GOVERNO DO ESTADO DE SÃO PAULO
SECRETARIA DE ESTADO DA EDUCAÇÃO
DIRETORIA DE ENSINO REGIÃO SUL 1
E. E. DONA PÉROLA BYINGTON
PLANO GESTÃO – ANEXOS 2014
I – Diagnóstico
1- Identificação e caracterização da Unidade Escolar.
1.1 – Identificação da Escola: Escola Estadual Dona Pérola Byington
1.2 - Endereço: Rua Dr. Alcides de Campos, 150 – Americanópolis – São Paulo - SP
Distrito: Jabaquara - CEP: 04336-160
1.3- Fone/fax: (011) 5565.59.13 / 55865.72.22 - e-mail: e004686a@see.sp.gov.br
1.4 - Códigos:
CIE: 004686
FDE: 35004686
UA: 40224
1.5 - Atos Legais: Decreto 17.678 – DOE 26/11/1947
Instalação: 06/04/1954 – Denominação anterior: Grupo Escolar Americanópolis
Decreto de Reorganização: 40.473, publicado no DOE 22/11/1995
1.6 - Cursos, turnos e período de funcionamento:
- Ensino Fundamental dos Anos Finais - Regular – Manhã e Tarde
- Período da Manhã:
Quantidade de Classes: 06
Quantidade de Alunos: 189
- Período da Tarde:
Quantidade de Classes: 13
Quantidade de Alunos: 412
- Ensino Médio – Regular – Manhã e Noite
- Período da Manhã:
Quantidade de Classes: 08
Quantidade de Alunos: 301
- Período da Noite:
Quantidade de Classes: 06
Quantidade de Alunos: 232
- Total de alunos: 1134 alunos
Horários de Funcionamento:
- Secretaria: 8:00 às 12:00 h – 13:00 às 15:00 h – 17:00 às 19:00 h
- Ensino Fundamental – Ciclo II – Manhã – 7:00 às 12:20 h e Tarde - 13:00 às 18:20 h.
- Ensino Médio – Regular – Manhã – 7:00 às 12:20 h e Noite – 19:00 às 23:00 h.
- Ensino Fundamental dos Anos Finais
Manhã: 7:00 às 12:20 h Tarde: 13:00 às 18:20 h
1ª aula 7:00 – 7:50 h 1ª aula 13:00 – 13:50 h
2ª aula 7:50 – 8:40 h 2ª aula 13:50 – 14:40 h
3ª aula 8:40 – 9:30 h 3ª aula 14:40 – 15:30 h
Intervalo 9:30 – 9:50 h Intervalo 15:30 – 15 50 h
4ª aula 9:50 – 10:40 h 4ª aula 15:50 – 16:40 h
5ª aula 10:40 – 11:30 h 5ª aula 16:40 – 17:30h
6ª aula 11:30 – 12:20 h 6ª aula 17:30 – 18:20 h
- Ensino Médio - Regular
Manhã: 7:00 às 12:20 h Noite: 19:00 às 23:00 h
1ª aula 7:00 – 7:50 h 1ª aula 19:00 – 19:45 h
2ª aula 7:50 – 8:40 h 2ª aula 19:45 – 20:30 h
3ª aula 8:40 – 9:30 h 3ª aula 20:30 – 21:15 h
Intervalo 9:30 – 9:50 h Intervalo 21:15 – 21:30 h
4ª aula 9:50 – 10:40 h 4ª aula 21:30 – 22:15 h
5ª aula 10:40 – 11:30 h 5ª aula 22:15 – 23:00 h
6ª aula 11:30 – 12:20 h
Avaliação da Escola nos últimos três anos (2011 – 2013)
Avaliando o Processo Educacional dos últimos três anos, verificamos o quanto à
escola cresceu em todos os aspectos, colocando em prática as intenções comuns de
todos os envolvidos, norteando e operacionalizando a proposta pedagógica da escola que
visa à melhoria da qualidade de ensino.
A Secretaria da Educação vem investindo em cursos de aperfeiçoamento para seus
gestores, professores e funcionários. Todos esses cursos, oportunizaram uma visão de
articulação perfeita entre aspectos administrativos e pedagógicos, entre teoria e prática,
em que a teoria iluminou a prática, visando sempre a aprendizagem dos alunos.
Continuamos trabalhando o resgate de valores morais e de respeito, preservação
do patrimônio através de trabalho permanente e conscientização da comunidade,
havendo melhoras significativas no seu todo.
Analisamos que houve um aumento da participação da comunidade no cotidiano da
escola, através de inúmeros projetos desenvolvidos pela SEE, por exemplo: Escola da
Família, Cultura é Currículo, Acessa Escola, Sala de Leitura, projetos do PRODESC, Mais
Educação, Tamu-Junto, entre outros, pelo empenho e compromisso de muitos
professores que realmente “vestem” a camisa da escola e apesar de tantos problemas
enfrentados no nosso cotidiano escolar, estão sempre dispostos a ajudar, assim como
funcionários, pais e alunos que almejam uma escola melhor.
A conscientização dos alunos quanto à preservação do patrimônio, valores morais
é um projeto contínuo, pois cada dia recebemos alunos mais carentes de perspectivas
futuras, e não sabem definir o que significa “Respeito”, “Consideração” e “Limite”, dentro e
fora da sala de aula, sacrificando o trabalho de toda comunidade escolar, além da própria
família que não consegue muitas vezes conter o problema dentro da própria casa, isso faz
com que o profissional que trabalha com este aluno tenha que ter uma dose extra de
paciência e que procura planejar aulas bem diferenciadas para atrair a atenção destes
alunos.
A escola busca cada vez mais a melhoria e o sucesso escolar através de projetos e
envolvimento da comunidade com o empenho dos professores, funcionários e equipe
gestora.
O que buscamos neste momento é o apoio da comunidade, em virtude dos
problemas sociais que refletem diretamente em nossos alunos, ocasionando uma certa
defasagem nos próprios, o que nos desafia para a melhora constante de nossas
metodologias e projetos dentro da escola.
Durante este período, trabalhamos em equipe buscando parcerias que tragam
enriquecimento pessoal e cultural aos nossos jovens, tentamos trazer oportunidades de
passeios culturais, oportunidades de cursos e sua inclusão no mercado de trabalho.
AVALIAÇÃO 2013 DA E. E. DONA PÉROLA BYINGTON
Durante o ano letivo de 2013, trabalhamos em equipe buscando parcerias que
incrementassem o enriquecimento cultural, social e pessoal de nossos alunos.
Todas as atividades desenvolvidas pela unidade escolar visaram uma melhor
adequação dos conhecimentos e experiências vividas no processo ensino-aprendizagem
com o objetivo não somente, mas também de apresentar um índice satisfatório no IDESP.
Nossas ações durante o ano foram focadas nas parcerias com a comunidade, nos
projetos vindos da Secretária da Educação, muitas vezes através do relacionamento da
direção com a área da saúde, desenvolveram projetos de auxílio aos problemas sociais e,
dos próprios professores da escola, ao oferecerem ações com resultados práticos.
Dentro das aspirações da escola para desenvolver o conhecimento cultural e
social, realizamos passeios para o “Descubra a Orquestra”; “Museu do Futebol”; “SESC
Interlagos”; “Museu da Língua Portuguesa”; “Catavento” entre outras instituições.
Os professores empenhados em socializar o conhecimento, montaram o jornal “Se
Liga”, abrangendo diversos gêneros de expressão; Projeto Fundação ACL; Programa
Mais Educação, com reforço escolar, alfabetização para aqueles que tem dificuldades de
leitura, escrita e inclusão e a Sala de Leitura.
Enfim, com a ajuda e envolvimento do grupo, seja em parcerias, atitudes e
determinação, enfrentamos o cotidiano de 2013 na esperança de que algumas sementes
tenham gerado frutos profícuos.
AVALIAÇÃO DO PROCESSO EDUCACIONAL NOS ÚLTIMOS
TRÊS ANOS 2011, 2012 e 2013
ENSINO FUNDAMENTAL DOS ANOS FINAIS – EFAF
ANO 2011 2012 2013
APROVADOS 79,30 % 79,40 % 87,93 %
RETIDOS 11,80 % 12,90 % 7,39 %
EVADIDOS 8,90 % 7,70 % 4,68 %
ENSINO MÉDIO - EM
ANO 2011 2012 2013
APROVADOS 61,50 79,40 81,10 %
RETIDOS 27,00 5,60 10,00 %
EVADIDOS 11,50 15,0 8,90 %
DIRETORIA DE ENSINO - DER Sul 1 Município da UE:
São Paulo Zona: X Urbana Rural
Área Abrangênci/Setor:
38.03
Escola:
EE.Dona Pérola Byington
TIPO ENSINO EF./EM Distância (Km ou m ) do centro da cidade: 20 Km Código CIE: 004686
Endereço: R:Dr.Alcides de Campos Nº 150 DDD/Telefone: 11-5563-7082 Distância (Km ou m ) da UE mais próxima: 800 m Código FDE 1541
Bairro: Americanopolis Distrito: Jabaquara CEP:04336-160 Nome da UE mais próxima: EE.Prof.Pedro Calil Padis Código UA 40224
e-mail: Site: Acessibilidade Rampa X
Elevador X Quilombola
Assinalar Prédio: Cedido Alugado Próprio X Tombado prédio em uso compartilhado-CIE/NOME: L E G E N D A S
17
Fora do prédio: Tipo de construção: Alvenaria: X Madeira: NK ANO MUNICIPALIZAÇÃO:
C U R S O S / P R O J E T O S
Parcial Total
M T N
E T I /EF ETI/EM
Ambientes:
Sala Laborat. de Número de
Zeladoria
Nome da escola ou local de leitura Informática Quadras
Distância( Km ou m) sim sim nº m² nº m² Cob. Desc. n° m²
não não 1 49,00 1 22,00 1 1 58,00
SALAS 1 2 3 4 5 6 7 8 9 10 11 12 13 14 15 16 17 18 19 20 21 22 23 24 25 26
TOTAL
Sala de recurso
49,00 49,00 49,00 49,00 49,00 49,00 49,00 49,00 49,00 49,00 49,00 49,00 49,00 49,00
Alunos 33 29 33 28 34 30 41 35 41 37 37 33 39 39 489
07:00 12:20 Série/Turma 8A 8B 8C 8D 8E 8F 1A 1B 1C 1D 1E 1F 2A 2B 7
Cursos/Projetos 1 1 1 1 1 1 2 2 2 2 2 2 2 2
Alunos 32 32 29 32 34 30 32 33 35 30 30 34 29 412
13:00 18:20 Série/Turma 5A 5B 5C 6A 6B 6C 6D 6E 7A 7B 7C 7D 7E 6,5
Cursos/Projetos 1 1 1 1 1 1 1 1 1 1 1 1 1
Alunos
0
19:00 23:00 Série/Turma 2C 2D 3A 3B 3C 3D 3
Cursos/Projetos 2 2 2 2 2 2
Alunos
0
às Série/Turma
0
Cursos/Projetos
T R A N S P O R T E D E A L U N O S
2014 Total Geral
AL 901 TRANSP. E F EM
total
CL 16,5 TOTAL
água nas salas de aula, informática e corredores dos dois andares.Problemas com o muro de arrimo nos fundos da escola prejudicando as casas vizinhas.
