Métodos Eletroanalíticos Eletroanalítica compreende um grupo de métodos analíticos baseado nas propriedades elétricas das soluções Potenciometria Condutimetria Voltametria Propriedades elétricas monitoradas:  Diferença de potencial   Resistência Corrente em função do potencial aplicado Em alguns casos as propriedades elétricas são medidas em função do tempo  Baixos limites de detecção, especiação química, instrumentação barata
Tipos de métodos eletroanalíticos
Condução de Eletricidade e - I = dQ/dt Condutor iônico Condutor   Eletrônico
Condutores Eletrônicos e Iônicos Eletrônicos : Obedecem a lei de Ohm (E = IR) E = Diferença de Potencial (volts) devido ao movimento    de elétrons R = Resistência (ohms) do condutor à passagem de Corrente I = Corrente (amperes) Iônicos : Obedecem a lei de Ohm para pequenos    valores de corrente E = Diferença de Potencial (volts) devido ao movimento    de íons R = Resistência (ohms) do eletrólito à passagem de corrente I = Corrente(amperes )
Interface Eletrodo-Solução Zinco Metálico Solução de Zn 2+ Interface Eletrodo-Solução  Um sistema eletroquímico é um sistema heterogêneo onde existe uma diferença de potencial elétrico entre duas fases  Zn 2+ Zn 2+ Zn 2+ Zn 2+ Zn 2+ e - e - e - e - e - e - e - e - e - Zn 2+ Zn 2+ Zn 2+ Zn 2+ Zn 2+ Zn 2+ Zn 2+ Zn 2+ Zn 2+ Zn 2+ Zn 2+ Zn 2+ Zn 2+ Zn 2+ e - e - e - e - e - e - e - e - e - Zn 2+ Zn 2+ Zn 2+ Zn 2+ Zn 2+ Zn 2+ Zn 2+ Zn 2+ Zn 2+ Zn 2+ Zn 2+ Zn 2+ (metal) +  2e - (metal)  Zn 2+ (sol.) +  2e - (sol.)
Reações de Oxi-Redução Transferência de elétrons de um reagente para outro 2 Ag +  + Cu(s)  Ag(s) + Cu 2+ Esta reação pode ser realizado por dois caminhos fisicamente diferentes Caminho 1:  Colocar os reagentes em contato direto Cu o Ag + Ag + Cu o Ag o Cu 2+
Célula Eletroquímica Caminho 2:  Separar os reagentes em um arranjo apropriado Componentes de uma Célula Eletroquímica 2 condutores imersos em uma solução contendo eletrólitos (eletrodos) 1 condutor eletrônico externo para permitir o fluxo de elétrons 1 condutor iônico para evitar o contato direto dos reagentes e permitir o fluxo de íons Ânodo (oxidação) Cátodo (redução) Eletrodo de Cobre e - e - Eletrodo de Prata Ponte Salina (KCl sat.) Cu(s)  Cu 2+  + 2e - Ag +  + e - Ag(s)  [Cu 2+ ] = 1.00 mol/L [Ag + ] = 1.00 mol/L
Célula Eletroquímica – Movimento de cargas e - e - Cu 2+ Cu 2+ Cu 2+ SO 4 2- - Ag + Ag + Oxidação Interface Eletrodo/solução Interface Eletrodo/solução Redução AgNO 3 CuSO 4 K + K + Cl - Cl - e - e - e - e - e - SO 4 2- NO 3 NO 3 NO 3 e - e - e - e - e - e -
Potenciometria Métodos potenciométricos de análise baseiam-se na medida do potencial de uma cela eletroquímica na ausência de corrente utilizada para detectar ponto final de titulações (titulações potenciométricas), ou para determinação direta de um constituinte em uma amostra, através da medida do potencial de um eletrodo íon-seletivo equipamento simples e barato, constituído de um eletrodo de referência, um eletrodo indicador e um dispositivo para leitura do potencial
POTENCIOMETRIA ELETRODO INDICADOR   ELETRODO REFERÊNCIA E REAÇÃO  = E CÁTODO  - E ÂNODO Métodos estáticos Métodos dinâmicos
atividades vs concentração molar Equação de Nernst    atividades Substituição de atividades por concentrações molares    somente para soluções diluídas a =    [X]   coef. atividade  Em soluções concentradas, cálculos utilizando-se concentrações molares ao invés de atividades leva a erros consideráveis E REAÇÃO  = E 0 REDUÇÃO  –  0,0592V xLog a reduzida /a oxidada   n
TIPOS DE ELETRODOS
Eletrodos de referência Em aplicações eletroanalíticas, é desejável que um dos eletrodos tenha potencial conhecido, constante e completamente insensível à composição da solução em estudo     Eletrodo de referência Eletrodo de referência ideal:  i) Reversível e obedece a eq. de Nernst; ii) Exibe potencial constante com o tempo; iii) Retorna ao seu potencial original após submetido a pequenas correntes; iv) Exibe baixa histerese com variações de temperatura
 
