Energia e trabalho
Energia
 Energia

potencial é a energia
associada com a posição da partícula.

 Existe energia potencial gravitacional

mesmo no caso de a mergulhadora
ficar parada no trampolim.


Nenhuma energia é adicionada ao
sistema mergulhadora –terra. Porém a
energia armazenada é transformada
de uma forma para outra durante sua
queda.
Energia Cinética
ENERGIA CINÉTICA (K)

A energia cinética é a energia associada ao estado de
movimento de um
objeto.



 Quanto mais rapidamente um objeto estiver se movendo,
maior será sua energia cinética. Quando o objeto está em repouso, sua
energia cinética é nula.
 Para um objeto de massa m cuja velocidade v é bem inferior à

velocidade da luz, definimos a sua energia cinética como
K = ½ mv2
 A unidade de SI para a energia cinética (e todos os outros
tipos de energia) é o joule ( J ), em homenagem a James
Prescott Joule, um cientista inglês do século XIX.
TRABALHO
Na linguagem comum, a palavra

trabalho é aplicada a qualquer forma de
atividade que requeira um esforço
muscular ou mental. Em física,
entretanto, este termo é usado num
sentido mais específico, que envolve a
aplicação de uma força a um corpo e o
deslocamento deste corpo.
TRABALHO DE UMA FORÇA CONSTANTE SOBRE
UM OBJETO QUE SE MOVE EM UMA DIMENSÃO

r
F

θ

r
d

r r
W = F .d ⇒ W = Fd cos θ
 O trabalho é uma grandeza algébrica, que

pode ser positivo ou negativo. Quando a força
possui uma componente na mesma direção e
sentido que o deslocamento, o trabalho
realizado por ela é positivo.

 Se o sentido da componente da força for

oposto ao deslocamento, o trabalho será
negativo. Se a força for perpendicular ao
deslocamento, ela não terá componente na
direção do deslocamento e o trabalho será
nulo.
TEOREMA DO TRABALHO-ENERGIA
CINÉTICA
 O trabalho realizado pela força resultante

sobre uma partícula é igual à variação da
energia cinética da partícula

1 2 1 2
W = ∆ K ⇒ W = mv − mv0
2
2
Se o trabalho resultante realizado sobre

uma partícula for positivo, então a
energia cinética da partícula aumenta
de uma quantidade igual ao trabalho.
Se o trabalho resultante for negativo,
então a energia cinética da partícula
diminui de uma quantidade igual ao
trabalho.
TRABALHO REALIZADO POR UMA FORÇA
VARIÁVEL: EM UMA DIMENSÃO
Para uma força constante e de mesma

direção e sentido do deslocamento é fácil
verificar que o trabalho realizado por ela é
igual a “área sob a curva” no gráfico , como
está representado na figura abaixo. Mesmo
quando o valor da força estiver variando esta
propriedade é válida, sendo que o trabalho de
uma força variável na direção x pode ser
calculada por
x2

w = ∫ F ( x ) dx
x1

w
x1

x2
TRABALHO REALIZADO POR UMA
FORÇA DE MOLA
A

força exercida pela mola pode,
portanto, ser expressa em termos de
distância x, através da qual ela é
esticada ou comprimida, a partir do seu
comprimento de equilíbrio, por

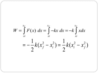
F = − kx
W=

xF

xF

xF

xi

xi

xi

∫ F ( x) dx = ∫ −kx dx = −k ∫ xdx

1 2 2 1 2 2
= − k ( x f − xi ) = k ( xi − x f )
2
2
POTÊNCIA
A potência devido a uma força é a taxa

com que essa força realiza um trabalho
sobre um objeto. Se a força realiza um
trabalho W durante um intervalo de
tempo é Δt, a potência média é

W
Pm =
∆t
A potência instantânea P é a taxa

instantânea de realização de trabalho,
que pode ser escrita como

dW
P=
dt
Energia
 Como a transformação pode ser

entendida a partir do teorema
trabalho energia.
 Veremos que a soma da energia

cinética e potencial fornece a
energia mecânica total do sistema e
essa energia permanece constante
durante o movimento do sistema
(lei da conservação da energia)
Energia Potencial
Gravitacional
 Em muitas situações tudo se passa

como
se
“a
energia
fosse
armazenada em um sistema para
ser recuperado depois.”
 Garoto em um balanço: Nos pontos

mais
elevados,
a
energia
é
armazenada em outra forma,
relacionada com a altura do ponto
acima do solo, e esta energia é
convertida em K quanto atinge o
ponto inferior do arco.

 Esse ex. da idéia de que

existe
uma
energia
associada com a posição
dos corpos em um sistema.
Este tipo de energia
fornece o potencial ou a
possibilidade de realizar
trabalho (W)
Energia Potencial
Gravitacional
 Quando um martelo é elevado no ar,

existe um potencial para um trabalho
sobre ele ser realizado pela força da
gravidade, porém isso só ocorre
quando o martelo é liberado. Por esse
motivo, a energia associada com a
posição
denomina-se
ENERGIA
POTENCIAL.


Existe uma energia potencial
associada com o peso do corpo e com
a altura acima do solo. Chamamos
essa
energia
de
ENERGIA
POTENCIAL GRAVITACIONAL.
Energia Potencial
Gravitacional
 Quando um corpo cai sem resistência

do ar, a energia potencial diminui à
medida que a energia cinética
aumenta.


Vimos “ usando o teorema do
trabalho-energia para concluir que K
do corpo em queda livre aumenta
porque a força gravitacional realiza
trabalho sobre ele.

 Usaremos o teorema W-∆K para demonstrar que essas duas

descrições de um corpo são equivalentes e para deduzir uma
expressão para energia potencial.
Energia Potencial
Gravitacional
 Considere um corpo de massa m que

se move ao longo de um eixo 0y. A
força que atua sobre ele é a
gravitacional.
 Qual o Wg realizado pelo peso sobre
o corpo qdo cai de uma altura y1
acima da origem até uma altura
menor y2?
O peso e o deslocamento possui mesmo
sentido, de modo Wg realizado sobre o corpo é
positivo.

