UNIFIEO - Centro Universitário FIEO

Curso:         Pós-Graduação.

Área:          Recursos Humanos

Disciplina:    Planejamento Estratégico de RH.




 ESTUDO DE UM PROJETO DE INSTALAÇÃO DE UM PLANO DE CARGOS E SALÁRIOS
                           EM UMA EMPRESA.




Orientador:

         Prof. MSc. Gilnei Luiz de Moura

Grupo:

         Anderson Marciano de Paula
         Corina Toledo
         Edna Coutinho de Oliveira
         Isaías Jatobá de Araújo
         Renato Lourenço
         Simone Ap. de Abreu




                                   Osasco, 09 de Outubro de 2007.
RESUMO


      Este estudo descreve os passos necessários para a implantação de um sistema estruturado de
remuneração, demonstrando os passos para a aplicabilidade de uma gestão salarial, com base nos
salários aplicados pelo mercado de trabalho, dos profissionais do nível administrativo, levantando
algumas formas de planos de avaliação salarial de forma resumida, focando seu principal estudo no
sistema baseado em pontos.

      Realizaremos o estudo com um grupo de dez cargos administrativos, representativos de uma
organização.

      Este estudo tem como objetivo uma aplicação prática e detalhada de implantação de cargos e
Salários.




                                                II
SUMÁRIO


1. INTRODUÇÃO
    1.1. Apresentação do Tema
    1.2. Organização do estudo
    1.3. Metodologia
2. PLANEJAMENTO PARA IMPLANTAÇÃO
    2.1. Objetivos
    2.2. Estratégias
    2.3. Aprovação
    2.4. Divulgação
3. ANÁLISE DE CARGOS
    3.1. Levantamento de dados
    3.2. Métodos de coletas de dados
    3.3. Descrições de Cargos
    3.4. Titulação dos Cargos
    3.5. Levantamento de especificações
4. PESQUISA SALARIAL
    4.1. Conceito
    4.2. Identificação dos cargos para pesquisa
    4.3. Identificar empresas para pesquisa
    4.4. Fazer manual a ser distribuído para empresas
    4.5. “Feedback” da pesquisa ás empresas pesquisadas
5. MÉTODOS DE AVALIAÇÕES
    5.1. Não quantitativos
        5.1.1. Escalonamento
        5.1.2. Graus Pré-determinados
    5.2. Quantitativos
        5.2.1. Pontos
            5.2.1.1.Identificação dos cargos chaves na empresa;
            5.2.1.2.Identificação dos fatores de avaliação preponderantes na empresa;
            5.2.1.3.Avaliação dos fatores preponderantes em graus e percentuais;
            5.2.1.4.Tratamento estatístico das avaliações dos fatores
            5.2.1.5.Avaliando os cargos em pontos
6. POLÍTICA SALARIAL
    6.1. Conceito
    6.2. Remuneração estratégica
7. ESTRUTURA SALARIAL
8. CONCLUSÃO
9. BIBLIOGRAFIA
10. ANEXOS




                                                   III
1. INTRODUÇÃO

   1.1. Apresentação do Tema

   Nas organizações empresariais além dos investimentos em máquinas e matérias-primas contém em
seu universo o mais importante ativo, que é a sua força de trabalho seus talentos, e como tal dotado de
inteligência e de capacidade de transformação, sendo a principal força motora dento das organizações.

   “Hoje, na maioria dos setores, é possível comprar no mercado internacional máquinas e
equipamentos comparáveis aos das principais empresas globais. O acesso a itens de ativo fixo não mais
representa o fator diferenciador; atualmente, a distinção resulta da capacidade de usar esses recursos
com eficácia. A empresa que perder todos os seus equipamentos, mas preservar as habilidades e
conhecimentos da força de trabalho, retornará aos negócios com razoável rapidez. A empresa que
perder sua força de trabalho, mas mantiver seus equipamentos, jamais de recuperará.(1)”

   Dessa forma o tema da Administração de cargos e salários, é um fator relevante para a empresa na
retenção e manutenção de seus ativos intelectuais, e atuando de forma estratégica na política de
compensações de seus talentos, uma vez que salários apesar de não motivar, conforme a teoria das
necessidades humanas, onde a remuneração faz parte dos fatores físicos higiênicos, sendo necessário
para a manutenção pessoal e como tal caracterizado como um fator óbvio de lei da compensação, onde
existindo trabalho, existirá a contrapartida da compensação, portanto o mesmo é visto como um fator
não motivador, visto ser uma obrigação do comprador da força de trabalho.

   Por outro lado, caso esse fator salário, não seja satisfeito de forma justa, baseado em mercado e em
políticas claras, o mesmo poderá se transformar em um fator com grande relevância na desmotivação
dos empregados, portanto uma condução estratégica da política salarial na empresa será uma força
básica necessária para um ganho de produtividade e retenção de seu capital humano, e ponto de partida
para uma posição diferenciada na criação de valores e estruturas para a sustentação de novas
características lidas pelos empregados e entendidas como acréscimos de elementos motivadores
organizacionais.

   1.2. Organização do estudo

   No primeiro capítulo, descreveremos as definições e as motivações que levam ao tema, a sua
importância no contexto empresarial e profissional.




                                                  IV
No segundo capítulo descreveremos os procedimentos necessários para a implantação do programa,
os objetivos esperados do programa, a forma de como trataremos as informações internas, tais como
divulgação aos participantes diretamente envolvidos, a participação dos empregados, o período de
implantação e a aprovação final.

   No terceiro capítulo trataremos do levantamento de informações de cargos e funções existentes na
empresa, identificaremos o melhor método para a coleta dos dados, identificar os grupos ocupacionais e
grupos de cargos, contidos nas atividades operacionais, administrativas e gerenciais, identificaremos as
especificações necessárias para o bom desempenho do cargo, descrever os cargos e dar nomes aos
cargos.

   No quarto capítulo, levantaremos um grupo de cargos representativo de cada grupo de cargo, para
validação e comparação com o mercado onde a empresa está inserida, realizaremos um tratamento
estatístico dos dados colhidos do mercado, e repassando as empresas participantes da pesquisa uma
tabulação dos dados tratados.

   No quinto capítulo, abordaremos os vários modelos de avaliações de cargos e salários,
descreveremos os métodos e seus pontos positivos e negativos, e os reflexos na administração salarial e
identificaremos um grupo de pessoas que tenham conhecimentos das funções da empresa para a
formação de um comitê de avaliações de cargos, para levantamento de estudos de valorização,
identificação de fatores a serem comparados, escolha dos cargos chaves representativos, e a definição do
melhor método para a avaliação, tais como por comparação ao pares, pontos, hay e etc., tais ações tem
como objetivo a criação do manual de avaliações de cargos.

   No sexto capítulo, definiremos o conceito de política salarial, e sua posição estratégica.

   No sétimo capítulo trataremos as informações colhidas na pesquisa salarial, onde realizaremos a
comparação com nossa empresa, em termos estatísticos, e de impactos internos, em ternos de ajustes
salariais, enquadramento salarial superior e inferior, e criação da estrutura de salários.

   1.3. Metodologia

   Este estudo será realizado em levantamento de informações em literatura disponível na internet e em
livros de autores consagrados, tais como Beverly Glen Zimpeck, Benedito Roberto Pontes e do professor
Jean Pierre Marras.




                                                      V
2. PLANEJAMENTO PARA IMPLANTAÇÃO

   2.1. Objetivos

   Qual o objetivo da implantação de um plano de cargos e salários na organização?

       Exemplo de objetivos Estratégicos:

       ü   Política de retenção dos melhores talentos;

       ü   Aplicar uma política agressiva remuneratória em relação ao mercado, como estratégia para
           consolidação da qualidade da mão de obra, e atrair potenciais talentos da concorrência;

       ü   Regularizar o equilíbrio interno x externo, na comparação com outras empresas, sendo fonte
           motivadora pela alta diminuição do “turnover”;

       ü   Servir de instrumento motivacional;

       ü   Servir de base para a implantação do plano de carreiras.

       Identificados os objetivos que a empresa espera atingir, deve ser discutida a estratégia de como
estabeleceremos esse projeto, de forma a fazer um levantamento completo da empresa, olhando de cima
da organização e observando suas principais características, tal qual, o universo de variáveis, como tipo
de mão de obra, operacionais, administrativos, gerenciais, e outras informações relevantes que podem
impactar no planejamento para a organização dos pontos a serem estudados.

       O estudo também deve levar em consideração que cargos operacionais, mensalistas e gerenciais,
tem em suas especificações diferenças circunstanciais, portanto, merece um cuidadoso estudo em
relação a quantidade de planos de salários deve ser realizado, tais como um único plano para todas as
categorias, ou um plano para cada categoria.

       Identificado o plano, e sua dimensão, deve-se então levantar o melhor método a ser aplicado para
o plano, tais como, o método por escalonamento, graus pré-determinado, pontos, hay e hoyler etc.

       Para efeito de estudo citamos abaixo identificamos três métodos de estudos para a avaliação de
cargos, onde damos ênfase no plano baseado em pontos, visto ser o mais utilizado no ambiente
administrativo e operacional. Em grandes empresas além de métodos próprios, é mais comum em




                                                   VI
multinacionais e empresas de grande porte, a avaliação para seu corpo gerencial os métodos baseados
nos sistemas hay e hoyler.

   Feitos todos os levantamentos da dimensão onde o plano deverá repercutir, este se submeterá a uma
nova avaliação por todo o pessoal da supervisão dos setores que serão estudos na implantação do plano e
posterior aprovação da diretoria/presidência da empresa para dar aprovação e credibilidade e força
cooperativa de todos envolvidos no planejamento do plano.

   2.2. Divulgação

   A divulgação do plano aos empregados é uma etapa, que não pode ser desprezada, deverá prevalecer
a transparência dos objetivos do plano, a fim de não gerar expectativas não prevista no plano, e situações
de desconhecimentos e com isso gerar diversas interpretações negativas e prejudicial tanto para a
empresa quanto para os empregados, como desconfianças, perspectivas de aumento salarial etc.

   Deve ser escolhido o melhor método para a divulgação, tais como palestras, textos explicativos,
através da supervisão do empregado etc., observando-se sempre o perfeito entendimento.


3. ANÁLISE DE CARGOS

   3.1. Definição do universo de cargos.

   Esta análise levanta todas as funções dispostas na organização, e suas especificações e
classificações.

   Temos uma análise da função de datilografar no RH e na Contabilidade, nesse caso temos um único
cargo, que é o de datilógrafo, não confundindo suas funções com o lugar onde é realizado.

   Outra análise diz respeito por exemplo quais as especificações que o cargo exige, tais como:

       Área de responsabilidade;

       ü   Por informações;

       ü   Por supervisão;

       ü   Por patrimônio;

   Etc.

                                                   VII
Área de requisitos físicos;

   ü   Esforço mental,

   ü   Esforço físico.

   Área de requisitos ambientais

   ü   Riscos na saúde

   ü   Condições de trabalho

   Etc.

   Outra análise diz respeito ao grupo ocupacional, tais como, níveis gerenciais, administrativo,
operacional, técnicos etc.

   Definições:

   Tarefa : arquivar, datilografar, limpar etc.

   Função: È o agregado de tarefas atribuídas a cada empregado.

   Cargo: É o conjunto de funções que o empregado executa.

   Segundo (Beverly Glen Zimpeck,1992,40) “A tarefa existe como um conjunto de elementos que
requer o esforço humano para determinado fim”. Quando tarefas suficientes se acumulam para justificar
o emprego de um trabalhador, surge a função. Assim, a função é um agregado de deveres, tarefas e
responsabilidades que requerem os serviços de um indivíduo.....As funções que são semelhantes em sua
natureza e requisitos são chamadas cargos. Portanto, o termo “cargo” pode ser definido como “um grupo
de funções idênticas na maioria ou em todos os aspectos mais importantes das tarefas que a compõem”.

   3.2. Coleta de dados dos cargos

   É o levantamento das tarefas executadas pelos empregados, para a finalidade das descrições dos
cargos, e identificação das especificações.

   Esse levantamento deve ser focado nas características do cargo, e não vinculado ou identificado pelo
seu ocupante. O objetivo principal é levantar nesse momento quais tarefa s aquele cargo pesquisado


                                                  VIII
contém com seus atributos, para que no estudo na análise desse cargo, seja identificado, alterado,
trocado, mantido ou concentrado essa tarefa em outro cargo. De repente temos um cargo idêntico ao
exemplo citado acima, onde existe a tarefa de datilógrafo em vários setores, com diferentes
denominações, sendo que a denominação no final dos estudos, o mesmo é identificado que o mesmo não
é uma das tarefas do auxiliar de contabilidade, mas sim, de datilógrafo.