Eletrodo de prata/cloreto de prata Ag  AgCl(sat.), KCl (x mol.L -1 )  Eletrodo de prata imerso em uma solução de KCl saturada com AgCl AgCl(s) + e -   Ag(s) + Cl - Podem ser utilizados em T > 60 o C, ao contrário do ECS Quando [Cl - ] = 1molL -1  o potencial do eletrodo é de +0,222V E quando é saturado com KCl o potencial é de +0,197V
 
Eletrodo de calomelano (ESC ou SCE) Eletrodo formado por mercúrio em contato com solução saturada de Hg 2 Cl 2  (calomelano) e que contém uma quantidade conhecida de KCl Hg  Hg 2 Cl 2 (sat), KCl (x mol.L -1 )  Hg 2 Cl 2 (s) + 2e -   2Hg(l) + 2Cl - Potencial depende de x Quando [Cl - ] = 1molL -1  o potencial do eletrodo é de +0,268V E quando é saturado com KCl o potencial é de +0,241V
 
Eletrodos Indicadores Metálicos Eletrodo indicador depende da atividade de uma espécie iônica 1. Eletrodos indicadores metálicos do 1o. tipo estão em equilíbrio direto com o cátion derivado do metal Eletrodo de Cu (fio de Cu): u’ma única reação envolvida: Cu 2+   +  2e -   Cu(s)  E o R  = 0,339V O potencial deste eletrodo será E = E 0 Cu   – nF  ln  1 RT  aCu 2+ Eletrodo de Cu fornece uma medida direta da aCu 2+  na sol . Pouco utilizado : pouco seletivos (respondem a outros cátions que podem ser reduzidos presentes na solução); podem dissolver em meio ac./básico; podem ser facilmente oxidados em algumas soluções
 
Eletrodos Indicadores Metálicos 2. Eletrodos indicadores metálicos do 2o. tipo Um eletrodo metálico que responde à atividade de um ânion ao qual seu  seu cátion forma um precipitado ou um complexo estável Ex: prata como eletrodo do 2o. Tipo para haletos: Ag +  + e -   Ag(s)  E o R = 0,799V AgI(s) + e -   Ag(s) + I - E = E o  – RT  ln  1 nF  aI -
 
3. Eletrodos indicadores metálicos do 3o. tipo Eletrodos Indicadores Metálicos Um eletrodo metálico pode, em algumas circunstâncias, responder a cátions diferentes Ex. Eletrodo de mercúrio para determinar a [Ca 2+ ] em solução 4. Eletrodos indicadores metálicos redox Eletrodos de Pt, Au, Pd e metais inertes servem como indicadores em sistemas de oxidação/redução. Eletrodos atuam como fonte para elétrons transferidos de um sistema redox em solução. Ex. Eletrodo de platina em solução contendo Ce 3+  e Ce 4+ E = E o  – RT ln  aCe 3+ nF  aCe 4+
 