W g= Fg d = Fg ( y1 − y2 ) = mg ( y1 − y2 ) = mg ( y1 − y2 )
 Equação também válida para quando

y2 é maior que y1. Neste caso:
Energia Potencial
Gravitacional
 Podemos expressar Wg em termos da quantidade mgy no início

e no final do deslocamento.
U = mgy

Energia potencial
gravitacional

 Seu valor inicial é U1 = mgy1 e seu valor final U2 = mgy2;

∆U = U 2 − U1
 Podemos expressar Wg realizado pela força gravitacional durante o deslocamento de y 1 a

y2 como

W = U1 − U 2 = −(U 2 − U1 ) = −∆U
 Corpo se move de baixo para cima - y aumenta; W g (-);

 Corpo se move de cima para baixo - y diminui; Wg (+);

U diminui (∆U >0).

U aumenta (∆U >0).
Forças conservativas e não
conservativas
 As forças que atuam num sistema,

modificando-lhe a configuração,
dizem-se conservativas quando,
regressando o sistema à configuração
inicial, readquire também a energia
cinética inicial.

Isto significa que as forças
conservativas
conservaram
a
capacidade que o sistema tinha de
realizar trabalho, e daí o seu nome.
 Fg realiza de A a B, um trabalho resistente, que se traduz num aumento de energia

potencial do sistema. Segue-se, depois, um trabalho potente, de B para A, que se traduz
na restituição à forma cinética do incremento de energia potencial que tinha sido
armazenada.
Forças conservativas e não
conservativas
 As forças que atuam num sistema dizem-

se não conservativas ou dissipativas
quando, ao deixarem de realizar trabalho,
o sistema ou não regressa à configuração
inicial ou regressa a ela com energia
cinética diferente da que tinha no
princípio.
 Isto quer dizer que as forças não conservativas não conservaram

a capacidade que o sistema tinha de realizar trabalho.
 A força de atrito, realiza sempre trabalho resistente não traduzido em aumento de

energia potencial
Independência da trajetória para
o trabalho de forças
conservativas
 Consideremos uma partícula em movimento em um percurso

fechado, se o W realizado pela força neste percurso for nulo,
então dizemos que as forças são conservativas.
 Ou seja, a energia total que se transfere da partícula e para a

partícula durante a viaje de ida e volta ao longo do percurso fechado
é nula.

Exemplo: O lançamento de um tomate.
Wres = 0
“O WR realizado pela força conservativa

movendo-se entre dois pontos não depende
da trajetória.”
Independência da trajetória para
o trabalho de forças
conservativas
Consideremos um percurso fechado
arbitrário para uma partícula sujeita a uma
ação de uma única força.
 A partícula se move do ponto inicial a
para um ponto final b ao longo da trajetória
1 e retorna pela trajetória 2.


“A força realiza W sobre a partícula a medida que ela se movimenta ao
longo de cada trajetória.”
• O W realizado de a até b ao longo da trajetória 1 é: Wab,1
• O W realizado da volta de b até a é; Wba,2
 Se F for conservativa; Wres = 0.

Wab ,1 + Wba , 2 = 0
Wab ,1 = −Wba , 2
 O W realizado ao longo da trajetória de ida é igual ao negativo do

W realizado ao longo da volta.
 Consideremos o Wab,2 realizado pela força sobre a partícula

quando ela se move de a até b ao longo da trajetória 2.
Wab , 2 = −Wba , 2

Substituindo a equação acima na equação anterior.
Wab ,1 = −Wab , 2

Portanto o W independe da trajetória quando F for conservativa.
Determinando Valores de
Energia Potencial
Encontrar a energia potencial dos dois tipos de energia
discutido nesta seção: energia potencial gravitacional e energia
potencial elástica.
 Encontrar uma relação geral entre uma força conservativa e a
energia potencial a ela associada.


• Considere um objeto que se comporta como uma partícula e que

é parte de um sistema no qual atua uma F conservativa.
“ quando esta força realiza W sobre o objeto, a variação ∆U na energia
potencial associada ao sistema é o negativo do W.”
W = −∆U
Determinando Valores de
Energia Potencial
 No caso geral onde a força pode variar com a posição
xf

W = ∫ F ( x)dx
xi

Substituindo W = - ∆U, temos:
xf

∆U = − ∫ F ( x)dx
xi

Relação geral entre força e energia potencial.
Energia Potencial
Gravitacional
 Consideremos

uma partícula com massa m movendo-se
verticalmente ao longo de y (positivo para cima). A medida que
a partícula se move do ponto y1 para y2 a Fg realiza W sobre ela.
xf

xf

xi

xi

∆U = − ∫ F ( x)dy = − ∫ (−mg )dy = mg | y12 = mg∆y
y

Podemos usar configurações de referência na qual a partícula esta
em um ponto de referência yi que tomamos como U = 0. Portanto:
U ( y ) = mgy
“a energia potencial gravitacional associada ao sistema partícula-terra depende apenas
da
Posição vertical y da partícula em relação à posição de referência y = 0, e não da
Energia Potencial Elástica
 Consideremos um sistema massa-mola, com o bloco se

movendo na extremidade de uma mola de constante elástica k.
Enquanto o bloco se move do ponto xi para o xf, a força da mola
F = -kx realiza W sobre o bloco.
xf

xf

xi

xi

∆U = − ∫ F ( x)dx = − ∫ (−kx)dx = kx | x12 =
x

1
k∆x
2

1 2 1 2
∆U = kx f − kxi
2
2

Escolhendo um valor de referência U com o bloco na posição x na
qual a mola se encontra relaxado x= 0.
U −0 =

