METODOLOGIAS PARA AVALIAÇÃO
DA RESPOSTA IMUNE CELULAR
Salvador – BA
Julho - 2013
Linf B Linf TCD4+ Linf TCD8+
(Linf. TH) (Linf. TC)
Reconhecimento de Antígenos pelos
Linfócitos B e T
Métodos para Detecção e
Quantificação de Linfócitos
• Citometria de Fluxo: baseada em anticorpos
monoclonais específicos para cada tipo de
marcador celular
• Kits específicos para CD3, CD4 e CD8
• Análise espécie-específica
• Quantitativo total / relativo
• CD4/CD8
Detector de dispersão de
luz em ângulo de 90º
Complexidade celular
SSC (Side Scatter)
Detector de dispersão de
luz frontal
Tamanho celular
FSC (Forward Scatter)
Fonte de Luz Incidente: Laser
de Argon a 488 nm
ÂNGULO DE DISPERSÃO FRONTAL (FSC)
ÂNGULO DE DISPERSÃO LATERAL (SSC)
LASER
CÉLULA
3)Dispersão lateral
de luz
1)Suspensão de células
Laser
3)Dispersão de luz
para a frente
4)Filtro
6) Análise
de dados
5)A luz refletida passa
através de filtros e é
detectada por tubos
fotomultiplicadores que
convertem o sinal luminoso
em sinal eletrônico
2) Anticorpos monoclonais associados a
fluorocromos e ligados à superfície de uma
célula
Linfócito TCD4
Anticorpos monoclonais marcados
Linfócito TCD8
Citometria de fluxo
Luz fluorescente
Laser
Contagem das
células
Gráfico de análise de leucócitos (dispersão lateral e frontal)
Cada ponto significa uma célula identificada pelo citômetro.
Estão divididas pela dispersão frontal (forward) – tamanho da célula - horizontalmente
E também pela dispersão lateral (side) - granulação e complexidade – verticalmente
Os círculos indica células que pertencem a um grupo de tamanho e complexidade próximos
Gráfico de análise de leucócitos (com fluorescência)
Neste quadrante estão as
células CD4+ e CD3-
Neste quadrante estão as
células CD4- e CD3-
(células que não linfócitos)
Neste quadrante estão as
células CD4- e CD3+
(outros linfócitos que não Th)
Neste quadrante estão as
células CD4+ e CD3+
(linfócitos Th)
Metodologia para quantificação de
linfócitos - Citometria
Bismarck et al. 2012. Canine CD4+CD8+ double positive T cells in peripheral blood have
features of activated T cells. Veterinary Immunology and Immunopathology
Metodologia para quantificação de
linfócitos - Citometria
Bismarck et al. 2012. Canine CD4+CD8+ double positive T cells in peripheral blood have
features of activated T cells. Veterinary Immunology and Immunopathology
Vias de
Transdução
do Sinal -
Linf. T
Métodos para Avaliação
de Transdução de Sinal
• Western Blot – anticorpos específicos para
cada molécula participante de cada cadeia de
transdução de sinal
• Anticorpos específicos para mediadores
fosforilados e não fosforilados
• Tempo dependentes e dose dependentes
• Controles internos e externos importante
Métodos para Avaliação
de Transdução de Sinal
Andrade et al. 2004. The vaccinia virus-stimulated mitogen-activated protein kinase (MAPK)
pathway is required for virus multiplication. Biochemistry Journal
Métodos para Avaliação
de Transdução de Sinal
Campos et al. 2004. Impaired production of proinflammatory cytokines and host resistance to
acute infection with Trypanosoma cruzi in mice lacking functional myeloid differentiation factor 88.
Journal of Immunology.