 
Eletrodos Indicadores de Membrana determinação rápida e seletiva de vários cátions e ânions através de medida potenciométrica direta conhecidos como eletrodos íon-seletivo ou eletrodos pIon Diferente do eletrodo metálico: potencial no eletrodo metálico deriva da tendência de uma reação redox ocorrer na superfície do metal. Em eletrodos de membrana, potencial se deve a um  potencial de junção  entre a membrana que separa a solução do eletrodo da solução da espécie a ser analisada  1. Membranas cristalinas (mono ou policristalinas) 2. Membranas não-cristalinas (vidro, líquido, polímeros, etc.)
Eletrodos Indicadores de Membrana Propriedades de membranas íon-seletivas: i) Mínima solubilidade – solubilidade da membrana na solução da espécie a ser analisada deve ser praticamente zero; ii) Condutividade elétrica – membrana deve apresentar um mínimo de condutividade elétrica iii) Reatividade seletiva com a espécie a ser determinada – a membrana deve ser capaz de ligar-se seletivamente ao íon que pretende-se determinar (troca-iônica, complexação, cristalização)
Potencial de Junção Líquida Formado na interface entre duas soluções de diferentes eletrólitos HCl  1,00 mol L -1 HCl  0,01 mol L -1 H + H + H + Cl - Cl - Cl - Cl - H + H + Cl - E j   - + Porcelana Porosa Água Cl - K + Cl - K + Solução de KCl E j
Eletrodo de vidro para medida de pH medida de pH – medida da diferença de potencial através de uma membrana de vidro que separa a solução desconhecida de uma solução de referencia cuja [H + ] é conhecida pH-metro ESC eletrodo de vidro agitador magnético fio de  prata HCl O,1 M saturado c/ AgCl solução de pH  desconhecido Fina membrana de vidro (responsável pela resposta ao pH)
Eletrodo de vidro para medida de pH H +  + Na + Vd -   Na +  + H + Vd - Sol.  Vidro  sol.  vidro
 
 
 
 
 
 
 
 
 
 
 
 
 
 
 
 
 
Titulação Potenciométrica Utilização da medida do potencial de um eletrodo indicador para determinar-se o ponto de equivalência de uma titulação Método muito mais exato e preciso que a utilização de indicadores visuais
 
 
Cálculos quantitativos em potenciometria POTENCIOMETRIA DIRETA MÉTODO ADIÇÃO PADRÃO
POTENCIOMETRIA DIRETA
A equação linear do método OLS  Y = bo + b1 x X Fica:  E(V ou mV) = bo + b1 x Log [analito] Onde o coeficiente de correlação de Pearson (r) será negativo
MÉTODO ADIÇÃO PADRÃO
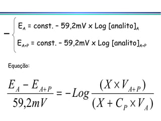
E A  = const. – 59,2mV x Log [analito] A E A+P  = const. – 59,2mV x Log [analito] A+P Equação:    

Potenciometria[1]