e004686a@see.sp.gov.br
Nº de salas de aula no
prédio:
1 - EF 1ª a 8ª
Nº de salas fora do prédio (preencher somente quando utilizar sala em outro prédio) 2 - Ensino Médio
14 - Ensino Fundamental de 9 anos
4 - EJA Ens. Fundamental -Ciclo II
5 - EJA Ensino Médio
6- CEL - (Centro de Estudos de Línguas)
QUADRO GERAL - Ensino Fundamental de 08 e 09 anos / Ensino Médio / EJA / Edc.Especial / Outros EE - Eduação Especial - ES/DM/DF/DA/DV
Horário de
funcionamento
Dim.sala / m2
PM-Sala Cedida Prefeitura Municipal / outros
CPS-Centro Paula Souza
NT; OP; RS - Cedidos à DE
Observações: Condições físicas do prédio escolar e informações sobre obra em andamento: Condições do prédio é boas,mas após a reforma enfrentamos sérios problemas de infiltração de
DEMONSTRATIVO PESSOAL ADMINISTRATIVO EFETIVO/2014
NOME RG
01 ALINE MARIA FAUSTINO DOS SANTOS 28.868.296-8
02 ANA PAULA DA SILVA PARDIM 41.875.642-9
03 JACIRA DE OLIVEIRA BATISTA 10.907.635
04 ESTER PEREIRA LEMOS FAVRO 8.459.661-2
05 ANGELA OLIVEIRA MACIEL 19.754.369-8
06 MARIAAPARECIDA KERSTEN 11.824.346-9
07 MARLENE BERNARDO DE SOUSA SANTOS 36.862.957-0
08 MARIA LUZIA DO NASCIMENTO 12.730.834
09 NANCY APARECIDA PEREIRA DIAMANTINO 11.825.983-0
10 ROSANA ESTEVO 16.531.560
11 JORGE ROBERTO COSTA DE ALMEIDA 14.166.604-3
12 GRAZIELE APARECIDA SANTOS DA SILVA 37.342.076
13 GILMARA DOS SANTOS AZEVEDO 28.798.856-9
14 SIONE NUNES VENTURA 16.661.041
15 FLÁVIA GENESIO D SILVA DOS SANTOS 22.289.352-7
16 SIMONE PEREIRA DA SILVA 28.730.642-2
DEMONSTRATIVO PESSOAL DOCENTE EFETIVO/2014
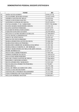
NOME RG
01 ADÃO ALVES GOMES 9.958.217-X
02 ALEXANDRE MURARI OTERO 23.019.339/0
03 ANDREA SANTOS DE MELO 19.952.016
04 ANGELA OLIVEIRA MACIEL 19.754.369
05 ANTONIO LUZIMAR DE SOUSA 25.073.025/X
06 CECILIA MARIA T. B. CARQUEIJO 9.972.728-56/BA
07 ELIANA MARIA MADUREIRA SOUZA 13.518.118
08 ELIANA SANTOS FERREIRA 13.877.279
09 ELIZABETH MYRA FERNANDES 9.212.073-8
10 FABIANO SANCHES GUEDES 24.470.949-X
11 HELENA CLAUDIA SOARES ACHILLES 27.509.044-9
12 IVETE FRANÇA ZIMERMANN 5.742.551-6
13 JOSELY DE JESUS SILVA 32.074.187
14 MAGALI DA SILVA RIBEIRO 22.252.430-3
15 MARIAAPARECIDAALVES DA SILVA 23.486.284
16 MARIA DAS GRAÇAS PEREIRA 14.958.356
17 MARIA DO CARMO DE ALMEIDA LEAL ROSA 11.381.341
18 MARIA EMILIA VARONE D. DE MORAIS 15.102.332
19 MARLY MARCONDES DE MELO DUARTE SOUZA 13.073.271
20 MEIRE RODRIGUES 8.181.877
21 NICEIA DO CARMO PEREIRA 17.959.384
22 NORMA FERREIR DA SILVA 21.459.415-4
23 PAULO EDUARDO RIBEIRO 23.129.392-6
24 RITA DE CÁSSIA SANTOS DE MELO 27.996.008-6
25 ROGERIO CARNEIRO GOMES 24.797.115-2
26 SILVIAAPARECIDA MARASCO 12.919.162
27 SILVIA HELENA PERRETTO PEREIRA 2.770.887
28 SONIA RICCA 18.374.180
29 SUELI AP. PIRES ALVARES DE LIMA 20.643.110
30 TANIA LUZIA MUSSUPAPO 13.983.113
31 TATIANA DE CAMARGO WALDOMIRO 32.317.869
32 VERA FERREIRA DO NASCIMENTO 14.523.407
33 WILLIAN HOBERG MATTOS 8.200.034-7
DEMONSTRATIVO PESSOAL DOCENTE OFA/2014
NOME RG
01 AMARILDO SILVA DE OLIVEIRA 13.545.809-90/BA
02 ANA PAULAAMBROGI 22.902.017-3
03 ANA PAULA BERNADO 23.000.582-2
04 ANOZILDA DE JESUS DOS SANTOS SILVA 15.598.759-8
05 BENEDITO DO SOCORRO RIBEIRO GAIA 53.374.335-7
06 CELIA CRISTINA PEREIRA DA SILVA 22.130.827-1
07 CELSO LUIS VAZ CARDOSO 9.971.812
08 CHRISTOPHER ABDON SOUSA 32.758.849-4
09 DANIELLE APARECIDAALVES 28.565.013-0
10 ELIANA DE CASSIA SOUZA MARETO 22.688.919-1
11 ERICK BUCHALLA 34.096.297-5
12 EULALIAAPARECIDA DA SILVA OKA 4.671.703-2
13 FABIULA MARTINS NUNES 57.761.061-2
14 GRAZZIELLA CIPRIANI 32.809.868-1
15 JOSE CARLOS FERNANDES MARTINES 8.553.445-6
16 LEONARDO CALEGARO 28.146.202-1
17 LUCAS SOUZA SANTOS 34.101.073-X
18 LUCIAAPARECIDA FERNANDES DOS REIS 13.674.361-1
19 LUCIANA FERNANDES DA SILVA 29.226.766
20 LUIS ROGERIO DUARTE 25.540.551
21 MARCIAAPARECIDA MIAM 20.186391-1
22 MARCIA CRISTINA GONÇALVES DA SILVA 32.747.317-4
23 MARGARETH MENDONÇA DE SALES 33.516.915-6
24 MARIA IZAURA 8.966.205-2
25 PAULO PINTO FERREIRA LIMA 22.901.616-9
26 PAULO ROBERTO TAVARES CINTRA 23.128.199-7
27 RITA DE CASSIA OLIVEIRA 16.750.386
28 RITA DE CASSIA SOUSA 30.061.984
29 SHEILAAPARECIDA FLORINDO PUPO 22.538.799-1
30 SIMONE FREITAS DE JESUS 10.728.449
31 SOLANGE NUNES VENTURA 55.281.192-0
32 SONIAAPARECIDA SOARES HIRATA 7.306.909-7
33 TADEU APARECIDO PEREIRA 17.152.789-6
RELAÇÃO DOS HORÁRIOS DOS PROFESSORES EM ATPC
2ª FEIRA: 16:40 h às 18:20 h
Andréa – Benedito –Eliana Madureira – Izaura – Josi – Luis Rogério – Paulo Ferreira –
Vera
3ª FEIRA: 09:50 h às 12:20 h
Ana Paula Ambrogi – Ana Paula Bernardo – Antonio – Amarildo – Celso – Elizabeth –
Erick – Graziella – Josi – Márcia Cristina – Maria – Magali – Meire – Paulo Eduardo –
Paulo Roberto – Rita Melo – Rogério – Sheila – Simone – Sônia – Sueli – Tadeu – Zilda
4ª FEIRA: 13:00 h às 15:30 h
Adão – Fabiula – Eliana Madureira – Ivete – Luciana – Márcia Cristina – Márcia Mian –
Margareth – Maria Emilia – Rita Souza – Silvia – Solange – Tatiana – Vera – William
Relação de professores que realizam ATPC em outra unidade escola:
José Carlos
Cronograma e Temário
1º bimestre
Avaliação das metas atingidas no ano anterior e as que ainda precisam ser trabalhadas.
Elaboração dos planos de ensino e de aula para o primeiro semestre.
Planejamento, estudos e aplicação do Caderno do aluno.
Avaliação interna (planejamento, elaboração e execução)
Acompanhamento do Currículo Oficial do Estado de São Paulo.
Acompanhamento da frequência dos alunos.
2º bimestre
Avaliação do trabalho no primeiro bimestre.
Estudos sobre avaliação.
Encaminhamento dos alunos às atividades de recuperação paralela.
Acompanhamento da frequência dos alunos.
Avaliação Interna (planejamento, elaboração e execução)
Planejamento de atividades coletivas – Olimpíadas de Matemática.
3º bimestre
Avaliação do trabalho desenvolvido no segundo bimestre.
Elaboração dos planos de ensino e de aula para o segundo semestre.
Encaminhamento dos alunos às atividades de recuperação paralela (identificação das
dificuldades).
Atendimento a responsáveis de alunos faltosos.
Estudos sobre dificuldades em leitura e escrita.
Planejamento de atividades coletivas (simulado do Enem, Saresp, Olimpíadas de Língua
Portuguesa)
Avaliação Interna (planejamento elaboração e execução).
4º bimestre
Avaliação do trabalho desenvolvido no terceiro bimestre.
Acompanhamento das atividades de recuperação paralela.
Planejamento e execução das atividades da Feira Cultural.
Simulado do Saresp.
Avaliação Interna (planejamento, elaboração e execução)
Avaliação do ano letivo.
PLANO DE TRABALHO DO PROFESSOR COORDENADOR
- Garantir a proposta pedagógica.
- Organizar e coordenar, nos horários de ATPC, as reuniões de estudo, estimulando as
discussões e reflexões subsidiando-as com materiais de apoio.
- Acompanhar e analisar sistematicamente o processo de avaliação, orientando os
professores, pais e alunos, relativamente à superação das atividades sugeridas no
processo de ensino aprendizagem.
- Participar das reuniões do conselho de classe e série e reunião de pais.
- Integrar a proposta pedagógica e o projeto pedagógico da escola, articulando o trabalho
com coordenação geral do diretor da Unidade Escolar.
- Desenvolver temas diversos através da leitura, reflexão e discussão adequadas à teoria
e prática.
- Acompanhar e analisar o desenvolvimento do processo ensino aprendizagem, avaliação
e recuperação.
- Orientar e assessorar o professor no desenvolvimento do trabalho pedagógico da
escola.
- Acompanhar, orientar e avaliar a execução dos projetos estabelecidos.
- Acompanhar o processo de avaliação.
- Coordenar a programação e execução das atividades de recuperação.
Os temas a serem trabalhados durante as reuniões de ATPC serão organizados
priorizando o trabalho coletivo.
Os temas serão desenvolvidos garantindo a capacitação e formação do professor e
a integração das disciplinas. Serão registrados através de uma pauta no livro ata.
- Reuniões de ATPC:
- Leitura de texto e discussão, vídeos, apostilas, orientações técnicas e
capacitações.
- Operacionalização da proposta pedagógica, troca de experiências e
replanejamento das ações.
- Discussão dos resultados obtidos ao longo do ano.
PLANO DE TRABALHO DO PROFESSOR COORDENADOR ENSINO MÉDIO
Orientar e auxiliar os docentes:
 No acompanhamento das propostas curriculares organizadas pelos órgãos próprios da
Secretaria da Educação;
 No planejamento das atividades de ensino das diferentes áreas e disciplinas em cada
bimestres;
 Na compreensão da proposta de organização dos conceitos curriculares correspondentes
a cada ano/semestre/bimestre;
 Na seleção de estratégias que favoreçam as situações de aprendizagem, mediante a
adoção de práticas docentes significativas e contextualizadas;
 No monitoramento das avaliações bimestrais;
 No monitoramento dos projetos de recuperação bimestral;
 Na identificação de atitudes e valores que permeiem os conteúdos e os procedimentos
selecionados, imprescindíveis à formação de cidadãos afirmativos.
Apoiar ações de capacitação de professores:
 Participar das alternativas de oferta do ensino médio, com vistas a assegurar sua
integração ao desenvolvimento social e regional e/ou a seu enriquecimento curricular
diversificado;
 Articular o planejamento das séries finais do Ensino Fundamental com o planejamento das
séries iniciais do Ensino Médio;
 Observar a atuação do professor em sala de aula coma finalidade de recolher subsídios
para aprimorar o trabalho docente, com vistas ao avanço da aprendizagem dos alunos;
 Estimular abordagens multidisciplinares, por maio de projetos e/ou temáticas transversais
que atendiam demandas e interesses dos adolescentes e/ou que se afigurem significativos
para a comunidade;
 Apoiar organizações estudantis que fortaleçam o exercício da cidadania e
ações/organizações que estimulem o intercâmbio cultural, de integração participativa e de
socialização.
PLANO DE TRABALHO DO PROFESSOR COORDENADOR FUNDAMENTAL II
Orientar e auxiliar os docentes:
 No acompanhamento das propostas curriculares organizadas pelos órgãos próprios da
Secretaria da Educação;
 No planejamento das atividades de ensino das diferentes áreas e disciplinas em cada
bimestres;
 Na compreensão da proposta de organização dos conceitos curriculares correspondentes
a cada ano/semestre/bimestre;
 Na seleção de estratégias que favoreçam as situações de aprendizagem, mediante a
adoção de práticas docentes significativas e contextualizadas;
 No monitoramento das avaliações bimestrais;
 No monitoramento dos projetos de recuperação bimestral;
 Na identificação de atitudes e valores que permeiem os conteúdos e os procedimentos
selecionados, imprescindíveis à formação de cidadãos afirmativos.
Apoiar ações de capacitação de professores:
 Articular o planejamento das séries finais do Ensino Fundamental com o planejamento das
séries iniciais do Ensino Médio;
 Observar a atuação do professor em sala de aula coma finalidade de recolher subsídios
para aprimorar o trabalho docente, com vistas ao avanço da aprendizagem dos alunos;
 Estimular abordagens multidisciplinares, por maio de projetos e/ou temáticas transversais
que atendiam demandas e interesses dos adolescentes e/ou que se afigurem significativos
para a comunidade;
 Apoiar organizações estudantis que fortaleçam o exercício da cidadania e
ações/organizações que estimulem o intercâmbio cultural, de integração participativa e de
socialização.
HORÁRIO DE TRABALHO DO PROFESSOR COORDENADOR
COORDENADOR EFAF:
Nome: Kirtty Brusiguello dos Santos
RG. 23.828.996-5
2ª feira: Das 7:00 às 16:00 h
3ª feira: Das 7:00 às 16:00 h
4ª feira: Das 10:00 às 19:00 h
5ª feira: Das 14:00 às 23:00 h
6ª feira: Das 7:00 às 16:00 h
COORDENADOR ENSINO MÉDIO
Nome: Alexandre Murari Otero
RG: 23.019.339-0
2ª feira: Das 14:00 às 23:00 h
3ª feira: Das 14:00 às 23:00 h
4ª feira: Das 7:00 às 16:00 h
5ª feira: Das 7:00 às 16:00 h
6ª feira: Das 14:00 às 23:00 h
QUADRO DE PROFESSOR COORDENADOR DE SALA 2014
PERÍODO-MANHÃ PERÍODO-TARDE PERÍODO-NOITE
SÉRIE PROFº/DISC. SÉRIE PROFº/DISC. SÉRIE PROFº/DISC.
PROFº DISCIPLINA PROFº DISCIPLINA PROFº DISCIPLINA
8ºA Antônio Luzimar de Sousa 6ºAno A Tatiana C. Waldomiro
8ºB Andréa S. de Melo Albuquerque 6ºAno B Eliana M. Madureira de Souza 2ºC Maria Izaura
8ºC Ivete França Zimermann 6ºAno C Solange Nunes Ventura 2ºD Sueli Ap. Pires A.de Lima
8ºD Elizabeth Myra Fernandes 6ºA Sônia Ap. Soares Hirata 3ºA Luis Rogério Duarte
8ºE Adão Alves Gomes 6ºB Tadeu Aparecido Pereira 3ºB Silvia Helena Perretto Pereira
8ºF Norma Ferreira da Silva 6ºC Meire Rodrigues 3ºC Willian Hoberg Mattos
1ºA Eliana M. Madureira de Souza 6ºD Magali da Silva Ribeiro 3ºD Sônia Ricca
1ºB Benedito dos S.R. Gaia 6ºE Rogério C. Gomes1ºA 6ºE
1ºC Josely de Jesus Silva 7ºA Paulo Roberto Tavares1ºA
1ºD Sheila Ap. F.Pupo 7ºB Maria Ap. Alves da Silva
1ºE Fabiula Martins Nunes 7ºC Grazziella Cipriani
QUADRO DE ALUNOS REPRESENTANTES DE SALA 2014
PERÍODO-MANHÃ PERÍODO-TARDE PERÍODO-NOITE
SÉRIE PROFº/DISC. SÉRIE PROFº/DISC. SÉRIE PROFº/DISC.
