WILLIAM STRAFACCE SOARES
PROJETO DE AUTOMATIZAÇÃO DE ESTACIONAMENTOS
Trabalho apresentado ao curso MBA em
Gerenciamento de Projetos, Pós-Graduação lato
sensu, da Fundação Getulio Vargas como
requisito parcial para a obtenção do Grau de
Especialista em Gerenciamento de Projetos.
ORIENTADOR: Prof. André Valle
Campinas - SP
09/2015
FUNDAÇÃO GETULIO VARGAS
PROGRAMA FGV MANAGEMENT
MBA EM GERENCIAMENTO DE PROJETOS
O Trabalho de Conclusão de Curso
Projeto de Automatização de Estacionamentos
elaborado por (William Strafacce Soares)
e aprovado pela Coordenação Acadêmica do curso de MBA em Gerenciamento de Projetos,
foi aceito como requisito parcial para a obtenção do certificado do curso de pós-graduação,
nível de especialização do Programa FGV Management.
Local, Data
André Bittencourt do Valle
Coordenador Acadêmico Executivo
André Bittencourt do Valle
Professor Orientador
TERMO DE COMPROMISSO
O aluno William Strafacce Soares, abaixo assinado, do curso de MBA em Gerenciamento de
Projetos com Ênfase em TI, Turma 07 do Programa FGV Management, realizado nas
dependências da IBE-FGV Campinas, no período de 22/06/13 a 15/09/15, declara que o
conteúdo do Trabalho de Conclusão de Curso intitulado Projeto de Automatização de
Estacionamentos é autêntico, original e de sua autoria exclusiva.
Campinas, 02/06/2015
William Strafacce Soares
Dedicado a Deus e aos meus familiares por
todo apoio nos momentos de dificuldade e por
toda a dedicação prestada.
Ao Prof. orientador Me. André Bittencourt do
Valle por guiar e ajudar a produção deste
trabalho e gerir o bom andamento do curso de
MBA em Gerenciamento de Projetos com
Ênfase em TI do Programa FGV Management.
RESUMO
Palavras Chave: PMBOK, Freescale, Estacionamentos, App, Android
Com o crescente aumento da frota de veículos do estado de São Paulo é notada uma
oportunidade de atuação junto aos estacionamentos da cidade com o objetivo de auxiliar os
motoristas a encontrarem o melhor local para armazenar seus veículos temporáriamente.
Visando explorar esta oportunidade este documento tem por objetivo apresentar, em modelo
de projeto baseado na estrutura definida pelo guia PMBOK [3], as etapas necessárias para a
criação de um software inovador no mercado nacional que irá realizar o mapeamento dos
parques de estacionamento da cidade e disponibilizar esta informação para o usuário via
aplicativo para smartphones com sistema operacional Android e via portal Web.
ABSTRACT
Keywords: PMBOK, Freescale, Parking, App, Android
With the increasing vehicle fleet in the state of São Paulo is noted an opportunity of acting
along the city's parking lots with the aim of helping motorists find the best place to
temporarily store their vehicles. Aiming to exploit this opportunity this document aims to
present in project template based on the structure defined by the PMBOK [3], the steps
needed to create an innovative software in the domestic market that will perform the mapping
of the city's car parks and make this information available to the user via an app for
smartphones with Android operating system and Web portal.
AGRADECIMENTOS
Gostaria de demonstrar meus agradecimentos a todas as pessoas que fizeram parte de
meu crescimento profissional, pessoal e intelectual. Certamente não serei capaz de contemplar
a todos que fizeram parte desta conquista e deixo aqui minhas desculpas aqueles que não
foram citados.
Reverencio solenemente todos os Professores que ministraram as matérias do curso
de MBA em Gerenciamento de Projetos com Ênfase em TI do Programa FGV Management,
os quais foram capazes de apresentar uma parcela importante de sua experiência pessoal e
profissional na área e desvendar de maneira sutil e de fácil entendimento as técnicas mais
atuais e utilizadas no mercado na área de Gestão de Projetos.
Agradeço ao instituto IBE-FGV de Campinas e a todos os seus servidores, pelo
carinho e dedicação na realização de seus trabalhos e por ceder seu espaço para ajudar o
Brasil na formação de Lideres em diversas áreas de atuação e setores da economia.
Aos colegas de classe que fizeram parte deste ciclo acadêmico, que guardo boas
lembranças e espero manter contato fora do ambiente da FGV.
Aos meus familiares que me apoiaram em momentos bons e de extrema dificuldade
durante o período que estive em compromisso com a FGV.
Aos colegas da turma de Engenharia Elétrica da UNIP de Campinas que fizeram
parte deste projeto e auxiliaram com suas experiências profissionais e pessoais para a
construção deste produto desde o conceito até a produção do protótipo.
SUMÁRIO
1. INTRODUÇÃO 11
1.1.CONSIDERAÇÕES INICIAIS ...................................................................................11
2.FUNDAMENTAÇÃO TEÓRICA 12
2.1. CONSIDERAÇÕES INICIAIS ..................................................................................12
3. METODOLOGIA CIENTÍFICA 13
3.1. CONSIDERAÇÕES INICIAIS ..................................................................................13
4. PLANO DE PROJETO 14
4.1. TERMO DE ABERTURA ................................................................................14
4.2. DECLARAÇÃO DE ESCOPO.........................................................................18
4.3 ESTRUTURA ANALÍTICA DO PROJETO (EAP)........................................25
4.4. PLANO DE GERENCIAMENTO DE ESCOPO............................................33
4.5. PLANO DE GERENCIAMENTO DE TEMPO..............................................39
4.6. PLANO DE GERENCIAMENTO DE CUSTOS ............................................44
4.6. PLANO DE GERENCIAMENTO DE QUALIDADE....................................48
4.8. PLANO DE GERENCIAMENTO DE RH ......................................................66
4.9. PLANO DE GERENCIAMENTO DE COMUNICAÇÕES ..........................72
4.10. PLANO DE GERENCIAMENTO DE RISCOS ...........................................89
4.11. PLANO DE GERENCIAMENTO DE AQUISIÇÕES.................................98
4.12. PLANO DE GERENCIAMENTO DE STAKEHOLDERS.......................103
5. CONCLUSÕES 113
6. REFERÊNCIAS BIBLIOGRÁFICAS 114
LISTA DE FIGURAS E TABELAS
Figura 1 - Processos PMBOK® 5 [3]..................................................................................................13
Figura 2 - Mapa mental de requisitos do cliente. ..............................................................................20
Figura 3 - Estrutura Análitica do Projeto (EAP). .............................................................................25
Figura 4 - Fluxograma de controle do gerenciamento de mudanças de escopo. ............................37
Figura 5 - Fluxograma de controle do gerenciamento de mudanças de prazos. ............................41
Figura 6 - Fluxograma de controle de gerenciamento de mudanças de quesitos de qualidade. ...64
Figura 7 - Organograma do projeto...................................................................................................67
Figura 8 - Matriz de análise de partes interessadas..........................................................................79
Figura 9 - Exemplo de relatório de Status Report. ...........................................................................87
Figura 10 - Estrutura Análitica de RIscos (EAR). ............................................................................91
Figura 11 - Gráfico de Riscos x Exposição.........................................................................................93
Figura 12 - Fluxograma de controle do gerenciamento de mudanças de riscos.............................94
Figura 13 - Matriz de análise de poder, proximidade e urgência das partes interessadas..........107
Tabela 1 - Cronograma de entregas macro do projeto.....................................................................16
Tabela 2 - Time do projeto ..................................................................................................................18
Tabela 3 - Plano de entregas macro do projeto.................................................................................24
Tabela 4 - Fator de avaliação de fornecedor de serviços de host.....................................................35
Tabela 5 - Prioridades de mudança de escopo...................................................................................36
Tabela 6 - Priorização das mudanças de escopo................................................................................36
Tabela 7 - Prioridades de mudança de prazos...................................................................................40
Tabela 8 - Priorização das mudanças de prazos................................................................................41
Tabela 9 - Autonomias das reservas de contingência........................................................................46
Tabela 10 - Priorização dos cliente.....................................................................................................50
Tabela 11 - Priorização das necessidades cliente 1............................................................................52
Tabela 12 - Priorização das necessidades cliente 2............................................................................53
Tabela 13 - Priorização das necessidades cliente 3............................................................................54
Tabela 14 - Priorização das necessidades cliente 4............................................................................55
Tabela 15 - Priorização das necessidades cliente 5............................................................................56
Tabela 16 - Priorização balanceada das necessidades. .....................................................................58
Tabela 17 - Quadro sintético das necessidades..................................................................................61
Tabela 18 - Prioridades das mudanças nos quesitos de qualidade. .................................................63
Tabela 19 - Priorização das mudanças nos quesitos de qualidade...................................................63
Tabela 20 - Time do projeto. ...............................................................................................................67
Tabela 21 - Matriz RACI.....................................................................................................................68
Tabela 22 - Registro de partes interessadas 1....................................................................................73
Tabela 23 - - Registro de partes interessadas 2.................................................................................74
Tabela 24 - Registro de partes interessadas 3....................................................................................75
Tabela 25 - Registro de partes interessadas 4....................................................................................76
Tabela 26 - Registro de partes interessadas 5....................................................................................77
Tabela 27 - Registro de partes interessadas 6....................................................................................78
Tabela 28 - Estratégia de gerenciamento de partes interessadas.....................................................83
Tabela 29 - Matriz 5W2H do processo de comunicação...................................................................86
Tabela 30 - Matriz de exposição ao risco. ..........................................................................................92
Tabela 31 - Matriz de registro de riscos.............................................................................................93
Tabela 32 - Matriz de respostas aos riscos.........................................................................................95
Tabela 33 - Reservas de contingência.................................................................................................96
Tabela 34 - Critérios de avaliação de cotações e propostas 1...........................................................99
Tabela 35 - Critérios de avaliação de cotações e propostas 2.........................................................100
Tabela 36 - Critérios de avaliação de cotações e propostas 3.........................................................100
Tabela 37 - Identificação das partes interessadas. ..........................................................................104
Tabela 38 - Priorização das partes interessadas..............................................................................106
Tabela 39 - Prioridade das partes interessadas...............................................................................106
Tabela 40 - Plano de engajamento das partes interessadas............................................................109
Tabela 41 - Plano de comunicação com as partes interessadas......................................................111
11
1. INTRODUÇÃO
1.1. Considerações iniciais
O sistema de transito brasileiro vem sofrendo cada vez mais com o aumento
exagerado e mal planejado da frota de veículos circulantes nas regiões metropolitanas, como
as grandes capitais e os grandes centros comerciais do país. Nota-se claramente na região da
grande São Paulo a grande dificuldade em se locomover com segurança e a crescente falta de
parques de estacionamentos para veículos particulares. Notando essa oportunidade este
projeto tem como objetivo principal explorar esta dificuldade propondo uma solução
inovadora no mercado nacional e capaz de auxiliar o motorista a encontrar locais para
estacionar seu veículo antes mesmo de se locomover para a região de interesse, podendo
assim planejar seus gastos, escolher o local que mais lhe agrade, aproveitar os serviços
oferecidos pelos parques de estacionamentos e, principalmente, saber com antecedência se
existe ou não vagas disponíveis, evitando maiores transtornos e gastos na procura de um
estacionamento que não esteja lotado. Ao decorrer deste documento apresentaremos um plano
para desenvolvimento deste software inovador, planejamento de atividades, valores de
investimentos financeiros, estimativas de tempo, principais partes interessadas no projeto e
diversos planos de ações que tem por objetivo auxiliar o sucesso da proposta e do produto do
projeto.
12
2. FUNDAMENTAÇÃO TEÓRICA
2.1. Considerações iniciais
A premissa de estudo deste trabalho foi baseada no guia Project Management Body
of Knoledge (PMBOK) edição 5 [3], nos conceitos de gestão de projetos difundidos pelo
Project Management Institute (PMI) [5], no material de estudos fornecidos pela afiliada da
Fundação Getúlio Vargas (FGV), Institute Business Education (IBE), e nas trocas de
experiências, dinâmicas, orientações e trabalhos realizados em sala de aula.
Segundo o guia PMBOK edição 5 a definição de um projeto é “[...] Todo
empreendimento temporário, elaborado progressivamente, com um propósito de criar um
produto ou serviço único” [3].
O guia PMBOK edição 5 define a gestão de projetos como “[...] Gerência de Projetos
é a aplicação de conhecimentos, habilidades, ferramentas e técnicas com o objetivo de atender
os requisitos do projeto” [3].
Baseado nesses conceitos é desenvolvido por este trabalho acadêmico um plano de
projeto com o objetivo de exemplificar todos os planos de gestão das 10 áreas de
conhecimento de maneira objetiva e direta.
13
3. METODOLOGIA CIENTÍFICA
3.1. Considerações iniciais
Este trabalho foi elaborado com base nas considerações do guia PMBOK edição 5
[3] que divide o gerenciamento de projetos em 5 grupos de processos e 47 processos
distribuídos em 10 áreas de conhecimento, de acordo com a figura apresentada a baixo:
Figura 1 - Processos PMBOK® 5 [3]
Ao longo deste trabalho acadêmico serão demonstradas técnicas aprendidas na
academia e haverá a tentativa de interligação com a realidade dos projetos desenvolvidos no
Brasil.
14
4. PLANO DE PROJETO
4.1. Termo de abertura
Projeto de Automatização de Estacionamentos
TERMO DE ABERTURA
PROJECT CHARTER
Preparado por William Strafacce Soares Versão 1.0
Aprovado por André Bittencourt do Valle 02/06/2015
Projeto de Automatização de Estacionamentos
Este projeto será desenvolvido em ambiente acadêmico, com inicio previsto em
01/06/2015 e termino até 15/09/15, com objetivo de criar um protótipo nacional de app
Android e estrutura física de coleta de dados, como sensores, centrais de armazenamento de
dados locais, servidores centrais, entre outros, a um custo, ao parque contratante do serviço de
localização de estacionamentos, de aproximadamente 10% da taxa de estacionamento cobrada
ao usuário, cadastrado na app, que utilizar dos serviços do parque para estacionar seu veículo.
Estes produtos visam solucionar os problemas atuais relacionados à busca de locais seguros
para estacionar veículos em grandes centros metropolitanos e dificuldade em descobrir o
número de vagas livres em estacionamentos de lugares movimentados, como shopping centre,
supermercados, entre outros.
O gerente de projeto elegido para coordenar as atividades deste projeto é o Sr.
William Strafacce Soares, graduado em Análise e Desenvolvimento de Sistemas, pela UTFPR
e pós-graduado em Gerenciamento de Projetos pela FGV. Possui ampla experiência em
projetos de ERP na área da saúde e desenvolvimento de Webservices em ambientes
coorporativos.
Este documento da autônima ao gerente de projeto de:
 Utilizar até 5% do budget do projeto custear treinamento ao time do projeto;
 Selecionar os recursos necessários junto à agenda de recursos do RH;
15
 Contratar até 2 recursos de níveis pleno e sênior que julgar necessário;
 Desalocar, a titulo de urgência, recursos de nível sênior de outros projetos por até
16 h mediante formalização via e-mail ao responsável do projeto em questão;
 Aprovar diretamente mudanças de escopo que represente impacto de no máximo
10% de variação de tempo do projeto, mediante a formalização via documento de análise de
impacto de mudança;
 Aprovar diretamente mudanças de escopo que represente impacto de no máximo
5% de variação de custo do projeto, mediante a formalização via documento de análise de
impacto de mudança;
 Utilizar até 7% do budget do projeto para custear viagens não planejadas para
realizar alinhamento de requisitos com cliente mediante a apresentação e-mail de confirmação
de agendamento de reunião;
 Bonificar time de projeto por entregas realizadas dentro do definido nos
documentos de escopo, tempo, custo e qualidade, através de happy hour ou folga programada
devido avaliação por meritocracia.
 Utilizar até 2% do budget do projeto para custear horas extras do time do projeto;
Fica sob-responsabilidade do gerente de projetos as atividades de:
 Reportar ao Sponsor do projeto o status do projeto uma vez ao mês ou sempre
que for requisitado;
 Reportar ao comitê de integração de mudanças solicitações de mudanças que
ultrapassem seu nível de autoridade de aprovação;
 Avaliar a qualidade dos produtos gerados;
 Acompanhar as atividades do projeto e dar suporte ao time de projeto com
relação a qualquer duvida de escopo;
 Dar voto de minerva em qualquer ponto de discórdia da equipe do projeto;
16
 Apresentar análise de valor agregado e curvas S do projeto, em reunião com
Sponsor ou representante que será realizada todas as sextas-feiras às 14:30 h, na sala de
reunião 1 da empresa;
 Realizar analise de impacto de mudança junto ao time do projeto;
Para realizar este projeto será necessário realizar um treinamento básico de
desenvolvimento Android para uma introdução as palavras chaves, estrutura de objetos,
classes, padrões de desenvolvimento de mercado e conhecimento de IDE de desenvolvimento.
Como produto deste projeto espera-se uma app Android que rode em Android 2.3 ou
superior e seja capaz de realizar consultas em estacionamentos cadastrados em torno de um
determinado endereço com visualização em mapa e destaque à localização do usuário.
Também se espera obter uma estrutura de hardware capaz de monitorar o ambiente do parque
de estacionamento e atualizar um servidor central fornecedor dos serviços de interação entre a
app e o usuário.
Entregas Macros Jun/2015 Jul/2015 Ago/2015 Set/2015
Definição de Hardware X
Webservice X
App Android X
Hardware X
Encerramento do Projeto X
Tabela 1 - Cronograma de entregas macro do projeto.
Estima-se que este projeto apresentará um custo de no máximo $ 15.000,00
Para que seja possível realizar as atividades deste projeto serão necessários os
seguintes equipamentos:
 1 Notebook;
 1 Kit de desenvolvimento do processador;
17
E os seguintes recursos:
 1 Especialista Andoid/JAVA;
 1 Especialista em Hardware;
 1 Especialista em C e programação de Firmware;
Este projeto deve ser considerado um projeto isolado onde deve-se haver uma equipe
comercial que deverá prospectar parceiros que apoiem financeiramente o projeto para que este
possa evoluir de versão beta (protótipo) para uma versão 1.0 (piloto).
As informações digitais do projeto serão armazenadas em repositório SVN local e
google drive. A versão final do documento deverá ser impressa, seguindo os padrões
estabelecidos pela norma ABNT para trabalhos acadêmicos, e armazenado no repositório de
TCC da IBE-FGV.
REGISTRO DE ALTERAÇÕES
Data Modificado por Descrição da mudança
06/02/2015 William Strafacce Soares Revisão 1.0
APROVAÇÕES
André Bittencourt do Valle
– Coordenador Acadêmico
Executivo
06/02/2015
18
4.2. Declaração de escopo
Projeto de Automatização de Estacionamentos
DECLARAÇÃO DE ESCOPO
SCOPE STATEMENT
Preparado por William Strafacce Soares Versão 1.0
Aprovado por André Bittencourt do Valle 03/06/2015
Time do Projeto
William Strafacce Soares
Gerente de Projetos
Rafael Alexandre de Oliveira
Engenheiro Elétrico/Hardware
Adriano Silva
Engenheiro Elétrico/Comercial
Tabela 2 - Time do projeto
Descrição do Projeto
Este projeto foi proposto pelo time de engenheiros formandos do curso de engenharia
da UNIP Campinas – SP, como trabalho de conclusão de curso, visando solucionar atuais
problemas de busca de vagas em parques de estacionamento por condutores de veículos de
passeio, como carros e motos, uma vez que a cidade de São Paulo – SP possuía 7,6 milhões
veículos registrados, em fevereiro de 2013, segundo reportagem publicada no site G1 [1], o
que torna cada vez mais crescente a dificuldade de se encontrar um lugar para se estacionar
um veículo na cidade. Este projeto visa criar uma solução nacional, semelhante ao Smart
Parking [2], que atua em algumas regiões da europa, capaz de monitorar em tempo real o
status das vagas oferecidas por um parque de estacionamento, via pública, zona azul, entre
outras, e apresentar ao usuário da App as opções de vagas que ele possui em um raio de 1 km
de sua localização, atual ou futura em caso de deslocamentos, com valores atualizados e
serviços oferecidos pelo parque, o que permitirá ao usuário prever ou buscar um local
próximo a ele para que possa estacionar com as condições desejadas.
19
Objetivo do projeto
O objetivo principal deste projeto é desenvolver uma App Android integrada a uma
estrutura de servidores, local e central, capaz de oferecer serviços informatizados que
atualizem as informações sobre os parques de estacionamento cadastrados em tempo real.
Como objetivos secundários estão:
 As pesquisas não podem levar mais que 5 s em banda 3G;
 O aplicativo deve acessar a localização do aparelho;
 O usuário não precisa se cadastrar para ter acesso às informações;
 O servidor central deverá autenticar a conexão com o servidor local do cliente
cadastrado (parque de estacionamento) via certificado digital;
 Deverá haver espaço para publicidade na App;
Justificativa do projeto
O aumento da circulação de veículos em grandes centros metropolitanos faz com que
haja uma necessidade crescente por locais reservados para estacionar veículos em lugares de
grande trafego, como por exemplo centros comerciais, onde fica cada vez mais difícil
encontrar lugar para se estacionar um veículo com segurança, preço acessível e localização
estratégica, o que causa uma perda de tempo aos condutores, multas por estacionar em locais
proibidos, entre outros transtornos. Segundo o G1 [1], hoje somente na cidade de São Paulo –
SP existem em média 1 carro a cada dois habitantes. Isto faz com que se surja uma grande
oportunidade de criar uma solução que seja capaz de orientar e indicar aos condutores de
veículos quais são os locais mais proximos a ele que oferecem serviços de estacionamento,
apontar valores, visualizar e avaliar o local escolhido, entre outras funcionalidades. Visando
esta oportunidade, é proposto neste projeto a criação de uma solução comercial de App
Android que seja capaz de atualizar em tempo real a disponibilidade de vagas dos parques de
estacionamento cadastrados, dispondo aos usuários da app todas as informações sobre uma
determinada empresa fornecedora de serviços de estacionamento e auxiliar na tomada de
decisão de onde estacionar seu veículo no endereço de destino.
20
Produto do projeto
Como produto deste projeto espera-se uma app Android que rode em Android 2.3 ou
superior e seja capaz de realizar consultas em estacionamentos cadastrados em torno de um
determinado endereço com visualização em mapa e destaque à localização do usuário.
Também espera-se obter uma estrutura de hardware capaz de monitorar o ambiente do parque
de estacionamento e atualizar um servidor central fornecedor dos serviços de interação entre a
app e o usuário.
Expectativa do cliente
Mapa de requisitos:
Figura 2 - Mapa mental de requisitos do cliente.
Fatores de sucesso do projeto
 Hardware a custo baixo:
 Sensor com custo de até $5,00;
21
 Central com custo de até $ 150,00;
 Custo de alocação de servidor de até $ 100,00;
 Estar presente nos maiores estacionamentos da cidade de São Paulo – SP;
 Estar presente nos estacionamentos dos shoppings da cidade;
 Ter no mínimo 500 mil usuários;
Restrições
 Custo de desenvolvimento de até $ 15.000,00;
 Tempo de desenvolvimento de até 4 meses;
Premissas
 Desenvolvimento de protótipo em ambiente acadêmico;
 Desenvolvido em parceria com 1 estacionamento piloto;
 Ambiente de homologação em computadores pessoais;
Exclusões específicas
 Design de portal web;
Principais atividades e estratégias do projeto
Engenharia:
 Modelar hardware: analise de make or buy – estratégia de menor custo;
 Produzir hardware: solicitar hardware com maior antecedência possível –
estratégia de menor tempo;
TI:
 Modelar App: analise de consumo de memória do smartphone – estratégia de
otimização de desempenho;
22
 Selecionar serviço de host em nuvem: analise de melhor custo benefício –
estratégia de menor custo;
 Otimizar servidor: utilizar técnicas de melhoria de desempenho de consultas via
webservice – estratégia de otimização de desempenho;
 Otimizar servidor: utilizar técnicas de compressão de dados – estratégia de menor
custo;
Comercial:
 Fechar parceiros comerciais: prospectar possíveis clientes parceiros para aplicar
projeto piloto – estratégia de visibilidade antecipada;
Marketing:
 Divulgar marca: utilização de mídias digitais e sites de parceiros – estratégia de
projeção de marketing;
Entregas do projeto
 Software:
 Firmware;
 App Android;
 Portal Web;
 Webservice;
 Hardware:
 Sensor;
 Central de controle;
 Host;
 Viabilidade de negócio:
 Aquisições;
23
 Projeto piloto;
 Documentação
 Plano de gerenciamento de Projeto;
 Manuais;
Orçamento do projeto
 Utilizar até 5% do budget do projeto custear treinamento ao time do projeto;
 Custo do projeto pode variar até +-5%;
 Utilizar até 7% do budget do projeto para custear viagens não planejadas;
 Utilizar até 2% do budget do projeto para custear horas extras do time do projeto;
 Utilizar até 26% do budget do projeto para custear estratégia de riscos adotada;
Plano de entregas e marcos do projeto
Entrega Descrição Término
Software Firmware – programação de CPU capaz de
interpretar o estado dos sensores, ON/OFF, e
enviar ao servidor
17/09/2015
App Android – aplicativo android de interação
com o usuário
26/08/2015
Portal Web – sistema web para gestão de
clientes e web site
17/08/2015
Webservice – serviços Web para gerenciamento
de dados
09/07/2015
Hardware Sensor – equipamento de monitoria de ocupação
de vagas
11/09/2015
24
Central de Controle – CPU responsável por
interpretar os dados enviados pelo sensor e
atualizar a base de dados via WebService
09/09/2015
Host – servidores responsáveis por alocar os
serviços web, portal web e base de dados
30/09/2015
Viabilidade de
Negócio
Aquisições - comprar todos os equipamentos
que viabilizam o desenvolvimento dos protótipos
de hardware e software
24/08/2015
Projeto piloto - prospectar parceiros de negócios
que invistam no projeto e/ou aceitem ser um
CASE em fase de homologação
25/09/2015
Documentação Plano de gerenciamento do projeto –
documentação do projeto
26/06/2015
Manuais – manuais de utilização dos produtos
do projeto
05/10/2015
Tabela 3 - Plano de entregas macro do projeto.
REGISTRO DE ALTERAÇÕES
Data Modificado por Descrição da mudança
03/06/2015 William Strafacce Soares Revisão 1.0
APROVAÇÕES
André Bittencourt do Valle
– Coordenador Acadêmico
Executivo
Data
03/06/2015
25
4.3. Estrutura analítica do projeto (EAP)
Figura 3 - Estrutura Análitica do Projeto (EAP).
26
Projeto de Automatização de Estacionamentos
DICIONÁRIO DA EAP
Pacote: 1.1.1 Firmware
Preparado por William Strafacce Soares Versão: 1.0
Aprovado por André Bittencourt do Valle 10/06/2015
Informações básicas
Código EAP 1.1.1
Responsável William Strafacce Soares
Prazo estimado 17/09/2015
Custo estimado $ 800,00
Principais tarefas a serem realizadas
 Desenvolver interação com sensores;
 Desenvolver redundância de conexão com a internet;
 Desenvolver conexão com WebService;
 Testar firmware;
Recursos previstos
 William Strafacce Soares;
 Rafael Alexandre de Oliveira;
27
Predecessores principais do pacote de trabalho
 WebService;
 Aquisições;
 Plano de gerenciamento do projeto;
Sucessoras principais do pacote de trabalho
 Manuais;
Riscos associados ao pacote
 Baixa performance na atualização dos dados;
Projeto de Automatização de Estacionamentos
DICIONÁRIO DA EAP
Pacote: 1.1.2 App Android
Preparado por William Strafacce Soares Versão: 1.0
Aprovado por William Strafacce Soares 10/06/2015
Informações básicas
Código EAP 1.1.2
Responsável William Strafacce Soares
Prazo estimado 26/08/2015
Custo estimado $ 725,00
28
Principais tarefas a serem realizadas
 Desenvolver sistema de busca;
 Desenvolver sistema de avaliação;
 Desenvolver conexão com WebService;
 Testar App;
Recursos previstos
 William Strafacce Soares;
 Rafael Alexandre de Oliveira;
Predecessores principais do pacote de trabalho
 WebService;
 Plano de gerenciamento do projeto;
Sucessoras principais do pacote de trabalho
 Manuais;
Riscos associados ao pacote
 Baixa performance na busca por estacionamentos;
Projeto de Automatização de Estacionamentos
DICIONÁRIO DA EAP
Pacote: 1.1.3 Portal Web
Preparado por William Strafacce Soares Versão: 1.0
Aprovado por William Strafacce Soares 10/06/2015
29
Informações básicas
Código EAP 1.1.3
Responsável William Strafacce Soares
Prazo estimado 17/08/2015
Custo estimado $ 1420,00
Principais tarefas a serem realizadas
 Criar identidade visual;
 Criar área do cliente;
 Criar área do administrador;
 Desenvolver conexão com WebService;
 Testar funcionalidades dos portal;
Recursos previstos
 William Strafacce Soares;
 Rafael Alexandre de Oliveira;
Predecessores principais do pacote de trabalho
 WebService;
 Documentação;
Sucessoras principais do pacote de trabalho
 Manuais;
Riscos associados ao pacote
30
 Portal ficar fora do ar;
 Não conectar ao WebService durante uma operação;
Projeto de Automatização de Estacionamentos
DICIONÁRIO DA EAP
Pacote: 1.1.4 WebService
Preparado por William Strafacce Soares Versão: 1.0
Aprovado por William Strafacce Soares 10/06/2015
Informações básicas
Código EAP 1.1.4
Responsável William Strafacce Soares
Prazo estimado 09/07/2015
Custo estimado $ 475,00
Principais tarefas a serem realizadas
 Modelar banco de dados;
 Desenvolver entidades;
 Desenvolver serviços;
 Testar WebService;
Recursos previstos
 William Strafacce Soares;
 Rafael Alexandre de Oliveira;
31
Predecessores principais do pacote de trabalho
 Plano de gerenciamento do Projeto;
Sucessoras principais do pacote de trabalho
 Firmware;
 App Android;
 Portal Web;
 Manuais;
Riscos associados ao pacote
 Baixa performance dos serviços;
 Erros de atualização de dados;
Projeto de Automatização de Estacionamentos
DICIONÁRIO DA EAP
Pacote: 1.2.1 Sensor
Preparado por William Strafacce Soares Versão: 1.0
Aprovado por William Strafacce Soares 10/06/2015
Informações básicas
Código EAP 1.1.4
Responsável Rafael Alexandre de Oliveira
Prazo estimado 11/09/2015
Custo estimado $ 580,00
Principais tarefas a serem realizadas
32
 Modelar banco de dados;
 Desenvolver entidades;
 Desenvolver serviços;
 Testar WebService;
Recursos previstos
 William Strafacce Soares;
 Rafael Alexandre de Oliveira;
Predecessores principais do pacote de trabalho
 Plano de gerenciamento do Projeto;
Sucessoras principais do pacote de trabalho
 Firmware;
 App Android;
 Portal Web;
 Manuais;
Riscos associados ao pacote
 Baixa performance dos serviços;
 Erros de atualização de dados;
APROVAÇÕES
André Bittencourt do Valle –
Coordenador Acadêmico
Executivo
Data
10/06/2015
33
4.4. Plano de gerenciamento de escopo
Projeto de Automatização de Estacionamentos
PLANO DE GERENCIAMENTO DE ESCOPO
SCOPE MANAGEMENT PLAN
Preparado por William Strafacce Soares Versão 1.0
Aprovado por André Bittencourt do Valle Data: 11/06/2015
Descrição dos processos de gerenciamento de escopo
Segundo o guia PMBOK edição 5 [3] o gerenciamento de escopo é dividido em 6
processos, são eles:
 Planejar o Gerenciamento do Escopo: este processo tem o objetivo de definir
como o escopo do projeto será definido, validado e controlado. Tem como principais entradas
o Plano de Gerenciamento do Projeto e o Termo de abertura e principais saídas o Plano de
Gerenciamento de Escopo e Plano de Gerenciamento de Requisitos.
 Coletar Requisitos: este processo tem o objetivo de definir e documentar as
necessidades das partes interessadas e requisitos para atingir os objetivos do projeto. Tem
como principais entradas o termo de abertura do projeto e o registro de partes interessadas e
principais saídas a documentação dos requisitos e a matriz de rastreabilidade de requisitos.
 Definir o Escopo: este processo tem o objetivo de desenvolver uma descrição
detalhada do projeto e do produto do projeto. Tem como principais entradas o termo de
abertura do projeto e a documentação de requisitos e principal saída a declaração de escopo
do projeto.
 Criar a EAP (Estrutura Analítica do Projeto): este processo tem o objetivo de
subdividir os entregáveis e o trabalho do projeto em componentes menores e mais
gerenciáveis. Tem como principal entrada a declaração de escopo do projeto e principal saída
a linha de base do escopo.
34
 Validar o escopo: este processo tem o objetivo de coletar o aceite formal dos
entregáveis do projeto que foram completados. Tem como principal entrada os entregáveis
validados e principais saídas os entráveis aceitos e as requisições de mudanças.
 Controlar o escopo: este processo tem o objetivo de monitorar o status do projeto
e do escopo do produto e gerenciar as mudanças a linha de base do escopo. Tem como
principais entradas a matriz de rastreabilidade dos requisitos e os dados sobre o desempenho
do trabalho e como principal saída as requisições de mudanças atualizadas.
Plano de Gerenciamento de Escopo
O escopo deverá contemplar todos os termos previamente acordados no termo de
abertura e o trabalho do projeto foi dividido em 4 macro entregas, Software, Hardware,
Viabilidade de Negocio e Documentação. As fases serão compostas pelos seguintes pacotes
de trabalho:
 Software: esta fase é destinada a criação de toda a estrutura lógica do projeto e
será considerada entregue com a conclusão dos pacotes de trabalho de Firmware, App
Android, Portal Web e WebService, funcionando de forma integrada e interativa. Ao termino
de cada pacote de trabalho deve ser aplicada uma bateria de testes unitários e este teste deve
ter resultado superior a 85 pontos em uma escala de pontuação de 0 a 100. O pacote de
trabalho Firmware somente será considerado entregue após a integração com o Hardware
desenvolvido, mesmo que passe nos testes de simulação de Hardware. A comunicação com o
WebService será considerada satisfatória para ping’s de rede de até 500 ms e qualquer
alteração de dados deve ser disponibilizada a todos os dispositivos conectados ao banco de
dados central em até 15 s. A interação entre o usuário e a App Android deverá ser feita
seguindo padrões de usabilidade de mercado facilitando a acessibilidade de pessoas entre 18 e
60 anos condutores de veículos automotores terrestres. A identidade visual dos elementos de
softwares devem ser desenhadas utilizando as cores verde, amarelo e branco, e qualquer
alteração ou inclusão de cor deverá ser previamente analisada pelo comitê de mudanças e
aprovada pelo Sponsor.
 Hardware: esta fase é destinada a criação de toda a estrutura física do projetos e
será considerada entregue com a conclusão dos pacotes de trabalho Sensor, Central e
Definição de Host. O pacote de trabalho definição de host é destinado a análise e definição
35
dos requisitos mínimos de hardware do servidor e da “nuvem” que será alocado o serviço de
software. Esta análise deve seguir a ordem de ponderação descrita na tabela a baixo:
Fator de avaliação Pontuação
Configuração de
Hardware (x2)
Baixa Média Alta
0.1 0.2 0.3
Latência de rede (x3)
0 a 100 ms 101 a 300 ms 301 a 500 ms
0.3 0.2 0.1
Valor por usuário
simultâneo conectado
(x5)
até $ 1,00 $ 1,01 até $ 2,50 $ 2,51 até $ 5,00
0.3 0.2 0.1
Tabela 4 - Fator de avaliação de fornecedor de serviços de host.
Os pacotes de trabalho Sensor e Central serão considerados entregues somente após
confecção e soldagem dos componentes em placa pilotos, integração entre sensor e central e
integração entre central e servidor.
 Viabilidade de Negócio: esta fase deve acontecer de modo simultâneo a todo o
trabalho do projeto e tem como principal objetivo a busca por patrocinador e parque de
estacionamento piloto. Também será realizada algumas aquisições para que o
desenvolvimento do hardware seja viabilizado.
 Documentação: esta fase é destinada a criação de todos os ativos do projeto
relacionados a documentações, manuais, plano de projeto, contratos, entre outros elementos
documentais que auxiliem o registro do projeto, aprendizagem, assegure toda a parte jurídica,
entre outros.
Priorização das mudanças de escopo e respostas
As mudanças do projeto deverão ser avaliadas por um comitê de mudanças e
seguirão a ponderação descrita na tabela a baixo:
36
Prioridade Justificativa
Zero Mudanças que deverão ser contempladas o
mais rápido possível ou geram um processo
de mudanças muito grande no escopo
Um Mudanças que serão analisadas pelo board e
poderão não ser aprovadas.
Dois Mudanças que serão analisadas após
implantação de projeto piloto
Tabela 5 - Prioridades de mudança de escopo.
Mudanças Prioridades
Mudanças solicitadas pelo sponsor Zero
Mudanças verificadas em instalação de
projeto piloto
Zero
Mudanças que representem impactos >=
15% do escopo definido
Zero
Mudanças que representem retrabalhos de
pacotes de trabalhos
Um
Mudanças que representem impactos de >=
5% e < 15 % do escopo definido
Um
Mudanças solicitadas pelo dono do
estacionamento do projeto piloto
Um
Mudanças que representem impactos de até
5 % do escopo definido
Dois
Mudanças solicitadas por usuários Dois
Tabela 6 - Priorização das mudanças de escopo.
37
Gerenciamento das configurações (Configuration management)
Figura 4 - Fluxograma de controle do gerenciamento de mudanças de escopo.
Frequência de avaliação do escopo do projeto
O escopo será avaliado semanalmente em controle interno do time do projeto, para
identificar desvios e possíveis soluções de readequação a linha de base do projeto e
recuperação do que se foi planejado e deverá ser gerado um relatório de status uma vez ao
mês, para apresentação ao sponsor, onde deve ser apontados desvios que não poderão ser
recuperados, previsões de impactos financeiros dos desvios de das mudanças aprovadas e
solicitações de uso de buffer de tempo e/ou financeiro.
Alocação financeira das mudanças de escopo
Para o processo de mudanças será alocado um buffer, previsto no plano de
gerenciamento de custos, que poderá ser de até 25% do valor total de budget do projeto.
Todas as utilizações do buffer de custos deverão ser registradas e geram uma atualização e
revisão do plano de gerenciamento de custos. É necessário também realizar o levantamento do
valor agregado do projeto e preencher os KPIs de custos, para melhor prever a necessidade de
reservas futuras ou orçamentos complementares.
38
Responsável pelo plano
William Strafacce Soares – Gerente de Projetos.
Rafael Alexandre de Oliveira – Engenheiro Elétrico.
Frequência de atualização do plano de gerenciamento de escopo
O plano de gerenciamento de escopo deverá ser revisto de 15 em 15 dias para
verificar se os processos definidos por ele contemplam a realidade do projeto ou se é
necessário uma modificação no plano, que deverá ser aprovada juntamente ao sponsor com a
devida apresentação de um documento complementar explicando a modificação.
REGISTRO DE ALTERAÇÕES
Data Modificado por Descrição da mudança
11/06/2015 William Strafacce Soares Revisão 1.0
APROVAÇÕES
André Bittencourt do
Valle – Coordenador
Acadêmico Executivo
Data
11/06/2015
39
4.5. Plano de gerenciamento de Tempo
Projeto de Automatização de Estacionamentos
PLANO DE GERENCIAMENTO DO TEMPO
SCHEDULE MANAGEMENT PLAN
Preparado por: William Strafacce Soares Versão: 1.0
Aprovado por: André Bittencourt do Valle Data: 12/06/2015
Descrição dos processos de gerenciamento de tempo
Segundo o guia PMBOK edição 5 [3] o gerenciamento de tempo é dividido em 7
processos, são eles:
 Planejar o gerenciamento do cronograma: este processo tem o objetivo de
estabelecer políticas, procedimentos e documentação para planejar, desenvolver, gerenciar,
executar e controlar o cronograma do projeto. Tem como principais entradas o plano de
gerenciamento do projeto e o temo de abertura do projeto e principal saída o plano de
gerenciamento do cronograma.
 Definir atividades: este processo tem o objetivo de identificar e documentar ações
específicas que serão necessárias para produzir os entregáveis do projeto. Tem como principal
entrada a linha de base do escopo e principal saída a lista de atividades.
 Sequenciar atividades: este processo tem o objetivo de identificar e documentar os
relacionamentos entre as atividades do projeto. Tem como principal entrada a lista de
atividades e principal saída o diagrama de rede do cronograma do projeto.
 Estimar recursos para as atividades: este processo tem o objetivo de criar uma
estimativa dos tipos, quantidades de material, pessoas, equipamentos ou suprimentos
necessário para realizar cada atividade. Tem como principal entrada a lista de atividades e
principal saída os requisitos de recursos das atividades.
 Estimar a duração para as atividades: este processo tem o objetivo de criar uma
estimativa do número de períodos de trabalho necessários para terminar atividades individuais
40
com os recursos estimados. Tem como principais entradas a lista de requisitos dos recursos
das atividades, o calendário dos recursos e o registro de riscos e principal saída a estimativa
de duração das atividades.
 Desenvolver o cronograma: este processo tem o objetivo de analisar as sequencias
das atividades, suas durações, recursos necessários e restrições do cronograma a fim de criar o
cronograma do projeto. Tem como principais entradas o diagrama de rede do cronograma, os
requisitos de recursos das atividades, o calendário de recursos, a estimativa de duração das
atividades e o registro de riscos e principais saídas a linha de base do cronograma e o
cronograma do projeto.
 Controlar o cronograma: este processo tem o objetivo de monitorar o andamento
do projeto para atualização do seu progresso e gerenciamento de mudanças feitas na linha de
base do cronograma. Tem como principais entradas o cronograma do projeto e os dados de
desempenho do trabalho e principal saída as requisições de mudanças.
Priorização das mudanças nos prazos
As mudanças no prazo do projeto deverão ser avaliadas por um comitê de mudanças
e seguirão a ponderação descrita na tabela a baixo:
Prioridade Justificativa
Zero Mudanças que impactam no caminho crítico
do projeto
Um Mudanças que impactam em pacotes de
trabalho de caminhos críticos secundários
Dois Mudanças que impactam em pacotes de
trabalho que possuem folgas maiores
Tabela 7 - Prioridades de mudança de prazos.
Mudanças Prioridades
Mudanças solicitadas pelo sponsor Zero
41
Mudanças geradas pela agenda dos recursos Zero
Mudanças que representem impactos >=
15% do tempo definido
Zero
Mudanças provenientes de atrasos Um
Mudanças que representem impactos de >=
5% e < 15 % do tempo definido
Um
Mudanças devido agenda dos donos de
estacionamentos
Um
Mudanças devido atraso na entrega de
serviços
Um
Mudanças que representem impactos de
menores de 5%
Dois
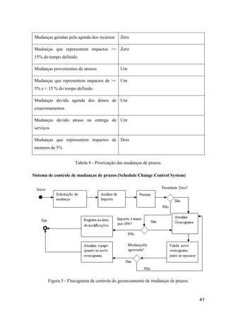
Tabela 8 - Priorização das mudanças de prazos.
Sistema de controle de mudanças de prazos (Schedule Change Control System)
Figura 5 - Fluxograma de controle do gerenciamento de mudanças de prazos.
42
Mecanismo adotado para o conciliamento de recursos
Para realizar a otimização dos recursos foram utilizadas técnicas de nivelamento de
recurso, onde fora ajustado o inicio e fim das atividades baseado na restrição e capacidade de
produção dos recursos do projeto. Como existe uma certa restrição de recursos, devido ao
tamanho da equipe, apresentada no organograma do plano de gerenciamento de RH, foram
adotadas estratégias de sequenciamento de atividades em linha, paralelizando apenas
atividades de recursos diferentes. Isto causou uma certa extensão do cronograma, mas
possibilitou um andamento cronológico das atividades de maneira a não superalocar um
recurso com duas demandas. As atividades das entregas de Software, Hardware e Viabilidade
de Negócio ocorrem em paralelo, uma vez que cada recurso fica responsável por cada um
desses pacotes de trabalho e não existe conflito temporal entre a dependência do software
sobre o hardware. Uma vez que existam tarefas conflitantes em responsabilidade de um
mesmo recurso prevalece a regra de prioridade para entrega do produto do projeto, onde
atividades que não estão diretamente ligadas ao core do produto serão consideradas
secundárias.
Buffer de tempo do projeto
Para realizar a estimativa de tempo do projeto adotou-se a técnica de estimativa de 1
ponto juntamente com técnica de otimização de cronograma por corrente crítica. Isto gerou
um buffer de tempo para o projeto de 25% da estimativa final das atividades. Este buffer deve
ser alocado ao final de cada atividade do caminho crítico e somente poderá ser utilizado sobre
aprovação do sponsor. Com isso ganha-se uma redução da estimativa inicial de 50 %, mas
aumenta-se o risco de atrasos nas entregas das tarefas e a preocupação com a contratação de
serviços terceirizados, uma vez que a empresa fornecedora do serviço deverá se comprometer
a atender os requisitos de tempo do projeto.
Frequência de avaliação dos prazos do projeto
Os prazos definidos devem ser acompanhados de perto, no dia-a-dia do projeto, e
qualquer atraso deve ser imediatamente notificado a gestão do projeto para que seja possível
tomar ações de controle e solicitar utilização de buffer de tempo quando necessário. Isto gera
uma avaliação diária dos prazos e uma atualização simultânea com o andamento das tarefas.
43
Alocação financeira para o gerenciamento de tempo
Para realizar a gestão do tempo é destinado 10% do valor do budget de cada pacote
de trabalho, uma vez diariamente o cronograma deve ser atualizado com as tarefas e
percentuais de execução realizados no dia de trabalho.
Responsável pelo plano
William Strafacce Soares – Gerente de Projetos.
Rafael Alexandre de Oliveira – Engenheiro Elétrico.
Frequência de atualização do plano de gerenciamento de tempo
O plano de gerenciamento de tempo deverá ser atualizado mensalmente ou sempre
que houver uma solicitação de mudança, para que haja uma verificação dos processos
descritos por este com a nova realidade do projeto.
REGISTRO DE ALTERAÇÕES
Data Modificado por Descrição da mudança
12/06/2015 William Strafacce Soares Revisão 1.0
APROVAÇÕES
André Bittencourt do
Valle – Coordenador
Acadêmico Executivo
Data
12/06/2015
44
4.6. Plano de gerenciamento de custos
Projeto de Automatização de Estacionamentos
PLANO DE GERENCIAMENTO DE CUSTOS
COST MANAGEMENT PLAN
Preparado por William Strafacce Soares Versão 1.0
Aprovado por André Bittencourt do Valle Data: 15/06/2015
Descrição dos processos de gerenciamento de custos
Segundo o guia PMBOK edição 5 [3] o gerenciamento de custos é dividido em 4
processos, são eles:
 Planejar o gerenciamento do custo: este processo tem o objetivo de estabelecer
políticas, procedimentos e documentação para planejar, gerenciar, dispender e controlar
custos do projeto. Tem como principais entradas o plano de gerenciamento do projeto e o
termo de abertura do projeto e principais saídas o plano de gerenciamento de custo.
 Estimar custos: este processo tem o objetivo de estimar custos monetários para
concluir as atividades do projeto. Tem como principais entradas a linha de base de escopo, o
cronograma do projeto e o registro de riscos e principais saídas a estimativa de custo das
atividades e as bases das estimativas.
 Determinar o orçamento: este processo tem o objetivo de agregar os custos das
atividades ou pacotes de trabalhos para estabelecer uma linha de base dos custos do projeto.
Tem como principal entrada a estimativa de custo das atividades e principal saída a linha de
base do desempenho do custo.
 Controlar os custos: este processo tem o objetivo de monitorar o andamento do
projeto para atualização do seu custo e gerenciamento das mudanças feitas na linha de base
dos custos. Tem como principais entradas o orçamento do projeto e os dados sobre o
desempenho do trabalho e principal saída as requisições de mudanças.
45
Frequência de avaliação do orçamento do projeto e das reservas gerenciais
O linha de base do orçamento deverá ser revista de 15 em 15 dias pela equipe interna
do projeto e atualizada mensalmente no relatório de status do projeto para que se possa ser
tomada as devidas decisões quanto a liberação das reservas ou orçamentos complementares.
Reservas gerenciais
As reservas gerenciais serão uma segurança maior ao projeto para cobrir despesas de
mudanças de grande porte, que representem mais de 15% do escopo e riscos que não estão
identificados no plano de gerenciamento de riscos. Estas reservas somente poderão ser
utilizadas com prévia aprovação do sponsor e munidas de documento que justifique sua
utilização. O custo total estimado do projeto é $ 15000,00, sendo utilizado da seguinte forma:
 Software: $ 3420,00;
 Hardware: $ 1890,00;
 Viabilidade de Negócio: $ 3300,00;
 Documentação: $ 1150,00;
 Reservas gerenciais: $ 3500,00;
 Reservas contingenciais: $ 1740,00;
O processo de controle de orçamento deverá ser realizado considerando a análise de
valor agregado e o acompanhamento dos seguintes KPI’s de custo:
 PV = Valor planejado;
 EV = Valor Agregado;
 AC = Custo real;
 BAC = Orçamento para completar;
 EAC = Estimativa no final;
 ETC = Estimativa para completar.
 VAC = Variação no final;
46
Reservas de Contingência – As reservas de contingência serão destinadas a cobrir
as ações de contingência e prevenção dos riscos listados no plano de gerenciamento de riscos,
utilização para contratação de cursos de especialização aos colaboradores do projeto e
bonificações descritas no plano de gerenciamento de RH.
Outras Reservas – Será disponibilizado ao gerente de projetos até 20% do valor
total do projeto, mediante autorização do sponsor, para cobrir gastos com deslocamentos,
pesquisas de qualidade, patentes, entre outros aspectos que possam impactar o sucesso do
projeto.
Autonomias
Reservas de Contingência
Gerente de projetos $ 1500,00
Engenheiro Elétrico $ 1500,00
Comercial $ 500,00
Tabela 9 - Autonomias das reservas de contingência.
 Gerente de projetos – autonomia para utilizar as reservas de contingência para
responder aos riscos, de acordo com o plano de resposta aos riscos definido no item 4.10 deste
projeto.
 Engenheiro elétrico – autonomia para utilizar as reservas de contingência para
viabilizar produção de hardware protótipo.
 Comercial – autonomia para utilizar as reservas de contingência para viabilizar o
negócio buscando investidores.
Alocação financeira das mudanças no orçamento
É previsto para este projeto a utilização de 50% da reserva de gerenciamento para
cobrir despesas com mudanças solicitas aprovadas, uma vez que por ser um projeto inovador,
47
acontecerão algumas mudanças no inicio do projeto devido a dificuldade de mapeamento de
todos os requisitos das fases.
Responsável pelo plano
William Strafacce Soares – Gerente de Projetos
Rafael Alexandre de Oliveira – Engenheiro Elétrico.
Frequência de atualização do plano de gerenciamento de custos
O plano de gerenciamento de custos deverá ser atualizado conforme as fases do
projeto forem sendo concluídas ou sempre que uma mudança for aprovada, para analisar se as
ações aqui previstas estão sendo satisfatórias quanto a execução do projeto.
REGISTRO DE ALTERAÇÕES
Data Modificado por Descrição da mudança
15/06/2015 William Strafacce Soares Revisão 1.0
APROVAÇÕES
André Bittencourt do
Valle – Coordenador
Acadêmico Executivo
Data
15/06/2015
48
4.6. Plano de gerenciamento da qualidade
Projeto de Automatização de Estacionamentos
PLANO DE GERENCIAMENTO DA QUALIDADE
QUALITY MANAGEMENT PLAN
Preparado por William Strafacce Soares Versão 1.0
Aprovado por André Bittencourt do Valle Data: 16/06/2015
Descrição dos processos de gerenciamento de qualidade
Segundo o guia PMBOK edição 5 [3] o gerenciamento da qualidade é dividido em 3
processos, são eles:
 Planejar a qualidade: este processo tem o objetivo de identificar os requisitos ou
padrões de qualidade do projeto e do produto e documentar como o projeto atingirá estes
objetivos. Tem como principais entradas os registros das partes interessadas, o registro de
riscos e documentação e requisitos e principais saídas o plano de gerenciamento da qualidade,
o plano de melhoria dos processos e as métricas de qualidade.
 Executar a garantia da qualidade: este processo tem o objetivo de realizar uma
auditoria dos requisitos da qualidade e das medidas de controle da qualidade para garantir que
sejam usados padrões de qualidade e as definições operacionais apropriadas. Tem como
principais entradas o plano de melhoria de processo e as métricas de qualidade e principal
saída as requisições de mudança.
 Controlar a qualidade: este processo tem o objetivo de monitorar os registros dos
resultados da execução das atividades de qualidade para avaliar o desempenho e recomendar
mudanças necessárias. Tem como principais entradas as métricas de qualidade, os checklists
de qualidade e dados sobre o desempenho do trabalho e principais saídas os entregáveis
verificados e as requisições de mudança.
49
Identificação dos clientes
Cliente 1: Patrocinador
Cliente 2: Donos de estacionamentos
Cliente 3: Usuários do App
Cliente 4: Fornecedores
Cliente 5: Empresas de tarifação de catracas
50
Priorização dos clientes
Priorização dos clientes
Cliente1:Patrocinador
Cliente2:Donosdeestacionamentos
Cliente3:UsuáriuosdoApp
Cliente4:Fornecedores
Cliente5:Empresasdetarifaçãodecatracas
Total da linha Valor
decimal
relativo
= total
da linha
/ total
geral
Cliente 1: Patrocinador 1 10 10 5 26 0,39
Cliente 2: Donos de estacionamentos 1 5 10 1 17 0,25
Cliente 3: Usuários do App 1/10 1/5 10 1 11,3 0,17
Cliente 4: Fornecedores 1/10 1/10 1/10 1/10 0,4 0,01
Cliente 5: Empresas de tarifação de catracas 1/5 1 1 10 12,2 0,18
Total Geral 66,9
Tabela 10 - Priorização dos cliente.
51
Identificação das necessidades
Necessidade 1: Performance
Necessidade 2: Usabilidade
Necessidade 3: Retorno financeiro
Necessidade 4: Infraestrutura
Necessidade 5: Responsabilidade social
52
Priorização das necessidades
Priorização das necessidades:
Cliente 1: Patrocinador
Necessidade1:Performance
Necessidade2:Usabilidade
Necessidade3:Retornofinanceiro
Necessidade4:Infraestrutura
Necessidade5:Responsabilidadesocial
Total da linha Valor
decimal
relativo
= total
da linha
/ total
geral
Necessidade 1: Performance 1 1/10 1 5 7,1 0,10
Necessidade 2: Usabilidade 1 1/10 5 5 11,1 0,16
Necessidade 3: Retorno financeiro 10 10 10 10 40 0,57
Necessidade 4: Infraestrutura 1 1/5 1/10 10 11,3 0,16
Necessidade 5: Responsabilidade social 1/5 1/5 1/10 1/10 0,6 0,01
Total Geral 70,1
Tabela 11 - Priorização das necessidades cliente 1.
53
Priorização das necessidades:
Cliente 2: Donos de estacionamentos
Necessidade1:Performance
Necessidade2:Usabilidade
Necessidade3:Retornofinanceiro
Necessidade4:Infraestrutura
Necessidade5:Responsabilidadesocial
Total da linha Valor
decimal
relativo
= total
da linha
/ total
geral
Necessidade 1: Performance 1 1/10 1/10 1 2,2 0,03
Necessidade 2: Usabilidade 1 1/10 1/10 5 6,2 0,08
Necessidade 3: Retorno financeiro 10 10 5 10 35 0,47
Necessidade 4: Infraestrutura 10 10 1/5 10 30,2 0,40
Necessidade 5: Responsabilidade social 1 1/5 1/10 1/10 1,4 0,02
Total Geral 75
Tabela 12 - Priorização das necessidades cliente 2.
54
Priorização das necessidades:
Cliente 3: Usuário
Necessidade1:Performance
Necessidade2:Usabilidade
Necessidade3:Retornofinanceiro
Necessidade4:Infraestrutura
Necessidade5:Responsabilidadesocial
Total da linha Valor
decimal
relativo
= total
da linha
/ total
geral
Necessidade 1: Performance 1 1/5 10 1 12,2 0,20
Necessidade 2: Usabilidade 1 1 5 5 12 0,19
Necessidade 3: Retorno financeiro 5 1 10 10 26 0,43
Necessidade 4: Infraestrutura 1/10 1/5 1/10 1/10 0,5 0,01
Necessidade 5: Responsabilidade social 1/5 1/5 1/10 10 10,5 0,17
Total Geral 61,2
Tabela 13 - Priorização das necessidades cliente 3.
55
Priorização das necessidades:
Cliente 4: Fornecedores
Necessidade1:Performance
Necessidade2:Usabilidade
Necessidade3:Retornofinanceiro
Necessidade4:Infraestrutura
Necessidade5:Responsabilidadesocial
Total da linha Valor
decimal
relativo
= total
da linha
/ total
geral
Necessidade 1: Performance 1 1/10 1/10 1/10 1,3 0,01
Necessidade 2: Usabilidade 1 1/10 1/10 1/10 1,3 0,01
Necessidade 3: Retorno financeiro 10 10 10 10 40 0,43
Necessidade 4: Infraestrutura 10 10 1/10 10 30,1 0,32
Necessidade 5: Responsabilidade social 10 10 1/10 1/10 20,2 0,23
Total Geral 92,9
Tabela 14 - Priorização das necessidades cliente 4.
56
Priorização das necessidades:
Cliente 5: Empresas de tarifação de catracas
Necessidade1:Performance
Necessidade2:Usabilidade
Necessidade3:Retornofinanceiro
Necessidade4:Infraestrutura
Necessidade5:Responsabilidadesocial
Total da linha Valor
decimal
relativo
= total
da linha
/ total
geral
Necessidade 1: Performance 1 1/10 1/10 1 2,2 0,03
Necessidade 2: Usabilidade 1 1/10 1/10 1 2,2 0,03
Necessidade 3: Retorno financeiro 10 10 10 10 40 0,52
Necessidade 4: Infraestrutura 10 10 1/10 10 30,1 0,39
Necessidade 5: Responsabilidade social 1 1 1/10 1/10 2,2 0,03
Total Geral 76,7
Tabela 15 - Priorização das necessidades cliente 5.
57
Priorização balanceada das
necessidades
Cliente1:Patrocinador
Cliente2:Donosdeestacionamentos
Cliente3:UsuáriosdaApp
Cliente4:Fornecedores
Cliente5:Empresasdetarifaçãodecatracas
Total da linha
N 1: Performance
0,39
X
0,10
=
0,0390
0,25
X
0,03
=
0,0075
0,17
X
0,20
=
0,0340
0,01
X
0,01
=
0,0001
0,18
X
0,03
=
0,0054
0,0860
N 2: Usabilidade
0,39
X
0,16
=
0,0624
0,25
X
0,08
=
0,0200
0,17
X
0,19
=
0,0323
0,01
X
0,01
=
0,0001
0,18
X
0,03
=
0,0054
0,1202
N 3: Retorno financeiro
0,39
X
0,57
0,25
X
0,47
0,17
X
0,43
0,01
X
0,43
0,18
X
0,52
0,5108
58
=
0,2223
=
0,1175
=
0,0731
=
0,0043
=
0,0936
N 4: Infraestrutura
0,39
X
0,16
=
0,0624
0,25
X
0,40
=
0,1000
0,17
X
0,01
=
0,0017
0,01
X
0,32
=
0,0032
0,18
X
0,39
=
0,0702
0,2375
N 5: Responsabilidade social
0,39
X
0,01
=
0,0039
0,25
X
0,02
=
0,0050
0,17
X
0,17
=
0,0289
0,01
X
0,23
=
0,0023
0,18
X
0,03
=
0,0054
0,0455
Tabela 16 - Priorização balanceada das necessidades.
Desenvolvimento de especificações
Necessidade 1: Performance
Definição operacional: Velocidade entre a conexão do dispositivo móvel, navegador
ou central controladora de sensores com servidor central de informações, alocado em um host
virtual a ser fornecido por empresa privada.
Valor a ser medido: Ping de rede entre dispositivo e servidor e pacotes perdidos
Necessidade 2: Usabilidade
Definição operacional: Facilidade de utilização das interfaces desenvolvidas, tanto
para Web quanto para Android, pelo usuário do sistema seja ele um cliente (dono de
estacionamento) ou somente um usuário final (publico que utiliza dos serviços via App ou
portal Web).
Valor a ser medido: Pesquisa de opinião com diversos públicos de idades entre 18 e
60 anos.
59
Necessidade 3: Retorno financeiro
Definição operacional: Retorno de investimento feito pelo patrocinador acima de
20%, retorno de investimento feito pelo dono do estacionamento, aumento de circulação de
veículos acima de 10%, valor de custo benefício sentido pelo usuário e valores de custo
benefício de utilização dos serviços dos fornecedores envolvidos no projeto.
Valor a ser medido: ROI, Faturamento do estacionamento, Pesquisa de opinião,
avaliação interna de custo benefício
Necessidade 4: Infraestrutura
Definição operacional: Impacto em infra estrutura utilizada nos estacionamentos e
configuração do servidor contratado.
Valor a ser medido: Custo de instalação de equipamentos e custo de serviço de host
Necessidade 5: Responsabilidade social
Definição operacional: Danos causados ao meio ambiente devido ao
desenvolvimento do projeto.
Valor a ser medido: Quantidade de protótipos descartados e quantidade de
componentes eletrônicos descartados
Garantia da qualidade
Necessidade 1:Performance
Atividade de garantia da qualidade: Testes unitários simulando conexões em diversas
regiões da grande São Paulo com o servidor de host contratado para medição de ping e
pacotes perdidos. Os testes devem apresentar ping inferiores a 500 ms e será considerado
satisfatórios até 10 % de pacotes perdidos durante todo o teste.
Necessidade 2: Usabilidade
Atividade de garantia da qualidade: Pesquisa de opinião do usuário via redes sociais,
disponibilizando um teste simulado de interação com interface Web e App Android e
pesquisas realizadas nos principais centros comerciais da cidade com usuários de diversas
60
idades. Será considerado satisfatórios uma qualificação da interface como sendo boa ou ótima
de 70 % dos entrevistados.
Necessidade 3: Retorno financeiro
Atividade de garantia da qualidade: Acompanhamento dos relatórios executivos
sobre o andamento do projeto e o retorno financeiro analisando o PayBack e se foram
alcançadas as metas de geração de valor com marketing digital. Acompanhamento do
movimento do estacionamento piloto comparado aos últimos 3 meses antes da implantação do
projeto. Acompanhamento dos contratos com fornecedores analisando se os SLA’s estão
sendo cumpridos conforme foram acordados e acompanhamento do feedback dos usuários do
sistema.
Necessidade 4: Infraestrutura
Atividade de garantia da qualidade: Implantação de processos de instalação e
melhoria continua da instalação.
Necessidade 5: Responsabilidade social
Atividade de garantia da qualidade: Todos os componentes eletrônicos não utilizados
deverão ser rejeitados em lixo destinado ao descarte de aparelhos eletrônicos.
Necessidade Especificação Atividade de
garantia
Cronograma Responsável
Do cliente Específica e
mensurável
O que será feito Quando será feito Quem executará
Performance O ping de rede deve
ser <= 500ms
Testes unitários Ao contratar host Adriano Silva
Usabilidade Deve ser
considerado bom ou
muito bom por no
mínimo 80% dos
usuários
Pesquisas de
opinião
Ao terminar o
protótipo do App
Android
Adriano Silva
Retorno financeiro Deve apresentar
uma taxa de retorno
sobre o
Análise de retorno
de investimento
De três em três
meses após a
comercialização do
William Strafacce
Soares
61
investimento real de
no mínimo 20% a.a
produto
Infraestrutura Deve o tempo de
implantação de infra
deve ser inferior a 5
dias úteis
Processos de
implantação e
melhoria continua
A cada nova
instalação
Rafael Alexandre de
Oliveira
Responsabilidade
social
Deve-se produzir
um volume de
resíduo mensal
menor que 10 l
Implantação de
coleta seletiva
A partir da
assinatura do termo
de abertura do
projeto
Time do projeto
Tabela 17 - Quadro sintético das necessidades.
Controle da qualidade
Ferramenta 1: Diagrama de causa e efeito
Descrição de sua utilização:
Analisar as potenciais causas dos defeitos encontrados durante a aplicação dos testes
de performance e usabilidade através do agrupamento das causas em classes de causas para
que possa ser verificado qual são as classes que mais estão causando os defeitos e atuar na
solução dessas causas.
Ferramenta 2: Fluxograma
Descrição de sua utilização:
Criar um fluxograma para orientar os testes de performance e usabilidade e criar
processos de testes para que se possa tem maior confiabilidade. Criar um processo de
monitoramento de retorno financeiro e instalação de infraestrutura.
Ferramenta 3:Diagrama de Pareto
Descrição de sua utilização:
Aplicar juntamente ao fluxograma analisando potenciais falhas nos processos
definidos e apresentar quais os pontos deverão ser tratados para melhorar a qualidade dos
mesmos.
62
Ferramenta 4: Histograma
Descrição de sua utilização:
Analisar a performance do time do projeto e quais métodos motivacionais estão
surtindo maior resultado. Monitorar o descarte de componentes eletrônicos e analisar se os
métodos de orientação dos colaboradores estão apresentando o resultado esperado.
Ferramenta 5: Diagrama de dispersão
Descrição de sua utilização:
Análisar como a performance afeta a usabilidade, analisar como a responsabilidade
social reflete no retorno financeiro e como a infraestrutura afeta a performance.
Melhoria da qualidade
Defina a utilização do ciclo PDCA para a melhoria da qualidade do projeto:
Planejar: Criar todo o ciclo dos processos de qualidade, testes, planos de melhoria
continua, documentação de lições aprendidas, entre outros, em conjunto do time do projeto e
documentar através de fluxogramas e ferramentas visuais. Orientar o time do projeto a seguir
os procedimentos planejados e identificar possíveis falhas.
Fazer: Aplicar os processos desenhados de forma sistêmica e continua procurando
identificar gaps no processo e documentar inconsistências.
Checar: Realizar auditorias diárias e semanais preenchendo um checklist de
atividades que devem ser realizadas durante o processo de produção que estão sendo
cumpridas pelo time do projeto e que estão sendo negligenciadas.
Agir: Orientar equipe a seguir os procedimentos definidos através de treinamentos,
workshops, palestras, dinâmicas de grupo, relato de experiências obtidas e reuniões matinais
diárias de no máximo 10 minutos.
63
Priorização das mudanças nos quesitos de qualidade e respostas
Prioridade Justificativa
Zero Mudanças que deverão ser contempladas o
mais rápido possível ou geram um processo
de mudanças muito grande nos processos de
qualidade
Um Mudanças que serão analisadas pelo board e
poderão não ser aprovadas.
Dois Mudanças que serão analisadas após
implantação de projeto piloto
Tabela 18 - Prioridades das mudanças nos quesitos de qualidade.
Mudanças Prioridades
Mudanças para solucionar causas de defeitos
identificadas pelas ferramentas de qualidade
Zero
Mudanças identificadas no processo de
PDCA
Zero
Mudanças sugeridas pelo time do projeto Um
Mudanças reportadas via feedback de
usuários
Dois
Tabela 19 - Priorização das mudanças nos quesitos de qualidade.
64
Sistema de controle de mudanças da qualidade (Quality change control system)
Figura 6 - Fluxograma de controle de gerenciamento de mudanças de quesitos de qualidade.
Frequência de avaliação dos requisitos de qualidade do projeto
Os requisitos de qualidade deverão ser avaliados através do processo de PDCA
sempre que um ciclo inteiro for realizado. Deve se haver também auditorias mensais que
devem apontar falhas no processo de qualidade, se houverem, e sugerir mudanças ou inclusão
de requisitos de qualidade.
Alocação financeira das mudanças nos requisitos de qualidade
Será reservado 15% do budget do pacote de trabalho que esta sendo produzido para a
realização dos testes e processos de qualidade.
Responsável pelo plano
William Strafacce Soares – Gerente de Projetos.
Rafael Alexandre de Oliveira – Engenheiro Elétrico.
Frequência de atualização do plano de gerenciamento da qualidade
65
O plano de gerenciamento da qualidade deverá ser revisado sempre que mudanças de
prioridade zero forem identificadas e uma vez a cada 2 meses para analisar se os processos,
ferramentas, necessidades e clientes estão presentes na realidade atual do projeto.
REGISTRO DE ALTERAÇÕES
Data Modificado por Descrição da mudança
16/06/2015 William Strafacce Soares Revisão 1.0
APROVAÇÕES
André Bittencourt do
Valle – Coordenador
Acadêmico Executivo
Data
16/06/2015
66
4.8. Plano de gerenciamento de RH
Projeto de Automatização de Estacionamentos
PLANO DE GERENCIAMENTO DE RECURSOS HUMANOS
STAFF MANAGEMENT PLAN
Preparado por William Strafacce Soares Versão 1.0
Aprovado por André Bittencourt do Valle 17/06/2015
Descrição dos processos de gerenciamento de RH
Segundo o guia PMBOK edição 5 [3] o gerenciamento de RH é dividido em 4
processos, são eles:
 Planejar o gerenciamento de RH: este processo tem o objetivo de identificar e
documentar papéis e responsabilidades no projeto, habilidades necessárias e relacionamentos,
e criar o plano de gerenciamento de pessoal. Tem como principal entrada o requisitos de
recursos das atividades e principal saída o plano de gerenciamento de recursos.
 Obter o time do projeto: este processo tem o objetivo de confirmar a
disponibilidade dos recursos humanos e obter a equipe necessária para concluir as atividades
do projeto. Tem como principal entrada o plano de gerenciamento de RH e principal saída a
designação do time do projeto.
 Desenvolver o time do projeto: este processo tem o objetivo de criar um processo
de melhoria de competências e interação da equipe e do ambiente global para o melhor
desempenho do projeto. Tem como principal entrada a designação do time do projeto e
principal saída a avaliação do desempenho do time.
 Gerenciar o time do projeto: este processo tem o objetivo de acompanhar o
desempenho dos membros da equipe, prover o feedback adequado, resolver “issues” e
gerenciar mudanças a fim de otimizar o desempenho do projeto. Tem como principais
entradas a designação do time do projeto, a avaliação do desempenho do time e a lista de
problemas e como principal saída as requisições de mudança.
67
Organograma do projeto
Figura 7 - Organograma do projeto.
Diretório do time do projeto (Team directory)
No Nome Área e-mail Telefone
1 William Strafacce Soares Projetos w.s.soares@estacionefacil.com +5511999113321
2 Rafael Alexandre de Oliveira Engenharia r.a.oliveira@estacionefacil.com +5511999113322
3 Adriano Silva Comercial a.silva@estacionefacil.com +5511999113323
Tabela 20 - Time do projeto.
68
Matriz de responsabilidades
No Nome Área
Software
Hardware
ViabilidadedeNegócio
Documentação
Pacotes de Trabalho
Firmware
APPAndroid
PortalWeb
WebService
Sensor
Central
DefinicçãodeHost
Aqusições
ProjetoPiloto
Planode
gerenciamentodo
projeto
Manuais
1
William
Strafacce
Soares
Projetos X X R R R R C, I C, I C, I C, I A R A
2
Rafael
Alexandr
e de
Oliveira
Engenharia X X A A A A R R A A C, I A R
3
Adriano
Silva
Comercial X X C, I C, I C, I C, I A A R R R C, I C, I
Tabela 21 - Matriz RACI.
R – responsável, A – Aprovador, I – Informado, C - Consultado
69
Novos recurso, re-alocação e substituição de membros do time
Qualquer aquisição, re-alocação ou substituição de membros do time deverá ser
aprovada pelo gestor do projeto e incluída ou re-incluida na equipe após passar pelo processo
de integração do projeto que prevê:
 Introdução aos objetivos do projeto, através de um workshop de 2 horas
detalhando onde o recurso será alocado, quais suas responsabilidades, quais processos ele
deverá entender para realizar uma integração tranquila, quais os padrões de desenvolvimentos
da equipe, entre outras informações pertinentes a sua função.
 Leitura do plano de gerenciamento do escopo e introdução a estrutura analítica do
projeto e cronograma.
 Quais metas deverão ser cumpridas.
 Quais são as expectativas de resultados que se espera deste novo recurso.
Em caso de substituição de membro da equipe o atual responsável pelas tarefas
deverá introduzir o substituto a suas responsabilidades e o estado atual do andamento de suas
tarefas.
Treinamento
Para atingir os objetivos do projeto deverão ser realizados dois treinamentos:
1 - Design de placas de circuito impresso (CI).
2 - Introdução a configuração e programação de processadores Freescale [4].
Em primeira instancia o treinamento 1 deverá ser realizado pelo Rafael Alexandre de
Oliveira e o treinamento 2 pelo William Strafacce Soares, uma vez que estes treinamentos tem
relação direta com as responsabilidades destes recurso definida na matriz RACI a cima, mas
futuramente estes deverão ser treinamentos suportados pela empresa a todos os colaboradores
da área.
70
Avaliação de resultados do time do projeto
Os membros do time serão avaliados através de relatórios de desempenho emitidos
mensalmente que deverá indicar a relação de metas desejadas e metas cumpridas, gerando um
percentual de cumprimento de meta que poderá variar de 0 – 100 %. Será realizada, então,
uma reunião junto aos outros membros do time onde o recurso será parabenizado ou
convidado a explicar o que houve, em caso de um relatório não satisfatório, ou seja, com
percentuais a baixo de 80%.
Bonificação
Não é prevista nenhum tipo de bonificação uma vez que os membros do time fazem
parte do board da empresa. Em casos de inclusão de membros externos, deverá ser feita uma
análise trimestral do relatório de desempenho do colaborador e, em casos de relatórios
satisfatórios, o colaborador deverá ser bonificado:
 Primeiro trimestre satisfatório – 1 folga com data a escolha do colaborador e sem
restrições do board.
 Dois trimestres satisfatórios – 1 folga + 15% de bonificação, com base no salario
atual.
 Três trimestres satisfatórios – 1 folga + 15% de bonificação + um prêmio de
destaque na cerimônia de premiação anual da empresa.
 Quatro trimestres satisfatórios – 1 fim de semana com acompanhante no destino
escolhido pela empresa e seus colaboradores no inicio do projeto.
Frequência de avaliação consolidada dos resultados do time
A frequência de avaliação consolidada do time do projeto deverá ocorrer a cada 1
trimestre, onde deverá ser feita uma análise de queda de desempenho, desempenho
semelhante ou ganho de desempenho, para que seja possível gerar um ativo de processos
motivacionais e possíveis causas de queda de desempenho dentro da empresa.
71
Alocação financeira para o gerenciamento de RH
Assim como previsto no termo de abertura do projeto os treinamentos não poderão
superar o valor de 5% de todo o budget do projeto, isto deverá ser levado em consideração no
plano de aquisições e na tabela de avaliações de orçamentos. As bonificações, em caso de
funcionários externos ao board, deverão ser custeadas pelos resultados financeiros do projeto,
o que deve ser levado em consideração no momento de escolha do destino da viagem de
bonificação e da dimensão do evento de comemoração anual da empresa.
Responsável pelo plano
William Strafacce Soares – Gerente de Projetos.
Rafael Alexandre de Oliveira.
Frequência de atualização do plano de gerenciamento de RH
O plano de gerenciamento de RH deve ser revisto sempre que uma das fases
previstas neste plano for concluída, como fase de treinamento, inclusão de novos recursos,
bonificação atingida, entre outras. É preciso haver revisão deste plano sempre que uma fase
do projeto for concluída e analisar se haverá a necessidade de contratações ou realocações de
recursos.
REGISTRO DE ALTERAÇÕES
Data Modificado por Descrição da mudança
17/06/2015 William Strafacce Soares Revisão 1.0
APROVAÇÕES
André Bittencourt do
Valle – Coordenador
Acadêmico Executivo
Data
17/06/2015
72
4.9. Plano de gerenciamento de comunicações
Projeto de Automatização de Estacionamentos
PLANO DE GERENCIAMENTO DAS COMUNICAÇÕES
COMUNICATION MANAGEMENT PLAN
Preparado por William Strafacce Soares Versão 1.0
Aprovado por André Bittencourt do Valle Data: 18/06/2015
Descrição dos processos de gerenciamento das comunicações
Segundo o guia PMBOK edição 5 [3] o gerenciamento das comunicações é dividido
em 3 processos, são eles:
 Planejar o gerenciamento das comunicações: este processo tem o objetivo de
desenvolver um plano e uma estratégia apropriada para as comunicações do projeto, baseados
nos requisitos e necessidades de informações das partes interessadas. Tem como principal
entrada o registro das partes interessadas e principal saída o plano de gerenciamento das
comunicações.
 Gerenciar as comunicações: este processo tem o objetivo de criar, coletar,
distribuir, armazenar, recuperar e disponibilizar as informações do projeto de acordo com o
plano de gerenciamento das comunicações. Tem como principais entradas o plano de
gerenciamento das comunicações e o relatório de desempenho do trabalho e principal saída as
comunicações do projeto.
 Controlar as comunicações: este processo tem o objetivo de monitorar e controlar
as informações durante todo o ciclo de vida do projeto, a fim de garantir que as partes
interessadas recebam as informações necessárias. Tem como principais entradas as
comunicações do projeto, a lista de problemas e os dados de desempenho do projeto e
principal saída as requisições de mudança.
73
Registro de Partes Interessadas
Nome do Projeto: Projeto de Automatização de Estacionamentos Data: 18/06/2015
Nome Nome da parte
interessada
Patrocinador
Posição Sua posição na
organização
Executivo
Papel A função que
desempenha no
projeto
Responsável pelo investimento financeiro do projeto
Contato Endereço físico,
telefones e
contatos
eletrônicos
Prospectar parcerias e investidores através de sites,
aceleradoras e feiras de técnologia
Necessidades Necessidades ou
desejos de alto
nível para o
produto ou
projeto
Taxa de retorno de investimento de no mínimo 20%
Expectativas Expectativas para
o produto ou
projeto
Produto ser pioneiro e atingir 90% do previsto no business
case apresentado
Influência Nível e tipo de
influência no
projeto
Influencia alta / Bloqueador
Classificação Uma categoria ou
classificação
Stakeholder externo
Tabela 22 - Registro de partes interessadas 1.
74
Nome Nome da parte
interessada
Donos de estacionamento
Posição Sua posição na
organização
Executivo
Papel A função que
desempenha no
projeto
Responsável por viabilizar a implantação do projeto piloto
Contato Endereço físico,
telefones e
contatos
eletrônicos
Prospectar parcerias através de ofertas de benefícios, aumento
de visibilidade, marketing e preço acessível
Necessidades Necessidades ou
desejos de alto
nível para o
produto ou
projeto
Infraestrutura simples e valor acessível
Expectativas Expectativas para
o produto ou
projeto
Produto aumentar a rotatividade dos veículos em seu
estacionamento em 25%
Influência Nível e tipo de
influência no
projeto
Influencia baixa / Desacelerador
Classificação Uma categoria ou
classificação
Stakeholder externo
Tabela 23 - - Registro de partes interessadas 2.
75
Nome Nome da parte
interessada
Time do projeto
Posição Sua posição na
organização
Operacional
Papel A função que
desempenha no
projeto
Responsável pelo desenvolvimento do projeto
Contato Endereço físico,
telefones e
contatos
eletrônicos
Rua Antonio de Castro Melo, 1180, Centro, Campinas, SP
Necessidades Necessidades ou
desejos de alto
nível para o
produto ou
projeto
Reconhecimento como empresa pioneira no setor
Expectativas Expectativas para
o produto ou
projeto
Atingir 80% do público prospectado em análise de negócio
Influência Nível e tipo de
influência no
projeto
Influencia Alta / Aliado
Classificação Uma categoria ou
classificação
Stakeholder interno
Tabela 24 - Registro de partes interessadas 3.
76
Nome Nome da parte
interessada
Usuários
Posição Sua posição na
organização
Público Alvo
Papel A função que
desempenha no
projeto
Responsável pelo sucesso do projeto
Contato Endereço físico,
telefones e
contatos
eletrônicos
Divulgar nos meios de comunicação para que haja a maior
aderência possível, target de 80% dos condutores de veículos
da grande SP
Necessidades Necessidades ou
desejos de alto
nível para o
produto ou
projeto
Performance e Usabilidade
Expectativas Expectativas para
o produto ou
projeto
Facilitar a procura e a escolha de estacionamentos na grande
São Paulo
Influência Nível e tipo de
influência no
projeto
Influencia baixa / Desacelerador
Classificação Uma categoria ou
classificação
Stakeholder externo
Tabela 25 - Registro de partes interessadas 4.
77
Nome Nome da parte
interessada
Entidades reguladoras
Posição Sua posição na
organização
Órgãos Públicos
Papel A função que
desempenha no
projeto
Responsável pelo controle da legislação de transito do estado
Contato Endereço físico,
telefones e
contatos
eletrônicos
Prefeitura de São Paulo
Necessidades Necessidades ou
desejos de alto
nível para o
produto ou
projeto
Cumprimento das leis
Expectativas Expectativas para
o produto ou
projeto
Conformidade com a legislação de transito
Influência Nível e tipo de
influência no
projeto
Influencia alta / Bloqueador
Classificação Uma categoria ou
classificação
Stakeholder externo
Tabela 26 - Registro de partes interessadas 5.
78
Nome Nome da parte
interessada
Fornecedores
Posição Sua posição na
organização
Empresas privadas
Papel A função que
desempenha no
projeto
Responsável pelo fornecimento de infraestrutura para o projeto
Contato Endereço físico,
telefones e
contatos
eletrônicos
Prospectar parcerias e maior custo benefício nos contratos
Necessidades Necessidades ou
desejos de alto
nível para o
produto ou
projeto
Pagamento dos contratos
Expectativas Expectativas para
o produto ou
projeto
Cumprimento de todas as clausulas contratuais
Influência Nível e tipo de
influência no
projeto
Influencia alta / Apoiador
Classificação Uma categoria ou
classificação
Stakeholder externo
Tabela 27 - Registro de partes interessadas 6.
79
Matriz de Análise de Partes Interessadas
Nome do Projeto: Projeto de Automatização de Estacionamentos Data:18/06/2015
Interesse
Alto poder, baixo interesse Alto poder, alto interesse
Baixo poder, baixo interesse Baixo poder, alto interesse
Figura 8 - Matriz de análise de partes interessadas.
Poder
80
Estratégia de Gerenciamento de Partes Interessadas
Nome do Projeto: Projeto de Automatização de Estacionamentos Data: 18/06/2015
Nome Nome da parte
interessada
Patrocinador
Influência Tipo de influência Bloqueador
Avaliação
do impacto
Nível ou impacto
da influência
Alto
Estratégias Estratégias e
táticas para
maximizar as
influências
positivas e
minimizar ou
neutralizar as
influências
negativas
Deverá ser realizada uma força tarefa em busca de entidades
dispostas a apostar no sucesso do projeto e investir os valores
de custos estimados. Para isto será necessário a realização de
marketing ativo, via telefone, e-mail e/ou mídias sociais, para
conseguir agendar entrevistas com possíveis patrocinadores e
apresentar o projeto. Prevê-se também a inscrição do projeto
em aceleradoras de startups, brasileiras e internacionais, e
participação em feiras de tecnologias para a realização de
marketing passivo, apresentando o projeto a uma massa de
possíveis investidores. Ao conseguir-se um patrocinador,
deverá haver um contrato que proteja a propriedade intelectual
de ambas as partes e garantam uma relação ganha-ganha.
Deverá também ser apresentado um relatório executivo do
andamento do projeto 1 vez por mês, a fim de garantir a ética e
a transparência das ações.
Nome Nome da parte
interessada
Donos de estacionamentos
Influência Tipo de influência Desacelerador
81
Avaliação
do impacto
Nível ou impacto
da influência
Alto
Estratégias Estratégias e
táticas para
maximizar as
influências
positivas e
minimizar ou
neutralizar as
influências
negativas
Para aumentar a probabilidade de sucesso do projeto deverá ser
instalado um projeto piloto em um parque de estacionamento
parceiro da empresa e/ou possível patrocinador. Para conseguir
isto deverá ser realizado um marketing ativo via telefone, e-
mail e/ou mídias sociais para agendar entrevistas com
possíveis parceiros de negócio e oferecer alguns benefícios
financeiros ou vantagens estratégicas a fim de fechar a parceria
com uma relação ganha-ganha.
Nome Nome da parte
interessada
Time do projeto
Influência Tipo de influência Aliados
Avaliação
do impacto
Nível ou impacto
da influência
Alta
Estratégias Estratégias e
táticas para
maximizar as
influências
positivas e
minimizar ou
neutralizar as
influências
negativas
O time inicial do projeto faz parte do board da startup. É
preciso manter o nível de motivação alto e, devido ao tamanho
restrito do time, cada membro deve se comprometer a entregar
sua parte no tempo apontado em cronograma. Para garantir a
motivação prevê-se encontros para mensais, para realizar a
integração dos componentes do projeto, atualização do
andamento do projeto e suas singularidades e happy hour para
manter o clima de amizade e engajamento dos membros do
time.
Nome Nome da parte
interessada
Usuários
Influência Tipo de influência Desacelerador
82
Avaliação
do impacto
Nível ou impacto
da influência
Baixo
Estratégias Estratégias e
táticas para
maximizar as
influências
positivas e
minimizar ou
neutralizar as
influências
negativas
Para conseguir um número de usuários que garantam os
requisitos de custos, investimentos e business case do projeto,
deverá ser realizado um marketing passivo através de mídias
sociais, propagandas em rádios, propagandas nos
estacionamentos parceiros, portais de comunicação na web,
youtube, outros Apps, entre outros meios que promovam o
marketing.
Nome Nome da parte
interessada
Entidades reguladoras
Influência Tipo de influência Bloqueador
Avaliação
do impacto
Nível ou impacto
da influência
Alta
Estratégias Estratégias e
táticas para
maximizar as
influências
positivas e
minimizar ou
neutralizar as
influências
negativas
É preciso estudar a fundo a legislação de transito brasileira
para que o App seja desenvolvido sem infligir nenhuma lei
destinada ao controle de estacionamentos e vias públicas para
estacionar, uma vez que é previsto o fechamento de uma
parceria com a prefeitura de São Paulo a fim de automatizar a
zona azul e apresentar os locais de estacionamento em via
pública, aqueles onde se é permitido estacionar ou parar os
veículos.
Nome Nome da parte
interessada
Forncedores
Influência Tipo de influência Aliado
83
Avaliação
do impacto
Nível ou impacto
da influência
Alta
Estratégias Estratégias e
táticas para
maximizar as
influências
positivas e
minimizar ou
neutralizar as
influências
negativas
Prevê-se a contratação de serviços externos a empresa e para
manter um bom relacionamento com os fornecedores os itens
do plano de gerenciamento de aquisições devem ser cumpridos
com maestria e os contratos deverão ser analisados por junta de
advogados consultores da empresa.
Tabela 28 - Estratégia de gerenciamento de partes interessadas.
5W2H no Processo de Comunicação
WHO? Quem necessita Patricinador
WHICH/WHAT? Qual informação? Apresentação comercial de negócio e status report
WHY? Porque? Para fechar parceria e manter a transparência sobre o
andamento do projeto e utilização dos recursos investidos
WHEN? Quando
necessitarão dela?
A apresentação comercial do negócio proposto deve ser
apresentada como cartão de visitas da empresa no
primeiro contato, através de conversa explicando os
objetivos S.M.A.R.T do projeto e em reunião,
apresentando os dados levantados que despertaram
interesse nesta oportunidade. O status report deve ser
apresentado mensalmente após afirmar a parceria e
receber fundos do patrocinador.
WHERE? Onde deverá ser
disponibilizada?
Deverá ser disponibilizada através área administrativa do
board da empresa no portal Web
84
HOW? Como será
fornecido (mídia,
formato,
tecnologia)
Será disponibilizado em PDF e armazenado em diretório
privado dentro do servidor e via e-mail.
HOW MUCH? Quanto custará? O custo administrativo destas informações é estimado em
$ 150,00
WHO? Quem necessita Donos de estacionamentos
WHICH/WHAT? Qual informação? Relatórios de desempenho e de monitoria de circulação de
veículos no parque
WHY? Porque? Para analise se está havendo um retorno financeiro do
custo aplicado em marketing digital via App.
WHEN? Quando
necessitarão dela?
Mensalmente
WHERE? Onde deverá ser
disponibilizada?
Através da área administrativa dos parceiros no portal
Web
HOW? Como será
fornecido (mídia,
formato,
tecnologia)
Será disponibilizado em PDF e armazenado em diretório
privado no servidor da empresa
HOW MUCH? Quanto custará? O custo administrativo destas informações é estimado em
$ 200,00
WHO? Quem necessita Time do projeto
WHICH/WHAT? Qual informação? Cronograma de atividades atualizado e cronograma de
custos atualizado
85
WHY? Porque? Para realizar o direcionamento do time do projeto ao
sucesso do projeto
WHEN? Quando
necessitarão dela?
Semanalmente
WHERE? Onde deverá ser
disponibilizada?
Através de servidor SVN
HOW? Como será
fornecido (mídia,
formato,
tecnologia)
Será fornecido em formato de arquivo do Project e WBS
Chart
HOW MUCH? Quanto custará? O custo administrativo estimado é de $10,00
WHO? Quem necessita Usuários
WHICH/WHAT? Qual informação? Estacionamentos cadastrados, vagas disponíveis e
serviços oferecidos por cada estacionamento
WHY? Porque? Para auxiliar a escolha e a previsão de gastos com
estacionamentos em deslocamento
WHEN? Quando
necessitarão dela?
Em tempo real
WHERE? Onde deverá ser
disponibilizada?
Via portal Web e App android
HOW? Como será
fornecido (mídia,
formato,
tecnologia)
Será disponibilizado via pagina HTML e PHP
86
HOW MUCH? Quanto custará? Custo estimado para a produção da infra estrutura do
software é de $ 3420,00
WHO? Quem necessita Entidade reguladoras
WHICH/WHAT? Qual informação? Relatórios jurídicos de conformidade com as leis do setor
WHY? Porque? Para aprovação do projeto e concorrência em licitações
WHEN? Quando
necessitarão dela?
Quando forem solicitadas ao corpo da empresa
WHERE? Onde deverá ser
disponibilizada?
Em arquivos e pastas físicas no escritório da empresa
HOW? Como será
fornecido (mídia,
formato,
tecnologia)
Será fornecido em papel autenticado
HOW MUCH? Quanto custará? O custo administrativo estimado é de $1000,00
Tabela 29 - Matriz 5W2H do processo de comunicação.
87
Atas de reunião
As atas de reunião tem como objetivo registrar tudo aquilo que foi discutido durante
um processo de comunicação, onde, todas as considerações feitas durante o processo são
armazenadas e recebem um “OK” de ambas as partes, servindo, assim, como um registro
formal de todos os acordos firmados e compromissos assumidos.
Exemplo de relatórios do projeto
Os principais relatórios a serem publicados no sistema de informações do projeto são
apresentados a seguir.
Os relatórios listados a baixo são somente ilustrativos para demonstrar quais serão os
dados a serem reportados. O responsável por manter o relatório sempre atualizado será o Eng.
Adriano Silva, que deverá revisar semanalmente os dados e gerar um PDF que será
armazenado na área administrativa do board da empresa, no portal Web. Também fica de sua
responsabilidade apresentar ao sponsor do projeto todos os dados solicitados.
Status Report:
Este relatório tem o objetivo de demonstrar o andamento do projeto através das
analise das curvas S planejadas para a linha de base do projeto com as curvas S reais do
projeto até o ponto analisado e a progressão dos desvios até o fim do projeto.
Responsável: Eng. Adriano Silva
Figura 9 - Exemplo de relatório de Status Report.
88
Ambiente técnico e estrutura de armazenamento e distribuição da informação (EPM)
Para auxilio a transparecer o processo e comunicação haverá um software de EPM
proprietário adicionado na área administrativa do portal Web do projeto. Este ambiente,
inicialmente, atuara como um ambiente de interação e armazenamento de documentos
virtuais. Para auxilio as vídeos conferências, será utilizado o hangout, do google + e o Skype
da Microsoft.
Alocação financeira para o gerenciamento das comunicações
Para o facilitar os processos de comunicação prevê-se um budget de $ 1420,00 que
deverá ser utilizado para a produção do portal Web e suas funções administrativas.
Responsável pelo plano
William Strafacce Soares – Gerente de Projetos.
Rafael Alexandre de Oliveira – Engenheiro Elétrico
Frequência de atualização do plano de gerenciamento das comunicações
Os processos de comunicação devem ser continuamente aprimorados para que haja
total transparência e este plano de projeto deve ser revisto de 15 em 15 dias para analise de
conformidade, eficácia e eficiência dos processos de comunicação empregados.
REGISTRO DE ALTERAÇÕES
Data Modificado por Descrição da mudança
18/06/2015 William Strafacce Soares Revisão 1.0
APROVAÇÕES
André Bittencourt do
Valle – Coordenador
Acadêmico Executivo
Data
18/06/2015
89
4.10. Plano de gerenciamento de riscos e respostas aos riscos
Projeto de Automatização de Estacionamentos
PLANO DE GERENCIAMENTO DE RISCOS E DE RESPOSTAS AOS RISCOS
RISK MANAGEMENT PLAN AND RISK RESPONSE MANAGEMENT PLAN
Preparado por William Strafacce Soares Versão 1.0
Aprovado por André Bittencourt do Valle Data: 19/06/2015
Descrição dos processos de gerenciamento dos riscos
Segundo o guia PMBOK edição 5 [3] o gerenciamento dos riscos é dividido em 6
processos, são eles:
 Planejar o gerenciamento dos riscos: este processo tem o objetivo de definir como
conduzir as atividades de gerenciamento de riscos para um projeto. Tem como principais
entradas o termo de abertura do projeto e o registro de partes interessadas e principal saída o
plano de gerenciamento dos ricos.
 Identificar os riscos: este processo tem o objetivo de determinar que riscos podem
afetar o projeto e documentar suas características. Tem com principais entradas o plano de
gerenciamento de custos, plano de gerenciamento do cronograma, plano de gerenciamento da
qualidade, plano de gerenciamento dos recursos humanos, a linha de base do escopo, a
estimativa de custo das atividades, a estimativa de duração das atividade e o registro das
partes interessadas e como principal saída o registro dos ricos.
 Executar a análise qualitativa dos riscos: este processo tem o objetivo de priorizar
os riscos para uma analise adicional ou ações pela avaliação combinada de suas
probabilidades de ocorrência e impacto. Tem como principal entrada o registro de riscos e
principal saída a atualização dos documentos do projeto.
 Executar a análise quantitativa dos riscos: este processo tem o objetivo de analisar
numericamente o efeito dos riscos identificados nos objetivos do projeto como um todo. Tem
90
como principais entradas o plano de gerenciamento dos custos, o plano de gerenciamento do
cronograma e o registro de riscos e principal saída a atualização dos documentos do projeto.
 Planejar respostas aos riscos: este processo tem o objetivo de desenvolver ações
ou opções para aumentar as oportunidades e reduzir as ameaças aos objetivos do projeto. Tem
como principal entrada o registro dos ricos e principal saída a atualização dos documentos do
projeto.
 Controlar os riscos: este processo tem o objetivo de implementar o plano de
respostas aos riscos, acompanhar os riscos identificados, monitorar os riscos residuais,
identificar novos riscos e avaliar a efetividade dos processos de risco durante o projeto. Tem
como principais entradas o registro de riscos e os dados de desempenho do trabalho e
principal saída as requisições de mudança.
RBS – Risk Breakdown Structure para a identificação dos riscos
O RBS do projeto deve apresentar e listar todos os riscos identificados nas áreas de
ambiente:
 Externos: esta categoria de riscos tem o objetivo de identificar riscos externos ao
ambiente do projeto. Estes riscos devem listar as ameaças e oportunidades referentes ao
cenário brasileiro quando o projeto for concluído;
 Internos: esta categoria de riscos tem o objetivo de identificar os riscos internos ao
ambiente do projeto. Estes riscos devem listar as ameaças e oportunidades referentes ao
ambiente de trabalho, equipe, empresa, escritório, entre outros.
 Técnicos: esta categoria de riscos tem o objetivo de identificar os riscos técnicos
do projeto. Estes riscos devem listar as ameaças ou oportunidades referentes as expertises do
time do projeto, tecnologia existentes, infraestrutura, entre outros aspectos relacionado a itens
técnicos.
 Gerenciais: esta categoria tem o objetivo de identificar os riscos relacionados a
gestão do projeto.
91
Riscos identificados
Os riscos identificados no projeto, segundo o WBS do projeto e a RBS anteriormente
apresentada estão apresentados na estrutura a seguir.
Figura 10 - Estrutura Análitica de RIscos (EAR).
Estes riscos foram identificados pelo time do projeto em reunião utilizando
ferramenta de Brainstorming.
Qualificação dos riscos
Os riscos identificados serão qualificados na sua probabilidade de ocorrência e
gravidade dos resultados, conforme tabela a seguir:
Probabilidade
Baixa – este nível é correspondente a probabilidade de ocorrência menor que 20%.
Média – este nível é correspondente a probabilidade de ocorrência entre 20% e 80%
Alta – este nível é correspondente a probabilidade de ocorrência maior que 80%
92
Impacto
Baixo – este nível descreve impactos menores que 10% no custo do projeto
Médio – este nível descreve impactos entre 10% e 20% no custo do projeto
Alto – este nível descreve impactos maiores que 20% no custo do projeto
Matriz de probabilidade e impacto => exposição
Probabilidade Exposição ao Risco = P x I
Alta (0.9) 0.09 0.18 0.27
Média (0.5) 0.05 0.1 0.15
Baixa (0.1) 0.01 0.02 0.03
Baixo (0.1) Médio (0.2) Alto (0.3)
Escala de Impacto
Tabela 30 - Matriz de exposição ao risco.
Id Data Categoria Descrição do Risco % $ Expos.
1 19/06/2015 Externos Dólar Alta Alto 0.27
2 19/06/2015 Externos Não encontrar investidor Média Alto 0.15
3 19/06/2015 Externos Concorrência Média Médio 0.1
4 19/06/2015 Externos Publico Alvo Média Alto 0.15
5 19/06/2015 Internos Engajamento Baixo Médio 0.02
6 19/06/2015 Internos Diferenças culturais Baixo Baixo 0.01
7 19/06/2015 Internos Aderência aos processos Baixa Médio 0.02
8 19/06/2015 Técnicos Performance Média Alto 0.15
9 19/06/2015 Técnicos Qualidade Baixa Alto 0.03
93
10 19/06/2015 Técnicos Escopo Alta Alto 0.27
11 19/06/2015 Técnicos Tecnologia Média Alto 0.15
12 19/06/2015 Gerenciais Estimativas Média Alto 0.15
13 19/06/2015 Gerenciais Controle Baixa Alto 0.03
14 19/06/2015 Gerenciais Patentes Baixa Alto 0.03
15 19/06/2015 Gerenciais Legislação Baixa Médio 0.02
Tabela 31 - Matriz de registro de riscos.
0
1
2
3
4
5
6
7
Baixo Médio Alto
Baixa
Média
Alta
Figura 11 - Gráfico de Riscos x Exposição.
Quantificação dos riscos
Não foi utilizado processo de quantificação dos riscos pois não existia nenhum dado
estatístico de projetos anteriores.
Riscos x Exposição
94
Sistema de controle de mudanças de riscos (Risk change control system)
Figura 12 - Fluxograma de controle do gerenciamento de mudanças de riscos.
Respostas planejadas aos riscos
Para os riscos identificados e qualificados, optou-se por estratégias diferenciadas
para cada necessidade, conforme quadro a seguir.
Item Fase Risco % $ Resposta Descrição Custo Com o
tempo
1.3.1 Viabilidade
de negócio
Dólar Alta Alto Mitigar o
impacto
Antecipar a aquisição
de produtos
importados
+ou-
$ 200,00
Aumenta
o grau de
certeza
1.3.2 Viabilidade
de negócio
Não encontrar
investidor
Média Alto Aceitar
ativamente
Dar continuidade aos
projetos com recursos
próprios e continuar
buscando parcerias a
medida que o projeto
for evoluindo e o
protótipo for tomando
forma
$ 1000,00 Agrava
1 Fechamento Concorrência Média Médio Evitar Desenvolver o projeto $ 2000,00 Agrava
95
Item Fase Risco % $ Resposta Descrição Custo Com o
tempo
no menor prazo
possível, respeitando a
restrição pentagonal
1 Fechamento Público Alvo Média Alto Mitigar a
probabilidade
Aplicar estratégias de
marketing para maior
divulgação e técnicas
de vendas para maior
aderência de
estacionamentos
$ 300,00 Atenua
1.1 Software Performance Média Alto Mitigar a
probabilidade
Utilizar um hardware
de alta performance e
aplicar técnicas
otimização de
processamento
$ 100,00 Aumenta
o grau de
certeza
1.1 /
1.2
Software e
Hardware
Escopo Alta Alto Mitigar a
probabilidade
Realizar reuniões de
abertura de fases do
projeto para discussão
sobre escopo
$ 25,00 Agrava
1.2 Hardware Tecnologia Média Alto Evitar Adquirir o máximo de
tecnologias conhecidas
$ 0,00 Agrava
1 Projeto Estimativas Média Alto Mitigar a
probabilidade
Monitorar diariamente
os desvios na
estimativa e melhorar
o plano do projeto e os
processos de
desenvolvimento
$ 0,00 Agrava
Tabela 32 - Matriz de respostas aos riscos
96
Reservas de contingência
Reservas de Contingência
Gerente de projetos $ 1500,00
Engenheiro Elétrico $ 1500,00
Comercial $ 500,00
Tabela 33 - Reservas de contingência.
 Gerente de projetos – autonomia para utilizar as reservas de contingência para
responder aos riscos, de acordo com o plano de resposta aos riscos definido no item 4.10 deste
projeto.
 Engenheiro elétrico – autonomia para utilizar as reservas de contingência para
viabilizar produção de hardware protótipo.
 Comercial – autonomia para utilizar as reservas de contingência para viabilizar o
negócio buscando investidores.
Frequência de avaliação dos riscos do projeto
Os riscos do projeto devem ser monitorados diariamente e sua ocorrência deve
disparar o processo de resposta ao risco definido neste plano. Também devem ser realizadas
reuniões mensais para analise, atualização de registro de riscos e levantamento de outros
riscos que forem surgindo ao longo do ciclo de vida do projeto.
Alocação financeira para o gerenciamento de riscos
Para executar planos de contingência e resposta aos riscos será reservado 30% do
budget do projeto.
Responsável pelo plano
William Strafacce Soares – Gerente de Projetos.
Rafael Alexandre de Oliveira – Engenheiro Elétrico.
97
Frequência de atualização do plano de gerenciamento de riscos
O plano de gerenciamento de riscos deve ser atualizado sempre que um risco
identificado se torne realidade ou deixe de impactar o projeto. Uma vez ao mês deve ser
realizada uma reunião para análise de registro de riscos e levantamento de novos riscos ao
projeto.
REGISTRO DE ALTERAÇÕES
Data Modificado por Descrição da mudança
19/06/2015 William Strafacce Soares Revisão 1.0
APROVAÇÕES
André Bittencourt do
Valle – Coordenador
Acadêmico Executivo
Data
19/06/2015
98
4.11. Plano de gerenciamento de aquisições
Projeto de Automatização de Estacionamentos
PLANO DE GERENCIAMENTO DE AQUISIÇÕES
PROCUREMENT MANAGEMENT PLAN
Preparado por William Strafacce Soares Versão 1.0
Aprovado por André Bittencourt do Valle Data: 22/06/2015
Descrição dos processos de gerenciamento de aquisições
Segundo o guia PMBOK edição 5 [3] o gerenciamento de aquisições é dividido em 4
processos, são eles:
 Planejar o gerenciamento das aquisições: este processo tem o objetivo de
documentar as decisões de compra do projeto, especificar a estratégia e identificar potenciais
fornecedores. Tem como principais entradas a documentação de requisitos, o registro de
riscos, o requisito de recursos das atividades, o cronograma do projeto, a estimativa de custo
das atividade e o registro das partes interessadas e principais saídas o plano de gerenciamento
das aquisições, a declaração de trabalho das aquisições, os documentos de aquisições e a
decisão de comprar ou fazer.
 Conduzir as aquisições: este processo tem o objetivo de obter resposta dos
fornecedores, selecionar fornecedores e celebrar contratos. Tem como principais entradas os
documentos de aquisições, os critérios para seleção de fornecedores, as propostas dos
fornecedores e a decisão de comprar ou fazer e principal saída os fornecedores selecionados.
 Controlar as aquisições: este processo tem o objetivo de gerenciar o
relacionamento das aquisições, monitorar o desempenho do contrato e fazer as correções e
mudanças necessárias. Tem como principais entradas os documentos de aquisições, os
contratos e as requisições de mudanças aprovadas e principal saída as requisições de
mudanças.
99
 Encerrar as aquisições: este processo tem o objetivo de terminar cada processo de
aquisição do projeto, verificando que todo o trabalho e entregáveis foram realizados e estão
em conformidade com o que foi solicitado. Tem como principal entrada os documentos de
aquisições e principal saída as aquisições encerradas.
Gerenciamento e tipos de contratos
Este projeto prevê a utilização de contratos de preço fixo somente, uma vez que serão
realizadas aquisições de serviços de host, serviços GSM, placas de circuito impresso e
componentes eletrônicos.
Critérios de avaliação de cotações e propostas
Para a contratação dos serviços de host serão analisados os seguintes fatores:
Fator de avaliação Pontuação
Configuração de
Hardware (x2)
Baixa Média Alta
0.1 0.2 0.3
Latência de rede (x3)
0 a 100 ms 101 a 300 ms 301 a 500 ms
0.3 0.2 0.1
Valor por usuário
simultâneo conectado
(x5)
até $ 1,00 $ 1,01 até $ 2,50 $ 2,51 até $ 5,00
0.3 0.2 0.1
Tabela 34 - Critérios de avaliação de cotações e propostas 1.
Para a contratação dos serviços GSM serão analisados os seguintes fatores:
Fator de avaliação Pontuação
Velocidade da banda
(x2)
3G 3GH 4G
0.1 0.2 0.3
Volume de trafego (x3) Até 1 MB De 1 MB à 5 MB De 5 MB à 10 MB
100
0.1 0.2 0.3
Valor por chip (x5)
até $ 2,50 $ 2,51 até $ 5,00 $ 5,01 até $ 7,50
0.3 0.2 0.1
Tabela 35 - Critérios de avaliação de cotações e propostas 2.
Para a contratação dos serviços de produção de placas de circuito impresso serão
analisados os seguintes fatores:
Fator de avaliação Pontuação
Tempo de entrega, a
partir do pedido, em
região metropolitana
de SP (x2)
3 dias úteis 5 dias úteis 7 dias úteis
0.1 0.2 0.3
Valor de 10 peças da
central (x5)
até $ 10,00 / p $ 10,01 / p até $ 20,00 /
p
$ 20,01 / p até $ 30,00
/ p
0.3 0.2 0.1
Valor de 100 peças
da central (x5)
até $ 1,00 / p $ 1,01 / p até $ 2,00 / p $ 2,01 / p até $ 3,00 /
p
0.3 0.2 0.1
Tabela 36 - Critérios de avaliação de cotações e propostas 3.
Para a compra dos componentes eletrônicos deverá ser realizado até 3 orçamento e
contratada a proposta de preço mais baixo uma vez que estes componentes são padronizados e
são indexados pelo seu partnumber.
101
Avaliação de fornecedores
Para a avaliação dos serviços de host serão analisados os seguintes fatores:
 É considerado satisfatório um nível de queda do servidor inferior a 3 ocorrências
por mês, podendo-se haver uma reavaliação do fornecedor caso essa restrição seja quebrada
por 2 meses seguidos.
Para a avaliação dos serviços de GSM serão analisados os seguintes fatores:
 Garantia de conexão em modo 3G High em pelo menos 70% das localidades onde
a central será instalada;
 Garantia de 100% das centrais com conexão de internet;
Para a avaliação dos serviços de impressão de placas de circuito impressos serão
analisados os seguintes fatores:
 Garantia de capacidade de produção de 10 x da quantidade média dos pedidos;
 Garantia que o circuito suporta temperaturas entre 40 e 90 graus celcius;
 Garantia de aproveitamento de 95% do lote enviado.
Frequência de avaliação dos processos de aquisições
Os processos de aquisição devem ser avaliados mensalmente e no caso do
descumprimento das premissas aqui dispostas deve ser analisado a troca do fornecedor de
serviço e/ou quebra de contrato.
Alocação financeira para o gerenciamento das aquisições
Para realizar o gerenciamento das aquisições será alocado 10% do budget do projeto
e este valor deverá ser aplicado para gestão dos contratos e aquisição de componentes
eletrônicos.
Responsável pelo plano
William Strafacce Soares – Gerente de Projetos.
Rafael Alexandre de Oliveira – Engenheiro Elétrico.
102
Frequência de atualização do plano de gerenciamento das aquisições
O plano de gerenciamento das aquisições deve ser atualizado sempre que um novo
contrato for firmado para que haja uma avaliação dos critérios definidos e uma atualização e
melhoria das tabelas de avaliação dos fornecedores.
REGISTRO DE ALTERAÇÕES
Data Modificado por Descrição da mudança
22/06/2015 William Strafacce Soares Revisão 1.0
APROVAÇÕES
André Bittencourt do
Valle – Coordenador
Acadêmico Executivo
Data
22/06/2015
103
4.12. Plano de gerenciamento de stakeholders
Projeto de Automatização de Estacionamentos
Plano de Gerenciamento de Stakeholder
STAKEHOLDER MANAGEMENT PLAN
Preparado por William Strafacce Soares Versão 1.0
Aprovado por André Bittencourt do Valle Data: 23/06/2015
Este plano tem como objetivo identificar as partes interessadas no projeto e adequar
as ações que serão tomadas de forma que seja possível alcançar o sucesso do projeto com o
maior apoio e envolvimento possível. Segundo o guia PMBOK 5 [3] o gerenciamento das
partes interessadas é dividido em 4 processos, são eles:
 Identificar as partes interessadas: este processo tem como objetivo identificar
todas as pessoas ou organizações impactadas pelo projeto e documentar informações
relevantes sobre seus interesses, envolvimentos e suas influencias no sucesso do projeto. Tem
como principal entrada o termo de abertura do projeto e principal saída o registro de partes
interessadas.
 Planejar o gerenciamento das partes interessadas: este processo tem como objetivo
desenvolver estratégias de gerenciamento apropriadas para engajar efetivamente todas as
partes interessadas durante todo o projeto. Tem como principal entrada o registro de partes
interessadas e principal saída o plano de gerenciamento de partes interessadas.
 Gerenciar o engajamento das partes interessadas: este processo tem como objetivo
comunicar e trabalhar com as partes interessadas para atender suas expectativas e
necessidades, endereçar os problemas assim que eles ocorrerem e promover o engajamento
das partes interessadas durante todo o ciclo de vida do projeto. Tem como principais entradas
o plano de gerenciamento das comunicações e o registro de mudanças e principal saída as
requisições de mudanças.
 Controlar o engajamento das partes interessadas: este processo tem como objetivo
monitorar o relacionamento global das partes interessadas do projeto e ajustar estratégias e
104
planos para engajá-los. Tem como principais entradas os registros de problemas e dados sobre
o desempenho do trabalho e principal saída as requisições de mudança.
Identificação das partes interessadas
Nome do StakeHolder Cargo Mutualidade*
Patrocinador Executivo Alta
Donos de estacionamentos Executivo Alta
Time do projeto Operacional Media
Usuários Público Media
CET Órgão Público Alta
Empresas de marketing Empresa privada Baixa
Fornecedores de serviços de
host
Empresa privada Baixa
Fornecedores de placas de CI Empresa privada Média
Fornecedores de
componentes eletrônicos
Empresa privada Média
Concessionária de tarifação
de catracas (Ex.: Sem Parar,
Shoppings, etc.)
Empresa privada Alta
Secretária de transportes SP Órgão Público Alta
Tabela 37 - Identificação das partes interessadas.
O levantamento das partes interessadas foi feito utilizando técnicas de Brainstorming
considerando o público alvo, a ligação direta com o produto de software gerado pelo projeto,
App Android e Portal Web, seja utilizando ou comprando espaços de marketing, dependência
de empresas fornecedoras e ligação com o sistema de transito do estado de São Paulo.
105
No decorrer do ciclo de vida do projeto deverá ser feita uma análise sobre a inclusão
de mais partes interessadas e revisão sobre as mudanças de prioridades ou grau de influência
dado inicialmente. Esta análise deve levar em consideração o ambiente de atuação,
inicialmente sendo na grande São Paulo, mas podendo expandir para regiões interioranas e
outros estados, parceiros de negócios, patrocinadores, concorrentes, patentes e cenários
internacionais.
Priorização das partes interessadas
Urgência
Leg
.
Nome Cargo Poder Prox. Valor Ação Prioridade
Patrocinador Executivo
Muito
Alto
Muito
Baixa
Bloqueador
Manter
satisfeito
0
Donos de
estacionamentos
Executivo Baixo Baixo
Desacelerad
or
Monitorar 0
Time do projeto Operacional Alto
Muito
Alta
Aliado
Gerenciar
com
atenção
1
Usuários Público
Muito
Baixo
Muito
Baixo
Desacelerad
or
Monitorar 2
CET Órgão Público Alto Baixo Bloqueador
Manter
satisfeito
2
Empresas de
marketing
Empresa
privada
Muito
Baixo
Muito
Baixo
Desacelerad
or
Monitorar 2
Fornecedores de
serviços de host
Empresa
privada
Alto Alta Aliado
Gerenciar
com
atenção
1
Fornecedores de
placas de CI
Empresa
privada
Alto Alta Aliado
Gerenciar
com
atenção
1
Fornecedores de
componentes
Empresa
privada
Baixo Alta
Membros da
rede
Manter
informado
1
106
eletrônicos
Concessionária de
tarifação de
catracas (Ex.: Sem
Parar, Shoppings,
etc.)
Empresa
privada
Muito
Alto
Muito
Baixa
Bloqueador
Manter
satisfeito
0
Secretária de
transportes SP
Órgão Público Alto Baixo Bloqueador
Manter
satisfeito
1
Tabela 38 - Priorização das partes interessadas.
As partes interessadas foram priorizadas segundo a tabela a baixo:
Prioridade Justificativa
Zero Partes interessadas que são fatores de
sucesso, se apoiadores, ou fracasso, se
resistentes.
Um Partes interessadas que podem influenciar o
andamento do projeto com sua força baseadas
em leis e regulamentações ou em
fornecimento de matéria prima.
Dois Partes interessadas que são afetadas
indiretamente pelo sucesso do projeto.
Tabela 39 - Prioridade das partes interessadas.
107
Figura 13 - Matriz de análise de poder, proximidade e urgência das partes interessadas.
+
- +
Proximidade
Poder Urgência
108
Plano de engajamento das partes interessadas
Urgência Atual Desejável
Leg Nome Cargo Poder Prox. Valor Ação Prior. Recept. Apoio Recept. Apoio
Patrocinador Executivo
Muito
Alto
Muito
Baixa
Bloqueador
Manter
satisfeito
0 Muito Baixo Desconhece Muito Alto Apoiador
Donos de
estacionamentos
Executivo Baixo Baixo Desacelerador Monitorar 0 Muito Baixo Desconhece Muito Alto
Conhece ou
apoiador
Time do projeto Operacional Alto
Muito
Alta
Aliado
Gerenciar
com
atenção
1 Muito Alto Apoiador Muito Alto Apoiador
Usuários Público
Muito
Baixo
Muito
Baixo
Desacelerador Monitorar 2 Alto Desconhece Muito Alto
Conhece ou
Apoiador
CET
Órgão
Público
Alto Baixo Bloqueador
Manter
satisfeito
2 Alto Desconhece Alto Neutro
Empresas de
marketing
Empresa
privada
Muito
Baixo
Muito
Baixo
Desacelerador Monitorar 2 Alto Desconhece Muito Alto
Conhece ou
Apoiador
Fornecedores de
serviços de host
Empresa
privada
Alto Alta Aliado
Gerenciar
com
1 Alto Neutro Alto Neutro
109
atenção
Fornecedores de
placas de CI
Empresa
privada
Alto Alta Aliado
Gerenciar
com
atenção
1 Alto Neutro Alto Neutro
Fornecedores de
componentes
eletrônicos
Empresa
privada
Baixo Alta
Membros da
rede
Manter
informado
1 Alto Neutro Alto Neutro
Concessionária
de tarifação de
catracas (Ex.:
Sem Parar,
Shoppings, etc.)
Empresa
privada
Muito
Alto
Muito
Baixa
Bloqueador
Manter
satisfeito
0 Muito Baixo
Desconhece/
Resistente
Muito Alto
Conhece ou
Apoiador
Secretária de
transportes SP
Órgão
Público
Alto Baixo Bloqueador
Manter
satisfeito
1 Alto Desconhece Alto Neutro
Tabela 40 - Plano de engajamento das partes interessadas.
110
Plano de comunicação
Nome Cargo Propósito Método Quem? Frequência
Patrocinador Executivo
Proposta comercial de patrocínio /
reuniões de “status report”.
Reuniões, feiras tecnológicas,
submissão do projeto em
aceleradoras / chamadas em
conferência, e-mail e relatórios
executivos
Adriano Silva Diariamente até fechar um ou
mais contratos de patrocínio e
em atendimento as clausulas
contratuais exigidas.
Donos de
estacionamentos
Executivo
Proposta comercial de parceria. Reuniões e marketing ativo Adriano Silva Após termino de protótipo, para
implantar em um
estacionamento piloto, e
semanalmente após concluir o
projeto piloto e obter um case
de sucesso.
Time do projeto Operacional
Andamento do projeto em nível de
pacotes de trabalho
Reuniões William Strafacce
Soares
Semanalmente.
Usuários Público
Propagandas sobre o App Marketing Passívo Rafael Oliveira Diariamente após implantação
de projeto piloto.
CET
Órgão
Público
Documentos de legislação Formulários Rafael Oliveira Se necessário.
Empresas de
marketing
Empresa
privada
Proposta comercial de divulgação da
App / proposta comercial de venda de
Reuniões e Marketing Ativo Adriano Silva Diariamente após implantação
de projeto piloto.
111
espaços direcionados a marketing e
propaganda, tanto no portal web como
na App
Fornecedores de
serviços de host
Empresa
privada
Requisitos de qualidade relacionados a
configuração de servidores
E-mail e reuniões William Strafacce
Soares
Após término de protótipo.
Fornecedores de
placas de CI
Empresa
privada
Requisitos para a fabricação do
hardware
E-mail Rafael Alexandre
de Oliveira
Após término de design de placa
da central e sensor.
Fornecedores de
componentes
eletrônicos
Empresa
privada
Lista de componentes eletrônicos E-mail Rafael Alexandre
de Oliveira
Após término de design de placa
da central e sensor.
Concessionária
de tarifação de
catracas (Ex.:
Sem Parar,
Shoppings, etc.)
Empresa
privada
Proposta comercial de integração com
sistema controlador de catracas
Reuniões Adriano Silva e
William Strafacce
Soares
Após fechamento de contrato de
implantação com shoppings e
estacionamentos que utilizam
este sistema
Secretária de
transportes SP
Órgão
Público
Documentos de legislação Formulários Rafael Oliveira Se necessário.
Tabela 41 - Plano de comunicação com as partes interessadas.
112
A monitoria da efetividade da comunicação deverá ser realizada através do
levantamento e análise dos valores gastos para realizar as comunicações versus os contratos
fechados, valores e conformidade com os requisitos de escopo, tempo e custos do projeto.
Caso esta análise resulte em impactos de escopo acima de 10% e impactos de tempo ou custos
acima de 20%, deverá ser contratada ajuda de uma consultoria para auxiliar e melhorar os
processos de comunicação definidos no plano de comunicação.
REGISTRO DE ALTERAÇÕES
Data Modificado por Descrição da mudança
23/06/2015 William Strafacce Soares Revisão 1.0
APROVAÇÕES
André Bittencourt do
Valle – Coordenador
Acadêmico Executivo
Data
23/06/2015
113
5. CONCLUSÕES
O objetivo deste trabalho foi identificar a necessidades de tecnologia existentes nos
setores de tráfego da capital paulista e sugerir um protótipo de uma solução inovadora que
facilitará a vida dos condutores de veículos automotores. Utilizando-se desta proposta de
software o usuário poderá identificar facilmente as opções de parques de estacionamentos
disponíveis próximos a sua localização atual ou futura, podendo se preparar para os desafios
que irá encontrar para estacionar seu veículo e quais os serviços, fora guarda segura do seu
veículo, os estacionamentos oferecem. É previsto que este projeto sofrerá uma evolução para
melhor se adaptar as necessidades dos seus clientes e usuários conforme for havendo feedback
dos mesmos e conforme for surgindo novas tecnologias que facilitem os processos de
acessibilidade e performance de aplicativos em dispositivos smartphones que sejam
superiores aos da realidade atual.
114
6. REFERÊNCIAS BIBLIOGRÁFICAS
[1] M. Pinho, “Globo São Paulo,” 15 02 2014. [Online]. Available: http://g1.globo.com/sao-
paulo/noticia/2014/02/sao-paulo-registra-maior-crescimento-da-frota-de-carros-em-tres-
anos.html. [Acesso em 03 06 2015].
[2] Smart Parking Ltd, “Smart Parking,” 07 2013. [Online]. Available:
http://www.smartparking.com/. [Acesso em 02 2014].
[3] PMI - Project Management Institute, Um Guia do Conhecimento em Gerenciamento de
Projetos (Guia PMBOK®), Pennsylvania: GlobalStandard, 2013.
[4] Freescale Semiconductor, Inc., “Freescale,” Freescale Semiconductor, Inc., 2004-2015.
[Online]. Available: http://www.freescale.com. [Acesso em 17 6 2015].
[5] Project Management Institute, Inc., “PMI - Project Management Institute,” Project
Management Institute, Inc., 2015. [Online]. Available: http://www.pmi.org/. [Acesso em
02 2015].

William Strafacce Soares

  • 1.
    WILLIAM STRAFACCE SOARES PROJETODE AUTOMATIZAÇÃO DE ESTACIONAMENTOS Trabalho apresentado ao curso MBA em Gerenciamento de Projetos, Pós-Graduação lato sensu, da Fundação Getulio Vargas como requisito parcial para a obtenção do Grau de Especialista em Gerenciamento de Projetos. ORIENTADOR: Prof. André Valle Campinas - SP 09/2015
  • 2.
    FUNDAÇÃO GETULIO VARGAS PROGRAMAFGV MANAGEMENT MBA EM GERENCIAMENTO DE PROJETOS O Trabalho de Conclusão de Curso Projeto de Automatização de Estacionamentos elaborado por (William Strafacce Soares) e aprovado pela Coordenação Acadêmica do curso de MBA em Gerenciamento de Projetos, foi aceito como requisito parcial para a obtenção do certificado do curso de pós-graduação, nível de especialização do Programa FGV Management. Local, Data André Bittencourt do Valle Coordenador Acadêmico Executivo André Bittencourt do Valle Professor Orientador
  • 3.
    TERMO DE COMPROMISSO Oaluno William Strafacce Soares, abaixo assinado, do curso de MBA em Gerenciamento de Projetos com Ênfase em TI, Turma 07 do Programa FGV Management, realizado nas dependências da IBE-FGV Campinas, no período de 22/06/13 a 15/09/15, declara que o conteúdo do Trabalho de Conclusão de Curso intitulado Projeto de Automatização de Estacionamentos é autêntico, original e de sua autoria exclusiva. Campinas, 02/06/2015 William Strafacce Soares
  • 4.
    Dedicado a Deuse aos meus familiares por todo apoio nos momentos de dificuldade e por toda a dedicação prestada. Ao Prof. orientador Me. André Bittencourt do Valle por guiar e ajudar a produção deste trabalho e gerir o bom andamento do curso de MBA em Gerenciamento de Projetos com Ênfase em TI do Programa FGV Management.
  • 5.
    RESUMO Palavras Chave: PMBOK,Freescale, Estacionamentos, App, Android Com o crescente aumento da frota de veículos do estado de São Paulo é notada uma oportunidade de atuação junto aos estacionamentos da cidade com o objetivo de auxiliar os motoristas a encontrarem o melhor local para armazenar seus veículos temporáriamente. Visando explorar esta oportunidade este documento tem por objetivo apresentar, em modelo de projeto baseado na estrutura definida pelo guia PMBOK [3], as etapas necessárias para a criação de um software inovador no mercado nacional que irá realizar o mapeamento dos parques de estacionamento da cidade e disponibilizar esta informação para o usuário via aplicativo para smartphones com sistema operacional Android e via portal Web.
  • 6.
    ABSTRACT Keywords: PMBOK, Freescale,Parking, App, Android With the increasing vehicle fleet in the state of São Paulo is noted an opportunity of acting along the city's parking lots with the aim of helping motorists find the best place to temporarily store their vehicles. Aiming to exploit this opportunity this document aims to present in project template based on the structure defined by the PMBOK [3], the steps needed to create an innovative software in the domestic market that will perform the mapping of the city's car parks and make this information available to the user via an app for smartphones with Android operating system and Web portal.
  • 7.
    AGRADECIMENTOS Gostaria de demonstrarmeus agradecimentos a todas as pessoas que fizeram parte de meu crescimento profissional, pessoal e intelectual. Certamente não serei capaz de contemplar a todos que fizeram parte desta conquista e deixo aqui minhas desculpas aqueles que não foram citados. Reverencio solenemente todos os Professores que ministraram as matérias do curso de MBA em Gerenciamento de Projetos com Ênfase em TI do Programa FGV Management, os quais foram capazes de apresentar uma parcela importante de sua experiência pessoal e profissional na área e desvendar de maneira sutil e de fácil entendimento as técnicas mais atuais e utilizadas no mercado na área de Gestão de Projetos. Agradeço ao instituto IBE-FGV de Campinas e a todos os seus servidores, pelo carinho e dedicação na realização de seus trabalhos e por ceder seu espaço para ajudar o Brasil na formação de Lideres em diversas áreas de atuação e setores da economia. Aos colegas de classe que fizeram parte deste ciclo acadêmico, que guardo boas lembranças e espero manter contato fora do ambiente da FGV. Aos meus familiares que me apoiaram em momentos bons e de extrema dificuldade durante o período que estive em compromisso com a FGV. Aos colegas da turma de Engenharia Elétrica da UNIP de Campinas que fizeram parte deste projeto e auxiliaram com suas experiências profissionais e pessoais para a construção deste produto desde o conceito até a produção do protótipo.
  • 8.
    SUMÁRIO 1. INTRODUÇÃO 11 1.1.CONSIDERAÇÕESINICIAIS ...................................................................................11 2.FUNDAMENTAÇÃO TEÓRICA 12 2.1. CONSIDERAÇÕES INICIAIS ..................................................................................12 3. METODOLOGIA CIENTÍFICA 13 3.1. CONSIDERAÇÕES INICIAIS ..................................................................................13 4. PLANO DE PROJETO 14 4.1. TERMO DE ABERTURA ................................................................................14 4.2. DECLARAÇÃO DE ESCOPO.........................................................................18 4.3 ESTRUTURA ANALÍTICA DO PROJETO (EAP)........................................25 4.4. PLANO DE GERENCIAMENTO DE ESCOPO............................................33 4.5. PLANO DE GERENCIAMENTO DE TEMPO..............................................39 4.6. PLANO DE GERENCIAMENTO DE CUSTOS ............................................44 4.6. PLANO DE GERENCIAMENTO DE QUALIDADE....................................48 4.8. PLANO DE GERENCIAMENTO DE RH ......................................................66 4.9. PLANO DE GERENCIAMENTO DE COMUNICAÇÕES ..........................72 4.10. PLANO DE GERENCIAMENTO DE RISCOS ...........................................89 4.11. PLANO DE GERENCIAMENTO DE AQUISIÇÕES.................................98 4.12. PLANO DE GERENCIAMENTO DE STAKEHOLDERS.......................103 5. CONCLUSÕES 113 6. REFERÊNCIAS BIBLIOGRÁFICAS 114
  • 9.
    LISTA DE FIGURASE TABELAS Figura 1 - Processos PMBOK® 5 [3]..................................................................................................13 Figura 2 - Mapa mental de requisitos do cliente. ..............................................................................20 Figura 3 - Estrutura Análitica do Projeto (EAP). .............................................................................25 Figura 4 - Fluxograma de controle do gerenciamento de mudanças de escopo. ............................37 Figura 5 - Fluxograma de controle do gerenciamento de mudanças de prazos. ............................41 Figura 6 - Fluxograma de controle de gerenciamento de mudanças de quesitos de qualidade. ...64 Figura 7 - Organograma do projeto...................................................................................................67 Figura 8 - Matriz de análise de partes interessadas..........................................................................79 Figura 9 - Exemplo de relatório de Status Report. ...........................................................................87 Figura 10 - Estrutura Análitica de RIscos (EAR). ............................................................................91 Figura 11 - Gráfico de Riscos x Exposição.........................................................................................93 Figura 12 - Fluxograma de controle do gerenciamento de mudanças de riscos.............................94 Figura 13 - Matriz de análise de poder, proximidade e urgência das partes interessadas..........107 Tabela 1 - Cronograma de entregas macro do projeto.....................................................................16 Tabela 2 - Time do projeto ..................................................................................................................18 Tabela 3 - Plano de entregas macro do projeto.................................................................................24 Tabela 4 - Fator de avaliação de fornecedor de serviços de host.....................................................35 Tabela 5 - Prioridades de mudança de escopo...................................................................................36 Tabela 6 - Priorização das mudanças de escopo................................................................................36 Tabela 7 - Prioridades de mudança de prazos...................................................................................40 Tabela 8 - Priorização das mudanças de prazos................................................................................41 Tabela 9 - Autonomias das reservas de contingência........................................................................46 Tabela 10 - Priorização dos cliente.....................................................................................................50 Tabela 11 - Priorização das necessidades cliente 1............................................................................52 Tabela 12 - Priorização das necessidades cliente 2............................................................................53 Tabela 13 - Priorização das necessidades cliente 3............................................................................54 Tabela 14 - Priorização das necessidades cliente 4............................................................................55 Tabela 15 - Priorização das necessidades cliente 5............................................................................56 Tabela 16 - Priorização balanceada das necessidades. .....................................................................58 Tabela 17 - Quadro sintético das necessidades..................................................................................61 Tabela 18 - Prioridades das mudanças nos quesitos de qualidade. .................................................63 Tabela 19 - Priorização das mudanças nos quesitos de qualidade...................................................63 Tabela 20 - Time do projeto. ...............................................................................................................67 Tabela 21 - Matriz RACI.....................................................................................................................68 Tabela 22 - Registro de partes interessadas 1....................................................................................73 Tabela 23 - - Registro de partes interessadas 2.................................................................................74 Tabela 24 - Registro de partes interessadas 3....................................................................................75 Tabela 25 - Registro de partes interessadas 4....................................................................................76 Tabela 26 - Registro de partes interessadas 5....................................................................................77 Tabela 27 - Registro de partes interessadas 6....................................................................................78 Tabela 28 - Estratégia de gerenciamento de partes interessadas.....................................................83 Tabela 29 - Matriz 5W2H do processo de comunicação...................................................................86 Tabela 30 - Matriz de exposição ao risco. ..........................................................................................92 Tabela 31 - Matriz de registro de riscos.............................................................................................93 Tabela 32 - Matriz de respostas aos riscos.........................................................................................95 Tabela 33 - Reservas de contingência.................................................................................................96 Tabela 34 - Critérios de avaliação de cotações e propostas 1...........................................................99 Tabela 35 - Critérios de avaliação de cotações e propostas 2.........................................................100 Tabela 36 - Critérios de avaliação de cotações e propostas 3.........................................................100 Tabela 37 - Identificação das partes interessadas. ..........................................................................104 Tabela 38 - Priorização das partes interessadas..............................................................................106 Tabela 39 - Prioridade das partes interessadas...............................................................................106 Tabela 40 - Plano de engajamento das partes interessadas............................................................109
  • 10.
    Tabela 41 -Plano de comunicação com as partes interessadas......................................................111
  • 11.
    11 1. INTRODUÇÃO 1.1. Consideraçõesiniciais O sistema de transito brasileiro vem sofrendo cada vez mais com o aumento exagerado e mal planejado da frota de veículos circulantes nas regiões metropolitanas, como as grandes capitais e os grandes centros comerciais do país. Nota-se claramente na região da grande São Paulo a grande dificuldade em se locomover com segurança e a crescente falta de parques de estacionamentos para veículos particulares. Notando essa oportunidade este projeto tem como objetivo principal explorar esta dificuldade propondo uma solução inovadora no mercado nacional e capaz de auxiliar o motorista a encontrar locais para estacionar seu veículo antes mesmo de se locomover para a região de interesse, podendo assim planejar seus gastos, escolher o local que mais lhe agrade, aproveitar os serviços oferecidos pelos parques de estacionamentos e, principalmente, saber com antecedência se existe ou não vagas disponíveis, evitando maiores transtornos e gastos na procura de um estacionamento que não esteja lotado. Ao decorrer deste documento apresentaremos um plano para desenvolvimento deste software inovador, planejamento de atividades, valores de investimentos financeiros, estimativas de tempo, principais partes interessadas no projeto e diversos planos de ações que tem por objetivo auxiliar o sucesso da proposta e do produto do projeto.
  • 12.
    12 2. FUNDAMENTAÇÃO TEÓRICA 2.1.Considerações iniciais A premissa de estudo deste trabalho foi baseada no guia Project Management Body of Knoledge (PMBOK) edição 5 [3], nos conceitos de gestão de projetos difundidos pelo Project Management Institute (PMI) [5], no material de estudos fornecidos pela afiliada da Fundação Getúlio Vargas (FGV), Institute Business Education (IBE), e nas trocas de experiências, dinâmicas, orientações e trabalhos realizados em sala de aula. Segundo o guia PMBOK edição 5 a definição de um projeto é “[...] Todo empreendimento temporário, elaborado progressivamente, com um propósito de criar um produto ou serviço único” [3]. O guia PMBOK edição 5 define a gestão de projetos como “[...] Gerência de Projetos é a aplicação de conhecimentos, habilidades, ferramentas e técnicas com o objetivo de atender os requisitos do projeto” [3]. Baseado nesses conceitos é desenvolvido por este trabalho acadêmico um plano de projeto com o objetivo de exemplificar todos os planos de gestão das 10 áreas de conhecimento de maneira objetiva e direta.
  • 13.
    13 3. METODOLOGIA CIENTÍFICA 3.1.Considerações iniciais Este trabalho foi elaborado com base nas considerações do guia PMBOK edição 5 [3] que divide o gerenciamento de projetos em 5 grupos de processos e 47 processos distribuídos em 10 áreas de conhecimento, de acordo com a figura apresentada a baixo: Figura 1 - Processos PMBOK® 5 [3] Ao longo deste trabalho acadêmico serão demonstradas técnicas aprendidas na academia e haverá a tentativa de interligação com a realidade dos projetos desenvolvidos no Brasil.
  • 14.
    14 4. PLANO DEPROJETO 4.1. Termo de abertura Projeto de Automatização de Estacionamentos TERMO DE ABERTURA PROJECT CHARTER Preparado por William Strafacce Soares Versão 1.0 Aprovado por André Bittencourt do Valle 02/06/2015 Projeto de Automatização de Estacionamentos Este projeto será desenvolvido em ambiente acadêmico, com inicio previsto em 01/06/2015 e termino até 15/09/15, com objetivo de criar um protótipo nacional de app Android e estrutura física de coleta de dados, como sensores, centrais de armazenamento de dados locais, servidores centrais, entre outros, a um custo, ao parque contratante do serviço de localização de estacionamentos, de aproximadamente 10% da taxa de estacionamento cobrada ao usuário, cadastrado na app, que utilizar dos serviços do parque para estacionar seu veículo. Estes produtos visam solucionar os problemas atuais relacionados à busca de locais seguros para estacionar veículos em grandes centros metropolitanos e dificuldade em descobrir o número de vagas livres em estacionamentos de lugares movimentados, como shopping centre, supermercados, entre outros. O gerente de projeto elegido para coordenar as atividades deste projeto é o Sr. William Strafacce Soares, graduado em Análise e Desenvolvimento de Sistemas, pela UTFPR e pós-graduado em Gerenciamento de Projetos pela FGV. Possui ampla experiência em projetos de ERP na área da saúde e desenvolvimento de Webservices em ambientes coorporativos. Este documento da autônima ao gerente de projeto de:  Utilizar até 5% do budget do projeto custear treinamento ao time do projeto;  Selecionar os recursos necessários junto à agenda de recursos do RH;
  • 15.
    15  Contratar até2 recursos de níveis pleno e sênior que julgar necessário;  Desalocar, a titulo de urgência, recursos de nível sênior de outros projetos por até 16 h mediante formalização via e-mail ao responsável do projeto em questão;  Aprovar diretamente mudanças de escopo que represente impacto de no máximo 10% de variação de tempo do projeto, mediante a formalização via documento de análise de impacto de mudança;  Aprovar diretamente mudanças de escopo que represente impacto de no máximo 5% de variação de custo do projeto, mediante a formalização via documento de análise de impacto de mudança;  Utilizar até 7% do budget do projeto para custear viagens não planejadas para realizar alinhamento de requisitos com cliente mediante a apresentação e-mail de confirmação de agendamento de reunião;  Bonificar time de projeto por entregas realizadas dentro do definido nos documentos de escopo, tempo, custo e qualidade, através de happy hour ou folga programada devido avaliação por meritocracia.  Utilizar até 2% do budget do projeto para custear horas extras do time do projeto; Fica sob-responsabilidade do gerente de projetos as atividades de:  Reportar ao Sponsor do projeto o status do projeto uma vez ao mês ou sempre que for requisitado;  Reportar ao comitê de integração de mudanças solicitações de mudanças que ultrapassem seu nível de autoridade de aprovação;  Avaliar a qualidade dos produtos gerados;  Acompanhar as atividades do projeto e dar suporte ao time de projeto com relação a qualquer duvida de escopo;  Dar voto de minerva em qualquer ponto de discórdia da equipe do projeto;
  • 16.
    16  Apresentar análisede valor agregado e curvas S do projeto, em reunião com Sponsor ou representante que será realizada todas as sextas-feiras às 14:30 h, na sala de reunião 1 da empresa;  Realizar analise de impacto de mudança junto ao time do projeto; Para realizar este projeto será necessário realizar um treinamento básico de desenvolvimento Android para uma introdução as palavras chaves, estrutura de objetos, classes, padrões de desenvolvimento de mercado e conhecimento de IDE de desenvolvimento. Como produto deste projeto espera-se uma app Android que rode em Android 2.3 ou superior e seja capaz de realizar consultas em estacionamentos cadastrados em torno de um determinado endereço com visualização em mapa e destaque à localização do usuário. Também se espera obter uma estrutura de hardware capaz de monitorar o ambiente do parque de estacionamento e atualizar um servidor central fornecedor dos serviços de interação entre a app e o usuário. Entregas Macros Jun/2015 Jul/2015 Ago/2015 Set/2015 Definição de Hardware X Webservice X App Android X Hardware X Encerramento do Projeto X Tabela 1 - Cronograma de entregas macro do projeto. Estima-se que este projeto apresentará um custo de no máximo $ 15.000,00 Para que seja possível realizar as atividades deste projeto serão necessários os seguintes equipamentos:  1 Notebook;  1 Kit de desenvolvimento do processador;
  • 17.
    17 E os seguintesrecursos:  1 Especialista Andoid/JAVA;  1 Especialista em Hardware;  1 Especialista em C e programação de Firmware; Este projeto deve ser considerado um projeto isolado onde deve-se haver uma equipe comercial que deverá prospectar parceiros que apoiem financeiramente o projeto para que este possa evoluir de versão beta (protótipo) para uma versão 1.0 (piloto). As informações digitais do projeto serão armazenadas em repositório SVN local e google drive. A versão final do documento deverá ser impressa, seguindo os padrões estabelecidos pela norma ABNT para trabalhos acadêmicos, e armazenado no repositório de TCC da IBE-FGV. REGISTRO DE ALTERAÇÕES Data Modificado por Descrição da mudança 06/02/2015 William Strafacce Soares Revisão 1.0 APROVAÇÕES André Bittencourt do Valle – Coordenador Acadêmico Executivo 06/02/2015
  • 18.
    18 4.2. Declaração deescopo Projeto de Automatização de Estacionamentos DECLARAÇÃO DE ESCOPO SCOPE STATEMENT Preparado por William Strafacce Soares Versão 1.0 Aprovado por André Bittencourt do Valle 03/06/2015 Time do Projeto William Strafacce Soares Gerente de Projetos Rafael Alexandre de Oliveira Engenheiro Elétrico/Hardware Adriano Silva Engenheiro Elétrico/Comercial Tabela 2 - Time do projeto Descrição do Projeto Este projeto foi proposto pelo time de engenheiros formandos do curso de engenharia da UNIP Campinas – SP, como trabalho de conclusão de curso, visando solucionar atuais problemas de busca de vagas em parques de estacionamento por condutores de veículos de passeio, como carros e motos, uma vez que a cidade de São Paulo – SP possuía 7,6 milhões veículos registrados, em fevereiro de 2013, segundo reportagem publicada no site G1 [1], o que torna cada vez mais crescente a dificuldade de se encontrar um lugar para se estacionar um veículo na cidade. Este projeto visa criar uma solução nacional, semelhante ao Smart Parking [2], que atua em algumas regiões da europa, capaz de monitorar em tempo real o status das vagas oferecidas por um parque de estacionamento, via pública, zona azul, entre outras, e apresentar ao usuário da App as opções de vagas que ele possui em um raio de 1 km de sua localização, atual ou futura em caso de deslocamentos, com valores atualizados e serviços oferecidos pelo parque, o que permitirá ao usuário prever ou buscar um local próximo a ele para que possa estacionar com as condições desejadas.
  • 19.
    19 Objetivo do projeto Oobjetivo principal deste projeto é desenvolver uma App Android integrada a uma estrutura de servidores, local e central, capaz de oferecer serviços informatizados que atualizem as informações sobre os parques de estacionamento cadastrados em tempo real. Como objetivos secundários estão:  As pesquisas não podem levar mais que 5 s em banda 3G;  O aplicativo deve acessar a localização do aparelho;  O usuário não precisa se cadastrar para ter acesso às informações;  O servidor central deverá autenticar a conexão com o servidor local do cliente cadastrado (parque de estacionamento) via certificado digital;  Deverá haver espaço para publicidade na App; Justificativa do projeto O aumento da circulação de veículos em grandes centros metropolitanos faz com que haja uma necessidade crescente por locais reservados para estacionar veículos em lugares de grande trafego, como por exemplo centros comerciais, onde fica cada vez mais difícil encontrar lugar para se estacionar um veículo com segurança, preço acessível e localização estratégica, o que causa uma perda de tempo aos condutores, multas por estacionar em locais proibidos, entre outros transtornos. Segundo o G1 [1], hoje somente na cidade de São Paulo – SP existem em média 1 carro a cada dois habitantes. Isto faz com que se surja uma grande oportunidade de criar uma solução que seja capaz de orientar e indicar aos condutores de veículos quais são os locais mais proximos a ele que oferecem serviços de estacionamento, apontar valores, visualizar e avaliar o local escolhido, entre outras funcionalidades. Visando esta oportunidade, é proposto neste projeto a criação de uma solução comercial de App Android que seja capaz de atualizar em tempo real a disponibilidade de vagas dos parques de estacionamento cadastrados, dispondo aos usuários da app todas as informações sobre uma determinada empresa fornecedora de serviços de estacionamento e auxiliar na tomada de decisão de onde estacionar seu veículo no endereço de destino.
  • 20.
    20 Produto do projeto Comoproduto deste projeto espera-se uma app Android que rode em Android 2.3 ou superior e seja capaz de realizar consultas em estacionamentos cadastrados em torno de um determinado endereço com visualização em mapa e destaque à localização do usuário. Também espera-se obter uma estrutura de hardware capaz de monitorar o ambiente do parque de estacionamento e atualizar um servidor central fornecedor dos serviços de interação entre a app e o usuário. Expectativa do cliente Mapa de requisitos: Figura 2 - Mapa mental de requisitos do cliente. Fatores de sucesso do projeto  Hardware a custo baixo:  Sensor com custo de até $5,00;
  • 21.
    21  Central comcusto de até $ 150,00;  Custo de alocação de servidor de até $ 100,00;  Estar presente nos maiores estacionamentos da cidade de São Paulo – SP;  Estar presente nos estacionamentos dos shoppings da cidade;  Ter no mínimo 500 mil usuários; Restrições  Custo de desenvolvimento de até $ 15.000,00;  Tempo de desenvolvimento de até 4 meses; Premissas  Desenvolvimento de protótipo em ambiente acadêmico;  Desenvolvido em parceria com 1 estacionamento piloto;  Ambiente de homologação em computadores pessoais; Exclusões específicas  Design de portal web; Principais atividades e estratégias do projeto Engenharia:  Modelar hardware: analise de make or buy – estratégia de menor custo;  Produzir hardware: solicitar hardware com maior antecedência possível – estratégia de menor tempo; TI:  Modelar App: analise de consumo de memória do smartphone – estratégia de otimização de desempenho;
  • 22.
    22  Selecionar serviçode host em nuvem: analise de melhor custo benefício – estratégia de menor custo;  Otimizar servidor: utilizar técnicas de melhoria de desempenho de consultas via webservice – estratégia de otimização de desempenho;  Otimizar servidor: utilizar técnicas de compressão de dados – estratégia de menor custo; Comercial:  Fechar parceiros comerciais: prospectar possíveis clientes parceiros para aplicar projeto piloto – estratégia de visibilidade antecipada; Marketing:  Divulgar marca: utilização de mídias digitais e sites de parceiros – estratégia de projeção de marketing; Entregas do projeto  Software:  Firmware;  App Android;  Portal Web;  Webservice;  Hardware:  Sensor;  Central de controle;  Host;  Viabilidade de negócio:  Aquisições;
  • 23.
    23  Projeto piloto; Documentação  Plano de gerenciamento de Projeto;  Manuais; Orçamento do projeto  Utilizar até 5% do budget do projeto custear treinamento ao time do projeto;  Custo do projeto pode variar até +-5%;  Utilizar até 7% do budget do projeto para custear viagens não planejadas;  Utilizar até 2% do budget do projeto para custear horas extras do time do projeto;  Utilizar até 26% do budget do projeto para custear estratégia de riscos adotada; Plano de entregas e marcos do projeto Entrega Descrição Término Software Firmware – programação de CPU capaz de interpretar o estado dos sensores, ON/OFF, e enviar ao servidor 17/09/2015 App Android – aplicativo android de interação com o usuário 26/08/2015 Portal Web – sistema web para gestão de clientes e web site 17/08/2015 Webservice – serviços Web para gerenciamento de dados 09/07/2015 Hardware Sensor – equipamento de monitoria de ocupação de vagas 11/09/2015
  • 24.
    24 Central de Controle– CPU responsável por interpretar os dados enviados pelo sensor e atualizar a base de dados via WebService 09/09/2015 Host – servidores responsáveis por alocar os serviços web, portal web e base de dados 30/09/2015 Viabilidade de Negócio Aquisições - comprar todos os equipamentos que viabilizam o desenvolvimento dos protótipos de hardware e software 24/08/2015 Projeto piloto - prospectar parceiros de negócios que invistam no projeto e/ou aceitem ser um CASE em fase de homologação 25/09/2015 Documentação Plano de gerenciamento do projeto – documentação do projeto 26/06/2015 Manuais – manuais de utilização dos produtos do projeto 05/10/2015 Tabela 3 - Plano de entregas macro do projeto. REGISTRO DE ALTERAÇÕES Data Modificado por Descrição da mudança 03/06/2015 William Strafacce Soares Revisão 1.0 APROVAÇÕES André Bittencourt do Valle – Coordenador Acadêmico Executivo Data 03/06/2015
  • 25.
    25 4.3. Estrutura analíticado projeto (EAP) Figura 3 - Estrutura Análitica do Projeto (EAP).
  • 26.
    26 Projeto de Automatizaçãode Estacionamentos DICIONÁRIO DA EAP Pacote: 1.1.1 Firmware Preparado por William Strafacce Soares Versão: 1.0 Aprovado por André Bittencourt do Valle 10/06/2015 Informações básicas Código EAP 1.1.1 Responsável William Strafacce Soares Prazo estimado 17/09/2015 Custo estimado $ 800,00 Principais tarefas a serem realizadas  Desenvolver interação com sensores;  Desenvolver redundância de conexão com a internet;  Desenvolver conexão com WebService;  Testar firmware; Recursos previstos  William Strafacce Soares;  Rafael Alexandre de Oliveira;
  • 27.
    27 Predecessores principais dopacote de trabalho  WebService;  Aquisições;  Plano de gerenciamento do projeto; Sucessoras principais do pacote de trabalho  Manuais; Riscos associados ao pacote  Baixa performance na atualização dos dados; Projeto de Automatização de Estacionamentos DICIONÁRIO DA EAP Pacote: 1.1.2 App Android Preparado por William Strafacce Soares Versão: 1.0 Aprovado por William Strafacce Soares 10/06/2015 Informações básicas Código EAP 1.1.2 Responsável William Strafacce Soares Prazo estimado 26/08/2015 Custo estimado $ 725,00
  • 28.
    28 Principais tarefas aserem realizadas  Desenvolver sistema de busca;  Desenvolver sistema de avaliação;  Desenvolver conexão com WebService;  Testar App; Recursos previstos  William Strafacce Soares;  Rafael Alexandre de Oliveira; Predecessores principais do pacote de trabalho  WebService;  Plano de gerenciamento do projeto; Sucessoras principais do pacote de trabalho  Manuais; Riscos associados ao pacote  Baixa performance na busca por estacionamentos; Projeto de Automatização de Estacionamentos DICIONÁRIO DA EAP Pacote: 1.1.3 Portal Web Preparado por William Strafacce Soares Versão: 1.0 Aprovado por William Strafacce Soares 10/06/2015
  • 29.
    29 Informações básicas Código EAP1.1.3 Responsável William Strafacce Soares Prazo estimado 17/08/2015 Custo estimado $ 1420,00 Principais tarefas a serem realizadas  Criar identidade visual;  Criar área do cliente;  Criar área do administrador;  Desenvolver conexão com WebService;  Testar funcionalidades dos portal; Recursos previstos  William Strafacce Soares;  Rafael Alexandre de Oliveira; Predecessores principais do pacote de trabalho  WebService;  Documentação; Sucessoras principais do pacote de trabalho  Manuais; Riscos associados ao pacote
  • 30.
    30  Portal ficarfora do ar;  Não conectar ao WebService durante uma operação; Projeto de Automatização de Estacionamentos DICIONÁRIO DA EAP Pacote: 1.1.4 WebService Preparado por William Strafacce Soares Versão: 1.0 Aprovado por William Strafacce Soares 10/06/2015 Informações básicas Código EAP 1.1.4 Responsável William Strafacce Soares Prazo estimado 09/07/2015 Custo estimado $ 475,00 Principais tarefas a serem realizadas  Modelar banco de dados;  Desenvolver entidades;  Desenvolver serviços;  Testar WebService; Recursos previstos  William Strafacce Soares;  Rafael Alexandre de Oliveira;
  • 31.
    31 Predecessores principais dopacote de trabalho  Plano de gerenciamento do Projeto; Sucessoras principais do pacote de trabalho  Firmware;  App Android;  Portal Web;  Manuais; Riscos associados ao pacote  Baixa performance dos serviços;  Erros de atualização de dados; Projeto de Automatização de Estacionamentos DICIONÁRIO DA EAP Pacote: 1.2.1 Sensor Preparado por William Strafacce Soares Versão: 1.0 Aprovado por William Strafacce Soares 10/06/2015 Informações básicas Código EAP 1.1.4 Responsável Rafael Alexandre de Oliveira Prazo estimado 11/09/2015 Custo estimado $ 580,00 Principais tarefas a serem realizadas
  • 32.
    32  Modelar bancode dados;  Desenvolver entidades;  Desenvolver serviços;  Testar WebService; Recursos previstos  William Strafacce Soares;  Rafael Alexandre de Oliveira; Predecessores principais do pacote de trabalho  Plano de gerenciamento do Projeto; Sucessoras principais do pacote de trabalho  Firmware;  App Android;  Portal Web;  Manuais; Riscos associados ao pacote  Baixa performance dos serviços;  Erros de atualização de dados; APROVAÇÕES André Bittencourt do Valle – Coordenador Acadêmico Executivo Data 10/06/2015
  • 33.
    33 4.4. Plano degerenciamento de escopo Projeto de Automatização de Estacionamentos PLANO DE GERENCIAMENTO DE ESCOPO SCOPE MANAGEMENT PLAN Preparado por William Strafacce Soares Versão 1.0 Aprovado por André Bittencourt do Valle Data: 11/06/2015 Descrição dos processos de gerenciamento de escopo Segundo o guia PMBOK edição 5 [3] o gerenciamento de escopo é dividido em 6 processos, são eles:  Planejar o Gerenciamento do Escopo: este processo tem o objetivo de definir como o escopo do projeto será definido, validado e controlado. Tem como principais entradas o Plano de Gerenciamento do Projeto e o Termo de abertura e principais saídas o Plano de Gerenciamento de Escopo e Plano de Gerenciamento de Requisitos.  Coletar Requisitos: este processo tem o objetivo de definir e documentar as necessidades das partes interessadas e requisitos para atingir os objetivos do projeto. Tem como principais entradas o termo de abertura do projeto e o registro de partes interessadas e principais saídas a documentação dos requisitos e a matriz de rastreabilidade de requisitos.  Definir o Escopo: este processo tem o objetivo de desenvolver uma descrição detalhada do projeto e do produto do projeto. Tem como principais entradas o termo de abertura do projeto e a documentação de requisitos e principal saída a declaração de escopo do projeto.  Criar a EAP (Estrutura Analítica do Projeto): este processo tem o objetivo de subdividir os entregáveis e o trabalho do projeto em componentes menores e mais gerenciáveis. Tem como principal entrada a declaração de escopo do projeto e principal saída a linha de base do escopo.
  • 34.
    34  Validar oescopo: este processo tem o objetivo de coletar o aceite formal dos entregáveis do projeto que foram completados. Tem como principal entrada os entregáveis validados e principais saídas os entráveis aceitos e as requisições de mudanças.  Controlar o escopo: este processo tem o objetivo de monitorar o status do projeto e do escopo do produto e gerenciar as mudanças a linha de base do escopo. Tem como principais entradas a matriz de rastreabilidade dos requisitos e os dados sobre o desempenho do trabalho e como principal saída as requisições de mudanças atualizadas. Plano de Gerenciamento de Escopo O escopo deverá contemplar todos os termos previamente acordados no termo de abertura e o trabalho do projeto foi dividido em 4 macro entregas, Software, Hardware, Viabilidade de Negocio e Documentação. As fases serão compostas pelos seguintes pacotes de trabalho:  Software: esta fase é destinada a criação de toda a estrutura lógica do projeto e será considerada entregue com a conclusão dos pacotes de trabalho de Firmware, App Android, Portal Web e WebService, funcionando de forma integrada e interativa. Ao termino de cada pacote de trabalho deve ser aplicada uma bateria de testes unitários e este teste deve ter resultado superior a 85 pontos em uma escala de pontuação de 0 a 100. O pacote de trabalho Firmware somente será considerado entregue após a integração com o Hardware desenvolvido, mesmo que passe nos testes de simulação de Hardware. A comunicação com o WebService será considerada satisfatória para ping’s de rede de até 500 ms e qualquer alteração de dados deve ser disponibilizada a todos os dispositivos conectados ao banco de dados central em até 15 s. A interação entre o usuário e a App Android deverá ser feita seguindo padrões de usabilidade de mercado facilitando a acessibilidade de pessoas entre 18 e 60 anos condutores de veículos automotores terrestres. A identidade visual dos elementos de softwares devem ser desenhadas utilizando as cores verde, amarelo e branco, e qualquer alteração ou inclusão de cor deverá ser previamente analisada pelo comitê de mudanças e aprovada pelo Sponsor.  Hardware: esta fase é destinada a criação de toda a estrutura física do projetos e será considerada entregue com a conclusão dos pacotes de trabalho Sensor, Central e Definição de Host. O pacote de trabalho definição de host é destinado a análise e definição
  • 35.
    35 dos requisitos mínimosde hardware do servidor e da “nuvem” que será alocado o serviço de software. Esta análise deve seguir a ordem de ponderação descrita na tabela a baixo: Fator de avaliação Pontuação Configuração de Hardware (x2) Baixa Média Alta 0.1 0.2 0.3 Latência de rede (x3) 0 a 100 ms 101 a 300 ms 301 a 500 ms 0.3 0.2 0.1 Valor por usuário simultâneo conectado (x5) até $ 1,00 $ 1,01 até $ 2,50 $ 2,51 até $ 5,00 0.3 0.2 0.1 Tabela 4 - Fator de avaliação de fornecedor de serviços de host. Os pacotes de trabalho Sensor e Central serão considerados entregues somente após confecção e soldagem dos componentes em placa pilotos, integração entre sensor e central e integração entre central e servidor.  Viabilidade de Negócio: esta fase deve acontecer de modo simultâneo a todo o trabalho do projeto e tem como principal objetivo a busca por patrocinador e parque de estacionamento piloto. Também será realizada algumas aquisições para que o desenvolvimento do hardware seja viabilizado.  Documentação: esta fase é destinada a criação de todos os ativos do projeto relacionados a documentações, manuais, plano de projeto, contratos, entre outros elementos documentais que auxiliem o registro do projeto, aprendizagem, assegure toda a parte jurídica, entre outros. Priorização das mudanças de escopo e respostas As mudanças do projeto deverão ser avaliadas por um comitê de mudanças e seguirão a ponderação descrita na tabela a baixo:
  • 36.
    36 Prioridade Justificativa Zero Mudançasque deverão ser contempladas o mais rápido possível ou geram um processo de mudanças muito grande no escopo Um Mudanças que serão analisadas pelo board e poderão não ser aprovadas. Dois Mudanças que serão analisadas após implantação de projeto piloto Tabela 5 - Prioridades de mudança de escopo. Mudanças Prioridades Mudanças solicitadas pelo sponsor Zero Mudanças verificadas em instalação de projeto piloto Zero Mudanças que representem impactos >= 15% do escopo definido Zero Mudanças que representem retrabalhos de pacotes de trabalhos Um Mudanças que representem impactos de >= 5% e < 15 % do escopo definido Um Mudanças solicitadas pelo dono do estacionamento do projeto piloto Um Mudanças que representem impactos de até 5 % do escopo definido Dois Mudanças solicitadas por usuários Dois Tabela 6 - Priorização das mudanças de escopo.
  • 37.
    37 Gerenciamento das configurações(Configuration management) Figura 4 - Fluxograma de controle do gerenciamento de mudanças de escopo. Frequência de avaliação do escopo do projeto O escopo será avaliado semanalmente em controle interno do time do projeto, para identificar desvios e possíveis soluções de readequação a linha de base do projeto e recuperação do que se foi planejado e deverá ser gerado um relatório de status uma vez ao mês, para apresentação ao sponsor, onde deve ser apontados desvios que não poderão ser recuperados, previsões de impactos financeiros dos desvios de das mudanças aprovadas e solicitações de uso de buffer de tempo e/ou financeiro. Alocação financeira das mudanças de escopo Para o processo de mudanças será alocado um buffer, previsto no plano de gerenciamento de custos, que poderá ser de até 25% do valor total de budget do projeto. Todas as utilizações do buffer de custos deverão ser registradas e geram uma atualização e revisão do plano de gerenciamento de custos. É necessário também realizar o levantamento do valor agregado do projeto e preencher os KPIs de custos, para melhor prever a necessidade de reservas futuras ou orçamentos complementares.
  • 38.
    38 Responsável pelo plano WilliamStrafacce Soares – Gerente de Projetos. Rafael Alexandre de Oliveira – Engenheiro Elétrico. Frequência de atualização do plano de gerenciamento de escopo O plano de gerenciamento de escopo deverá ser revisto de 15 em 15 dias para verificar se os processos definidos por ele contemplam a realidade do projeto ou se é necessário uma modificação no plano, que deverá ser aprovada juntamente ao sponsor com a devida apresentação de um documento complementar explicando a modificação. REGISTRO DE ALTERAÇÕES Data Modificado por Descrição da mudança 11/06/2015 William Strafacce Soares Revisão 1.0 APROVAÇÕES André Bittencourt do Valle – Coordenador Acadêmico Executivo Data 11/06/2015
  • 39.
    39 4.5. Plano degerenciamento de Tempo Projeto de Automatização de Estacionamentos PLANO DE GERENCIAMENTO DO TEMPO SCHEDULE MANAGEMENT PLAN Preparado por: William Strafacce Soares Versão: 1.0 Aprovado por: André Bittencourt do Valle Data: 12/06/2015 Descrição dos processos de gerenciamento de tempo Segundo o guia PMBOK edição 5 [3] o gerenciamento de tempo é dividido em 7 processos, são eles:  Planejar o gerenciamento do cronograma: este processo tem o objetivo de estabelecer políticas, procedimentos e documentação para planejar, desenvolver, gerenciar, executar e controlar o cronograma do projeto. Tem como principais entradas o plano de gerenciamento do projeto e o temo de abertura do projeto e principal saída o plano de gerenciamento do cronograma.  Definir atividades: este processo tem o objetivo de identificar e documentar ações específicas que serão necessárias para produzir os entregáveis do projeto. Tem como principal entrada a linha de base do escopo e principal saída a lista de atividades.  Sequenciar atividades: este processo tem o objetivo de identificar e documentar os relacionamentos entre as atividades do projeto. Tem como principal entrada a lista de atividades e principal saída o diagrama de rede do cronograma do projeto.  Estimar recursos para as atividades: este processo tem o objetivo de criar uma estimativa dos tipos, quantidades de material, pessoas, equipamentos ou suprimentos necessário para realizar cada atividade. Tem como principal entrada a lista de atividades e principal saída os requisitos de recursos das atividades.  Estimar a duração para as atividades: este processo tem o objetivo de criar uma estimativa do número de períodos de trabalho necessários para terminar atividades individuais
  • 40.
    40 com os recursosestimados. Tem como principais entradas a lista de requisitos dos recursos das atividades, o calendário dos recursos e o registro de riscos e principal saída a estimativa de duração das atividades.  Desenvolver o cronograma: este processo tem o objetivo de analisar as sequencias das atividades, suas durações, recursos necessários e restrições do cronograma a fim de criar o cronograma do projeto. Tem como principais entradas o diagrama de rede do cronograma, os requisitos de recursos das atividades, o calendário de recursos, a estimativa de duração das atividades e o registro de riscos e principais saídas a linha de base do cronograma e o cronograma do projeto.  Controlar o cronograma: este processo tem o objetivo de monitorar o andamento do projeto para atualização do seu progresso e gerenciamento de mudanças feitas na linha de base do cronograma. Tem como principais entradas o cronograma do projeto e os dados de desempenho do trabalho e principal saída as requisições de mudanças. Priorização das mudanças nos prazos As mudanças no prazo do projeto deverão ser avaliadas por um comitê de mudanças e seguirão a ponderação descrita na tabela a baixo: Prioridade Justificativa Zero Mudanças que impactam no caminho crítico do projeto Um Mudanças que impactam em pacotes de trabalho de caminhos críticos secundários Dois Mudanças que impactam em pacotes de trabalho que possuem folgas maiores Tabela 7 - Prioridades de mudança de prazos. Mudanças Prioridades Mudanças solicitadas pelo sponsor Zero
  • 41.
    41 Mudanças geradas pelaagenda dos recursos Zero Mudanças que representem impactos >= 15% do tempo definido Zero Mudanças provenientes de atrasos Um Mudanças que representem impactos de >= 5% e < 15 % do tempo definido Um Mudanças devido agenda dos donos de estacionamentos Um Mudanças devido atraso na entrega de serviços Um Mudanças que representem impactos de menores de 5% Dois Tabela 8 - Priorização das mudanças de prazos. Sistema de controle de mudanças de prazos (Schedule Change Control System) Figura 5 - Fluxograma de controle do gerenciamento de mudanças de prazos.
  • 42.
    42 Mecanismo adotado parao conciliamento de recursos Para realizar a otimização dos recursos foram utilizadas técnicas de nivelamento de recurso, onde fora ajustado o inicio e fim das atividades baseado na restrição e capacidade de produção dos recursos do projeto. Como existe uma certa restrição de recursos, devido ao tamanho da equipe, apresentada no organograma do plano de gerenciamento de RH, foram adotadas estratégias de sequenciamento de atividades em linha, paralelizando apenas atividades de recursos diferentes. Isto causou uma certa extensão do cronograma, mas possibilitou um andamento cronológico das atividades de maneira a não superalocar um recurso com duas demandas. As atividades das entregas de Software, Hardware e Viabilidade de Negócio ocorrem em paralelo, uma vez que cada recurso fica responsável por cada um desses pacotes de trabalho e não existe conflito temporal entre a dependência do software sobre o hardware. Uma vez que existam tarefas conflitantes em responsabilidade de um mesmo recurso prevalece a regra de prioridade para entrega do produto do projeto, onde atividades que não estão diretamente ligadas ao core do produto serão consideradas secundárias. Buffer de tempo do projeto Para realizar a estimativa de tempo do projeto adotou-se a técnica de estimativa de 1 ponto juntamente com técnica de otimização de cronograma por corrente crítica. Isto gerou um buffer de tempo para o projeto de 25% da estimativa final das atividades. Este buffer deve ser alocado ao final de cada atividade do caminho crítico e somente poderá ser utilizado sobre aprovação do sponsor. Com isso ganha-se uma redução da estimativa inicial de 50 %, mas aumenta-se o risco de atrasos nas entregas das tarefas e a preocupação com a contratação de serviços terceirizados, uma vez que a empresa fornecedora do serviço deverá se comprometer a atender os requisitos de tempo do projeto. Frequência de avaliação dos prazos do projeto Os prazos definidos devem ser acompanhados de perto, no dia-a-dia do projeto, e qualquer atraso deve ser imediatamente notificado a gestão do projeto para que seja possível tomar ações de controle e solicitar utilização de buffer de tempo quando necessário. Isto gera uma avaliação diária dos prazos e uma atualização simultânea com o andamento das tarefas.
  • 43.
    43 Alocação financeira parao gerenciamento de tempo Para realizar a gestão do tempo é destinado 10% do valor do budget de cada pacote de trabalho, uma vez diariamente o cronograma deve ser atualizado com as tarefas e percentuais de execução realizados no dia de trabalho. Responsável pelo plano William Strafacce Soares – Gerente de Projetos. Rafael Alexandre de Oliveira – Engenheiro Elétrico. Frequência de atualização do plano de gerenciamento de tempo O plano de gerenciamento de tempo deverá ser atualizado mensalmente ou sempre que houver uma solicitação de mudança, para que haja uma verificação dos processos descritos por este com a nova realidade do projeto. REGISTRO DE ALTERAÇÕES Data Modificado por Descrição da mudança 12/06/2015 William Strafacce Soares Revisão 1.0 APROVAÇÕES André Bittencourt do Valle – Coordenador Acadêmico Executivo Data 12/06/2015
  • 44.
    44 4.6. Plano degerenciamento de custos Projeto de Automatização de Estacionamentos PLANO DE GERENCIAMENTO DE CUSTOS COST MANAGEMENT PLAN Preparado por William Strafacce Soares Versão 1.0 Aprovado por André Bittencourt do Valle Data: 15/06/2015 Descrição dos processos de gerenciamento de custos Segundo o guia PMBOK edição 5 [3] o gerenciamento de custos é dividido em 4 processos, são eles:  Planejar o gerenciamento do custo: este processo tem o objetivo de estabelecer políticas, procedimentos e documentação para planejar, gerenciar, dispender e controlar custos do projeto. Tem como principais entradas o plano de gerenciamento do projeto e o termo de abertura do projeto e principais saídas o plano de gerenciamento de custo.  Estimar custos: este processo tem o objetivo de estimar custos monetários para concluir as atividades do projeto. Tem como principais entradas a linha de base de escopo, o cronograma do projeto e o registro de riscos e principais saídas a estimativa de custo das atividades e as bases das estimativas.  Determinar o orçamento: este processo tem o objetivo de agregar os custos das atividades ou pacotes de trabalhos para estabelecer uma linha de base dos custos do projeto. Tem como principal entrada a estimativa de custo das atividades e principal saída a linha de base do desempenho do custo.  Controlar os custos: este processo tem o objetivo de monitorar o andamento do projeto para atualização do seu custo e gerenciamento das mudanças feitas na linha de base dos custos. Tem como principais entradas o orçamento do projeto e os dados sobre o desempenho do trabalho e principal saída as requisições de mudanças.
  • 45.
    45 Frequência de avaliaçãodo orçamento do projeto e das reservas gerenciais O linha de base do orçamento deverá ser revista de 15 em 15 dias pela equipe interna do projeto e atualizada mensalmente no relatório de status do projeto para que se possa ser tomada as devidas decisões quanto a liberação das reservas ou orçamentos complementares. Reservas gerenciais As reservas gerenciais serão uma segurança maior ao projeto para cobrir despesas de mudanças de grande porte, que representem mais de 15% do escopo e riscos que não estão identificados no plano de gerenciamento de riscos. Estas reservas somente poderão ser utilizadas com prévia aprovação do sponsor e munidas de documento que justifique sua utilização. O custo total estimado do projeto é $ 15000,00, sendo utilizado da seguinte forma:  Software: $ 3420,00;  Hardware: $ 1890,00;  Viabilidade de Negócio: $ 3300,00;  Documentação: $ 1150,00;  Reservas gerenciais: $ 3500,00;  Reservas contingenciais: $ 1740,00; O processo de controle de orçamento deverá ser realizado considerando a análise de valor agregado e o acompanhamento dos seguintes KPI’s de custo:  PV = Valor planejado;  EV = Valor Agregado;  AC = Custo real;  BAC = Orçamento para completar;  EAC = Estimativa no final;  ETC = Estimativa para completar.  VAC = Variação no final;
  • 46.
    46 Reservas de Contingência– As reservas de contingência serão destinadas a cobrir as ações de contingência e prevenção dos riscos listados no plano de gerenciamento de riscos, utilização para contratação de cursos de especialização aos colaboradores do projeto e bonificações descritas no plano de gerenciamento de RH. Outras Reservas – Será disponibilizado ao gerente de projetos até 20% do valor total do projeto, mediante autorização do sponsor, para cobrir gastos com deslocamentos, pesquisas de qualidade, patentes, entre outros aspectos que possam impactar o sucesso do projeto. Autonomias Reservas de Contingência Gerente de projetos $ 1500,00 Engenheiro Elétrico $ 1500,00 Comercial $ 500,00 Tabela 9 - Autonomias das reservas de contingência.  Gerente de projetos – autonomia para utilizar as reservas de contingência para responder aos riscos, de acordo com o plano de resposta aos riscos definido no item 4.10 deste projeto.  Engenheiro elétrico – autonomia para utilizar as reservas de contingência para viabilizar produção de hardware protótipo.  Comercial – autonomia para utilizar as reservas de contingência para viabilizar o negócio buscando investidores. Alocação financeira das mudanças no orçamento É previsto para este projeto a utilização de 50% da reserva de gerenciamento para cobrir despesas com mudanças solicitas aprovadas, uma vez que por ser um projeto inovador,
  • 47.
    47 acontecerão algumas mudançasno inicio do projeto devido a dificuldade de mapeamento de todos os requisitos das fases. Responsável pelo plano William Strafacce Soares – Gerente de Projetos Rafael Alexandre de Oliveira – Engenheiro Elétrico. Frequência de atualização do plano de gerenciamento de custos O plano de gerenciamento de custos deverá ser atualizado conforme as fases do projeto forem sendo concluídas ou sempre que uma mudança for aprovada, para analisar se as ações aqui previstas estão sendo satisfatórias quanto a execução do projeto. REGISTRO DE ALTERAÇÕES Data Modificado por Descrição da mudança 15/06/2015 William Strafacce Soares Revisão 1.0 APROVAÇÕES André Bittencourt do Valle – Coordenador Acadêmico Executivo Data 15/06/2015
  • 48.
    48 4.6. Plano degerenciamento da qualidade Projeto de Automatização de Estacionamentos PLANO DE GERENCIAMENTO DA QUALIDADE QUALITY MANAGEMENT PLAN Preparado por William Strafacce Soares Versão 1.0 Aprovado por André Bittencourt do Valle Data: 16/06/2015 Descrição dos processos de gerenciamento de qualidade Segundo o guia PMBOK edição 5 [3] o gerenciamento da qualidade é dividido em 3 processos, são eles:  Planejar a qualidade: este processo tem o objetivo de identificar os requisitos ou padrões de qualidade do projeto e do produto e documentar como o projeto atingirá estes objetivos. Tem como principais entradas os registros das partes interessadas, o registro de riscos e documentação e requisitos e principais saídas o plano de gerenciamento da qualidade, o plano de melhoria dos processos e as métricas de qualidade.  Executar a garantia da qualidade: este processo tem o objetivo de realizar uma auditoria dos requisitos da qualidade e das medidas de controle da qualidade para garantir que sejam usados padrões de qualidade e as definições operacionais apropriadas. Tem como principais entradas o plano de melhoria de processo e as métricas de qualidade e principal saída as requisições de mudança.  Controlar a qualidade: este processo tem o objetivo de monitorar os registros dos resultados da execução das atividades de qualidade para avaliar o desempenho e recomendar mudanças necessárias. Tem como principais entradas as métricas de qualidade, os checklists de qualidade e dados sobre o desempenho do trabalho e principais saídas os entregáveis verificados e as requisições de mudança.
  • 49.
    49 Identificação dos clientes Cliente1: Patrocinador Cliente 2: Donos de estacionamentos Cliente 3: Usuários do App Cliente 4: Fornecedores Cliente 5: Empresas de tarifação de catracas
  • 50.
    50 Priorização dos clientes Priorizaçãodos clientes Cliente1:Patrocinador Cliente2:Donosdeestacionamentos Cliente3:UsuáriuosdoApp Cliente4:Fornecedores Cliente5:Empresasdetarifaçãodecatracas Total da linha Valor decimal relativo = total da linha / total geral Cliente 1: Patrocinador 1 10 10 5 26 0,39 Cliente 2: Donos de estacionamentos 1 5 10 1 17 0,25 Cliente 3: Usuários do App 1/10 1/5 10 1 11,3 0,17 Cliente 4: Fornecedores 1/10 1/10 1/10 1/10 0,4 0,01 Cliente 5: Empresas de tarifação de catracas 1/5 1 1 10 12,2 0,18 Total Geral 66,9 Tabela 10 - Priorização dos cliente.
  • 51.
    51 Identificação das necessidades Necessidade1: Performance Necessidade 2: Usabilidade Necessidade 3: Retorno financeiro Necessidade 4: Infraestrutura Necessidade 5: Responsabilidade social
  • 52.
    52 Priorização das necessidades Priorizaçãodas necessidades: Cliente 1: Patrocinador Necessidade1:Performance Necessidade2:Usabilidade Necessidade3:Retornofinanceiro Necessidade4:Infraestrutura Necessidade5:Responsabilidadesocial Total da linha Valor decimal relativo = total da linha / total geral Necessidade 1: Performance 1 1/10 1 5 7,1 0,10 Necessidade 2: Usabilidade 1 1/10 5 5 11,1 0,16 Necessidade 3: Retorno financeiro 10 10 10 10 40 0,57 Necessidade 4: Infraestrutura 1 1/5 1/10 10 11,3 0,16 Necessidade 5: Responsabilidade social 1/5 1/5 1/10 1/10 0,6 0,01 Total Geral 70,1 Tabela 11 - Priorização das necessidades cliente 1.
  • 53.
    53 Priorização das necessidades: Cliente2: Donos de estacionamentos Necessidade1:Performance Necessidade2:Usabilidade Necessidade3:Retornofinanceiro Necessidade4:Infraestrutura Necessidade5:Responsabilidadesocial Total da linha Valor decimal relativo = total da linha / total geral Necessidade 1: Performance 1 1/10 1/10 1 2,2 0,03 Necessidade 2: Usabilidade 1 1/10 1/10 5 6,2 0,08 Necessidade 3: Retorno financeiro 10 10 5 10 35 0,47 Necessidade 4: Infraestrutura 10 10 1/5 10 30,2 0,40 Necessidade 5: Responsabilidade social 1 1/5 1/10 1/10 1,4 0,02 Total Geral 75 Tabela 12 - Priorização das necessidades cliente 2.
  • 54.
    54 Priorização das necessidades: Cliente3: Usuário Necessidade1:Performance Necessidade2:Usabilidade Necessidade3:Retornofinanceiro Necessidade4:Infraestrutura Necessidade5:Responsabilidadesocial Total da linha Valor decimal relativo = total da linha / total geral Necessidade 1: Performance 1 1/5 10 1 12,2 0,20 Necessidade 2: Usabilidade 1 1 5 5 12 0,19 Necessidade 3: Retorno financeiro 5 1 10 10 26 0,43 Necessidade 4: Infraestrutura 1/10 1/5 1/10 1/10 0,5 0,01 Necessidade 5: Responsabilidade social 1/5 1/5 1/10 10 10,5 0,17 Total Geral 61,2 Tabela 13 - Priorização das necessidades cliente 3.
  • 55.
    55 Priorização das necessidades: Cliente4: Fornecedores Necessidade1:Performance Necessidade2:Usabilidade Necessidade3:Retornofinanceiro Necessidade4:Infraestrutura Necessidade5:Responsabilidadesocial Total da linha Valor decimal relativo = total da linha / total geral Necessidade 1: Performance 1 1/10 1/10 1/10 1,3 0,01 Necessidade 2: Usabilidade 1 1/10 1/10 1/10 1,3 0,01 Necessidade 3: Retorno financeiro 10 10 10 10 40 0,43 Necessidade 4: Infraestrutura 10 10 1/10 10 30,1 0,32 Necessidade 5: Responsabilidade social 10 10 1/10 1/10 20,2 0,23 Total Geral 92,9 Tabela 14 - Priorização das necessidades cliente 4.
  • 56.
    56 Priorização das necessidades: Cliente5: Empresas de tarifação de catracas Necessidade1:Performance Necessidade2:Usabilidade Necessidade3:Retornofinanceiro Necessidade4:Infraestrutura Necessidade5:Responsabilidadesocial Total da linha Valor decimal relativo = total da linha / total geral Necessidade 1: Performance 1 1/10 1/10 1 2,2 0,03 Necessidade 2: Usabilidade 1 1/10 1/10 1 2,2 0,03 Necessidade 3: Retorno financeiro 10 10 10 10 40 0,52 Necessidade 4: Infraestrutura 10 10 1/10 10 30,1 0,39 Necessidade 5: Responsabilidade social 1 1 1/10 1/10 2,2 0,03 Total Geral 76,7 Tabela 15 - Priorização das necessidades cliente 5.
  • 57.
    57 Priorização balanceada das necessidades Cliente1:Patrocinador Cliente2:Donosdeestacionamentos Cliente3:UsuáriosdaApp Cliente4:Fornecedores Cliente5:Empresasdetarifaçãodecatracas Totalda linha N 1: Performance 0,39 X 0,10 = 0,0390 0,25 X 0,03 = 0,0075 0,17 X 0,20 = 0,0340 0,01 X 0,01 = 0,0001 0,18 X 0,03 = 0,0054 0,0860 N 2: Usabilidade 0,39 X 0,16 = 0,0624 0,25 X 0,08 = 0,0200 0,17 X 0,19 = 0,0323 0,01 X 0,01 = 0,0001 0,18 X 0,03 = 0,0054 0,1202 N 3: Retorno financeiro 0,39 X 0,57 0,25 X 0,47 0,17 X 0,43 0,01 X 0,43 0,18 X 0,52 0,5108
  • 58.
    58 = 0,2223 = 0,1175 = 0,0731 = 0,0043 = 0,0936 N 4: Infraestrutura 0,39 X 0,16 = 0,0624 0,25 X 0,40 = 0,1000 0,17 X 0,01 = 0,0017 0,01 X 0,32 = 0,0032 0,18 X 0,39 = 0,0702 0,2375 N5: Responsabilidade social 0,39 X 0,01 = 0,0039 0,25 X 0,02 = 0,0050 0,17 X 0,17 = 0,0289 0,01 X 0,23 = 0,0023 0,18 X 0,03 = 0,0054 0,0455 Tabela 16 - Priorização balanceada das necessidades. Desenvolvimento de especificações Necessidade 1: Performance Definição operacional: Velocidade entre a conexão do dispositivo móvel, navegador ou central controladora de sensores com servidor central de informações, alocado em um host virtual a ser fornecido por empresa privada. Valor a ser medido: Ping de rede entre dispositivo e servidor e pacotes perdidos Necessidade 2: Usabilidade Definição operacional: Facilidade de utilização das interfaces desenvolvidas, tanto para Web quanto para Android, pelo usuário do sistema seja ele um cliente (dono de estacionamento) ou somente um usuário final (publico que utiliza dos serviços via App ou portal Web). Valor a ser medido: Pesquisa de opinião com diversos públicos de idades entre 18 e 60 anos.
  • 59.
    59 Necessidade 3: Retornofinanceiro Definição operacional: Retorno de investimento feito pelo patrocinador acima de 20%, retorno de investimento feito pelo dono do estacionamento, aumento de circulação de veículos acima de 10%, valor de custo benefício sentido pelo usuário e valores de custo benefício de utilização dos serviços dos fornecedores envolvidos no projeto. Valor a ser medido: ROI, Faturamento do estacionamento, Pesquisa de opinião, avaliação interna de custo benefício Necessidade 4: Infraestrutura Definição operacional: Impacto em infra estrutura utilizada nos estacionamentos e configuração do servidor contratado. Valor a ser medido: Custo de instalação de equipamentos e custo de serviço de host Necessidade 5: Responsabilidade social Definição operacional: Danos causados ao meio ambiente devido ao desenvolvimento do projeto. Valor a ser medido: Quantidade de protótipos descartados e quantidade de componentes eletrônicos descartados Garantia da qualidade Necessidade 1:Performance Atividade de garantia da qualidade: Testes unitários simulando conexões em diversas regiões da grande São Paulo com o servidor de host contratado para medição de ping e pacotes perdidos. Os testes devem apresentar ping inferiores a 500 ms e será considerado satisfatórios até 10 % de pacotes perdidos durante todo o teste. Necessidade 2: Usabilidade Atividade de garantia da qualidade: Pesquisa de opinião do usuário via redes sociais, disponibilizando um teste simulado de interação com interface Web e App Android e pesquisas realizadas nos principais centros comerciais da cidade com usuários de diversas
  • 60.
    60 idades. Será consideradosatisfatórios uma qualificação da interface como sendo boa ou ótima de 70 % dos entrevistados. Necessidade 3: Retorno financeiro Atividade de garantia da qualidade: Acompanhamento dos relatórios executivos sobre o andamento do projeto e o retorno financeiro analisando o PayBack e se foram alcançadas as metas de geração de valor com marketing digital. Acompanhamento do movimento do estacionamento piloto comparado aos últimos 3 meses antes da implantação do projeto. Acompanhamento dos contratos com fornecedores analisando se os SLA’s estão sendo cumpridos conforme foram acordados e acompanhamento do feedback dos usuários do sistema. Necessidade 4: Infraestrutura Atividade de garantia da qualidade: Implantação de processos de instalação e melhoria continua da instalação. Necessidade 5: Responsabilidade social Atividade de garantia da qualidade: Todos os componentes eletrônicos não utilizados deverão ser rejeitados em lixo destinado ao descarte de aparelhos eletrônicos. Necessidade Especificação Atividade de garantia Cronograma Responsável Do cliente Específica e mensurável O que será feito Quando será feito Quem executará Performance O ping de rede deve ser <= 500ms Testes unitários Ao contratar host Adriano Silva Usabilidade Deve ser considerado bom ou muito bom por no mínimo 80% dos usuários Pesquisas de opinião Ao terminar o protótipo do App Android Adriano Silva Retorno financeiro Deve apresentar uma taxa de retorno sobre o Análise de retorno de investimento De três em três meses após a comercialização do William Strafacce Soares
  • 61.
    61 investimento real de nomínimo 20% a.a produto Infraestrutura Deve o tempo de implantação de infra deve ser inferior a 5 dias úteis Processos de implantação e melhoria continua A cada nova instalação Rafael Alexandre de Oliveira Responsabilidade social Deve-se produzir um volume de resíduo mensal menor que 10 l Implantação de coleta seletiva A partir da assinatura do termo de abertura do projeto Time do projeto Tabela 17 - Quadro sintético das necessidades. Controle da qualidade Ferramenta 1: Diagrama de causa e efeito Descrição de sua utilização: Analisar as potenciais causas dos defeitos encontrados durante a aplicação dos testes de performance e usabilidade através do agrupamento das causas em classes de causas para que possa ser verificado qual são as classes que mais estão causando os defeitos e atuar na solução dessas causas. Ferramenta 2: Fluxograma Descrição de sua utilização: Criar um fluxograma para orientar os testes de performance e usabilidade e criar processos de testes para que se possa tem maior confiabilidade. Criar um processo de monitoramento de retorno financeiro e instalação de infraestrutura. Ferramenta 3:Diagrama de Pareto Descrição de sua utilização: Aplicar juntamente ao fluxograma analisando potenciais falhas nos processos definidos e apresentar quais os pontos deverão ser tratados para melhorar a qualidade dos mesmos.
  • 62.
    62 Ferramenta 4: Histograma Descriçãode sua utilização: Analisar a performance do time do projeto e quais métodos motivacionais estão surtindo maior resultado. Monitorar o descarte de componentes eletrônicos e analisar se os métodos de orientação dos colaboradores estão apresentando o resultado esperado. Ferramenta 5: Diagrama de dispersão Descrição de sua utilização: Análisar como a performance afeta a usabilidade, analisar como a responsabilidade social reflete no retorno financeiro e como a infraestrutura afeta a performance. Melhoria da qualidade Defina a utilização do ciclo PDCA para a melhoria da qualidade do projeto: Planejar: Criar todo o ciclo dos processos de qualidade, testes, planos de melhoria continua, documentação de lições aprendidas, entre outros, em conjunto do time do projeto e documentar através de fluxogramas e ferramentas visuais. Orientar o time do projeto a seguir os procedimentos planejados e identificar possíveis falhas. Fazer: Aplicar os processos desenhados de forma sistêmica e continua procurando identificar gaps no processo e documentar inconsistências. Checar: Realizar auditorias diárias e semanais preenchendo um checklist de atividades que devem ser realizadas durante o processo de produção que estão sendo cumpridas pelo time do projeto e que estão sendo negligenciadas. Agir: Orientar equipe a seguir os procedimentos definidos através de treinamentos, workshops, palestras, dinâmicas de grupo, relato de experiências obtidas e reuniões matinais diárias de no máximo 10 minutos.
  • 63.
    63 Priorização das mudançasnos quesitos de qualidade e respostas Prioridade Justificativa Zero Mudanças que deverão ser contempladas o mais rápido possível ou geram um processo de mudanças muito grande nos processos de qualidade Um Mudanças que serão analisadas pelo board e poderão não ser aprovadas. Dois Mudanças que serão analisadas após implantação de projeto piloto Tabela 18 - Prioridades das mudanças nos quesitos de qualidade. Mudanças Prioridades Mudanças para solucionar causas de defeitos identificadas pelas ferramentas de qualidade Zero Mudanças identificadas no processo de PDCA Zero Mudanças sugeridas pelo time do projeto Um Mudanças reportadas via feedback de usuários Dois Tabela 19 - Priorização das mudanças nos quesitos de qualidade.
  • 64.
    64 Sistema de controlede mudanças da qualidade (Quality change control system) Figura 6 - Fluxograma de controle de gerenciamento de mudanças de quesitos de qualidade. Frequência de avaliação dos requisitos de qualidade do projeto Os requisitos de qualidade deverão ser avaliados através do processo de PDCA sempre que um ciclo inteiro for realizado. Deve se haver também auditorias mensais que devem apontar falhas no processo de qualidade, se houverem, e sugerir mudanças ou inclusão de requisitos de qualidade. Alocação financeira das mudanças nos requisitos de qualidade Será reservado 15% do budget do pacote de trabalho que esta sendo produzido para a realização dos testes e processos de qualidade. Responsável pelo plano William Strafacce Soares – Gerente de Projetos. Rafael Alexandre de Oliveira – Engenheiro Elétrico. Frequência de atualização do plano de gerenciamento da qualidade
  • 65.
    65 O plano degerenciamento da qualidade deverá ser revisado sempre que mudanças de prioridade zero forem identificadas e uma vez a cada 2 meses para analisar se os processos, ferramentas, necessidades e clientes estão presentes na realidade atual do projeto. REGISTRO DE ALTERAÇÕES Data Modificado por Descrição da mudança 16/06/2015 William Strafacce Soares Revisão 1.0 APROVAÇÕES André Bittencourt do Valle – Coordenador Acadêmico Executivo Data 16/06/2015
  • 66.
    66 4.8. Plano degerenciamento de RH Projeto de Automatização de Estacionamentos PLANO DE GERENCIAMENTO DE RECURSOS HUMANOS STAFF MANAGEMENT PLAN Preparado por William Strafacce Soares Versão 1.0 Aprovado por André Bittencourt do Valle 17/06/2015 Descrição dos processos de gerenciamento de RH Segundo o guia PMBOK edição 5 [3] o gerenciamento de RH é dividido em 4 processos, são eles:  Planejar o gerenciamento de RH: este processo tem o objetivo de identificar e documentar papéis e responsabilidades no projeto, habilidades necessárias e relacionamentos, e criar o plano de gerenciamento de pessoal. Tem como principal entrada o requisitos de recursos das atividades e principal saída o plano de gerenciamento de recursos.  Obter o time do projeto: este processo tem o objetivo de confirmar a disponibilidade dos recursos humanos e obter a equipe necessária para concluir as atividades do projeto. Tem como principal entrada o plano de gerenciamento de RH e principal saída a designação do time do projeto.  Desenvolver o time do projeto: este processo tem o objetivo de criar um processo de melhoria de competências e interação da equipe e do ambiente global para o melhor desempenho do projeto. Tem como principal entrada a designação do time do projeto e principal saída a avaliação do desempenho do time.  Gerenciar o time do projeto: este processo tem o objetivo de acompanhar o desempenho dos membros da equipe, prover o feedback adequado, resolver “issues” e gerenciar mudanças a fim de otimizar o desempenho do projeto. Tem como principais entradas a designação do time do projeto, a avaliação do desempenho do time e a lista de problemas e como principal saída as requisições de mudança.
  • 67.
    67 Organograma do projeto Figura7 - Organograma do projeto. Diretório do time do projeto (Team directory) No Nome Área e-mail Telefone 1 William Strafacce Soares Projetos w.s.soares@estacionefacil.com +5511999113321 2 Rafael Alexandre de Oliveira Engenharia r.a.oliveira@estacionefacil.com +5511999113322 3 Adriano Silva Comercial a.silva@estacionefacil.com +5511999113323 Tabela 20 - Time do projeto.
  • 68.
    68 Matriz de responsabilidades NoNome Área Software Hardware ViabilidadedeNegócio Documentação Pacotes de Trabalho Firmware APPAndroid PortalWeb WebService Sensor Central DefinicçãodeHost Aqusições ProjetoPiloto Planode gerenciamentodo projeto Manuais 1 William Strafacce Soares Projetos X X R R R R C, I C, I C, I C, I A R A 2 Rafael Alexandr e de Oliveira Engenharia X X A A A A R R A A C, I A R 3 Adriano Silva Comercial X X C, I C, I C, I C, I A A R R R C, I C, I Tabela 21 - Matriz RACI. R – responsável, A – Aprovador, I – Informado, C - Consultado
  • 69.
    69 Novos recurso, re-alocaçãoe substituição de membros do time Qualquer aquisição, re-alocação ou substituição de membros do time deverá ser aprovada pelo gestor do projeto e incluída ou re-incluida na equipe após passar pelo processo de integração do projeto que prevê:  Introdução aos objetivos do projeto, através de um workshop de 2 horas detalhando onde o recurso será alocado, quais suas responsabilidades, quais processos ele deverá entender para realizar uma integração tranquila, quais os padrões de desenvolvimentos da equipe, entre outras informações pertinentes a sua função.  Leitura do plano de gerenciamento do escopo e introdução a estrutura analítica do projeto e cronograma.  Quais metas deverão ser cumpridas.  Quais são as expectativas de resultados que se espera deste novo recurso. Em caso de substituição de membro da equipe o atual responsável pelas tarefas deverá introduzir o substituto a suas responsabilidades e o estado atual do andamento de suas tarefas. Treinamento Para atingir os objetivos do projeto deverão ser realizados dois treinamentos: 1 - Design de placas de circuito impresso (CI). 2 - Introdução a configuração e programação de processadores Freescale [4]. Em primeira instancia o treinamento 1 deverá ser realizado pelo Rafael Alexandre de Oliveira e o treinamento 2 pelo William Strafacce Soares, uma vez que estes treinamentos tem relação direta com as responsabilidades destes recurso definida na matriz RACI a cima, mas futuramente estes deverão ser treinamentos suportados pela empresa a todos os colaboradores da área.
  • 70.
    70 Avaliação de resultadosdo time do projeto Os membros do time serão avaliados através de relatórios de desempenho emitidos mensalmente que deverá indicar a relação de metas desejadas e metas cumpridas, gerando um percentual de cumprimento de meta que poderá variar de 0 – 100 %. Será realizada, então, uma reunião junto aos outros membros do time onde o recurso será parabenizado ou convidado a explicar o que houve, em caso de um relatório não satisfatório, ou seja, com percentuais a baixo de 80%. Bonificação Não é prevista nenhum tipo de bonificação uma vez que os membros do time fazem parte do board da empresa. Em casos de inclusão de membros externos, deverá ser feita uma análise trimestral do relatório de desempenho do colaborador e, em casos de relatórios satisfatórios, o colaborador deverá ser bonificado:  Primeiro trimestre satisfatório – 1 folga com data a escolha do colaborador e sem restrições do board.  Dois trimestres satisfatórios – 1 folga + 15% de bonificação, com base no salario atual.  Três trimestres satisfatórios – 1 folga + 15% de bonificação + um prêmio de destaque na cerimônia de premiação anual da empresa.  Quatro trimestres satisfatórios – 1 fim de semana com acompanhante no destino escolhido pela empresa e seus colaboradores no inicio do projeto. Frequência de avaliação consolidada dos resultados do time A frequência de avaliação consolidada do time do projeto deverá ocorrer a cada 1 trimestre, onde deverá ser feita uma análise de queda de desempenho, desempenho semelhante ou ganho de desempenho, para que seja possível gerar um ativo de processos motivacionais e possíveis causas de queda de desempenho dentro da empresa.
  • 71.
    71 Alocação financeira parao gerenciamento de RH Assim como previsto no termo de abertura do projeto os treinamentos não poderão superar o valor de 5% de todo o budget do projeto, isto deverá ser levado em consideração no plano de aquisições e na tabela de avaliações de orçamentos. As bonificações, em caso de funcionários externos ao board, deverão ser custeadas pelos resultados financeiros do projeto, o que deve ser levado em consideração no momento de escolha do destino da viagem de bonificação e da dimensão do evento de comemoração anual da empresa. Responsável pelo plano William Strafacce Soares – Gerente de Projetos. Rafael Alexandre de Oliveira. Frequência de atualização do plano de gerenciamento de RH O plano de gerenciamento de RH deve ser revisto sempre que uma das fases previstas neste plano for concluída, como fase de treinamento, inclusão de novos recursos, bonificação atingida, entre outras. É preciso haver revisão deste plano sempre que uma fase do projeto for concluída e analisar se haverá a necessidade de contratações ou realocações de recursos. REGISTRO DE ALTERAÇÕES Data Modificado por Descrição da mudança 17/06/2015 William Strafacce Soares Revisão 1.0 APROVAÇÕES André Bittencourt do Valle – Coordenador Acadêmico Executivo Data 17/06/2015
  • 72.
    72 4.9. Plano degerenciamento de comunicações Projeto de Automatização de Estacionamentos PLANO DE GERENCIAMENTO DAS COMUNICAÇÕES COMUNICATION MANAGEMENT PLAN Preparado por William Strafacce Soares Versão 1.0 Aprovado por André Bittencourt do Valle Data: 18/06/2015 Descrição dos processos de gerenciamento das comunicações Segundo o guia PMBOK edição 5 [3] o gerenciamento das comunicações é dividido em 3 processos, são eles:  Planejar o gerenciamento das comunicações: este processo tem o objetivo de desenvolver um plano e uma estratégia apropriada para as comunicações do projeto, baseados nos requisitos e necessidades de informações das partes interessadas. Tem como principal entrada o registro das partes interessadas e principal saída o plano de gerenciamento das comunicações.  Gerenciar as comunicações: este processo tem o objetivo de criar, coletar, distribuir, armazenar, recuperar e disponibilizar as informações do projeto de acordo com o plano de gerenciamento das comunicações. Tem como principais entradas o plano de gerenciamento das comunicações e o relatório de desempenho do trabalho e principal saída as comunicações do projeto.  Controlar as comunicações: este processo tem o objetivo de monitorar e controlar as informações durante todo o ciclo de vida do projeto, a fim de garantir que as partes interessadas recebam as informações necessárias. Tem como principais entradas as comunicações do projeto, a lista de problemas e os dados de desempenho do projeto e principal saída as requisições de mudança.
  • 73.
    73 Registro de PartesInteressadas Nome do Projeto: Projeto de Automatização de Estacionamentos Data: 18/06/2015 Nome Nome da parte interessada Patrocinador Posição Sua posição na organização Executivo Papel A função que desempenha no projeto Responsável pelo investimento financeiro do projeto Contato Endereço físico, telefones e contatos eletrônicos Prospectar parcerias e investidores através de sites, aceleradoras e feiras de técnologia Necessidades Necessidades ou desejos de alto nível para o produto ou projeto Taxa de retorno de investimento de no mínimo 20% Expectativas Expectativas para o produto ou projeto Produto ser pioneiro e atingir 90% do previsto no business case apresentado Influência Nível e tipo de influência no projeto Influencia alta / Bloqueador Classificação Uma categoria ou classificação Stakeholder externo Tabela 22 - Registro de partes interessadas 1.
  • 74.
    74 Nome Nome daparte interessada Donos de estacionamento Posição Sua posição na organização Executivo Papel A função que desempenha no projeto Responsável por viabilizar a implantação do projeto piloto Contato Endereço físico, telefones e contatos eletrônicos Prospectar parcerias através de ofertas de benefícios, aumento de visibilidade, marketing e preço acessível Necessidades Necessidades ou desejos de alto nível para o produto ou projeto Infraestrutura simples e valor acessível Expectativas Expectativas para o produto ou projeto Produto aumentar a rotatividade dos veículos em seu estacionamento em 25% Influência Nível e tipo de influência no projeto Influencia baixa / Desacelerador Classificação Uma categoria ou classificação Stakeholder externo Tabela 23 - - Registro de partes interessadas 2.
  • 75.
    75 Nome Nome daparte interessada Time do projeto Posição Sua posição na organização Operacional Papel A função que desempenha no projeto Responsável pelo desenvolvimento do projeto Contato Endereço físico, telefones e contatos eletrônicos Rua Antonio de Castro Melo, 1180, Centro, Campinas, SP Necessidades Necessidades ou desejos de alto nível para o produto ou projeto Reconhecimento como empresa pioneira no setor Expectativas Expectativas para o produto ou projeto Atingir 80% do público prospectado em análise de negócio Influência Nível e tipo de influência no projeto Influencia Alta / Aliado Classificação Uma categoria ou classificação Stakeholder interno Tabela 24 - Registro de partes interessadas 3.
  • 76.
    76 Nome Nome daparte interessada Usuários Posição Sua posição na organização Público Alvo Papel A função que desempenha no projeto Responsável pelo sucesso do projeto Contato Endereço físico, telefones e contatos eletrônicos Divulgar nos meios de comunicação para que haja a maior aderência possível, target de 80% dos condutores de veículos da grande SP Necessidades Necessidades ou desejos de alto nível para o produto ou projeto Performance e Usabilidade Expectativas Expectativas para o produto ou projeto Facilitar a procura e a escolha de estacionamentos na grande São Paulo Influência Nível e tipo de influência no projeto Influencia baixa / Desacelerador Classificação Uma categoria ou classificação Stakeholder externo Tabela 25 - Registro de partes interessadas 4.
  • 77.
    77 Nome Nome daparte interessada Entidades reguladoras Posição Sua posição na organização Órgãos Públicos Papel A função que desempenha no projeto Responsável pelo controle da legislação de transito do estado Contato Endereço físico, telefones e contatos eletrônicos Prefeitura de São Paulo Necessidades Necessidades ou desejos de alto nível para o produto ou projeto Cumprimento das leis Expectativas Expectativas para o produto ou projeto Conformidade com a legislação de transito Influência Nível e tipo de influência no projeto Influencia alta / Bloqueador Classificação Uma categoria ou classificação Stakeholder externo Tabela 26 - Registro de partes interessadas 5.
  • 78.
    78 Nome Nome daparte interessada Fornecedores Posição Sua posição na organização Empresas privadas Papel A função que desempenha no projeto Responsável pelo fornecimento de infraestrutura para o projeto Contato Endereço físico, telefones e contatos eletrônicos Prospectar parcerias e maior custo benefício nos contratos Necessidades Necessidades ou desejos de alto nível para o produto ou projeto Pagamento dos contratos Expectativas Expectativas para o produto ou projeto Cumprimento de todas as clausulas contratuais Influência Nível e tipo de influência no projeto Influencia alta / Apoiador Classificação Uma categoria ou classificação Stakeholder externo Tabela 27 - Registro de partes interessadas 6.
  • 79.
    79 Matriz de Análisede Partes Interessadas Nome do Projeto: Projeto de Automatização de Estacionamentos Data:18/06/2015 Interesse Alto poder, baixo interesse Alto poder, alto interesse Baixo poder, baixo interesse Baixo poder, alto interesse Figura 8 - Matriz de análise de partes interessadas. Poder
  • 80.
    80 Estratégia de Gerenciamentode Partes Interessadas Nome do Projeto: Projeto de Automatização de Estacionamentos Data: 18/06/2015 Nome Nome da parte interessada Patrocinador Influência Tipo de influência Bloqueador Avaliação do impacto Nível ou impacto da influência Alto Estratégias Estratégias e táticas para maximizar as influências positivas e minimizar ou neutralizar as influências negativas Deverá ser realizada uma força tarefa em busca de entidades dispostas a apostar no sucesso do projeto e investir os valores de custos estimados. Para isto será necessário a realização de marketing ativo, via telefone, e-mail e/ou mídias sociais, para conseguir agendar entrevistas com possíveis patrocinadores e apresentar o projeto. Prevê-se também a inscrição do projeto em aceleradoras de startups, brasileiras e internacionais, e participação em feiras de tecnologias para a realização de marketing passivo, apresentando o projeto a uma massa de possíveis investidores. Ao conseguir-se um patrocinador, deverá haver um contrato que proteja a propriedade intelectual de ambas as partes e garantam uma relação ganha-ganha. Deverá também ser apresentado um relatório executivo do andamento do projeto 1 vez por mês, a fim de garantir a ética e a transparência das ações. Nome Nome da parte interessada Donos de estacionamentos Influência Tipo de influência Desacelerador
  • 81.
    81 Avaliação do impacto Nível ouimpacto da influência Alto Estratégias Estratégias e táticas para maximizar as influências positivas e minimizar ou neutralizar as influências negativas Para aumentar a probabilidade de sucesso do projeto deverá ser instalado um projeto piloto em um parque de estacionamento parceiro da empresa e/ou possível patrocinador. Para conseguir isto deverá ser realizado um marketing ativo via telefone, e- mail e/ou mídias sociais para agendar entrevistas com possíveis parceiros de negócio e oferecer alguns benefícios financeiros ou vantagens estratégicas a fim de fechar a parceria com uma relação ganha-ganha. Nome Nome da parte interessada Time do projeto Influência Tipo de influência Aliados Avaliação do impacto Nível ou impacto da influência Alta Estratégias Estratégias e táticas para maximizar as influências positivas e minimizar ou neutralizar as influências negativas O time inicial do projeto faz parte do board da startup. É preciso manter o nível de motivação alto e, devido ao tamanho restrito do time, cada membro deve se comprometer a entregar sua parte no tempo apontado em cronograma. Para garantir a motivação prevê-se encontros para mensais, para realizar a integração dos componentes do projeto, atualização do andamento do projeto e suas singularidades e happy hour para manter o clima de amizade e engajamento dos membros do time. Nome Nome da parte interessada Usuários Influência Tipo de influência Desacelerador
  • 82.
    82 Avaliação do impacto Nível ouimpacto da influência Baixo Estratégias Estratégias e táticas para maximizar as influências positivas e minimizar ou neutralizar as influências negativas Para conseguir um número de usuários que garantam os requisitos de custos, investimentos e business case do projeto, deverá ser realizado um marketing passivo através de mídias sociais, propagandas em rádios, propagandas nos estacionamentos parceiros, portais de comunicação na web, youtube, outros Apps, entre outros meios que promovam o marketing. Nome Nome da parte interessada Entidades reguladoras Influência Tipo de influência Bloqueador Avaliação do impacto Nível ou impacto da influência Alta Estratégias Estratégias e táticas para maximizar as influências positivas e minimizar ou neutralizar as influências negativas É preciso estudar a fundo a legislação de transito brasileira para que o App seja desenvolvido sem infligir nenhuma lei destinada ao controle de estacionamentos e vias públicas para estacionar, uma vez que é previsto o fechamento de uma parceria com a prefeitura de São Paulo a fim de automatizar a zona azul e apresentar os locais de estacionamento em via pública, aqueles onde se é permitido estacionar ou parar os veículos. Nome Nome da parte interessada Forncedores Influência Tipo de influência Aliado
  • 83.
    83 Avaliação do impacto Nível ouimpacto da influência Alta Estratégias Estratégias e táticas para maximizar as influências positivas e minimizar ou neutralizar as influências negativas Prevê-se a contratação de serviços externos a empresa e para manter um bom relacionamento com os fornecedores os itens do plano de gerenciamento de aquisições devem ser cumpridos com maestria e os contratos deverão ser analisados por junta de advogados consultores da empresa. Tabela 28 - Estratégia de gerenciamento de partes interessadas. 5W2H no Processo de Comunicação WHO? Quem necessita Patricinador WHICH/WHAT? Qual informação? Apresentação comercial de negócio e status report WHY? Porque? Para fechar parceria e manter a transparência sobre o andamento do projeto e utilização dos recursos investidos WHEN? Quando necessitarão dela? A apresentação comercial do negócio proposto deve ser apresentada como cartão de visitas da empresa no primeiro contato, através de conversa explicando os objetivos S.M.A.R.T do projeto e em reunião, apresentando os dados levantados que despertaram interesse nesta oportunidade. O status report deve ser apresentado mensalmente após afirmar a parceria e receber fundos do patrocinador. WHERE? Onde deverá ser disponibilizada? Deverá ser disponibilizada através área administrativa do board da empresa no portal Web
  • 84.
    84 HOW? Como será fornecido(mídia, formato, tecnologia) Será disponibilizado em PDF e armazenado em diretório privado dentro do servidor e via e-mail. HOW MUCH? Quanto custará? O custo administrativo destas informações é estimado em $ 150,00 WHO? Quem necessita Donos de estacionamentos WHICH/WHAT? Qual informação? Relatórios de desempenho e de monitoria de circulação de veículos no parque WHY? Porque? Para analise se está havendo um retorno financeiro do custo aplicado em marketing digital via App. WHEN? Quando necessitarão dela? Mensalmente WHERE? Onde deverá ser disponibilizada? Através da área administrativa dos parceiros no portal Web HOW? Como será fornecido (mídia, formato, tecnologia) Será disponibilizado em PDF e armazenado em diretório privado no servidor da empresa HOW MUCH? Quanto custará? O custo administrativo destas informações é estimado em $ 200,00 WHO? Quem necessita Time do projeto WHICH/WHAT? Qual informação? Cronograma de atividades atualizado e cronograma de custos atualizado
  • 85.
    85 WHY? Porque? Pararealizar o direcionamento do time do projeto ao sucesso do projeto WHEN? Quando necessitarão dela? Semanalmente WHERE? Onde deverá ser disponibilizada? Através de servidor SVN HOW? Como será fornecido (mídia, formato, tecnologia) Será fornecido em formato de arquivo do Project e WBS Chart HOW MUCH? Quanto custará? O custo administrativo estimado é de $10,00 WHO? Quem necessita Usuários WHICH/WHAT? Qual informação? Estacionamentos cadastrados, vagas disponíveis e serviços oferecidos por cada estacionamento WHY? Porque? Para auxiliar a escolha e a previsão de gastos com estacionamentos em deslocamento WHEN? Quando necessitarão dela? Em tempo real WHERE? Onde deverá ser disponibilizada? Via portal Web e App android HOW? Como será fornecido (mídia, formato, tecnologia) Será disponibilizado via pagina HTML e PHP
  • 86.
    86 HOW MUCH? Quantocustará? Custo estimado para a produção da infra estrutura do software é de $ 3420,00 WHO? Quem necessita Entidade reguladoras WHICH/WHAT? Qual informação? Relatórios jurídicos de conformidade com as leis do setor WHY? Porque? Para aprovação do projeto e concorrência em licitações WHEN? Quando necessitarão dela? Quando forem solicitadas ao corpo da empresa WHERE? Onde deverá ser disponibilizada? Em arquivos e pastas físicas no escritório da empresa HOW? Como será fornecido (mídia, formato, tecnologia) Será fornecido em papel autenticado HOW MUCH? Quanto custará? O custo administrativo estimado é de $1000,00 Tabela 29 - Matriz 5W2H do processo de comunicação.
  • 87.
    87 Atas de reunião Asatas de reunião tem como objetivo registrar tudo aquilo que foi discutido durante um processo de comunicação, onde, todas as considerações feitas durante o processo são armazenadas e recebem um “OK” de ambas as partes, servindo, assim, como um registro formal de todos os acordos firmados e compromissos assumidos. Exemplo de relatórios do projeto Os principais relatórios a serem publicados no sistema de informações do projeto são apresentados a seguir. Os relatórios listados a baixo são somente ilustrativos para demonstrar quais serão os dados a serem reportados. O responsável por manter o relatório sempre atualizado será o Eng. Adriano Silva, que deverá revisar semanalmente os dados e gerar um PDF que será armazenado na área administrativa do board da empresa, no portal Web. Também fica de sua responsabilidade apresentar ao sponsor do projeto todos os dados solicitados. Status Report: Este relatório tem o objetivo de demonstrar o andamento do projeto através das analise das curvas S planejadas para a linha de base do projeto com as curvas S reais do projeto até o ponto analisado e a progressão dos desvios até o fim do projeto. Responsável: Eng. Adriano Silva Figura 9 - Exemplo de relatório de Status Report.
  • 88.
    88 Ambiente técnico eestrutura de armazenamento e distribuição da informação (EPM) Para auxilio a transparecer o processo e comunicação haverá um software de EPM proprietário adicionado na área administrativa do portal Web do projeto. Este ambiente, inicialmente, atuara como um ambiente de interação e armazenamento de documentos virtuais. Para auxilio as vídeos conferências, será utilizado o hangout, do google + e o Skype da Microsoft. Alocação financeira para o gerenciamento das comunicações Para o facilitar os processos de comunicação prevê-se um budget de $ 1420,00 que deverá ser utilizado para a produção do portal Web e suas funções administrativas. Responsável pelo plano William Strafacce Soares – Gerente de Projetos. Rafael Alexandre de Oliveira – Engenheiro Elétrico Frequência de atualização do plano de gerenciamento das comunicações Os processos de comunicação devem ser continuamente aprimorados para que haja total transparência e este plano de projeto deve ser revisto de 15 em 15 dias para analise de conformidade, eficácia e eficiência dos processos de comunicação empregados. REGISTRO DE ALTERAÇÕES Data Modificado por Descrição da mudança 18/06/2015 William Strafacce Soares Revisão 1.0 APROVAÇÕES André Bittencourt do Valle – Coordenador Acadêmico Executivo Data 18/06/2015
  • 89.
    89 4.10. Plano degerenciamento de riscos e respostas aos riscos Projeto de Automatização de Estacionamentos PLANO DE GERENCIAMENTO DE RISCOS E DE RESPOSTAS AOS RISCOS RISK MANAGEMENT PLAN AND RISK RESPONSE MANAGEMENT PLAN Preparado por William Strafacce Soares Versão 1.0 Aprovado por André Bittencourt do Valle Data: 19/06/2015 Descrição dos processos de gerenciamento dos riscos Segundo o guia PMBOK edição 5 [3] o gerenciamento dos riscos é dividido em 6 processos, são eles:  Planejar o gerenciamento dos riscos: este processo tem o objetivo de definir como conduzir as atividades de gerenciamento de riscos para um projeto. Tem como principais entradas o termo de abertura do projeto e o registro de partes interessadas e principal saída o plano de gerenciamento dos ricos.  Identificar os riscos: este processo tem o objetivo de determinar que riscos podem afetar o projeto e documentar suas características. Tem com principais entradas o plano de gerenciamento de custos, plano de gerenciamento do cronograma, plano de gerenciamento da qualidade, plano de gerenciamento dos recursos humanos, a linha de base do escopo, a estimativa de custo das atividades, a estimativa de duração das atividade e o registro das partes interessadas e como principal saída o registro dos ricos.  Executar a análise qualitativa dos riscos: este processo tem o objetivo de priorizar os riscos para uma analise adicional ou ações pela avaliação combinada de suas probabilidades de ocorrência e impacto. Tem como principal entrada o registro de riscos e principal saída a atualização dos documentos do projeto.  Executar a análise quantitativa dos riscos: este processo tem o objetivo de analisar numericamente o efeito dos riscos identificados nos objetivos do projeto como um todo. Tem
  • 90.
    90 como principais entradaso plano de gerenciamento dos custos, o plano de gerenciamento do cronograma e o registro de riscos e principal saída a atualização dos documentos do projeto.  Planejar respostas aos riscos: este processo tem o objetivo de desenvolver ações ou opções para aumentar as oportunidades e reduzir as ameaças aos objetivos do projeto. Tem como principal entrada o registro dos ricos e principal saída a atualização dos documentos do projeto.  Controlar os riscos: este processo tem o objetivo de implementar o plano de respostas aos riscos, acompanhar os riscos identificados, monitorar os riscos residuais, identificar novos riscos e avaliar a efetividade dos processos de risco durante o projeto. Tem como principais entradas o registro de riscos e os dados de desempenho do trabalho e principal saída as requisições de mudança. RBS – Risk Breakdown Structure para a identificação dos riscos O RBS do projeto deve apresentar e listar todos os riscos identificados nas áreas de ambiente:  Externos: esta categoria de riscos tem o objetivo de identificar riscos externos ao ambiente do projeto. Estes riscos devem listar as ameaças e oportunidades referentes ao cenário brasileiro quando o projeto for concluído;  Internos: esta categoria de riscos tem o objetivo de identificar os riscos internos ao ambiente do projeto. Estes riscos devem listar as ameaças e oportunidades referentes ao ambiente de trabalho, equipe, empresa, escritório, entre outros.  Técnicos: esta categoria de riscos tem o objetivo de identificar os riscos técnicos do projeto. Estes riscos devem listar as ameaças ou oportunidades referentes as expertises do time do projeto, tecnologia existentes, infraestrutura, entre outros aspectos relacionado a itens técnicos.  Gerenciais: esta categoria tem o objetivo de identificar os riscos relacionados a gestão do projeto.
  • 91.
    91 Riscos identificados Os riscosidentificados no projeto, segundo o WBS do projeto e a RBS anteriormente apresentada estão apresentados na estrutura a seguir. Figura 10 - Estrutura Análitica de RIscos (EAR). Estes riscos foram identificados pelo time do projeto em reunião utilizando ferramenta de Brainstorming. Qualificação dos riscos Os riscos identificados serão qualificados na sua probabilidade de ocorrência e gravidade dos resultados, conforme tabela a seguir: Probabilidade Baixa – este nível é correspondente a probabilidade de ocorrência menor que 20%. Média – este nível é correspondente a probabilidade de ocorrência entre 20% e 80% Alta – este nível é correspondente a probabilidade de ocorrência maior que 80%
  • 92.
    92 Impacto Baixo – estenível descreve impactos menores que 10% no custo do projeto Médio – este nível descreve impactos entre 10% e 20% no custo do projeto Alto – este nível descreve impactos maiores que 20% no custo do projeto Matriz de probabilidade e impacto => exposição Probabilidade Exposição ao Risco = P x I Alta (0.9) 0.09 0.18 0.27 Média (0.5) 0.05 0.1 0.15 Baixa (0.1) 0.01 0.02 0.03 Baixo (0.1) Médio (0.2) Alto (0.3) Escala de Impacto Tabela 30 - Matriz de exposição ao risco. Id Data Categoria Descrição do Risco % $ Expos. 1 19/06/2015 Externos Dólar Alta Alto 0.27 2 19/06/2015 Externos Não encontrar investidor Média Alto 0.15 3 19/06/2015 Externos Concorrência Média Médio 0.1 4 19/06/2015 Externos Publico Alvo Média Alto 0.15 5 19/06/2015 Internos Engajamento Baixo Médio 0.02 6 19/06/2015 Internos Diferenças culturais Baixo Baixo 0.01 7 19/06/2015 Internos Aderência aos processos Baixa Médio 0.02 8 19/06/2015 Técnicos Performance Média Alto 0.15 9 19/06/2015 Técnicos Qualidade Baixa Alto 0.03
  • 93.
    93 10 19/06/2015 TécnicosEscopo Alta Alto 0.27 11 19/06/2015 Técnicos Tecnologia Média Alto 0.15 12 19/06/2015 Gerenciais Estimativas Média Alto 0.15 13 19/06/2015 Gerenciais Controle Baixa Alto 0.03 14 19/06/2015 Gerenciais Patentes Baixa Alto 0.03 15 19/06/2015 Gerenciais Legislação Baixa Médio 0.02 Tabela 31 - Matriz de registro de riscos. 0 1 2 3 4 5 6 7 Baixo Médio Alto Baixa Média Alta Figura 11 - Gráfico de Riscos x Exposição. Quantificação dos riscos Não foi utilizado processo de quantificação dos riscos pois não existia nenhum dado estatístico de projetos anteriores. Riscos x Exposição
  • 94.
    94 Sistema de controlede mudanças de riscos (Risk change control system) Figura 12 - Fluxograma de controle do gerenciamento de mudanças de riscos. Respostas planejadas aos riscos Para os riscos identificados e qualificados, optou-se por estratégias diferenciadas para cada necessidade, conforme quadro a seguir. Item Fase Risco % $ Resposta Descrição Custo Com o tempo 1.3.1 Viabilidade de negócio Dólar Alta Alto Mitigar o impacto Antecipar a aquisição de produtos importados +ou- $ 200,00 Aumenta o grau de certeza 1.3.2 Viabilidade de negócio Não encontrar investidor Média Alto Aceitar ativamente Dar continuidade aos projetos com recursos próprios e continuar buscando parcerias a medida que o projeto for evoluindo e o protótipo for tomando forma $ 1000,00 Agrava 1 Fechamento Concorrência Média Médio Evitar Desenvolver o projeto $ 2000,00 Agrava
  • 95.
    95 Item Fase Risco% $ Resposta Descrição Custo Com o tempo no menor prazo possível, respeitando a restrição pentagonal 1 Fechamento Público Alvo Média Alto Mitigar a probabilidade Aplicar estratégias de marketing para maior divulgação e técnicas de vendas para maior aderência de estacionamentos $ 300,00 Atenua 1.1 Software Performance Média Alto Mitigar a probabilidade Utilizar um hardware de alta performance e aplicar técnicas otimização de processamento $ 100,00 Aumenta o grau de certeza 1.1 / 1.2 Software e Hardware Escopo Alta Alto Mitigar a probabilidade Realizar reuniões de abertura de fases do projeto para discussão sobre escopo $ 25,00 Agrava 1.2 Hardware Tecnologia Média Alto Evitar Adquirir o máximo de tecnologias conhecidas $ 0,00 Agrava 1 Projeto Estimativas Média Alto Mitigar a probabilidade Monitorar diariamente os desvios na estimativa e melhorar o plano do projeto e os processos de desenvolvimento $ 0,00 Agrava Tabela 32 - Matriz de respostas aos riscos
  • 96.
    96 Reservas de contingência Reservasde Contingência Gerente de projetos $ 1500,00 Engenheiro Elétrico $ 1500,00 Comercial $ 500,00 Tabela 33 - Reservas de contingência.  Gerente de projetos – autonomia para utilizar as reservas de contingência para responder aos riscos, de acordo com o plano de resposta aos riscos definido no item 4.10 deste projeto.  Engenheiro elétrico – autonomia para utilizar as reservas de contingência para viabilizar produção de hardware protótipo.  Comercial – autonomia para utilizar as reservas de contingência para viabilizar o negócio buscando investidores. Frequência de avaliação dos riscos do projeto Os riscos do projeto devem ser monitorados diariamente e sua ocorrência deve disparar o processo de resposta ao risco definido neste plano. Também devem ser realizadas reuniões mensais para analise, atualização de registro de riscos e levantamento de outros riscos que forem surgindo ao longo do ciclo de vida do projeto. Alocação financeira para o gerenciamento de riscos Para executar planos de contingência e resposta aos riscos será reservado 30% do budget do projeto. Responsável pelo plano William Strafacce Soares – Gerente de Projetos. Rafael Alexandre de Oliveira – Engenheiro Elétrico.
  • 97.
    97 Frequência de atualizaçãodo plano de gerenciamento de riscos O plano de gerenciamento de riscos deve ser atualizado sempre que um risco identificado se torne realidade ou deixe de impactar o projeto. Uma vez ao mês deve ser realizada uma reunião para análise de registro de riscos e levantamento de novos riscos ao projeto. REGISTRO DE ALTERAÇÕES Data Modificado por Descrição da mudança 19/06/2015 William Strafacce Soares Revisão 1.0 APROVAÇÕES André Bittencourt do Valle – Coordenador Acadêmico Executivo Data 19/06/2015
  • 98.
    98 4.11. Plano degerenciamento de aquisições Projeto de Automatização de Estacionamentos PLANO DE GERENCIAMENTO DE AQUISIÇÕES PROCUREMENT MANAGEMENT PLAN Preparado por William Strafacce Soares Versão 1.0 Aprovado por André Bittencourt do Valle Data: 22/06/2015 Descrição dos processos de gerenciamento de aquisições Segundo o guia PMBOK edição 5 [3] o gerenciamento de aquisições é dividido em 4 processos, são eles:  Planejar o gerenciamento das aquisições: este processo tem o objetivo de documentar as decisões de compra do projeto, especificar a estratégia e identificar potenciais fornecedores. Tem como principais entradas a documentação de requisitos, o registro de riscos, o requisito de recursos das atividades, o cronograma do projeto, a estimativa de custo das atividade e o registro das partes interessadas e principais saídas o plano de gerenciamento das aquisições, a declaração de trabalho das aquisições, os documentos de aquisições e a decisão de comprar ou fazer.  Conduzir as aquisições: este processo tem o objetivo de obter resposta dos fornecedores, selecionar fornecedores e celebrar contratos. Tem como principais entradas os documentos de aquisições, os critérios para seleção de fornecedores, as propostas dos fornecedores e a decisão de comprar ou fazer e principal saída os fornecedores selecionados.  Controlar as aquisições: este processo tem o objetivo de gerenciar o relacionamento das aquisições, monitorar o desempenho do contrato e fazer as correções e mudanças necessárias. Tem como principais entradas os documentos de aquisições, os contratos e as requisições de mudanças aprovadas e principal saída as requisições de mudanças.
  • 99.
    99  Encerrar asaquisições: este processo tem o objetivo de terminar cada processo de aquisição do projeto, verificando que todo o trabalho e entregáveis foram realizados e estão em conformidade com o que foi solicitado. Tem como principal entrada os documentos de aquisições e principal saída as aquisições encerradas. Gerenciamento e tipos de contratos Este projeto prevê a utilização de contratos de preço fixo somente, uma vez que serão realizadas aquisições de serviços de host, serviços GSM, placas de circuito impresso e componentes eletrônicos. Critérios de avaliação de cotações e propostas Para a contratação dos serviços de host serão analisados os seguintes fatores: Fator de avaliação Pontuação Configuração de Hardware (x2) Baixa Média Alta 0.1 0.2 0.3 Latência de rede (x3) 0 a 100 ms 101 a 300 ms 301 a 500 ms 0.3 0.2 0.1 Valor por usuário simultâneo conectado (x5) até $ 1,00 $ 1,01 até $ 2,50 $ 2,51 até $ 5,00 0.3 0.2 0.1 Tabela 34 - Critérios de avaliação de cotações e propostas 1. Para a contratação dos serviços GSM serão analisados os seguintes fatores: Fator de avaliação Pontuação Velocidade da banda (x2) 3G 3GH 4G 0.1 0.2 0.3 Volume de trafego (x3) Até 1 MB De 1 MB à 5 MB De 5 MB à 10 MB
  • 100.
    100 0.1 0.2 0.3 Valorpor chip (x5) até $ 2,50 $ 2,51 até $ 5,00 $ 5,01 até $ 7,50 0.3 0.2 0.1 Tabela 35 - Critérios de avaliação de cotações e propostas 2. Para a contratação dos serviços de produção de placas de circuito impresso serão analisados os seguintes fatores: Fator de avaliação Pontuação Tempo de entrega, a partir do pedido, em região metropolitana de SP (x2) 3 dias úteis 5 dias úteis 7 dias úteis 0.1 0.2 0.3 Valor de 10 peças da central (x5) até $ 10,00 / p $ 10,01 / p até $ 20,00 / p $ 20,01 / p até $ 30,00 / p 0.3 0.2 0.1 Valor de 100 peças da central (x5) até $ 1,00 / p $ 1,01 / p até $ 2,00 / p $ 2,01 / p até $ 3,00 / p 0.3 0.2 0.1 Tabela 36 - Critérios de avaliação de cotações e propostas 3. Para a compra dos componentes eletrônicos deverá ser realizado até 3 orçamento e contratada a proposta de preço mais baixo uma vez que estes componentes são padronizados e são indexados pelo seu partnumber.
  • 101.
    101 Avaliação de fornecedores Paraa avaliação dos serviços de host serão analisados os seguintes fatores:  É considerado satisfatório um nível de queda do servidor inferior a 3 ocorrências por mês, podendo-se haver uma reavaliação do fornecedor caso essa restrição seja quebrada por 2 meses seguidos. Para a avaliação dos serviços de GSM serão analisados os seguintes fatores:  Garantia de conexão em modo 3G High em pelo menos 70% das localidades onde a central será instalada;  Garantia de 100% das centrais com conexão de internet; Para a avaliação dos serviços de impressão de placas de circuito impressos serão analisados os seguintes fatores:  Garantia de capacidade de produção de 10 x da quantidade média dos pedidos;  Garantia que o circuito suporta temperaturas entre 40 e 90 graus celcius;  Garantia de aproveitamento de 95% do lote enviado. Frequência de avaliação dos processos de aquisições Os processos de aquisição devem ser avaliados mensalmente e no caso do descumprimento das premissas aqui dispostas deve ser analisado a troca do fornecedor de serviço e/ou quebra de contrato. Alocação financeira para o gerenciamento das aquisições Para realizar o gerenciamento das aquisições será alocado 10% do budget do projeto e este valor deverá ser aplicado para gestão dos contratos e aquisição de componentes eletrônicos. Responsável pelo plano William Strafacce Soares – Gerente de Projetos. Rafael Alexandre de Oliveira – Engenheiro Elétrico.
  • 102.
    102 Frequência de atualizaçãodo plano de gerenciamento das aquisições O plano de gerenciamento das aquisições deve ser atualizado sempre que um novo contrato for firmado para que haja uma avaliação dos critérios definidos e uma atualização e melhoria das tabelas de avaliação dos fornecedores. REGISTRO DE ALTERAÇÕES Data Modificado por Descrição da mudança 22/06/2015 William Strafacce Soares Revisão 1.0 APROVAÇÕES André Bittencourt do Valle – Coordenador Acadêmico Executivo Data 22/06/2015
  • 103.
    103 4.12. Plano degerenciamento de stakeholders Projeto de Automatização de Estacionamentos Plano de Gerenciamento de Stakeholder STAKEHOLDER MANAGEMENT PLAN Preparado por William Strafacce Soares Versão 1.0 Aprovado por André Bittencourt do Valle Data: 23/06/2015 Este plano tem como objetivo identificar as partes interessadas no projeto e adequar as ações que serão tomadas de forma que seja possível alcançar o sucesso do projeto com o maior apoio e envolvimento possível. Segundo o guia PMBOK 5 [3] o gerenciamento das partes interessadas é dividido em 4 processos, são eles:  Identificar as partes interessadas: este processo tem como objetivo identificar todas as pessoas ou organizações impactadas pelo projeto e documentar informações relevantes sobre seus interesses, envolvimentos e suas influencias no sucesso do projeto. Tem como principal entrada o termo de abertura do projeto e principal saída o registro de partes interessadas.  Planejar o gerenciamento das partes interessadas: este processo tem como objetivo desenvolver estratégias de gerenciamento apropriadas para engajar efetivamente todas as partes interessadas durante todo o projeto. Tem como principal entrada o registro de partes interessadas e principal saída o plano de gerenciamento de partes interessadas.  Gerenciar o engajamento das partes interessadas: este processo tem como objetivo comunicar e trabalhar com as partes interessadas para atender suas expectativas e necessidades, endereçar os problemas assim que eles ocorrerem e promover o engajamento das partes interessadas durante todo o ciclo de vida do projeto. Tem como principais entradas o plano de gerenciamento das comunicações e o registro de mudanças e principal saída as requisições de mudanças.  Controlar o engajamento das partes interessadas: este processo tem como objetivo monitorar o relacionamento global das partes interessadas do projeto e ajustar estratégias e
  • 104.
    104 planos para engajá-los.Tem como principais entradas os registros de problemas e dados sobre o desempenho do trabalho e principal saída as requisições de mudança. Identificação das partes interessadas Nome do StakeHolder Cargo Mutualidade* Patrocinador Executivo Alta Donos de estacionamentos Executivo Alta Time do projeto Operacional Media Usuários Público Media CET Órgão Público Alta Empresas de marketing Empresa privada Baixa Fornecedores de serviços de host Empresa privada Baixa Fornecedores de placas de CI Empresa privada Média Fornecedores de componentes eletrônicos Empresa privada Média Concessionária de tarifação de catracas (Ex.: Sem Parar, Shoppings, etc.) Empresa privada Alta Secretária de transportes SP Órgão Público Alta Tabela 37 - Identificação das partes interessadas. O levantamento das partes interessadas foi feito utilizando técnicas de Brainstorming considerando o público alvo, a ligação direta com o produto de software gerado pelo projeto, App Android e Portal Web, seja utilizando ou comprando espaços de marketing, dependência de empresas fornecedoras e ligação com o sistema de transito do estado de São Paulo.
  • 105.
    105 No decorrer dociclo de vida do projeto deverá ser feita uma análise sobre a inclusão de mais partes interessadas e revisão sobre as mudanças de prioridades ou grau de influência dado inicialmente. Esta análise deve levar em consideração o ambiente de atuação, inicialmente sendo na grande São Paulo, mas podendo expandir para regiões interioranas e outros estados, parceiros de negócios, patrocinadores, concorrentes, patentes e cenários internacionais. Priorização das partes interessadas Urgência Leg . Nome Cargo Poder Prox. Valor Ação Prioridade Patrocinador Executivo Muito Alto Muito Baixa Bloqueador Manter satisfeito 0 Donos de estacionamentos Executivo Baixo Baixo Desacelerad or Monitorar 0 Time do projeto Operacional Alto Muito Alta Aliado Gerenciar com atenção 1 Usuários Público Muito Baixo Muito Baixo Desacelerad or Monitorar 2 CET Órgão Público Alto Baixo Bloqueador Manter satisfeito 2 Empresas de marketing Empresa privada Muito Baixo Muito Baixo Desacelerad or Monitorar 2 Fornecedores de serviços de host Empresa privada Alto Alta Aliado Gerenciar com atenção 1 Fornecedores de placas de CI Empresa privada Alto Alta Aliado Gerenciar com atenção 1 Fornecedores de componentes Empresa privada Baixo Alta Membros da rede Manter informado 1
  • 106.
    106 eletrônicos Concessionária de tarifação de catracas(Ex.: Sem Parar, Shoppings, etc.) Empresa privada Muito Alto Muito Baixa Bloqueador Manter satisfeito 0 Secretária de transportes SP Órgão Público Alto Baixo Bloqueador Manter satisfeito 1 Tabela 38 - Priorização das partes interessadas. As partes interessadas foram priorizadas segundo a tabela a baixo: Prioridade Justificativa Zero Partes interessadas que são fatores de sucesso, se apoiadores, ou fracasso, se resistentes. Um Partes interessadas que podem influenciar o andamento do projeto com sua força baseadas em leis e regulamentações ou em fornecimento de matéria prima. Dois Partes interessadas que são afetadas indiretamente pelo sucesso do projeto. Tabela 39 - Prioridade das partes interessadas.
  • 107.
    107 Figura 13 -Matriz de análise de poder, proximidade e urgência das partes interessadas. + - + Proximidade Poder Urgência
  • 108.
    108 Plano de engajamentodas partes interessadas Urgência Atual Desejável Leg Nome Cargo Poder Prox. Valor Ação Prior. Recept. Apoio Recept. Apoio Patrocinador Executivo Muito Alto Muito Baixa Bloqueador Manter satisfeito 0 Muito Baixo Desconhece Muito Alto Apoiador Donos de estacionamentos Executivo Baixo Baixo Desacelerador Monitorar 0 Muito Baixo Desconhece Muito Alto Conhece ou apoiador Time do projeto Operacional Alto Muito Alta Aliado Gerenciar com atenção 1 Muito Alto Apoiador Muito Alto Apoiador Usuários Público Muito Baixo Muito Baixo Desacelerador Monitorar 2 Alto Desconhece Muito Alto Conhece ou Apoiador CET Órgão Público Alto Baixo Bloqueador Manter satisfeito 2 Alto Desconhece Alto Neutro Empresas de marketing Empresa privada Muito Baixo Muito Baixo Desacelerador Monitorar 2 Alto Desconhece Muito Alto Conhece ou Apoiador Fornecedores de serviços de host Empresa privada Alto Alta Aliado Gerenciar com 1 Alto Neutro Alto Neutro
  • 109.
    109 atenção Fornecedores de placas deCI Empresa privada Alto Alta Aliado Gerenciar com atenção 1 Alto Neutro Alto Neutro Fornecedores de componentes eletrônicos Empresa privada Baixo Alta Membros da rede Manter informado 1 Alto Neutro Alto Neutro Concessionária de tarifação de catracas (Ex.: Sem Parar, Shoppings, etc.) Empresa privada Muito Alto Muito Baixa Bloqueador Manter satisfeito 0 Muito Baixo Desconhece/ Resistente Muito Alto Conhece ou Apoiador Secretária de transportes SP Órgão Público Alto Baixo Bloqueador Manter satisfeito 1 Alto Desconhece Alto Neutro Tabela 40 - Plano de engajamento das partes interessadas.
  • 110.
    110 Plano de comunicação NomeCargo Propósito Método Quem? Frequência Patrocinador Executivo Proposta comercial de patrocínio / reuniões de “status report”. Reuniões, feiras tecnológicas, submissão do projeto em aceleradoras / chamadas em conferência, e-mail e relatórios executivos Adriano Silva Diariamente até fechar um ou mais contratos de patrocínio e em atendimento as clausulas contratuais exigidas. Donos de estacionamentos Executivo Proposta comercial de parceria. Reuniões e marketing ativo Adriano Silva Após termino de protótipo, para implantar em um estacionamento piloto, e semanalmente após concluir o projeto piloto e obter um case de sucesso. Time do projeto Operacional Andamento do projeto em nível de pacotes de trabalho Reuniões William Strafacce Soares Semanalmente. Usuários Público Propagandas sobre o App Marketing Passívo Rafael Oliveira Diariamente após implantação de projeto piloto. CET Órgão Público Documentos de legislação Formulários Rafael Oliveira Se necessário. Empresas de marketing Empresa privada Proposta comercial de divulgação da App / proposta comercial de venda de Reuniões e Marketing Ativo Adriano Silva Diariamente após implantação de projeto piloto.
  • 111.
    111 espaços direcionados amarketing e propaganda, tanto no portal web como na App Fornecedores de serviços de host Empresa privada Requisitos de qualidade relacionados a configuração de servidores E-mail e reuniões William Strafacce Soares Após término de protótipo. Fornecedores de placas de CI Empresa privada Requisitos para a fabricação do hardware E-mail Rafael Alexandre de Oliveira Após término de design de placa da central e sensor. Fornecedores de componentes eletrônicos Empresa privada Lista de componentes eletrônicos E-mail Rafael Alexandre de Oliveira Após término de design de placa da central e sensor. Concessionária de tarifação de catracas (Ex.: Sem Parar, Shoppings, etc.) Empresa privada Proposta comercial de integração com sistema controlador de catracas Reuniões Adriano Silva e William Strafacce Soares Após fechamento de contrato de implantação com shoppings e estacionamentos que utilizam este sistema Secretária de transportes SP Órgão Público Documentos de legislação Formulários Rafael Oliveira Se necessário. Tabela 41 - Plano de comunicação com as partes interessadas.
  • 112.
    112 A monitoria daefetividade da comunicação deverá ser realizada através do levantamento e análise dos valores gastos para realizar as comunicações versus os contratos fechados, valores e conformidade com os requisitos de escopo, tempo e custos do projeto. Caso esta análise resulte em impactos de escopo acima de 10% e impactos de tempo ou custos acima de 20%, deverá ser contratada ajuda de uma consultoria para auxiliar e melhorar os processos de comunicação definidos no plano de comunicação. REGISTRO DE ALTERAÇÕES Data Modificado por Descrição da mudança 23/06/2015 William Strafacce Soares Revisão 1.0 APROVAÇÕES André Bittencourt do Valle – Coordenador Acadêmico Executivo Data 23/06/2015
  • 113.
    113 5. CONCLUSÕES O objetivodeste trabalho foi identificar a necessidades de tecnologia existentes nos setores de tráfego da capital paulista e sugerir um protótipo de uma solução inovadora que facilitará a vida dos condutores de veículos automotores. Utilizando-se desta proposta de software o usuário poderá identificar facilmente as opções de parques de estacionamentos disponíveis próximos a sua localização atual ou futura, podendo se preparar para os desafios que irá encontrar para estacionar seu veículo e quais os serviços, fora guarda segura do seu veículo, os estacionamentos oferecem. É previsto que este projeto sofrerá uma evolução para melhor se adaptar as necessidades dos seus clientes e usuários conforme for havendo feedback dos mesmos e conforme for surgindo novas tecnologias que facilitem os processos de acessibilidade e performance de aplicativos em dispositivos smartphones que sejam superiores aos da realidade atual.
  • 114.
    114 6. REFERÊNCIAS BIBLIOGRÁFICAS [1]M. Pinho, “Globo São Paulo,” 15 02 2014. [Online]. Available: http://g1.globo.com/sao- paulo/noticia/2014/02/sao-paulo-registra-maior-crescimento-da-frota-de-carros-em-tres- anos.html. [Acesso em 03 06 2015]. [2] Smart Parking Ltd, “Smart Parking,” 07 2013. [Online]. Available: http://www.smartparking.com/. [Acesso em 02 2014]. [3] PMI - Project Management Institute, Um Guia do Conhecimento em Gerenciamento de Projetos (Guia PMBOK®), Pennsylvania: GlobalStandard, 2013. [4] Freescale Semiconductor, Inc., “Freescale,” Freescale Semiconductor, Inc., 2004-2015. [Online]. Available: http://www.freescale.com. [Acesso em 17 6 2015]. [5] Project Management Institute, Inc., “PMI - Project Management Institute,” Project Management Institute, Inc., 2015. [Online]. Available: http://www.pmi.org/. [Acesso em 02 2015].