Incorporar apresentação
Baixado 610 vezes































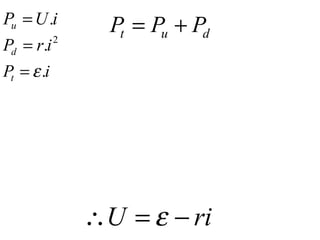
O documento discute geradores e receptores elétricos. Explica que geradores transformam energia em energia elétrica através da força eletromotriz, enquanto receptores fazem o oposto. Detalha as equações que descrevem o funcionamento de geradores e receptores, incluindo a força eletromotriz, resistência e corrente. Também aborda conceitos como rendimento, gráficos de tensão versus corrente e exercícios de aplicação destes conceitos.






























