ACETILCOLINA
ACETILCOLINA Neurotransmissor utilizado pelos neurônios que inervam os  Muscúlos -  junção neuromeucular  ->   contração = ação  periférica Ação Central = Funções cognitivas (aprendizagem e memória), Atenção (vigília) e Ciclo  do sono REM Nos núcleos da base – relação DA/Ach na modulação dos  movimentos
Sínteses Colina – compilada por um transportador +Acetato. Corpo celular – produçao de colina acetiltransferase (ChAT)  ->  botão Axônico = transfere o acetato para a colina = Acetilcolina – armazenada  na vesícula
Após liberação nas sinapses, podem ser: A – Ocupar o receptor B – Recaptados através de uma bomba C – Desativados pela acetilcolinesterase em acetil + colina.
 
ROTAS DO SISTEMA ACETILCOLINA 1º ROTA = Parte do sistema de Ativação Reticular Área  Tegmentar   ->  Tálamo (SRAA)  excitatório e de vigília
2º ROTA –Regulação do ritmo de disparos do  hipocampo pelo núcleo septal Núcleo Septal  Hipocampo Fórn i x
 
3º ROTA Complexo Frontocerebral =  Membro Vertical da banda diagonal de Broca Membro  Horizontal da banda diagonal de Broca Núcleo Basal de  Meynert  Córtex  Corpo Amigdalóide
5º ROTA – Equilíbrio Neurônios de Ach Projetam-se para o nervo vestíbulo  Coclear.
Rota Antiparkinsoniana – inter neurônios no  neo-estriado As  causas  das  atividades  motoras anormais que se traduzem na enfermidade de  Parkinson se relacionam com a perda da secreção de dopamina pelas terminações nervosas da substancia negra sobre  o neoestriado (trato nigroestriatal) o que  deixa de  inibi-lo. Desta forma, predominam os neurônios que segregam acetilcolina, enviando sinais excitatórios s todos os núcleos da base, responsáveis em conjunto, pelo planejamento motor.
 
 
DISTRIBUIÇÃO Em todo o cérebro, principalmente em locais importantes para  a cognição –  núcleos septais e basais com projeção para o  hipocampo e  córtex cerebral. Mesencéfalo – com projeção para os gânglios basais, tálamo Diencéfalo, ponte, cerebelo, núcleos dos nervos cranianos,  formação reticular ascendente
Existem 2 tipos de receptores colinérgicos (muscarinicos e nicotinicos). Em  certas regiões apenas o subtipo muscarinicos é encontrado (tronco cerebral e diencéfalo), enquanto em outras regiões substancia negra, locus coeruleus  e septum  somente os receptores nicotínicos são achados Os dois subtipos  são encontrados no corpo striatum, córtex cerebral, hipocampo, tálamo,  hipotálamo e cerebelo
RECEPTORES NICOTÍNICOS – IONOTRÓPICOS Ach + Receptor = Abertura de canal iônico  -> Potencial de  Ação É um dos principais mediatores da neurotransmição.  Ativado pelo emparelhamento de duas moléculas de Ach. Composto de cinco sub-unidades - 2 alfas, 1 beta,  1 gama e 1 delta.
RECEPTORES NICOTÍNICOS – IONOTRÓPICOS Ach + Receptor = Aberetura de canal iônico  -> Potencial de  ação
RECEPTORES MUSCARÍNICOS - METABOTRÓPICOS Classificação – subtipos M1-M5.  Os receptors M1 são distribuídos extensamente em todos os neurônios do sistema nervoso central.  Quando acoplado às proteínas G o subtipo  M1, M3 e M5 têm  um efeito excitatório na  neurotransmição  e nos tecidos alvo, Os subtipos M2 e M4 são inibidores  Os receptores M1 são os mais abundantes  Quando ocupados pela Ach uma série de sinais via 2º  mensageiro leva a um aumento de AdenilçCiclase e  Fosforilação dos canais de K com sua abertura e propagação  do impulso nervoso
 
