UNIVERSIDADE FEDERAL DE SERGIPE
CENTRO DE CIÊNCIAS EXATAS E TECNOLOGIA
       DEPARTAMENTO DE FÍSICA




              COLISÕES




                          Turma T5

                          Antônio Roberto Leão da Cruz

                          Douglas Bispo dos Santos

                          Juliano Almeida Perez

                          Tâmara Matos dos Santos




              SÃO CRISTÓVÃO
                   2012
UNIVERSIDADE FEDERAL DE SERGIPE
CENTRO DE CIÊNCIAS EXATAS E TECNOLOGIA
       DEPARTAMENTO DE FÍSICA




                 Relatório de laboratório apresentado à
                 Universidade Federal de Sergipe, Centro
                 de   Ciências    Exatas   e  Tecnologia,
                 Departamento de Física, como um dos pré-
                 requisitos para a conclusão da disciplina
                 Laboratório de Física A.

                 Orientador: Mário Ernesto Giroldo Valerio.




              SÃO CRISTÓVÃO
                   2012
1. INTRODUÇÃO

        Uma colisão é um evento isolado no qual dois ou mais corpos (os corpos
que colidem) exercem uns sobre os outros, forças relativamente elevadas por um
tempo relativamente curto. No dia-a-dia dizemos que uma colisão é um choque, o
contato de dois ou mais corpos. Exemplos: Acidente de automóveis, jogo de sinuca.
Contudo, não necessariamente há contato entre os corpos para haver uma colisão.
Por isso, colisão é uma interação entre partículas.
        Em uma partida de bilhar, é muito provável que os jogadores não tenham
ideia de que eles estão diante de um excelente laboratório de colisões. Durante a
partida, as bolas colidem, trocam energia e alteram o sentido dos seus movimentos
obedecendo a leis físicas. Essas leis são de caráter geral e não se restringem ao
jogo de bilhar. Elas são válidas para qualquer tipo de colisão, como por exemplo,
uma batida entre carros ou o choque de uma bolinha contra a raquete durante uma
partida de tênis.
        Quando dois corpos colidem como, por exemplo, no choque entre duas
bolas de bilhar, pode acontecer que a direção do movimento dos corpos não seja
alterada pelo choque, isto é, eles se movimentam sobre uma mesma reta antes e
depois da colisão. Quando isso acontece, dizemos que ocorreu uma colisão
unidimensional. Entretanto, pode ocorrer que os corpos se movimentem em direções
diferentes, antes ou depois da colisão. Nesse caso, a colisão é denominada
de colisão bidimensional.
        As colisões são divididas em dois grupos: as Elásticas e as Inelásticas (essa
subdivida em colisões inelásticas e perfeitamente inelásticas). A colisão inelástica
tem como característica o fato do momento linear do sistema se conservar, mas a
energia cinética do sistema não. A colisão elástica tem como propriedade o fato de
tanto o momento linear como a energia cinética do sistema se conservarem.
        O estudo de colisões envolve o conhecimento da conservação da
quantidade de movimento, o momento linear. Define-se momento linear ou
quantidade de movimento linear (P) de um corpo, como sendo o produto da massa
do mesmo pela sua velocidade:


                                   𝑃 = 𝑚𝑣       (1)
Aplicando a 2ª Lei de Newton, podemos mostrar que:


                                  𝑚𝑑 𝑣   𝑑 𝑚𝑣   𝑑𝑝
                      𝐹 = 𝑚𝑎 =         =      =                     (2)
                                   𝑑𝑡      𝑑𝑡   𝑑𝑡


Sendo 𝐹 a resultante das forças que atuam externamente sobre um corpo, podemos
afirmar então que quando esta resultante for nula, o momento do corpo deve ser
conservado. Isso significa que o momento inicial é igual ao momento final deste
mesmo. Quando há a interação entre vários corpos em um sistema, podemos definir
o momento total como:

                                    𝑃𝑖 =          𝑃𝑓        (3)


       Levando em consideração a terceira Lei de Newton, “Ação e Reação”,
sabemos que quando dois corpos interagem, as forças que neles atuam são em
cada instante iguais, com sentidos opostos. Significa que a força interna resultante
da interação entre corpos num dado sistema é sempre nula. Portanto, não
precisamos considerar tais forças no sistema, somente as forças externas terão
importância para a conservação do momento.
       Se considerarmos um sistema isolado na qual as forças externas resultantes
atuantes entre dois corpos seja igual a zero, conforme a figura abaixo, podemos
considerar a seguinte relação:




                            Figura 01: Colisão entre dois corpos.




                                           𝑃𝑖 =        𝑃𝑓

                                   𝑃1 + 𝑃2 = 𝑃′1 + 𝑃′2
                          𝑚1 . 𝑣1 + 𝑚2 . 𝑣2 = 𝑚1 . 𝑣′1 + 𝑚2 . 𝑣′2         (4)
Considerando a energia cinética total do sistema entre dois corpos que
colidem entre si, temos duas situações. A primeira ocorre quando toda a energia
cinética do sistema é conservada (ela é a mesma antes e depois da colisão) e não é
transferida para outras formas de energia. Em colisões cotidianas como em batidas
de carro, alguma energia sempre é transferida para outra forma, como a energia
sonora. Nestes casos, a energia cinética não é conservada e por isso a colisão é
conhecida como inelástica. Colisões inelásticas sempre envolvem uma perda de
energia cinética do sistema. Dentro da colisão inelástica, temos colisões
perfeitamente inelásticas, isto é, quando os dois corpos após a colisão permanecem
juntos. Nestes casos ocorre a maior perda de energia cinética do sistema. No caso
de uma colisão elástica, a soma das energias cinéticas dos corpos antes e depois da
colisão é igual, portanto:


                  1         2
                                1     2
                                         1         2
                                                       1
                    . 𝑚1 . 𝑣1 +   𝑚2 𝑣2 = . 𝑚1 . 𝑣′1 +   𝑚 𝑣′2    (5)
                  2             2        2             2 2 2


Já no caso de uma colisão perfeitamente inelástica, ou seja, quando ao final da
colisão os dois corpos se movem juntos com velocidade 𝑣′2 temos:


                             𝑚1 𝑣1 =    𝑚1 + 𝑚2 . 𝑣′2      (6)


        Para analisarmos se uma colisão é elástica, perfeitamente inelástica ou
parcialmente elástica, basta analisar o coeficiente de restituição dado por:


                                            𝑣′2 − 𝑣′1
                                       𝑒=                 (7)
                                             𝑣1 − 𝑣2


Onde: (𝑣 ′ 2 − 𝑣 ′ 1 ) = 𝑉𝑒𝑙𝑜𝑐𝑖𝑑𝑎𝑑𝑒 𝑟𝑒𝑙𝑎𝑡𝑖𝑣𝑎 𝑑𝑒 𝑎𝑓𝑎𝑠𝑡𝑎𝑚𝑒𝑛𝑡𝑜;
       (𝑣1 − 𝑣2 ) = 𝑉𝑒𝑙𝑜𝑐𝑖𝑑𝑎𝑑𝑒 𝑟𝑒𝑙𝑎𝑡𝑖𝑣𝑎 𝑑𝑒 𝑎𝑝𝑟𝑜𝑥𝑖𝑚𝑎çã𝑜.


      Se 𝑒 = 1 a colisão é perfeitamente elástica;
      Se 𝑒 = 0 não há velocidade relativa de afastamento, portanto a colisão é
       perfeitamente inelástica;
    Se 0 < 𝑒 < 1 a colisão é parcialmente elástica.
Figura 02: Colisões envolvendo bolas de sinuca.




Figura 03: Colisão que acontece no cotidiano.
2. OBJETIVOS


     Estudar colisões unidimensionais entre dois carrinhos sobre um trilho de ar;
     Calcular o coeficiente de restituição para cada colisão;
     Classificar as colisões entre os carrinhos;
     Validar o princípio de conservação do momento linear e da energia cinética.
3. MATERIAIS E MÉTODOS


          Para a realização deste experimento, foram utilizados os seguintes itens:

           Um trilho de ar;
           Dois carrinhos;
           Uma turbina para fluxo de ar (compressor);
           Acessórios para simular os tipos de colisão: dispositivos com elástico,
            agulha e massa de modelar;
           Uma câmera digital na opção filmadora com cabo de conexão para
            transferência de dados;
           Um tripé de fixação para a câmera;
           Uma balança analógica;
           Uma régua;
           Uma bancada nivelada;
           Um Computador com os Softwares Tracker e SciDAVis instalados.



Segue abaixo as Figuras 04 e 05 com o esboço do experimento:




                           Figura 04: Modelo para o arranjo experimental.
Figura 05: Imagem captada durante a realização da experiência.



