AMI OÁCIDOS
EE
PEPTÍDEOS
Todas as proteínas encontradas nos seres vivos são formadas por
L-aminoácidos.
Os D-aa aparecem somente em alguns antibióticos e em paredes de
células bacterianas.
Quanto ao destino metabólico os aminoácidos podem ser:
Glicogênicos
Glicocetogênicos
Aminoácidos Essenciais: São aqueles que
obrigatoriamente têm de ser fornecidos na dieta, pois os
animais não conseguem sintetizá-los.
Para humanos, suínos e peixes: Fenilalanina, valina,
treonina, triptofano, isoleucina, metionina, histidina,
É importante ressaltar que, para os vegetais, todos os aminoácidos são não essenciais.É importante ressaltar que, para os vegetais, todos os aminoácidos são não essenciais.
Classificar um aminoácido em não essencial ou essencial depende da espécie estudada;Classificar um aminoácido em não essencial ou essencial depende da espécie estudada;
assim um certo aminoácido pode ser essencial para um animal e não essencial paraassim um certo aminoácido pode ser essencial para um animal e não essencial para
outro.outro.
treonina, triptofano, isoleucina, metionina, histidina,
arginina, lisina, leucina.
Ruminantes: “sintetizam” todos os aas que necessitam
devido à simbiose com as bactérias ruminais.
Para aves: Fenilalanina, valina, treonina,
triptofano, isoleucina, metionina, histidina,
arginina, lisina, leucina, glicina, prolina.
“A qualidade protéica dos alimentos, ao contrário
do que se pensa, não se mede pela porcentagem
de proteína deste alimento e sim pela quantidade,de proteína deste alimento e sim pela quantidade,
qualidade e disposição dos aminoácidos
na cadeia protéica.”
Outros aminoácidos, além dos 20 codificados geneticamente, podem ocorrer em proteínas e peptídeos
biologicamente ativos, ou como aminoácidos ou derivados livres.
Esses aminoácidos são produzidos enzimaticamente, por modificação pós-tradução de um dos 20
aminoácidos clássicos. Exemplos:
eurotransmissores:
- GABA (Ác.γ-aminobutírico)
-OOC-CH2-CH2-CH2- NH3
+
- 3-hidroxi-prolina
- 4 hidroxi-prolina
(colágeno)
- 3-metil-histidina (actina)
- Ac. γ-carboxi-glutâmico
(protrombina e fatores da
coagulação)
- Glutamato
-OOC-CH2-CH2-CH- COO-
NH3
+
l
Os aminoácidos desempenham outras funções biológicas
além de serem constituintes das proteínas:
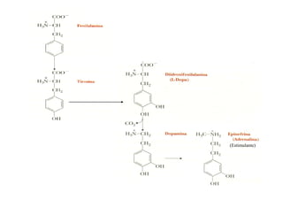
Derivados da arginina e intermediários do ciclo da uréia, uma série de
reações de importância fundamental no uso do nitrogênio pelos
organismos vivos.
(Sedativo e calmante)
(Estimulante)
PEPTÍDEOS
Conceito: são compostos resultantes de união entre dois ou mais aminoácidos.
Esta união se dá entre o grupo carboxila de um aminoácido com o grupo
amina do outro aminoácido, ocorrendo liberação de uma molécula de água
(Reação de Condensação).
A ligação que une dois aminoácidos, denomina-se ligação peptídica ou
amídica.
Nota - O número de ligações peptídicas existentes numa seqüência de aminoácidos, será
sempre o número de aminoácidos que formam a cadeia, menos 1.
PEPTÍDEOS
Classificação: é feita de acordo com o número de
aminoácidos.
2 aminoácídos - dipeptídeo
3 aminoácídos - tripeptídeo
4 aminoácidos - tetrapeptídeo
n aminoácidos – oligo ou polipeptídeon aminoácidos – oligo ou polipeptídeo
Obs: Geralmente, usamos o termo proteína para
designar certas moléculas com um número superior a
100 aminoácidos.
PEPTÍDEOS
Funções: Os peptídeos são extremamente diversificados
em termos funcionais. Muitos atuam como hormônios ou
fatores liberadores destes, enquanto outros são
neuropeptídeos, neurotransmissores, toxinas, antibióticos
naturais, adoçantes ou substratos de proteases.
