Incorporar apresentação
Baixado 114 vezes

![• Na definição de integral definida, consideramos
a função a ser integrada, contínua num intervalo
fechado e limitado. Agora, estenderemos esta
definição para os seguintes casos:
Funções definidas em intervalos do tipo [a,+∞),
(− ∞, b] ou (− ∞,+∞).
A função a ser integrada é descontínua em um
ponto c tal que c ∈ [a, b].](https://image.slidesharecdn.com/integraisimprprias-120529134921-phpapp02/85/Integrais-improprias-2-320.jpg)










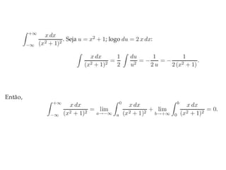
Integrais impróprias estendem a definição de integral definida para funções definidas em intervalos sem limite superior ou inferior ou descontínuas em um ponto. São úteis em diversas áreas como equações diferenciais e estatística. Podem ser convergentes se o limite existir ou divergentes caso contrário.

![• Na definição de integral definida, consideramos
a função a ser integrada, contínua num intervalo
fechado e limitado. Agora, estenderemos esta
definição para os seguintes casos:
Funções definidas em intervalos do tipo [a,+∞),
(− ∞, b] ou (− ∞,+∞).
A função a ser integrada é descontínua em um
ponto c tal que c ∈ [a, b].](https://image.slidesharecdn.com/integraisimprprias-120529134921-phpapp02/85/Integrais-improprias-2-320.jpg)