       Inicialmente, foi determinada a massa dos carrinhos e sua respectiva
incerteza com o auxílio da balança analógica. Em seguida, utilizou-se a régua para
medir o comprimento dos carrinhos. Esta medida serve de referência para a análise
do movimento dos carrinhos sobre o trilho de ar no Software Tracker.
       Na sequência, conectamos a câmera ao tripé e posicionamos corretamente
o conjunto diante do trilho de ar, de maneira que a maior parte do trilho fosse
captada pela lente da câmera. Posteriormente, posicionamos os carrinhos no trilho e
gravamos os três tipos de colisão: Perfeitamente elástica, parcialmente elástica e
perfeitamente inelástica. As colisões foram obtidas de maneira que um dos carrinhos
permanecia em repouso no trilho enquanto o outro se dirigia ao seu encontro com
velocidade constante.
       Em seguida, importamos os vídeos das colisões para o Software Tracker e
os estudamos. Com a análise realizada, obtivemos sete tabelas de dados uma para
cada carrinho isolado antes e após cada um dos choques mencionados. Através das
tabelas e com o auxílio do Software SciDAVis, foi possível construir gráficos espaço
x tempo que se comportaram como retas. O coeficiente angular de tais retas revelou
a velocidade isolada dos carrinhos para cada caso.
       Finalmente, com os valores das massas dos carrinhos e de suas respectivas
velocidades em mãos, foi possível calcular a energia cinética, a quantidade de
movimentou ou momento linear e o coeficiente de restituição para cada um dos
carrinhos nos três tipos colisão em que foram submetidos. Também foram
consideradas e calculadas as incertezas envolvidas nestes cálculos.




                Figura 06: Uma das análises feitas com o auxílio do Software Tracker.
4. RESULTADOS E DISCUSSÃO


         Segue abaixo as Tabelas: 01, 02, 03 que revelam os dados obtidos e
calculados com a realização do experimento e os cálculos das incertezas
envolvidas. As demais tabelas: 04.1, 04.2, 05.1, 05.2, 06.1, 06.2 e 06.3 informam os
dados obtidos com o Software Tracker a partir das análises feitas em cada vídeo:


                          Tabela 01 - Colisão Elástica
                                Antes da colisão
                       Carro 01                              Carro 02
 Massa
                   (0,1985 ± 0,00005)                   (0,1897 ± 0,00005)
  (kg)
                (0,357748035282054 ±
 𝐯 𝒊 (m/s)        0,03564953067597)
                                                                 0
    𝐏𝐢       (0,071012985 ± 0,007076454)                         0
(kg.m/s)
  𝐄 𝐜𝐢 (J)   (0,012702378 ± 0,002531582)                         0
                               Depois da colisão
                                                      (0,369318289660739 ±
 𝐯 𝐟 (m/s)                 0
                                                      0,0391569422838531)
    𝐏𝐟                     0                       (0,07005968 ± 0,007428095)
(kg.m/s)
  𝐄 𝐜𝐟 (J)                 0                     (0,012937161 ± 0,002743325)
     e                          (1,032341909 ± 5,681650297)