PROFº DISCIPLINA PROFº DISCIPLINA PROFº DISCIPLINA
8ºA Ana Gabriela Pinto dos Santos 6ºAno A Tatiana C. Waldomiro
8ºA Claudia Danielle S.Reis 6ºAno A Tatiana C. Waldomiro
8ºB David Araujo Bernardo 6ºAno B Eliana M. Madureira de Souza 2ºC Maria IzauraDavid Araujo Bernardo
8ºB Raissa Cassia dos A. Nazario 6ºAno C Solange Nunes Ventura 2ºD Sueli Ap. Pires A.de Lima
8ºC Renata de Jesus
8ºC Marcela Ap. da Silva Leite
8ºD Marcelino Moreira Costa 6ºA Sônia Ap. Soares Hirata 3ºA Luis Rogério Duarte
8ºD Thamires Ap. Coelho de Andrade 6ºB Tadeu Aparecido Pereira 3ºB Silvia Helena Perretto Pereira
8ºE Pedro Henrique Souza de Oliveira 6ºC Meire Rodrigues 3ºC Willian Hoberg Mattos
8ºE Marcos Vinícius de Souza Gonçalves 6ºD Magali da Silva Ribeiro 3ºD Sônia Ricca
8ºF João Pedro Bandeira Alves
8ºF Breno Pascoal de Pontes
1ºA José Batista D. B Filho
1ºA Joao Paulo Santos
1ºB Vanessa Leão Sales
1ºB Mikael Alves de Lima 6ºE Rogério C. Gomes1ºA 6ºE
1ºC Lucas Ferreira dos Santos 7ºA Paulo Roberto Tavares1ºA
1ºC Wallace Felix de Queiroz 7ºB Maria Ap. Alves da Silva
1ºD Matheus Pereira dos Santos 7ºC Grazziella Cipriani
1ºD Felipe de Oliveira Nogueira 7ºD Paulo Pinto Ferreira Lima1ºE
1ºE Nayara Carvalho de Souza 7ºE Marcia Cristina G. da Silva
1ºE Tais Azevedo de Brito1ºE
2ºA Jaqueline Miranda Prado
PROGRAMA ESCOLA DA FAMÍLIA
O Programa Escola da Família foi criado no dia 23 de agosto de 2003 pela
Secretaria de Estado da Educação.
Ele proporciona a abertura de escolas da Rede Estadual de Ensino, aos finais de semana,
com o objetivo de criar uma cultura de paz, despertar potencialidades e ampliar os horizontes
culturais de seus participantes.
Reunindo profissionais da Educação, voluntários e universitários, o Programa oferece às
comunidades paulistas atividades que possam contribuir para a inclusão social tendo como foco o
respeito à pluralidade e a uma política de prevenção que concorra para uma qualidade de vida, cada
vez melhor.
Cada escola organiza as atividades dentro de 4 eixos: Esporte, Cultura, Saúde e Trabalho.
Em diversas regiões do Estado, as escolas públicas constituem o principal – ou, muitas
vezes, o único – equipamento público, especialmente nas localidades em que há pouca ou nenhuma
opção de lazer e cultura.
Os espaços escolares, que, antes ociosos aos finais de semana, passam a ser ocupados com
atividades planejadas para a comunidade participante, favorecendo a essa o direito de conquistar e
fortalecer a sua identidade. Assim, essa comunidade com responsabilidade, apropria-se desses
espaços, agregando no seu cotidiano valores essenciais para a edificação de uma cultura
participativa.
Milhares de universitários, de todo o Estado de São Paulo, dedicam hoje, seus finais de
semana ao Programa Escola da Família e, em contrapartida, têm seus estudos custeados por um dos
maiores programas de concessão de bolsas de estudo do País, realizado em convênio com
instituições particulares de Ensino Superior - o Programa Bolsa Universidade.
Esses convênios garantem aos universitários 100% de gratuidade nos seus cursos, sendo
50% da mensalidade paga pelo Estado (limitada a um teto de R$ 310,00/mês, renovável
semestralmente) e o restante financiado pela própria faculdade.
Os universitários contemplados com a bolsa contribuem com seu empenho e dedicação para
o crescimento da comunidade local e, quando formados, acrescentarão ao currículo uma preciosa
experiência, enriquecida por valores como a responsabilidade social e a participação comunitária.
Até o início de 2009, mais de 80 mil universitários já fizeram parte dessa trajetória,
beneficiados pelo Programa Bolsa Universidade, atuando nos espaços escolares como Educadores
Universitários.
PROGRAMA ACESSA ESCOLA
Acessa Escola, um programa do Governo do Estado de São Paulo, desenvolvido
pela Secretarias de Estado da Educação, sob a coordenação da Fundação para o
Desenvolvimento da Educação (FDE), tem por objetivo promover a inclusão digital e
social dos alunos, professores e funcionários das escolas da rede pública estadual. Por
meio da Internet, ele possibilita aos usuários o acesso às tecnologias da informação e
comunicação para a construção do conhecimento e o fortalecimento social da equipe
escolar.
Estagiários:
Manhã: vago
Tarde: Daniel Nicolas da Silva
Noite: Rodrigo Genésio dos Santos
As demais vagas ainda não foram ocupadas.
PROGRAMA CULTURA É CURRÍCULO
O Programa Cultura é Currículo integra o conjunto de ações definidas pela Secretaria da Educação
do Estado de São Paulo para concretização da sua política educacional, visando propiciar melhor
qualidade de ensino da escola pública estadual, seja no sentido de atender aos desafios do mundo
moderno, como em relação à função de transmissão do saber, para inserção social de seus alunos.
Em acordo com os parâmetros pedagógicos da atual gestão, pauta-se por princípios estabelecidos
para a organização curricular:
- Currículo e Cultura;
- Currículo referido a competências;
- Currículo que tem como prioridade a competência escritora e leitora.
Nesse contexto, a definição do Programa orientou-se por três objetivos básicos a serem alcançados:
- Democratizar o acesso de professores e alunos da rede pública estadual a equipamentos, bens e
produções culturais que constituem patrimônio cultural da sociedade, tendo em vista uma formação
plural e a inserção social.
- Fortalecer o ensino por meio de novas formas e possibilidades de desenvolvimento dos conteúdos
curriculares em articulação com produções socioculturais e fenômenos naturais, diversificando-se
as situações de aprendizagens.
- Estimular e desenvolver a aprendizagem por intermédio de interações significativas do aluno com
o objeto de estudo/conhecimento de disciplinas, reforçando-se o caráter investigativo da experiência
curricular.
O Programa Cultura é Currículo é composto por três projetos: Lugares de Aprender: a Escola Sai da
Escola, Escola em Cena e O Cinema Vai à Escola.
O projeto LUGARES DE APRENDER: A ESCOLA SAI DA ESCOLA
Tem como objetivo promover o acesso de professores e alunos da rede pública estadual paulista de
ensino a museus, centros, institutos de arte e cultura e a parques, como atividade articulada ao
desenvolvimento do currículo, e foi concebido em acordo com a Proposta Curricular do Estado de
São Paulo, observando as orientações pedagógicas da Coordenadoria de Estudos e Normas
Pedagógicas – CENP.
Para tanto, os professores receberão orientações por meio de material de apoio pedagógico,
denominado Subsídios para o Desenvolvimento de Projetos Didáticos. Apresentam uma sequencia
de atividades para o ensino de disciplinas curriculares, entre as quais a de visita a uma instituição
cultural, centradas em eixos temáticos presentes na proposta curricular das séries e algumas
disciplinas.
Os projetos foram definidos para cinco segmentos da escolaridade básica, cada um com seu
respectivo eixo temático:
• 1ª e 2ª séries do Ensino Fundamental – Os seres vivos diante das estrelas
• 3ª e 4ª séries do Ensino Fundamental – Heranças Culturais
• 5ª e 6ª séries do Ensino Fundamental – Espaços, Tempos e Obras
• 7ª e 8ª séries do Ensino Fundamental – Patrimônio, Expressões e Produções
• 1ª, 2ª e 3ª séries do Ensino Médio – Séculos, Contextos e Transformações
Justificativa
O Estado de São Paulo, em especial sua capital, oferece uma infinidade de opções culturais à
população. Contudo, grande parte dos alunos da escola pública não tem acesso a elas e, muitas
vezes, até desconhecem sua existência.
Por ser a cultura parte do patrimônio das sociedades, é função da escola fazer com que seus alunos
reconheçam esses locais, como também que a eles tenham acesso. Dessa forma, tendo em vista uma
formação plural, este projeto oferece oportunidades para que alunos e professores da rede pública
usufruam os equipamentos culturais disponíveis na cidade de São Paulo.
Nessa perspectiva de trabalho da escola com a arte e a cultura, o trabalho do professor, responsável
pela mediação do aluno com o conhecimento, será apoiado por materiais pedagógicos que reforcem
a intencionalidade das experiências no âmbito cultural, articulando os conteúdos de diferentes áreas
curriculares com os objetos socioculturais, fenômenos naturais e outras fontes de conhecimento
com as quais os alunos irão interagir em suas visitas.
Objetivos
• Proporcionar aos alunos e professores do Ensino Fundamental e Médio da rede estadual o contato
direto com diferentes instituições e espaços culturais.
• Produzir e oferecer textos e orientações aos educadores das Diretorias de Ensino da COGSP
(Capital), sugerindo novas formas e possibilidades de desenvolvimento dos conteúdos curriculares,
por meio de projetos didáticos nos quais a visitação a instituições e espaços de cultura está
articulada a outras atividades de aprendizagem.
Resultados Esperados
• Dinamização do trabalho docente com a realização de projetos didáticos correlacionados ao
currículo escolar e às experiências desenvolvidas nas instituições e espaços culturais.
• Ampliação e aprofundamento da aprendizagem dos alunos pela apropriação de conteúdos de
disciplinas das áreas científicas, de arte e de comunicação lingüística, proporcionados nas visitas às
instituições culturais.
• Ampliação do universo cultural de alunos e professores.
• Valorização do patrimônio cultural da cidade.
• Compreensão e respeito às diferenças culturais de grupos e povos.
• Formação de público de visitação a instituições e espaços culturais, decorrente do
desenvolvimento do interesse de alunos e professores pela apropriação de bens culturais.
PROGRAMA CINEMA VAI À ESCOLA
O projeto O cinema vai à escola – o uso da linguagem cinematográfica na
educação, em continuidade à política da Secretaria da Educação do Estado de São Paulo
de subsidiar a rede pública de ensino com materiais, equipamentos e acervos didáticos,
fornece às escolas de Ensino Médio um conjunto de filmes de diferentes categorias e
gêneros, em DVD, acompanhado de materiais de apoio à prática pedagógica.
Com esse acervo, pretende-se facilitar o acesso dos alunos a produções cinematográficas
que contribuam para a formação crítico-reflexiva do jovem e do adulto, a ampliação do
seu repertório cultural, o desenvolvimento da sua competência leitora e o diálogo entre o
currículo escolar e as questões socioculturais mais amplas.
ESCOLA EM CENA
O projeto Escola em Cena destina-se a professores e alunos da rede estadual paulista de ensino e
tem como objetivos organizar ações para o acesso de alunos e professores a produções de teatro e
dança e orientar as escolas para que essas atividades culturais sejam articuladas significativamente
ao desenvolvimento do currículo. Para tanto, os professores recebem orientações, antecipadamente,
por intermédio de material de apoio pedagógico, veiculado por meio digital, com sugestões de
projetos didáticos a serem desenvolvidos na escola e referenciais de caráter teórico-metodológico
para sua fundamentação. Essas propostas representam indicações de possibilidades de articulação
da experiência de contato com as produções de teatro e dança ao trabalho pedagógico, de forma a
contextualizá-la no ensino de suas disciplinas. Aliado a isso, esses projetos abrem possibilidades
para o desenvolvimento de atividades de sistematização de conhecimentos que podem ser
partilhadas por toda a escola, como a apresentação de jogos teatrais, improvisações, peças,
seqüências coreográficas, a produção e divulgação de textos dramáticos, de estudos sobre
manifestações dessas artes, de críticas de espetáculos e, ainda, outras que poderão ser criadas por
alunos e professores. Escola em Cena é um projeto da Secretaria da Educação do Estado de São
Paulo, que conta com a parceria da Secretaria Estadual da Cultura.
JUSTIFICATIVA
As linguagens do teatro e da dança integram o currículo da escola estadual como expressões da
disciplina Arte, desde as séries iniciais até o ensino médio, e por isso é de suma importância que se
ofereça aos alunos a possibilidade de assistir a exibições nessas áreas. Assim, tanto em visitas a
casas de espetáculo quanto em apresentações na própria escola, participar dessas produções não
pode se caracterizar como um evento desarticulado do currículo e do planejamento escolar, mas a
atividade requer a preparação dos alunos para a apreciação dos elementos constitutivos dessas
linguagens. Dessa forma, considerando-se as especificidades dessa interação, é fundamental que o
professor inicie esse trabalho antes do momento da apreciação do espetáculo pelos alunos,
ampliando as possibilidades de promoção de uma experiência mais significativa para ambos.