   Esta coleta de informações pode ser realizada, por questionários ou por entrevista direto com o
ocupante do cargo pesquisado, com o líder, observações locais pelo analista de RH/Salários, ou através
da combinação dessas opções.

   Um dos módulos mais utilizado é o dos questionários, pela facilidade e prática, visto adotar um
modelo padronizado de coletas de informações.

   3.3. Descrição dos Cargos

   Feito a coleta das informações dos cargos, temos então o material necessário para a descrição dos
cargos, de forma metodológica e clara, onde qualquer pessoa possa identificar um cargo apenas pela
leitura da descrição.

   A descrição é do cargo e seus dados devem ser descritos de forma impessoal e representar, as tarefas
de modo claro, e que identifique seus requisitos necessários que o ocupante do cargo deve possuir para
desempenhar as tarefas.

   Nas descrições, deve de forma implícita, conter as questões, “O que faz”, “Como Faz” e “Por Que
faz”, para ficar estabelecidos os nexos da tarefa.

   Exemplo:

   O que faz : “Lança os dados estatísticos em uma planilha mensalmente.”

   Como Faz” : “A partir de recibos e demonstrativos de pagamentos”

   Por que faz” : “Para atualização do sistema de contabilidade”

   Descrição: Lança em planilha mensalmente, a partir de recibos de vendas e demonstrativos de
pagamentos, para atualização no sistema da contabilidade”




                                                     IX
Note que nesse exemplo o “O que faz”, o “Como faz” e “Por que faz”, torna se questões implícitas
consideradas para a síntese da descrição para a clareza da tarefa.

   O que faz : “Digita horas extras no sistema de folha de pagamento”

   Como Faz” :Extraindo informações do cartão de ponto”

   Por que faz” : “Para pagamento ao empregado”

   Descrição: “Digita horas extras no sistema de folha de pagamento para pagamento ao empregado”

   Note que o “como faz”, fica registrado de forma exagerado e desnecessário.

   “O que faz”, deve ser sempre representado por um

   A descrição deve conter uma descrição sumária, uma descrição detalhada e suas especificações,
identificando as características que o ocupante do cargo deve possuir para o bom desempenho do cargo,
em suma, o perfil do ocupante do cargo de coincidir ou no máximo aproximar o máximo das exigências
do cargo. Portanto, eis um bom motivo para a perfeita identificação da descrição e especificação de
determinado cargo, visto que se uma descrição estiver totalmente fora de sintonia com a realidade, o
depto de recrutamento e seleção de pessoal não conseguir encontrar esse candidato, visto que as
especificações estão fora de padrão, ou mal dimensionada. Exemplo de uma especificação absurda,
apenas para ficar claro a mensagem:

   Título do cargo: Aux.de informática

   Especificação: Escolaridade necessária Pós-Graduação

   Experiência : 5 anos

   Nesse exemplo, temos no mínimo uma especificação para o cargo de um técnico Sênior, ou um
analista pleno, sendo então, criada uma dificuldade no preenchimento dessa posição em razão de
discrepância na descrição de cargos.

   3.4. Nomenclatura dos Cargos

   A nomenclatura do cargo deve ser aquela praticada de forma que possa ser identificada a priori com
as funções do cargo, ou segundo moda de mercado, e que também especifique o nível e a especialização


                                                     X
do cargo, e também que represente a diferenciação do mesmo em uma escala ou evolução na carreira,
exemplo, acrescentar os níveis, Junior, pleno e sênior, facilitando a identificação do grau de
especialização e experiência.

   3.5. Descrever as especificações

   Descrever as especificações apontadas na coleta de dados, para a descrição do cargo para estabelecer
apenas como parâmetros, visto que estas especificações poderão ser alteradas no momento das
avaliações dos cargos realizadas pelo comitê do plano.

4. PESQUISA SALARIAL

   4.1. Conceito

       Segundo (Prof.Jean Pierre Marras-2007-111). “É o instrumento gerencial que possibilita
   conhecer, através da coleta e da tabulação estatística de dados, as práticas e os valores salariais
   médios praticados num determinado mercado.”

       Através dessa política, podemos identificar no mercado o valor que é atribuído aos cargos em
   outras empresas, sendo o ponto partida para a empresa tratar sua forma de remunerar, estabelecer e
   estratégias de políticas recursos humanos, em conjunto com os objetivos da empresa.

   4.2. Identificação dos cargos para pesquisa

       A escolha dos cargos para ser realizada a pesquisa, deve ser focada em sua finalidade, por
   exemplo, realizamos pesquisas de salários, para analisar os valores salariais de um cargo ou de
   determinado grupo, com a finalidade de ajustes, ou realizamos a pesquisa para efetuar uma política
   de cargos e salários. No caso de efetuar um plano de cargos e salários deveremos escolher os cargos
   que represente a empresa de forma que com base nesses cargos, possamos realizar a análise do
   restante dos cargos da empresa. Portanto esse cargos chaves, deverão funcionar como parâmetros
   para os outros, neste caso teremos que ter extratos de cargos de toda a empresa, desde o menor,
   médio e máximo cargo.

   4.3. Identificação das empresas que farão parte da pesquisa

       Devemos escolher essas empresas com base em região geográfica, porte, mesmo segmento etc,




                                                  XI
De forma que esse grupo de empresas possa representar um universo possível de comparação,
   sabendo-se que a idéia é conhecer a igualdade na pesquisa, de forma a evitar erros estatísticos.

   4.4. Cadernos de Pesquisas

       Identificado as empresas que vão participar da pesquisa e após contato com as mesmas através de
   cartas convites, e-mail etc, a empresa providencia um caderno contendo os cargos a serem
   pesquisados, as descrições e as questões a ser respondidas pelas empresas participantes.

   4.5. “Feedback” da pesquisa as empresas participantes

Após devolução dos cadernos de pesquisas pelas empresas, a empresa patrocinadora realiza tratamentos
e estatísticos(tabulação) e envia uma cópia para cada empresa participante, identificando sua posição na
pesquisa e preservando o nomes das outras empresas, apenas representadas por código.

5. MÉTODOS DE AVALIAÇÕES

   5.1. Não quantitativos

       5.1.1. Escalonamento

             Este método realiza a comparação dos salários, ou seja, é colocado dentro de uma
       perspectiva de importância na empresa e sendo comparado um cargo com os demais da empresa
       sempre dentro de uma ótica empírica, e não são adotados parâmetros de estudos estatísticos.

               São colocados em uma planilha conhecida como “dupla entrada” os cargos chaves e
       avaliados por um comitê, onde cada avaliador registra com um sinal positivo, quando um cargo é
       mais importante que o outro e o sinal negativo, como menos importante.

               No final feito as avaliações dos cargos chaves, o restante dos cargos chaves serão
       comparados com esses cargos comparados, tomando como pontos superiores para comparação os
       cargos chaves.




                                                  XII
Assistente de pessoal
                            Auxliar de Pessoal




                                                                                 Analista de pessoal




                                                                                                                           Gerente de Pessoal



                                                                                                                                                    Adiciona 1
                                                                                                             Pessoal
CARGOS
COMPARADOS


Axiliar de Pessoal                               -                           -                           -             -                        1


Assistente de Pessoal   +                                                    -                           -             -                        2


Analista de Pessoal     +                        +                                                       -             -                        3


Supervisor de Pessoal   +                        +                           +                                         -                        4


Gerente de Pessoal      +                        +                           +                           +                                      5




      Todos os membros avaliadores, apresentam sua planilha e geram uma única tabela
escalonada em graus, quanto maior o grau, maior a remuneração.

5.1.2. Graus Pré-determinados

      Este método parte do inicio que já existe um plano, ou seja, graus pré-concebidos, onde
cada grau tem sua descrição da importância estabelecida pela empresa.

      Primeiro existe uma tabela de graus, numa ordem crescente tais como grau I, grau II e
assim por diante e sua descrição. A partir desse ponto são analisados os cargos, buscando a
identificação do conteúdo do grau com as especificações percebidas pelo cargo.

      Grau I

      Tarefas repetitivas

      Não requer grau escolar nível de graduação

      Não requer experiência

      Grau II

      Tarefas com elevado nível de complexidade.

                                                                                                       XIII
Requer pós-graduação.

        Experiência de 10 anos na função.

        Grau III...

        Cada avaliador em posse de sua planilha de avaliação contendo os cargos chaves,
   identificará nos cargos as especificações contidas na tabela de graus e indicará em que grau cada
   cargo chave está identificado, existindo 10 graus, o cargo deverá ser identificado nesses 10 graus.

          No final todos os cargos e resultados são colocados em tabela, chamada de “régua de
   avaliação”, para a comparação geral e a avaliação grupal de consenso.

                             AVALIADORES - Comitê

   CARGOS                    A          B         C        D        CONSENSO

   Axiliar de Pessoal        grau I     grau I    grau I   grau I   grau I

   Assistente de Pessoal     grau II    grau III grau II grau II grau II

   Analista de Pessoal       grau III   grau VI grau VI grau VI grau VI

   Supervisor de Pessoal     grau VI grau V grau V grau V grau V

   Gerente de Pessoal        grau VII grau VI grau VI grau VI grau VI




5.2. Quantitativos

   5.2.1. Pontos

        Esse método de avaliação segundo B.R.Pontes(1), foi desenvolvido por Merril R.Lott(2),
   atualmente sendo o método mais usado, difundido e aceito pelos empregados, em razão de seus
   métodos mais precisos e matemáticos, e considerado de fácil entendimento. Dentro deste
   ambiente foi com que este método se tornou o mais popular.

        Esse método tem a seguinte seqüência de informações a prospectar:


                                                 XIV
Segundo (Prof.Jean Pierre Marras-2007-124), “Estrutura Salarial por pontos é um conjunto
formado por diversas faixas salariais, agrupando cargos com avaliações próximas, contemplando
no interior de sua estrutura valores salariais calculados e desenhados matematicamente, para
atender a uma política previamente desejada.”

   5.2.1.1. Identificação dos cargos chaves na empresa

       Cargos chaves são denominados aqueles que tem a característica de poder representar
   uma situação diferenciada dos demais cargos dentro da organização, ou seja, os cargos
   chaves são aqueles que tem o poder de representar as funções de determinado setor, para que
   haja uma representatividade ou extratos de toda a empresa.

       Identificação dos fatores de avaliação preponderantes na empresa;

       Fatores de avaliação são os quesitos para o estudo das diferenciações dos cargos a serem
   estudados, com a pretensão de diferenciar cargo a cargo. Esses quesitos quando é um
   componente comum em todos os cargos, não devem ser levados aos estudos dos cargos,
   portanto não serve como fator de avaliação, visto que, se todos os cargos apresentam o
   mesmo nível do fator, o mesmo não precisa ser avaliado, visto ser idêntico aos dos demais
   cargos. Ex: Se em uma empresa o fator concentração é exigência para todos os cargos, então
   imaginamos que todos os que trabalham nesta empresa tem esse fator como igualdade entre
   todos seus ocupantes de determinados cargos, então é ilógico avaliar os iguais, contrariando
   o método que tem como finalidade, avaliar e mensurar os cargos desiguais.

       Esta é uma das fases mais importantes da avaliação de cargo, onde teremos que ter
   conhecimentos gerais da empresa em todos os aspectos, visto que é nessa fase que teremos
   que levantar os quesitos necessários para realizar as diferenças no desenvolvimento das
   funções e quais suas especificações necessárias para o desenvolvimento do cargo.

       Nesta fase é importante a participação de todos os membros graduados, ou supervisores,
   gerentes a fim de levantar as necessidades de comparação dos fatores.

       Podemos citar os principais fatores, constantes nos diversos planos de cargos e salários
   das empresas, onde existem as diferenças, tais como: nível de experiência, nível de instrução,
   nível de Complexidade, nível de responsabilidade etc.



                                          XV
Nesse levantamento de fatores devem ser considerados os cargos chaves, administrativos,
gerenciais, operacionais, e separados por grupos de estudos, tais como físicos, mentais,
responsabilidades        e    condições           de   trabalho,   ou   seja,   deve   existir   as   devidas
proporcionalidades e diferenças entre as funções para poder avaliar em condições de
igualdade relativa.

   Avaliação dos fatores preponderantes em graus e percentuais;

   As avaliações dos fatores devem receber uma aplicação estatística após definição pelos
membros do comitê de avaliação, do peso que cada fator influenciará no desenvolvimento
das funções do cargo. Ex: O comitê chegou a uma conclusão que o fator experiência deva ter
um percentual de 30% do total em uma avaliação do cargo, portanto sobrando 70% para
todos os outros fatores dividirem esse percentual.

