p p p
p
p
di di di
di
di
I T I T I
d I
I T T
d T
I T I T I
d I
I T
d T
= + Δ
Δ = Δ Δ = −
= + Δ
Δ = Δ
T T
Instrumentação e Medida
Amplificadores em Instrumentação
42
Universidade da Beira Interior
5.4.2. TENSÃO DE DESVIO DEVIDO ÀS CORRENTE DE POLARIZAÇÃO E DE
DESVIO
5.4.2.1. Amplificador Operacional
-
+
R2
R1
R3
v'’do
Ip-
v
Ip+
A tensão de desvio, v’’do , devido às corrente de entrada será dada por:
1 2 1 2 1 2
0 3 3
1 1 2 1 2
''
2
di
d p
IR R R R R R
v R I R
R R R R R
⎡ ⎤⎛ ⎞ ⎛+
= − + +⎢ ⎥⎜ ⎟ ⎜
+ +⎝ ⎠ ⎝⎣ ⎦
⎞
⎟
⎠
A influência das correntes de polarização, Ip, é compensada com a escolha da seguinte relação
entre as resistências: 1 2
3
1 2
R R
R
R R
=
+
Neste caso, a tensão de desvio será apenas em função da corrente de desvio: 0 2''d dv R I= i
Para um amplificador que se encontre à temperatura T, virá:
[ ]0 2 2 0 0 0'' ( ) ( ) ( ) '' ( ) ''d di di di dv T R I T R I T I v T v= = + Δ = + Δ 0d
Mais pormenores da dedução das equações em Cálculos Auxiliares
Instrumentação e Medida
Amplificadores em Instrumentação
43
Universidade da Beira Interior
Instrumentação e Medida
Amplificadores em Instrumentação
44
Universidade da Beira Interior
5.4.2.2. Amplificador de instrumentação
Fonte de sinal à massa
+
-
R1
R2
v'’do
Ip-
Ip+
A.I.
As correntes Ip- e Ip+ às entradas inversora e não-inversora do amplificador, percorrem as
resistências, permitindo determinar as seguintes tensões às entradas do amplificador:
vp+ = R2 Ip+
vp- = R1 Ip-
às quais corresponde:
Instrumentação e Medida
Amplificadores em Instrumentação
45
Universidade da Beira Interior
- tensão diferencial: vdp = vp+ - vp- = R2 Ip+ - R1 Ip-
- tensão de modo comum: vcp = ( vp+ + vp- ) /2 = ( R2 Ip+ - R1 Ip- ) / 2
Em função da corrente de polarização e da corrente de desvio, as expressões vêm:
- tensão diferencial: vdp = ( R2 - R1 ) Ip + ( R1 + R2 ) Idi /2
- tensão de modo comum: vcp = ( R1 + R2 ) Ip / 2 + ( R2 - R1 ) Idi /4
Estas perturbações são minimizadas se R1 = R2, ou reduzindo o valor das resistências.
Para um amplificador que se encontre à temperatura T, virá:
( ) ( )
( ) ( ) ( ) ( )
2 1 1 2
2 1 0 1 2 0 2 1 1 2
( ) ( ) ( ) / 2
( ) ( ) / 2 / 2
dp p di
p di p
v T R R I T R R I T
R R I T R R I T R R I R R I
= − + +
⎡ ⎤ ⎡= − + + + − Δ + + Δ⎣ ⎦ ⎣ di
⎤⎦
A tensão diferencial, vdp, está relacionada com o ganho do amplificador enquanto que a tensão de
modo comum, vcp, é atenuada pela taxa de rejeição pelo que geralmente pode ser desprezada.
Assim, a tensão de desvio devido às correntes de polarização virá:
( )( ) ( )1 2
0 2 1 0'' ( ) ( ) ( ) ( )
2
d dp p p di
R R
v T G v T G R R I T I I T I
⎡ +⎛ ⎞
= = − + Δ + + Δ⎜ ⎟⎢ ⎥
⎝ ⎠⎣ ⎦
0 di
⎤
Mais pormenores da dedução das equações em Cálculos Auxiliares
Instrumentação e Medida
Amplificadores em Instrumentação
46
Universidade da Beira Interior
Instrumentação e Medida
Amplificadores em Instrumentação
47
Universidade da Beira Interior
Instrumentação e Medida
Amplificadores em Instrumentação
48
Universidade da Beira Interior
Fonte de sinal isolada da massa
Montagem simétrica
+
-
R1
R2
v'’do
Ip-
Ip+
A.I.
RR
vp+
vp-
Após desenvolvimento, virá que:
- tensão diferencial: vdp = vp+ - vp- ) = ( R1 + R2 ) Idi /2 , para R1, R2 << R
- tensão de modo comum: vcp = ( vp+ + vp- ) / 2 = R Ip
Mais pormenores da dedução das equações em Cálculos Auxiliares
A resistência R deverá ser limitada de modo a tornar a tensão de modo comum desprezável. Os
valores de resistência compreendidos entre 106
a 107
Ω são normalmente utilizados.
A tensão de desvio virá:
( )0 1 2
1
'' ( ) ( )
2
di
d dp
R
I
v T G v T G R R R I
τ
⎡ ⎤
= = + +⎢ ⎥
⎣ ⎦
p
Instrumentação e Medida
Amplificadores em Instrumentação
49
Universidade da Beira Interior
Instrumentação e Medida
Amplificadores em Instrumentação
50
Universidade da Beira Interior
Instrumentação e Medida
Amplificadores em Instrumentação
51
Universidade da Beira Interior
Instrumentação e Medida
Amplificadores em Instrumentação
52
Universidade da Beira Interior
Montagem assimétrica
+
-
R1
R2
v'’do
Ip-
Ip+
A.I.
R
vp+
vp-
Neste caso:
- tensão diferencial: vdp = ( R1 + R2 ) Ip+ ≈ ( R1 + R2 ) Ip , para R1, R2 << R
- tensão de modo comum: vcp = 2 R Ip + ( R1 + R2 ) Ip+ /2 ≈ 2 R Ip
A tensão de desvio virá:
( )0 1 2
1
'' ( ) ( ) 2d dp p
R
v T G v T G R R I R I
τ
⎡ ⎤
= = + +⎢ ⎥
⎣ ⎦
p
Assim, quando a resistência de entrada, ( R1 + R2 ), é elevada, é necessário utilizar a montagem
simétrica. Caso contrário, ( R1 + R2 < 100 Ω ), a montagem assimétrica é utilizada pela sua
simplicidade.