No cérebro e Sistema Nervoso Autônomo os receptores  nicotínicos podem ser ligar aos receptores Muscarínicos  ->  estimulam Proteina G -> série de Efeitos. Neurônios = mais responsivos aos estímulos = aumento do estado de alerta
 
 
AS CATECOLAMINAS DOPAMINA NORADRENALINA ADRENALINA (+ s.n.p)
 
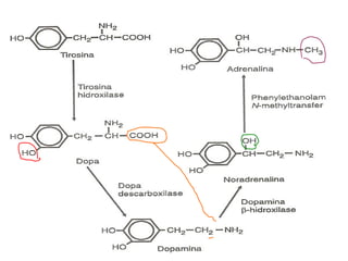
DOPAMINA Primeiro produto sintetizado depois da Tirosina Relacionado ao comportamento motor e a ação Dopamina esgotada = perda da capacidade de planejar e iniciar  movimentos
ROTAS OU SUBSISTEMAS Local comum = área Tegmentar Ventral
1º ROTA  –  Nigroestriatal  Substancia negra   Caudado e Putamem Perda de DA nesta rota – sindrome de parkinson – (rigidez Muscular, bradicinesia) 2º ROTA – Mesolímbica e Mesocortical Área tegmentar ventral   feixe frontocerebral mediano  ......................... 1- Córtex temporo límbico (amigdala e hipocampo) 2 – Córtex Prefrotal   Córtex –  geralmente na camada  mais superficial Mais importante = motor primário No córtex somatosensorial = 0 (NE) Córtex Occipital = alguma Dopamina Córtex parietal e Temporal = projeções substanciais
3º ROTA –  Área Tegmentar Ventral  estriado central Circuito de recompensa – ligado a dependência à drogas   4º ROTA – Túbero-infundibular =  menor rota Hipotálamo  Hipófise  - DA inibe a produção de prolactina 5º ROTA -  Área Tegmentar Ventral  vermis cerebelar Vermis responsável pela coordenação entre o movimento e  Emoção
AÇÃO DOS ANTIPSICÓTICOS 1º GERAÇÃO Quando em mesolímbica  DIMINUIÇÃO DOS SINTOMAS PSICÓTICOS Quando em via nigroestriatal  sintomas extrapiramidais Quando em via túberoinfudibular  prolactinemia  Quando em via mesocortical  apatia, hipopraxia,
 
 
 
 
RECEPTORES DE DOPAMINA 5 Subtipos divididos em 2 famílias Família D1 = D1 eD5 – ligados a proteina G  Adenil Ciclase + Família D2,D3,D4 – ligados a proteina que  Adenil Ciclase -   Localização D1 e D2 no neoestriado predominantemente D3 no núcleo accubens (+ sensível) D1 e D4 no córtex D5 no Hipocampo
 
 
 
 
 
A ação da dopamina cessa na sinapse quando a mesma é  recaptada através da membrana pre-sinaptica.  Este é um processo dependente de energia (bomba de Na/K) Que criam um gradiente de concentração dos íons através da membrana pre-sinaptica abrindo o  transporte e co-transportam de Sódio, Cloreto e  Dopamina.  Os íons de Potássio que se  ligam ao transporter permitem-no de retornar à posição externa.  A liberação dos íons do Potássio na fenda sináptica equilibra o  gradiente iônico através da membrana pre-sináptica. O transportador de recaptação de DA está então disponível para Se ligar a  uma outra molécula de dopamine para sua  recaptação.
 