1
1 2
kx − 0; U = kx 2
2
2
Conservação da Energia
Mecânica
 A energia mecânica de um sistema é a soma da energia cinética

e potencial dos objetos que compõem o sistema:
Emec = K + U

Energia mecânica: Forças conservativas e o sistema é isolado (F ext
= 0).
 Quando uma F conservativa realiza W sobre um objeto dentro
de um sistema, essa força transfere energia entre a K do objeto e
a U do sistema. Pelo teorema W-∆K
∆K = W
Conservação da Energia
Mecânica
 Usando a equação da variação na energia potencial

∆U = −W
Combinando as duas equações anteriores

∆K = −∆U
Uma dessas energias aumenta na mesma quantidade que a outra
diminui.
Podemos reescrever como

K 2 − K1 = −(U 2 − U1 )
K 2 + U 2 = K1 + U1

Conservação da energia
mecânica.
Conservação da Energia
Mecânica
“Em um sistema isolado onde apenas forças conservativas causam
variações de energia, a energia cinética e a energia potencial podem
variar, mas a sua soma, a energia mecânica Emec do sistema, não pode
variar”
Este
resultado
é
CONSERVAÇÃODA
ENEGIA MECÂNICA.

chamado

de

PRINCÍPIO

DE

Este princípio nos permite resolver
Podemos escrever esse princípio de outra forma

∆Emec = ∆K + ∆U

Problemas que seriam difíceis usando
apenas as Leis de Newton.

Quando a energia se conserva, podemos a soma de K e U em cada instante com aquele novo instante
sem considerar o movimento intermediário e sem determinar o WR das F envolvidas.
Conservação da Energia
Mecânica
 Exemplo do princípio de conservação aplicado: Enquanto um

pêndulo oscila, a energia do sistema pêndulo-terra é transferida
entre K e U, com a soma K+U permanecendo constante.
 Se conhecermos a Ug quando a massa do pêndulo esta no seu ponto

mais alto, a equação da conservação da energia nos fornece a K do
ponto mais baixo.
 Vamos escolher o ponto mais baixo como ponto de referência,

com U2 = 0 e no ponto mais alto U1 = 20 J. Como a massa pará
momentaneamente no ponto mais alto, K1 = 0. Qual a energia no
ponto mais baixo?
K 2 + 0 = 0 + 20;

K 2 = 20 J
Interpretando uma curva de
energia potencial
 Consideremos uma partícula que faz parte de um sistema no

qual atuam uma força conservativa. O movimento da partícula
se dar ao longo de um eixo x enquanto a F conservativa realiza
W sobre ela.
 Podemos obter bastante informação sobre o movimento da
partícula a partir do gráfico energia potencial do sistema U(x).
 Vimos que se conhecemos a F(x) que atua sobre a partícula

podemos encontrar a energia potencial
xf

∆U = − ∫ F ( x)dx
xi
Interpretando uma curva de
energia potencial
 Queremos fazer agora o contrário; isto é, conhecemos a energia

potencial U(x) e queremos determinar a força.
 Para o movimento em uma dimensão, o W realizado pela força

que atua sobre a partícula se move através de uma distância ∆x é
F(x) ∆x. Podemos escrever

∆U = −W = − F ( x)∆x
Passando ao limite diferencial

dU ( x)
F ( x) = −
dx
Interpretando uma curva de
energia potencial
 Verificar este resultado U(x) = ½ kx2 que é a energia potencial

elástica e U(x) = mgx.
 A curva de energia potencial

- U versus x : podemos encontrar F

medindo a inclinação da
curva de U(x) em vários
pontos.
Interpretando uma curva de
energia potencial
 Pontos de retorno

Na ausência da força conservativas, a energia mecânica E de um
Sistema possui um valor constante dado por
K ( x) + U ( x) = Emec

K(x) é uma função energia cinética de uma partícula no sistema.
K ( x) = Emec − U ( x)

Como Emec é constante, pelo ex. anterior igual a 5 J. Portanto no
ponto x5
K ( x) = 5 − 4 = 1J
Interpretando uma curva de
energia potencial
 Pontos de Retorno
 O valor de K máximo (5J) é no ponto x2 quando U(x) é mínimo.
• K nunca pode ser negativo (v2), a partícula não pode se mover a

para esquerda de x1, Emec – U(x) é negativo. Quando a partícula se
move em direção a x1 a partir de x2, K diminui até K = 0 em x1.
•

Em x1 – a força é positiva (inclinação negativa). Significa que a
partícula não permanece em x1, mas começa a se mover para
direita, em sentido oposto ao seu movimento anterior. Portanto
x1 é um PONTO DE RETORNO, um lugar onde K = 0 (pois U
= E) e a partícula inverte o sentido do movimento.
Interpretando uma curva de
energia potencial
Pontos de Equilíbrio
 3 valores diferentes de Emec.
 Se Emec = 4 J, o ponto de retorno

mudar de x1 para um valor entre x1
e x2 .
 Qualquer ponto a direita de x5, a

energia mecânica do sistema é
igual a U(x); portanto, K = 0
e nenhuma força atua sobre a mesma, de modo que ela precisa está
em repouso. Diz-se que a partícula em tal posição está em
EQUILÍBRIO NEUTRO.
Interpretando uma curva de
energia potencial
Pontos de Equilíbrio
 Se Emec = 3 J, existe dois pontos de

retorno: um entre x1 e x2 e outro
entre x4 e x5. Além disso x3 é um
ponto onde K = 0. Se a partícula
estiver neste ponto, a F = 0 e a
partícula
permanecerá
em
repouso.
Se ela for ligeiramente deslocada em qualquer um dos dois sentidos,
uma força não nula a empurra no mesmo sentido e a partícula
continua se afastando ainda mais do ponto inicial. Uma partícula em
tal posição é considerada em EQUILÍBRIO INSTÁVEL.
Interpretando uma curva de
energia potencial
Pontos de Equilíbrio
 Se Emec = 1 J. Se colocarmos em x4

ela permanecerá nesta posição.
Ela não pode se mover nem para
direita nem para esquerda por sua
conta
própria,
pois
seria
necessário uma K negativa.
Se empurramos ligeiramente para a esquerda ou para direita, aparece
uma força restauradora que a faz retornar ao ponto x4. Uma partícula
em tal posição é considerada em EQUILÍBRIO ESTÁVEL.
Trabalho Realizado por uma
Força Externa sobre um Sistema
vimos: “ O W é a energia transferida PARA um sistema ou
DE
um sistema devido a atuação de uma força externa sobre este
sistema.”
Podemos extender esse conceito para uma Fext atuando sobre
Um sistema.