                      Tabela 02 - Colisão Perfeitamente Inelástica
                                    Antes da colisão
                                      Carro 01                      Carro 02
    Massa (kg)                   (0,194 ± 0,00005)              (0,197 ± 0,00005)
         𝐯 𝒊 (m/s) (0,838014451143443 ± 0,144543616746453)              0
     𝐏 𝐢 (kg.m/s)         (0,162574804 ± 0,028041493)                   0
           𝐄 𝐜𝐢 (J)       (0,068120017 ± 0,023499157)                   0
                                    Depois da colisão
         𝐯 𝐟 (m/s)          (0,366581459448307 ± 0,0248241526421813)
    𝐏 𝐟 (kg.m/s)                     (0,143333351 ± 0,009706261)
           𝐄 𝐜𝐟 (J)                  (0,026271674 ± 0,003558131)
              e                            (0 ± 1,841975877)
Tabela 03 - Colisão Parcialmente Inelástica
                               Antes da colisão
                      Carro 01                            Carro 02
Massa
                  (0,189 ± 0,00005)                   (0,1897 ± 0,00005)
 (kg)
                (0,367746154582707 ±
 𝐯 𝒊 (m/s)       0,043279934257927)
                                                              0
    𝐏𝐢       (0,069504023 ± 0,008179928)                      0
(kg.m/s)
  𝐄 𝐜𝐢 (J)   (0,012779919 ± 0,003008131)                      0
                               Depois da colisão
                (0,0663038348247995 ±               (0,287299474268199 ±
 𝐯 𝐟 (m/s)       0,0239629357410575)                0,0175101048995673)
    𝐏𝐟       (0,012531425 ± 0,004528996)           (0,05450071 ± 0,0033217)
(kg.m/s)
  𝐄 𝐜𝐟 (J)   (0,000415441 ± 0,00030029)         (0,007829013 ± 0,00095432)
     e                        (0,60094616 ± 4,486603221)
Tabela 04.1 - Colisão Elástica para o Carro 01 (Antes)
 Tempo (t)         Incerteza (t)        Posição (x)          Incerteza (x)
      0           0,033333333                 0                 0,065
0,033333333       0,033333333          -0,008416939             0,065
0,066666667       0,033333333          -0,025250817             0,065
     0,1          0,033333333          -0,033667756             0,065
0,133333333       0,033333333          -0,043768082             0,065
0,166666667       0,033333333          -0,053868409             0,065
     0,2          0,033333333          -0,065652124             0,065
0,233333333       0,033333333          -0,080802614             0,065
0,266666667       0,033333333           -0,09090294             0,065
     0,3          0,033333333          -0,099319879             0,065
0,333333333       0,033333333          -0,116153757             0,065
0,366666667       0,033333333          -0,124570696             0,065
     0,4          0,033333333          -0,141404574             0,065
0,433333333       0,033333333            -0,1515049             0,065
0,466666667       0,033333333          -0,163288615             0,065
     0,5          0,033333333          -0,175072329             0,065
0,533333333       0,033333333          -0,186856044             0,065
0,566666667       0,033333333          -0,195272983             0,065
     0,6          0,033333333          -0,208740085             0,065
0,633333333       0,033333333            -0,2205238             0,065
0,666666667       0,033333333          -0,233990902             0,065
     0,7          0,033333333          -0,249141392             0,065
0,733333333       0,033333333          -0,255874943             0,065
0,766666667       0,033333333          -0,267658657             0,065
     0,8          0,033333333           -0,28112576             0,065
0,833333333       0,033333333          -0,294592862             0,065
0,866666667       0,033333333           -0,31142674             0,065
     0,9          0,033333333          -0,318160291             0,065
0,933333333       0,033333333          -0,331627393             0,065
0,966666667       0,033333333          -0,345094495             0,065
      1           0,033333333          -0,351828047             0,065
1,033333333       0,033333333          -0,366978537             0,065
1,066666667       0,033333333          -0,380445639             0,065
Tabela 04.2 - Colisão Elástica para o Carro 02 (Após)
 Tempo (t)        Incerteza (t)         Posição (x)         Incerteza (x)
      0           0,033333333                0                 0,065
0,033333333       0,033333333          -0,016286307            0,065
0,066666667       0,033333333          -0,029315353            0,065
     0,1          0,033333333          -0,040715769            0,065
0,133333333       0,033333333          -0,052116184            0,065
0,166666667       0,033333333          -0,063516599            0,065
     0,2          0,033333333          -0,078174276            0,065
0,233333333       0,033333333          -0,089574691            0,065
0,266666667       0,033333333          -0,104232368            0,065
     0,3          0,033333333          -0,117261414            0,065
0,333333333       0,033333333          -0,127033198            0,065
0,366666667       0,033333333          -0,143319506            0,065
     0,4          0,033333333          -0,156348552            0,065
0,433333333       0,033333333          -0,171006228            0,065
0,466666667       0,033333333          -0,182406643            0,065
     0,5          0,033333333          -0,195435689            0,065
0,533333333       0,033333333          -0,210093366            0,065
0,566666667       0,033333333          -0,228008304            0,065
     0,6          0,033333333          -0,231265566            0,065
0,633333333       0,033333333          -0,237780089            0,065
0,666666667       0,033333333          -0,255695027            0,065
     0,7          0,033333333          -0,267095442            0,065
0,733333333       0,033333333           -0,28338175            0,065
0,766666667       0,033333333          -0,288267642            0,065
     0,8          0,033333333          -0,299668057            0,065
0,833333333       0,033333333          -0,311068472            0,065
0,866666667       0,033333333          -0,322468888            0,065
     0,9          0,033333333          -0,333869303            0,065
0,933333333       0,033333333          -0,345269718            0,065
0,966666667       0,033333333          -0,359927395            0,065
      1           0,033333333          -0,368070548            0,065
Tabela 05.1 - Colisão Perfeitamente Inelástica para o Carro 01 (Antes)
 Tempo (t)           Incerteza (t)       Posição (x)          Incerteza (x)
      0             0,033333333          0,003512231             0,065
0,033333333         0,033333333         -0,021073386             0,065
0,066666667         0,033333333         -0,049171234             0,065
     0,1            0,033333333         -0,072000735             0,065
0,133333333         0,033333333         -0,100098583             0,065
0,166666667         0,033333333         -0,131708662             0,065
     0,2            0,033333333         -0,159806509             0,065
0,233333333         0,033333333         -0,187904357             0,065
0,266666667         0,033333333         -0,210733859             0,065
     0,3            0,033333333         -0,245856168             0,065
0,333333333         0,033333333         -0,275710132             0,065
0,366666667         0,033333333         -0,298539633             0,065
     0,4            0,033333333         -0,328393596             0,065
Tabela 05.2 - Colisão Perfeitamente Inelástica para Ambos os Carros (Após)
  Tempo (t)           Incerteza (t)       Posição (x)        Incerteza (x)
      0              0,033333333                0               0,065
 0,033333333         0,033333333         -0,010536693           0,065
 0,066666667         0,033333333         -0,024585617           0,065
     0,1             0,033333333         -0,038634541           0,065
 0,133333333         0,033333333         -0,047415118           0,065
 0,166666667         0,033333333         -0,061464042           0,065
     0,2             0,033333333         -0,077269081           0,065
 0,233333333         0,033333333         -0,086049659           0,065
 0,266666667         0,033333333         -0,096586352           0,065
     0,3             0,033333333         -0,110635276           0,065
 0,333333333         0,033333333         -0,126440315           0,065
 0,366666667         0,033333333         -0,138733124           0,065
     0,4             0,033333333         -0,151025932           0,065
 0,433333333         0,033333333          -0,16331874           0,065
 0,466666667         0,033333333         -0,175611549           0,065
     0,5             0,033333333         -0,186148242           0,065
 0,533333333         0,033333333         -0,201953281           0,065
 0,566666667         0,033333333         -0,210733859           0,065
     0,6             0,033333333         -0,224782782           0,065
 0,633333333         0,033333333         -0,235319475           0,065
 0,666666667         0,033333333         -0,247612284           0,065
     0,7             0,033333333         -0,258148977           0,065
 0,733333333         0,033333333         -0,277466247           0,065
 0,766666667         0,033333333         -0,286246825           0,065
     0,8             0,033333333         -0,300295748           0,065
 0,833333333         0,033333333         -0,305564095           0,065
 0,866666667         0,033333333         -0,319613019           0,065
     0,9             0,033333333         -0,330149712           0,065
 0,933333333         0,033333333         -0,344198636           0,065
 0,966666667         0,033333333          -0,36175979           0,065
      1              0,033333333         -0,368784252           0,065
 1,033333333         0,033333333         -0,375808714           0,065
 1,066666667         0,033333333         -0,388101523           0,065
     1,1             0,033333333         -0,407418793           0,065
 1,133333333         0,033333333         -0,414443255           0,065
 1,166666667         0,033333333         -0,426736064           0,065
     1,2             0,033333333         -0,440784987           0,065
 1,233333333         0,033333333         -0,454833911           0,065
 1,266666667         0,033333333         -0,461858373           0,065
     1,3             0,033333333         -0,482931759           0,065
 1,333333333         0,033333333         -0,491712337           0,065
 1,366666667         0,033333333         -0,500492914           0,065
Tabela 06.1 - Colisão Parcialmente Inelástica para o Carro 01 (Antes)
 Tempo (t)          Incerteza (t)      Posição (x)        Incerteza (x)
     0              0,033333333       0,003512231             0,065
0,033333333         0,033333333       -0,008780577            0,065
0,066666667         0,033333333       -0,022829501            0,065
    0,1             0,033333333        -0,03512231            0,065
0,133333333         0,033333333       -0,043902887            0,065
0,166666667         0,033333333       -0,061464042            0,065
    0,2             0,033333333        -0,07375685            0,065
0,233333333         0,033333333       -0,084293543            0,065
0,266666667         0,033333333       -0,091318005            0,065
    0,3             0,033333333       -0,105366929            0,065
0,333333333         0,033333333       -0,117659738            0,065
0,366666667         0,033333333       -0,128196431            0,065
    0,4             0,033333333        -0,14400147            0,065
0,433333333         0,033333333       -0,154538163            0,065
0,466666667         0,033333333       -0,166830971            0,065
    0,5             0,033333333       -0,182636011            0,065
0,533333333         0,033333333       -0,193172704            0,065
0,566666667         0,033333333       -0,203709397            0,065
    0,6             0,033333333       -0,221270551            0,065
0,633333333         0,033333333       -0,228295013            0,065
0,666666667         0,033333333       -0,244100053            0,065
    0,7             0,033333333       -0,254636746            0,065
0,733333333         0,033333333       -0,270441785            0,065
0,766666667         0,033333333       -0,279222363            0,065
    0,8             0,033333333       -0,289759056            0,065
0,833333333         0,033333333       -0,303807979            0,065
0,866666667         0,033333333       -0,316100788            0,065
    0,9             0,033333333       -0,326637481            0,065
0,933333333         0,033333333       -0,338930289            0,065
Tabela 06.2 - Colisão Parcialmente Inelástica para o Carro 02 (Após)
 Tempo (t)           Incerteza (t)       Posição (x)          Incerteza (x)
      0              0,033333333           -1,11E-16             0,065
0,033333333          0,033333333        -0,012292808             0,065
0,066666667          0,033333333         -0,01931727             0,065
     0,1             0,033333333        -0,028097848             0,065
0,133333333          0,033333333        -0,038634541             0,065
0,166666667          0,033333333          -0,0509273             0,065
     0,2             0,033333333          -0,0579518             0,065
0,233333333          0,033333333        -0,064976273             0,065
0,266666667          0,033333333          -0,0737569             0,065
     0,3             0,033333333        -0,086049659             0,065
0,333333333          0,033333333        -0,096586352             0,065
0,366666667          0,033333333        -0,112391391             0,065
     0,4             0,033333333        -0,117659738             0,065
0,433333333          0,033333333        -0,122928084             0,065
0,466666667          0,033333333        -0,135220893             0,065
     0,5             0,033333333        -0,140489239             0,065
0,533333333          0,033333333        -0,154538163             0,065
0,566666667          0,033333333         -0,16331874             0,065
     0,6             0,033333333        -0,173855433             0,065
0,633333333          0,033333333        -0,187904357             0,065
0,666666667          0,033333333        -0,194928819             0,065
     0,7             0,033333333        -0,201953281             0,065
0,733333333          0,033333333        -0,216002205             0,065
0,766666667          0,033333333        -0,223026667             0,065
     0,8             0,033333333        -0,230051129             0,065
0,833333333          0,033333333        -0,242343937             0,065
0,866666667          0,033333333        -0,249368399             0,065
     0,9             0,033333333        -0,258148977             0,065
0,933333333          0,033333333        -0,265173439             0,065
0,966666667          0,033333333        -0,277466247             0,065
      1              0,033333333        -0,289759056             0,065
1,033333333          0,033333333        -0,302051864             0,065
1,066666667          0,033333333        -0,309076326             0,065
     1,1             0,033333333        -0,319613019             0,065
1,133333333          0,033333333        -0,324881365             0,065
1,166666667          0,033333333        -0,333661943             0,065
     1,2             0,033333333        -0,351223098             0,065
1,233333333          0,033333333         -0,35824756             0,065
1,266666667          0,033333333        -0,368784252             0,065
     1,3             0,033333333        -0,375808714             0,065
1,333333333          0,033333333        -0,381077061             0,065
1,366666667          0,033333333        -0,391613754             0,065
1,4      0,033333333   -0,400394331   0,065
1,433333333   0,033333333   -0,409174909   0,065
1,466666667   0,033333333   -0,423223833   0,065
     1,5      0,033333333    -0,43200441   0,065
1,533333333   0,033333333   -0,439028872   0,065
1,566666667   0,033333333    -0,45132168   0,065
     1,6      0,033333333   -0,460102258   0,065
1,633333333   0,033333333    -0,46712672   0,065
1,666666667   0,033333333    -0,48644399   0,065
     1,7      0,033333333   -0,488200106   0,065
1,733333333   0,033333333   -0,496980683   0,065
Tabela 06.3 - Colisão Parcialmente Inelástica para o Carro 01 (Após)
 Tempo (t)           Incerteza (t)       Posição (x)          Incerteza (x)
      0              0,033333333           3,51E-03              0,065
0,033333333          0,033333333        -0,003512231             0,065
0,066666667          0,033333333        -0,005268346             0,065
     0,1             0,033333333        -0,008780577             0,065
0,133333333          0,033333333        -0,010536693             0,065
0,166666667          0,033333333        -0,014048924             0,065
     0,2             0,033333333        -0,014048924             0,065
0,233333333          0,033333333        -0,017561155             0,065
0,266666667          0,033333333        -0,024585617             0,065
     0,3             0,033333333        -0,022829501             0,065
0,333333333          0,033333333        -0,022829501             0,065
0,366666667          0,033333333        -0,024585617             0,065
     0,4             0,033333333        -0,029853963             0,065
0,433333333          0,033333333        -0,033366194             0,065
0,466666667          0,033333333         -0,03512231             0,065
     0,5             0,033333333        -0,036878425             0,065
0,533333333          0,033333333        -0,038634541             0,065
0,566666667          0,033333333        -0,038634541             0,065
     0,6             0,033333333        -0,043902887             0,065
0,633333333          0,033333333        -0,047415118             0,065
0,666666667          0,033333333        -0,045659003             0,065
     0,7             0,033333333        -0,047415118             0,065
0,733333333          0,033333333        -0,049171234             0,065
0,766666667          0,033333333        -0,050927349             0,065
     0,8             0,033333333        -0,050927349             0,065
0,833333333          0,033333333        -0,056195696             0,065
0,866666667          0,033333333        -0,057951811             0,065
     0,9             0,033333333        -0,056195696             0,065
0,933333333          0,033333333        -0,063220158             0,065
0,966666667          0,033333333        -0,063220158             0,065
      1              0,033333333        -0,066732389             0,065
1,033333333          0,033333333        -0,072000735             0,065
1,066666667          0,033333333        -0,075512966             0,065
     1,1             0,033333333        -0,075512966             0,065
1,133333333          0,033333333        -0,079025197             0,065
1,166666667          0,033333333        -0,082537428             0,065
     1,2             0,033333333        -0,084293543             0,065
1,233333333          0,033333333        -0,082537428             0,065
1,266666667          0,033333333        -0,084293543             0,065
     1,3             0,033333333        -0,086049659             0,065
1,333333333          0,033333333        -0,091318005             0,065
1,366666667          0,033333333        -0,091318005             0,065
1,4   0,033333333   -0,094830236   0,065
Estão listadas abaixo, todas as equações utilizadas nos cálculos que
envolveram o experimento:



      MÉDIA
                                                 𝑛
                                     −          𝑖=1       𝑥𝑖
                                     𝑥=
                                                 𝑛
       Geralmente, ao se realizar um experimento, várias medidas de um mesmo
objeto em questão são feitas para garantir um intervalo mais preciso da medição.
Por conseguinte, a média representa a melhor estimativa do valor real desejado.