L-selectinas e
adressinas
dirigem os linfócitos
para os tecidos
linfoides
Integrinas são importantes
na adesão leucocitária
Métodos para avaliação de
Moléculas de Adesão
• Imunohistoquímica, Imunofluorescência
Indireta – avaliação qualitativa e semi-
quantitativa da expressão de moléculas de
adesão em diferentes órgãos
• Avaliação in vivo, ex-vivo, biópsias, cortes
histológicos
• Citometria de Fluxo – avaliação in vitro,
células cultivadas, ex-vivo – marcadores
específicos
Métodos para avaliação de
Moléculas de Adesão
Subranamian et al. 2012. Signaling through L-selectin mediates enhanced chemotaxis of
lymphocyte subsets to secondary lymphoid tissue chemokine. Journal of Immunology.
Métodos para avaliação de
Moléculas de Adesão
Shetty et al. 2012. Recruitment mechanisms of primary and malignant B cells to the human liver.
Hepatology.
Métodos para avaliação de
Moléculas de Adesão
Shetty et al. 2012. Recruitment mechanisms of primary and malignant B cells to the human liver.
Hepatology.
Caracteristicas
gerais
Métodos de dosagem de citocinas
• ELISA Sanduíche – a partir de sobrenadante de
células em cultivo após diferentes estímulos –
citocinas secretadas
• Citometria de Fluxo – beads contendo
anticorpos específicos contra citocinas
• Citometria de Fluxo – citocinas
intracitoplasmáticas, contagem do número de
células produtoras – efeito celular
Métodos de dosagem de citocinas
• ELISPOT – metodologia que permite
acompanhar a cinética de células estimuladas
quanto à sua produção de citocinas
específicas em cultivo
• Através de visualização em microscópio,
conta-se o número de células marcadas.
ELISPOT
ELISPOT
Métodos de dosagem de citocinas
Arrode-Brusés et al. 2012. Immunogenicity of a lentiviral-based DNA vaccine driven by
the 5'LTR of the naturally attenuated caprine arthritis encephalitis virus (CAEV) in mice
and macaques. Vaccine
Métodos de dosagem de citocinas
Arrode-Brusés et al. 2012. Immunogenicity of a lentiviral-based DNA vaccine driven by
the 5'LTR of the naturally attenuated caprine arthritis encephalitis virus (CAEV) in mice
and macaques. Vaccine
Métodos de dosagem de citocinas
Arrode-Brusés et al. 2012. Immunogenicity of a lentiviral-based DNA vaccine driven by
the 5'LTR of the naturally attenuated caprine arthritis encephalitis virus (CAEV) in mice
and macaques. Vaccine
Detecção da Hipersensibilidade
Tipo I
• O teste
cutâneo
determina a
capacidade
de diferentes
alérgenos de
produzirem
uma reação
de pápula e
eritema .
aspecto de uma reação
após 5 horas
aspecto de uma reação
logo após injeção
alérgeno diluído
de 1:10 até 1:1000
Teste Radioalergoadsorvente(RAST)
Mede o nível sérico de anticorpos IgE específicos contra determinado
componente alergênico ao paciente.
discos com
componente
alergênico
suspeito
soro do paciente contendo
anti-alérgeno IgE
lavagem
adição de anti IgE humana
marcada
lavagem detecção
IMUNOFLUORESCÊNCIA DE REAÇÕES DE
HIPERSENSIBILIDADE TIPOS II E III
TIPO III TIPO II
Os cortes de rim comparam o
padrão de imunofluorescência de
um paciente com Lupus Eritematoso
Sistêmico (predomínio de
hipersensibilidade tipo III) e um
paciente com Síndrome de
Goodpasture (predomínio de
hipersensibilidade tipo II). No LES,
os imunocomplexos formados no
sangue são depositados no tecido
renal, dando aspecto granular. No
segundo caso, os anticorpos se
depositam de forma linear sobre a
membrana basal glomerular.
Detecção da Hipersensibilidade
Tipo IV
Testes cutâneos
No teste epicutâneo - aplica-se uma baixa dose do antígeno suspeito numa área da pele
do paciente .