Exemplo:

   O Comitê chegou a uma conclusão dos fatores a serem avaliados por todos os
funcionários do grupo administrativos na seguinte proporção:

   Fator Experiência                      30%

   Fator Instrução                        20%

   Fator Responsabilidade                 30%

   Fator Iniciativa                       10%

   Fator Supervisão                       10%

   Total...................................100%

   Identificado o levantamento dos fatores que influenciam e diferenciam cada cargo na
organização, devemos então procurar os graus dessa diferença em cada cada, visto que todos
os cargos levantados possuem esses fatores que influenciam no desempenho dos cargos,
então a necessidade de identificar e valorar a diferença entre os cargos, visto que apesar de
todos os cargos levantados possuírem esses fatores, eles são distribuídos diferentemente,
observe por exemplo o cargo de diretor e um auxiliar, ambos possuem o fator instrução, mas
em graus diferenciados, portanto, aí está, o percentual desse fator que devemos identificar.

                                                   XVI
Podemos identificar esse grau utilizando métodos matemáticos para representar a melhor
distribuição do peso de cada grau de seus fatores.

   Identificado os fatores representativos da organização e descritos o que cada fator
representa, deve se partir para a ponderação dos fatores.

   Ex: Vamos focar no grau instrução, esse fator representa 20% do plano total do cargo.

   O comitê de avaliação estabeleceu que esse fator terá 4 graus, que ficará da seguinte
   maneira:

   Fator Instrução:

   Este fator especifica o nível de escolaridade que os ocupantes dos cargos deverão ter.

   Graus          Descrição                                                  Percentual

   A              O cargo requer nível escolar secundário

   B              O cargo requer nível escolar superior

   C              O cargo requer nível pós-graduação

   D              O cargo requer nível mestrado

   Definido os graus, agora é necessário identificar o peso de cada grau.

   Podemos resolver isso através de equações estatísticas.

   Sabemos que o total representa 20% da avaliação e que temos que distribuir em 4 graus,
portanto, podemos utilizar a fórmula da progressão aritmética, geométrica, onde temos que
descobrir o percentual da constante, o percentual mínimo e máximo e os intermediários.

5.2.1.2.Tratamento estatísticos das avaliações dos fatores

   Obs: Para determinar o valor do percentual de cada grau de um fator, é necessário
primeiro identificar a extensão da pontuação a ser trabalhada no plano, mesmo que esse
número de pontos ainda não é o definitivo, visto que ainda não concluímos todas as etapas do
plano, precisamos informar temporariamente uma faixa de pontos do plano, por exemplo,


                                       XVII
digamos que vamos trabalhar com uma pontuação que varia entre 88 pontos até 1061, ou
outro número qualquer.

   Tal informação é necessário para podermos lançar no graus dos fatores, o número do
pontos não vai repercutir, quando definirmos os pontos inicias e finais que serão aprovados
no final, estabelecido em política. Não vai alterar nos resultados, visto que lançaremos em
percentuais o índice de valor de cada grau, por exemplo 10% de 88, ou 10% de 500, nosso
resultado continuará sendo 10%. Tal informação é necessária, visto que o que foi definido até
agora pelo comitê apenas o peso do fator em relação ao total de pontos.

   Dessa forma vamos trabalhar com um valor de pontos fictício para o momento, e no final,
será definido o número de pontos oficial aprovado.

   Pontos: Inicial : 88 ----------- > Final : 1061

   Se o peso do fator ora focado vale 20% ,então temos que o valores desse fator em relação
ao total de pontos do programa equivale :

   (( 20 * 88 ) / 100) = 17,60 PONTOS

   (( 20 * 1061 ) / 100) = 212,00 PONTOS

   Neste caso concluímos que o menor valor em pontos do fator instrução vale 17,60 ponto
se o máximo 212,00. Resta agora definir os pontos intermediários, visto que foi definido um
total de 4 graus para este fator.

   Utilizando a distribuição pela fórmula da Progressão aritmética.

   q = ( na – a1) / ( n-1 )

   q = ( 212 – 17,60 ) / (4–1)

   q = 194,40 / 3

   q = 64,8

   Interpolação = 17,60 , 82,40 , 147,20 , 212

   Razão = 64,8 então:

   Grau A vale 17,60


                                       XVIII
Grau B vale 82,40

   Grau C vale 127,20

   Grau D vale 212,00

   Utilizando a distribuição pela fórmula da Progressão Geométrica.

 N -1

          NA/A1

   N= 4

   Na = 212

   A1 = 17,60

   q = 212 / 17,60 = 12,045454

   q=     4-1     12,045454

   q = 2.2923155

   17,60 * 2,2923155 = 40,34

   40,34 * 2,2923155 = 92,48

   92,48 * 2,2923155 = 212,00

   Razão = 2.2923155 então:

   Grau A vale 17,60

   Grau B vale 40,34

   Grau C vale 92,40

   Grau D vale 212,00



   Resta ao comitê de avaliação escolher a melhor distribuição que se enquadra com a
organização, na escolha de utilizar a regra de distribuição dos pesos dos fatores entre a
progressão aritmética e a progressão geométrica.

   Realizada a descrição, definido os fatores a serem aplicados em determinado grupo de
cargos, observando os tipo de cargos e níveis, e identificando os fatores e determinando seu
peso na pontuação geral, identificando e valorando todos os graus dos fatores, tem se com


                                      XIX
isso o manual de avaliação de cargos, onde na medida de períodos estabelecidos em políticas
serem revistos e atualizados.

Obs: Utilizaremos o exemplo da exponencial, visto que esta nesta equação apresenta-se um
melhor aproveitamento da proporcionalidade e a moda de mercado.

a) Tabulação dos fatores

Fatores                         Peso  Grau   Grau
                                 %   Mínimo Máximo
                                                                     Grau     Descrição
Experiência                      30   26,4   318,3
                                                            26,4      A     Até 1 ano
Instrução                        20   17,6   212,2
                                                            48,6      B     de 1 a 2 anos
Solicitação Mensal               15   13,2  159,15
                                                            90,9      C     de 2 a 3 anos
Responsabilidade por resultados 15    13,2  159,15
                                                            170       D     de 3 a 5 anos
Suervisão                        20   17,6   212,2
                                                            318       E     de 5 a 10 anos
                               100%    88    1061


Observe que o total de peso corresponde a 100% possível entre os pontos mínimos e
máximos de nossa tabela de pontos fictícia ( 88 – 1061 )

Como fazer isso? veja a fórmula da progressão Geométrica acima.

5.2.1.3.Avaliando os cargos em pontos


Cargo                        Valor   Pontos
Mensageiro                    299,00   54
Auxiliar de Escritório        337,00   67
Auxiliar de Pessoal           381,00   82
Secretaria Junior             427,00   98
Assistente de Marketing       480,00  116
Analista Contábil             541,00  137
Técnico Químico               608,00  160
Analista de Sistema           684,00  186
Engenheiro Mecânico           771,00  216
Medico do Trabalho            867,00  249
Supervisor Administrativo     975,00  286
Supervisor Contábil         1.098,00  328
Chefe de Usinagem           1.235,00  375




                                       XX
Dispersão Salarial

             1.400,00
                                              y = 2,9149x + 141,64
             1.200,00                                                                                 1.235,00
                                                     R2 = 1
                                                                                            1.098,00
             1.000,00                                                                975
                                                                           867
  Salários




               800,00                                              771
                                                             684
               600,00                                 608
                                                541
                                          480
               400,00                  427
                                     381
                                   337
                                 299
               200,00

                 0,00
                        0   50       100       150           200         250         300        350      400
                                                        Pontos



Obs: Verifica-se pela linha da reta que os salários crescem em uma igualdade proporcional, e
o seu coeficiente de correlação entre os pontos e os salários são perfeitos matematicamente,
quanto mais próximo de 1, melhor é o resultado, no nosso em tela, não existe dispersão,
estando os cargos no máximo da perfeição na proporção entre pontos e valor.

      A título de exemplo, abaixo gráfico com salários dispersos, ( fora da reta ), mostrando
uma disformidade na distribuição entre pontos e salários, necessitando o ajuste em relação
aos                               pontos                                       e                                 salários.

                                   Dispersão Salarial

             1.400,00             y = 2,1177x + 230,6
             1.200,00                  R2 = 0,8689                 1.235,00
                                                                                     1.098,00
             1.000,00                                  975
                                                               867
  Salários




              800,00                          771
                                           684
              600,00                    608
                                       541
                                 480
              400,00           427
                               381
                            337
                              299
              200,00

                 0,00
                        0   100         200          300           400             500      600
                                                    Pontos



                                               XXI
X              Y            X2                XY               Y2
                    Pontos        Salários
                1     54              299,00      2.916,00         16.146,00         89.401,00
                2     67              337,00      4.489,00         22.579,00        113.569,00
                3     82              381,00      6.724,00         31.242,00        145.161,00
                4     98              427,00      9.604,00         41.846,00        182.329,00
                5    116              480,00     13.456,00         55.680,00        230.400,00
                6    137              541,00     18.769,00         74.117,00        292.681,00
                7    160              608,00     25.600,00         97.280,00        369.664,00
                8    186              684,00     34.596,00        127.224,00        467.856,00
                9    216              771,00     46.656,00        166.536,00        594.441,00
               10    249              867,00     62.001,00        215.883,00        751.689,00
               11    286              975,00     81.796,00        278.850,00        950.625,00
               12    328           1.098,00     107.584,00        360.144,00      1.205.604,00
               13    375           1.235,00     140.625,00        463.125,00      1.525.225,00

               13        2354        8.703,00   554.816,00      1.950.652,00      6.918.645,00

  Fórmula =      Y= a + bx      (reta do mínimos quadrados)
  Sá = na + bSw
   Y           X
  Sá Y = aS$ + bS$ 2
   X       X     X

  8.703,00 = 13a + 2354b
  1.950.652,00 = 2354a + 554.816,00
  2354/13 = 181,07692

   1.950.652,00 = 2354a + 554.816,00b                        ? 1.575.912,00 = ( 181,07692 * 8.703,00 )
  -1.575.912,40 - 2354a - 426.255,06b                        ? 426.256,06 = ( 2354 / 13 * 2354 )
    374.739,60 = 128.560,94                                  ? 374.739,60 = ( 1.950.652,00 - 1.575.912,40 )

  374.739,60 / 128.560,94 = 2.9148791

  8.703,00 = 13a + 2354(2.9148791)                           ? 6.861,63 = ( 2354 * 2.9148791 )
  8.703,00 = 13a + 6.861,63
  1.841,37 = 13a
  a = 1.841,37 / 13
  a = 141,64

  Equação = Y = 141,64 + 2.9148791*(x)
                                                                                                    X         Y
         Para x =      54             y=           141,64           +                2,9148791      54          299,04
         Para x =      67             y=           141,64           +                2,9148791      67          336,94
         Para x =      82             y=           141,64           +                2,9148791      82          380,66
         Para x =      98             y=           141,64           +                2,9148791      98          427,30
         Para x =     116             y=           141,64           +                2,9148791     116          479,77
         Para x =     137             y=           141,64           +                2,9148791     137          540,98
         Para x =     160             y=           141,64           +                2,9148791     160          608,02
         Para x =     186             y=           141,64           +                2,9148791     186          683,81
         Para x =     216             y=           141,64           +                2,9148791     216          771,25
         Para x =     249             y=           141,64           +                2,9148791     249          867,44
         Para x =     286             y=           141,64           +                2,9148791     286          975,30
         Para x =     328             y=           141,64           +                2,9148791     328        1.097,72
         Para x =     376             y=           141,64           +                2,9148791     376        1.237,63




   Com base nos valores informados, a fórmula acima identificará onde o eixo (X,Y) se cruzará,
informando o valor desejado, no exemplo, lançamos um valor já ajustado, mas poderia informar
outros valores, completamente disperso, onde teríamos que ajustar os valores tomando com base os
valores estabelecido pela reta, para termos uma tabela salarial progressiva de acordo com a reta.

                                                             XXII
Observe que o valor apurado pela equação te fornece os pontos e valores na média, onde com as
fórmulas abaixo deveremos encontrar os pontos e valores inicial e final, conforme quadro abaixo:

1,12546755 = 13-1     1235 / 299




299,04      1,12546755 = 299,04 x 1,0608805 = 317,26

X = ( 317,26 – 141,64) / 2.9148791 = 60,24 (arredondado = 60 )

Pontos máximo da faixa = 60 pontos.

Classe Zero = 299 / 1,12546755 = 265,67

                265,67 x 1,0608805 = 281,84

                x = ( 281,84 - 141,64 ) / 2.9148791 = 48,09 (arredondado = 48 )

Pontos mínimo da faixa = 48 pontos.

Ou seja faixa começa com 48 e o máximo 60 e a média = ((60+48)/2) = 48 pontos.