      DESVIO PADRÃO DA MEDIDA

                                           𝑛                   − 2
                                                     𝑥𝑖 − 𝑥
                                           𝑖=1
                                𝜎=
                                                𝑛−1

       Faz-se necessário aplicar o conceito estatístico do desvio padrão da medida,
para quantificar o grau de dispersão das medidas em relação ao valor médio.


      INCERTEZA DO TIPO A
                                                  𝜎
                                         𝜎𝐴 =
                                                      𝑛

       A incerteza do Tipo A utiliza conceito estatístico que se associa ao valor
médio. É estimado pelo desvio padrão da média e ainda, se torna mais exato,
quanto maior for o número de medidas envolvidas.


      INCERTEZA DO TIPO B


       A incerteza do tipo B ou incerteza instrumental é determinada através da
resolução do equipamento utilizado para as medições. No caso de um equipamento
digital, a incerteza de tipo B equivale à menor medida possível do aparelho; para um
equipamento analógico, deve-se dividir o menor valor da escala por dois para obter
a incerteza em questão.
   INCERTEZA COMBINADA

                                        𝜎𝐶 =     𝜎𝐴   2   + 𝜎𝐵       2




       A incerteza Combinada representa o valor total das incertezas associadas às
medidas, ou seja, relaciona tanto a incerteza do Tipo A quanto a do Tipo B.


      MOMENTO LINEAR OU QUANTIDADE DE MOVIMENTO

                                               𝑃 = 𝑚𝑣


      PROPAGAÇÃO DE INCETEZAS PARA O MOMENTO LINEAR


                                        2                 2
                           𝜕𝑃                 𝜕𝑃                                2                  2
                  𝜎𝑃 =        . 𝜎           +    . 𝜎          =          𝑣𝜎 𝑚       +       𝑚𝜎 𝑣
                           𝜕𝑚 𝑚               𝜕𝑣 𝑣


      ENERGIA CINÉTICA
                                                              𝑚𝑣 2
                                                  𝐸𝑐 =
                                                              2


      PROPAGAÇÃO DE INCETEZAS PARA A ENERGIA CINÉTICA


                                    2                     2                         2
                         𝜕𝐸 𝑐             𝜕𝐸 𝑐                       𝑣2                                2
               𝜎 𝐸𝑐 =         . 𝜎       +      . 𝜎𝑣           =         𝜎               +    𝑚𝑣𝜎 𝑣
                         𝜕𝑚 𝑚             𝜕𝑣                         2 𝑚


      COEFICIENTE DE RESTITUIÇÃO


                                                      𝑣2𝑓 − 𝑣1𝑓
                                                𝑒=
                                                       𝑣1𝑖 − 𝑣2𝑖



       Onde: (𝑣2𝑓 − 𝑣1𝑓 ) = 𝑉𝑒𝑙𝑜𝑐𝑖𝑑𝑎𝑑𝑒 𝑟𝑒𝑙𝑎𝑡𝑖𝑣𝑎 𝑑𝑒 𝑎𝑓𝑎𝑠𝑡𝑎𝑚𝑒𝑛𝑡𝑜;
              (𝑣1𝑖 − 𝑣2𝑖 ) = 𝑉𝑒𝑙𝑜𝑐𝑖𝑑𝑎𝑑𝑒 𝑟𝑒𝑙𝑎𝑡𝑖𝑣𝑎 𝑑𝑒 𝑎𝑝𝑟𝑜𝑥𝑖𝑚𝑎çã𝑜.
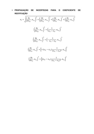
   PROPAGAÇÃO       DE      INCERTEZAS                  PARA        O            COEFICIENTE          DE
    RESTITUIÇÃO
                             2                       2                        2                    2
                   𝜕𝑒                   𝜕𝑒                     𝜕𝑒                        𝜕𝑒
         𝜎𝑒 =         . 𝜎        +         . 𝜎           +        . 𝜎             +         . 𝜎
                  𝜕𝑣2𝑓 𝑣2𝑓             𝜕𝑣1𝑓 𝑣1𝑓               𝜕𝑣1𝑖 𝑣1𝑖                  𝜕𝑣2𝑖 𝑣2𝑖


                                             2                           2
                              𝜕𝑒                         1
                                 . 𝜎             =            . 𝜎
                             𝜕𝑣2𝑓 𝑣2𝑓                𝑣1𝑖 − 𝑣2𝑖 𝑣2𝑓


                                         2                                   2
                           𝜕𝑒                        1
                              . 𝜎            = −          . 𝜎
                          𝜕𝑣1𝑓 𝑣1𝑓               𝑣1𝑖 − 𝑣2𝑖 𝑣1𝑓


                                 2                                                      2
                     𝜕𝑒                                      1
                        . 𝜎          = −(𝑣2𝑓     − 𝑣1𝑓 )                      . 𝜎 𝑣1𝑖
                    𝜕𝑣1𝑖 𝑣1𝑖                             𝑣1𝑖 − 𝑣2𝑖        2



                                 2                                                      2
                     𝜕𝑒                                          1
                        . 𝜎          = (𝑣2𝑓 − 𝑣1𝑓 )                        . 𝜎 𝑣2𝑖
                    𝜕𝑣2𝑖 𝑣2𝑖                                 𝑣1𝑖 − 𝑣2𝑖   2
A previsão teórica para o experimento informa os seguintes parâmetros:



                                Previsão Teórica
                                Colisão Elástica
       𝑷                                      𝑃𝑖 =   𝑃𝑓
       𝑬𝒄                                   𝐸 𝑐𝑖 =   𝐸 𝑐𝑓
       𝒆                                        1
                        Colisão Perfeitamente Inelástica
       𝑷                                     𝑃𝑖 = 𝑃 𝑓
       𝑬𝒄                                  𝐸 𝑐𝑖 > 𝐸 𝑐𝑓
       𝒆                                         0
                         Colisão Parcialmente Inelástica
       𝑷                                      𝑃𝑖 = 𝑃 𝑓
       𝑬𝒄                                   𝐸 𝑐𝑖 > 𝐸 𝑐𝑓
       𝒆                                    0 <e< 1



Os dados obtidos e calculados (arredondados para três casas decimais para facilitar
a visualização) para o experimento são:



                      Resultados Obtidos Experimentalmente
                                 Colisão Elástica
  𝑷 𝒊 = 𝑷 𝒇 (𝐤𝐠. 𝐦/𝐬)               0,071 ± 0,007 = 0,070 ± 0,007
      𝑬 𝒄𝒊 = 𝑬 𝒄𝒇 (𝑱)               0,013 ± 0,002 = 0,013 ± 0,003
            𝒆                                (1,032 ± 5,682)
                         Colisão Perfeitamente Inelástica
  𝑷 𝒊 = 𝑷 𝒇 (𝐤𝐠. 𝐦/𝐬)               0,162 ± 0,028 = 0,143 ± 0,010
      𝑬 𝒄𝒊 = 𝑬 𝒄𝒇 (𝑱)                0,068 ± 0,023 > 0,026 ± 0,003
            𝒆                                  (0 ± 1,842)
                         Colisão Parcialmente Inelástica
  𝑷 𝒊 = 𝑷 𝒇 (𝐤𝐠. 𝐦/𝐬)                0,069 ± 0,008 = (0,067 ± 0,006)
      𝑬 𝒄𝒊 = 𝑬 𝒄𝒇 (𝑱)                0,013 ± 0,003 > (0,008 ± 0,001)
            𝒆                                (0,601 ± 4,487)
Comparando-se os valores teóricos com os resultados encontrados na realização da
experiência, podemos afirmar que os resultados obtidos são aceitáveis e
compatíveis dentro da precisão obtida.
          Todas as colisões obtiveram conservação do momento linear conforme o
esperado. Ainda em conformidade com a teoria, para a colisão elástica houve a
conservação de energia cinética e para as colisões perfeitamente inelástica e
parcialmente inelástica, houve a perda de energia cinética.
          Poucas foram as dificuldades encontradas na realização do experimento.
Podemos citar: Nivelamento do trilho de ar e manter um dos carrinhos estático no
trilho.
5. CONCLUSÕES


       Diante do exposto, fica evidente o sucesso do experimento, uma vez que a
análise dos dados obtidos experimentalmente fornece uma interpretação condizente
com a teoria envolvida. Conseguimos reproduzir na prática, os três tipos de colisão.
Foi constatado, dentro da precisão do experimento e considerando-se um sistema
isolado, que há conservação da quantidade de movimento para os três tipos de
colisão estudados, sendo que, apenas na colisão elástica constatou-se a
conservação da energia cinética.
6. BIBLIOGRAFIA



     YOUNG H. D.,FREEDMAN R. A., SEARS F. W., ZEMANSKY M. W., Física,
      vol. 1, ed. São Paulo, 2005.