Mais pormenores da dedução das equações em Cálculos Auxiliares
Instrumentação e Medida
Amplificadores em Instrumentação
53
Universidade da Beira Interior
Instrumentação e Medida
Amplificadores em Instrumentação
54
Universidade da Beira Interior
]d
5.5. Técnicas de Compensação da Tensão de Desvio
A tensão de desvio global, vd0, que surge à saída do amplificador é a sobreposição da tensão de
desvio, v’d0, devido à tensão de desvio à entrada, edi, e à tensão de desvio, v’’d0, devido às
correntes de polarização e de desvio.
vd0 = v’d0 + v’’d0
A uma temperatura, T, virá:
[ ] [
0 0 0 0
0 0 0 0 0 0
( ) ( )
' ( ) '' ( ) ' ''
d d d
d d d
v T v T v
v T v T v v
= + Δ
= + + Δ + Δ
5.5.1. COMPENSAÇÃO FIXA – AFINAÇÃO DE UM POTENCIÓMENTRO EXTERNO
A uma determinada temperatura, T0, a tensão de desvio global, vd0, pode ser compensada através
de uma tensão fixa adicional, vc0, tal que a esta temperatura a tensão de saída será nula na
inexistência de sinal.
Consequentemente, unicamente persiste à entrada a deriva térmica da tensão de desvio à
temperatura, T0, à qual foi realizada a compensação. A tensão de compensação pode ser criada
por afinação de um potenciómetro externo. Todos os fabricantes indicam o tipo de ligação e o
valor dos componentes de modo a realizar esta ligação. No entanto, esta montagem apresenta o
inconveniente de aumentar a sensibilidade térmica do amplificador.
Instrumentação e Medida
Amplificadores em Instrumentação
55
Universidade da Beira Interior
5.5.2. COMPENSAÇÃO FIXA – FONTE AUXILIAR
De modo a evitar este inconveniente, outro modo de compensar a tensão de desvio consiste na
utilização de uma fonte de tensão regulável.
Neste caso, a tensão regulável é aplicada à entrada, vci, do amplificador operacional e ajustada de
modo a produzir na saída um valor que anule , vd0(T0).
5.6. Bibliografia
Albert D. Helfrick, William D. Cooper, “Instrumentação Electrónica Moderna e Técnicas de
Medição”, Prentice Hall do Brasil, 1994.
Aurélio Campilho, “Instrumentação Electrónica – Métodos e Técnicas de Medição”, FEUP
Edições, 2000.
G. Asch, “Acquisition de données – Du capteur à l’ordinateur”, Dunod, 1999.
James W. Dally, William F. Riley, Kenneth G. McConnell, “Instrumentation for Engineering
Measurements – 2sd
edition”, John Wiley & Sons, Inc., 1993.
Larry D. Jones, A. Foster Chin, “Electronic Instruments and Measurements – 2sd
edition”,
Prentice Hall – International Editions, 1991.

Im cap05 ampops

  • 1.
    Instrumentação e Medida Amplificadoresem Instrumentação 1 Universidade da Beira Interior CAPÍTULO 5 AMPLIFICADORES EM INSTRUMENTAÇÃO 5.1. Função e Topologia 5.1.1. FUNÇÃO DO AMPLIFICADOR - Protecção do sinal de interferências parasitas (aumento do nível); - Através da sua alta impedância de entrada e baixa impedância de saída proporciona uma óptima transferência do sinal; - Melhora a precisão do sinal porque permite colocá-lo ao nível requerido pelo conversor analógico-digital. 5.1.2. CARACTERÍSTICAS DUM AMPLIFICADOR OPERACIONAL IDEAL - + v2 v1 v- v+ i- i+ + Vcc - Vcc v0 i0 Entrada inversora Entrada não inversora Saída Alimentação (+15 V) Alimentação (-15 V)
  • 2.
    Instrumentação e Medida Amplificadoresem Instrumentação 2 Universidade da Beira Interior + -v2 vi =v1 -v2 vo v1 Ri Ro v2 v1 vi AVi vo - Ganho em tensão infinito: A = ∝ - Resistência de entrada infinita: Rin = ∝ - Resistência de saída nula: Rout = 0 - Curto-circuito virtual: v+ = v- - Correntes de entrada nulas: i+ = i- = 0 - Largura de banda infinita: BW = ∝ - Característica de transferência: Saturação positiva Saturação negativa (v+ - v-) v0 + Vcc - Vcc Vcc / A-Vcc / A A = declive da recta Zona de funcionamento linear: | v0 | < | Vcc | | v+ - v- | = | Vcc / A |
  • 3.
    Instrumentação e Medida Amplificadoresem Instrumentação 3 Universidade da Beira Interior v0 = A vi = A(v+ - v-) Amplificador operacional saturado: v+ - v- > Vcc / A ⇒ v0 = + Vcc v+ - v- < - Vcc / A ⇒ v0 = - Vcc 5.1.3. MODELO DO AMPLIFICADOR OPERACIONAL IDEAL (NA ZONA LINEAR) v- v+ i-=0 i+ =0 v0 i0 A(v+ - v- ) Circuito aberto Resistência de saída nula Condições adicionais: - Ganho de tensão elevado e estável; - v0 = 0 quando vi = 0 ( tensão de desvio nula ); - v0 = cte quando vi = cte ( deriva nula ); - v0 = A(v+ - v-); - O ganho de tensão é independente da frequência. Na seguinte figura é apresentado o circuito integrado μA741 que corresponde a um amplificador operacional.
  • 4.
    Instrumentação e Medida Amplificadoresem Instrumentação 4 Universidade da Beira Interior 5.1.4. REFERÊNCIA DOS SINAIS - Sinal referenciado à massa do amplificador: Es Rs - + v2 v1 vo vi Es Rs - + v2 v1 vo vi
  • 5.