Exemplos de hormônios peptídicos:
Aminoacidosepeptideos

Aminoacidosepeptideos

  • 1.
  • 3.
    Todas as proteínasencontradas nos seres vivos são formadas por L-aminoácidos. Os D-aa aparecem somente em alguns antibióticos e em paredes de células bacterianas.
  • 5.
    Quanto ao destinometabólico os aminoácidos podem ser: Glicogênicos Glicocetogênicos
  • 6.
    Aminoácidos Essenciais: Sãoaqueles que obrigatoriamente têm de ser fornecidos na dieta, pois os animais não conseguem sintetizá-los. Para humanos, suínos e peixes: Fenilalanina, valina, treonina, triptofano, isoleucina, metionina, histidina, É importante ressaltar que, para os vegetais, todos os aminoácidos são não essenciais.É importante ressaltar que, para os vegetais, todos os aminoácidos são não essenciais. Classificar um aminoácido em não essencial ou essencial depende da espécie estudada;Classificar um aminoácido em não essencial ou essencial depende da espécie estudada; assim um certo aminoácido pode ser essencial para um animal e não essencial paraassim um certo aminoácido pode ser essencial para um animal e não essencial para outro.outro. treonina, triptofano, isoleucina, metionina, histidina, arginina, lisina, leucina. Ruminantes: “sintetizam” todos os aas que necessitam devido à simbiose com as bactérias ruminais. Para aves: Fenilalanina, valina, treonina, triptofano, isoleucina, metionina, histidina, arginina, lisina, leucina, glicina, prolina.
  • 7.
    “A qualidade protéicados alimentos, ao contrário do que se pensa, não se mede pela porcentagem de proteína deste alimento e sim pela quantidade,de proteína deste alimento e sim pela quantidade, qualidade e disposição dos aminoácidos na cadeia protéica.”
  • 8.
    Outros aminoácidos, alémdos 20 codificados geneticamente, podem ocorrer em proteínas e peptídeos biologicamente ativos, ou como aminoácidos ou derivados livres. Esses aminoácidos são produzidos enzimaticamente, por modificação pós-tradução de um dos 20 aminoácidos clássicos. Exemplos: eurotransmissores: - GABA (Ác.γ-aminobutírico) -OOC-CH2-CH2-CH2- NH3 + - 3-hidroxi-prolina - 4 hidroxi-prolina (colágeno) - 3-metil-histidina (actina) - Ac. γ-carboxi-glutâmico (protrombina e fatores da coagulação) - Glutamato -OOC-CH2-CH2-CH- COO- NH3 + l
  • 9.
    Os aminoácidos desempenhamoutras funções biológicas além de serem constituintes das proteínas: Derivados da arginina e intermediários do ciclo da uréia, uma série de reações de importância fundamental no uso do nitrogênio pelos organismos vivos.
  • 11.
  • 12.
  • 13.
    PEPTÍDEOS Conceito: são compostosresultantes de união entre dois ou mais aminoácidos. Esta união se dá entre o grupo carboxila de um aminoácido com o grupo amina do outro aminoácido, ocorrendo liberação de uma molécula de água (Reação de Condensação). A ligação que une dois aminoácidos, denomina-se ligação peptídica ou amídica. Nota - O número de ligações peptídicas existentes numa seqüência de aminoácidos, será sempre o número de aminoácidos que formam a cadeia, menos 1.
  • 14.
    PEPTÍDEOS Classificação: é feitade acordo com o número de aminoácidos. 2 aminoácídos - dipeptídeo 3 aminoácídos - tripeptídeo 4 aminoácidos - tetrapeptídeo n aminoácidos – oligo ou polipeptídeon aminoácidos – oligo ou polipeptídeo Obs: Geralmente, usamos o termo proteína para designar certas moléculas com um número superior a 100 aminoácidos.
  • 16.
    PEPTÍDEOS Funções: Os peptídeossão extremamente diversificados em termos funcionais. Muitos atuam como hormônios ou fatores liberadores destes, enquanto outros são neuropeptídeos, neurotransmissores, toxinas, antibióticos naturais, adoçantes ou substratos de proteases.
  • 18.