     Nicolau e Toledo, Aulas de Física 1, Mecânica, Atual Editora, Páginas: 324 à
      326, 2003.

     Serway, Raymond A. / Jr, John W. Jewett, Princípios de Física, Volume 1,
      Mecânica Clássica, Paginas: 245 à 262, 2004.

     Paulo Augusto Bisquolo, Especial para a Página 3 Pedagogia                &
      Comunicação, Choque entre dois Corpos, Disponível em:
      http://educacao.uol.com.br/fisica/colisoes-1-choque-entre-dois-corpos-
      obedecem-leis-fisicas.jhtm, acessado em 10/05/2012.

     Mentz, Luciano, Conservação do Momento Linear, disponível em:
      http://www.if.ufrgs.br/tex/fis01043/20042/Luciano/colisoes.html, acessado em
      10/05/2012.

Relatório colisões turma t5

  • 1.
    UNIVERSIDADE FEDERAL DESERGIPE CENTRO DE CIÊNCIAS EXATAS E TECNOLOGIA DEPARTAMENTO DE FÍSICA COLISÕES Turma T5 Antônio Roberto Leão da Cruz Douglas Bispo dos Santos Juliano Almeida Perez Tâmara Matos dos Santos SÃO CRISTÓVÃO 2012
  • 2.
    UNIVERSIDADE FEDERAL DESERGIPE CENTRO DE CIÊNCIAS EXATAS E TECNOLOGIA DEPARTAMENTO DE FÍSICA Relatório de laboratório apresentado à Universidade Federal de Sergipe, Centro de Ciências Exatas e Tecnologia, Departamento de Física, como um dos pré- requisitos para a conclusão da disciplina Laboratório de Física A. Orientador: Mário Ernesto Giroldo Valerio. SÃO CRISTÓVÃO 2012
  • 3.
    1. INTRODUÇÃO Uma colisão é um evento isolado no qual dois ou mais corpos (os corpos que colidem) exercem uns sobre os outros, forças relativamente elevadas por um tempo relativamente curto. No dia-a-dia dizemos que uma colisão é um choque, o contato de dois ou mais corpos. Exemplos: Acidente de automóveis, jogo de sinuca. Contudo, não necessariamente há contato entre os corpos para haver uma colisão. Por isso, colisão é uma interação entre partículas. Em uma partida de bilhar, é muito provável que os jogadores não tenham ideia de que eles estão diante de um excelente laboratório de colisões. Durante a partida, as bolas colidem, trocam energia e alteram o sentido dos seus movimentos obedecendo a leis físicas. Essas leis são de caráter geral e não se restringem ao jogo de bilhar. Elas são válidas para qualquer tipo de colisão, como por exemplo, uma batida entre carros ou o choque de uma bolinha contra a raquete durante uma partida de tênis. Quando dois corpos colidem como, por exemplo, no choque entre duas bolas de bilhar, pode acontecer que a direção do movimento dos corpos não seja alterada pelo choque, isto é, eles se movimentam sobre uma mesma reta antes e depois da colisão. Quando isso acontece, dizemos que ocorreu uma colisão unidimensional. Entretanto, pode ocorrer que os corpos se movimentem em direções diferentes, antes ou depois da colisão. Nesse caso, a colisão é denominada de colisão bidimensional. As colisões são divididas em dois grupos: as Elásticas e as Inelásticas (essa subdivida em colisões inelásticas e perfeitamente inelásticas). A colisão inelástica tem como característica o fato do momento linear do sistema se conservar, mas a energia cinética do sistema não. A colisão elástica tem como propriedade o fato de tanto o momento linear como a energia cinética do sistema se conservarem. O estudo de colisões envolve o conhecimento da conservação da quantidade de movimento, o momento linear. Define-se momento linear ou quantidade de movimento linear (P) de um corpo, como sendo o produto da massa do mesmo pela sua velocidade: 𝑃 = 𝑚𝑣 (1)
  • 4.
    Aplicando a 2ªLei de Newton, podemos mostrar que: 𝑚𝑑 𝑣 𝑑 𝑚𝑣 𝑑𝑝 𝐹 = 𝑚𝑎 = = = (2) 𝑑𝑡 𝑑𝑡 𝑑𝑡 Sendo 𝐹 a resultante das forças que atuam externamente sobre um corpo, podemos afirmar então que quando esta resultante for nula, o momento do corpo deve ser conservado. Isso significa que o momento inicial é igual ao momento final deste mesmo. Quando há a interação entre vários corpos em um sistema, podemos definir o momento total como: 𝑃𝑖 = 𝑃𝑓 (3) Levando em consideração a terceira Lei de Newton, “Ação e Reação”, sabemos que quando dois corpos interagem, as forças que neles atuam são em cada instante iguais, com sentidos opostos. Significa que a força interna resultante da interação entre corpos num dado sistema é sempre nula. Portanto, não precisamos considerar tais forças no sistema, somente as forças externas terão importância para a conservação do momento. Se considerarmos um sistema isolado na qual as forças externas resultantes atuantes entre dois corpos seja igual a zero, conforme a figura abaixo, podemos considerar a seguinte relação: Figura 01: Colisão entre dois corpos. 𝑃𝑖 = 𝑃𝑓 𝑃1 + 𝑃2 = 𝑃′1 + 𝑃′2 𝑚1 . 𝑣1 + 𝑚2 . 𝑣2 = 𝑚1 . 𝑣′1 + 𝑚2 . 𝑣′2 (4)
  • 5.
    Considerando a energiacinética total do sistema entre dois corpos que colidem entre si, temos duas situações. A primeira ocorre quando toda a energia cinética do sistema é conservada (ela é a mesma antes e depois da colisão) e não é transferida para outras formas de energia. Em colisões cotidianas como em batidas de carro, alguma energia sempre é transferida para outra forma, como a energia sonora. Nestes casos, a energia cinética não é conservada e por isso a colisão é conhecida como inelástica. Colisões inelásticas sempre envolvem uma perda de energia cinética do sistema. Dentro da colisão inelástica, temos colisões perfeitamente inelásticas, isto é, quando os dois corpos após a colisão permanecem juntos. Nestes casos ocorre a maior perda de energia cinética do sistema. No caso de uma colisão elástica, a soma das energias cinéticas dos corpos antes e depois da colisão é igual, portanto: 1 2 1 2 1 2 1 . 𝑚1 . 𝑣1 + 𝑚2 𝑣2 = . 𝑚1 . 𝑣′1 + 𝑚 𝑣′2 (5) 2 2 2 2 2 2 Já no caso de uma colisão perfeitamente inelástica, ou seja, quando ao final da colisão os dois corpos se movem juntos com velocidade 𝑣′2 temos: 𝑚1 𝑣1 = 𝑚1 + 𝑚2 . 𝑣′2 (6) Para analisarmos se uma colisão é elástica, perfeitamente inelástica ou parcialmente elástica, basta analisar o coeficiente de restituição dado por: 𝑣′2 − 𝑣′1 𝑒= (7) 𝑣1 − 𝑣2 Onde: (𝑣 ′ 2 − 𝑣 ′ 1 ) = 𝑉𝑒𝑙𝑜𝑐𝑖𝑑𝑎𝑑𝑒 𝑟𝑒𝑙𝑎𝑡𝑖𝑣𝑎 𝑑𝑒 𝑎𝑓𝑎𝑠𝑡𝑎𝑚𝑒𝑛𝑡𝑜; (𝑣1 − 𝑣2 ) = 𝑉𝑒𝑙𝑜𝑐𝑖𝑑𝑎𝑑𝑒 𝑟𝑒𝑙𝑎𝑡𝑖𝑣𝑎 𝑑𝑒 𝑎𝑝𝑟𝑜𝑥𝑖𝑚𝑎çã𝑜.  Se 𝑒 = 1 a colisão é perfeitamente elástica;  Se 𝑒 = 0 não há velocidade relativa de afastamento, portanto a colisão é perfeitamente inelástica;  Se 0 < 𝑒 < 1 a colisão é parcialmente elástica.
  • 6.
    Figura 02: Colisõesenvolvendo bolas de sinuca. Figura 03: Colisão que acontece no cotidiano.
  • 7.
    2. OBJETIVOS  Estudar colisões unidimensionais entre dois carrinhos sobre um trilho de ar;  Calcular o coeficiente de restituição para cada colisão;  Classificar as colisões entre os carrinhos;  Validar o princípio de conservação do momento linear e da energia cinética.