Quando a transferência de
energia é PARA o sistema.

Quando a transferência de
energia é DO o sistema.
Trabalho Realizado por uma
Força Externa sobre um Sistema
NA AUSÊNCIA DE ATRITO
Num boliche quando você vai arremessar a bola, inicialmente você
se agacha e coloca suas mãos em forma de concha por debaixo da
bola sobre o peso.
Depois você levanta rapidamente enquanto ao mesmo tempo puxa
suas mãos bruscamente, lançando a bola para cima no nível do rosto.
Durante o seu movimento para cima, a F que vc aplica realiza W, isto
é, ela é uma força externa que transfere energia, mas para qual
sistema?
Trabalho Realizado por uma
Força Externa sobre um Sistema
NA AUSÊNCIA DE ATRITO
Verificar quais energias se modificam:
Há variação ∆K da bola, e como a bola e a terra ficaram afastada,
também houve uma variação ∆Ug do sistema bola-terra.
Para incluir essas variações, precisamos considerar o sistema bolaterra. Assim F é uma Fext que realiza W sobre o sistema, e o W é
W = ∆K + ∆U = ∆Emec
Energia equivalente para o W realizado por Fext
sobre um sistema sem atrito.
NA PRESENÇA DE ATRITO
Consideremos um sistema onde uma F horizontal constante puxa o bloco
ao longo do eixo x deslocando-o por uma distância d e aumentando a velocidade do bloco de v0 para v.

O bloco será nosso sistema. Aplicando a segunda lei de Newton
F − f c = ma
2
Como as forças são constantes v 2 = v0 + 2ad , temos

Fd = ∆K + f c d

Numa situação mais geral (uma na qual o bloco esteja subindo uma
rampa), pode haver uma variação na energia potencial. Para incluir
tal variação, temos
Fd = ∆Emec + f c d
Verificamos experimentalmente que o bloco e a porção do piso ao
longo do qual ele se desloca ficam aquecidos enquanto o bloco
desliza. Portanto foi verificado experimentalmente que essa energia
térmica é igual

Portanto

∆ET = f c d
W = ∆Emec + ET

Trabalho realizado pelo sistema
em presença de atrito.
Conservação da Energia
Todos os casos discutidos até agora obedecem a LEI DE
CONSERVAÇÃO,
que está relacionada com a energia total de um sistema. Essa energia total é
a soma da energia mecânica com a térmica ou qualquer outro tipo de
energia interna.
“A energia total E de um sistema pode mudar apenas por quantidades de
energias que são transferidas para o sistema ou delas retiradas.”
O único tipo de energia de transferência de energia que consideramos e o W
realizado sobre um sistema. Assim, esta lei estabelece
W = ∆E = ∆Emec + ∆ET + ∆Eint
A lei de conservação de energia é algo baseado em inúmeros experimentos.
Conservação da Energia
SISTEMA ISOLADO
Se um sistema está isolado de uma vizinhança, não podendo haver
trocas com a vizinhança. Para este caso a lei de conservação da
energia diz:
“A energia total E, de um sistema isolado não pode variar.”
Pode haver muitas transferências dentro do sistema; energia cinética
em energia potencial ou térmica, entretanto a energia total do sistema
não pode variar.
Conservação da Energia
A conservação da energia pode der escrita de duas maneiras:
∆Emec + ∆ET + ∆Eint = 0

W =0

e
Emec , 2 = Emec ,1 − ∆ET − ∆Eint

“Em um sistema isolado, podemos relacionar a energia total em um
dado instante com a energia total em outro instante sem ter que
considerar as energias em tempos intermediários.”
FORÇAS EXTERNAS E TRANSFERÊNCIA DE ENERGIA INTERNA

Uma força externa pode mudar a K ou U de um
objeto sem realizar W, isto é, sem transferir energia
para o objeto. Em vez disso, é a força responsável
pela transferência de energia de uma forma para
outra dentro do objeto.
Patinadora no gelo, inicialmente em repouso, empurra
um corrimão e passa a deslizar sobre o gelo. Sua K
aumenta porque o corrimão exerceu uma Fext sobre ela.
No entanto a F não transfere energia para o corrimão
para ela. Assim a força não realiza W sobre ela. Ao
contrário a K aumenta como resultado de transferências
internas a partir da energia bioquimica contida nos seus
musculos.
FORÇAS EXTERNAS E TRANSFERÊNCIA DE ENERGIA INTERNA

Nesta situação podemos relacionar a Fext que atua sobre um objeto com
a variação da energia mecânica do objeto.
Durante seu empurrão e deslocamento de uma distância d, podemos
considerar a aceleração constante, com velocidade variando de v0 a v e a
patinadora com uma partícula desprezando o esforço de seus músculos.
K − K 0 = Fd cos θ
∆K = Fd cos θ

A situação também envolve uma variação na elevação do objeto,
podemos incluir a energia potencial
∆K + ∆U = Fd cos θ

A força do lado direito dessa
Eq. não realiza W, mais é responsável
pelas variações das energias.
POTÊNCIA
Potência é a taxa com que uma força transfere energia de uma forma
para outra.
“Se uma certa quantidade de energia ∆E é transferida durante um
intervalo de tempo ∆t, a potência média devida à força é”