Pode haver desenvolvimento de eczema dentro de 48 a 72 h.
EPIDERME
DERME
GORDURA
SUBCUTÂNEA
Antígeno
EPIDERME
DERME
GORDURA
SUBCUTÂNEA
•Teste tuberculínico – o derivado protéico purificado de Mycobacterium
tuberculosis, PPD, é injetado por via intradérmica.
Nesse teste analisa-se o surgimento de vermelhidão e enduração no local da
injeção, que podem surgir depois de 24 a 72h em indivíduos pré-sensibilizados.
APRESENTAÇÃO CLÍNICA E HISTOLÓGICA DO
TESTE TUBERCULÍNICO
Resposta ao teste:
1. nenhuma reação:
normal
2. 5 a 10mm: repetir o
exame
3. > 10mm: positivo para
tuberculose
4. Paciente HIV +, >5mm:
positivo para
tuberculose
Avaliação da produção de IFN-
(por exemplo, em paciente suspeito de infeccão por Mybacterium tuberculosis)
Suspeito
Controles
negativo
e positivo
Cultura
de
sangue total
Sangue
+
PPD
Coleta
do
sobrenadante
ELISA
detecção
de IFN-
24 h
Leitura
de
densidade
óptica
sangue
Avaliação dos resultados
Métodos de Avaliação da
Resposta Imune Celular
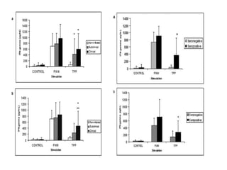
ELISA SANDWICH PARA DOSAGEM DE CITOCINAS
ELISA SANDWICH PARA DOSAGEM DE CITOCINAS
Lim et al 2009.The Effects of Heat-Killed Wild-Type Lactobacillus casei Shirota on Allergic Immune
Responses in an Allergy Mouse Model. International Archives of Allergy and Immunology,
ELISA SANDWICH PARA DOSAGEM DE CITOCINAS

ICSA29 - Métodos de avaliação da resposta imune celular

  • 1.
    METODOLOGIAS PARA AVALIAÇÃO DARESPOSTA IMUNE CELULAR Salvador – BA Julho - 2013
  • 2.
    Linf B LinfTCD4+ Linf TCD8+ (Linf. TH) (Linf. TC) Reconhecimento de Antígenos pelos Linfócitos B e T
  • 3.
    Métodos para Detecçãoe Quantificação de Linfócitos • Citometria de Fluxo: baseada em anticorpos monoclonais específicos para cada tipo de marcador celular • Kits específicos para CD3, CD4 e CD8 • Análise espécie-específica • Quantitativo total / relativo • CD4/CD8
  • 4.
    Detector de dispersãode luz em ângulo de 90º Complexidade celular SSC (Side Scatter) Detector de dispersão de luz frontal Tamanho celular FSC (Forward Scatter) Fonte de Luz Incidente: Laser de Argon a 488 nm
  • 5.
    ÂNGULO DE DISPERSÃOFRONTAL (FSC) ÂNGULO DE DISPERSÃO LATERAL (SSC) LASER CÉLULA
  • 6.
    3)Dispersão lateral de luz 1)Suspensãode células Laser 3)Dispersão de luz para a frente 4)Filtro 6) Análise de dados 5)A luz refletida passa através de filtros e é detectada por tubos fotomultiplicadores que convertem o sinal luminoso em sinal eletrônico 2) Anticorpos monoclonais associados a fluorocromos e ligados à superfície de uma célula
  • 7.
    Linfócito TCD4 Anticorpos monoclonaismarcados Linfócito TCD8 Citometria de fluxo Luz fluorescente Laser Contagem das células
  • 8.