  • 8.
    3. MATERIAIS EMÉTODOS Para a realização deste experimento, foram utilizados os seguintes itens:  Um trilho de ar;  Dois carrinhos;  Uma turbina para fluxo de ar (compressor);  Acessórios para simular os tipos de colisão: dispositivos com elástico, agulha e massa de modelar;  Uma câmera digital na opção filmadora com cabo de conexão para transferência de dados;  Um tripé de fixação para a câmera;  Uma balança analógica;  Uma régua;  Uma bancada nivelada;  Um Computador com os Softwares Tracker e SciDAVis instalados. Segue abaixo as Figuras 04 e 05 com o esboço do experimento: Figura 04: Modelo para o arranjo experimental.
  • 9.
    Figura 05: Imagemcaptada durante a realização da experiência. Inicialmente, foi determinada a massa dos carrinhos e sua respectiva incerteza com o auxílio da balança analógica. Em seguida, utilizou-se a régua para medir o comprimento dos carrinhos. Esta medida serve de referência para a análise do movimento dos carrinhos sobre o trilho de ar no Software Tracker. Na sequência, conectamos a câmera ao tripé e posicionamos corretamente o conjunto diante do trilho de ar, de maneira que a maior parte do trilho fosse captada pela lente da câmera. Posteriormente, posicionamos os carrinhos no trilho e gravamos os três tipos de colisão: Perfeitamente elástica, parcialmente elástica e perfeitamente inelástica. As colisões foram obtidas de maneira que um dos carrinhos permanecia em repouso no trilho enquanto o outro se dirigia ao seu encontro com velocidade constante. Em seguida, importamos os vídeos das colisões para o Software Tracker e os estudamos. Com a análise realizada, obtivemos sete tabelas de dados uma para cada carrinho isolado antes e após cada um dos choques mencionados. Através das tabelas e com o auxílio do Software SciDAVis, foi possível construir gráficos espaço x tempo que se comportaram como retas. O coeficiente angular de tais retas revelou a velocidade isolada dos carrinhos para cada caso. Finalmente, com os valores das massas dos carrinhos e de suas respectivas velocidades em mãos, foi possível calcular a energia cinética, a quantidade de
  • 10.
    movimentou ou momentolinear e o coeficiente de restituição para cada um dos carrinhos nos três tipos colisão em que foram submetidos. Também foram consideradas e calculadas as incertezas envolvidas nestes cálculos. Figura 06: Uma das análises feitas com o auxílio do Software Tracker.
  • 11.
    4. RESULTADOS EDISCUSSÃO Segue abaixo as Tabelas: 01, 02, 03 que revelam os dados obtidos e calculados com a realização do experimento e os cálculos das incertezas envolvidas. As demais tabelas: 04.1, 04.2, 05.1, 05.2, 06.1, 06.2 e 06.3 informam os dados obtidos com o Software Tracker a partir das análises feitas em cada vídeo: Tabela 01 - Colisão Elástica Antes da colisão Carro 01 Carro 02 Massa (0,1985 ± 0,00005) (0,1897 ± 0,00005) (kg) (0,357748035282054 ± 𝐯 𝒊 (m/s) 0,03564953067597) 0 𝐏𝐢 (0,071012985 ± 0,007076454) 0 (kg.m/s) 𝐄 𝐜𝐢 (J) (0,012702378 ± 0,002531582) 0 Depois da colisão (0,369318289660739 ± 𝐯 𝐟 (m/s) 0 0,0391569422838531) 𝐏𝐟 0 (0,07005968 ± 0,007428095) (kg.m/s) 𝐄 𝐜𝐟 (J) 0 (0,012937161 ± 0,002743325) e (1,032341909 ± 5,681650297) Tabela 02 - Colisão Perfeitamente Inelástica Antes da colisão Carro 01 Carro 02 Massa (kg) (0,194 ± 0,00005) (0,197 ± 0,00005) 𝐯 𝒊 (m/s) (0,838014451143443 ± 0,144543616746453) 0 𝐏 𝐢 (kg.m/s) (0,162574804 ± 0,028041493) 0 𝐄 𝐜𝐢 (J) (0,068120017 ± 0,023499157) 0 Depois da colisão 𝐯 𝐟 (m/s) (0,366581459448307 ± 0,0248241526421813) 𝐏 𝐟 (kg.m/s) (0,143333351 ± 0,009706261) 𝐄 𝐜𝐟 (J) (0,026271674 ± 0,003558131) e (0 ± 1,841975877)
  • 12.
    Tabela 03 -Colisão Parcialmente Inelástica Antes da colisão Carro 01 Carro 02 Massa (0,189 ± 0,00005) (0,1897 ± 0,00005) (kg) (0,367746154582707 ± 𝐯 𝒊 (m/s) 0,043279934257927) 0 𝐏𝐢 (0,069504023 ± 0,008179928) 0 (kg.m/s) 𝐄 𝐜𝐢 (J) (0,012779919 ± 0,003008131) 0 Depois da colisão (0,0663038348247995 ± (0,287299474268199 ± 𝐯 𝐟 (m/s) 0,0239629357410575) 0,0175101048995673) 𝐏𝐟 (0,012531425 ± 0,004528996) (0,05450071 ± 0,0033217) (kg.m/s) 𝐄 𝐜𝐟 (J) (0,000415441 ± 0,00030029) (0,007829013 ± 0,00095432) e (0,60094616 ± 4,486603221)
  • 13.
    Tabela 04.1 -Colisão Elástica para o Carro 01 (Antes) Tempo (t) Incerteza (t) Posição (x) Incerteza (x) 0 0,033333333 0 0,065 0,033333333 0,033333333 -0,008416939 0,065 0,066666667 0,033333333 -0,025250817 0,065 0,1 0,033333333 -0,033667756 0,065 0,133333333 0,033333333 -0,043768082 0,065 0,166666667 0,033333333 -0,053868409 0,065 0,2 0,033333333 -0,065652124 0,065 0,233333333 0,033333333 -0,080802614 0,065 0,266666667 0,033333333 -0,09090294 0,065 0,3 0,033333333 -0,099319879 0,065 0,333333333 0,033333333 -0,116153757 0,065 0,366666667 0,033333333 -0,124570696 0,065 0,4 0,033333333 -0,141404574 0,065 0,433333333 0,033333333 -0,1515049 0,065 0,466666667 0,033333333 -0,163288615 0,065 0,5 0,033333333 -0,175072329 0,065 0,533333333 0,033333333 -0,186856044 0,065 0,566666667 0,033333333 -0,195272983 0,065 0,6 0,033333333 -0,208740085 0,065 0,633333333 0,033333333 -0,2205238 0,065 0,666666667 0,033333333 -0,233990902 0,065 0,7 0,033333333 -0,249141392 0,065 0,733333333 0,033333333 -0,255874943 0,065 0,766666667 0,033333333 -0,267658657 0,065 0,8 0,033333333 -0,28112576 0,065 0,833333333 0,033333333 -0,294592862 0,065 0,866666667 0,033333333 -0,31142674 0,065 0,9 0,033333333 -0,318160291 0,065 0,933333333 0,033333333 -0,331627393 0,065 0,966666667 0,033333333 -0,345094495 0,065 1 0,033333333 -0,351828047 0,065 1,033333333 0,033333333 -0,366978537 0,065 1,066666667 0,033333333 -0,380445639 0,065
  • 14.
    Tabela 04.2 -Colisão Elástica para o Carro 02 (Após) Tempo (t) Incerteza (t) Posição (x) Incerteza (x) 0 0,033333333 0 0,065 0,033333333 0,033333333 -0,016286307 0,065 0,066666667 0,033333333 -0,029315353 0,065 0,1 0,033333333 -0,040715769 0,065 0,133333333 0,033333333 -0,052116184 0,065 0,166666667 0,033333333 -0,063516599 0,065 0,2 0,033333333 -0,078174276 0,065 0,233333333 0,033333333 -0,089574691 0,065 0,266666667 0,033333333 -0,104232368 0,065 0,3 0,033333333 -0,117261414 0,065 0,333333333 0,033333333 -0,127033198 0,065 0,366666667 0,033333333 -0,143319506 0,065 0,4 0,033333333 -0,156348552 0,065 0,433333333 0,033333333 -0,171006228 0,065 0,466666667 0,033333333 -0,182406643 0,065 0,5 0,033333333 -0,195435689 0,065 0,533333333 0,033333333 -0,210093366 0,065 0,566666667 0,033333333 -0,228008304 0,065 0,6 0,033333333 -0,231265566 0,065 0,633333333 0,033333333 -0,237780089 0,065 0,666666667 0,033333333 -0,255695027 0,065 0,7 0,033333333 -0,267095442 0,065 0,733333333 0,033333333 -0,28338175 0,065 0,766666667 0,033333333 -0,288267642 0,065 0,8 0,033333333 -0,299668057 0,065 0,833333333 0,033333333 -0,311068472 0,065 0,866666667 0,033333333 -0,322468888 0,065 0,9 0,033333333 -0,333869303 0,065 0,933333333 0,033333333 -0,345269718 0,065 0,966666667 0,033333333 -0,359927395 0,065 1 0,033333333 -0,368070548 0,065