Pmed

∆E
=
∆t

E a potencia instantânea
P=

dE
.
dt

Energiapotencialeconservaao 120913223555-phpapp02

  • 1.
  • 2.
    Energia  Energia potencial éa energia associada com a posição da partícula.  Existe energia potencial gravitacional mesmo no caso de a mergulhadora ficar parada no trampolim.  Nenhuma energia é adicionada ao sistema mergulhadora –terra. Porém a energia armazenada é transformada de uma forma para outra durante sua queda.
  • 3.
    Energia Cinética ENERGIA CINÉTICA(K) A energia cinética é a energia associada ao estado de movimento de um objeto.   Quanto mais rapidamente um objeto estiver se movendo, maior será sua energia cinética. Quando o objeto está em repouso, sua energia cinética é nula.
  • 4.
     Para umobjeto de massa m cuja velocidade v é bem inferior à velocidade da luz, definimos a sua energia cinética como K = ½ mv2  A unidade de SI para a energia cinética (e todos os outros tipos de energia) é o joule ( J ), em homenagem a James Prescott Joule, um cientista inglês do século XIX.
  • 5.
    TRABALHO Na linguagem comum,a palavra trabalho é aplicada a qualquer forma de atividade que requeira um esforço muscular ou mental. Em física, entretanto, este termo é usado num sentido mais específico, que envolve a aplicação de uma força a um corpo e o deslocamento deste corpo.
  • 6.
    TRABALHO DE UMAFORÇA CONSTANTE SOBRE UM OBJETO QUE SE MOVE EM UMA DIMENSÃO r F θ r d r r W = F .d ⇒ W = Fd cos θ
  • 7.
     O trabalhoé uma grandeza algébrica, que pode ser positivo ou negativo. Quando a força possui uma componente na mesma direção e sentido que o deslocamento, o trabalho realizado por ela é positivo.  Se o sentido da componente da força for oposto ao deslocamento, o trabalho será negativo. Se a força for perpendicular ao deslocamento, ela não terá componente na direção do deslocamento e o trabalho será nulo.
  • 8.
    TEOREMA DO TRABALHO-ENERGIA CINÉTICA O trabalho realizado pela força resultante sobre uma partícula é igual à variação da energia cinética da partícula 1 2 1 2 W = ∆ K ⇒ W = mv − mv0 2 2
  • 9.
    Se o trabalhoresultante realizado sobre uma partícula for positivo, então a energia cinética da partícula aumenta de uma quantidade igual ao trabalho. Se o trabalho resultante for negativo, então a energia cinética da partícula diminui de uma quantidade igual ao trabalho.
  • 10.
    TRABALHO REALIZADO PORUMA FORÇA VARIÁVEL: EM UMA DIMENSÃO Para uma força constante e de mesma direção e sentido do deslocamento é fácil verificar que o trabalho realizado por ela é igual a “área sob a curva” no gráfico , como está representado na figura abaixo. Mesmo quando o valor da força estiver variando esta propriedade é válida, sendo que o trabalho de uma força variável na direção x pode ser calculada por
  • 11.
    x2 w = ∫F ( x ) dx x1 w x1 x2
  • 12.
    TRABALHO REALIZADO PORUMA FORÇA DE MOLA A força exercida pela mola pode, portanto, ser expressa em termos de distância x, através da qual ela é esticada ou comprimida, a partir do seu comprimento de equilíbrio, por F = − kx
  • 13.
    W= xF xF xF xi xi xi ∫ F (x) dx = ∫ −kx dx = −k ∫ xdx 1 2 2 1 2 2 = − k ( x f − xi ) = k ( xi − x f ) 2 2
  • 14.
    POTÊNCIA A potência devidoa uma força é a taxa com que essa força realiza um trabalho sobre um objeto. Se a força realiza um trabalho W durante um intervalo de tempo é Δt, a potência média é W Pm = ∆t
  • 15.
    A potência instantâneaP é a taxa instantânea de realização de trabalho, que pode ser escrita como dW P= dt
  • 16.
    Energia  Como atransformação pode ser entendida a partir do teorema trabalho energia.  Veremos que a soma da energia cinética e potencial fornece a energia mecânica total do sistema e essa energia permanece constante durante o movimento do sistema (lei da conservação da energia)
  • 17.
    Energia Potencial Gravitacional  Emmuitas situações tudo se passa como se “a energia fosse armazenada em um sistema para ser recuperado depois.”  Garoto em um balanço: Nos pontos mais elevados, a energia é armazenada em outra forma, relacionada com a altura do ponto acima do solo, e esta energia é convertida em K quanto atinge o ponto inferior do arco.  Esse ex. da idéia de que existe uma energia associada com a posição dos corpos em um sistema. Este tipo de energia fornece o potencial ou a possibilidade de realizar trabalho (W)
  • 18.
    Energia Potencial Gravitacional  Quandoum martelo é elevado no ar, existe um potencial para um trabalho sobre ele ser realizado pela força da gravidade, porém isso só ocorre quando o martelo é liberado. Por esse motivo, a energia associada com a posição denomina-se ENERGIA POTENCIAL.  Existe uma energia potencial associada com o peso do corpo e com a altura acima do solo. Chamamos essa energia de ENERGIA POTENCIAL GRAVITACIONAL.
  • 19.
    Energia Potencial Gravitacional  Quandoum corpo cai sem resistência do ar, a energia potencial diminui à medida que a energia cinética aumenta.  Vimos “ usando o teorema do trabalho-energia para concluir que K do corpo em queda livre aumenta porque a força gravitacional realiza trabalho sobre ele.  Usaremos o teorema W-∆K para demonstrar que essas duas descrições de um corpo são equivalentes e para deduzir uma expressão para energia potencial.
  • 20.