Essa ação, como complemento das atividades pedagógicas, deve ser coerente com os objetivos e
procedimentos de trabalho definidos no planejamento docente, de forma que a diversificação de
experiências de fruição e de produção em teatro ou em dança possibilite o aprofundamento de
conteúdos de Arte e a abrangência de relações com outras disciplinas e com temas transversais.
É importante destacar que a inclusão das linguagens de teatro e dança na educação – tanto pelo
acesso de alunos e professores a espetáculos, quanto pela montagem de peças, improvisações e
coreografias na escola – necessita de direcionamento pedagógico para conformá-las às diretrizes da
atual política educacional do Estado, com base nos Parâmetros Curriculares Nacionais e
considerando os conteúdos programáticos propostos para disciplinas do Ensino Médio pela
Secretaria Estadual da Educação. Assim, a participação de alunos e professores em ações culturais
de teatro e dança requer algumas condições que contribuam para a dinamização da prática de ensino
– ao diversificá-la, gerando maior envolvimento do aluno no trabalho pedagógico – e para o seu
enriquecimento, ao propiciar uma outra ordem de interação com o objeto de estudo, no sentido de
atingir resultados efetivos da aprendizagem nos âmbitos estético, cognitivo, social e afetivo.
APRENDIZAGENS PARA OS ALUNOS
Ao longo do projeto, espera-se que os alunos sejam capazes de:
• identificar e explorar os elementos que compõem as linguagens de teatro e de dança (direção,
cenografia, iluminação, figurinos, maquiagem, coreografia, interpretação, discurso cênico);
• identificar as formas de organização, integração e apresentação dos elementos que compõem a
cena (voz, corpo, movimento, espaço, som, gesto, palavra, interatividade);
• conhecer práticas e teorias das linguagens artísticas de teatro e de dança, bem como familiarizar-
se com seus códigos e articulações formais, aspectos expressivos, técnicas e materiais,
contextualizando-os em diversos âmbitos – geográfico, social, histórico, cultural e psicológico;
• identificar técnicas expressivas na construção dos discursos cênicos;
• correlacionar as diversas expressões do corpo em cena;
• identificar e comparar as configurações da relação palco/platéia;
• reconhecer a singularidade e a diversificação das manifestações de teatro e de dança em diferentes
culturas e momentos históricos;
• explorar formas de categorização das produções cênicas de acordo com suas formas de
organização, integração e apresentação e contexto histórico, geográfico e sociocultural;
• apreciar e discutir criticamente teatro e dança.
PROJETO SALA DE LEITURA
O programa Sala de Leitura oferece a alunos do 6º ao 9º ano do Ensino Fundamental, Ensino
Médio e Educação de Jovens e Adultos um ambiente com rico acervo de livros e periódicos. A
presença de Salas de Leitura nas instituições de ensino visa estimular a prática da leitura e o
desenvolvimento de atividades, construídas especialmente para atender o perfil e os interesses dos
alunos de cada escola.
As salas, arejadas e equipadas com mesas e cadeiras, abrigam o acervo da sala de leitura,
coordenada por professores e aberta durante a semana nos três períodos de aulas (manhã, tarde e
noite).
Professora responsável: Rita de Cássia de Sousa
Professora auxiliar: Tânia Luzia Mussupapo (professora readaptada)
PROJETO A.C.D
1)JUSTIFICATIVA
Este projeto de treinamento surgiu através da importância da participação de
alunos em atividades esportivas competitivas ou recreativas como um dos fatores
contribuintes para a diminuição da questão da violência e das drogas, e de hábitos que
podem prejudicar o convívio social, fazendo com que a escola seja um ambiente
transformador e motivador, dando ao aluno a possibilidade de utilizar de forma
agradável e prazerosa algumas horas de lazer.
2) PÚBLICO
Alunos do ensino fundamental ciclo II e ensino médio.
3) TURMAS DE A.C.D
FUTSAL MASCULINO
4) CATEGORIA
Mirim e infantil (96/99)
5) OBJETIVO GERAL
Partindo da realidade social do aluno, proporcionar uma educação que o levará
a uma situação crítica e transformadora da sociedade, como também a conquista de
um bem estar e de sua autonomia, questionando a prática, buscando soluções as
dificuldades e tendo condições de criar alternativas.
6) OBJETIVO ESPECÍFICO
FUTSAL.
- Desenvolvimento das habilidades no manejo da bola.
- Desenvolvimento da coordenação motora, da agilidade, da velocidade, e da
orientação espacial.
- Desenvolvimento das capacidades físicas (já mencionadas: velocidade,
agilidade, coordenação) além da força, flexibilidade, resistência orgânica e reflexos
dos alunos.
- Aprimoramento e compreensão dos fundamentos (passe, recepção, condução
de bola, domínio de bola), além de táticas de jogo e histórico sociais relacionados ao
esporte.
- Contribuição para a formação cognitiva, social e afetiva verificando os
resultados de vitória ou derrota.
7) CRONOGRAM DE AÇÕES
Testes gerais de condição física: agilidade, resistência, força, velocidade,
flexibilidade e coordenação motora.
ETAPAS
Inscrições
Início das aulas
Torneio interno
Treinamentos
Durante o ano letivo de 2013
Durante o período da tarde e início da noite
3 aulas semanais
Infantil/mirim – terça feira das (16:40 as 19:40hs)
Jogos
O calendário da secretaria da educação e esportes será obedecido durante os
anos letivos citados acima.
8) AVALIAÇÃO
Será feito através de observação de frequência, interesse e mudanças positivas
de comportamento do aluno com relação aos colegas, a escola e as situações do
cotidiano. Estas observações serão relatadas a coordenação para devida apreciação
periódica. Será feito um registro a cada dois meses pelos alunos sobre as aulas de
A.C.D sobre modificações táticas e técnicas bem como experiências das competições
realizadas.
9) RECURSOS MATERIAIS
* quadra poliesportiva
* material esportivo (bolas, coletes, cones, corda, etc...)
* sala de vídeo e acessa escola
10) AÇÕES DESENVOLVIDAS ANTERIORMENTE PELA ESCOLA
* Participação em jogos colegiais oferecidos pela secretaria de esportes
*Amistosos entre escolas
* Olímpiadas da Primavera (Clube Escola)
* Copa cidade de São Paulo
* Virada esportiva – Vila Independência
ROGÉRIO CARNEIRO GOMES
RG 24797115-7
CREF 24175 G/SP
Modalidade: Tênis de Mesa
Gênero: Masculino
Categoria: Infantil
Nº de aulas semanais: 3
Professor Responsável: Rogério Carneiro Gomes
Rg: 24.797.115-7
CPF: 135.528.768-55
JUSTIFICATIVA
• Este projeto de treinamento surgiu através da importância da
participação de alunos em atividades esportivas competitivas ou
recreativas como um dos fatores contribuintes para a diminuição da
questão da violência e das drogas, e de hábitos que podem prejudicar
o convívio social, fazendo com que a escola seja um ambiente
transformador e motivador, dando ao aluno a possibilidade de utilizar
de forma agradável e prazerosa algumas horas de lazer.
OBJETIVOS
• Partindo da realidade social do aluno, proporcionar uma educação
que o levará a uma situação crítica e transformadora da sociedade,
como também a conquista de um bem estar e de sua autonomia,
questionando a prática, buscando soluções as dificuldades e tendo
condições de criar alternativas.
CONTEÚDOS
• FUTSAL.
• - Desenvolvimento das habilidades no manejo da raquete e
bola.
• - Desenvolvimento da coordenação motora, da agilidade, da
velocidade de raciocínio, habilidade e espaço/tempo.
• - Desenvolvimento das capacidades físicas, como resistência
orgânica e reflexos dos alunos.
• - Aprimoramento e compreensão dos fundamentos, regras,
tático e histórico social relacionado ao esporte.
• - Contribuição para a formação cognitiva, social e afetiva
verificando os resultados de vitória ou derrota.
• - Melhora para a saúde nos aspectos da circulação sanguínea, na
melhora da visão exercitando os nervos dos olhos, além dos reflexos
e tempo de reação.
ATIVIDADES
• Aulas teóricas e práticas de tênis de mesa, seus estilos (Europeus e
Asiáticos), empunhadura (caneta e clássica), saques, golpes e as
regras oficias do tênis de mesa.
• Registro dos alunos sobre as atividades desenvolvidas.
CRONOGRAMA ANUAL
MODALIDADE TÊNIS DE MESA
1o Bimestre 2o Bimestre 3o Bimestre 4o Bimestre
• Seletiva com os
alunos
• Testes de
coordenação
motora
• Empunhadura
• Manejo raquete
e bolinha
• Principais
regras
• Golpes (batida
de direita e
esquerda –
Kato, Driver e
Soto)
• Posição do
corpo em
relação à mesa
• Trabalho de
pernas e
braços
• Regras
oficiais do
esporte
• Golpes
• Saques ( direita
e esquerda )
• Trabalho de
perna e braços
• Regras do
esporte
• Campeonato da
diretoria sul 1
• Aprimoramento
dos golpes
• Aprimoramento do
saques
• Regras do esporte
• Campeonato
externo (Clube
Escola Vila
Guarani)
AVALIAÇÃO
PROGRAMA UNPLUGGED (#TAMOJUNTO)
O Programa Unplugged (#Tamojunto) é uma iniciativa do Ministério da Saúde, em
parceria do Escritório de Nações Unidas sobre Drogas e Crime (UNDOC). O Unplugged
traz um método desenvolvido por pesquisadores europeus, já aplicado com sucesso em
países do Norte da África e do Oriente Médio. São 12 aulas conduzidas por professores
que tenham educandos entre 10 e 14 anos, entre a sexta e a oitava séries do Ensino
Fundamental. Nessa primeira fase pré-piloto as escolas foram escolhidas a partir dos
dados do Instituto Nacional de Pesquisas. Seis escolas são experimentais e outras seis
são consideradas controle. O programa ainda oferece três Oficinas Temáticas que estão
sendo desenvolvidas com os pais dos adolescentes ou quaisquer responsáveis pelos
educandos voltado para promoção de habilidade de vida e prevenção ao abuso de álcool,
tabaco e outras drogas nas escolas.
PROGRAMA VENCE
A escola tem um papel fundamental na integração do jovem à vida social e
produtiva do país. Ciente dessa importância, o Governo de São Paulo, por meio da
Secretaria da Educação do Estado, criou o programa VENCE (Rede de Ensino Médio
Técnico).
O programa, na modalidade Ensino Médio Concomitante à Educação Profissional
Técnica de Nível Médio, possibilita aos estudantes do Ensino Médio e da EJA (Educação
de Jovens e Adultos) das escolas estaduais obter, também, formação e certificado de um
curso técnico.
O objetivo é ampliar as condições para que os jovens desenvolvam plenamente
suas capacidades e seus potenciais e, assim, possam trabalhar e contribuir para a
melhoria da qualidade de vida de suas famílias e comunidades.
O programa VENCE (Rede de Ensino MédioTécnico) conta com mais de 250
instituições de educação profissional, que oferecem cerca de 60 cursos técnicos em
diferentes municípios paulistas. Essas instituições são credenciadas e assinam contrato
com a Secretaria da Educação do Estado de São Paulo.
Como a proposta é oferecer uma oportunidade para complementar a formação do
jovem, a condição básica para participar do programa é cursar e frequentar regularmente
as aulas do Ensino Médio ou da EJA.
PROGRAMA MAIS EDUCAÇÃO
O Programa Mais Educação, instituído pela Portaria Interministerial nº 17/2007 e
regulamentado pelo Decreto 7.083/10, constitui-se como estratégia do Ministério da
Educação para induzir a ampliação da jornada escolar e a organização curricular na
perspectiva da Educação Integral.
As escolas das redes públicas de ensino estaduais, municipais e do Distrito Federal
fazem a adesão ao Programa e, de acordo com o projeto educativo em curso, optam por
desenvolver atividades nos macrocampos de acompanhamento pedagógico; educação
ambiental; esporte e lazer; direitos humanos em educação; cultura e artes; cultura digital;
promoção da saúde; comunicação e uso de mídias; investigação no campo das ciências
da natureza e educação econômica.
PROJETO ESCOLA VIDA
O projeto escola vida é uma iniciativa da Fundação ACL e tem como um dos principais objetivos
levar os jovens alunos da rede estadual de ensino ao exercício pleno da cidadania. Isso é obtido
mediante o resgate da autoestima e promoção do amadurecimento dos jovens nas relações
familiares e sociais, além da tomada de consciência das próprias potencialidades, de modo a torná-
los autênticos líderes nas comunidades em que vivem e atuam.
“O Projeto Escola Vida é a realização de um ideal de juventude. Estou muito orgulhosa com os
resultados obtidos.” Assim a presidente vitalícia da Fundação ACL, Sumie Iwasa, comenta o
programa, ressaltando que a iniciativa mudou e continua transformando a vida de centenas de
crianças e adolescentes carentes que estudam em escolas públicas de São Paulo. “Para o futuro, a
Fundação ACL pretende expandir o Projeto Escola Vida para dezenas de centros educacionais em
todo o Estado e, se possível, para outras regiões do País”, complementa.
Os professores também não escondem a emoção de colaborarem com esse projeto de inclusão
social. “O Escola Vida tem todos os motivos para comemorar treze anos de existência. É muito
gratificante ver hoje o progresso vivido por muitos alunos que, ao entrarem no projeto anos atrás,
achavam-se então sem perspectivas. Por meio do autoconhecimento, eles alcançaram vários
objetivos que propuseram para suas vidas”, diz Terezinha Oyadomari, professora e coordenadora do
projeto na E.E. Professora Heloísa Carneiro.