  • 15.
    Tabela 05.1 -Colisão Perfeitamente Inelástica para o Carro 01 (Antes) Tempo (t) Incerteza (t) Posição (x) Incerteza (x) 0 0,033333333 0,003512231 0,065 0,033333333 0,033333333 -0,021073386 0,065 0,066666667 0,033333333 -0,049171234 0,065 0,1 0,033333333 -0,072000735 0,065 0,133333333 0,033333333 -0,100098583 0,065 0,166666667 0,033333333 -0,131708662 0,065 0,2 0,033333333 -0,159806509 0,065 0,233333333 0,033333333 -0,187904357 0,065 0,266666667 0,033333333 -0,210733859 0,065 0,3 0,033333333 -0,245856168 0,065 0,333333333 0,033333333 -0,275710132 0,065 0,366666667 0,033333333 -0,298539633 0,065 0,4 0,033333333 -0,328393596 0,065
  • 16.
    Tabela 05.2 -Colisão Perfeitamente Inelástica para Ambos os Carros (Após) Tempo (t) Incerteza (t) Posição (x) Incerteza (x) 0 0,033333333 0 0,065 0,033333333 0,033333333 -0,010536693 0,065 0,066666667 0,033333333 -0,024585617 0,065 0,1 0,033333333 -0,038634541 0,065 0,133333333 0,033333333 -0,047415118 0,065 0,166666667 0,033333333 -0,061464042 0,065 0,2 0,033333333 -0,077269081 0,065 0,233333333 0,033333333 -0,086049659 0,065 0,266666667 0,033333333 -0,096586352 0,065 0,3 0,033333333 -0,110635276 0,065 0,333333333 0,033333333 -0,126440315 0,065 0,366666667 0,033333333 -0,138733124 0,065 0,4 0,033333333 -0,151025932 0,065 0,433333333 0,033333333 -0,16331874 0,065 0,466666667 0,033333333 -0,175611549 0,065 0,5 0,033333333 -0,186148242 0,065 0,533333333 0,033333333 -0,201953281 0,065 0,566666667 0,033333333 -0,210733859 0,065 0,6 0,033333333 -0,224782782 0,065 0,633333333 0,033333333 -0,235319475 0,065 0,666666667 0,033333333 -0,247612284 0,065 0,7 0,033333333 -0,258148977 0,065 0,733333333 0,033333333 -0,277466247 0,065 0,766666667 0,033333333 -0,286246825 0,065 0,8 0,033333333 -0,300295748 0,065 0,833333333 0,033333333 -0,305564095 0,065 0,866666667 0,033333333 -0,319613019 0,065 0,9 0,033333333 -0,330149712 0,065 0,933333333 0,033333333 -0,344198636 0,065 0,966666667 0,033333333 -0,36175979 0,065 1 0,033333333 -0,368784252 0,065 1,033333333 0,033333333 -0,375808714 0,065 1,066666667 0,033333333 -0,388101523 0,065 1,1 0,033333333 -0,407418793 0,065 1,133333333 0,033333333 -0,414443255 0,065 1,166666667 0,033333333 -0,426736064 0,065 1,2 0,033333333 -0,440784987 0,065 1,233333333 0,033333333 -0,454833911 0,065 1,266666667 0,033333333 -0,461858373 0,065 1,3 0,033333333 -0,482931759 0,065 1,333333333 0,033333333 -0,491712337 0,065 1,366666667 0,033333333 -0,500492914 0,065
  • 17.
    Tabela 06.1 -Colisão Parcialmente Inelástica para o Carro 01 (Antes) Tempo (t) Incerteza (t) Posição (x) Incerteza (x) 0 0,033333333 0,003512231 0,065 0,033333333 0,033333333 -0,008780577 0,065 0,066666667 0,033333333 -0,022829501 0,065 0,1 0,033333333 -0,03512231 0,065 0,133333333 0,033333333 -0,043902887 0,065 0,166666667 0,033333333 -0,061464042 0,065 0,2 0,033333333 -0,07375685 0,065 0,233333333 0,033333333 -0,084293543 0,065 0,266666667 0,033333333 -0,091318005 0,065 0,3 0,033333333 -0,105366929 0,065 0,333333333 0,033333333 -0,117659738 0,065 0,366666667 0,033333333 -0,128196431 0,065 0,4 0,033333333 -0,14400147 0,065 0,433333333 0,033333333 -0,154538163 0,065 0,466666667 0,033333333 -0,166830971 0,065 0,5 0,033333333 -0,182636011 0,065 0,533333333 0,033333333 -0,193172704 0,065 0,566666667 0,033333333 -0,203709397 0,065 0,6 0,033333333 -0,221270551 0,065 0,633333333 0,033333333 -0,228295013 0,065 0,666666667 0,033333333 -0,244100053 0,065 0,7 0,033333333 -0,254636746 0,065 0,733333333 0,033333333 -0,270441785 0,065 0,766666667 0,033333333 -0,279222363 0,065 0,8 0,033333333 -0,289759056 0,065 0,833333333 0,033333333 -0,303807979 0,065 0,866666667 0,033333333 -0,316100788 0,065 0,9 0,033333333 -0,326637481 0,065 0,933333333 0,033333333 -0,338930289 0,065
  • 18.
    Tabela 06.2 -Colisão Parcialmente Inelástica para o Carro 02 (Após) Tempo (t) Incerteza (t) Posição (x) Incerteza (x) 0 0,033333333 -1,11E-16 0,065 0,033333333 0,033333333 -0,012292808 0,065 0,066666667 0,033333333 -0,01931727 0,065 0,1 0,033333333 -0,028097848 0,065 0,133333333 0,033333333 -0,038634541 0,065 0,166666667 0,033333333 -0,0509273 0,065 0,2 0,033333333 -0,0579518 0,065 0,233333333 0,033333333 -0,064976273 0,065 0,266666667 0,033333333 -0,0737569 0,065 0,3 0,033333333 -0,086049659 0,065 0,333333333 0,033333333 -0,096586352 0,065 0,366666667 0,033333333 -0,112391391 0,065 0,4 0,033333333 -0,117659738 0,065 0,433333333 0,033333333 -0,122928084 0,065 0,466666667 0,033333333 -0,135220893 0,065 0,5 0,033333333 -0,140489239 0,065 0,533333333 0,033333333 -0,154538163 0,065 0,566666667 0,033333333 -0,16331874 0,065 0,6 0,033333333 -0,173855433 0,065 0,633333333 0,033333333 -0,187904357 0,065 0,666666667 0,033333333 -0,194928819 0,065 0,7 0,033333333 -0,201953281 0,065 0,733333333 0,033333333 -0,216002205 0,065 0,766666667 0,033333333 -0,223026667 0,065 0,8 0,033333333 -0,230051129 0,065 0,833333333 0,033333333 -0,242343937 0,065 0,866666667 0,033333333 -0,249368399 0,065 0,9 0,033333333 -0,258148977 0,065 0,933333333 0,033333333 -0,265173439 0,065 0,966666667 0,033333333 -0,277466247 0,065 1 0,033333333 -0,289759056 0,065 1,033333333 0,033333333 -0,302051864 0,065 1,066666667 0,033333333 -0,309076326 0,065 1,1 0,033333333 -0,319613019 0,065 1,133333333 0,033333333 -0,324881365 0,065 1,166666667 0,033333333 -0,333661943 0,065 1,2 0,033333333 -0,351223098 0,065 1,233333333 0,033333333 -0,35824756 0,065 1,266666667 0,033333333 -0,368784252 0,065 1,3 0,033333333 -0,375808714 0,065 1,333333333 0,033333333 -0,381077061 0,065 1,366666667 0,033333333 -0,391613754 0,065
  • 19.
    1,4 0,033333333 -0,400394331 0,065 1,433333333 0,033333333 -0,409174909 0,065 1,466666667 0,033333333 -0,423223833 0,065 1,5 0,033333333 -0,43200441 0,065 1,533333333 0,033333333 -0,439028872 0,065 1,566666667 0,033333333 -0,45132168 0,065 1,6 0,033333333 -0,460102258 0,065 1,633333333 0,033333333 -0,46712672 0,065 1,666666667 0,033333333 -0,48644399 0,065 1,7 0,033333333 -0,488200106 0,065 1,733333333 0,033333333 -0,496980683 0,065
  • 20.
    Tabela 06.3 -Colisão Parcialmente Inelástica para o Carro 01 (Após) Tempo (t) Incerteza (t) Posição (x) Incerteza (x) 0 0,033333333 3,51E-03 0,065 0,033333333 0,033333333 -0,003512231 0,065 0,066666667 0,033333333 -0,005268346 0,065 0,1 0,033333333 -0,008780577 0,065 0,133333333 0,033333333 -0,010536693 0,065 0,166666667 0,033333333 -0,014048924 0,065 0,2 0,033333333 -0,014048924 0,065 0,233333333 0,033333333 -0,017561155 0,065 0,266666667 0,033333333 -0,024585617 0,065 0,3 0,033333333 -0,022829501 0,065 0,333333333 0,033333333 -0,022829501 0,065 0,366666667 0,033333333 -0,024585617 0,065 0,4 0,033333333 -0,029853963 0,065 0,433333333 0,033333333 -0,033366194 0,065 0,466666667 0,033333333 -0,03512231 0,065 0,5 0,033333333 -0,036878425 0,065 0,533333333 0,033333333 -0,038634541 0,065 0,566666667 0,033333333 -0,038634541 0,065 0,6 0,033333333 -0,043902887 0,065 0,633333333 0,033333333 -0,047415118 0,065 0,666666667 0,033333333 -0,045659003 0,065 0,7 0,033333333 -0,047415118 0,065 0,733333333 0,033333333 -0,049171234 0,065 0,766666667 0,033333333 -0,050927349 0,065 0,8 0,033333333 -0,050927349 0,065 0,833333333 0,033333333 -0,056195696 0,065 0,866666667 0,033333333 -0,057951811 0,065 0,9 0,033333333 -0,056195696 0,065 0,933333333 0,033333333 -0,063220158 0,065 0,966666667 0,033333333 -0,063220158 0,065 1 0,033333333 -0,066732389 0,065 1,033333333 0,033333333 -0,072000735 0,065 1,066666667 0,033333333 -0,075512966 0,065 1,1 0,033333333 -0,075512966 0,065 1,133333333 0,033333333 -0,079025197 0,065 1,166666667 0,033333333 -0,082537428 0,065 1,2 0,033333333 -0,084293543 0,065 1,233333333 0,033333333 -0,082537428 0,065 1,266666667 0,033333333 -0,084293543 0,065 1,3 0,033333333 -0,086049659 0,065 1,333333333 0,033333333 -0,091318005 0,065 1,366666667 0,033333333 -0,091318005 0,065
  • 21.
    1,4 0,033333333 -0,094830236 0,065
  • 22.
    Estão listadas abaixo,todas as equações utilizadas nos cálculos que envolveram o experimento:  MÉDIA 𝑛 − 𝑖=1 𝑥𝑖 𝑥= 𝑛 Geralmente, ao se realizar um experimento, várias medidas de um mesmo objeto em questão são feitas para garantir um intervalo mais preciso da medição. Por conseguinte, a média representa a melhor estimativa do valor real desejado.  DESVIO PADRÃO DA MEDIDA 𝑛 − 2 𝑥𝑖 − 𝑥 𝑖=1 𝜎= 𝑛−1 Faz-se necessário aplicar o conceito estatístico do desvio padrão da medida, para quantificar o grau de dispersão das medidas em relação ao valor médio.  INCERTEZA DO TIPO A 𝜎 𝜎𝐴 = 𝑛 A incerteza do Tipo A utiliza conceito estatístico que se associa ao valor médio. É estimado pelo desvio padrão da média e ainda, se torna mais exato, quanto maior for o número de medidas envolvidas.  INCERTEZA DO TIPO B A incerteza do tipo B ou incerteza instrumental é determinada através da resolução do equipamento utilizado para as medições. No caso de um equipamento digital, a incerteza de tipo B equivale à menor medida possível do aparelho; para um equipamento analógico, deve-se dividir o menor valor da escala por dois para obter a incerteza em questão.
  • 23.
    INCERTEZA COMBINADA 𝜎𝐶 = 𝜎𝐴 2 + 𝜎𝐵 2 A incerteza Combinada representa o valor total das incertezas associadas às medidas, ou seja, relaciona tanto a incerteza do Tipo A quanto a do Tipo B.  MOMENTO LINEAR OU QUANTIDADE DE MOVIMENTO 𝑃 = 𝑚𝑣  PROPAGAÇÃO DE INCETEZAS PARA O MOMENTO LINEAR 2 2 𝜕𝑃 𝜕𝑃 2 2 𝜎𝑃 = . 𝜎 + . 𝜎 = 𝑣𝜎 𝑚 + 𝑚𝜎 𝑣 𝜕𝑚 𝑚 𝜕𝑣 𝑣  ENERGIA CINÉTICA 𝑚𝑣 2 𝐸𝑐 = 2  PROPAGAÇÃO DE INCETEZAS PARA A ENERGIA CINÉTICA 2 2 2 𝜕𝐸 𝑐 𝜕𝐸 𝑐 𝑣2 2 𝜎 𝐸𝑐 = . 𝜎 + . 𝜎𝑣 = 𝜎 + 𝑚𝑣𝜎 𝑣 𝜕𝑚 𝑚 𝜕𝑣 2 𝑚  COEFICIENTE DE RESTITUIÇÃO 𝑣2𝑓 − 𝑣1𝑓 𝑒= 𝑣1𝑖 − 𝑣2𝑖 Onde: (𝑣2𝑓 − 𝑣1𝑓 ) = 𝑉𝑒𝑙𝑜𝑐𝑖𝑑𝑎𝑑𝑒 𝑟𝑒𝑙𝑎𝑡𝑖𝑣𝑎 𝑑𝑒 𝑎𝑓𝑎𝑠𝑡𝑎𝑚𝑒𝑛𝑡𝑜; (𝑣1𝑖 − 𝑣2𝑖 ) = 𝑉𝑒𝑙𝑜𝑐𝑖𝑑𝑎𝑑𝑒 𝑟𝑒𝑙𝑎𝑡𝑖𝑣𝑎 𝑑𝑒 𝑎𝑝𝑟𝑜𝑥𝑖𝑚𝑎çã𝑜.
  • 24.
    PROPAGAÇÃO DE INCERTEZAS PARA O COEFICIENTE DE RESTITUIÇÃO 2 2 2 2 𝜕𝑒 𝜕𝑒 𝜕𝑒 𝜕𝑒 𝜎𝑒 = . 𝜎 + . 𝜎 + . 𝜎 + . 𝜎 𝜕𝑣2𝑓 𝑣2𝑓 𝜕𝑣1𝑓 𝑣1𝑓 𝜕𝑣1𝑖 𝑣1𝑖 𝜕𝑣2𝑖 𝑣2𝑖 2 2 𝜕𝑒 1 . 𝜎 = . 𝜎 𝜕𝑣2𝑓 𝑣2𝑓 𝑣1𝑖 − 𝑣2𝑖 𝑣2𝑓 2 2 𝜕𝑒 1 . 𝜎 = − . 𝜎 𝜕𝑣1𝑓 𝑣1𝑓 𝑣1𝑖 − 𝑣2𝑖 𝑣1𝑓 2 2 𝜕𝑒 1 . 𝜎 = −(𝑣2𝑓 − 𝑣1𝑓 ) . 𝜎 𝑣1𝑖 𝜕𝑣1𝑖 𝑣1𝑖 𝑣1𝑖 − 𝑣2𝑖 2 2 2 𝜕𝑒 1 . 𝜎 = (𝑣2𝑓 − 𝑣1𝑓 ) . 𝜎 𝑣2𝑖 𝜕𝑣2𝑖 𝑣2𝑖 𝑣1𝑖 − 𝑣2𝑖 2
  • 32.
    A previsão teóricapara o experimento informa os seguintes parâmetros: Previsão Teórica Colisão Elástica 𝑷 𝑃𝑖 = 𝑃𝑓 𝑬𝒄 𝐸 𝑐𝑖 = 𝐸 𝑐𝑓 𝒆 1 Colisão Perfeitamente Inelástica 𝑷 𝑃𝑖 = 𝑃 𝑓 𝑬𝒄 𝐸 𝑐𝑖 > 𝐸 𝑐𝑓 𝒆 0 Colisão Parcialmente Inelástica 𝑷 𝑃𝑖 = 𝑃 𝑓 𝑬𝒄 𝐸 𝑐𝑖 > 𝐸 𝑐𝑓 𝒆 0 <e< 1 Os dados obtidos e calculados (arredondados para três casas decimais para facilitar a visualização) para o experimento são: Resultados Obtidos Experimentalmente Colisão Elástica 𝑷 𝒊 = 𝑷 𝒇 (𝐤𝐠. 𝐦/𝐬) 0,071 ± 0,007 = 0,070 ± 0,007 𝑬 𝒄𝒊 = 𝑬 𝒄𝒇 (𝑱) 0,013 ± 0,002 = 0,013 ± 0,003 𝒆 (1,032 ± 5,682) Colisão Perfeitamente Inelástica 𝑷 𝒊 = 𝑷 𝒇 (𝐤𝐠. 𝐦/𝐬) 0,162 ± 0,028 = 0,143 ± 0,010 𝑬 𝒄𝒊 = 𝑬 𝒄𝒇 (𝑱) 0,068 ± 0,023 > 0,026 ± 0,003 𝒆 (0 ± 1,842) Colisão Parcialmente Inelástica 𝑷 𝒊 = 𝑷 𝒇 (𝐤𝐠. 𝐦/𝐬) 0,069 ± 0,008 = (0,067 ± 0,006) 𝑬 𝒄𝒊 = 𝑬 𝒄𝒇 (𝑱) 0,013 ± 0,003 > (0,008 ± 0,001) 𝒆 (0,601 ± 4,487)
  • 33.
    Comparando-se os valoresteóricos com os resultados encontrados na realização da experiência, podemos afirmar que os resultados obtidos são aceitáveis e compatíveis dentro da precisão obtida. Todas as colisões obtiveram conservação do momento linear conforme o esperado. Ainda em conformidade com a teoria, para a colisão elástica houve a conservação de energia cinética e para as colisões perfeitamente inelástica e parcialmente inelástica, houve a perda de energia cinética. Poucas foram as dificuldades encontradas na realização do experimento. Podemos citar: Nivelamento do trilho de ar e manter um dos carrinhos estático no trilho.
  • 34.
    5. CONCLUSÕES Diante do exposto, fica evidente o sucesso do experimento, uma vez que a análise dos dados obtidos experimentalmente fornece uma interpretação condizente com a teoria envolvida. Conseguimos reproduzir na prática, os três tipos de colisão. Foi constatado, dentro da precisão do experimento e considerando-se um sistema isolado, que há conservação da quantidade de movimento para os três tipos de colisão estudados, sendo que, apenas na colisão elástica constatou-se a conservação da energia cinética.
  • 35.
    6. BIBLIOGRAFIA  YOUNG H. D.,FREEDMAN R. A., SEARS F. W., ZEMANSKY M. W., Física, vol. 1, ed. São Paulo, 2005.  Nicolau e Toledo, Aulas de Física 1, Mecânica, Atual Editora, Páginas: 324 à 326, 2003.  Serway, Raymond A. / Jr, John W. Jewett, Princípios de Física, Volume 1, Mecânica Clássica, Paginas: 245 à 262, 2004.  Paulo Augusto Bisquolo, Especial para a Página 3 Pedagogia & Comunicação, Choque entre dois Corpos, Disponível em: http://educacao.uol.com.br/fisica/colisoes-1-choque-entre-dois-corpos- obedecem-leis-fisicas.jhtm, acessado em 10/05/2012.  Mentz, Luciano, Conservação do Momento Linear, disponível em: http://www.if.ufrgs.br/tex/fis01043/20042/Luciano/colisoes.html, acessado em 10/05/2012.