    Instrumentação e Medida Amplificadoresem Instrumentação 5 Universidade da Beira Interior Neste caso, as topologias utilizadas são: - Amplificador Não-Inversor; - Amplificador Inversor; - Seguidor de tensão; - Sinal com referência a um potencial diferente da massa do amplificador: Os sinais suporte de informação correspondem neste caso à diferença de potencial v2 – v1 entre os pontos de medida. A topologia a utilizar é a montagem diferencial. 5.1.5. TOPOLOGIAS LINEARES BÁSICAS COM AMPLIFICADORES OPERACIONAIS - Amplificador Não-Inversor; - Amplificador Inversor; - Somador; - Amplificador Seguidor; - Amplificador diferencial; - Amplificador diferenciador; - Amplificador Integrador; - Amplificador de instrumentação.
  • 6.
    Instrumentação e Medida Amplificadoresem Instrumentação 6 Universidade da Beira Interior 5.1.5.1. Amplificador Não-Inversor + - R1 R3 R2 vo vi I3 I1 I2 vi vi vo Declive = (R1 / R2 )+1 vo 3 1 2 2 2 0 1 1 0 0 2 1 2 1 2 1 1 1 2 1 0 2 0, : 0 0 1 1 0 1 i i i i i i i Como i i vem que I I I v I R v v I R v v v v vR R v v 0 1R R R R R R R v v R + −= = = + = = − = ⎛ ⎞ ⎛ ⎞− + + = ⇔ + = ⇔ =⎜ ⎟ ⎜ ⎟ ⎝ ⎠ ⎝ ⎠ ⎛ ⎞ = +⎜ ⎟ ⎝ ⎠ R R
  • 7.
    Instrumentação e Medida Amplificadoresem Instrumentação 7 Universidade da Beira Interior Características: - A saída está em fase com a entrada; - Buffer ( isolamento entre o circuito e a carga); - Amplificador de potência; - Transformador de impedâncias; - Impedância de entrada na ordem 5. 105 a 1. 1012 Ω - Configuração útil para amplificar sinais provenientes de fontes com elevada impedância de entrada. 5.1.5.2. Amplificador Inversor - + R1 R2 R3 vo vi I2 I1 I3 vi vi vo Declive = -R1 / R2 3 1 2 0, : 0 0 0 Como v vem que v v v I I I + + −= ≅ ⇒ = + = − =
  • 8.
    Instrumentação e Medida Amplificadoresem Instrumentação 8 Universidade da Beira Interior 0 1 1 2 2 0 1 0 1 2 2 0 0 0 i i i v I R v I R v v R v v R R R − = − = − − = ⇔ = − Características: - Nos circuitos amplificadores inversores a saída fica desfasada de 180º em relação à entrada. 5.1.5.3. Amplificador Somador - + Rf R1 vo v1 vi R2 v2 R3 v3 Rn vn . . .
  • 9.
    Instrumentação e Medida Amplificadoresem Instrumentação 9 Universidade da Beira Interior Aplicando o Método da Sobreposição, obtém-se: 31 2 0 1 2 3 ... n f n v vv v v R R R R R ⎡ ⎤ = − + + + +⎢ ⎥ ⎣ ⎦ A tensão de saída corresponderá à soma, com inversão de polaridade, das tensões individuais de entrada. Se Rf = R1 = R2 = Rn [ ]0 1 2 3 ... nv v v v v= − + + + + Se v1 = v2 = v3 = vn = vi 0 iv n= − v ⇒ O circuito torna-se num multiplicador. 5.1.5.5. Amplificador Seguidor de tensão - + vi vo v2 v1 vi vo Declive =1 v0 = vi Características: - Buffer ( isolamento entre o circuito e a carga); - Amplificador de potência ( v0 = vi Ri >> R0 ); - Transformador de impedâncias.
  • 10.
    Instrumentação e Medida Amplificadoresem Instrumentação 10 Universidade da Beira Interior 5.1.5.6. Comparadores As montagens com comparadores não apresentam uma característica linear, no entanto, podem ser dadas por: Comparador básico Permite determinar qual das duas tensões de entrada é maior. Uma entrada funciona como referência, vref , e a outra é um sinal variável no tempo. A saída apresenta dois estados possíveis: - vsat para vi > vref; - –vsat para vi > vref; + - vref vo vi vi vo -vsat vsat vref Comparador de janela Amplificadores operacionais com saída em colector aberto. - + vi vo vi vo vcc 2/3 vcc - + vcc R R R R1 vcc 1/3 vcc
  • 11.
    Instrumentação e Medida Amplificadoresem Instrumentação 11 Universidade da Beira Interior Circuito Comparador com Histerese Dois níveis de comparação: – Limite superior de comparação (VS) – Limite inferior de comparação (VI) Os valores dos dois níveis de decisão são calculados pelas relações: 2 1 2 2 1 2 S sat I sat R V V R R R V V R R = + + = − + Quando o sinal ultrapassa VS para valores superiores, a saída do circuito muda para o estado de valor mais baixo. Quando o sinal ultrapassa VS para valores inferiores, a saída do circuito muda para o estado de valor mais alto. - + vo vi R2 R1 vi vo -Vsat Vsat VsVt
  • 12.
    Instrumentação e Medida Amplificadoresem Instrumentação 12 Universidade da Beira Interior 5.2. Amplificador Diferencial O amplificador diferencial é obtido combinando a montagem inversora e não inversora. Esta montagem têm como objectivo ampliar a diferença das tensões imposta às suas entradas, v2 – v1. - + R3 R1 R2 R4 vo v1 v2 Vc Aplicando o Principio da Sobreposição: (1) - + R3 R1 R2 R4 vo1 v1 I1 I2 I3 I4
  • 13.
    Instrumentação e Medida Amplificadoresem Instrumentação 13 Universidade da Beira Interior I3 = I4 = 0 ⇒ Montagem Inversora: 2 01 1 1 R v v R = − (2) - + R3 R1 R2 R4 vo2 v2 I1 I2 I3 I4 v 3 4 4 4 2 3 3 2 2 2 4 3 3 4 3 3 4 2 02 1 2 4 02 2 1 3 4 0 1 1 0 : 1 1 I I v I R v v I R v v v Rv v v R R R R R R R R Configuração não inversora v v R R R v v R R R + = = − = ⎛ ⎞− + = ⇔ + = ⇔ =⎜ ⎟ +⎝ ⎠ ⎛ ⎞ − = +⎜ ⎟ ⎝ ⎠ ⎛ ⎞⎛ ⎞ = + ⎜ ⎟⎜ ⎟ +⎝ ⎠⎝ ⎠ 4 v
  • 14.