O conteúdo das aulas do Projeto Escola Vida é transmitido por meio de fábulas, para os menores, ou
de textos para debate, a partir da 6ª série. As aulas são ministradas de acordo com a Técnica ACL,
que, em síntese, provoca a reflexão dos alunos ao fazer-lhes perguntas sobre suas vidas, seus
valores e suas formas de relacionamento interpessoal. Desse modo, os alunos são levados à tomada
de consciência sobre as melhores atitudes para convívio em sociedade, respeito às pessoas em geral,
relacionamento em família, liderança e ações proativas que beneficiem a si mesmos e ao ambiente
em que vivem. Trabalhos de origami, jogos educativos e pequenos artesanatos complementam as
aulas.
Início em nossa escola: fev/2009
Plano gestão

Plano gestão

  • 1.
    GOVERNO DO ESTADODE SÃO PAULO SECRETARIA DE ESTADO DA EDUCAÇÃO DIRETORIA DE ENSINO REGIÃO SUL 1 E. E. DONA PÉROLA BYINGTON PLANO GESTÃO – ANEXOS 2014 I – Diagnóstico 1- Identificação e caracterização da Unidade Escolar. 1.1 – Identificação da Escola: Escola Estadual Dona Pérola Byington 1.2 - Endereço: Rua Dr. Alcides de Campos, 150 – Americanópolis – São Paulo - SP Distrito: Jabaquara - CEP: 04336-160 1.3- Fone/fax: (011) 5565.59.13 / 55865.72.22 - e-mail: e004686a@see.sp.gov.br 1.4 - Códigos: CIE: 004686 FDE: 35004686 UA: 40224 1.5 - Atos Legais: Decreto 17.678 – DOE 26/11/1947 Instalação: 06/04/1954 – Denominação anterior: Grupo Escolar Americanópolis Decreto de Reorganização: 40.473, publicado no DOE 22/11/1995 1.6 - Cursos, turnos e período de funcionamento: - Ensino Fundamental dos Anos Finais - Regular – Manhã e Tarde - Período da Manhã: Quantidade de Classes: 06 Quantidade de Alunos: 189 - Período da Tarde: Quantidade de Classes: 13 Quantidade de Alunos: 412 - Ensino Médio – Regular – Manhã e Noite - Período da Manhã: Quantidade de Classes: 08 Quantidade de Alunos: 301 - Período da Noite: Quantidade de Classes: 06 Quantidade de Alunos: 232 - Total de alunos: 1134 alunos Horários de Funcionamento: - Secretaria: 8:00 às 12:00 h – 13:00 às 15:00 h – 17:00 às 19:00 h - Ensino Fundamental – Ciclo II – Manhã – 7:00 às 12:20 h e Tarde - 13:00 às 18:20 h. - Ensino Médio – Regular – Manhã – 7:00 às 12:20 h e Noite – 19:00 às 23:00 h.
  • 2.
    - Ensino Fundamentaldos Anos Finais Manhã: 7:00 às 12:20 h Tarde: 13:00 às 18:20 h 1ª aula 7:00 – 7:50 h 1ª aula 13:00 – 13:50 h 2ª aula 7:50 – 8:40 h 2ª aula 13:50 – 14:40 h 3ª aula 8:40 – 9:30 h 3ª aula 14:40 – 15:30 h Intervalo 9:30 – 9:50 h Intervalo 15:30 – 15 50 h 4ª aula 9:50 – 10:40 h 4ª aula 15:50 – 16:40 h 5ª aula 10:40 – 11:30 h 5ª aula 16:40 – 17:30h 6ª aula 11:30 – 12:20 h 6ª aula 17:30 – 18:20 h - Ensino Médio - Regular Manhã: 7:00 às 12:20 h Noite: 19:00 às 23:00 h 1ª aula 7:00 – 7:50 h 1ª aula 19:00 – 19:45 h 2ª aula 7:50 – 8:40 h 2ª aula 19:45 – 20:30 h 3ª aula 8:40 – 9:30 h 3ª aula 20:30 – 21:15 h Intervalo 9:30 – 9:50 h Intervalo 21:15 – 21:30 h 4ª aula 9:50 – 10:40 h 4ª aula 21:30 – 22:15 h 5ª aula 10:40 – 11:30 h 5ª aula 22:15 – 23:00 h 6ª aula 11:30 – 12:20 h
  • 3.
    Avaliação da Escolanos últimos três anos (2011 – 2013) Avaliando o Processo Educacional dos últimos três anos, verificamos o quanto à escola cresceu em todos os aspectos, colocando em prática as intenções comuns de todos os envolvidos, norteando e operacionalizando a proposta pedagógica da escola que visa à melhoria da qualidade de ensino. A Secretaria da Educação vem investindo em cursos de aperfeiçoamento para seus gestores, professores e funcionários. Todos esses cursos, oportunizaram uma visão de articulação perfeita entre aspectos administrativos e pedagógicos, entre teoria e prática, em que a teoria iluminou a prática, visando sempre a aprendizagem dos alunos. Continuamos trabalhando o resgate de valores morais e de respeito, preservação do patrimônio através de trabalho permanente e conscientização da comunidade, havendo melhoras significativas no seu todo. Analisamos que houve um aumento da participação da comunidade no cotidiano da escola, através de inúmeros projetos desenvolvidos pela SEE, por exemplo: Escola da Família, Cultura é Currículo, Acessa Escola, Sala de Leitura, projetos do PRODESC, Mais Educação, Tamu-Junto, entre outros, pelo empenho e compromisso de muitos professores que realmente “vestem” a camisa da escola e apesar de tantos problemas enfrentados no nosso cotidiano escolar, estão sempre dispostos a ajudar, assim como funcionários, pais e alunos que almejam uma escola melhor. A conscientização dos alunos quanto à preservação do patrimônio, valores morais é um projeto contínuo, pois cada dia recebemos alunos mais carentes de perspectivas futuras, e não sabem definir o que significa “Respeito”, “Consideração” e “Limite”, dentro e fora da sala de aula, sacrificando o trabalho de toda comunidade escolar, além da própria família que não consegue muitas vezes conter o problema dentro da própria casa, isso faz com que o profissional que trabalha com este aluno tenha que ter uma dose extra de
  • 4.
    paciência e queprocura planejar aulas bem diferenciadas para atrair a atenção destes alunos. A escola busca cada vez mais a melhoria e o sucesso escolar através de projetos e envolvimento da comunidade com o empenho dos professores, funcionários e equipe gestora. O que buscamos neste momento é o apoio da comunidade, em virtude dos problemas sociais que refletem diretamente em nossos alunos, ocasionando uma certa defasagem nos próprios, o que nos desafia para a melhora constante de nossas metodologias e projetos dentro da escola. Durante este período, trabalhamos em equipe buscando parcerias que tragam enriquecimento pessoal e cultural aos nossos jovens, tentamos trazer oportunidades de passeios culturais, oportunidades de cursos e sua inclusão no mercado de trabalho.
  • 5.
    AVALIAÇÃO 2013 DAE. E. DONA PÉROLA BYINGTON Durante o ano letivo de 2013, trabalhamos em equipe buscando parcerias que incrementassem o enriquecimento cultural, social e pessoal de nossos alunos. Todas as atividades desenvolvidas pela unidade escolar visaram uma melhor adequação dos conhecimentos e experiências vividas no processo ensino-aprendizagem com o objetivo não somente, mas também de apresentar um índice satisfatório no IDESP. Nossas ações durante o ano foram focadas nas parcerias com a comunidade, nos projetos vindos da Secretária da Educação, muitas vezes através do relacionamento da direção com a área da saúde, desenvolveram projetos de auxílio aos problemas sociais e, dos próprios professores da escola, ao oferecerem ações com resultados práticos. Dentro das aspirações da escola para desenvolver o conhecimento cultural e social, realizamos passeios para o “Descubra a Orquestra”; “Museu do Futebol”; “SESC Interlagos”; “Museu da Língua Portuguesa”; “Catavento” entre outras instituições. Os professores empenhados em socializar o conhecimento, montaram o jornal “Se Liga”, abrangendo diversos gêneros de expressão; Projeto Fundação ACL; Programa Mais Educação, com reforço escolar, alfabetização para aqueles que tem dificuldades de leitura, escrita e inclusão e a Sala de Leitura. Enfim, com a ajuda e envolvimento do grupo, seja em parcerias, atitudes e determinação, enfrentamos o cotidiano de 2013 na esperança de que algumas sementes tenham gerado frutos profícuos.
  • 6.
    AVALIAÇÃO DO PROCESSOEDUCACIONAL NOS ÚLTIMOS TRÊS ANOS 2011, 2012 e 2013 ENSINO FUNDAMENTAL DOS ANOS FINAIS – EFAF ANO 2011 2012 2013 APROVADOS 79,30 % 79,40 % 87,93 % RETIDOS 11,80 % 12,90 % 7,39 % EVADIDOS 8,90 % 7,70 % 4,68 % ENSINO MÉDIO - EM ANO 2011 2012 2013 APROVADOS 61,50 79,40 81,10 % RETIDOS 27,00 5,60 10,00 % EVADIDOS 11,50 15,0 8,90 %
  • 29.
    DIRETORIA DE ENSINO- DER Sul 1 Município da UE: São Paulo Zona: X Urbana Rural Área Abrangênci/Setor: 38.03 Escola: EE.Dona Pérola Byington TIPO ENSINO EF./EM Distância (Km ou m ) do centro da cidade: 20 Km Código CIE: 004686 Endereço: R:Dr.Alcides de Campos Nº 150 DDD/Telefone: 11-5563-7082 Distância (Km ou m ) da UE mais próxima: 800 m Código FDE 1541 Bairro: Americanopolis Distrito: Jabaquara CEP:04336-160 Nome da UE mais próxima: EE.Prof.Pedro Calil Padis Código UA 40224 e-mail: Site: Acessibilidade Rampa X Elevador X Quilombola Assinalar Prédio: Cedido Alugado Próprio X Tombado prédio em uso compartilhado-CIE/NOME: L E G E N D A S 17 Fora do prédio: Tipo de construção: Alvenaria: X Madeira: NK ANO MUNICIPALIZAÇÃO: C U R S O S / P R O J E T O S Parcial Total M T N E T I /EF ETI/EM Ambientes: Sala Laborat. de Número de Zeladoria Nome da escola ou local de leitura Informática Quadras Distância( Km ou m) sim sim nº m² nº m² Cob. Desc. n° m² não não 1 49,00 1 22,00 1 1 58,00 SALAS 1 2 3 4 5 6 7 8 9 10 11 12 13 14 15 16 17 18 19 20 21 22 23 24 25 26 TOTAL Sala de recurso 49,00 49,00 49,00 49,00 49,00 49,00 49,00 49,00 49,00 49,00 49,00 49,00 49,00 49,00 Alunos 33 29 33 28 34 30 41 35 41 37 37 33 39 39 489 07:00 12:20 Série/Turma 8A 8B 8C 8D 8E 8F 1A 1B 1C 1D 1E 1F 2A 2B 7 Cursos/Projetos 1 1 1 1 1 1 2 2 2 2 2 2 2 2 Alunos 32 32 29 32 34 30 32 33 35 30 30 34 29 412 13:00 18:20 Série/Turma 5A 5B 5C 6A 6B 6C 6D 6E 7A 7B 7C 7D 7E 6,5 Cursos/Projetos 1 1 1 1 1 1 1 1 1 1 1 1 1 Alunos 0 19:00 23:00 Série/Turma 2C 2D 3A 3B 3C 3D 3 Cursos/Projetos 2 2 2 2 2 2 Alunos 0 às Série/Turma 0 Cursos/Projetos T R A N S P O R T E D E A L U N O S 2014 Total Geral AL 901 TRANSP. E F EM total CL 16,5 TOTAL água nas salas de aula, informática e corredores dos dois andares.Problemas com o muro de arrimo nos fundos da escola prejudicando as casas vizinhas. e004686a@see.sp.gov.br Nº de salas de aula no prédio: 1 - EF 1ª a 8ª Nº de salas fora do prédio (preencher somente quando utilizar sala em outro prédio) 2 - Ensino Médio 14 - Ensino Fundamental de 9 anos 4 - EJA Ens. Fundamental -Ciclo II 5 - EJA Ensino Médio 6- CEL - (Centro de Estudos de Línguas) QUADRO GERAL - Ensino Fundamental de 08 e 09 anos / Ensino Médio / EJA / Edc.Especial / Outros EE - Eduação Especial - ES/DM/DF/DA/DV Horário de funcionamento Dim.sala / m2 PM-Sala Cedida Prefeitura Municipal / outros CPS-Centro Paula Souza NT; OP; RS - Cedidos à DE Observações: Condições físicas do prédio escolar e informações sobre obra em andamento: Condições do prédio é boas,mas após a reforma enfrentamos sérios problemas de infiltração de
  • 30.
    DEMONSTRATIVO PESSOAL ADMINISTRATIVOEFETIVO/2014 NOME RG 01 ALINE MARIA FAUSTINO DOS SANTOS 28.868.296-8 02 ANA PAULA DA SILVA PARDIM 41.875.642-9 03 JACIRA DE OLIVEIRA BATISTA 10.907.635 04 ESTER PEREIRA LEMOS FAVRO 8.459.661-2 05 ANGELA OLIVEIRA MACIEL 19.754.369-8 06 MARIAAPARECIDA KERSTEN 11.824.346-9 07 MARLENE BERNARDO DE SOUSA SANTOS 36.862.957-0 08 MARIA LUZIA DO NASCIMENTO 12.730.834 09 NANCY APARECIDA PEREIRA DIAMANTINO 11.825.983-0 10 ROSANA ESTEVO 16.531.560 11 JORGE ROBERTO COSTA DE ALMEIDA 14.166.604-3 12 GRAZIELE APARECIDA SANTOS DA SILVA 37.342.076 13 GILMARA DOS SANTOS AZEVEDO 28.798.856-9 14 SIONE NUNES VENTURA 16.661.041 15 FLÁVIA GENESIO D SILVA DOS SANTOS 22.289.352-7 16 SIMONE PEREIRA DA SILVA 28.730.642-2
  • 31.
    DEMONSTRATIVO PESSOAL DOCENTEEFETIVO/2014 NOME RG 01 ADÃO ALVES GOMES 9.958.217-X 02 ALEXANDRE MURARI OTERO 23.019.339/0 03 ANDREA SANTOS DE MELO 19.952.016 04 ANGELA OLIVEIRA MACIEL 19.754.369 05 ANTONIO LUZIMAR DE SOUSA 25.073.025/X 06 CECILIA MARIA T. B. CARQUEIJO 9.972.728-56/BA 07 ELIANA MARIA MADUREIRA SOUZA 13.518.118 08 ELIANA SANTOS FERREIRA 13.877.279 09 ELIZABETH MYRA FERNANDES 9.212.073-8 10 FABIANO SANCHES GUEDES 24.470.949-X 11 HELENA CLAUDIA SOARES ACHILLES 27.509.044-9 12 IVETE FRANÇA ZIMERMANN 5.742.551-6 13 JOSELY DE JESUS SILVA 32.074.187 14 MAGALI DA SILVA RIBEIRO 22.252.430-3 15 MARIAAPARECIDAALVES DA SILVA 23.486.284 16 MARIA DAS GRAÇAS PEREIRA 14.958.356 17 MARIA DO CARMO DE ALMEIDA LEAL ROSA 11.381.341 18 MARIA EMILIA VARONE D. DE MORAIS 15.102.332 19 MARLY MARCONDES DE MELO DUARTE SOUZA 13.073.271 20 MEIRE RODRIGUES 8.181.877 21 NICEIA DO CARMO PEREIRA 17.959.384 22 NORMA FERREIR DA SILVA 21.459.415-4 23 PAULO EDUARDO RIBEIRO 23.129.392-6 24 RITA DE CÁSSIA SANTOS DE MELO 27.996.008-6 25 ROGERIO CARNEIRO GOMES 24.797.115-2 26 SILVIAAPARECIDA MARASCO 12.919.162 27 SILVIA HELENA PERRETTO PEREIRA 2.770.887 28 SONIA RICCA 18.374.180 29 SUELI AP. PIRES ALVARES DE LIMA 20.643.110 30 TANIA LUZIA MUSSUPAPO 13.983.113 31 TATIANA DE CAMARGO WALDOMIRO 32.317.869 32 VERA FERREIRA DO NASCIMENTO 14.523.407 33 WILLIAN HOBERG MATTOS 8.200.034-7
  • 32.
    DEMONSTRATIVO PESSOAL DOCENTEOFA/2014 NOME RG 01 AMARILDO SILVA DE OLIVEIRA 13.545.809-90/BA 02 ANA PAULAAMBROGI 22.902.017-3 03 ANA PAULA BERNADO 23.000.582-2 04 ANOZILDA DE JESUS DOS SANTOS SILVA 15.598.759-8 05 BENEDITO DO SOCORRO RIBEIRO GAIA 53.374.335-7 06 CELIA CRISTINA PEREIRA DA SILVA 22.130.827-1 07 CELSO LUIS VAZ CARDOSO 9.971.812 08 CHRISTOPHER ABDON SOUSA 32.758.849-4 09 DANIELLE APARECIDAALVES 28.565.013-0 10 ELIANA DE CASSIA SOUZA MARETO 22.688.919-1 11 ERICK BUCHALLA 34.096.297-5 12 EULALIAAPARECIDA DA SILVA OKA 4.671.703-2 13 FABIULA MARTINS NUNES 57.761.061-2 14 GRAZZIELLA CIPRIANI 32.809.868-1 15 JOSE CARLOS FERNANDES MARTINES 8.553.445-6 16 LEONARDO CALEGARO 28.146.202-1 17 LUCAS SOUZA SANTOS 34.101.073-X 18 LUCIAAPARECIDA FERNANDES DOS REIS 13.674.361-1 19 LUCIANA FERNANDES DA SILVA 29.226.766 20 LUIS ROGERIO DUARTE 25.540.551 21 MARCIAAPARECIDA MIAM 20.186391-1 22 MARCIA CRISTINA GONÇALVES DA SILVA 32.747.317-4 23 MARGARETH MENDONÇA DE SALES 33.516.915-6 24 MARIA IZAURA 8.966.205-2 25 PAULO PINTO FERREIRA LIMA 22.901.616-9 26 PAULO ROBERTO TAVARES CINTRA 23.128.199-7 27 RITA DE CASSIA OLIVEIRA 16.750.386 28 RITA DE CASSIA SOUSA 30.061.984 29 SHEILAAPARECIDA FLORINDO PUPO 22.538.799-1 30 SIMONE FREITAS DE JESUS 10.728.449 31 SOLANGE NUNES VENTURA 55.281.192-0 32 SONIAAPARECIDA SOARES HIRATA 7.306.909-7 33 TADEU APARECIDO PEREIRA 17.152.789-6
  • 33.
    RELAÇÃO DOS HORÁRIOSDOS PROFESSORES EM ATPC 2ª FEIRA: 16:40 h às 18:20 h Andréa – Benedito –Eliana Madureira – Izaura – Josi – Luis Rogério – Paulo Ferreira – Vera 3ª FEIRA: 09:50 h às 12:20 h Ana Paula Ambrogi – Ana Paula Bernardo – Antonio – Amarildo – Celso – Elizabeth – Erick – Graziella – Josi – Márcia Cristina – Maria – Magali – Meire – Paulo Eduardo – Paulo Roberto – Rita Melo – Rogério – Sheila – Simone – Sônia – Sueli – Tadeu – Zilda 4ª FEIRA: 13:00 h às 15:30 h Adão – Fabiula – Eliana Madureira – Ivete – Luciana – Márcia Cristina – Márcia Mian – Margareth – Maria Emilia – Rita Souza – Silvia – Solange – Tatiana – Vera – William Relação de professores que realizam ATPC em outra unidade escola: José Carlos
  • 34.
    Cronograma e Temário 1ºbimestre Avaliação das metas atingidas no ano anterior e as que ainda precisam ser trabalhadas. Elaboração dos planos de ensino e de aula para o primeiro semestre. Planejamento, estudos e aplicação do Caderno do aluno. Avaliação interna (planejamento, elaboração e execução) Acompanhamento do Currículo Oficial do Estado de São Paulo. Acompanhamento da frequência dos alunos. 2º bimestre Avaliação do trabalho no primeiro bimestre. Estudos sobre avaliação. Encaminhamento dos alunos às atividades de recuperação paralela. Acompanhamento da frequência dos alunos. Avaliação Interna (planejamento, elaboração e execução) Planejamento de atividades coletivas – Olimpíadas de Matemática. 3º bimestre Avaliação do trabalho desenvolvido no segundo bimestre. Elaboração dos planos de ensino e de aula para o segundo semestre. Encaminhamento dos alunos às atividades de recuperação paralela (identificação das dificuldades). Atendimento a responsáveis de alunos faltosos. Estudos sobre dificuldades em leitura e escrita. Planejamento de atividades coletivas (simulado do Enem, Saresp, Olimpíadas de Língua Portuguesa) Avaliação Interna (planejamento elaboração e execução). 4º bimestre Avaliação do trabalho desenvolvido no terceiro bimestre. Acompanhamento das atividades de recuperação paralela. Planejamento e execução das atividades da Feira Cultural. Simulado do Saresp. Avaliação Interna (planejamento, elaboração e execução) Avaliação do ano letivo.
  • 35.
    PLANO DE TRABALHODO PROFESSOR COORDENADOR - Garantir a proposta pedagógica. - Organizar e coordenar, nos horários de ATPC, as reuniões de estudo, estimulando as discussões e reflexões subsidiando-as com materiais de apoio. - Acompanhar e analisar sistematicamente o processo de avaliação, orientando os professores, pais e alunos, relativamente à superação das atividades sugeridas no processo de ensino aprendizagem. - Participar das reuniões do conselho de classe e série e reunião de pais. - Integrar a proposta pedagógica e o projeto pedagógico da escola, articulando o trabalho com coordenação geral do diretor da Unidade Escolar. - Desenvolver temas diversos através da leitura, reflexão e discussão adequadas à teoria e prática. - Acompanhar e analisar o desenvolvimento do processo ensino aprendizagem, avaliação e recuperação. - Orientar e assessorar o professor no desenvolvimento do trabalho pedagógico da escola. - Acompanhar, orientar e avaliar a execução dos projetos estabelecidos. - Acompanhar o processo de avaliação. - Coordenar a programação e execução das atividades de recuperação. Os temas a serem trabalhados durante as reuniões de ATPC serão organizados priorizando o trabalho coletivo. Os temas serão desenvolvidos garantindo a capacitação e formação do professor e a integração das disciplinas. Serão registrados através de uma pauta no livro ata. - Reuniões de ATPC: - Leitura de texto e discussão, vídeos, apostilas, orientações técnicas e capacitações. - Operacionalização da proposta pedagógica, troca de experiências e replanejamento das ações. - Discussão dos resultados obtidos ao longo do ano.
  • 36.
    PLANO DE TRABALHODO PROFESSOR COORDENADOR ENSINO MÉDIO Orientar e auxiliar os docentes:  No acompanhamento das propostas curriculares organizadas pelos órgãos próprios da Secretaria da Educação;  No planejamento das atividades de ensino das diferentes áreas e disciplinas em cada bimestres;  Na compreensão da proposta de organização dos conceitos curriculares correspondentes a cada ano/semestre/bimestre;  Na seleção de estratégias que favoreçam as situações de aprendizagem, mediante a adoção de práticas docentes significativas e contextualizadas;  No monitoramento das avaliações bimestrais;  No monitoramento dos projetos de recuperação bimestral;  Na identificação de atitudes e valores que permeiem os conteúdos e os procedimentos selecionados, imprescindíveis à formação de cidadãos afirmativos. Apoiar ações de capacitação de professores:  Participar das alternativas de oferta do ensino médio, com vistas a assegurar sua integração ao desenvolvimento social e regional e/ou a seu enriquecimento curricular diversificado;  Articular o planejamento das séries finais do Ensino Fundamental com o planejamento das séries iniciais do Ensino Médio;  Observar a atuação do professor em sala de aula coma finalidade de recolher subsídios para aprimorar o trabalho docente, com vistas ao avanço da aprendizagem dos alunos;  Estimular abordagens multidisciplinares, por maio de projetos e/ou temáticas transversais que atendiam demandas e interesses dos adolescentes e/ou que se afigurem significativos para a comunidade;  Apoiar organizações estudantis que fortaleçam o exercício da cidadania e ações/organizações que estimulem o intercâmbio cultural, de integração participativa e de socialização. PLANO DE TRABALHO DO PROFESSOR COORDENADOR FUNDAMENTAL II Orientar e auxiliar os docentes:  No acompanhamento das propostas curriculares organizadas pelos órgãos próprios da Secretaria da Educação;  No planejamento das atividades de ensino das diferentes áreas e disciplinas em cada bimestres;  Na compreensão da proposta de organização dos conceitos curriculares correspondentes a cada ano/semestre/bimestre;  Na seleção de estratégias que favoreçam as situações de aprendizagem, mediante a adoção de práticas docentes significativas e contextualizadas;  No monitoramento das avaliações bimestrais;  No monitoramento dos projetos de recuperação bimestral;  Na identificação de atitudes e valores que permeiem os conteúdos e os procedimentos selecionados, imprescindíveis à formação de cidadãos afirmativos. Apoiar ações de capacitação de professores:  Articular o planejamento das séries finais do Ensino Fundamental com o planejamento das séries iniciais do Ensino Médio;  Observar a atuação do professor em sala de aula coma finalidade de recolher subsídios para aprimorar o trabalho docente, com vistas ao avanço da aprendizagem dos alunos;  Estimular abordagens multidisciplinares, por maio de projetos e/ou temáticas transversais que atendiam demandas e interesses dos adolescentes e/ou que se afigurem significativos para a comunidade;  Apoiar organizações estudantis que fortaleçam o exercício da cidadania e ações/organizações que estimulem o intercâmbio cultural, de integração participativa e de socialização.
  • 37.
    HORÁRIO DE TRABALHODO PROFESSOR COORDENADOR COORDENADOR EFAF: Nome: Kirtty Brusiguello dos Santos RG. 23.828.996-5 2ª feira: Das 7:00 às 16:00 h 3ª feira: Das 7:00 às 16:00 h 4ª feira: Das 10:00 às 19:00 h 5ª feira: Das 14:00 às 23:00 h 6ª feira: Das 7:00 às 16:00 h COORDENADOR ENSINO MÉDIO Nome: Alexandre Murari Otero RG: 23.019.339-0 2ª feira: Das 14:00 às 23:00 h 3ª feira: Das 14:00 às 23:00 h 4ª feira: Das 7:00 às 16:00 h 5ª feira: Das 7:00 às 16:00 h 6ª feira: Das 14:00 às 23:00 h
  • 38.
    QUADRO DE PROFESSORCOORDENADOR DE SALA 2014 PERÍODO-MANHÃ PERÍODO-TARDE PERÍODO-NOITE SÉRIE PROFº/DISC. SÉRIE PROFº/DISC. SÉRIE PROFº/DISC. PROFº DISCIPLINA PROFº DISCIPLINA PROFº DISCIPLINA 8ºA Antônio Luzimar de Sousa 6ºAno A Tatiana C. Waldomiro 8ºB Andréa S. de Melo Albuquerque 6ºAno B Eliana M. Madureira de Souza 2ºC Maria Izaura 8ºC Ivete França Zimermann 6ºAno C Solange Nunes Ventura 2ºD Sueli Ap. Pires A.de Lima 8ºD Elizabeth Myra Fernandes 6ºA Sônia Ap. Soares Hirata 3ºA Luis Rogério Duarte 8ºE Adão Alves Gomes 6ºB Tadeu Aparecido Pereira 3ºB Silvia Helena Perretto Pereira 8ºF Norma Ferreira da Silva 6ºC Meire Rodrigues 3ºC Willian Hoberg Mattos 1ºA Eliana M. Madureira de Souza 6ºD Magali da Silva Ribeiro 3ºD Sônia Ricca 1ºB Benedito dos S.R. Gaia 6ºE Rogério C. Gomes1ºA 6ºE 1ºC Josely de Jesus Silva 7ºA Paulo Roberto Tavares1ºA 1ºD Sheila Ap. F.Pupo 7ºB Maria Ap. Alves da Silva 1ºE Fabiula Martins Nunes 7ºC Grazziella Cipriani
  • 39.