    Energia Potencial Gravitacional  Considereum corpo de massa m que se move ao longo de um eixo 0y. A força que atua sobre ele é a gravitacional.  Qual o Wg realizado pelo peso sobre o corpo qdo cai de uma altura y1 acima da origem até uma altura menor y2? O peso e o deslocamento possui mesmo sentido, de modo Wg realizado sobre o corpo é positivo. W g= Fg d = Fg ( y1 − y2 ) = mg ( y1 − y2 ) = mg ( y1 − y2 )  Equação também válida para quando y2 é maior que y1. Neste caso:
  • 21.
    Energia Potencial Gravitacional  Podemosexpressar Wg em termos da quantidade mgy no início e no final do deslocamento. U = mgy Energia potencial gravitacional  Seu valor inicial é U1 = mgy1 e seu valor final U2 = mgy2; ∆U = U 2 − U1  Podemos expressar Wg realizado pela força gravitacional durante o deslocamento de y 1 a y2 como W = U1 − U 2 = −(U 2 − U1 ) = −∆U  Corpo se move de baixo para cima - y aumenta; W g (-);  Corpo se move de cima para baixo - y diminui; Wg (+); U diminui (∆U >0). U aumenta (∆U >0).
  • 22.
    Forças conservativas enão conservativas  As forças que atuam num sistema, modificando-lhe a configuração, dizem-se conservativas quando, regressando o sistema à configuração inicial, readquire também a energia cinética inicial.  Isto significa que as forças conservativas conservaram a capacidade que o sistema tinha de realizar trabalho, e daí o seu nome.  Fg realiza de A a B, um trabalho resistente, que se traduz num aumento de energia potencial do sistema. Segue-se, depois, um trabalho potente, de B para A, que se traduz na restituição à forma cinética do incremento de energia potencial que tinha sido armazenada.
  • 23.
    Forças conservativas enão conservativas  As forças que atuam num sistema dizem- se não conservativas ou dissipativas quando, ao deixarem de realizar trabalho, o sistema ou não regressa à configuração inicial ou regressa a ela com energia cinética diferente da que tinha no princípio.  Isto quer dizer que as forças não conservativas não conservaram a capacidade que o sistema tinha de realizar trabalho.  A força de atrito, realiza sempre trabalho resistente não traduzido em aumento de energia potencial
  • 24.
    Independência da trajetóriapara o trabalho de forças conservativas  Consideremos uma partícula em movimento em um percurso fechado, se o W realizado pela força neste percurso for nulo, então dizemos que as forças são conservativas.  Ou seja, a energia total que se transfere da partícula e para a partícula durante a viaje de ida e volta ao longo do percurso fechado é nula. Exemplo: O lançamento de um tomate. Wres = 0 “O WR realizado pela força conservativa movendo-se entre dois pontos não depende da trajetória.”
  • 25.
    Independência da trajetóriapara o trabalho de forças conservativas Consideremos um percurso fechado arbitrário para uma partícula sujeita a uma ação de uma única força.  A partícula se move do ponto inicial a para um ponto final b ao longo da trajetória 1 e retorna pela trajetória 2.  “A força realiza W sobre a partícula a medida que ela se movimenta ao longo de cada trajetória.” • O W realizado de a até b ao longo da trajetória 1 é: Wab,1 • O W realizado da volta de b até a é; Wba,2
  • 26.
     Se Ffor conservativa; Wres = 0. Wab ,1 + Wba , 2 = 0 Wab ,1 = −Wba , 2  O W realizado ao longo da trajetória de ida é igual ao negativo do W realizado ao longo da volta.  Consideremos o Wab,2 realizado pela força sobre a partícula quando ela se move de a até b ao longo da trajetória 2. Wab , 2 = −Wba , 2 Substituindo a equação acima na equação anterior. Wab ,1 = −Wab , 2 Portanto o W independe da trajetória quando F for conservativa.
  • 27.
    Determinando Valores de EnergiaPotencial Encontrar a energia potencial dos dois tipos de energia discutido nesta seção: energia potencial gravitacional e energia potencial elástica.  Encontrar uma relação geral entre uma força conservativa e a energia potencial a ela associada.  • Considere um objeto que se comporta como uma partícula e que é parte de um sistema no qual atua uma F conservativa. “ quando esta força realiza W sobre o objeto, a variação ∆U na energia potencial associada ao sistema é o negativo do W.” W = −∆U
  • 28.
    Determinando Valores de EnergiaPotencial  No caso geral onde a força pode variar com a posição xf W = ∫ F ( x)dx xi Substituindo W = - ∆U, temos: xf ∆U = − ∫ F ( x)dx xi Relação geral entre força e energia potencial.
  • 29.
    Energia Potencial Gravitacional  Consideremos umapartícula com massa m movendo-se verticalmente ao longo de y (positivo para cima). A medida que a partícula se move do ponto y1 para y2 a Fg realiza W sobre ela. xf xf xi xi ∆U = − ∫ F ( x)dy = − ∫ (−mg )dy = mg | y12 = mg∆y y Podemos usar configurações de referência na qual a partícula esta em um ponto de referência yi que tomamos como U = 0. Portanto: U ( y ) = mgy “a energia potencial gravitacional associada ao sistema partícula-terra depende apenas da Posição vertical y da partícula em relação à posição de referência y = 0, e não da
  • 30.
    Energia Potencial Elástica Consideremos um sistema massa-mola, com o bloco se movendo na extremidade de uma mola de constante elástica k. Enquanto o bloco se move do ponto xi para o xf, a força da mola F = -kx realiza W sobre o bloco. xf xf xi xi ∆U = − ∫ F ( x)dx = − ∫ (−kx)dx = kx | x12 = x 1 k∆x 2 1 2 1 2 ∆U = kx f − kxi 2 2 Escolhendo um valor de referência U com o bloco na posição x na qual a mola se encontra relaxado x= 0. U −0 = 1 1 2 kx − 0; U = kx 2 2 2