    Instrumentação e Medida Amplificadoresem Instrumentação 14 Universidade da Beira Interior (3) 2 4 1 3 3 2 2 2 1 2 1 02 2 02 2 3 2 21 1 3 11 2 2 2 02 2 02 2 1 1 2 1 1 1 1 1 R R Se R R R R R R R R R v v v v R R RR RR RR R R R v v v v R R R R = ⎛ ⎞ ⎛ ⎞ ⎜ ⎟ ⎜ ⎟⎛ ⎞ ⎛ ⎞ ⎜ ⎟ ⎜ ⎟= + ⇔ = + ⇔⎜ ⎟ ⎜ ⎟ ⎜ ⎟ ⎜ ⎟⎝ ⎠ ⎝ ⎠ ++ ⎜ ⎟⎜ ⎟ ⎝ ⎠⎝ ⎠ ⎛ ⎞⎛ ⎞ = + ⇔ =⎜ ⎟⎜ ⎟ +⎝ ⎠⎝ ⎠ De (1), (2) e (3): ( ) 0 01 02 2 2 2 2 0 1 2 0 2 1 1 1 1 1 , d v v v R R R R v v v v v v em que G R R R R = + = − + ⇔ = − = Gd – Ganho diferencial
  • 15.
    Instrumentação e Medida Amplificadoresem Instrumentação 15 Universidade da Beira Interior (4) - + R3 R1 R2 R4 vo3 vc I1 I2 I3 I4 v Características: - Amplificação da diferença entre as duas tensões de entrada; - Anular a tensão comum às entradas. c Gd – Ganho diferencial Gc – Ganho de modo comum ( ) 0 01 02 03 0 2 1d c v v v v v G v v G v = + + = − + Um dos problemas mais comuns numa cadeia de medição é a existência de sinais de fraca amplitude, embebidos em ruído, causando erros de medição que podem ser apreciáveis. Esta situação verifica-se em muitos transdutores. Ainda, alguns transdutores têm uma impedância de saída muito elevada, o que origina erros por efeito de carga assinaláveis.
  • 16.
    Instrumentação e Medida Amplificadoresem Instrumentação 16 Universidade da Beira Interior Adicionalmente, como no caso das pontes com transdutores resistivos, a tensão de saída do transdutor tem sinais em modo comum, que são transferidos para a saída do amplificador. O sinal em modo comum, vc, surge nas duas entradas do amplificador diferencial com a mesma polaridade. - + R3 R1 R2 R4 vc vc+ ½ vdvc - ½ vd vd A capacidade de um amplificador diferencial em eliminar sinais em modo comum é medida pelo factor de rejeição em modo comum, CMRR (Common Mode Rejection Ratio), expresso em dB definido por: 20log , ,d d r c c G G CMRR e G G τ ⎛ ⎞ = =⎜ ⎟ ⎝ ⎠ já que: 0 0 0 0 d c d d c c v v v v G v G v = + = +
  • 17.
    Instrumentação e Medida Amplificadoresem Instrumentação 17 Universidade da Beira Interior Em que: 2 1 2 1 2 d c v v v v v v = − + = A tensão em modo comum, vc: - Tensão aplicada a ambas as entradas do amplificador, tal que: 1 2 2 2 d c d c v v v v v v = − = + - A saída para um amplificador diferencial ideal devido à tensão de modo comum é nula; - Os amplificadores reais não exibem uma perfeita rejeição da tensão de modo comum. Esta será tanto melhor, quanto maior for o CMRR: 0 0 0 1 d d c c c d d c d d c d r v G v G v G v G v v v G v v G τ = + ⎛ ⎞ ⎛ ⎞ = + ⇔ = +⎜ ⎟ ⎜ ⎟ ⎝ ⎠⎝ ⎠ A CMRR apropriada nas condições de uma medida caracterizada por uma tensão diferencial mínima, vd min, implica que a tensão de modo comum máxima, vc max, satisfaça a desigualdade: vd min >> (1/τr) vc max
  • 18.
    Instrumentação e Medida Amplificadoresem Instrumentação 18 Universidade da Beira Interior 5.2.1. ESTUDO DO AMPLIFICADOR DIFERENCIAL DE UM ÚNICO AmpOp A montagem de um amplificador diferencial com um único amplificador operacional é descrita na seguinte figura: v1 v2 - + R3 R1 R2 R4 vo Face ao já exposto, a tensão de saída, v0, será dada por: ( ) 1 4 2 3 1 2 4 2 0 1 3 4 1 3 4 1 22 c d R R R R R R R R v v R R R R R R R R ⎛ ⎞− + = + ⎜ ⎟ + +⎝ ⎠ v + em que: 2 1 2 1 2 d c v v v v v v = − + =
  • 19.
    Instrumentação e Medida Amplificadoresem Instrumentação 19 Universidade da Beira Interior pelo que, virá: - Ganho de modo comum: ( ) 1 4 2 3 1 3 4 c R R R R G R R R − = + - Ganho diferencial: 1 2 4 2 1 3 4 1 22 d R R R R G R R R R R ⎛ ⎞+ = +⎜ ⎟ + +⎝ ⎠ Para: 2 4 2 1 3 1 0 , ec d R R R G G R R R = ⇒ = = Esta condição será satisfeita para: R3 = R1 e R4 = R2 No entanto, esta condição nunca será totalmente cumprida, pois os valores das resistências são afectados por uma indeterminação, ± εR, em torno dos valores nominais das resistências, R, tal que: R’ = R ( 1 ± εR ) O pior dos casos corresponde a uma escolha prática das resistências cujas variações quando comparadas com os valores nominais serão adicionadas de modo promover o máximo ganho de modo comum: R1’ = R1 ( 1 + εR ) , R2’ = R2 ( 1 - εR ) R3’ = R3 ( 1 - εR ) , R4’ = R4 ( 1 + εR )
  • 20.
    Instrumentação e Medida Amplificadoresem Instrumentação 20 Universidade da Beira Interior Nestas condições, o ganho de modo comum devido aos erros de emparelhamento das resistências será dado por: 2 1 2 44 1 R dR c d GR G R R G εε = = + + A taxa de rejeição de modo comum correspondente será: 1 4 d d r c R G G G τ ε + = = Mais pormenores da dedução das equações em Cálculos Auxiliares Influência das resistências das fontes Considerando que as tensões a medir são as f.e.m., es1 e es2, das fontes de tensão com resistências internas Rs1 e Rs2, respectivamente, estas resistências deverão ser contempladas no raciocínio seguido para anular o ganho de modo comum. - + R’3 R’1 R2 R4 vo Rs2 Rs1 es1 es2
  • 21.
    Instrumentação e Medida Amplificadoresem Instrumentação 21 Universidade da Beira Interior R1 = Rs1 + R’1 e R3 = Rs2 + R’3 A condição de equilíbrio que anula o ganho de modo comum será dada por: R’3 + Rs2 = R’1 + Rs1 e R4 = R2 Tal que o ganho diferencial para esta expressão virá: 2 2 1 1 3' ' d 2s s R R G R R R R = = + + Esta expressão mostra a necessidade de levar em consideração as resistências das fontes para determinação do desempenho do amplificador. Dificuldades originadas por esta montagem - A sua impedância de entrada relativamente baixa, torna o desempenho susceptível às resistências das fontes de excitação. - A dificuldade em ajustar continuamente o ganho diferencial, que para cada valor de ganho, necessita do emparelhamento de quatro resistências de modo a manter a taxa de rejeição de modo comum a um valor aceitável.
  • 22.
    Instrumentação e Medida Amplificadoresem Instrumentação 22 Universidade da Beira Interior
  • 23.
    Instrumentação e Medida Amplificadoresem Instrumentação 23 Universidade da Beira Interior
  • 24.
    Instrumentação e Medida Amplificadoresem Instrumentação 24 Universidade da Beira Interior
  • 25.
    Instrumentação e Medida Amplificadoresem Instrumentação 25 Universidade da Beira Interior
  • 26.
    Instrumentação e Medida Amplificadoresem Instrumentação 26 Universidade da Beira Interior 5.2.2. ESTUDO DO AMPLIFICADOR DIFERENCIAL DE DOIS AmpOp’s De modo a apresentar uma elevada impedância de entrada e por consequência tornar os ganhos diferencial e de modo comum praticamente independentes das resistências das fontes, é utilizada uma montagem de amplificador diferencial com dois amplificadores operacionais: - + R3R2 R4 vo R1 - + v2 v1 A tensão de saída, v0, desta montagem será dada por: 1 3 2 4 4 2 0 1 3 3 1 1 1 2 2 c d R R R R R R v v R R R R v ⎡ ⎤⎛ ⎞− = + + +⎢ ⎥⎜ ⎟ ⎝ ⎠⎣ ⎦ em que: 2 1 2 1 2 d c v v v v v v = − + =
  • 27.
    Instrumentação e Medida Amplificadoresem Instrumentação 27 Universidade da Beira Interior pelo que, virá: - Ganho de modo comum: 1 3 2 4 1 3 c R R R R G R R − = - Ganho diferencial: 4 2 3 1 1 1 2 2 d R R G R R ⎡ ⎤⎛ ⎞ = + +⎢ ⎥⎜ ⎟ ⎝ ⎠⎣ ⎦ Para: 1 4 1 2 3 2 0 , e 1c d R R R G G R R R = ⇒ = = + Esta condição será satisfeita para: R3 = R2 e R4 = R1 Tal como anteriormente, esta condição nunca será exactamente cumprida devido à indeterminação, ± εR, em torno dos valores nominais das resistências, R. No pior dos casos, o ganho de modo comum máximo será dado por: Gc’ = 4 εR Pelo que a taxa de rejeição de modo comum correspondente será: 1 2 1 4 d r c R R G R G τ ε + = = Mais pormenores da dedução das equações em Cálculos Auxiliares
  • 28.
    Instrumentação e Medida Amplificadoresem Instrumentação 28 Universidade da Beira Interior Dificuldades originadas por esta montagem - O ganho do primeiro andar é dado por: 2 1 1 1 1 d d GR G R G = + = − Então, a tensão de saída do primeiro andar, v01, será dada por: 01 1 1 1 1 2 d c v v G v G v G= = − Se o ganho diferencial, Gd, é relativamente baixo e se o ganho de modo comum, Gc, é importante, existe o risco de saturação do primeiro andar. - A montagem inversora é composta pelos amplificadores do 1º e 2º andar, enquanto a montagem não-inversora apenas é constituída pelo amplificador do 2º andar. Assim, as duas montagens terão respostas em frequência distintas, o que irá originar uma deterioração da taxa de rejeição em função da frequência. - Esta montagem requer, a cada mudança de ganho, uma selecção delicada do emparelhamento de resistências de modo a evitar uma degradação da taxa de rejeição de modo comum. Assim, torna-se preferível utilizar uma montagem com uma resistência de regulação.
  • 29.
    Instrumentação e Medida Amplificadoresem Instrumentação 29 Universidade da Beira Interior
  • 30.
    Instrumentação e Medida Amplificadoresem Instrumentação 30 Universidade da Beira Interior
  • 31.
    Instrumentação e Medida Amplificadoresem Instrumentação 31 Universidade da Beira Interior
  • 32.
    Instrumentação e Medida Amplificadoresem Instrumentação 32 Universidade da Beira Interior 5.2.3. ESTUDO DO AMPLIFICADOR DE INSTRUMENTAÇÃO Um amplificador de instrumentação apresenta as seguintes características: - Elevada impedância de entrada; - Controlo do ganho através de uma única resistência; - Elevado ganho; - Elevada CMRR; - Perfeita simetria entre as montagens inversora e não-inversora. - + + - - + R6 R7 R5 R4 R2 R3 R1 vo v1 v2 I4 I1 I5 I2 v'1 v'2 Nesta montagem pode-se distinguir: - um andar de entrada formado por dois amplificadores operacionais em montagem não- inversora; - um andar de saída constituído por um amplificador diferencial.
  • 33.
    Instrumentação e Medida Amplificadoresem Instrumentação 33 Universidade da Beira Interior Se: ( ) 4 5 6 0 2 4 6 7 ' ' R R R v v R R R =⎧ ⎪ ⇒ = −⎨ ⎪ =⎩ 1v Aplicando a Lei dos Nós: 4 5 1 2 3 1 1 1 1 1 2 1 1 2 2 2 1 2 2 3 3 2 2 1 21 2 3 22 3 11 0 ' ' ' ' I I I I I v v v v v v I I I R R v v I R v v v vv v I II R RR + = = = ⎧ − − −⎧ = = ⇔ =⎪ ⎪ ⎪ ⎪ ⎪ ⎪ ⎪ ⎪ −⎪ ⎪ = ⇔⎨ ⎨ ⎪ ⎪ ⎪ ⎪ ⎪ ⎪ − −−⎪ ⎪ = ⇔ == ⎪ ⎪⎩⎩ R ⇔ 1 2 2 1 2 1 1 2 1 1 3 3 2 3 2 1 3 1 ' ' R R R v R v v R R R R R R v R v R R R ⎧ ⎛ ⎞ = −⎪ ⎜ ⎟ +⎝ ⎠⎪ ⎪ ⎨ ⎪ ⎛ ⎞⎪ = −⎜ ⎟⎪ +⎝ ⎠⎩ 2 1v
  • 34.
    Instrumentação e Medida Amplificadoresem Instrumentação 34 Universidade da Beira Interior 1 3 3 1 2 2 2 1 3 2 1 2 1 2 1 3 1 1 2 1 1 3 32 1 2 3 2 2 1 3 1 1 2 1 ' ' R R R R R R v v R v v R v v R R R R R R R R RR R R R v R R R R R R R ⎡ ⎤ 1v ⎡ ⎤⎛ ⎞ ⎛ ⎞ − = − − −⎢ ⎥ ⎢ ⎥⎜ ⎟ ⎜ ⎟ + +⎝ ⎠⎝ ⎠ ⎣ ⎦⎣ ⎦ ⎡ ⎤ ⎡ ⎤⎛ ⎞ ⎛ ⎞ = + − +⎢ ⎥ ⎢ ⎥⎜ ⎟ ⎜ ⎟ + +⎝ ⎠⎝ ⎠ ⎣ ⎦⎣ ⎦ Se, ( ) ( ) ( ) 2 3 2 2 1 2 2 1 2 1 2 2 1 1 6 2 0 2 1 4 1 1 1 ' ' 2 1 2 1 R R R v v R v v R R R R v v R R R v v v R R = ⎡ ⎤⎛ ⎞ − = + − −⎢ ⎥⎜ ⎟ ⎝ ⎠⎣ ⎦ ⎛ ⎞ = + −⎜ ⎟ ⎝ ⎠ ⎛ ⎞ = + −⎜ ⎟ ⎝ ⎠ 1 A tensão de saída diferencial virá: ( )6 2 0 2 4 1 2 1d R R v v R R ⎛ ⎞ = + −⎜ ⎟ ⎝ ⎠ 1v Caso exista uma tensão de modo comum, v0c, então a expressão da tensão de saída virá: ( )6 2 0 0 0 2 1 4 1 2 1d c R R v v v v v v R R ⎛ ⎞ = + = + − +⎜ ⎟ ⎝ ⎠ c
  • 35.
    Instrumentação e Medida Amplificadoresem Instrumentação 35 Universidade da Beira Interior As tensões de saída do primeiro andar virão: ( ) ( ) 2 1 1 1 2 1 3 2 2 2 1 1 ' ' R v v v v R R v v v v R ⎧ = + −⎪ ⎪⎪ ⎨ ⎪ ⎪ = + − ⎪⎩ Deste modo, em função de vd = v2 – v1 e de vc = ( v1 + v2)/2 2 1 1 3 2 1 1 ' 2 1 ' 2 c d c d R v v v R R v v R ⎧ ⎛ ⎞ = − +⎪ ⎜ ⎟ ⎝ ⎠⎪ ⎪ ⎨ ⎪ ⎛ ⎞⎪ = + +⎜ ⎟⎪ ⎝ ⎠⎩ v O segundo andar do amplificador de instrumentação consiste numa montagem diferencial, que para: 6 2 4 2 4 1 3 6 2 4 6 4 d R c R G R R R R R R G R R ε ⎧ =⎪ ⎪⎪ = ⇒ ⎨ ⎪ ⎪ = +⎪⎩ A tensão de saída do amplificador de instrumentação virá: ( )0 2 2 1 2' 'd cv G v v G v= − + c
  • 36.
    Instrumentação e Medida Amplificadoresem Instrumentação 36 Universidade da Beira Interior 6 2 3 6 0 4 1 4 4 1 R d c R R R R v v R R R R ε⎛ ⎞+ = + +⎜ ⎟ +⎝ ⎠ 6 v Para R3 = R2 : - Ganho diferencial: 6 2 4 1 2 1d R R G R R ⎛ ⎞ = +⎜ ⎟ ⎝ ⎠ - Ganho de modo comum: 6 4 6 4 R c R G R R ε = + Se R4 = R6 : - Ganho diferencial: 2 1 2 1d R G R = + - Ganho de modo comum: 2c RG ε= A taxa de rejeição de modo comum de um amplificador de instrumentação será dada por: 2 4 1 6 2 1 1 1 4 d r c R G R R G R R τ ε ⎛ ⎞⎛ ⎞ = = + +⎜ ⎟⎜ ⎟ ⎝ ⎠⎝ ⎠ Caso R4 = R6 : 2 1 2 1 1 2 d r c R G R G R τ ε ⎛ ⎞ = = +⎜ ⎟ ⎝ ⎠ Mais pormenores da dedução das equações em Cálculos Auxiliares
  • 37.
    Instrumentação e Medida Amplificadoresem Instrumentação 37 Universidade da Beira Interior
  • 38.
    Instrumentação e Medida Amplificadoresem Instrumentação 38 Universidade da Beira Interior
  • 39.
    Instrumentação e Medida Amplificadoresem Instrumentação 39 Universidade da Beira Interior 5.3. Tensão de Desvio em Amplificadores As pequenas assimetrias existentes entre as vias inversora e não-inversora dos amplificadores resultam no aparecimento de uma tensão de desvio à saída, v’d0, quando as duas entradas são ligadas à massa do amplificador. Este defeito é esquematizado por meio de uma fonte de tensão, edi, que corresponde à tensão de desvio de entrada. Dependendo do tipo de amplificador, a tensão varia de alguns μV a mV, sendo este valor mais significativo em amplificadores com andar de entrada tipo FET do que em amplificadores com andar de entrada bipolar. Neste último caso, os amplificadores possuem um desvio muito reduzido, tal que são denominados por amplificadores de precisão. ______________________________________________________________________________ Caso do amplificador de instrumentação Este amplificador é constituído por dois andares: - O primeiro andar, de ganho G, apresenta uma tensão de desvio de entrada, ed1; - O segundo andar, geralmente de ganho unitário, apresenta uma tensão de desvio de entrada, ed2. A tensão de desvio à saída será: v’d0 = G ed1 + ed2 A tensão de desvio equivalente, edi, que retorna às entradas é dada por: edi = ed1 + ed2 / G
  • 40.
    Instrumentação e Medida Amplificadoresem Instrumentação 40 Universidade da Beira Interior Influência da temperatura A tensão de desvio, edi, é função da temperatura do amplificador. Os fabricantes especificam a tensão de desvio para uma temperatura, T0, geralmente 25 ºC, assim como a sua sensibilidade térmica, d edi / d T, expressa em μV / ºC. Para um amplificador que se encontre à temperatura T, a tensão de desvio será dada por: 0 0 ( ) ( ) , com, di di di di di e T e T e d e e T T T d T = + Δ Δ = Δ Δ = − T 5.4. Estudo dos Efeitos das Correntes de Polarização Uma corrente de polarização é fornecida a cada entrada do amplificador, Ip+ e Ip-. O sentidos destas correntes, o mesmo para cada entrada depende da natureza do andar de entrada (NPN, PNP, JFET). As correntes, Ip+ e Ip-, iguais no caso ideal, apresentam uma ligeira variação designada por corrente de desvio, Idi , que é dada por: Idi = Ip+ - Ip- Designa-se por corrente de polarização, o valor médio de Ip+ e Ip- : Ip = ( Ip+ + Ip- ) / 2
  • 41.
    Instrumentação e Medida Amplificadoresem Instrumentação 41 Universidade da Beira Interior Pelo que: Ip+ = Ip + Idi / 2 Ip- = Ip - Idi / 2 A ordem de grandezas da corrente de polarização Ip , vai de umas dezenas de nA para andares de entrada bipolares a 10-3 a 102 pA para andares de entrada FET. A corrente de desvio, Idi , é uma fracção da corrente de polarização, tipicamente de 0,1 a aproximadamente 1. 5.4.1. INFLUÊNCIA DA TEMPERATURA A corrente de polarização, Ip , e a corrente de desvio, Idi , dependem da temperatura, sendo especificadas para uma temperatura, T0, geralmente 25 ºC, assim como as suas sensibilidades térmicas, d Ip / d T, e d Idi / d T expressa em μV / ºC. Para um amplificador que se encontre à temperatura T, virão: 0 0 0 ( ) ( ) , com, ( ) ( ) p p p p p di di di di di I T I T I d I I T T d T I T I T I d I I T d T = + Δ Δ = Δ Δ = − = + Δ Δ = Δ T T
  • 42.
    Instrumentação e Medida Amplificadoresem Instrumentação 42 Universidade da Beira Interior 5.4.2. TENSÃO DE DESVIO DEVIDO ÀS CORRENTE DE POLARIZAÇÃO E DE DESVIO 5.4.2.1. Amplificador Operacional - + R2 R1 R3 v'’do Ip- v Ip+ A tensão de desvio, v’’do , devido às corrente de entrada será dada por: 1 2 1 2 1 2 0 3 3 1 1 2 1 2 '' 2 di d p IR R R R R R v R I R R R R R R ⎡ ⎤⎛ ⎞ ⎛+ = − + +⎢ ⎥⎜ ⎟ ⎜ + +⎝ ⎠ ⎝⎣ ⎦ ⎞ ⎟ ⎠ A influência das correntes de polarização, Ip, é compensada com a escolha da seguinte relação entre as resistências: 1 2 3 1 2 R R R R R = + Neste caso, a tensão de desvio será apenas em função da corrente de desvio: 0 2''d dv R I= i Para um amplificador que se encontre à temperatura T, virá: [ ]0 2 2 0 0 0'' ( ) ( ) ( ) '' ( ) ''d di di di dv T R I T R I T I v T v= = + Δ = + Δ 0d Mais pormenores da dedução das equações em Cálculos Auxiliares
  • 43.
    Instrumentação e Medida Amplificadoresem Instrumentação 43 Universidade da Beira Interior
  • 44.
    Instrumentação e Medida Amplificadoresem Instrumentação 44 Universidade da Beira Interior 5.4.2.2. Amplificador de instrumentação Fonte de sinal à massa + - R1 R2 v'’do Ip- Ip+ A.I. As correntes Ip- e Ip+ às entradas inversora e não-inversora do amplificador, percorrem as resistências, permitindo determinar as seguintes tensões às entradas do amplificador: vp+ = R2 Ip+ vp- = R1 Ip- às quais corresponde:
  • 45.
    Instrumentação e Medida Amplificadoresem Instrumentação 45 Universidade da Beira Interior - tensão diferencial: vdp = vp+ - vp- = R2 Ip+ - R1 Ip- - tensão de modo comum: vcp = ( vp+ + vp- ) /2 = ( R2 Ip+ - R1 Ip- ) / 2 Em função da corrente de polarização e da corrente de desvio, as expressões vêm: - tensão diferencial: vdp = ( R2 - R1 ) Ip + ( R1 + R2 ) Idi /2 - tensão de modo comum: vcp = ( R1 + R2 ) Ip / 2 + ( R2 - R1 ) Idi /4 Estas perturbações são minimizadas se R1 = R2, ou reduzindo o valor das resistências. Para um amplificador que se encontre à temperatura T, virá: ( ) ( ) ( ) ( ) ( ) ( ) 2 1 1 2 2 1 0 1 2 0 2 1 1 2 ( ) ( ) ( ) / 2 ( ) ( ) / 2 / 2 dp p di p di p v T R R I T R R I T R R I T R R I T R R I R R I = − + + ⎡ ⎤ ⎡= − + + + − Δ + + Δ⎣ ⎦ ⎣ di ⎤⎦ A tensão diferencial, vdp, está relacionada com o ganho do amplificador enquanto que a tensão de modo comum, vcp, é atenuada pela taxa de rejeição pelo que geralmente pode ser desprezada. Assim, a tensão de desvio devido às correntes de polarização virá: ( )( ) ( )1 2 0 2 1 0'' ( ) ( ) ( ) ( ) 2 d dp p p di R R v T G v T G R R I T I I T I ⎡ +⎛ ⎞ = = − + Δ + + Δ⎜ ⎟⎢ ⎥ ⎝ ⎠⎣ ⎦ 0 di ⎤ Mais pormenores da dedução das equações em Cálculos Auxiliares
  • 46.