                                                               Ponto
 Salário                                                      Máximo
   299,04 1,060881 317,2457     -    141,64   :   2,9148791     60
   336,94 1,060881 357,4531     -    141,64   :   2,9148791     74
      427,3 1,060881 453,3142   -    141,64   :   2,9148791     107
     479,77 1,060881 508,9786   -    141,64   :   2,9148791     126
     540,98 1,060881 573,9151   -    141,64   :   2,9148791     148
     608,02 1,060881 645,0366   -    141,64   :   2,9148791     173
     683,81 1,060881 725,4407   -    141,64   :   2,9148791     200
     771,25 1,060881 818,2041   -    141,64   :   2,9148791     232
     867,44 1,060881 920,2502   -    141,64   :   2,9148791     267
      975,3 1,060881 1034,677   -    141,64   :   2,9148791     306
   1.097,72 1,060881  1164,55   -    141,64   :   2,9148791     351
   1.237,63 1,060881 1312,978   -    141,64   :   2,9148791     402



O ponto mínimo será o limite da faixa máxima anterior + 1 e a média, a soma do ponto máximo e do
ponto mínimo dividido por 2. Desse forma conclui-se os valores de pontos, agora veja abaixo os limites
de valores entre o mínimo, média e máximo.



                                                  XXIII
Para efeito de sabermos os pontos estremados, devemos saber antecipadamente qual vai ser a amplitude
entre uma faixa e outra. Este amplitude ditará as regras dos percentuais entres faixas e estará diretamente
influenciando o percentual de ajustes de méritos e promoções, e mudança de faixas salariais.

Imagine uma amplitude de 35% entre as faixas, neste caso, aplicando-se a raiz quadrada sobre os valores
da média, ou seja o valor salarial conhecido e lançado conforme dados na tabela acima, teremos:

Percentual de amplitude = 35%

Aplicar a fórmula da Raiz = Raiz de 1,35 = 1,161895.

Dessa forma temos os percentuais a ser aplicados exemplo:

R$ 299,04 : 1,161895 = R$ 257,37 = Valor mínimo

R$ 299,04 x 1,161895 = R$ 347,45 = Valor máximo

A Média é o valor original = R$ 299,04.

Prova: 257,37 x 1,161895 x 1,161895 = 347,45

  Salário                     Valor     Salário                    Valor
   Médio                     Mínimo      Médio                    Máximo
    299,04    :   1,161895     257,37    299,04    x   1,161895     347,45
    336,94    :   1,161895     289,99    336,94    x   1,161895     391,49
    380,66    :   1,161895     327,62    380,66    x   1,161895     442,29
    427,30    :   1,161895     367,76     427,3    x   1,161895     496,48
    479,77    :   1,161895     412,92    479,77    x   1,161895     557,44
    540,98    :   1,161895     465,60    540,98    x   1,161895     628,56
    608,02    :   1,161895     523,30    608,02    x   1,161895     706,46
    683,81    :   1,161895     588,53    683,81    x   1,161895     794,52
    771,25    :   1,161895     663,79    771,25    x   1,161895     896,11
    867,44    :   1,161895     746,57    867,44    x   1,161895   1.007,87
    975,30    :   1,161895     839,40     975,3    x   1,161895   1.133,20
   1.097,72   :   1,161895     944,77   1.097,72   x   1,161895   1.275,44
   1.237,63   :   1,161895   1.065,18   1.237,63   x   1,161895   1.438,00



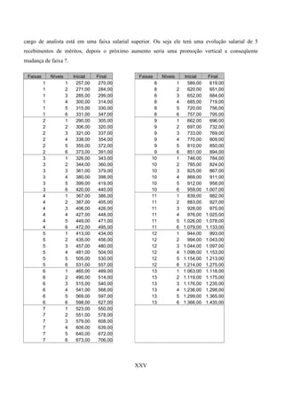
Definido a média, mínimo e máximo de pontos e salários, devemos agora criar os níveis salariais que
cada faixa terá, para isso necessitamos saber em quantos níveis deverá ser fracionado cada faixa salarial,
tenha em mente o seguinte, a maturidade necessária que o cargo requer. Exemplo: Para o auxiliar, mudar
de faixa salarial quantas níveis ele deverá superar para chegar ao cargo de analista, considerando que o


                                                       XXIV
cargo de analista está em uma faixa salarial superior. Ou seja ele terá uma evolução salarial de 5
recebimentos de méritos, depois o próximo aumento seria uma promoção vertical e conseqüente
mudança de faixa ?.

 Faixas       Níveis       Inicial    Final      Faixas    Níveis       Inicial     Final
          1            1     257,00    270,00          8            1     589,00     619,00
          1            2     271,00    284,00          8            2     620,00     651,00
          1            3     285,00    299,00          8            3     652,00     684,00
          1            4     300,00    314,00          8            4     685,00     719,00
          1            5     315,00    330,00          8            5     720,00     756,00
          1            6     331,00    347,00          8            6     757,00     795,00
          2            1     290,00    305,00          9            1     662,00     696,00
          2            2     306,00    320,00          9            2     697,00     732,00
          2            3     321,00    337,00          9            3     733,00     769,00
          2            4     338,00    354,00          9            4     770,00     809,00
          2            5     355,00    372,00          9            5     810,00     850,00
          2            6     373,00    391,00          9            6     851,00     894,00
          3            1     326,00    343,00         10            1     746,00     784,00
          3            2     344,00    360,00         10            2     785,00     824,00
          3            3     361,00    379,00         10            3     825,00     867,00
          3            4     380,00    398,00         10            4     868,00     911,00
          3            5     399,00    419,00         10            5     912,00     958,00
          3            6     420,00    440,00         10            6     959,00   1.007,00
          4            1     367,00    386,00         11            1     839,00     882,00
          4            2     387,00    405,00         11            2     883,00     927,00
          4            3     406,00    426,00         11            3     928,00     975,00
          4            4     427,00    448,00         11            4     976,00   1.025,00
          4            5     449,00    471,00         11            5   1.026,00   1.078,00
          4            6     472,00    495,00         11            6   1.079,00   1.133,00
          5            1     413,00    434,00         12            1     944,00     993,00
          5            2     435,00    456,00         12            2     994,00   1.043,00
          5            3     457,00    480,00         12            3   1.044,00   1.097,00
          5            4     481,00    504,00         12            4   1.098,00   1.153,00
          5            5     505,00    530,00         12            5   1.154,00   1.213,00
          5            6     531,00    557,00         12            6   1.214,00   1.275,00
          6            1     465,00    489,00         13            1   1.063,00   1.118,00
          6            2     490,00    514,00         13            2   1.119,00   1.175,00
          6            3     515,00    540,00         13            3   1.176,00   1.235,00
          6            4     541,00    568,00         13            4   1.236,00   1.298,00
          6            5     569,00    597,00         13            5   1.299,00   1.365,00
          6            6     598,00    627,00         13            6   1.366,00   1.435,00
          7            1     523,00    550,00
          7            2     551,00    578,00
          7            3     579,00    608,00
          7            4     609,00    639,00
          7            5     640,00    672,00
          7            6     673,00    706,00




                                                XXV
Para calcular o número de níveis utiliza-se a fórmula:

r = n-1      b/a

Onde:
n = número de níveis
b = Valor da faixa final
a = Valor da faixa inicial
r = o percentual aproximado para cálculo dos méritos

No nosso exemplo acima estabelecemos aleatoriamente méritos na razão de 5%.(cinco)
r = 5 à convertido para % = 1,05
b = 347,00
a = 257,00
n=?



r = n-1      347,00 : 257,00 = 1,05

r = n-1      1,3501 = 1,05

1 : ( n – 1 ) = log(1,05) : log(1,3501)
1 : ( n – 1 ) = 0,0211893 : 0,1303659
1 : ( n – 1 ) = 0,16
n – 1 = 6,25 arredondado = 6
n=7
r = 7-1      347 : 257
r = 1,051315
Níveis da faixa 1
   257,00 1,051315         270,19
   270,19 1,051315         284,05
   284,05    1,051315      298,63
   298,63    1,051315      313,95
   313,95    1,051315      330,06
   330,06    1,051315      347,00
E sucessivamente nas outras faixas.




                                                 XXVI
Obs: Percebe-se a sobreposição entre os níveis da faixa:

Exemplo a faixa 1 começa com R$ 257,00 até 347,00
        a faixa 2 começa com R$ 290,00 até 391,00

Os valores de méritos e na amplitude da faixa estão diretamente correlacionados nos cálculos da
sobreposição dos níveis, de forma que para ajusta-los em faixas salariais e níveis sem sobreposição,
deve ser alterados para refletir nova tabela salarial, caso assim seja definido uma política de salários sem
sobreposição de níveis.

Através dos índices de amplitude pode-se estabelecer em qual percentual as faixas e conseqüentemente
seus níveis estarão sobreposta.


6. POLÍTICA SALARIAL

   6.1. Conceito

       Segundo o Prof. Jean Pierre Marras “É o instrumento pelo qual a empresa determina os
   parâmetros que deseja imprimir, fixando condições e normas a serem seguidas ao longo de toda a
   estrutura organizacional”

       Nessa política é fixa as diretrizes a serem seguidas, com o status e força da influência do corpo
   diretivo da empresa, tornando-se um documento mestre a ser seguido.

       Esta política irá direcionar por exemplo, o percentual de mérito, promoção, o tempo, as faixas
   salariais, os graus, as pesquisas salariais, as classificações etc., todas as informações pertinentes ao
   gerenciamento do programa de remuneração e cargos.

   6.2. Remuneração estratégica

       Uma gestão estratégica de remuneração, basicamente não está lastreada apenas em um plano de
   cargos e salários estritamente delimitado e tradicional, mas também em políticas que visa além
   daquele resultado esperado por um plano de cargos e salários, também por práticas de compensar
   resultados extraordinários e direcionados ao desempenho individual e na medida que estes
   desempenhos estejam alinhados com os objetivos traçados pela empresa.

       Estas compensações geralmente são complementares ao plano de cargos e salários, também
   composto dos itens da política de salários e remuneração que são conhecidos no mercado como




                                                  XXVII
remuneração por habilidade, participação acionária, distribuição de ganhos, distribuição de lucros e
remuneração por resultados.

   Remuneração por habilidades, fundamenta-se na avaliação de conhecimentos adquiridos e das
respectivas habilidades conquistadas, estabelece-se regras de validações de habilidades e linhas do
conhecimento e o empregado é remunerado progressivamente a cada nova habilidade adquirida.

   Remuneração acionária, Típico de remuneração aplicado aos cargos de níveis elevados na
organização e considerados estratégicos, tais como gerência, alta gerência, diretoria e presidência,
tem como base a remuneração contempladas em ações da empresa, tornando-se o empregado
executivo, sócio da empresa.

   Distribuição de ganhos, mais conhecidos no mercado como práticas de sugestões dos
empregados mais voltado para a linha de produção, onde o empregado é remunerado pela sua
sugestão que rendeu benefícios produtivos para a empresa.

   Distribuição de lucros, É um sistema que remunera os empregados de acordo com os lucros
obtidos pela empresa, tem como fundamento e regras por força de lei (nº 10.101 de 19/12/2000),
nessa formalidade é dimensionada pela representação dos empregados em comissão, envolvendo
registro em sindicato da categoria e no ministério do trabalho. Este método, apesar de força de lei,
não tem punição coercitiva governamental, caso a empresa não desenvolva o plano. Incorrerá sim
em multas sindicais, caso assim esteja acordado em acordo, convenção coletiva ou dissídio coletivo
de trabalho.

   Remuneração por resultados, Este método é o mais usado pelas empresas, visto que vincula o
desempenho e qualidade com os resultados da empresa, tal remuneração também está vinculada na
(Lei nº 10.101 de 19/12/2000), conforme visto abaixo n íntegra o art. 1º.Art. 1o Esta Lei regula a
participação dos trabalhadores nos lucros ou resultados da empresa como instrumento de
integração entre o capital e o trabalho e como incentivo à produtividade, nos termos do art. 7o,
inciso XI, da Constituição.

   Este modelo de remuneração variável, apresenta as seguintes vantagens(Segundo o Prof. Jean
Pierre Marras – 2007 – p.273):

       ü   Incentiva a busca da qualidade total



                                             XXVIII
ü    Otimiza a produtividade;

         ü    Alavanca uma redução geométrica dos custos;

         ü    Reforça os valores culturais do grupos;

         ü    Incentiva a participação individual e grupal.

     Podemos exemplificar um modelo com base nos seguintes objetivos:

         ü    Faturar no ano seguinte 1 milhão de dólares;

         Estabelecido em comitê entre os empregados, sindicato que a empresa distribuirá o
         percentual de 50% do faturamento superior ao estimado aos empregados, e a partir de então
         baseado nas regras acordadas serão distribuída esses valores aos participantes do plano.

         Digamos que no acordo foi estabelecido o seguinte:

         ü    Metas de vendas terá um peso de 50%

         ü    Metas de redução de custo, peso de 20%

         ü    Metas de melhoria da qualidade, peso 10%

         ü    Metas de Produtividade, peso de 10%

         ü    Metas individuais, peso de 10%.