    Gráfico de análisede leucócitos (dispersão lateral e frontal) Cada ponto significa uma célula identificada pelo citômetro. Estão divididas pela dispersão frontal (forward) – tamanho da célula - horizontalmente E também pela dispersão lateral (side) - granulação e complexidade – verticalmente Os círculos indica células que pertencem a um grupo de tamanho e complexidade próximos
  • 9.
    Gráfico de análisede leucócitos (com fluorescência) Neste quadrante estão as células CD4+ e CD3- Neste quadrante estão as células CD4- e CD3- (células que não linfócitos) Neste quadrante estão as células CD4- e CD3+ (outros linfócitos que não Th) Neste quadrante estão as células CD4+ e CD3+ (linfócitos Th)
  • 10.
    Metodologia para quantificaçãode linfócitos - Citometria Bismarck et al. 2012. Canine CD4+CD8+ double positive T cells in peripheral blood have features of activated T cells. Veterinary Immunology and Immunopathology
  • 11.
    Metodologia para quantificaçãode linfócitos - Citometria Bismarck et al. 2012. Canine CD4+CD8+ double positive T cells in peripheral blood have features of activated T cells. Veterinary Immunology and Immunopathology
  • 12.
  • 13.
    Métodos para Avaliação deTransdução de Sinal • Western Blot – anticorpos específicos para cada molécula participante de cada cadeia de transdução de sinal • Anticorpos específicos para mediadores fosforilados e não fosforilados • Tempo dependentes e dose dependentes • Controles internos e externos importante
  • 14.
    Métodos para Avaliação deTransdução de Sinal Andrade et al. 2004. The vaccinia virus-stimulated mitogen-activated protein kinase (MAPK) pathway is required for virus multiplication. Biochemistry Journal
  • 15.
    Métodos para Avaliação deTransdução de Sinal Campos et al. 2004. Impaired production of proinflammatory cytokines and host resistance to acute infection with Trypanosoma cruzi in mice lacking functional myeloid differentiation factor 88. Journal of Immunology.
  • 16.
    L-selectinas e adressinas dirigem oslinfócitos para os tecidos linfoides
  • 17.
    Integrinas são importantes naadesão leucocitária
  • 19.
    Métodos para avaliaçãode Moléculas de Adesão • Imunohistoquímica, Imunofluorescência Indireta – avaliação qualitativa e semi- quantitativa da expressão de moléculas de adesão em diferentes órgãos • Avaliação in vivo, ex-vivo, biópsias, cortes histológicos • Citometria de Fluxo – avaliação in vitro, células cultivadas, ex-vivo – marcadores específicos
  • 20.
    Métodos para avaliaçãode Moléculas de Adesão Subranamian et al. 2012. Signaling through L-selectin mediates enhanced chemotaxis of lymphocyte subsets to secondary lymphoid tissue chemokine. Journal of Immunology.
  • 21.
    Métodos para avaliaçãode Moléculas de Adesão Shetty et al. 2012. Recruitment mechanisms of primary and malignant B cells to the human liver. Hepatology.
  • 22.
    Métodos para avaliaçãode Moléculas de Adesão Shetty et al. 2012. Recruitment mechanisms of primary and malignant B cells to the human liver. Hepatology.
  • 23.
  • 26.
    Métodos de dosagemde citocinas • ELISA Sanduíche – a partir de sobrenadante de células em cultivo após diferentes estímulos – citocinas secretadas • Citometria de Fluxo – beads contendo anticorpos específicos contra citocinas • Citometria de Fluxo – citocinas intracitoplasmáticas, contagem do número de células produtoras – efeito celular
  • 27.
    Métodos de dosagemde citocinas • ELISPOT – metodologia que permite acompanhar a cinética de células estimuladas quanto à sua produção de citocinas específicas em cultivo • Através de visualização em microscópio, conta-se o número de células marcadas.
  • 28.
  • 30.
  • 31.
    Métodos de dosagemde citocinas Arrode-Brusés et al. 2012. Immunogenicity of a lentiviral-based DNA vaccine driven by the 5'LTR of the naturally attenuated caprine arthritis encephalitis virus (CAEV) in mice and macaques. Vaccine
  • 32.