    QUADRO DE ALUNOSREPRESENTANTES DE SALA 2014 PERÍODO-MANHÃ PERÍODO-TARDE PERÍODO-NOITE SÉRIE PROFº/DISC. SÉRIE PROFº/DISC. SÉRIE PROFº/DISC. PROFº DISCIPLINA PROFº DISCIPLINA PROFº DISCIPLINA 8ºA Ana Gabriela Pinto dos Santos 6ºAno A Tatiana C. Waldomiro 8ºA Claudia Danielle S.Reis 6ºAno A Tatiana C. Waldomiro 8ºB David Araujo Bernardo 6ºAno B Eliana M. Madureira de Souza 2ºC Maria IzauraDavid Araujo Bernardo 8ºB Raissa Cassia dos A. Nazario 6ºAno C Solange Nunes Ventura 2ºD Sueli Ap. Pires A.de Lima 8ºC Renata de Jesus 8ºC Marcela Ap. da Silva Leite 8ºD Marcelino Moreira Costa 6ºA Sônia Ap. Soares Hirata 3ºA Luis Rogério Duarte 8ºD Thamires Ap. Coelho de Andrade 6ºB Tadeu Aparecido Pereira 3ºB Silvia Helena Perretto Pereira 8ºE Pedro Henrique Souza de Oliveira 6ºC Meire Rodrigues 3ºC Willian Hoberg Mattos 8ºE Marcos Vinícius de Souza Gonçalves 6ºD Magali da Silva Ribeiro 3ºD Sônia Ricca 8ºF João Pedro Bandeira Alves 8ºF Breno Pascoal de Pontes 1ºA José Batista D. B Filho 1ºA Joao Paulo Santos 1ºB Vanessa Leão Sales 1ºB Mikael Alves de Lima 6ºE Rogério C. Gomes1ºA 6ºE 1ºC Lucas Ferreira dos Santos 7ºA Paulo Roberto Tavares1ºA 1ºC Wallace Felix de Queiroz 7ºB Maria Ap. Alves da Silva 1ºD Matheus Pereira dos Santos 7ºC Grazziella Cipriani 1ºD Felipe de Oliveira Nogueira 7ºD Paulo Pinto Ferreira Lima1ºE 1ºE Nayara Carvalho de Souza 7ºE Marcia Cristina G. da Silva 1ºE Tais Azevedo de Brito1ºE 2ºA Jaqueline Miranda Prado
  • 48.
    PROGRAMA ESCOLA DAFAMÍLIA O Programa Escola da Família foi criado no dia 23 de agosto de 2003 pela Secretaria de Estado da Educação. Ele proporciona a abertura de escolas da Rede Estadual de Ensino, aos finais de semana, com o objetivo de criar uma cultura de paz, despertar potencialidades e ampliar os horizontes culturais de seus participantes. Reunindo profissionais da Educação, voluntários e universitários, o Programa oferece às comunidades paulistas atividades que possam contribuir para a inclusão social tendo como foco o respeito à pluralidade e a uma política de prevenção que concorra para uma qualidade de vida, cada vez melhor. Cada escola organiza as atividades dentro de 4 eixos: Esporte, Cultura, Saúde e Trabalho. Em diversas regiões do Estado, as escolas públicas constituem o principal – ou, muitas vezes, o único – equipamento público, especialmente nas localidades em que há pouca ou nenhuma opção de lazer e cultura. Os espaços escolares, que, antes ociosos aos finais de semana, passam a ser ocupados com atividades planejadas para a comunidade participante, favorecendo a essa o direito de conquistar e fortalecer a sua identidade. Assim, essa comunidade com responsabilidade, apropria-se desses espaços, agregando no seu cotidiano valores essenciais para a edificação de uma cultura participativa. Milhares de universitários, de todo o Estado de São Paulo, dedicam hoje, seus finais de semana ao Programa Escola da Família e, em contrapartida, têm seus estudos custeados por um dos maiores programas de concessão de bolsas de estudo do País, realizado em convênio com instituições particulares de Ensino Superior - o Programa Bolsa Universidade. Esses convênios garantem aos universitários 100% de gratuidade nos seus cursos, sendo 50% da mensalidade paga pelo Estado (limitada a um teto de R$ 310,00/mês, renovável semestralmente) e o restante financiado pela própria faculdade. Os universitários contemplados com a bolsa contribuem com seu empenho e dedicação para o crescimento da comunidade local e, quando formados, acrescentarão ao currículo uma preciosa experiência, enriquecida por valores como a responsabilidade social e a participação comunitária. Até o início de 2009, mais de 80 mil universitários já fizeram parte dessa trajetória, beneficiados pelo Programa Bolsa Universidade, atuando nos espaços escolares como Educadores Universitários.
  • 49.
    PROGRAMA ACESSA ESCOLA AcessaEscola, um programa do Governo do Estado de São Paulo, desenvolvido pela Secretarias de Estado da Educação, sob a coordenação da Fundação para o Desenvolvimento da Educação (FDE), tem por objetivo promover a inclusão digital e social dos alunos, professores e funcionários das escolas da rede pública estadual. Por meio da Internet, ele possibilita aos usuários o acesso às tecnologias da informação e comunicação para a construção do conhecimento e o fortalecimento social da equipe escolar. Estagiários: Manhã: vago Tarde: Daniel Nicolas da Silva Noite: Rodrigo Genésio dos Santos As demais vagas ainda não foram ocupadas.
  • 50.
    PROGRAMA CULTURA ÉCURRÍCULO O Programa Cultura é Currículo integra o conjunto de ações definidas pela Secretaria da Educação do Estado de São Paulo para concretização da sua política educacional, visando propiciar melhor qualidade de ensino da escola pública estadual, seja no sentido de atender aos desafios do mundo moderno, como em relação à função de transmissão do saber, para inserção social de seus alunos. Em acordo com os parâmetros pedagógicos da atual gestão, pauta-se por princípios estabelecidos para a organização curricular: - Currículo e Cultura; - Currículo referido a competências; - Currículo que tem como prioridade a competência escritora e leitora. Nesse contexto, a definição do Programa orientou-se por três objetivos básicos a serem alcançados: - Democratizar o acesso de professores e alunos da rede pública estadual a equipamentos, bens e produções culturais que constituem patrimônio cultural da sociedade, tendo em vista uma formação plural e a inserção social. - Fortalecer o ensino por meio de novas formas e possibilidades de desenvolvimento dos conteúdos curriculares em articulação com produções socioculturais e fenômenos naturais, diversificando-se as situações de aprendizagens. - Estimular e desenvolver a aprendizagem por intermédio de interações significativas do aluno com o objeto de estudo/conhecimento de disciplinas, reforçando-se o caráter investigativo da experiência curricular. O Programa Cultura é Currículo é composto por três projetos: Lugares de Aprender: a Escola Sai da Escola, Escola em Cena e O Cinema Vai à Escola.
  • 51.
    O projeto LUGARESDE APRENDER: A ESCOLA SAI DA ESCOLA Tem como objetivo promover o acesso de professores e alunos da rede pública estadual paulista de ensino a museus, centros, institutos de arte e cultura e a parques, como atividade articulada ao desenvolvimento do currículo, e foi concebido em acordo com a Proposta Curricular do Estado de São Paulo, observando as orientações pedagógicas da Coordenadoria de Estudos e Normas Pedagógicas – CENP. Para tanto, os professores receberão orientações por meio de material de apoio pedagógico, denominado Subsídios para o Desenvolvimento de Projetos Didáticos. Apresentam uma sequencia de atividades para o ensino de disciplinas curriculares, entre as quais a de visita a uma instituição cultural, centradas em eixos temáticos presentes na proposta curricular das séries e algumas disciplinas. Os projetos foram definidos para cinco segmentos da escolaridade básica, cada um com seu respectivo eixo temático: • 1ª e 2ª séries do Ensino Fundamental – Os seres vivos diante das estrelas • 3ª e 4ª séries do Ensino Fundamental – Heranças Culturais • 5ª e 6ª séries do Ensino Fundamental – Espaços, Tempos e Obras • 7ª e 8ª séries do Ensino Fundamental – Patrimônio, Expressões e Produções • 1ª, 2ª e 3ª séries do Ensino Médio – Séculos, Contextos e Transformações Justificativa O Estado de São Paulo, em especial sua capital, oferece uma infinidade de opções culturais à população. Contudo, grande parte dos alunos da escola pública não tem acesso a elas e, muitas vezes, até desconhecem sua existência. Por ser a cultura parte do patrimônio das sociedades, é função da escola fazer com que seus alunos reconheçam esses locais, como também que a eles tenham acesso. Dessa forma, tendo em vista uma formação plural, este projeto oferece oportunidades para que alunos e professores da rede pública usufruam os equipamentos culturais disponíveis na cidade de São Paulo. Nessa perspectiva de trabalho da escola com a arte e a cultura, o trabalho do professor, responsável pela mediação do aluno com o conhecimento, será apoiado por materiais pedagógicos que reforcem a intencionalidade das experiências no âmbito cultural, articulando os conteúdos de diferentes áreas curriculares com os objetos socioculturais, fenômenos naturais e outras fontes de conhecimento com as quais os alunos irão interagir em suas visitas. Objetivos • Proporcionar aos alunos e professores do Ensino Fundamental e Médio da rede estadual o contato direto com diferentes instituições e espaços culturais. • Produzir e oferecer textos e orientações aos educadores das Diretorias de Ensino da COGSP (Capital), sugerindo novas formas e possibilidades de desenvolvimento dos conteúdos curriculares, por meio de projetos didáticos nos quais a visitação a instituições e espaços de cultura está articulada a outras atividades de aprendizagem. Resultados Esperados • Dinamização do trabalho docente com a realização de projetos didáticos correlacionados ao
  • 52.
    currículo escolar eàs experiências desenvolvidas nas instituições e espaços culturais. • Ampliação e aprofundamento da aprendizagem dos alunos pela apropriação de conteúdos de disciplinas das áreas científicas, de arte e de comunicação lingüística, proporcionados nas visitas às instituições culturais. • Ampliação do universo cultural de alunos e professores. • Valorização do patrimônio cultural da cidade. • Compreensão e respeito às diferenças culturais de grupos e povos. • Formação de público de visitação a instituições e espaços culturais, decorrente do desenvolvimento do interesse de alunos e professores pela apropriação de bens culturais.
  • 53.
    PROGRAMA CINEMA VAIÀ ESCOLA O projeto O cinema vai à escola – o uso da linguagem cinematográfica na educação, em continuidade à política da Secretaria da Educação do Estado de São Paulo de subsidiar a rede pública de ensino com materiais, equipamentos e acervos didáticos, fornece às escolas de Ensino Médio um conjunto de filmes de diferentes categorias e gêneros, em DVD, acompanhado de materiais de apoio à prática pedagógica. Com esse acervo, pretende-se facilitar o acesso dos alunos a produções cinematográficas que contribuam para a formação crítico-reflexiva do jovem e do adulto, a ampliação do seu repertório cultural, o desenvolvimento da sua competência leitora e o diálogo entre o currículo escolar e as questões socioculturais mais amplas.
  • 54.
    ESCOLA EM CENA Oprojeto Escola em Cena destina-se a professores e alunos da rede estadual paulista de ensino e tem como objetivos organizar ações para o acesso de alunos e professores a produções de teatro e dança e orientar as escolas para que essas atividades culturais sejam articuladas significativamente ao desenvolvimento do currículo. Para tanto, os professores recebem orientações, antecipadamente, por intermédio de material de apoio pedagógico, veiculado por meio digital, com sugestões de projetos didáticos a serem desenvolvidos na escola e referenciais de caráter teórico-metodológico para sua fundamentação. Essas propostas representam indicações de possibilidades de articulação da experiência de contato com as produções de teatro e dança ao trabalho pedagógico, de forma a contextualizá-la no ensino de suas disciplinas. Aliado a isso, esses projetos abrem possibilidades para o desenvolvimento de atividades de sistematização de conhecimentos que podem ser partilhadas por toda a escola, como a apresentação de jogos teatrais, improvisações, peças, seqüências coreográficas, a produção e divulgação de textos dramáticos, de estudos sobre manifestações dessas artes, de críticas de espetáculos e, ainda, outras que poderão ser criadas por alunos e professores. Escola em Cena é um projeto da Secretaria da Educação do Estado de São Paulo, que conta com a parceria da Secretaria Estadual da Cultura. JUSTIFICATIVA As linguagens do teatro e da dança integram o currículo da escola estadual como expressões da disciplina Arte, desde as séries iniciais até o ensino médio, e por isso é de suma importância que se ofereça aos alunos a possibilidade de assistir a exibições nessas áreas. Assim, tanto em visitas a casas de espetáculo quanto em apresentações na própria escola, participar dessas produções não pode se caracterizar como um evento desarticulado do currículo e do planejamento escolar, mas a atividade requer a preparação dos alunos para a apreciação dos elementos constitutivos dessas linguagens. Dessa forma, considerando-se as especificidades dessa interação, é fundamental que o professor inicie esse trabalho antes do momento da apreciação do espetáculo pelos alunos, ampliando as possibilidades de promoção de uma experiência mais significativa para ambos. Essa ação, como complemento das atividades pedagógicas, deve ser coerente com os objetivos e procedimentos de trabalho definidos no planejamento docente, de forma que a diversificação de experiências de fruição e de produção em teatro ou em dança possibilite o aprofundamento de conteúdos de Arte e a abrangência de relações com outras disciplinas e com temas transversais. É importante destacar que a inclusão das linguagens de teatro e dança na educação – tanto pelo acesso de alunos e professores a espetáculos, quanto pela montagem de peças, improvisações e coreografias na escola – necessita de direcionamento pedagógico para conformá-las às diretrizes da atual política educacional do Estado, com base nos Parâmetros Curriculares Nacionais e considerando os conteúdos programáticos propostos para disciplinas do Ensino Médio pela Secretaria Estadual da Educação. Assim, a participação de alunos e professores em ações culturais de teatro e dança requer algumas condições que contribuam para a dinamização da prática de ensino – ao diversificá-la, gerando maior envolvimento do aluno no trabalho pedagógico – e para o seu enriquecimento, ao propiciar uma outra ordem de interação com o objeto de estudo, no sentido de atingir resultados efetivos da aprendizagem nos âmbitos estético, cognitivo, social e afetivo. APRENDIZAGENS PARA OS ALUNOS Ao longo do projeto, espera-se que os alunos sejam capazes de: • identificar e explorar os elementos que compõem as linguagens de teatro e de dança (direção, cenografia, iluminação, figurinos, maquiagem, coreografia, interpretação, discurso cênico); • identificar as formas de organização, integração e apresentação dos elementos que compõem a cena (voz, corpo, movimento, espaço, som, gesto, palavra, interatividade); • conhecer práticas e teorias das linguagens artísticas de teatro e de dança, bem como familiarizar- se com seus códigos e articulações formais, aspectos expressivos, técnicas e materiais, contextualizando-os em diversos âmbitos – geográfico, social, histórico, cultural e psicológico;
  • 55.