7. ESTRUTURA SALARIAL

     Segundo o Prof. Jean Pierre Marras “É um conjunto formado por diversas faixas salariais,
  agrupando cargo com avaliações próximas, contemplando no interior de sua estrutura valores
  salariais calculados e desenhados matematicamente, para atender a uma pol´tica previamente
  definida.

8. CONCLUSÃO

     Um plano de cargos e salários, é um método de organizar de forma ordenada, baseado em
  estudos técnicos e matemáticos, com o objetivo de remunerar pessoas sob um único critério,



                                                 XXIX
conhecidos e aceitos pelos membros da empresa como um sistema justo de remunerar e compensar,
   resultando como um dos fatores mais importante e estratégico de uma empresa.




Bibliografia

Robert McLean, Performance Measures in The New Economy (The premier´s Council of Ontario,
Canada, 1995)

(Gestão Estratégica de Pessoas com “Scorecard” – Ed.Campus)

Jean Pierre Marras, Administração de Recursos Humanos – 12ª edição              - Do operacional ao
estratégico.Edito Futura.

Benedito Rodrigues Pontes – Administração de Cargos e Salários – Ltr, 1987.

Beverly Glen Zimpeck – Administração de Salários – 7ª edição – Editora Atlas.

Isaías Jatobá de Araújo – Sistema JobDescriptor           - 2007 – V.1.00.00 – Osasco – SP.
ijaraujo@globo.com.




                                                XXX
XXXI
XXXII
XXXIII
XXXIV
XXXV
XXXVI
XXXVII
XXXVIII
XXXIX
XL
XLI
XLII

Manual de-cargos-e-salrios1401

  • 1.
    UNIFIEO - CentroUniversitário FIEO Curso: Pós-Graduação. Área: Recursos Humanos Disciplina: Planejamento Estratégico de RH. ESTUDO DE UM PROJETO DE INSTALAÇÃO DE UM PLANO DE CARGOS E SALÁRIOS EM UMA EMPRESA. Orientador: Prof. MSc. Gilnei Luiz de Moura Grupo: Anderson Marciano de Paula Corina Toledo Edna Coutinho de Oliveira Isaías Jatobá de Araújo Renato Lourenço Simone Ap. de Abreu Osasco, 09 de Outubro de 2007.
  • 2.
    RESUMO Este estudo descreve os passos necessários para a implantação de um sistema estruturado de remuneração, demonstrando os passos para a aplicabilidade de uma gestão salarial, com base nos salários aplicados pelo mercado de trabalho, dos profissionais do nível administrativo, levantando algumas formas de planos de avaliação salarial de forma resumida, focando seu principal estudo no sistema baseado em pontos. Realizaremos o estudo com um grupo de dez cargos administrativos, representativos de uma organização. Este estudo tem como objetivo uma aplicação prática e detalhada de implantação de cargos e Salários. II
  • 3.
    SUMÁRIO 1. INTRODUÇÃO 1.1. Apresentação do Tema 1.2. Organização do estudo 1.3. Metodologia 2. PLANEJAMENTO PARA IMPLANTAÇÃO 2.1. Objetivos 2.2. Estratégias 2.3. Aprovação 2.4. Divulgação 3. ANÁLISE DE CARGOS 3.1. Levantamento de dados 3.2. Métodos de coletas de dados 3.3. Descrições de Cargos 3.4. Titulação dos Cargos 3.5. Levantamento de especificações 4. PESQUISA SALARIAL 4.1. Conceito 4.2. Identificação dos cargos para pesquisa 4.3. Identificar empresas para pesquisa 4.4. Fazer manual a ser distribuído para empresas 4.5. “Feedback” da pesquisa ás empresas pesquisadas 5. MÉTODOS DE AVALIAÇÕES 5.1. Não quantitativos 5.1.1. Escalonamento 5.1.2. Graus Pré-determinados 5.2. Quantitativos 5.2.1. Pontos 5.2.1.1.Identificação dos cargos chaves na empresa; 5.2.1.2.Identificação dos fatores de avaliação preponderantes na empresa; 5.2.1.3.Avaliação dos fatores preponderantes em graus e percentuais; 5.2.1.4.Tratamento estatístico das avaliações dos fatores 5.2.1.5.Avaliando os cargos em pontos 6. POLÍTICA SALARIAL 6.1. Conceito 6.2. Remuneração estratégica 7. ESTRUTURA SALARIAL 8. CONCLUSÃO 9. BIBLIOGRAFIA 10. ANEXOS III
  • 4.
    1. INTRODUÇÃO 1.1. Apresentação do Tema Nas organizações empresariais além dos investimentos em máquinas e matérias-primas contém em seu universo o mais importante ativo, que é a sua força de trabalho seus talentos, e como tal dotado de inteligência e de capacidade de transformação, sendo a principal força motora dento das organizações. “Hoje, na maioria dos setores, é possível comprar no mercado internacional máquinas e equipamentos comparáveis aos das principais empresas globais. O acesso a itens de ativo fixo não mais representa o fator diferenciador; atualmente, a distinção resulta da capacidade de usar esses recursos com eficácia. A empresa que perder todos os seus equipamentos, mas preservar as habilidades e conhecimentos da força de trabalho, retornará aos negócios com razoável rapidez. A empresa que perder sua força de trabalho, mas mantiver seus equipamentos, jamais de recuperará.(1)” Dessa forma o tema da Administração de cargos e salários, é um fator relevante para a empresa na retenção e manutenção de seus ativos intelectuais, e atuando de forma estratégica na política de compensações de seus talentos, uma vez que salários apesar de não motivar, conforme a teoria das necessidades humanas, onde a remuneração faz parte dos fatores físicos higiênicos, sendo necessário para a manutenção pessoal e como tal caracterizado como um fator óbvio de lei da compensação, onde existindo trabalho, existirá a contrapartida da compensação, portanto o mesmo é visto como um fator não motivador, visto ser uma obrigação do comprador da força de trabalho. Por outro lado, caso esse fator salário, não seja satisfeito de forma justa, baseado em mercado e em políticas claras, o mesmo poderá se transformar em um fator com grande relevância na desmotivação dos empregados, portanto uma condução estratégica da política salarial na empresa será uma força básica necessária para um ganho de produtividade e retenção de seu capital humano, e ponto de partida para uma posição diferenciada na criação de valores e estruturas para a sustentação de novas características lidas pelos empregados e entendidas como acréscimos de elementos motivadores organizacionais. 1.2. Organização do estudo No primeiro capítulo, descreveremos as definições e as motivações que levam ao tema, a sua importância no contexto empresarial e profissional. IV
  • 5.
    No segundo capítulodescreveremos os procedimentos necessários para a implantação do programa, os objetivos esperados do programa, a forma de como trataremos as informações internas, tais como divulgação aos participantes diretamente envolvidos, a participação dos empregados, o período de implantação e a aprovação final. No terceiro capítulo trataremos do levantamento de informações de cargos e funções existentes na empresa, identificaremos o melhor método para a coleta dos dados, identificar os grupos ocupacionais e grupos de cargos, contidos nas atividades operacionais, administrativas e gerenciais, identificaremos as especificações necessárias para o bom desempenho do cargo, descrever os cargos e dar nomes aos cargos. No quarto capítulo, levantaremos um grupo de cargos representativo de cada grupo de cargo, para validação e comparação com o mercado onde a empresa está inserida, realizaremos um tratamento estatístico dos dados colhidos do mercado, e repassando as empresas participantes da pesquisa uma tabulação dos dados tratados. No quinto capítulo, abordaremos os vários modelos de avaliações de cargos e salários, descreveremos os métodos e seus pontos positivos e negativos, e os reflexos na administração salarial e identificaremos um grupo de pessoas que tenham conhecimentos das funções da empresa para a formação de um comitê de avaliações de cargos, para levantamento de estudos de valorização, identificação de fatores a serem comparados, escolha dos cargos chaves representativos, e a definição do melhor método para a avaliação, tais como por comparação ao pares, pontos, hay e etc., tais ações tem como objetivo a criação do manual de avaliações de cargos. No sexto capítulo, definiremos o conceito de política salarial, e sua posição estratégica. No sétimo capítulo trataremos as informações colhidas na pesquisa salarial, onde realizaremos a comparação com nossa empresa, em termos estatísticos, e de impactos internos, em ternos de ajustes salariais, enquadramento salarial superior e inferior, e criação da estrutura de salários. 1.3. Metodologia Este estudo será realizado em levantamento de informações em literatura disponível na internet e em livros de autores consagrados, tais como Beverly Glen Zimpeck, Benedito Roberto Pontes e do professor Jean Pierre Marras. V
  • 6.
    2. PLANEJAMENTO PARAIMPLANTAÇÃO 2.1. Objetivos Qual o objetivo da implantação de um plano de cargos e salários na organização? Exemplo de objetivos Estratégicos: ü Política de retenção dos melhores talentos; ü Aplicar uma política agressiva remuneratória em relação ao mercado, como estratégia para consolidação da qualidade da mão de obra, e atrair potenciais talentos da concorrência; ü Regularizar o equilíbrio interno x externo, na comparação com outras empresas, sendo fonte motivadora pela alta diminuição do “turnover”; ü Servir de instrumento motivacional; ü Servir de base para a implantação do plano de carreiras. Identificados os objetivos que a empresa espera atingir, deve ser discutida a estratégia de como estabeleceremos esse projeto, de forma a fazer um levantamento completo da empresa, olhando de cima da organização e observando suas principais características, tal qual, o universo de variáveis, como tipo de mão de obra, operacionais, administrativos, gerenciais, e outras informações relevantes que podem impactar no planejamento para a organização dos pontos a serem estudados. O estudo também deve levar em consideração que cargos operacionais, mensalistas e gerenciais, tem em suas especificações diferenças circunstanciais, portanto, merece um cuidadoso estudo em relação a quantidade de planos de salários deve ser realizado, tais como um único plano para todas as categorias, ou um plano para cada categoria. Identificado o plano, e sua dimensão, deve-se então levantar o melhor método a ser aplicado para o plano, tais como, o método por escalonamento, graus pré-determinado, pontos, hay e hoyler etc. Para efeito de estudo citamos abaixo identificamos três métodos de estudos para a avaliação de cargos, onde damos ênfase no plano baseado em pontos, visto ser o mais utilizado no ambiente administrativo e operacional. Em grandes empresas além de métodos próprios, é mais comum em VI
  • 7.
    multinacionais e empresasde grande porte, a avaliação para seu corpo gerencial os métodos baseados nos sistemas hay e hoyler. Feitos todos os levantamentos da dimensão onde o plano deverá repercutir, este se submeterá a uma nova avaliação por todo o pessoal da supervisão dos setores que serão estudos na implantação do plano e posterior aprovação da diretoria/presidência da empresa para dar aprovação e credibilidade e força cooperativa de todos envolvidos no planejamento do plano. 2.2. Divulgação A divulgação do plano aos empregados é uma etapa, que não pode ser desprezada, deverá prevalecer a transparência dos objetivos do plano, a fim de não gerar expectativas não prevista no plano, e situações de desconhecimentos e com isso gerar diversas interpretações negativas e prejudicial tanto para a empresa quanto para os empregados, como desconfianças, perspectivas de aumento salarial etc. Deve ser escolhido o melhor método para a divulgação, tais como palestras, textos explicativos, através da supervisão do empregado etc., observando-se sempre o perfeito entendimento. 3. ANÁLISE DE CARGOS 3.1. Definição do universo de cargos. Esta análise levanta todas as funções dispostas na organização, e suas especificações e classificações. Temos uma análise da função de datilografar no RH e na Contabilidade, nesse caso temos um único cargo, que é o de datilógrafo, não confundindo suas funções com o lugar onde é realizado. Outra análise diz respeito por exemplo quais as especificações que o cargo exige, tais como: Área de responsabilidade; ü Por informações; ü Por supervisão; ü Por patrimônio; Etc. VII
  • 8.
    Área de requisitosfísicos; ü Esforço mental, ü Esforço físico. Área de requisitos ambientais ü Riscos na saúde ü Condições de trabalho Etc. Outra análise diz respeito ao grupo ocupacional, tais como, níveis gerenciais, administrativo, operacional, técnicos etc. Definições: Tarefa : arquivar, datilografar, limpar etc. Função: È o agregado de tarefas atribuídas a cada empregado. Cargo: É o conjunto de funções que o empregado executa. Segundo (Beverly Glen Zimpeck,1992,40) “A tarefa existe como um conjunto de elementos que requer o esforço humano para determinado fim”. Quando tarefas suficientes se acumulam para justificar o emprego de um trabalhador, surge a função. Assim, a função é um agregado de deveres, tarefas e responsabilidades que requerem os serviços de um indivíduo.....As funções que são semelhantes em sua natureza e requisitos são chamadas cargos. Portanto, o termo “cargo” pode ser definido como “um grupo de funções idênticas na maioria ou em todos os aspectos mais importantes das tarefas que a compõem”. 3.2. Coleta de dados dos cargos É o levantamento das tarefas executadas pelos empregados, para a finalidade das descrições dos cargos, e identificação das especificações. Esse levantamento deve ser focado nas características do cargo, e não vinculado ou identificado pelo seu ocupante. O objetivo principal é levantar nesse momento quais tarefa s aquele cargo pesquisado VIII
  • 9.
    contém com seusatributos, para que no estudo na análise desse cargo, seja identificado, alterado, trocado, mantido ou concentrado essa tarefa em outro cargo. De repente temos um cargo idêntico ao exemplo citado acima, onde existe a tarefa de datilógrafo em vários setores, com diferentes denominações, sendo que a denominação no final dos estudos, o mesmo é identificado que o mesmo não é uma das tarefas do auxiliar de contabilidade, mas sim, de datilógrafo. Esta coleta de informações pode ser realizada, por questionários ou por entrevista direto com o ocupante do cargo pesquisado, com o líder, observações locais pelo analista de RH/Salários, ou através da combinação dessas opções. Um dos módulos mais utilizado é o dos questionários, pela facilidade e prática, visto adotar um modelo padronizado de coletas de informações. 3.3. Descrição dos Cargos Feito a coleta das informações dos cargos, temos então o material necessário para a descrição dos cargos, de forma metodológica e clara, onde qualquer pessoa possa identificar um cargo apenas pela leitura da descrição. A descrição é do cargo e seus dados devem ser descritos de forma impessoal e representar, as tarefas de modo claro, e que identifique seus requisitos necessários que o ocupante do cargo deve possuir para desempenhar as tarefas. Nas descrições, deve de forma implícita, conter as questões, “O que faz”, “Como Faz” e “Por Que faz”, para ficar estabelecidos os nexos da tarefa. Exemplo: O que faz : “Lança os dados estatísticos em uma planilha mensalmente.” Como Faz” : “A partir de recibos e demonstrativos de pagamentos” Por que faz” : “Para atualização do sistema de contabilidade” Descrição: Lança em planilha mensalmente, a partir de recibos de vendas e demonstrativos de pagamentos, para atualização no sistema da contabilidade” IX
  • 10.
    Note que nesseexemplo o “O que faz”, o “Como faz” e “Por que faz”, torna se questões implícitas consideradas para a síntese da descrição para a clareza da tarefa. O que faz : “Digita horas extras no sistema de folha de pagamento” Como Faz” :Extraindo informações do cartão de ponto” Por que faz” : “Para pagamento ao empregado” Descrição: “Digita horas extras no sistema de folha de pagamento para pagamento ao empregado” Note que o “como faz”, fica registrado de forma exagerado e desnecessário. “O que faz”, deve ser sempre representado por um A descrição deve conter uma descrição sumária, uma descrição detalhada e suas especificações, identificando as características que o ocupante do cargo deve possuir para o bom desempenho do cargo, em suma, o perfil do ocupante do cargo de coincidir ou no máximo aproximar o máximo das exigências do cargo. Portanto, eis um bom motivo para a perfeita identificação da descrição e especificação de determinado cargo, visto que se uma descrição estiver totalmente fora de sintonia com a realidade, o depto de recrutamento e seleção de pessoal não conseguir encontrar esse candidato, visto que as especificações estão fora de padrão, ou mal dimensionada. Exemplo de uma especificação absurda, apenas para ficar claro a mensagem: Título do cargo: Aux.de informática Especificação: Escolaridade necessária Pós-Graduação Experiência : 5 anos Nesse exemplo, temos no mínimo uma especificação para o cargo de um técnico Sênior, ou um analista pleno, sendo então, criada uma dificuldade no preenchimento dessa posição em razão de discrepância na descrição de cargos. 3.4. Nomenclatura dos Cargos A nomenclatura do cargo deve ser aquela praticada de forma que possa ser identificada a priori com as funções do cargo, ou segundo moda de mercado, e que também especifique o nível e a especialização X
  • 11.
    do cargo, etambém que represente a diferenciação do mesmo em uma escala ou evolução na carreira, exemplo, acrescentar os níveis, Junior, pleno e sênior, facilitando a identificação do grau de especialização e experiência. 3.5. Descrever as especificações Descrever as especificações apontadas na coleta de dados, para a descrição do cargo para estabelecer apenas como parâmetros, visto que estas especificações poderão ser alteradas no momento das avaliações dos cargos realizadas pelo comitê do plano. 4. PESQUISA SALARIAL 4.1. Conceito Segundo (Prof.Jean Pierre Marras-2007-111). “É o instrumento gerencial que possibilita conhecer, através da coleta e da tabulação estatística de dados, as práticas e os valores salariais médios praticados num determinado mercado.” Através dessa política, podemos identificar no mercado o valor que é atribuído aos cargos em outras empresas, sendo o ponto partida para a empresa tratar sua forma de remunerar, estabelecer e estratégias de políticas recursos humanos, em conjunto com os objetivos da empresa. 4.2. Identificação dos cargos para pesquisa A escolha dos cargos para ser realizada a pesquisa, deve ser focada em sua finalidade, por exemplo, realizamos pesquisas de salários, para analisar os valores salariais de um cargo ou de determinado grupo, com a finalidade de ajustes, ou realizamos a pesquisa para efetuar uma política de cargos e salários. No caso de efetuar um plano de cargos e salários deveremos escolher os cargos que represente a empresa de forma que com base nesses cargos, possamos realizar a análise do restante dos cargos da empresa. Portanto esse cargos chaves, deverão funcionar como parâmetros para os outros, neste caso teremos que ter extratos de cargos de toda a empresa, desde o menor, médio e máximo cargo. 4.3. Identificação das empresas que farão parte da pesquisa Devemos escolher essas empresas com base em região geográfica, porte, mesmo segmento etc, XI
  • 12.
    De forma queesse grupo de empresas possa representar um universo possível de comparação, sabendo-se que a idéia é conhecer a igualdade na pesquisa, de forma a evitar erros estatísticos. 4.4. Cadernos de Pesquisas Identificado as empresas que vão participar da pesquisa e após contato com as mesmas através de cartas convites, e-mail etc, a empresa providencia um caderno contendo os cargos a serem pesquisados, as descrições e as questões a ser respondidas pelas empresas participantes. 4.5. “Feedback” da pesquisa as empresas participantes Após devolução dos cadernos de pesquisas pelas empresas, a empresa patrocinadora realiza tratamentos e estatísticos(tabulação) e envia uma cópia para cada empresa participante, identificando sua posição na pesquisa e preservando o nomes das outras empresas, apenas representadas por código. 5. MÉTODOS DE AVALIAÇÕES 5.1. Não quantitativos 5.1.1. Escalonamento Este método realiza a comparação dos salários, ou seja, é colocado dentro de uma perspectiva de importância na empresa e sendo comparado um cargo com os demais da empresa sempre dentro de uma ótica empírica, e não são adotados parâmetros de estudos estatísticos. São colocados em uma planilha conhecida como “dupla entrada” os cargos chaves e avaliados por um comitê, onde cada avaliador registra com um sinal positivo, quando um cargo é mais importante que o outro e o sinal negativo, como menos importante. No final feito as avaliações dos cargos chaves, o restante dos cargos chaves serão comparados com esses cargos comparados, tomando como pontos superiores para comparação os cargos chaves. XII
  • 13.
    Assistente de pessoal Auxliar de Pessoal Analista de pessoal Gerente de Pessoal Adiciona 1 Pessoal CARGOS COMPARADOS Axiliar de Pessoal - - - - 1 Assistente de Pessoal + - - - 2 Analista de Pessoal + + - - 3 Supervisor de Pessoal + + + - 4 Gerente de Pessoal + + + + 5 Todos os membros avaliadores, apresentam sua planilha e geram uma única tabela escalonada em graus, quanto maior o grau, maior a remuneração. 5.1.2. Graus Pré-determinados Este método parte do inicio que já existe um plano, ou seja, graus pré-concebidos, onde cada grau tem sua descrição da importância estabelecida pela empresa. Primeiro existe uma tabela de graus, numa ordem crescente tais como grau I, grau II e assim por diante e sua descrição. A partir desse ponto são analisados os cargos, buscando a identificação do conteúdo do grau com as especificações percebidas pelo cargo. Grau I Tarefas repetitivas Não requer grau escolar nível de graduação Não requer experiência Grau II Tarefas com elevado nível de complexidade. XIII
  • 14.
    Requer pós-graduação. Experiência de 10 anos na função. Grau III... Cada avaliador em posse de sua planilha de avaliação contendo os cargos chaves, identificará nos cargos as especificações contidas na tabela de graus e indicará em que grau cada cargo chave está identificado, existindo 10 graus, o cargo deverá ser identificado nesses 10 graus. No final todos os cargos e resultados são colocados em tabela, chamada de “régua de avaliação”, para a comparação geral e a avaliação grupal de consenso. AVALIADORES - Comitê CARGOS A B C D CONSENSO Axiliar de Pessoal grau I grau I grau I grau I grau I Assistente de Pessoal grau II grau III grau II grau II grau II Analista de Pessoal grau III grau VI grau VI grau VI grau VI Supervisor de Pessoal grau VI grau V grau V grau V grau V Gerente de Pessoal grau VII grau VI grau VI grau VI grau VI 5.2. Quantitativos 5.2.1. Pontos Esse método de avaliação segundo B.R.Pontes(1), foi desenvolvido por Merril R.Lott(2), atualmente sendo o método mais usado, difundido e aceito pelos empregados, em razão de seus métodos mais precisos e matemáticos, e considerado de fácil entendimento. Dentro deste ambiente foi com que este método se tornou o mais popular. Esse método tem a seguinte seqüência de informações a prospectar: XIV
  • 15.
    Segundo (Prof.Jean PierreMarras-2007-124), “Estrutura Salarial por pontos é um conjunto formado por diversas faixas salariais, agrupando cargos com avaliações próximas, contemplando no interior de sua estrutura valores salariais calculados e desenhados matematicamente, para atender a uma política previamente desejada.” 5.2.1.1. Identificação dos cargos chaves na empresa Cargos chaves são denominados aqueles que tem a característica de poder representar uma situação diferenciada dos demais cargos dentro da organização, ou seja, os cargos chaves são aqueles que tem o poder de representar as funções de determinado setor, para que haja uma representatividade ou extratos de toda a empresa. Identificação dos fatores de avaliação preponderantes na empresa; Fatores de avaliação são os quesitos para o estudo das diferenciações dos cargos a serem estudados, com a pretensão de diferenciar cargo a cargo. Esses quesitos quando é um componente comum em todos os cargos, não devem ser levados aos estudos dos cargos, portanto não serve como fator de avaliação, visto que, se todos os cargos apresentam o mesmo nível do fator, o mesmo não precisa ser avaliado, visto ser idêntico aos dos demais cargos. Ex: Se em uma empresa o fator concentração é exigência para todos os cargos, então imaginamos que todos os que trabalham nesta empresa tem esse fator como igualdade entre todos seus ocupantes de determinados cargos, então é ilógico avaliar os iguais, contrariando o método que tem como finalidade, avaliar e mensurar os cargos desiguais. Esta é uma das fases mais importantes da avaliação de cargo, onde teremos que ter conhecimentos gerais da empresa em todos os aspectos, visto que é nessa fase que teremos que levantar os quesitos necessários para realizar as diferenças no desenvolvimento das funções e quais suas especificações necessárias para o desenvolvimento do cargo. Nesta fase é importante a participação de todos os membros graduados, ou supervisores, gerentes a fim de levantar as necessidades de comparação dos fatores. Podemos citar os principais fatores, constantes nos diversos planos de cargos e salários das empresas, onde existem as diferenças, tais como: nível de experiência, nível de instrução, nível de Complexidade, nível de responsabilidade etc. XV
  • 16.
    Nesse levantamento defatores devem ser considerados os cargos chaves, administrativos, gerenciais, operacionais, e separados por grupos de estudos, tais como físicos, mentais, responsabilidades e condições de trabalho, ou seja, deve existir as devidas proporcionalidades e diferenças entre as funções para poder avaliar em condições de igualdade relativa. Avaliação dos fatores preponderantes em graus e percentuais; As avaliações dos fatores devem receber uma aplicação estatística após definição pelos membros do comitê de avaliação, do peso que cada fator influenciará no desenvolvimento das funções do cargo. Ex: O comitê chegou a uma conclusão que o fator experiência deva ter um percentual de 30% do total em uma avaliação do cargo, portanto sobrando 70% para todos os outros fatores dividirem esse percentual. Exemplo: O Comitê chegou a uma conclusão dos fatores a serem avaliados por todos os funcionários do grupo administrativos na seguinte proporção: Fator Experiência 30% Fator Instrução 20% Fator Responsabilidade 30% Fator Iniciativa 10% Fator Supervisão 10% Total...................................100% Identificado o levantamento dos fatores que influenciam e diferenciam cada cargo na organização, devemos então procurar os graus dessa diferença em cada cada, visto que todos os cargos levantados possuem esses fatores que influenciam no desempenho dos cargos, então a necessidade de identificar e valorar a diferença entre os cargos, visto que apesar de todos os cargos levantados possuírem esses fatores, eles são distribuídos diferentemente, observe por exemplo o cargo de diretor e um auxiliar, ambos possuem o fator instrução, mas em graus diferenciados, portanto, aí está, o percentual desse fator que devemos identificar. XVI
  • 17.
    Podemos identificar essegrau utilizando métodos matemáticos para representar a melhor distribuição do peso de cada grau de seus fatores. Identificado os fatores representativos da organização e descritos o que cada fator representa, deve se partir para a ponderação dos fatores. Ex: Vamos focar no grau instrução, esse fator representa 20% do plano total do cargo. O comitê de avaliação estabeleceu que esse fator terá 4 graus, que ficará da seguinte maneira: Fator Instrução: Este fator especifica o nível de escolaridade que os ocupantes dos cargos deverão ter. Graus Descrição Percentual A O cargo requer nível escolar secundário B O cargo requer nível escolar superior C O cargo requer nível pós-graduação D O cargo requer nível mestrado Definido os graus, agora é necessário identificar o peso de cada grau. Podemos resolver isso através de equações estatísticas. Sabemos que o total representa 20% da avaliação e que temos que distribuir em 4 graus, portanto, podemos utilizar a fórmula da progressão aritmética, geométrica, onde temos que descobrir o percentual da constante, o percentual mínimo e máximo e os intermediários. 5.2.1.2.Tratamento estatísticos das avaliações dos fatores Obs: Para determinar o valor do percentual de cada grau de um fator, é necessário primeiro identificar a extensão da pontuação a ser trabalhada no plano, mesmo que esse número de pontos ainda não é o definitivo, visto que ainda não concluímos todas as etapas do plano, precisamos informar temporariamente uma faixa de pontos do plano, por exemplo, XVII
  • 18.
    digamos que vamostrabalhar com uma pontuação que varia entre 88 pontos até 1061, ou outro número qualquer. Tal informação é necessário para podermos lançar no graus dos fatores, o número do pontos não vai repercutir, quando definirmos os pontos inicias e finais que serão aprovados no final, estabelecido em política. Não vai alterar nos resultados, visto que lançaremos em percentuais o índice de valor de cada grau, por exemplo 10% de 88, ou 10% de 500, nosso resultado continuará sendo 10%. Tal informação é necessária, visto que o que foi definido até agora pelo comitê apenas o peso do fator em relação ao total de pontos. Dessa forma vamos trabalhar com um valor de pontos fictício para o momento, e no final, será definido o número de pontos oficial aprovado. Pontos: Inicial : 88 ----------- > Final : 1061 Se o peso do fator ora focado vale 20% ,então temos que o valores desse fator em relação ao total de pontos do programa equivale : (( 20 * 88 ) / 100) = 17,60 PONTOS (( 20 * 1061 ) / 100) = 212,00 PONTOS Neste caso concluímos que o menor valor em pontos do fator instrução vale 17,60 ponto se o máximo 212,00. Resta agora definir os pontos intermediários, visto que foi definido um total de 4 graus para este fator. Utilizando a distribuição pela fórmula da Progressão aritmética. q = ( na – a1) / ( n-1 ) q = ( 212 – 17,60 ) / (4–1) q = 194,40 / 3 q = 64,8 Interpolação = 17,60 , 82,40 , 147,20 , 212 Razão = 64,8 então: Grau A vale 17,60 XVIII
  • 19.
    Grau B vale82,40 Grau C vale 127,20 Grau D vale 212,00 Utilizando a distribuição pela fórmula da Progressão Geométrica. N -1 NA/A1 N= 4 Na = 212 A1 = 17,60 q = 212 / 17,60 = 12,045454 q= 4-1 12,045454 q = 2.2923155 17,60 * 2,2923155 = 40,34 40,34 * 2,2923155 = 92,48 92,48 * 2,2923155 = 212,00 Razão = 2.2923155 então: Grau A vale 17,60 Grau B vale 40,34 Grau C vale 92,40 Grau D vale 212,00 Resta ao comitê de avaliação escolher a melhor distribuição que se enquadra com a organização, na escolha de utilizar a regra de distribuição dos pesos dos fatores entre a progressão aritmética e a progressão geométrica. Realizada a descrição, definido os fatores a serem aplicados em determinado grupo de cargos, observando os tipo de cargos e níveis, e identificando os fatores e determinando seu peso na pontuação geral, identificando e valorando todos os graus dos fatores, tem se com XIX
  • 20.
    isso o manualde avaliação de cargos, onde na medida de períodos estabelecidos em políticas serem revistos e atualizados. Obs: Utilizaremos o exemplo da exponencial, visto que esta nesta equação apresenta-se um melhor aproveitamento da proporcionalidade e a moda de mercado. a) Tabulação dos fatores Fatores Peso Grau Grau % Mínimo Máximo Grau Descrição Experiência 30 26,4 318,3 26,4 A Até 1 ano Instrução 20 17,6 212,2 48,6 B de 1 a 2 anos Solicitação Mensal 15 13,2 159,15 90,9 C de 2 a 3 anos Responsabilidade por resultados 15 13,2 159,15 170 D de 3 a 5 anos Suervisão 20 17,6 212,2 318 E de 5 a 10 anos 100% 88 1061 Observe que o total de peso corresponde a 100% possível entre os pontos mínimos e máximos de nossa tabela de pontos fictícia ( 88 – 1061 ) Como fazer isso? veja a fórmula da progressão Geométrica acima. 5.2.1.3.Avaliando os cargos em pontos Cargo Valor Pontos Mensageiro 299,00 54 Auxiliar de Escritório 337,00 67 Auxiliar de Pessoal 381,00 82 Secretaria Junior 427,00 98 Assistente de Marketing 480,00 116 Analista Contábil 541,00 137 Técnico Químico 608,00 160 Analista de Sistema 684,00 186 Engenheiro Mecânico 771,00 216 Medico do Trabalho 867,00 249 Supervisor Administrativo 975,00 286 Supervisor Contábil 1.098,00 328 Chefe de Usinagem 1.235,00 375 XX
  • 21.
    Dispersão Salarial 1.400,00 y = 2,9149x + 141,64 1.200,00 1.235,00 R2 = 1 1.098,00 1.000,00 975 867 Salários 800,00 771 684 600,00 608 541 480 400,00 427 381 337 299 200,00 0,00 0 50 100 150 200 250 300 350 400 Pontos Obs: Verifica-se pela linha da reta que os salários crescem em uma igualdade proporcional, e o seu coeficiente de correlação entre os pontos e os salários são perfeitos matematicamente, quanto mais próximo de 1, melhor é o resultado, no nosso em tela, não existe dispersão, estando os cargos no máximo da perfeição na proporção entre pontos e valor. A título de exemplo, abaixo gráfico com salários dispersos, ( fora da reta ), mostrando uma disformidade na distribuição entre pontos e salários, necessitando o ajuste em relação aos pontos e salários. Dispersão Salarial 1.400,00 y = 2,1177x + 230,6 1.200,00 R2 = 0,8689 1.235,00 1.098,00 1.000,00 975 867 Salários 800,00 771 684 600,00 608 541 480 400,00 427 381 337 299 200,00 0,00 0 100 200 300 400 500 600 Pontos XXI
  • 22.
    X Y X2 XY Y2 Pontos Salários 1 54 299,00 2.916,00 16.146,00 89.401,00 2 67 337,00 4.489,00 22.579,00 113.569,00 3 82 381,00 6.724,00 31.242,00 145.161,00 4 98 427,00 9.604,00 41.846,00 182.329,00 5 116 480,00 13.456,00 55.680,00 230.400,00 6 137 541,00 18.769,00 74.117,00 292.681,00 7 160 608,00 25.600,00 97.280,00 369.664,00 8 186 684,00 34.596,00 127.224,00 467.856,00 9 216 771,00 46.656,00 166.536,00 594.441,00 10 249 867,00 62.001,00 215.883,00 751.689,00 11 286 975,00 81.796,00 278.850,00 950.625,00 12 328 1.098,00 107.584,00 360.144,00 1.205.604,00 13 375 1.235,00 140.625,00 463.125,00 1.525.225,00 13 2354 8.703,00 554.816,00 1.950.652,00 6.918.645,00 Fórmula = Y= a + bx (reta do mínimos quadrados) Sá = na + bSw Y X Sá Y = aS$ + bS$ 2 X X X 8.703,00 = 13a + 2354b 1.950.652,00 = 2354a + 554.816,00 2354/13 = 181,07692 1.950.652,00 = 2354a + 554.816,00b ? 1.575.912,00 = ( 181,07692 * 8.703,00 ) -1.575.912,40 - 2354a - 426.255,06b ? 426.256,06 = ( 2354 / 13 * 2354 ) 374.739,60 = 128.560,94 ? 374.739,60 = ( 1.950.652,00 - 1.575.912,40 ) 374.739,60 / 128.560,94 = 2.9148791 8.703,00 = 13a + 2354(2.9148791) ? 6.861,63 = ( 2354 * 2.9148791 ) 8.703,00 = 13a + 6.861,63 1.841,37 = 13a a = 1.841,37 / 13 a = 141,64 Equação = Y = 141,64 + 2.9148791*(x) X Y Para x = 54 y= 141,64 + 2,9148791 54 299,04 Para x = 67 y= 141,64 + 2,9148791 67 336,94 Para x = 82 y= 141,64 + 2,9148791 82 380,66 Para x = 98 y= 141,64 + 2,9148791 98 427,30 Para x = 116 y= 141,64 + 2,9148791 116 479,77 Para x = 137 y= 141,64 + 2,9148791 137 540,98 Para x = 160 y= 141,64 + 2,9148791 160 608,02 Para x = 186 y= 141,64 + 2,9148791 186 683,81 Para x = 216 y= 141,64 + 2,9148791 216 771,25 Para x = 249 y= 141,64 + 2,9148791 249 867,44 Para x = 286 y= 141,64 + 2,9148791 286 975,30 Para x = 328 y= 141,64 + 2,9148791 328 1.097,72 Para x = 376 y= 141,64 + 2,9148791 376 1.237,63 Com base nos valores informados, a fórmula acima identificará onde o eixo (X,Y) se cruzará, informando o valor desejado, no exemplo, lançamos um valor já ajustado, mas poderia informar outros valores, completamente disperso, onde teríamos que ajustar os valores tomando com base os valores estabelecido pela reta, para termos uma tabela salarial progressiva de acordo com a reta. XXII
  • 23.
    Observe que ovalor apurado pela equação te fornece os pontos e valores na média, onde com as fórmulas abaixo deveremos encontrar os pontos e valores inicial e final, conforme quadro abaixo: 1,12546755 = 13-1 1235 / 299 299,04 1,12546755 = 299,04 x 1,0608805 = 317,26 X = ( 317,26 – 141,64) / 2.9148791 = 60,24 (arredondado = 60 ) Pontos máximo da faixa = 60 pontos. Classe Zero = 299 / 1,12546755 = 265,67 265,67 x 1,0608805 = 281,84 x = ( 281,84 - 141,64 ) / 2.9148791 = 48,09 (arredondado = 48 ) Pontos mínimo da faixa = 48 pontos. Ou seja faixa começa com 48 e o máximo 60 e a média = ((60+48)/2) = 48 pontos. Ponto Salário Máximo 299,04 1,060881 317,2457 - 141,64 : 2,9148791 60 336,94 1,060881 357,4531 - 141,64 : 2,9148791 74 427,3 1,060881 453,3142 - 141,64 : 2,9148791 107 479,77 1,060881 508,9786 - 141,64 : 2,9148791 126 540,98 1,060881 573,9151 - 141,64 : 2,9148791 148 608,02 1,060881 645,0366 - 141,64 : 2,9148791 173 683,81 1,060881 725,4407 - 141,64 : 2,9148791 200 771,25 1,060881 818,2041 - 141,64 : 2,9148791 232 867,44 1,060881 920,2502 - 141,64 : 2,9148791 267 975,3 1,060881 1034,677 - 141,64 : 2,9148791 306 1.097,72 1,060881 1164,55 - 141,64 : 2,9148791 351 1.237,63 1,060881 1312,978 - 141,64 : 2,9148791 402 O ponto mínimo será o limite da faixa máxima anterior + 1 e a média, a soma do ponto máximo e do ponto mínimo dividido por 2. Desse forma conclui-se os valores de pontos, agora veja abaixo os limites de valores entre o mínimo, média e máximo. XXIII
  • 24.
    Para efeito desabermos os pontos estremados, devemos saber antecipadamente qual vai ser a amplitude entre uma faixa e outra. Este amplitude ditará as regras dos percentuais entres faixas e estará diretamente influenciando o percentual de ajustes de méritos e promoções, e mudança de faixas salariais. Imagine uma amplitude de 35% entre as faixas, neste caso, aplicando-se a raiz quadrada sobre os valores da média, ou seja o valor salarial conhecido e lançado conforme dados na tabela acima, teremos: Percentual de amplitude = 35% Aplicar a fórmula da Raiz = Raiz de 1,35 = 1,161895. Dessa forma temos os percentuais a ser aplicados exemplo: R$ 299,04 : 1,161895 = R$ 257,37 = Valor mínimo R$ 299,04 x 1,161895 = R$ 347,45 = Valor máximo A Média é o valor original = R$ 299,04. Prova: 257,37 x 1,161895 x 1,161895 = 347,45 Salário Valor Salário Valor Médio Mínimo Médio Máximo 299,04 : 1,161895 257,37 299,04 x 1,161895 347,45 336,94 : 1,161895 289,99 336,94 x 1,161895 391,49 380,66 : 1,161895 327,62 380,66 x 1,161895 442,29 427,30 : 1,161895 367,76 427,3 x 1,161895 496,48 479,77 : 1,161895 412,92 479,77 x 1,161895 557,44 540,98 : 1,161895 465,60 540,98 x 1,161895 628,56 608,02 : 1,161895 523,30 608,02 x 1,161895 706,46 683,81 : 1,161895 588,53 683,81 x 1,161895 794,52 771,25 : 1,161895 663,79 771,25 x 1,161895 896,11 867,44 : 1,161895 746,57 867,44 x 1,161895 1.007,87 975,30 : 1,161895 839,40 975,3 x 1,161895 1.133,20 1.097,72 : 1,161895 944,77 1.097,72 x 1,161895 1.275,44 1.237,63 : 1,161895 1.065,18 1.237,63 x 1,161895 1.438,00 Definido a média, mínimo e máximo de pontos e salários, devemos agora criar os níveis salariais que cada faixa terá, para isso necessitamos saber em quantos níveis deverá ser fracionado cada faixa salarial, tenha em mente o seguinte, a maturidade necessária que o cargo requer. Exemplo: Para o auxiliar, mudar de faixa salarial quantas níveis ele deverá superar para chegar ao cargo de analista, considerando que o XXIV
  • 25.
    cargo de analistaestá em uma faixa salarial superior. Ou seja ele terá uma evolução salarial de 5 recebimentos de méritos, depois o próximo aumento seria uma promoção vertical e conseqüente mudança de faixa ?. Faixas Níveis Inicial Final Faixas Níveis Inicial Final 1 1 257,00 270,00 8 1 589,00 619,00 1 2 271,00 284,00 8 2 620,00 651,00 1 3 285,00 299,00 8 3 652,00 684,00 1 4 300,00 314,00 8 4 685,00 719,00 1 5 315,00 330,00 8 5 720,00 756,00 1 6 331,00 347,00 8 6 757,00 795,00 2 1 290,00 305,00 9 1 662,00 696,00 2 2 306,00 320,00 9 2 697,00 732,00 2 3 321,00 337,00 9 3 733,00 769,00 2 4 338,00 354,00 9 4 770,00 809,00 2 5 355,00 372,00 9 5 810,00 850,00 2 6 373,00 391,00 9 6 851,00 894,00 3 1 326,00 343,00 10 1 746,00 784,00 3 2 344,00 360,00 10 2 785,00 824,00 3 3 361,00 379,00 10 3 825,00 867,00 3 4 380,00 398,00 10 4 868,00 911,00 3 5 399,00 419,00 10 5 912,00 958,00 3 6 420,00 440,00 10 6 959,00 1.007,00 4 1 367,00 386,00 11 1 839,00 882,00 4 2 387,00 405,00 11 2 883,00 927,00 4 3 406,00 426,00 11 3 928,00 975,00 4 4 427,00 448,00 11 4 976,00 1.025,00 4 5 449,00 471,00 11 5 1.026,00 1.078,00 4 6 472,00 495,00 11 6 1.079,00 1.133,00 5 1 413,00 434,00 12 1 944,00 993,00 5 2 435,00 456,00 12 2 994,00 1.043,00 5 3 457,00 480,00 12 3 1.044,00 1.097,00 5 4 481,00 504,00 12 4 1.098,00 1.153,00 5 5 505,00 530,00 12 5 1.154,00 1.213,00 5 6 531,00 557,00 12 6 1.214,00 1.275,00 6 1 465,00 489,00 13 1 1.063,00 1.118,00 6 2 490,00 514,00 13 2 1.119,00 1.175,00 6 3 515,00 540,00 13 3 1.176,00 1.235,00 6 4 541,00 568,00 13 4 1.236,00 1.298,00 6 5 569,00 597,00 13 5 1.299,00 1.365,00 6 6 598,00 627,00 13 6 1.366,00 1.435,00 7 1 523,00 550,00 7 2 551,00 578,00 7 3 579,00 608,00 7 4 609,00 639,00 7 5 640,00 672,00 7 6 673,00 706,00 XXV
  • 26.
    Para calcular onúmero de níveis utiliza-se a fórmula: r = n-1 b/a Onde: n = número de níveis b = Valor da faixa final a = Valor da faixa inicial r = o percentual aproximado para cálculo dos méritos No nosso exemplo acima estabelecemos aleatoriamente méritos na razão de 5%.(cinco) r = 5 à convertido para % = 1,05 b = 347,00 a = 257,00 n=? r = n-1 347,00 : 257,00 = 1,05 r = n-1 1,3501 = 1,05 1 : ( n – 1 ) = log(1,05) : log(1,3501) 1 : ( n – 1 ) = 0,0211893 : 0,1303659 1 : ( n – 1 ) = 0,16 n – 1 = 6,25 arredondado = 6 n=7 r = 7-1 347 : 257 r = 1,051315 Níveis da faixa 1 257,00 1,051315 270,19 270,19 1,051315 284,05 284,05 1,051315 298,63 298,63 1,051315 313,95 313,95 1,051315 330,06 330,06 1,051315 347,00 E sucessivamente nas outras faixas. XXVI
  • 27.
    Obs: Percebe-se asobreposição entre os níveis da faixa: Exemplo a faixa 1 começa com R$ 257,00 até 347,00 a faixa 2 começa com R$ 290,00 até 391,00 Os valores de méritos e na amplitude da faixa estão diretamente correlacionados nos cálculos da sobreposição dos níveis, de forma que para ajusta-los em faixas salariais e níveis sem sobreposição, deve ser alterados para refletir nova tabela salarial, caso assim seja definido uma política de salários sem sobreposição de níveis. Através dos índices de amplitude pode-se estabelecer em qual percentual as faixas e conseqüentemente seus níveis estarão sobreposta. 6. POLÍTICA SALARIAL 6.1. Conceito Segundo o Prof. Jean Pierre Marras “É o instrumento pelo qual a empresa determina os parâmetros que deseja imprimir, fixando condições e normas a serem seguidas ao longo de toda a estrutura organizacional” Nessa política é fixa as diretrizes a serem seguidas, com o status e força da influência do corpo diretivo da empresa, tornando-se um documento mestre a ser seguido. Esta política irá direcionar por exemplo, o percentual de mérito, promoção, o tempo, as faixas salariais, os graus, as pesquisas salariais, as classificações etc., todas as informações pertinentes ao gerenciamento do programa de remuneração e cargos. 6.2. Remuneração estratégica Uma gestão estratégica de remuneração, basicamente não está lastreada apenas em um plano de cargos e salários estritamente delimitado e tradicional, mas também em políticas que visa além daquele resultado esperado por um plano de cargos e salários, também por práticas de compensar resultados extraordinários e direcionados ao desempenho individual e na medida que estes desempenhos estejam alinhados com os objetivos traçados pela empresa. Estas compensações geralmente são complementares ao plano de cargos e salários, também composto dos itens da política de salários e remuneração que são conhecidos no mercado como XXVII
  • 28.
    remuneração por habilidade,participação acionária, distribuição de ganhos, distribuição de lucros e remuneração por resultados. Remuneração por habilidades, fundamenta-se na avaliação de conhecimentos adquiridos e das respectivas habilidades conquistadas, estabelece-se regras de validações de habilidades e linhas do conhecimento e o empregado é remunerado progressivamente a cada nova habilidade adquirida. Remuneração acionária, Típico de remuneração aplicado aos cargos de níveis elevados na organização e considerados estratégicos, tais como gerência, alta gerência, diretoria e presidência, tem como base a remuneração contempladas em ações da empresa, tornando-se o empregado executivo, sócio da empresa. Distribuição de ganhos, mais conhecidos no mercado como práticas de sugestões dos empregados mais voltado para a linha de produção, onde o empregado é remunerado pela sua sugestão que rendeu benefícios produtivos para a empresa. Distribuição de lucros, É um sistema que remunera os empregados de acordo com os lucros obtidos pela empresa, tem como fundamento e regras por força de lei (nº 10.101 de 19/12/2000), nessa formalidade é dimensionada pela representação dos empregados em comissão, envolvendo registro em sindicato da categoria e no ministério do trabalho. Este método, apesar de força de lei, não tem punição coercitiva governamental, caso a empresa não desenvolva o plano. Incorrerá sim em multas sindicais, caso assim esteja acordado em acordo, convenção coletiva ou dissídio coletivo de trabalho. Remuneração por resultados, Este método é o mais usado pelas empresas, visto que vincula o desempenho e qualidade com os resultados da empresa, tal remuneração também está vinculada na (Lei nº 10.101 de 19/12/2000), conforme visto abaixo n íntegra o art. 1º.Art. 1o Esta Lei regula a participação dos trabalhadores nos lucros ou resultados da empresa como instrumento de integração entre o capital e o trabalho e como incentivo à produtividade, nos termos do art. 7o, inciso XI, da Constituição. Este modelo de remuneração variável, apresenta as seguintes vantagens(Segundo o Prof. Jean Pierre Marras – 2007 – p.273): ü Incentiva a busca da qualidade total XXVIII
  • 29.
    ü Otimiza a produtividade; ü Alavanca uma redução geométrica dos custos; ü Reforça os valores culturais do grupos; ü Incentiva a participação individual e grupal. Podemos exemplificar um modelo com base nos seguintes objetivos: ü Faturar no ano seguinte 1 milhão de dólares; Estabelecido em comitê entre os empregados, sindicato que a empresa distribuirá o percentual de 50% do faturamento superior ao estimado aos empregados, e a partir de então baseado nas regras acordadas serão distribuída esses valores aos participantes do plano. Digamos que no acordo foi estabelecido o seguinte: ü Metas de vendas terá um peso de 50% ü Metas de redução de custo, peso de 20% ü Metas de melhoria da qualidade, peso 10% ü Metas de Produtividade, peso de 10% ü Metas individuais, peso de 10%. 7. ESTRUTURA SALARIAL Segundo o Prof. Jean Pierre Marras “É um conjunto formado por diversas faixas salariais, agrupando cargo com avaliações próximas, contemplando no interior de sua estrutura valores salariais calculados e desenhados matematicamente, para atender a uma pol´tica previamente definida. 8. CONCLUSÃO Um plano de cargos e salários, é um método de organizar de forma ordenada, baseado em estudos técnicos e matemáticos, com o objetivo de remunerar pessoas sob um único critério, XXIX
  • 30.
    conhecidos e aceitospelos membros da empresa como um sistema justo de remunerar e compensar, resultando como um dos fatores mais importante e estratégico de uma empresa. Bibliografia Robert McLean, Performance Measures in The New Economy (The premier´s Council of Ontario, Canada, 1995) (Gestão Estratégica de Pessoas com “Scorecard” – Ed.Campus) Jean Pierre Marras, Administração de Recursos Humanos – 12ª edição - Do operacional ao estratégico.Edito Futura. Benedito Rodrigues Pontes – Administração de Cargos e Salários – Ltr, 1987. Beverly Glen Zimpeck – Administração de Salários – 7ª edição – Editora Atlas. Isaías Jatobá de Araújo – Sistema JobDescriptor - 2007 – V.1.00.00 – Osasco – SP. ijaraujo@globo.com. XXX
  • 31.
  • 32.
  • 33.
  • 34.
  • 35.
  • 36.
  • 37.
  • 38.
  • 39.
  • 40.
  • 41.
  • 42.