  • 1.
    Métodos Eletroanalíticos Eletroanalíticacompreende um grupo de métodos analíticos baseado nas propriedades elétricas das soluções Potenciometria Condutimetria Voltametria Propriedades elétricas monitoradas: Diferença de potencial Resistência Corrente em função do potencial aplicado Em alguns casos as propriedades elétricas são medidas em função do tempo Baixos limites de detecção, especiação química, instrumentação barata
  • 2.
    Tipos de métodoseletroanalíticos
  • 3.
    Condução de Eletricidadee - I = dQ/dt Condutor iônico Condutor Eletrônico
  • 4.
    Condutores Eletrônicos eIônicos Eletrônicos : Obedecem a lei de Ohm (E = IR) E = Diferença de Potencial (volts) devido ao movimento de elétrons R = Resistência (ohms) do condutor à passagem de Corrente I = Corrente (amperes) Iônicos : Obedecem a lei de Ohm para pequenos valores de corrente E = Diferença de Potencial (volts) devido ao movimento de íons R = Resistência (ohms) do eletrólito à passagem de corrente I = Corrente(amperes )
  • 5.
    Interface Eletrodo-Solução ZincoMetálico Solução de Zn 2+ Interface Eletrodo-Solução Um sistema eletroquímico é um sistema heterogêneo onde existe uma diferença de potencial elétrico entre duas fases Zn 2+ Zn 2+ Zn 2+ Zn 2+ Zn 2+ e - e - e - e - e - e - e - e - e - Zn 2+ Zn 2+ Zn 2+ Zn 2+ Zn 2+ Zn 2+ Zn 2+ Zn 2+ Zn 2+ Zn 2+ Zn 2+ Zn 2+ Zn 2+ Zn 2+ e - e - e - e - e - e - e - e - e - Zn 2+ Zn 2+ Zn 2+ Zn 2+ Zn 2+ Zn 2+ Zn 2+ Zn 2+ Zn 2+ Zn 2+ Zn 2+ Zn 2+ (metal) + 2e - (metal) Zn 2+ (sol.) + 2e - (sol.)
  • 6.
    Reações de Oxi-ReduçãoTransferência de elétrons de um reagente para outro 2 Ag + + Cu(s) Ag(s) + Cu 2+ Esta reação pode ser realizado por dois caminhos fisicamente diferentes Caminho 1: Colocar os reagentes em contato direto Cu o Ag + Ag + Cu o Ag o Cu 2+
  • 7.
    Célula Eletroquímica Caminho2: Separar os reagentes em um arranjo apropriado Componentes de uma Célula Eletroquímica 2 condutores imersos em uma solução contendo eletrólitos (eletrodos) 1 condutor eletrônico externo para permitir o fluxo de elétrons 1 condutor iônico para evitar o contato direto dos reagentes e permitir o fluxo de íons Ânodo (oxidação) Cátodo (redução) Eletrodo de Cobre e - e - Eletrodo de Prata Ponte Salina (KCl sat.) Cu(s) Cu 2+ + 2e - Ag + + e - Ag(s) [Cu 2+ ] = 1.00 mol/L [Ag + ] = 1.00 mol/L
  • 8.
    Célula Eletroquímica –Movimento de cargas e - e - Cu 2+ Cu 2+ Cu 2+ SO 4 2- - Ag + Ag + Oxidação Interface Eletrodo/solução Interface Eletrodo/solução Redução AgNO 3 CuSO 4 K + K + Cl - Cl - e - e - e - e - e - SO 4 2- NO 3 NO 3 NO 3 e - e - e - e - e - e -
  • 9.
    Potenciometria Métodos potenciométricosde análise baseiam-se na medida do potencial de uma cela eletroquímica na ausência de corrente utilizada para detectar ponto final de titulações (titulações potenciométricas), ou para determinação direta de um constituinte em uma amostra, através da medida do potencial de um eletrodo íon-seletivo equipamento simples e barato, constituído de um eletrodo de referência, um eletrodo indicador e um dispositivo para leitura do potencial
  • 10.
    POTENCIOMETRIA ELETRODO INDICADOR ELETRODO REFERÊNCIA E REAÇÃO = E CÁTODO - E ÂNODO Métodos estáticos Métodos dinâmicos
  • 11.
    atividades vs concentraçãomolar Equação de Nernst  atividades Substituição de atividades por concentrações molares  somente para soluções diluídas a =  [X]  coef. atividade Em soluções concentradas, cálculos utilizando-se concentrações molares ao invés de atividades leva a erros consideráveis E REAÇÃO = E 0 REDUÇÃO – 0,0592V xLog a reduzida /a oxidada n
  • 12.
  • 13.
    Eletrodos de referênciaEm aplicações eletroanalíticas, é desejável que um dos eletrodos tenha potencial conhecido, constante e completamente insensível à composição da solução em estudo  Eletrodo de referência Eletrodo de referência ideal: i) Reversível e obedece a eq. de Nernst; ii) Exibe potencial constante com o tempo; iii) Retorna ao seu potencial original após submetido a pequenas correntes; iv) Exibe baixa histerese com variações de temperatura
  • 14.
  • 15.
    Eletrodo de prata/cloretode prata Ag  AgCl(sat.), KCl (x mol.L -1 )  Eletrodo de prata imerso em uma solução de KCl saturada com AgCl AgCl(s) + e - Ag(s) + Cl - Podem ser utilizados em T > 60 o C, ao contrário do ECS Quando [Cl - ] = 1molL -1 o potencial do eletrodo é de +0,222V E quando é saturado com KCl o potencial é de +0,197V
  • 16.
  • 17.
