LIPÍDIOS
Profa. Dra. Cínthia Pereira Machado Tabchoury
FOP - UNICAMP
Disciplina de Biociências I - Bioquímica
 Introdução
 Ácidos graxos
 Triacilgliceróis
 Ceras
 Lipídios de membrana
 Colesterol
 Eicosanóides
 Conceito: substâncias orgânicas
oleosas, pouco solúveis em água;
 Funções:
- reserva
- estrutura
- proteção
- reconhecimento
- atividade biológica
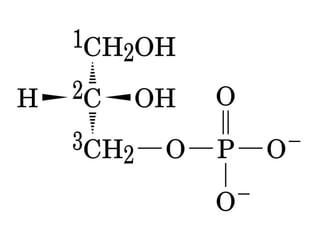
Ácidos graxos
 ácidos monocarboxílicos, contendo
grupo carboxila ionizável e uma
“cauda” hidrocarbonada;
 geralmente, no par de átomos de C;
 saturados ou insaturados;
 quanto maior o comprimento da
cadeia, maior o ponto de fusão.
Grupamento
carboxílico
Cadeia
hidrocarbonada
Ácido esteárico (18:0)
Ponto de fusão: 69,6C
Ácido oléico [18:1(9)]
Ponto de fusão: 13,4C
ácidos graxos
saturados
Mistura de ácidos graxos
saturados e insaturados
glicerol
um triacilglicerol misto
Gotículas de gordura em uma célula adiposa animal
Célula vegetal: estruturas mais escuras são proteínas
rodeadas por estoques de óleos.
gorduras naturais a 25C
Ácidos
graxos
(%
do
total)
Óleo de oliva,
líquido
Manteiga,
sólido (macio)
Gordura
bovina, sólido
 Ésteres de ácidos graxos de cadeia
longa com álcoois de cadeia longa;
 Presente na pele, cabelo, lã e folhas
de plantas;
Triacontanilpalmitato, o principal componente da cera de
abelhas, é um éster do ácido palmítico com o álcool
triacontanol
 Certas glândulas da pele dos
vertebrados secretam ceras para
proteger o cabelo e a pele e
mantê-los flexíveis, lubrificados e
à prova d’água;
 Pássaros aquáticos e plantas;
 Aplicações na indústria
farmacêutica de cosméticos.
O principal componente da cera das abelhas é um éster
do ácido palmítico com um álcool.
Construído com cera de abelhas um favo de mel é firme a
25ºC e completamente impermeável à água.
Lipídios de
armazenamento
(neutros)
Lipídios de membrana (polares)
Triacilgliceróis
Fosfolipídios
Glicerofosfolipídios Esfingolipídios Esfingolipídios
Glicolipídios
Ácidos graxos
Ácidos graxos
Ácidos graxos
Ácidos graxos
Ácidos graxos Ácidos graxos Ácidos graxos
glicerol
glicerol
esfingosina
esfingosina
Glicerofosfolipídio
(estrutura geral)
Ácido graxo saturado
(ex. ácido palmítico)
Ácido graxo insaturado
(ex. ácido oléico)
Grupo cabeça
substituinte
Fosfatidilcolina
Esfingomielina
Funções
 Define os limites externos das células
 Regula as trocas com o ambiente
 Serve como comunicação entre a célula e
seu meio ambiente
 Suporte estrutural: proteínas e junções
Constituintes
 Lipídios (bicamada) de membrana – anfipáticos
 Proteínas
 Carboidratos: glicoproteínas ou glicolipídios
Face externa
Face interna
glicolipídio
Cadeias de
ácidos graxos
não-polares
Cabeças polares
dos lipídios de
membrana
Proteína
periférica
Proteína integral
(hélice única
transmembrana
esterol
Proteína periférica
covalentemente
ligada ao lipídio
Proteína integral
(hélices múltiplas
transmembrana
Cadeias de
oligossacarídeo
da glicoproteína
Bicamada
lipídica
Cabeça
polar
Núcleo
esteroidal
Cadeia
alquila
lateral
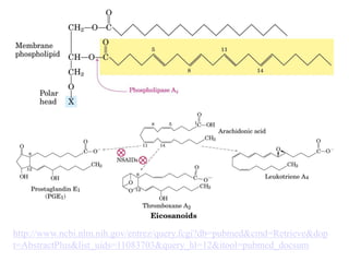
Glicerofosfolipídio
Fosfolipase A1
Fosfolipase A2
Fosfolipase C
Fosfolipase D
http://www.ncbi.nlm.nih.gov/entrez/query.fcgi?db=pubmed&cmd=Retrieve&dop
t=AbstractPlus&list_uids=11083703&query_hl=12&itool=pubmed_docsum
 Aspirina não é somente um dos medicamentos
mais bem documentados no mundo, mas também
é um dos fármacos mais frequentemente
utilizado de todos os tempos;
 Cerca de 20% da população asmática é
sensível à aspirina e outros antiinflamatórios
não-esteroidais;
 Sabe-se que os leucotrienos apresentam
efeito broncoconstritor;
 Baseado no esquema anterior com as vias
das enzimas COX (ciclooxigenase) e LO
(lipoxigenase), explique este efeito da aspirina:
Efeito
antiinflamatório
Efeito
broncoconstritor

Db110 t05 2007-lipidios