  • 31.
    Conservação da Energia Mecânica A energia mecânica de um sistema é a soma da energia cinética e potencial dos objetos que compõem o sistema: Emec = K + U Energia mecânica: Forças conservativas e o sistema é isolado (F ext = 0).  Quando uma F conservativa realiza W sobre um objeto dentro de um sistema, essa força transfere energia entre a K do objeto e a U do sistema. Pelo teorema W-∆K ∆K = W
  • 32.
    Conservação da Energia Mecânica Usando a equação da variação na energia potencial ∆U = −W Combinando as duas equações anteriores ∆K = −∆U Uma dessas energias aumenta na mesma quantidade que a outra diminui. Podemos reescrever como K 2 − K1 = −(U 2 − U1 ) K 2 + U 2 = K1 + U1 Conservação da energia mecânica.
  • 33.
    Conservação da Energia Mecânica “Emum sistema isolado onde apenas forças conservativas causam variações de energia, a energia cinética e a energia potencial podem variar, mas a sua soma, a energia mecânica Emec do sistema, não pode variar” Este resultado é CONSERVAÇÃODA ENEGIA MECÂNICA. chamado de PRINCÍPIO DE Este princípio nos permite resolver Podemos escrever esse princípio de outra forma ∆Emec = ∆K + ∆U Problemas que seriam difíceis usando apenas as Leis de Newton. Quando a energia se conserva, podemos a soma de K e U em cada instante com aquele novo instante sem considerar o movimento intermediário e sem determinar o WR das F envolvidas.
  • 34.
    Conservação da Energia Mecânica Exemplo do princípio de conservação aplicado: Enquanto um pêndulo oscila, a energia do sistema pêndulo-terra é transferida entre K e U, com a soma K+U permanecendo constante.  Se conhecermos a Ug quando a massa do pêndulo esta no seu ponto mais alto, a equação da conservação da energia nos fornece a K do ponto mais baixo.  Vamos escolher o ponto mais baixo como ponto de referência, com U2 = 0 e no ponto mais alto U1 = 20 J. Como a massa pará momentaneamente no ponto mais alto, K1 = 0. Qual a energia no ponto mais baixo? K 2 + 0 = 0 + 20; K 2 = 20 J
  • 36.
    Interpretando uma curvade energia potencial  Consideremos uma partícula que faz parte de um sistema no qual atuam uma força conservativa. O movimento da partícula se dar ao longo de um eixo x enquanto a F conservativa realiza W sobre ela.  Podemos obter bastante informação sobre o movimento da partícula a partir do gráfico energia potencial do sistema U(x).  Vimos que se conhecemos a F(x) que atua sobre a partícula podemos encontrar a energia potencial xf ∆U = − ∫ F ( x)dx xi
  • 37.
    Interpretando uma curvade energia potencial  Queremos fazer agora o contrário; isto é, conhecemos a energia potencial U(x) e queremos determinar a força.  Para o movimento em uma dimensão, o W realizado pela força que atua sobre a partícula se move através de uma distância ∆x é F(x) ∆x. Podemos escrever ∆U = −W = − F ( x)∆x Passando ao limite diferencial dU ( x) F ( x) = − dx
  • 38.
    Interpretando uma curvade energia potencial  Verificar este resultado U(x) = ½ kx2 que é a energia potencial elástica e U(x) = mgx.  A curva de energia potencial - U versus x : podemos encontrar F medindo a inclinação da curva de U(x) em vários pontos.
  • 39.
    Interpretando uma curvade energia potencial  Pontos de retorno Na ausência da força conservativas, a energia mecânica E de um Sistema possui um valor constante dado por K ( x) + U ( x) = Emec K(x) é uma função energia cinética de uma partícula no sistema. K ( x) = Emec − U ( x) Como Emec é constante, pelo ex. anterior igual a 5 J. Portanto no ponto x5 K ( x) = 5 − 4 = 1J
  • 40.
    Interpretando uma curvade energia potencial  Pontos de Retorno  O valor de K máximo (5J) é no ponto x2 quando U(x) é mínimo. • K nunca pode ser negativo (v2), a partícula não pode se mover a para esquerda de x1, Emec – U(x) é negativo. Quando a partícula se move em direção a x1 a partir de x2, K diminui até K = 0 em x1. • Em x1 – a força é positiva (inclinação negativa). Significa que a partícula não permanece em x1, mas começa a se mover para direita, em sentido oposto ao seu movimento anterior. Portanto x1 é um PONTO DE RETORNO, um lugar onde K = 0 (pois U = E) e a partícula inverte o sentido do movimento.
  • 41.
    Interpretando uma curvade energia potencial Pontos de Equilíbrio  3 valores diferentes de Emec.  Se Emec = 4 J, o ponto de retorno mudar de x1 para um valor entre x1 e x2 .  Qualquer ponto a direita de x5, a energia mecânica do sistema é igual a U(x); portanto, K = 0 e nenhuma força atua sobre a mesma, de modo que ela precisa está em repouso. Diz-se que a partícula em tal posição está em EQUILÍBRIO NEUTRO.
  • 42.
    Interpretando uma curvade energia potencial Pontos de Equilíbrio  Se Emec = 3 J, existe dois pontos de retorno: um entre x1 e x2 e outro entre x4 e x5. Além disso x3 é um ponto onde K = 0. Se a partícula estiver neste ponto, a F = 0 e a partícula permanecerá em repouso. Se ela for ligeiramente deslocada em qualquer um dos dois sentidos, uma força não nula a empurra no mesmo sentido e a partícula continua se afastando ainda mais do ponto inicial. Uma partícula em tal posição é considerada em EQUILÍBRIO INSTÁVEL.
  • 43.
    Interpretando uma curvade energia potencial Pontos de Equilíbrio  Se Emec = 1 J. Se colocarmos em x4 ela permanecerá nesta posição. Ela não pode se mover nem para direita nem para esquerda por sua conta própria, pois seria necessário uma K negativa. Se empurramos ligeiramente para a esquerda ou para direita, aparece uma força restauradora que a faz retornar ao ponto x4. Uma partícula em tal posição é considerada em EQUILÍBRIO ESTÁVEL.
