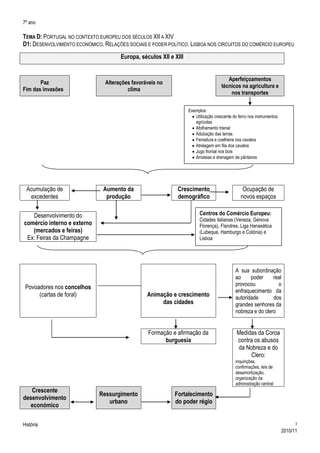
Tema C: A formação da cristandade ocidental e a expansão islâmica<br />Subtema C3: Península Ibérica: dois mundos em presença<br />41268656350711 - os Muçulmanos invadiram a Península Ibérica. Os Visigodos, que então dominavam a Península foram derrotados e empurrados para a zona montanhosa das Astúrias.<br />De uma maneira geral, os Muçulmanos foram tolerantes com as populações conquistadas. Os cristãos que permaneceram em território muçulmano e adoptaram formas de vida dos vencedores, conservando, porém, a religião cristã, são chamados moçárabes. Na Península Ibérica notava-se o contraste entre o Sul islâmico e Norte Cristão.<br />Na Península Ibérica, a civilização muçulmana deixou muitas marcas da sua presença nas ciências, nas técnicas, na arte e na cultura e até mesmo no vocabulário. <br />Alguns vestígiosAgriculturaArroz,Cana-de-açúcar,Laranjeiras, AmendoeirasetcMoinhos de água, nora.NavegaçãoAstrolábioBússolaLínguaAlgarveAlcofaEtcArteAzulejoMosaicoArcos em ferradura<br />A partir das Astúrias e dos Pirenéus, os cristãos iniciaram a ofensiva militar contra os Muçulmanos e ao alargamento do seu território para sul. Ao conjunto destas acções chama-se Reconquista.<br />A Europa cristã auxiliou os reinos cristãos da Península Ibérica no processo de Reconquista, que considerou ser uma luta cruzada contra os Infiéis.<br />Entre os cavaleiros franceses que vieram para a Península no final do século XI para ajudar Afonso VI, rei de Leão e Castela, destacaram-se D. Raimundo e D. Henrique que, como recompensa pelos serviços prestados, casaram, respectivamente com D. Urraca (filha legítima do rei) e D. Teresa (filha ilegítima do rei).<br />D. Raimundo recebeu do sogro o governo da Galiza e D. Henrique o Condado Portucalense (território entre os rios Minho e Douro).<br />Embora cumprindo os seus deveres de vassalagem para com o rei de Leão e Castela, o conde D. Henrique tentou ganhar uma maior autonomia. À sua morte (1112) D. Teresa continuou a política de independência iniciada pelo marido.<br />A sua aliança a alguns nobres galegos, não agradou à nobreza portucalense. Estes nobres opuseram-se, então, a D. Teresa e uniram-se em volta do seu filho, D. Afonso Henriques. Em 1128, o exército de D. Afonso Henriques vence o exército de sua mãe, na batalha de S. Mamede, passando D. Afonso Henriques a governar o condado.<br />D. Afonso Henriques tinha agora um duplo objectivo:<br />alargar o território para Sul, conquistando terras aos Mouros<br />conseguir a independência do condado e tornar-se rei<br />D. Afonso VII, rei de Leão e Castela, concede-lhe o título de rei e autonomia do condado em 1143, no Tratado de Zamora. A Santa Sé só viria a reconhecer esta independência em 1179, com a Bula Manifestis Probatum.<br />A conquista definitiva do Algarve, só acontecerá em 1249, no reinado de D. Afonso III. Mas as nossas fronteiras só serão fixadas com Castela, no reinado de D. Dinis, com o Tratado de Alcanises (1279).<br />Ver site: Reconquista Cristã e formação de Portugal http://www.cercifaf.org.pt/mosaico.edu/ca/swf/fund_info.swf<br />Tema D: Portugal no contexto europeu dos séculos XII a XIV<br />D1: Desenvolvimento económico. Relações sociais e poder político. Lisboa nos circuitos do comércio europeu<br />Europa, séculos XII e XIIIPazFim das invasõesAlterações favoráveis no climaAperfeiçoamentos técnicos na agricultura e nos transportesExemplos:Utilização crescente do ferro nos instrumentos agrícolasAfolhamento trienalAdubação das terrasFerradura e coelheira nos cavalosAtrelagem em fila dos cavalosJugo frontal nos boisArroteias e drenagem de pântanosAcumulação de excedentesAumento da produçãoCrescimento demográficoOcupação de novos espaçosCentros do Comércio Europeu: Cidades italianas (Veneza, Génova Florença), Flandres, Liga Hanseática (Lubeque, Hamburgo e Colónia) e LisboaDesenvolvimento do comércio interno e externo(mercados e feiras)Ex: Feiras da ChampagnePovoadores nos concelhos (cartas de foral)Animação e crescimento das cidadesA sua subordinação ao poder real provocou o enfraquecimento da autoridade dos grandes senhores da nobreza e do cleroFormação e afirmação da burguesiaMedidas da Coroa contra os abusos da Nobreza e do Clero:inquirições, confirmações, leis de desamortização, organização da administração centralCrescente desenvolvimento económicoRessurgimento urbanoFortalecimento do poder régio<br />
Subtema c3 e_d1
Subtema c3 e_d1

Subtema c3 e_d1

  • 1.
    Tema C: Aformação da cristandade ocidental e a expansão islâmica<br />Subtema C3: Península Ibérica: dois mundos em presença<br />41268656350711 - os Muçulmanos invadiram a Península Ibérica. Os Visigodos, que então dominavam a Península foram derrotados e empurrados para a zona montanhosa das Astúrias.<br />De uma maneira geral, os Muçulmanos foram tolerantes com as populações conquistadas. Os cristãos que permaneceram em território muçulmano e adoptaram formas de vida dos vencedores, conservando, porém, a religião cristã, são chamados moçárabes. Na Península Ibérica notava-se o contraste entre o Sul islâmico e Norte Cristão.<br />Na Península Ibérica, a civilização muçulmana deixou muitas marcas da sua presença nas ciências, nas técnicas, na arte e na cultura e até mesmo no vocabulário. <br />Alguns vestígiosAgriculturaArroz,Cana-de-açúcar,Laranjeiras, AmendoeirasetcMoinhos de água, nora.NavegaçãoAstrolábioBússolaLínguaAlgarveAlcofaEtcArteAzulejoMosaicoArcos em ferradura<br />A partir das Astúrias e dos Pirenéus, os cristãos iniciaram a ofensiva militar contra os Muçulmanos e ao alargamento do seu território para sul. Ao conjunto destas acções chama-se Reconquista.<br />A Europa cristã auxiliou os reinos cristãos da Península Ibérica no processo de Reconquista, que considerou ser uma luta cruzada contra os Infiéis.<br />Entre os cavaleiros franceses que vieram para a Península no final do século XI para ajudar Afonso VI, rei de Leão e Castela, destacaram-se D. Raimundo e D. Henrique que, como recompensa pelos serviços prestados, casaram, respectivamente com D. Urraca (filha legítima do rei) e D. Teresa (filha ilegítima do rei).<br />D. Raimundo recebeu do sogro o governo da Galiza e D. Henrique o Condado Portucalense (território entre os rios Minho e Douro).<br />Embora cumprindo os seus deveres de vassalagem para com o rei de Leão e Castela, o conde D. Henrique tentou ganhar uma maior autonomia. À sua morte (1112) D. Teresa continuou a política de independência iniciada pelo marido.<br />A sua aliança a alguns nobres galegos, não agradou à nobreza portucalense. Estes nobres opuseram-se, então, a D. Teresa e uniram-se em volta do seu filho, D. Afonso Henriques. Em 1128, o exército de D. Afonso Henriques vence o exército de sua mãe, na batalha de S. Mamede, passando D. Afonso Henriques a governar o condado.<br />D. Afonso Henriques tinha agora um duplo objectivo:<br />alargar o território para Sul, conquistando terras aos Mouros<br />conseguir a independência do condado e tornar-se rei<br />D. Afonso VII, rei de Leão e Castela, concede-lhe o título de rei e autonomia do condado em 1143, no Tratado de Zamora. A Santa Sé só viria a reconhecer esta independência em 1179, com a Bula Manifestis Probatum.<br />A conquista definitiva do Algarve, só acontecerá em 1249, no reinado de D. Afonso III. Mas as nossas fronteiras só serão fixadas com Castela, no reinado de D. Dinis, com o Tratado de Alcanises (1279).<br />Ver site: Reconquista Cristã e formação de Portugal http://www.cercifaf.org.pt/mosaico.edu/ca/swf/fund_info.swf<br />Tema D: Portugal no contexto europeu dos séculos XII a XIV<br />D1: Desenvolvimento económico. Relações sociais e poder político. Lisboa nos circuitos do comércio europeu<br />Europa, séculos XII e XIIIPazFim das invasõesAlterações favoráveis no climaAperfeiçoamentos técnicos na agricultura e nos transportesExemplos:Utilização crescente do ferro nos instrumentos agrícolasAfolhamento trienalAdubação das terrasFerradura e coelheira nos cavalosAtrelagem em fila dos cavalosJugo frontal nos boisArroteias e drenagem de pântanosAcumulação de excedentesAumento da produçãoCrescimento demográficoOcupação de novos espaçosCentros do Comércio Europeu: Cidades italianas (Veneza, Génova Florença), Flandres, Liga Hanseática (Lubeque, Hamburgo e Colónia) e LisboaDesenvolvimento do comércio interno e externo(mercados e feiras)Ex: Feiras da ChampagnePovoadores nos concelhos (cartas de foral)Animação e crescimento das cidadesA sua subordinação ao poder real provocou o enfraquecimento da autoridade dos grandes senhores da nobreza e do cleroFormação e afirmação da burguesiaMedidas da Coroa contra os abusos da Nobreza e do Clero:inquirições, confirmações, leis de desamortização, organização da administração centralCrescente desenvolvimento económicoRessurgimento urbanoFortalecimento do poder régio<br />