ESTRUTURA
ATÔMICA
Relembrando...
Arnold Sommerfeld
• 1916 – Orbitais cíclicos e elípticos
• Novos números quânticos
• n = 1, 2, ...
• l = 0, 1, 2, ..., n-1
• m = -l, -l + 1, ..., 0, ..., l-1, l
Stern-Gerlach
• 1922 – Momento angular de spin
Princípio de Aufbau
• 1925 – Princípio da Exclusão de Pauli:
Dois elétrons em um átomo não podem ter o mesmo conjunto de
quatro números quânticos.
• Os elétrons ocupam orbitais em ordem crescente de energia.
• Regra de Hund:
Se mais de um orbital em uma subcamada estiver disponível,
adicione elétrons com spins paralelos aos diferentes orbitais
daquela subcamada até completá-la, antes de emparelhar dois
elétrons em um dos orbitais.
Distribuição eletrônica
Números Quânticos Número máximo de elétrons
n l m subcamada camada
1 0 (s) 0 2 2
2
0 (s) 0 2
8
1 (p) -1, 0, +1 6
3
0 (s) 0 2
181 (p) -1, 0, +1 6
2 (d) -2, -1, 0, +1, +2 10
4
0 (s) 0 2
32
1 (p) -1, 0, +1 6
2 (d) -2, -1, 0, +1, +2 10
3 (f) -3, -2, -1, 0, +1, +2, +3 14
Mecânica Quântica
• Início da década de 1920
• Fatos mal explicados:
• Conflito entre o modelo ondulatório e corpuscular da luz
• Conceito de Quantização
Dualidade onda-partícula
• 1924 – L. de Broglie
Todas as partículas de matéria em
movimento também devem
apresentar propriedades
ondulatórias!
Dualidade onda-partícula
• 1924 – L. de Broglie
Dualidade onda-partícula
PARTÍCULA MASSA (kg)
VELOCIDADE
(m s-1)
COMPRIMENTO
DE ONDA (pm)
Elétron gasoso (300 K) 9 x 10-31 1 x 105 7000
Elétron do átomo de H (n = 1) 9 x 10-31 2,2 x 106 33
Átomo de He gasoso (300 K) 7 x 10-25 1000 90
Bola de beisebol rápida 0,1 20 3 x 10-22
Bola de beisebol lenta 0,1 0,1 7 x 10-20
Princípio da Incerteza de
Heisenberg
É possível determinar o momento do elétron e sua
posição simultaneamente?
NÃO! Para determinarmos a posição do elétron,
inevitavelmente, mudaremos seu momento por
uma quantidade desconhecida.
Princípio da Incerteza de
Heisenberg
Determinando a posição de um elétron com uma precisão de 5 pm:
Princípio da Incerteza de
Heisenberg
Determinando a posição de um elétron com uma precisão de 5 pm:
• A incerteza na velocidade do elétron se aproxima da velocidade
da luz, semelhante ou maior que a velocidade esperada para o
elétron.
• A velocidade do elétron é tão incerta que não há como
determinar sua trajetória!
Falha do modelo de Bohr: trajetórias bem definidas podem não ter
significado!
Estime a incerteza mínima em:
a) a posição de uma bola de gude de massa 1,0 g,
sabendo que sua velocidade é conhecida no intervalo ±
1,0 mms-1.
b) a velocidade de um elétron confinado em um diâmetro
de um átomo típico (200 pm).
Gato de Schrödinger
Mecânica Quântica
•
Max Born
•
Max Born
•
Mecânica Quântica
•
Partícula na caixa
•
Energia
quantizada!!!
Partícula na caixa
•
Partícula na caixa
PARTÍCULA
Equação de Schrödinger
Equação de Schrödinger
ONDA
Equação de Schrödinger
3D
Equação de Schrödinger
Equação de Schrödinger
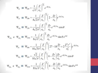
Orbitais Atômicos
• Funções de onda de elétrons em átomos
• Expressões matemáticas dos orbitais atômicos – soluções da
equação de Schrödinger
• Coordenadas esféricas polares
Função de
onda radial
Função de
onda angular
Números Quânticos Número de Estados Quânticos
n l m subcamada camada
1 0 (s) 0 2 2
2
0 (s) 0 2
8
1 (p) -1, 0, +1 6
3
0 (s) 0 2
181 (p) -1, 0, +1 6
2 (d) -2, -1, 0, +1, +2 10
4
0 (s) 0 2
32
1 (p) -1, 0, +1 6
2 (d) -2, -1, 0, +1, +2 10
3 (f) -3, -2, -1, 0, +1, +2, +3 14
n = 1, 2, 3, ...
l = 0, 1, 2, 3, ..., n-1
m = 0, ±1, ±2, ±3, ..., ±l
Energias de Ionização
• Energia necessária para remover um elétron de um átomo na
fase gás
Energias de
Ionização
Afinidade Eletrônica
• Energia liberada quando um elétron se liga a um átomo na
fase gás
Afinidade Eletrônica
Excitação Eletrônica
• Elétron é “promovido” para orbitais desocupados.
• Estado fundamental → Estado excitado
C (1s22s22p2) → C* (1s22s22p13s1)
E = E (C*) – E (C)
Estrutura part2
Estrutura part2

Estrutura part2