  • 44.
    Trabalho Realizado poruma Força Externa sobre um Sistema vimos: “ O W é a energia transferida PARA um sistema ou DE um sistema devido a atuação de uma força externa sobre este sistema.” Podemos extender esse conceito para uma Fext atuando sobre Um sistema. Quando a transferência de energia é PARA o sistema. Quando a transferência de energia é DO o sistema.
  • 45.
    Trabalho Realizado poruma Força Externa sobre um Sistema NA AUSÊNCIA DE ATRITO Num boliche quando você vai arremessar a bola, inicialmente você se agacha e coloca suas mãos em forma de concha por debaixo da bola sobre o peso. Depois você levanta rapidamente enquanto ao mesmo tempo puxa suas mãos bruscamente, lançando a bola para cima no nível do rosto. Durante o seu movimento para cima, a F que vc aplica realiza W, isto é, ela é uma força externa que transfere energia, mas para qual sistema?
  • 46.
    Trabalho Realizado poruma Força Externa sobre um Sistema NA AUSÊNCIA DE ATRITO Verificar quais energias se modificam: Há variação ∆K da bola, e como a bola e a terra ficaram afastada, também houve uma variação ∆Ug do sistema bola-terra. Para incluir essas variações, precisamos considerar o sistema bolaterra. Assim F é uma Fext que realiza W sobre o sistema, e o W é W = ∆K + ∆U = ∆Emec Energia equivalente para o W realizado por Fext sobre um sistema sem atrito.
  • 47.
    NA PRESENÇA DEATRITO Consideremos um sistema onde uma F horizontal constante puxa o bloco ao longo do eixo x deslocando-o por uma distância d e aumentando a velocidade do bloco de v0 para v. O bloco será nosso sistema. Aplicando a segunda lei de Newton F − f c = ma
  • 48.
    2 Como as forçassão constantes v 2 = v0 + 2ad , temos Fd = ∆K + f c d Numa situação mais geral (uma na qual o bloco esteja subindo uma rampa), pode haver uma variação na energia potencial. Para incluir tal variação, temos Fd = ∆Emec + f c d Verificamos experimentalmente que o bloco e a porção do piso ao longo do qual ele se desloca ficam aquecidos enquanto o bloco desliza. Portanto foi verificado experimentalmente que essa energia térmica é igual Portanto ∆ET = f c d W = ∆Emec + ET Trabalho realizado pelo sistema em presença de atrito.
  • 49.
    Conservação da Energia Todosos casos discutidos até agora obedecem a LEI DE CONSERVAÇÃO, que está relacionada com a energia total de um sistema. Essa energia total é a soma da energia mecânica com a térmica ou qualquer outro tipo de energia interna. “A energia total E de um sistema pode mudar apenas por quantidades de energias que são transferidas para o sistema ou delas retiradas.” O único tipo de energia de transferência de energia que consideramos e o W realizado sobre um sistema. Assim, esta lei estabelece W = ∆E = ∆Emec + ∆ET + ∆Eint A lei de conservação de energia é algo baseado em inúmeros experimentos.
  • 50.
    Conservação da Energia SISTEMAISOLADO Se um sistema está isolado de uma vizinhança, não podendo haver trocas com a vizinhança. Para este caso a lei de conservação da energia diz: “A energia total E, de um sistema isolado não pode variar.” Pode haver muitas transferências dentro do sistema; energia cinética em energia potencial ou térmica, entretanto a energia total do sistema não pode variar.
  • 51.
    Conservação da Energia Aconservação da energia pode der escrita de duas maneiras: ∆Emec + ∆ET + ∆Eint = 0 W =0 e Emec , 2 = Emec ,1 − ∆ET − ∆Eint “Em um sistema isolado, podemos relacionar a energia total em um dado instante com a energia total em outro instante sem ter que considerar as energias em tempos intermediários.”
  • 52.
    FORÇAS EXTERNAS ETRANSFERÊNCIA DE ENERGIA INTERNA Uma força externa pode mudar a K ou U de um objeto sem realizar W, isto é, sem transferir energia para o objeto. Em vez disso, é a força responsável pela transferência de energia de uma forma para outra dentro do objeto. Patinadora no gelo, inicialmente em repouso, empurra um corrimão e passa a deslizar sobre o gelo. Sua K aumenta porque o corrimão exerceu uma Fext sobre ela. No entanto a F não transfere energia para o corrimão para ela. Assim a força não realiza W sobre ela. Ao contrário a K aumenta como resultado de transferências internas a partir da energia bioquimica contida nos seus musculos.
  • 53.
    FORÇAS EXTERNAS ETRANSFERÊNCIA DE ENERGIA INTERNA Nesta situação podemos relacionar a Fext que atua sobre um objeto com a variação da energia mecânica do objeto. Durante seu empurrão e deslocamento de uma distância d, podemos considerar a aceleração constante, com velocidade variando de v0 a v e a patinadora com uma partícula desprezando o esforço de seus músculos. K − K 0 = Fd cos θ ∆K = Fd cos θ A situação também envolve uma variação na elevação do objeto, podemos incluir a energia potencial ∆K + ∆U = Fd cos θ A força do lado direito dessa Eq. não realiza W, mais é responsável pelas variações das energias.
  • 54.
    POTÊNCIA Potência é ataxa com que uma força transfere energia de uma forma para outra. “Se uma certa quantidade de energia ∆E é transferida durante um intervalo de tempo ∆t, a potência média devida à força é” Pmed ∆E = ∆t E a potencia instantânea P= dE . dt

Notas do Editor