NOREPINEFRINA
NOREPINEFRINA – Formação Reticular – Bulbo e Ponte Nasce no  locus ceruleus  Projeções para todo cérebro descem a medula espinhal  - sinapse em neurônios sensoriais da pele e dos órgãos internos. Efeito sobre quase todas as regiões cerebrais Mais denso no córtex somatosensorial primário  Locus Cerúleos  projeções intensa para os lobos frontais Locus Cerúleos  Lobo Temporal Lócus ceruleus  Fornix – Hipocampo  Lócus ceruleus  Estria terminais -  Corpo amigdalóide Lócus ceruleus  Rafe Dorsal – corpos celulares de  Serotonina  Lócus ceruleus  Ponte e Cerebelo
Também encontrada perifericamente no SNS Os neurônios do locus ceruleus não se comunicam diretamente com a IML Caudalmente ao Locus Ceruleus existe um outro grupo de células de NE  medula espinhal - coluna celular Intermédio  Lateral da Medula Espinhal(IML) – influência  sobre o SNS HIPOTÁLAMO – regulação hormonal coluna celular Intermédio Lateral da Medula Espinhal
 
 
 
RECEPTORES Diversidade de receptores, todos metabotrópicos divididos em  Categorias  α   e  β Os receptores  α 1 e  β  são encontrados nos receptores pós  Sinápticos Os receptores  α 2  são encontrados tanto pré como pós sináptico.  Presinapticamente, quando  + =  diminuição dos  disparos no  Locus Cereleus
 
Durante o sono  o Locus Ceruleus desliga Quando acordado  o Locus Ceruleus dispara em ritmo lento Se aparece um estímulo novo  +  torrente de P. Ação Se o estímulo = repetitivo e s/ significado = para de disparar Em situações do cotidiano = L.C diminui os disparos Se aparece um predador = L.C aumenta os disparos  ( + vigorosos)
Atividade do Locus Ceruleus  - relação em forma de U com a  Atenção - Usher e Aston-Jones Em níveis muito baixo de  atividade tônica do L.C – ANIMAL = SEDADO, DESATENTO, NÃO RESPONSIVO AO ½ AMBIENTE Em níveis  moderados de atividade N.E  - ANIMAL = ALERTA e o Locus Ceruleus responde vividamente ao ½ AMBIENTE. Em níveis  Altos de atividade do Locus Ceruleus - ANIMAL = Excitado, respondendo a eventos múltiplos e irrelevantes do ½ AMBIENTE
NE melhora a razão entre sinal e ruído para os neurônios –  Atividade básica do neurônio alvejado diminui tornando-se  mais responsivo a estímulos. Parte da atividade da NE pode ajudar a sintonizar os  neurônios para auxiliá-los a processar e priorizar a entrada  de informações sobre o estado atual do mundo L.C  -> CORPO AMIGDALÓIDE E HIPOCAMPO = Papel na  Modulação do medo e da ansiedade e na memória. L.C  -> Córtex = memória de trabalho e função executiva
CONDIÇÕES PARA O PROCESSAMENTO DE UMA SENSAÇÃO 1 – Excitação de um órgão sensorial (receptor) 2 – Transmissão da excitação, através de vias sensitivas, ao centro cortical  ANALISADORES 3 – Recepção pelo centro cortical
 
ESTÍMULO  CÓRTEX TRONCO CEREBRAL  -  ATIVAÇÃO DOS NEURÔNIOS PARAGIGANTOCELULARES MEDULA ESPINHAL – ATIVA IML E SNS - ADRENALINA LOCUS CERULEUS 1º Libera CRF  ->   ACTH   -> MEDULA ADRNAL ->CORTISOL Respondendo a estímulos a luz de planos de longo prazo TRATO SOLITÁRIO = estado biológico  Giro cingulado  HIPOTÁLAMO Córtex Pré-Frontal (+corpo amigadaloide e hipocampo) – acessa memórias antigas sobre o estímulo assim como a sua relevância
 