    Instrumentação e Medida Amplificadoresem Instrumentação 46 Universidade da Beira Interior
  • 47.
    Instrumentação e Medida Amplificadoresem Instrumentação 47 Universidade da Beira Interior
  • 48.
    Instrumentação e Medida Amplificadoresem Instrumentação 48 Universidade da Beira Interior Fonte de sinal isolada da massa Montagem simétrica + - R1 R2 v'’do Ip- Ip+ A.I. RR vp+ vp- Após desenvolvimento, virá que: - tensão diferencial: vdp = vp+ - vp- ) = ( R1 + R2 ) Idi /2 , para R1, R2 << R - tensão de modo comum: vcp = ( vp+ + vp- ) / 2 = R Ip Mais pormenores da dedução das equações em Cálculos Auxiliares A resistência R deverá ser limitada de modo a tornar a tensão de modo comum desprezável. Os valores de resistência compreendidos entre 106 a 107 Ω são normalmente utilizados. A tensão de desvio virá: ( )0 1 2 1 '' ( ) ( ) 2 di d dp R I v T G v T G R R R I τ ⎡ ⎤ = = + +⎢ ⎥ ⎣ ⎦ p
  • 49.
    Instrumentação e Medida Amplificadoresem Instrumentação 49 Universidade da Beira Interior
  • 50.
    Instrumentação e Medida Amplificadoresem Instrumentação 50 Universidade da Beira Interior
  • 51.
    Instrumentação e Medida Amplificadoresem Instrumentação 51 Universidade da Beira Interior
  • 52.
    Instrumentação e Medida Amplificadoresem Instrumentação 52 Universidade da Beira Interior Montagem assimétrica + - R1 R2 v'’do Ip- Ip+ A.I. R vp+ vp- Neste caso: - tensão diferencial: vdp = ( R1 + R2 ) Ip+ ≈ ( R1 + R2 ) Ip , para R1, R2 << R - tensão de modo comum: vcp = 2 R Ip + ( R1 + R2 ) Ip+ /2 ≈ 2 R Ip A tensão de desvio virá: ( )0 1 2 1 '' ( ) ( ) 2d dp p R v T G v T G R R I R I τ ⎡ ⎤ = = + +⎢ ⎥ ⎣ ⎦ p Assim, quando a resistência de entrada, ( R1 + R2 ), é elevada, é necessário utilizar a montagem simétrica. Caso contrário, ( R1 + R2 < 100 Ω ), a montagem assimétrica é utilizada pela sua simplicidade. Mais pormenores da dedução das equações em Cálculos Auxiliares
  • 53.
    Instrumentação e Medida Amplificadoresem Instrumentação 53 Universidade da Beira Interior
  • 54.
    Instrumentação e Medida Amplificadoresem Instrumentação 54 Universidade da Beira Interior ]d 5.5. Técnicas de Compensação da Tensão de Desvio A tensão de desvio global, vd0, que surge à saída do amplificador é a sobreposição da tensão de desvio, v’d0, devido à tensão de desvio à entrada, edi, e à tensão de desvio, v’’d0, devido às correntes de polarização e de desvio. vd0 = v’d0 + v’’d0 A uma temperatura, T, virá: [ ] [ 0 0 0 0 0 0 0 0 0 0 ( ) ( ) ' ( ) '' ( ) ' '' d d d d d d v T v T v v T v T v v = + Δ = + + Δ + Δ 5.5.1. COMPENSAÇÃO FIXA – AFINAÇÃO DE UM POTENCIÓMENTRO EXTERNO A uma determinada temperatura, T0, a tensão de desvio global, vd0, pode ser compensada através de uma tensão fixa adicional, vc0, tal que a esta temperatura a tensão de saída será nula na inexistência de sinal. Consequentemente, unicamente persiste à entrada a deriva térmica da tensão de desvio à temperatura, T0, à qual foi realizada a compensação. A tensão de compensação pode ser criada por afinação de um potenciómetro externo. Todos os fabricantes indicam o tipo de ligação e o valor dos componentes de modo a realizar esta ligação. No entanto, esta montagem apresenta o inconveniente de aumentar a sensibilidade térmica do amplificador.
  • 55.
    Instrumentação e Medida Amplificadoresem Instrumentação 55 Universidade da Beira Interior 5.5.2. COMPENSAÇÃO FIXA – FONTE AUXILIAR De modo a evitar este inconveniente, outro modo de compensar a tensão de desvio consiste na utilização de uma fonte de tensão regulável. Neste caso, a tensão regulável é aplicada à entrada, vci, do amplificador operacional e ajustada de modo a produzir na saída um valor que anule , vd0(T0). 5.6. Bibliografia Albert D. Helfrick, William D. Cooper, “Instrumentação Electrónica Moderna e Técnicas de Medição”, Prentice Hall do Brasil, 1994. Aurélio Campilho, “Instrumentação Electrónica – Métodos e Técnicas de Medição”, FEUP Edições, 2000. G. Asch, “Acquisition de données – Du capteur à l’ordinateur”, Dunod, 1999. James W. Dally, William F. Riley, Kenneth G. McConnell, “Instrumentation for Engineering Measurements – 2sd edition”, John Wiley & Sons, Inc., 1993. Larry D. Jones, A. Foster Chin, “Electronic Instruments and Measurements – 2sd edition”, Prentice Hall – International Editions, 1991.