    Métodos de dosagemde citocinas Arrode-Brusés et al. 2012. Immunogenicity of a lentiviral-based DNA vaccine driven by the 5'LTR of the naturally attenuated caprine arthritis encephalitis virus (CAEV) in mice and macaques. Vaccine
  • 33.
    Métodos de dosagemde citocinas Arrode-Brusés et al. 2012. Immunogenicity of a lentiviral-based DNA vaccine driven by the 5'LTR of the naturally attenuated caprine arthritis encephalitis virus (CAEV) in mice and macaques. Vaccine
  • 34.
    Detecção da Hipersensibilidade TipoI • O teste cutâneo determina a capacidade de diferentes alérgenos de produzirem uma reação de pápula e eritema . aspecto de uma reação após 5 horas aspecto de uma reação logo após injeção alérgeno diluído de 1:10 até 1:1000
  • 35.
    Teste Radioalergoadsorvente(RAST) Mede onível sérico de anticorpos IgE específicos contra determinado componente alergênico ao paciente. discos com componente alergênico suspeito soro do paciente contendo anti-alérgeno IgE lavagem adição de anti IgE humana marcada lavagem detecção
  • 36.
    IMUNOFLUORESCÊNCIA DE REAÇÕESDE HIPERSENSIBILIDADE TIPOS II E III TIPO III TIPO II Os cortes de rim comparam o padrão de imunofluorescência de um paciente com Lupus Eritematoso Sistêmico (predomínio de hipersensibilidade tipo III) e um paciente com Síndrome de Goodpasture (predomínio de hipersensibilidade tipo II). No LES, os imunocomplexos formados no sangue são depositados no tecido renal, dando aspecto granular. No segundo caso, os anticorpos se depositam de forma linear sobre a membrana basal glomerular.
  • 37.
    Detecção da Hipersensibilidade TipoIV Testes cutâneos No teste epicutâneo - aplica-se uma baixa dose do antígeno suspeito numa área da pele do paciente . Pode haver desenvolvimento de eczema dentro de 48 a 72 h. EPIDERME DERME GORDURA SUBCUTÂNEA Antígeno
  • 38.
    EPIDERME DERME GORDURA SUBCUTÂNEA •Teste tuberculínico –o derivado protéico purificado de Mycobacterium tuberculosis, PPD, é injetado por via intradérmica. Nesse teste analisa-se o surgimento de vermelhidão e enduração no local da injeção, que podem surgir depois de 24 a 72h em indivíduos pré-sensibilizados.
  • 39.
    APRESENTAÇÃO CLÍNICA EHISTOLÓGICA DO TESTE TUBERCULÍNICO Resposta ao teste: 1. nenhuma reação: normal 2. 5 a 10mm: repetir o exame 3. > 10mm: positivo para tuberculose 4. Paciente HIV +, >5mm: positivo para tuberculose
  • 40.
    Avaliação da produçãode IFN- (por exemplo, em paciente suspeito de infeccão por Mybacterium tuberculosis) Suspeito Controles negativo e positivo Cultura de sangue total Sangue + PPD Coleta do sobrenadante ELISA detecção de IFN- 24 h Leitura de densidade óptica sangue Avaliação dos resultados
  • 43.
    Métodos de Avaliaçãoda Resposta Imune Celular
  • 44.
    ELISA SANDWICH PARADOSAGEM DE CITOCINAS
  • 45.
    ELISA SANDWICH PARADOSAGEM DE CITOCINAS
  • 46.
    Lim et al2009.The Effects of Heat-Killed Wild-Type Lactobacillus casei Shirota on Allergic Immune Responses in an Allergy Mouse Model. International Archives of Allergy and Immunology, ELISA SANDWICH PARA DOSAGEM DE CITOCINAS