SEROTONINA – 5-HIDROXI-TRIPTAMINA – 5-HT
Apareceu cedo na evolução e foi conservada nos animais  Superiores Ex: 5-HT influencia a capacidade do  sangussuga nadar e colar-se a um corpo morno Distribuída amplamente no tronco cerebral Três maiores núcleos = Rafe – Dorsal Medial Magnus/Pállidus
1º ROTA Neurônios DA SNc e ATV = influencia a descarga   DA  Rafe Dorsal Córtex  Estriado (caudado  Putame e estriado ventral) Projeções Separadas  Fórnix  Corpo amigdalóide  Estria Terminal  Hipocampo Feixe fronto cerebral mediano
2º ROTA Cerebelo Rafe Medial   Córtex Colículo Superior Entrada  no Hipotálamo – núcleo supraquiasmático (regulação do ritmo circadiano e ciclo sono vigília)
3º ROTA – Rafe Magnus/Pálido   Medula espinhal (modula a entrada sensorial) PORTAL PARA ESTÍMULOS DOLOROSOS Sinapse com neurônios motores – movimento e força nos  reflexos (papel) Sinapse no IML – Papel na saída do SNS
 
 
RECEPTORES Existe um enorme número de receptores –  5-HT1 (A,B,C,D,E,F) – INIBEM ADENIL CICLASE 5-HT2 (A,B,C) – aumentam IP3 e DAG =  5-HT3  – Inotrópico 5-HT4 5-HT5  (A,B) 5-HT6 5-HT7
 
Relação Serotonina/ Noradrenalina/  Dopamina Neurônios NE – modulação da atenção e memória de trabalho +  α 1 pós sinápticos na Rafe Sistema 5HT entre os dois Neurônios DA – modulação do comportamento motor + ATV e SN – liberação de DA
Quando é liberado 5HT no córtex = células corticais ficam  menos sensíveis aos efeitos aos efeitos da NE no input  Sensorial – Papel de decidir o quanto já se gastou de tempo  suficiente em processamento de informações Neurônios 5HT projetam-se também para terminação de  axônios de DA –  EM ALGUMAS SITUAÇÕES INIBE A LIBERAÇÃO DE DA Na medula – 5HT aumenta a excitabilidade dos neurônios  motores através da ativação do sistema DA No Hipotálamo – alimentação, sono e muitas funções  vegetativas
Jeffrey Gray e Neil Mc Vaughton NE-Serotonina = parte de um sistema de inibição  comportamental DA = parte de um sistema de ativação comportamental Comportamento adaptativo depende do equilíbrio entre estes  dois sistemas Serotonina = papel fundamental neste equilíbrio
PEPTÍDEOS Cadeias de AA que podem ser difundidos e agir de e em sítios  distantes. Possuem receptores altamente localizados Possuem efeitos mais prolongados Diversas classes de peptídeos Fator liberador de corticitropina Colecistoquinina – envolvida na digestão (tb em ataques de  pânico?) Opiácios endógenos Substância P Ocitocina
Opiácios Β -Endorfina Encefalina  Encontrados na medula espinha e através do  Dinorfina  cérebro Na medula=  concentrado em áreas de recepção da dor Encefalina e dinorfina – Putame e Caudado  globo pálido  ->  liberados no globo pálido com GABA Receptores: δ  -  delta (encefalinas),  κμ  - kappa (dinorfina), e μ – mu ( Β -Endorfina e morfina)   Todos inibem adenil ciclase
Quanto maior a ativação dos receptores opiáceos no núcleo  acumbens, corpo amigdalóide, cingulado anterior e tálamo  menor a percepção da dor.
Substância P – papel na transmissão do sinais dolorosos e  regulação ao comportamento de apego Putame e caudado  ->  Globo pálido  Em todo cérebro em pequenos interneurônios
OCITOCINA Hipotálamo  -> Hipófise  Quando liberada = lactação, contração uterina em fêmeas  prenhas Relação entre o número e a intensidade de orgasmos e o nível  De ocitocina no plasma (macho e fêmea) Ligado ao comportamento maternal – ratazanas da planície têm mais comportamento maternal e mais ocitocina