    • identificar técnicasexpressivas na construção dos discursos cênicos; • correlacionar as diversas expressões do corpo em cena; • identificar e comparar as configurações da relação palco/platéia; • reconhecer a singularidade e a diversificação das manifestações de teatro e de dança em diferentes culturas e momentos históricos; • explorar formas de categorização das produções cênicas de acordo com suas formas de organização, integração e apresentação e contexto histórico, geográfico e sociocultural; • apreciar e discutir criticamente teatro e dança.
  • 56.
    PROJETO SALA DELEITURA O programa Sala de Leitura oferece a alunos do 6º ao 9º ano do Ensino Fundamental, Ensino Médio e Educação de Jovens e Adultos um ambiente com rico acervo de livros e periódicos. A presença de Salas de Leitura nas instituições de ensino visa estimular a prática da leitura e o desenvolvimento de atividades, construídas especialmente para atender o perfil e os interesses dos alunos de cada escola. As salas, arejadas e equipadas com mesas e cadeiras, abrigam o acervo da sala de leitura, coordenada por professores e aberta durante a semana nos três períodos de aulas (manhã, tarde e noite). Professora responsável: Rita de Cássia de Sousa Professora auxiliar: Tânia Luzia Mussupapo (professora readaptada)
  • 57.
    PROJETO A.C.D 1)JUSTIFICATIVA Este projetode treinamento surgiu através da importância da participação de alunos em atividades esportivas competitivas ou recreativas como um dos fatores contribuintes para a diminuição da questão da violência e das drogas, e de hábitos que podem prejudicar o convívio social, fazendo com que a escola seja um ambiente transformador e motivador, dando ao aluno a possibilidade de utilizar de forma agradável e prazerosa algumas horas de lazer. 2) PÚBLICO Alunos do ensino fundamental ciclo II e ensino médio. 3) TURMAS DE A.C.D FUTSAL MASCULINO 4) CATEGORIA Mirim e infantil (96/99) 5) OBJETIVO GERAL Partindo da realidade social do aluno, proporcionar uma educação que o levará a uma situação crítica e transformadora da sociedade, como também a conquista de um bem estar e de sua autonomia, questionando a prática, buscando soluções as dificuldades e tendo condições de criar alternativas. 6) OBJETIVO ESPECÍFICO FUTSAL. - Desenvolvimento das habilidades no manejo da bola. - Desenvolvimento da coordenação motora, da agilidade, da velocidade, e da orientação espacial. - Desenvolvimento das capacidades físicas (já mencionadas: velocidade, agilidade, coordenação) além da força, flexibilidade, resistência orgânica e reflexos dos alunos. - Aprimoramento e compreensão dos fundamentos (passe, recepção, condução de bola, domínio de bola), além de táticas de jogo e histórico sociais relacionados ao esporte. - Contribuição para a formação cognitiva, social e afetiva verificando os resultados de vitória ou derrota. 7) CRONOGRAM DE AÇÕES Testes gerais de condição física: agilidade, resistência, força, velocidade, flexibilidade e coordenação motora. ETAPAS Inscrições Início das aulas Torneio interno Treinamentos Durante o ano letivo de 2013
  • 58.
    Durante o períododa tarde e início da noite 3 aulas semanais Infantil/mirim – terça feira das (16:40 as 19:40hs) Jogos O calendário da secretaria da educação e esportes será obedecido durante os anos letivos citados acima. 8) AVALIAÇÃO Será feito através de observação de frequência, interesse e mudanças positivas de comportamento do aluno com relação aos colegas, a escola e as situações do cotidiano. Estas observações serão relatadas a coordenação para devida apreciação periódica. Será feito um registro a cada dois meses pelos alunos sobre as aulas de A.C.D sobre modificações táticas e técnicas bem como experiências das competições realizadas. 9) RECURSOS MATERIAIS * quadra poliesportiva * material esportivo (bolas, coletes, cones, corda, etc...) * sala de vídeo e acessa escola 10) AÇÕES DESENVOLVIDAS ANTERIORMENTE PELA ESCOLA * Participação em jogos colegiais oferecidos pela secretaria de esportes *Amistosos entre escolas * Olímpiadas da Primavera (Clube Escola) * Copa cidade de São Paulo * Virada esportiva – Vila Independência ROGÉRIO CARNEIRO GOMES RG 24797115-7 CREF 24175 G/SP Modalidade: Tênis de Mesa Gênero: Masculino Categoria: Infantil Nº de aulas semanais: 3
  • 59.
    Professor Responsável: RogérioCarneiro Gomes Rg: 24.797.115-7 CPF: 135.528.768-55 JUSTIFICATIVA • Este projeto de treinamento surgiu através da importância da participação de alunos em atividades esportivas competitivas ou recreativas como um dos fatores contribuintes para a diminuição da questão da violência e das drogas, e de hábitos que podem prejudicar o convívio social, fazendo com que a escola seja um ambiente transformador e motivador, dando ao aluno a possibilidade de utilizar de forma agradável e prazerosa algumas horas de lazer. OBJETIVOS • Partindo da realidade social do aluno, proporcionar uma educação que o levará a uma situação crítica e transformadora da sociedade, como também a conquista de um bem estar e de sua autonomia, questionando a prática, buscando soluções as dificuldades e tendo condições de criar alternativas. CONTEÚDOS • FUTSAL. • - Desenvolvimento das habilidades no manejo da raquete e bola. • - Desenvolvimento da coordenação motora, da agilidade, da velocidade de raciocínio, habilidade e espaço/tempo. • - Desenvolvimento das capacidades físicas, como resistência orgânica e reflexos dos alunos. • - Aprimoramento e compreensão dos fundamentos, regras, tático e histórico social relacionado ao esporte. • - Contribuição para a formação cognitiva, social e afetiva verificando os resultados de vitória ou derrota. • - Melhora para a saúde nos aspectos da circulação sanguínea, na melhora da visão exercitando os nervos dos olhos, além dos reflexos e tempo de reação. ATIVIDADES • Aulas teóricas e práticas de tênis de mesa, seus estilos (Europeus e Asiáticos), empunhadura (caneta e clássica), saques, golpes e as regras oficias do tênis de mesa. • Registro dos alunos sobre as atividades desenvolvidas.
  • 60.
    CRONOGRAMA ANUAL MODALIDADE TÊNISDE MESA 1o Bimestre 2o Bimestre 3o Bimestre 4o Bimestre • Seletiva com os alunos • Testes de coordenação motora • Empunhadura • Manejo raquete e bolinha • Principais regras • Golpes (batida de direita e esquerda – Kato, Driver e Soto) • Posição do corpo em relação à mesa • Trabalho de pernas e braços • Regras oficiais do esporte • Golpes • Saques ( direita e esquerda ) • Trabalho de perna e braços • Regras do esporte • Campeonato da diretoria sul 1 • Aprimoramento dos golpes • Aprimoramento do saques • Regras do esporte • Campeonato externo (Clube Escola Vila Guarani) AVALIAÇÃO
  • 61.
    PROGRAMA UNPLUGGED (#TAMOJUNTO) OPrograma Unplugged (#Tamojunto) é uma iniciativa do Ministério da Saúde, em parceria do Escritório de Nações Unidas sobre Drogas e Crime (UNDOC). O Unplugged traz um método desenvolvido por pesquisadores europeus, já aplicado com sucesso em países do Norte da África e do Oriente Médio. São 12 aulas conduzidas por professores que tenham educandos entre 10 e 14 anos, entre a sexta e a oitava séries do Ensino Fundamental. Nessa primeira fase pré-piloto as escolas foram escolhidas a partir dos dados do Instituto Nacional de Pesquisas. Seis escolas são experimentais e outras seis são consideradas controle. O programa ainda oferece três Oficinas Temáticas que estão sendo desenvolvidas com os pais dos adolescentes ou quaisquer responsáveis pelos educandos voltado para promoção de habilidade de vida e prevenção ao abuso de álcool, tabaco e outras drogas nas escolas.
  • 62.
    PROGRAMA VENCE A escolatem um papel fundamental na integração do jovem à vida social e produtiva do país. Ciente dessa importância, o Governo de São Paulo, por meio da Secretaria da Educação do Estado, criou o programa VENCE (Rede de Ensino Médio Técnico). O programa, na modalidade Ensino Médio Concomitante à Educação Profissional Técnica de Nível Médio, possibilita aos estudantes do Ensino Médio e da EJA (Educação de Jovens e Adultos) das escolas estaduais obter, também, formação e certificado de um curso técnico. O objetivo é ampliar as condições para que os jovens desenvolvam plenamente suas capacidades e seus potenciais e, assim, possam trabalhar e contribuir para a melhoria da qualidade de vida de suas famílias e comunidades. O programa VENCE (Rede de Ensino MédioTécnico) conta com mais de 250 instituições de educação profissional, que oferecem cerca de 60 cursos técnicos em diferentes municípios paulistas. Essas instituições são credenciadas e assinam contrato com a Secretaria da Educação do Estado de São Paulo. Como a proposta é oferecer uma oportunidade para complementar a formação do jovem, a condição básica para participar do programa é cursar e frequentar regularmente as aulas do Ensino Médio ou da EJA.
  • 63.
    PROGRAMA MAIS EDUCAÇÃO OPrograma Mais Educação, instituído pela Portaria Interministerial nº 17/2007 e regulamentado pelo Decreto 7.083/10, constitui-se como estratégia do Ministério da Educação para induzir a ampliação da jornada escolar e a organização curricular na perspectiva da Educação Integral. As escolas das redes públicas de ensino estaduais, municipais e do Distrito Federal fazem a adesão ao Programa e, de acordo com o projeto educativo em curso, optam por desenvolver atividades nos macrocampos de acompanhamento pedagógico; educação ambiental; esporte e lazer; direitos humanos em educação; cultura e artes; cultura digital; promoção da saúde; comunicação e uso de mídias; investigação no campo das ciências da natureza e educação econômica.
  • 64.
    PROJETO ESCOLA VIDA Oprojeto escola vida é uma iniciativa da Fundação ACL e tem como um dos principais objetivos levar os jovens alunos da rede estadual de ensino ao exercício pleno da cidadania. Isso é obtido mediante o resgate da autoestima e promoção do amadurecimento dos jovens nas relações familiares e sociais, além da tomada de consciência das próprias potencialidades, de modo a torná- los autênticos líderes nas comunidades em que vivem e atuam. “O Projeto Escola Vida é a realização de um ideal de juventude. Estou muito orgulhosa com os resultados obtidos.” Assim a presidente vitalícia da Fundação ACL, Sumie Iwasa, comenta o programa, ressaltando que a iniciativa mudou e continua transformando a vida de centenas de crianças e adolescentes carentes que estudam em escolas públicas de São Paulo. “Para o futuro, a Fundação ACL pretende expandir o Projeto Escola Vida para dezenas de centros educacionais em todo o Estado e, se possível, para outras regiões do País”, complementa. Os professores também não escondem a emoção de colaborarem com esse projeto de inclusão social. “O Escola Vida tem todos os motivos para comemorar treze anos de existência. É muito gratificante ver hoje o progresso vivido por muitos alunos que, ao entrarem no projeto anos atrás, achavam-se então sem perspectivas. Por meio do autoconhecimento, eles alcançaram vários objetivos que propuseram para suas vidas”, diz Terezinha Oyadomari, professora e coordenadora do projeto na E.E. Professora Heloísa Carneiro. O conteúdo das aulas do Projeto Escola Vida é transmitido por meio de fábulas, para os menores, ou de textos para debate, a partir da 6ª série. As aulas são ministradas de acordo com a Técnica ACL, que, em síntese, provoca a reflexão dos alunos ao fazer-lhes perguntas sobre suas vidas, seus valores e suas formas de relacionamento interpessoal. Desse modo, os alunos são levados à tomada de consciência sobre as melhores atitudes para convívio em sociedade, respeito às pessoas em geral, relacionamento em família, liderança e ações proativas que beneficiem a si mesmos e ao ambiente em que vivem. Trabalhos de origami, jogos educativos e pequenos artesanatos complementam as aulas. Início em nossa escola: fev/2009