Termodinâmica I - Apêndice A-1
Tabela A-1 - Constantes Críticas
Massa molar, constante do gás e propriedades do ponto crítico
Termodinâmica I - Apêndice A-2
Tabela A-2- Calores Específicos dos gases comuns: (a) a 300 K; (b) a várias temperaturas;
(a)
(b)
Termodinâmica I - Apêndice A-3
Tabela A-2- Calores Específicos dos gases comuns: (c) como função da temperatura (cont.).
(c)
Termodinâmica I - Apêndice A-4
Tabela A-3 – Calores Específicos dos sólidos e líquidos: (a) a 25 ºC, (b) a várias
temperaturas.
(a)
(b)
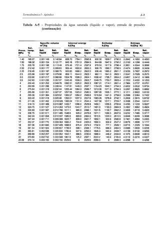
Termodinâmica I - Apêndice A-5
Tabela A-4 – Propriedades da água saturada (líquido e vapor), entrada de temperaturas
Termodinâmica I - Apêndice A-6
Tabela A-4 – Propriedades da água saturada (líquido e vapor), entrada de temperaturas
(continuação)
Termodinâmica I - Apêndice A-7
Tabela A-5 - Propriedades da água saturada (líquido e vapor), entrada de pressões
Termodinâmica I - Apêndice A-8
Tabela A-5 - Propriedades da água saturada (líquido e vapor), entrada de pressões
(continuação)
Termodinâmica I - Apêndice A-9
Tabela A-6 – Propriedades do vapor sobreaquecido
*
A temperatura em parênteses é a temperatura de saturação à referida pressão.
+
Propriedades do vapor saturado à referida pressão.
Termodinâmica I - Apêndice A-10
Tabela A-6 – Propriedades do vapor sobreaquecido (continuação)
Termodinâmica I - Apêndice A-11
Tabela A-6 – Propriedades do vapor sobreaquecido (continuação)
Termodinâmica I - Apêndice A-12
Tabela A-6 – Propriedades do vapor sobreaquecido (continuação)
Termodinâmica I - Apêndice A-13
Tabela A-7 - Propriedades do líquido comprimido ou subarrefecido
Termodinâmica I - Apêndice A-14
Tabela A-8 - Propriedades do ar como gás ideal
Termodinâmica I - Apêndice A-15
Tabela A-8 - Propriedades do ar como gás ideal (continuação)
Termodinâmica I - Apêndice A-16
Carta da Compressibilidade Generalizada – Pressões Baixas (0<PR<1,0)
Carta da Compressibilidade Generalizada – Pressões Intermédias (0<PR<7)
Termodinâmica I - Apêndice A-17
Carta da Compressibilidade Generalizada – Pressões Altas (0<PR<40)

Tabelas termodinamicas

  • 1.
    Termodinâmica I -Apêndice A-1 Tabela A-1 - Constantes Críticas Massa molar, constante do gás e propriedades do ponto crítico
  • 2.
    Termodinâmica I -Apêndice A-2 Tabela A-2- Calores Específicos dos gases comuns: (a) a 300 K; (b) a várias temperaturas; (a) (b)
  • 3.
    Termodinâmica I -Apêndice A-3 Tabela A-2- Calores Específicos dos gases comuns: (c) como função da temperatura (cont.). (c)
  • 4.
    Termodinâmica I -Apêndice A-4 Tabela A-3 – Calores Específicos dos sólidos e líquidos: (a) a 25 ºC, (b) a várias temperaturas. (a) (b)
  • 5.
    Termodinâmica I -Apêndice A-5 Tabela A-4 – Propriedades da água saturada (líquido e vapor), entrada de temperaturas
  • 6.
    Termodinâmica I -Apêndice A-6 Tabela A-4 – Propriedades da água saturada (líquido e vapor), entrada de temperaturas (continuação)
  • 7.
    Termodinâmica I -Apêndice A-7 Tabela A-5 - Propriedades da água saturada (líquido e vapor), entrada de pressões
  • 8.
    Termodinâmica I -Apêndice A-8 Tabela A-5 - Propriedades da água saturada (líquido e vapor), entrada de pressões (continuação)
  • 9.
    Termodinâmica I -Apêndice A-9 Tabela A-6 – Propriedades do vapor sobreaquecido * A temperatura em parênteses é a temperatura de saturação à referida pressão. + Propriedades do vapor saturado à referida pressão.
  • 10.
    Termodinâmica I -Apêndice A-10 Tabela A-6 – Propriedades do vapor sobreaquecido (continuação)
  • 11.
    Termodinâmica I -Apêndice A-11 Tabela A-6 – Propriedades do vapor sobreaquecido (continuação)
  • 12.
    Termodinâmica I -Apêndice A-12 Tabela A-6 – Propriedades do vapor sobreaquecido (continuação)
  • 13.
    Termodinâmica I -Apêndice A-13 Tabela A-7 - Propriedades do líquido comprimido ou subarrefecido
  • 14.
    Termodinâmica I -Apêndice A-14 Tabela A-8 - Propriedades do ar como gás ideal
  • 15.
    Termodinâmica I -Apêndice A-15 Tabela A-8 - Propriedades do ar como gás ideal (continuação)
  • 16.
    Termodinâmica I -Apêndice A-16 Carta da Compressibilidade Generalizada – Pressões Baixas (0<PR<1,0) Carta da Compressibilidade Generalizada – Pressões Intermédias (0<PR<7)
  • 17.
    Termodinâmica I -Apêndice A-17 Carta da Compressibilidade Generalizada – Pressões Altas (0<PR<40)