CóPia De NeurôNio 5

  • 1.
  • 2.
    ACETILCOLINA Neurotransmissor utilizadopelos neurônios que inervam os Muscúlos - junção neuromeucular -> contração = ação periférica Ação Central = Funções cognitivas (aprendizagem e memória), Atenção (vigília) e Ciclo do sono REM Nos núcleos da base – relação DA/Ach na modulação dos movimentos
  • 3.
    Sínteses Colina –compilada por um transportador +Acetato. Corpo celular – produçao de colina acetiltransferase (ChAT) -> botão Axônico = transfere o acetato para a colina = Acetilcolina – armazenada na vesícula
  • 4.
    Após liberação nassinapses, podem ser: A – Ocupar o receptor B – Recaptados através de uma bomba C – Desativados pela acetilcolinesterase em acetil + colina.
  • 5.
  • 6.
    ROTAS DO SISTEMAACETILCOLINA 1º ROTA = Parte do sistema de Ativação Reticular Área Tegmentar -> Tálamo (SRAA) excitatório e de vigília
  • 7.
    2º ROTA –Regulaçãodo ritmo de disparos do hipocampo pelo núcleo septal Núcleo Septal Hipocampo Fórn i x
  • 8.
  • 9.
    3º ROTA ComplexoFrontocerebral = Membro Vertical da banda diagonal de Broca Membro Horizontal da banda diagonal de Broca Núcleo Basal de Meynert Córtex Corpo Amigdalóide
  • 10.
    5º ROTA –Equilíbrio Neurônios de Ach Projetam-se para o nervo vestíbulo Coclear.
  • 11.
    Rota Antiparkinsoniana –inter neurônios no neo-estriado As causas das atividades motoras anormais que se traduzem na enfermidade de Parkinson se relacionam com a perda da secreção de dopamina pelas terminações nervosas da substancia negra sobre o neoestriado (trato nigroestriatal) o que deixa de inibi-lo. Desta forma, predominam os neurônios que segregam acetilcolina, enviando sinais excitatórios s todos os núcleos da base, responsáveis em conjunto, pelo planejamento motor.
  • 12.
  • 13.
  • 14.
    DISTRIBUIÇÃO Em todoo cérebro, principalmente em locais importantes para a cognição – núcleos septais e basais com projeção para o hipocampo e córtex cerebral. Mesencéfalo – com projeção para os gânglios basais, tálamo Diencéfalo, ponte, cerebelo, núcleos dos nervos cranianos, formação reticular ascendente
  • 15.
    Existem 2 tiposde receptores colinérgicos (muscarinicos e nicotinicos). Em certas regiões apenas o subtipo muscarinicos é encontrado (tronco cerebral e diencéfalo), enquanto em outras regiões substancia negra, locus coeruleus e septum somente os receptores nicotínicos são achados Os dois subtipos são encontrados no corpo striatum, córtex cerebral, hipocampo, tálamo, hipotálamo e cerebelo
  • 16.
    RECEPTORES NICOTÍNICOS –IONOTRÓPICOS Ach + Receptor = Abertura de canal iônico -> Potencial de Ação É um dos principais mediatores da neurotransmição. Ativado pelo emparelhamento de duas moléculas de Ach. Composto de cinco sub-unidades - 2 alfas, 1 beta, 1 gama e 1 delta.
  • 17.
    RECEPTORES NICOTÍNICOS –IONOTRÓPICOS Ach + Receptor = Aberetura de canal iônico -> Potencial de ação
  • 18.
    RECEPTORES MUSCARÍNICOS -METABOTRÓPICOS Classificação – subtipos M1-M5. Os receptors M1 são distribuídos extensamente em todos os neurônios do sistema nervoso central. Quando acoplado às proteínas G o subtipo M1, M3 e M5 têm um efeito excitatório na neurotransmição e nos tecidos alvo, Os subtipos M2 e M4 são inibidores Os receptores M1 são os mais abundantes Quando ocupados pela Ach uma série de sinais via 2º mensageiro leva a um aumento de AdenilçCiclase e Fosforilação dos canais de K com sua abertura e propagação do impulso nervoso