    Eletrodo de calomelano(ESC ou SCE) Eletrodo formado por mercúrio em contato com solução saturada de Hg 2 Cl 2 (calomelano) e que contém uma quantidade conhecida de KCl Hg  Hg 2 Cl 2 (sat), KCl (x mol.L -1 )  Hg 2 Cl 2 (s) + 2e - 2Hg(l) + 2Cl - Potencial depende de x Quando [Cl - ] = 1molL -1 o potencial do eletrodo é de +0,268V E quando é saturado com KCl o potencial é de +0,241V
  • 18.
  • 19.
    Eletrodos Indicadores MetálicosEletrodo indicador depende da atividade de uma espécie iônica 1. Eletrodos indicadores metálicos do 1o. tipo estão em equilíbrio direto com o cátion derivado do metal Eletrodo de Cu (fio de Cu): u’ma única reação envolvida: Cu 2+ + 2e - Cu(s) E o R = 0,339V O potencial deste eletrodo será E = E 0 Cu – nF ln 1 RT aCu 2+ Eletrodo de Cu fornece uma medida direta da aCu 2+ na sol . Pouco utilizado : pouco seletivos (respondem a outros cátions que podem ser reduzidos presentes na solução); podem dissolver em meio ac./básico; podem ser facilmente oxidados em algumas soluções
  • 20.
  • 21.
    Eletrodos Indicadores Metálicos2. Eletrodos indicadores metálicos do 2o. tipo Um eletrodo metálico que responde à atividade de um ânion ao qual seu seu cátion forma um precipitado ou um complexo estável Ex: prata como eletrodo do 2o. Tipo para haletos: Ag + + e - Ag(s) E o R = 0,799V AgI(s) + e - Ag(s) + I - E = E o – RT ln 1 nF aI -
  • 22.
  • 23.
    3. Eletrodos indicadoresmetálicos do 3o. tipo Eletrodos Indicadores Metálicos Um eletrodo metálico pode, em algumas circunstâncias, responder a cátions diferentes Ex. Eletrodo de mercúrio para determinar a [Ca 2+ ] em solução 4. Eletrodos indicadores metálicos redox Eletrodos de Pt, Au, Pd e metais inertes servem como indicadores em sistemas de oxidação/redução. Eletrodos atuam como fonte para elétrons transferidos de um sistema redox em solução. Ex. Eletrodo de platina em solução contendo Ce 3+ e Ce 4+ E = E o – RT ln aCe 3+ nF aCe 4+
  • 24.
  • 25.
  • 26.
    Eletrodos Indicadores deMembrana determinação rápida e seletiva de vários cátions e ânions através de medida potenciométrica direta conhecidos como eletrodos íon-seletivo ou eletrodos pIon Diferente do eletrodo metálico: potencial no eletrodo metálico deriva da tendência de uma reação redox ocorrer na superfície do metal. Em eletrodos de membrana, potencial se deve a um potencial de junção entre a membrana que separa a solução do eletrodo da solução da espécie a ser analisada 1. Membranas cristalinas (mono ou policristalinas) 2. Membranas não-cristalinas (vidro, líquido, polímeros, etc.)
  • 27.
    Eletrodos Indicadores deMembrana Propriedades de membranas íon-seletivas: i) Mínima solubilidade – solubilidade da membrana na solução da espécie a ser analisada deve ser praticamente zero; ii) Condutividade elétrica – membrana deve apresentar um mínimo de condutividade elétrica iii) Reatividade seletiva com a espécie a ser determinada – a membrana deve ser capaz de ligar-se seletivamente ao íon que pretende-se determinar (troca-iônica, complexação, cristalização)
  • 28.
    Potencial de JunçãoLíquida Formado na interface entre duas soluções de diferentes eletrólitos HCl 1,00 mol L -1 HCl 0,01 mol L -1 H + H + H + Cl - Cl - Cl - Cl - H + H + Cl - E j - + Porcelana Porosa Água Cl - K + Cl - K + Solução de KCl E j
  • 29.
    Eletrodo de vidropara medida de pH medida de pH – medida da diferença de potencial através de uma membrana de vidro que separa a solução desconhecida de uma solução de referencia cuja [H + ] é conhecida pH-metro ESC eletrodo de vidro agitador magnético fio de prata HCl O,1 M saturado c/ AgCl solução de pH desconhecido Fina membrana de vidro (responsável pela resposta ao pH)
  • 30.
    Eletrodo de vidropara medida de pH H + + Na + Vd - Na + + H + Vd - Sol. Vidro sol. vidro
  • 31.
  • 32.
  • 33.
  • 34.
  • 35.
  • 36.
  • 37.
  • 38.
  • 39.
  • 40.
  • 41.
  • 42.
  • 43.
  • 44.
  • 45.
  • 46.
  • 47.
  • 48.
    Titulação Potenciométrica Utilizaçãoda medida do potencial de um eletrodo indicador para determinar-se o ponto de equivalência de uma titulação Método muito mais exato e preciso que a utilização de indicadores visuais
  • 49.
  • 50.
  • 51.
    Cálculos quantitativos empotenciometria POTENCIOMETRIA DIRETA MÉTODO ADIÇÃO PADRÃO
  • 52.
  • 53.
    A equação lineardo método OLS Y = bo + b1 x X Fica: E(V ou mV) = bo + b1 x Log [analito] Onde o coeficiente de correlação de Pearson (r) será negativo
  • 54.
  • 55.
    E A = const. – 59,2mV x Log [analito] A E A+P = const. – 59,2mV x Log [analito] A+P Equação: