ÁLCOOIS
Álcoois apresentam o grupo funcional que contêm ligações σ carbono-oxigênio.
R-O-H
Os álcoois contêm um grupo hidroxi (grupo OH) ligado a um átomo de carbono hibridizado
sp3. Álcoois são classificadas em: primário (1 °), secundário (2 °) ou terciário (3 °) com base
no número de átomos de carbono ligados ao carbono com o grupo OH.
O
C
carbono hibridizado sp3
H
2
Compostos tendo um grupo hidroxi em um átomo de carbono hibridizado sp2 - enóis e fenóis.
Enóis tem um grupo OH em um carbono de uma ligação dupla C - C. Os fenóis têm um grupo
OH em um anel de benzeno
O H
Enol
Fenol
carbono hibridizado sp2
carbono hibridizado sp3
O H
sp2
3
4
A cadeia principal deve ser a mais longa que contém o carbono
ligado ao OH; a numeração da cadeia deve se iniciar pela
extremidade mais próxima ao OH.
PREFIXO PARTE
INTERMEDIÁRIA
SUFIXO
Nº DE ÁTOMOS DE
CARBONO
5
TIPO DE LIGAÇÃO
ENTRE C OL
6
EXEMPLOS:
H3C – OH H3C – CH2 – OH
3 2 1
H3C – CH – CH2 – OH
I
CH3
I
CH3
I
OH
5 4 3 2
H3C – CH – CH2 – CH – CH3
metanol etanol
2-metilpropan-1-ol
1
4-metilpentan-2-ol
7
EXEMPLOS:
H3C – OH H3C – CH2 – OH
3 2 1
H3C – CH – CH2 – OH
I
CH3
I
CH3
I
OH
5 4 3 2
H3C – CH – CH2 – CH – CH3
metanol etanol
2-metilpropan-1-ol
1
4-metilpentan-2-ol
Álcool ico
Nome do grupo orgânico
8
H3C – OH H3C – CH2 – OH H3C – CH – CH3
I
OH
Álcool isopropílico
Álcool metílico Álcool etílico
.
9
Propriedades Físicas
Nenhum álcool é gasoso a temperatura ambiente.
Álcoois primários da série alifática normal são líquidos até C12 e sólidos a partir daqui.
A substituição de um hidrogénio por um grupo OH provoca elevação dos pontos de ebulição
e o aumento é maior do que qualquer outro substituinte incluindo os de maior peso como Cl,
Br, I.
CH4: Pe -105,5 oC
CH3CH3: Pe -88,5 oC
CH3CH2Br: Pe 38,4 oC
CH3CH2I: Pe 72,3 oC
CH3CHO: Pe 29 oC
CH3OH: Pe 64,7 oC
CH3CH2OH: Pe 78,5 oC
A existência ligações por pontes de H (forte polarização da ligação OH).
R O
H O
H
R
R O
H O
Os primeiros termos dos álcoois são solúveis em água, a medida que aumenta o peso molecular
a solubilidade em água diminui.
Os alcoois são tóxicos: a absorção do CH3OH pode provocar a cegueira ou a morte.
H
H
10
Obtenção industrial de álcoois
Existem 3 maneiras para obter álcoois simples a base da síntese orgânica alifática, recorrem às
fontes de matéria-prima orgânica (petróleo, gás natural, carvão e biomassa).
1. Hidratação dos alcenos (obtidos a partir do craque do petróleo)
2. Processo Oxo (a partir de alcenos, CO e H2)
3. Fermentacao de hidratos de carbono
Petroleo
craque R-CH CH2
Hidrataco
R-CHOH-CH3
craque
R-CHOH-CH3
Hiratacao
OH
etanol
Fermentacao
Acucares
Oxo
11
Fontes Industriais dos Álcoois
C12H22O11
Sacarose
+ H2O
Invertrase
C6H6O6
Glicose
+ C6H6O6
Frutose
C6H6O6
glicose ou
frutose
Zimase
12
2CH3CH2OH + 2CO2
Etanol
Apartir de alcenos
C C
+ H2O
Hidratcao
H
C C OH
C
B2H6
Hidroboracao-Oxidacao
H
C OH
Adiacao oposta a Markovnikov
C
OH
C
OH
KMnO4 neutro,
OsO4 ou
RCOOOH
13
Hidroxilacao
A partir de haletos de alquilo
R-X + OH-
ou H2O
R-OH + X-
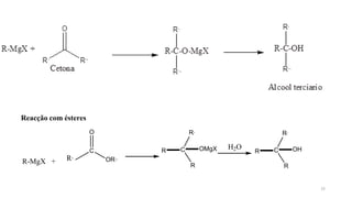
A partir de reagents de Grignard
2
R-MgX + H C O R-CH2-O-MgX R-CH2-OH
Alcool primario
Formaldeido
R-MgX + R,-CH O
Aldeido
R-CH-O-MgX
R,
R,
R-CH-OH
Alcoolsecundario
R-C-O-MgX R-C-OH
Alcool terciario
R-MgX +
R, R,,
O
R,,
R,
R,,
R,
Cetona
14
Reacção com ésteres
R-MgX + R,
C
OR,,
O
R C
R
R,
OMgX H2O
R C
R
R,
OH
15
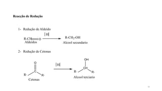
Reacção de Redução
R-CH O
1- Redução de Aldeído
H
R-CH2-OH
Alcool secundario
Aldeidos
2- Redução de Cetonas
H
R,
C
R,,
O
Cetonas
R,
CH
R,,
OH
Alcool terciario
16
1- Redução de Ácidos Carboxílicos
H
R,
C
OH
O
R-CH2-OH
Alcool secundario
R,
C
Acidos carboxilicos
2- Redução de Esteres de Ácidos Carboxílicos
O
OR,,
Esteres
H
17
2
R,-CH -OH
Alcool secundario
+ R,,-OH
Hidrólise de Esteres de ácidos carboxílicos
R,
C
OR
O
Esteres Acidos carboxilicos
H2O
H+ ou OH-
R,
C
OH
O
+ R-OH
18
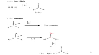
Propriedade Quimicas dos alcoois
A polarização da ligação C-O e O-H mais a presença de 2 pares de electrões não
compartilhados no átomo de oxigénio condicionam a reactividade dos álcoois.
1- Ruptura da ligacao O-H
Ocorre no meio básico ou ainda com metais muito electropositivos.
R-OH + Na R-O-Na+ + 1/2H2
2. Ruptura da ligacao C-O
Possível em meio acido, depois da protonação do átomo de oxigénio.
R-OH + H2O R-O-H
H
R + H2O
19
20
R,
C
Reacções com ácidos ou Esterificação
O
OH
+ R-OH
R,
C
OR
O
2
+ H O
Reacção com ácidos inorgânicos
Reactividade de HX : HI>HBr>HCl
R-OH + HX RX + H2O
Teste de Lucas
A reacção pode ser catalisada pela solução de cloreto de zinco (acido de Lewis), que permite a
identificação de álcoois primários, secundários e terciários. Os terciários reagem
imediatamente, secundário depois de 5 minutos e primários a reacção é muito lenta. A reacção
ocorre com o aparecimento de uma turvação porque o cloreto formado não é solúvel em água.
R-OH + ZnCl2 R-Cl + Zn(OH)+Cl-
21
Reacções com haletos de fósforo e com SOCl2 (cloreto de tionilo)
3R-OH + PCl3
R-OH + SOCl2
R-OH + PX5
Hidratação
3 R-X + P(OH)3
R-OSOCl + HCl
RX + POX3 + HX
R-Cl + SO2
OH C C
H
H H
H
Al2O3, T
H2SO4, 170oC
+ H2O
C C
H
H H
H
+ H2O
H2SO4, 140oC
H3C
H2
C
H2
C
CH3
O
+ H2O
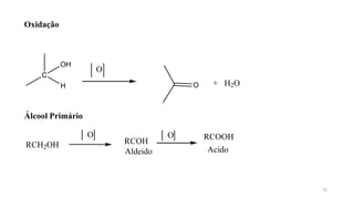
Oxidação
C
H
OH
O + H2O
O
Álcool Primário
RCH2OH
O
RCOH
Aldeido
O
22
RCOOH
Acido
Á l c o o l S e c u n d á r i o
O
R C H R , O H
R R ,
O
C e to n a
R
C
Á l c o o l Te r c i á r i o
R
R
O H O
N a o h a r e a c c a o
H 3 C
C
C H 3
C H 3
O H
H 3 C
C
C H 3
C H 2
- H 2 O
O
O
C
23
C O 2 H 2 O + H 3 C C H 3
+
Fenóis
.
Emprego do prefixo hidroxi anteposto ao nome do hidrocarboneto correspondente.
Mas geralmente os fenóis possuem quase todos um nome vulgar consagrado para o uso.
OH
OH
OH
Catecol
OH
OH
Resorcinol
Fenol
OH
H3C
O-Cresol
OH
H3C
m-Cresol
OH
CH3
p-Cresol
OH
beta-hidroxinaftaleno
25
26
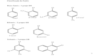
C l a s s i f i c a ç ã o d o F e n ó i s
M o n o f e n o i s – 1 g r u p o O H
O H
F e n o l
O H
H 3 C
O - C r e s o l
O H
H 3 C
m - C r e s o l
O H
C H 3
p - C r e s o l
D i f e n o i s – 2 g r u p o s O H
O H
O H
C a t e c o l
O H
O H
R e s o r c i n o l
T r i f e n o i s – 3 g r u p o s O H
O H
O H
C H 3
H O
O H
O H
O H
27
Propriedades Fisicas
Quase todos os fenóis são sólidos a temperatura ambiente, apresentam associações
intermoleculares mediante ligações de hidrogénio. Os primeiros termos são um pouco
solúveis em agua.
Reactividade dos fenóis
Reacção acido base
OH
+ NaOH
ONa
+ H2O
28
Formação de Eteres
OH
+
Br
O
Reacção com água de bromo
OH
Br2 (aq)
OH
Br
Br
Br
29
Reacção com aldeidos
OH
+ H H
O
+
OH
H2
C
Reacção com reagente de Grignard
OH
+ CH3MgBr
OMgBr
+ CH4

ÁLCOOISgg.pptx

  • 1.
  • 2.
    Álcoois apresentam ogrupo funcional que contêm ligações σ carbono-oxigênio. R-O-H Os álcoois contêm um grupo hidroxi (grupo OH) ligado a um átomo de carbono hibridizado sp3. Álcoois são classificadas em: primário (1 °), secundário (2 °) ou terciário (3 °) com base no número de átomos de carbono ligados ao carbono com o grupo OH. O C carbono hibridizado sp3 H 2
  • 3.
    Compostos tendo umgrupo hidroxi em um átomo de carbono hibridizado sp2 - enóis e fenóis. Enóis tem um grupo OH em um carbono de uma ligação dupla C - C. Os fenóis têm um grupo OH em um anel de benzeno O H Enol Fenol carbono hibridizado sp2 carbono hibridizado sp3 O H sp2 3
  • 4.
  • 5.
    A cadeia principaldeve ser a mais longa que contém o carbono ligado ao OH; a numeração da cadeia deve se iniciar pela extremidade mais próxima ao OH. PREFIXO PARTE INTERMEDIÁRIA SUFIXO Nº DE ÁTOMOS DE CARBONO 5 TIPO DE LIGAÇÃO ENTRE C OL
  • 6.
    6 EXEMPLOS: H3C – OHH3C – CH2 – OH 3 2 1 H3C – CH – CH2 – OH I CH3 I CH3 I OH 5 4 3 2 H3C – CH – CH2 – CH – CH3 metanol etanol 2-metilpropan-1-ol 1 4-metilpentan-2-ol
  • 7.
    7 EXEMPLOS: H3C – OHH3C – CH2 – OH 3 2 1 H3C – CH – CH2 – OH I CH3 I CH3 I OH 5 4 3 2 H3C – CH – CH2 – CH – CH3 metanol etanol 2-metilpropan-1-ol 1 4-metilpentan-2-ol
  • 8.
    Álcool ico Nome dogrupo orgânico 8 H3C – OH H3C – CH2 – OH H3C – CH – CH3 I OH Álcool isopropílico Álcool metílico Álcool etílico .
  • 9.
    9 Propriedades Físicas Nenhum álcoolé gasoso a temperatura ambiente. Álcoois primários da série alifática normal são líquidos até C12 e sólidos a partir daqui. A substituição de um hidrogénio por um grupo OH provoca elevação dos pontos de ebulição e o aumento é maior do que qualquer outro substituinte incluindo os de maior peso como Cl, Br, I. CH4: Pe -105,5 oC CH3CH3: Pe -88,5 oC CH3CH2Br: Pe 38,4 oC CH3CH2I: Pe 72,3 oC CH3CHO: Pe 29 oC CH3OH: Pe 64,7 oC CH3CH2OH: Pe 78,5 oC
  • 10.
    A existência ligaçõespor pontes de H (forte polarização da ligação OH). R O H O H R R O H O Os primeiros termos dos álcoois são solúveis em água, a medida que aumenta o peso molecular a solubilidade em água diminui. Os alcoois são tóxicos: a absorção do CH3OH pode provocar a cegueira ou a morte. H H 10
  • 11.
    Obtenção industrial deálcoois Existem 3 maneiras para obter álcoois simples a base da síntese orgânica alifática, recorrem às fontes de matéria-prima orgânica (petróleo, gás natural, carvão e biomassa). 1. Hidratação dos alcenos (obtidos a partir do craque do petróleo) 2. Processo Oxo (a partir de alcenos, CO e H2) 3. Fermentacao de hidratos de carbono Petroleo craque R-CH CH2 Hidrataco R-CHOH-CH3 craque R-CHOH-CH3 Hiratacao OH etanol Fermentacao Acucares Oxo 11
  • 12.
    Fontes Industriais dosÁlcoois C12H22O11 Sacarose + H2O Invertrase C6H6O6 Glicose + C6H6O6 Frutose C6H6O6 glicose ou frutose Zimase 12 2CH3CH2OH + 2CO2 Etanol
  • 13.
    Apartir de alcenos CC + H2O Hidratcao H C C OH C B2H6 Hidroboracao-Oxidacao H C OH Adiacao oposta a Markovnikov C OH C OH KMnO4 neutro, OsO4 ou RCOOOH 13 Hidroxilacao
  • 14.
    A partir dehaletos de alquilo R-X + OH- ou H2O R-OH + X- A partir de reagents de Grignard 2 R-MgX + H C O R-CH2-O-MgX R-CH2-OH Alcool primario Formaldeido R-MgX + R,-CH O Aldeido R-CH-O-MgX R, R, R-CH-OH Alcoolsecundario R-C-O-MgX R-C-OH Alcool terciario R-MgX + R, R,, O R,, R, R,, R, Cetona 14
  • 15.
    Reacção com ésteres R-MgX+ R, C OR,, O R C R R, OMgX H2O R C R R, OH 15
  • 16.
    Reacção de Redução R-CHO 1- Redução de Aldeído H R-CH2-OH Alcool secundario Aldeidos 2- Redução de Cetonas H R, C R,, O Cetonas R, CH R,, OH Alcool terciario 16
  • 17.
    1- Redução deÁcidos Carboxílicos H R, C OH O R-CH2-OH Alcool secundario R, C Acidos carboxilicos 2- Redução de Esteres de Ácidos Carboxílicos O OR,, Esteres H 17 2 R,-CH -OH Alcool secundario + R,,-OH
  • 18.
    Hidrólise de Esteresde ácidos carboxílicos R, C OR O Esteres Acidos carboxilicos H2O H+ ou OH- R, C OH O + R-OH 18
  • 19.
    Propriedade Quimicas dosalcoois A polarização da ligação C-O e O-H mais a presença de 2 pares de electrões não compartilhados no átomo de oxigénio condicionam a reactividade dos álcoois. 1- Ruptura da ligacao O-H Ocorre no meio básico ou ainda com metais muito electropositivos. R-OH + Na R-O-Na+ + 1/2H2 2. Ruptura da ligacao C-O Possível em meio acido, depois da protonação do átomo de oxigénio. R-OH + H2O R-O-H H R + H2O 19
  • 20.
    20 R, C Reacções com ácidosou Esterificação O OH + R-OH R, C OR O 2 + H O Reacção com ácidos inorgânicos Reactividade de HX : HI>HBr>HCl R-OH + HX RX + H2O Teste de Lucas A reacção pode ser catalisada pela solução de cloreto de zinco (acido de Lewis), que permite a identificação de álcoois primários, secundários e terciários. Os terciários reagem imediatamente, secundário depois de 5 minutos e primários a reacção é muito lenta. A reacção ocorre com o aparecimento de uma turvação porque o cloreto formado não é solúvel em água. R-OH + ZnCl2 R-Cl + Zn(OH)+Cl-
  • 21.
    21 Reacções com haletosde fósforo e com SOCl2 (cloreto de tionilo) 3R-OH + PCl3 R-OH + SOCl2 R-OH + PX5 Hidratação 3 R-X + P(OH)3 R-OSOCl + HCl RX + POX3 + HX R-Cl + SO2 OH C C H H H H Al2O3, T H2SO4, 170oC + H2O C C H H H H + H2O H2SO4, 140oC H3C H2 C H2 C CH3 O + H2O
  • 22.
    Oxidação C H OH O + H2O O ÁlcoolPrimário RCH2OH O RCOH Aldeido O 22 RCOOH Acido
  • 23.
    Á l co o l S e c u n d á r i o O R C H R , O H R R , O C e to n a R C Á l c o o l Te r c i á r i o R R O H O N a o h a r e a c c a o H 3 C C C H 3 C H 3 O H H 3 C C C H 3 C H 2 - H 2 O O O C 23 C O 2 H 2 O + H 3 C C H 3 +
  • 24.
  • 25.
    Emprego do prefixohidroxi anteposto ao nome do hidrocarboneto correspondente. Mas geralmente os fenóis possuem quase todos um nome vulgar consagrado para o uso. OH OH OH Catecol OH OH Resorcinol Fenol OH H3C O-Cresol OH H3C m-Cresol OH CH3 p-Cresol OH beta-hidroxinaftaleno 25
  • 26.
    26 C l as s i f i c a ç ã o d o F e n ó i s M o n o f e n o i s – 1 g r u p o O H O H F e n o l O H H 3 C O - C r e s o l O H H 3 C m - C r e s o l O H C H 3 p - C r e s o l D i f e n o i s – 2 g r u p o s O H O H O H C a t e c o l O H O H R e s o r c i n o l T r i f e n o i s – 3 g r u p o s O H O H O H C H 3 H O O H O H O H
  • 27.
    27 Propriedades Fisicas Quase todosos fenóis são sólidos a temperatura ambiente, apresentam associações intermoleculares mediante ligações de hidrogénio. Os primeiros termos são um pouco solúveis em agua. Reactividade dos fenóis Reacção acido base OH + NaOH ONa + H2O
  • 28.
    28 Formação de Eteres OH + Br O Reacçãocom água de bromo OH Br2 (aq) OH Br Br Br
  • 29.
    29 Reacção com aldeidos OH +H H O + OH H2 C Reacção com reagente de Grignard OH + CH3MgBr OMgBr + CH4