  • 19.
  • 20.
    No cérebro eSistema Nervoso Autônomo os receptores nicotínicos podem ser ligar aos receptores Muscarínicos -> estimulam Proteina G -> série de Efeitos. Neurônios = mais responsivos aos estímulos = aumento do estado de alerta
  • 21.
  • 22.
  • 23.
    AS CATECOLAMINAS DOPAMINANORADRENALINA ADRENALINA (+ s.n.p)
  • 24.
  • 25.
    DOPAMINA Primeiro produtosintetizado depois da Tirosina Relacionado ao comportamento motor e a ação Dopamina esgotada = perda da capacidade de planejar e iniciar movimentos
  • 26.
    ROTAS OU SUBSISTEMASLocal comum = área Tegmentar Ventral
  • 27.
    1º ROTA – Nigroestriatal Substancia negra Caudado e Putamem Perda de DA nesta rota – sindrome de parkinson – (rigidez Muscular, bradicinesia) 2º ROTA – Mesolímbica e Mesocortical Área tegmentar ventral feixe frontocerebral mediano ......................... 1- Córtex temporo límbico (amigdala e hipocampo) 2 – Córtex Prefrotal Córtex – geralmente na camada mais superficial Mais importante = motor primário No córtex somatosensorial = 0 (NE) Córtex Occipital = alguma Dopamina Córtex parietal e Temporal = projeções substanciais
  • 28.
    3º ROTA – Área Tegmentar Ventral estriado central Circuito de recompensa – ligado a dependência à drogas 4º ROTA – Túbero-infundibular = menor rota Hipotálamo Hipófise - DA inibe a produção de prolactina 5º ROTA - Área Tegmentar Ventral vermis cerebelar Vermis responsável pela coordenação entre o movimento e Emoção
  • 29.
    AÇÃO DOS ANTIPSICÓTICOS1º GERAÇÃO Quando em mesolímbica DIMINUIÇÃO DOS SINTOMAS PSICÓTICOS Quando em via nigroestriatal sintomas extrapiramidais Quando em via túberoinfudibular prolactinemia Quando em via mesocortical apatia, hipopraxia,
  • 30.
  • 31.
  • 32.
  • 33.
  • 34.
    RECEPTORES DE DOPAMINA5 Subtipos divididos em 2 famílias Família D1 = D1 eD5 – ligados a proteina G Adenil Ciclase + Família D2,D3,D4 – ligados a proteina que Adenil Ciclase - Localização D1 e D2 no neoestriado predominantemente D3 no núcleo accubens (+ sensível) D1 e D4 no córtex D5 no Hipocampo
  • 35.
  • 36.
  • 37.
  • 38.
  • 39.
  • 40.
    A ação dadopamina cessa na sinapse quando a mesma é recaptada através da membrana pre-sinaptica. Este é um processo dependente de energia (bomba de Na/K) Que criam um gradiente de concentração dos íons através da membrana pre-sinaptica abrindo o transporte e co-transportam de Sódio, Cloreto e Dopamina. Os íons de Potássio que se ligam ao transporter permitem-no de retornar à posição externa. A liberação dos íons do Potássio na fenda sináptica equilibra o gradiente iônico através da membrana pre-sináptica. O transportador de recaptação de DA está então disponível para Se ligar a uma outra molécula de dopamine para sua recaptação.
  • 41.
  • 42.
  • 43.
    NOREPINEFRINA – FormaçãoReticular – Bulbo e Ponte Nasce no locus ceruleus Projeções para todo cérebro descem a medula espinhal - sinapse em neurônios sensoriais da pele e dos órgãos internos. Efeito sobre quase todas as regiões cerebrais Mais denso no córtex somatosensorial primário Locus Cerúleos projeções intensa para os lobos frontais Locus Cerúleos Lobo Temporal Lócus ceruleus Fornix – Hipocampo Lócus ceruleus Estria terminais - Corpo amigdalóide Lócus ceruleus Rafe Dorsal – corpos celulares de Serotonina Lócus ceruleus Ponte e Cerebelo
  • 44.
    Também encontrada perifericamenteno SNS Os neurônios do locus ceruleus não se comunicam diretamente com a IML Caudalmente ao Locus Ceruleus existe um outro grupo de células de NE medula espinhal - coluna celular Intermédio Lateral da Medula Espinhal(IML) – influência sobre o SNS HIPOTÁLAMO – regulação hormonal coluna celular Intermédio Lateral da Medula Espinhal
  • 45.
  • 46.
  • 47.
  • 48.
    RECEPTORES Diversidade dereceptores, todos metabotrópicos divididos em Categorias α e β Os receptores α 1 e β são encontrados nos receptores pós Sinápticos Os receptores α 2 são encontrados tanto pré como pós sináptico. Presinapticamente, quando + = diminuição dos disparos no Locus Cereleus
  • 49.
  • 50.
    Durante o sono o Locus Ceruleus desliga Quando acordado o Locus Ceruleus dispara em ritmo lento Se aparece um estímulo novo + torrente de P. Ação Se o estímulo = repetitivo e s/ significado = para de disparar Em situações do cotidiano = L.C diminui os disparos Se aparece um predador = L.C aumenta os disparos ( + vigorosos)
  • 51.
    Atividade do LocusCeruleus - relação em forma de U com a Atenção - Usher e Aston-Jones Em níveis muito baixo de atividade tônica do L.C – ANIMAL = SEDADO, DESATENTO, NÃO RESPONSIVO AO ½ AMBIENTE Em níveis moderados de atividade N.E - ANIMAL = ALERTA e o Locus Ceruleus responde vividamente ao ½ AMBIENTE. Em níveis Altos de atividade do Locus Ceruleus - ANIMAL = Excitado, respondendo a eventos múltiplos e irrelevantes do ½ AMBIENTE
  • 52.
    NE melhora arazão entre sinal e ruído para os neurônios – Atividade básica do neurônio alvejado diminui tornando-se mais responsivo a estímulos. Parte da atividade da NE pode ajudar a sintonizar os neurônios para auxiliá-los a processar e priorizar a entrada de informações sobre o estado atual do mundo L.C -> CORPO AMIGDALÓIDE E HIPOCAMPO = Papel na Modulação do medo e da ansiedade e na memória. L.C -> Córtex = memória de trabalho e função executiva
  • 53.
    CONDIÇÕES PARA OPROCESSAMENTO DE UMA SENSAÇÃO 1 – Excitação de um órgão sensorial (receptor) 2 – Transmissão da excitação, através de vias sensitivas, ao centro cortical ANALISADORES 3 – Recepção pelo centro cortical
  • 54.
  • 55.
    ESTÍMULO CÓRTEXTRONCO CEREBRAL - ATIVAÇÃO DOS NEURÔNIOS PARAGIGANTOCELULARES MEDULA ESPINHAL – ATIVA IML E SNS - ADRENALINA LOCUS CERULEUS 1º Libera CRF -> ACTH -> MEDULA ADRNAL ->CORTISOL Respondendo a estímulos a luz de planos de longo prazo TRATO SOLITÁRIO = estado biológico Giro cingulado HIPOTÁLAMO Córtex Pré-Frontal (+corpo amigadaloide e hipocampo) – acessa memórias antigas sobre o estímulo assim como a sua relevância
  • 56.
  • 57.
  • 58.
    Apareceu cedo naevolução e foi conservada nos animais Superiores Ex: 5-HT influencia a capacidade do sangussuga nadar e colar-se a um corpo morno Distribuída amplamente no tronco cerebral Três maiores núcleos = Rafe – Dorsal Medial Magnus/Pállidus
  • 59.
    1º ROTA NeurôniosDA SNc e ATV = influencia a descarga DA Rafe Dorsal Córtex Estriado (caudado Putame e estriado ventral) Projeções Separadas Fórnix Corpo amigdalóide Estria Terminal Hipocampo Feixe fronto cerebral mediano
  • 60.
    2º ROTA CerebeloRafe Medial Córtex Colículo Superior Entrada no Hipotálamo – núcleo supraquiasmático (regulação do ritmo circadiano e ciclo sono vigília)
  • 61.
    3º ROTA –Rafe Magnus/Pálido Medula espinhal (modula a entrada sensorial) PORTAL PARA ESTÍMULOS DOLOROSOS Sinapse com neurônios motores – movimento e força nos reflexos (papel) Sinapse no IML – Papel na saída do SNS
  • 62.
  • 63.
  • 64.
    RECEPTORES Existe umenorme número de receptores – 5-HT1 (A,B,C,D,E,F) – INIBEM ADENIL CICLASE 5-HT2 (A,B,C) – aumentam IP3 e DAG = 5-HT3 – Inotrópico 5-HT4 5-HT5 (A,B) 5-HT6 5-HT7
  • 65.
  • 66.
    Relação Serotonina/ Noradrenalina/ Dopamina Neurônios NE – modulação da atenção e memória de trabalho + α 1 pós sinápticos na Rafe Sistema 5HT entre os dois Neurônios DA – modulação do comportamento motor + ATV e SN – liberação de DA
  • 67.
    Quando é liberado5HT no córtex = células corticais ficam menos sensíveis aos efeitos aos efeitos da NE no input Sensorial – Papel de decidir o quanto já se gastou de tempo suficiente em processamento de informações Neurônios 5HT projetam-se também para terminação de axônios de DA – EM ALGUMAS SITUAÇÕES INIBE A LIBERAÇÃO DE DA Na medula – 5HT aumenta a excitabilidade dos neurônios motores através da ativação do sistema DA No Hipotálamo – alimentação, sono e muitas funções vegetativas
  • 68.
    Jeffrey Gray eNeil Mc Vaughton NE-Serotonina = parte de um sistema de inibição comportamental DA = parte de um sistema de ativação comportamental Comportamento adaptativo depende do equilíbrio entre estes dois sistemas Serotonina = papel fundamental neste equilíbrio
  • 69.
    PEPTÍDEOS Cadeias deAA que podem ser difundidos e agir de e em sítios distantes. Possuem receptores altamente localizados Possuem efeitos mais prolongados Diversas classes de peptídeos Fator liberador de corticitropina Colecistoquinina – envolvida na digestão (tb em ataques de pânico?) Opiácios endógenos Substância P Ocitocina
  • 70.
    Opiácios Β -EndorfinaEncefalina Encontrados na medula espinha e através do Dinorfina cérebro Na medula= concentrado em áreas de recepção da dor Encefalina e dinorfina – Putame e Caudado globo pálido -> liberados no globo pálido com GABA Receptores: δ - delta (encefalinas), κμ - kappa (dinorfina), e μ – mu ( Β -Endorfina e morfina) Todos inibem adenil ciclase
  • 71.
    Quanto maior aativação dos receptores opiáceos no núcleo acumbens, corpo amigdalóide, cingulado anterior e tálamo menor a percepção da dor.
  • 72.
    Substância P –papel na transmissão do sinais dolorosos e regulação ao comportamento de apego Putame e caudado -> Globo pálido Em todo cérebro em pequenos interneurônios
  • 73.
    OCITOCINA Hipotálamo -> Hipófise Quando liberada = lactação, contração uterina em fêmeas prenhas Relação entre o número e a intensidade de orgasmos e o nível De ocitocina no plasma (macho e fêmea) Ligado ao comportamento maternal – ratazanas da planície têm mais comportamento maternal e mais ocitocina