1
                                        AULA: TECNOLOGIA DE ÓLEOS E DERIVADOS:

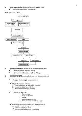
1   1. INTRODUÇÃO

    Óleos e gorduras são importantes na dieta e na elaboração de alimentos

    Principais funções
            Fonte de energia= 9 kcal/ g
            Fonte de ácidos graxos essenciais
            Transporte de vitaminas lipossolúveis
            Transmite sensação de saciedade alimentar
            Agrega palatabilidade e estrutura aos alimentos

    Estão presentes em:
            Carnes e pescado
            Leite e derivados
            Frutos secos
            Cereais

    Para ser extraído do alimento precisa estar presente em no mínimo 12% da matéria-prima.

    Matéria-prima oleaginosa                              Conteúdo de óleo (%)
    Babaçu                                                60-65
    Gergelim                                              50-55
    Polpa de Palma (Dendê)                                45-50
    Amendoim                                              45 –50
    Colza (Canola)                                        40-45
    Girassol                                              35-45
    Oliva                                                 25-30
    Algodão                                               18-20
    Soja                                                  18-20

        2     ESTRUTURA E COMPOSIÇÃO DOS ÓLEOS E GORDURAS
    2.1        O QUE SÃO ÓLEOS E GORDURAS?
    São substâncias insolúveis em água, solúveis em solventes orgânicos de origem vegetal ou animal, constituídas
    predominantemente de ésteres de ácidos graxos e glicerol, também chamados de glicerídeos.
    São os principais constituintes do grupo de substâncias conhecidas como LIPÍDEOS:
           Lipídeos simples: óleos e gorduras
           Lipídeos compostos: adicionados de outras substâncias nos glicerídeos (fosfolipídios – lecitina)
           Lipídeos derivados: substancia obtidas pela hidrólise dos lipídeos compostos

    2.2 FUNÇÕES ALIMENTÍCIAS BÁSICAS
    lubricidade    Óleos líquidos e parcialmente hidrogenados                         Molhos, maionese, margarinas,
    aeração        Formação de emulsão com o ar, obtida com óleos                     Cremes, e sorvetes, biscoitos e
                   parcialmente hidrogenados                                          bolos
    estrutural     Fornecer sólidos cristalinos, depende do tipo e                    Margarinas, pães, tortas, folhados
                   intensidade da hidrogenação, obtida com misturas de
                   óleos líquidos e parcialmente hidrogenados
    Barreira de    Característica intrínseca de lipídios, insolubilidade em           Folhados
    umidade        água
    Meio de troca  Aquecimento até 180°C                                              Produtos fritos
    térmica
2
                                         CLASSIFICAÇÃO DOS LIPÍDIOS


                                                   LIPÍDIOS
                                 compostos encontrados nos organismos vivos
                             insolúveis em água, solúveis em compostos orgãnicos
                                    composoçao estrutural: C, H O (P, N , S)


                            Simples                                  Composto                   Derivado


       Óleos e gorduras                     Ceras                  Fosfolipídios              ácidos graxos
          Glicerídios                                              Glicolipídios                 alcoóis
                                                                   sulfolipídios          hidrocarbonetos, etc.




2.3     ÓLEOS x GORDURAS : QUAL A DIFERENÇA???

ÓLEOS x GORDURAS: distinguem-se, relativamente à temperatura, apenas pelo estado físico, os óleos são líquidos
e as gorduras são sólidas ou pastosas. Estabeleceu-se a T de 20°C para identificação de óleo e gorduras.


     QUANTO A FORMA DE CONSUMO: depende da preferência do consumidos quanto ao sabor, odor ,
      estabilidade e características físicas desejadas


             consumidos no estado bruto      sabores regionais como azeite de dendê, azeite de oliva, banha animal
             consumidos após transformação        óleo de soja, algodão amendoim


      3. FÓRMULA ESTRUTURAL: ésteres dos ácidos graxos

 GLICEROL + ÁCIDO GRAXO  MONO, DI OU TRIGLICERÍDEO + ÁGUA




                                  + 3 H-O-C=O 
                                                  R
                                          Ac. graxo
Tipos de glicerídeos encontrados na natureza, conforme o numero de ácidos graxos ligados ao glicerol:
3
       Triglicerídeos: são os nossos óleos ou gorduras

   HIDRÓLISE DOS TRIGLICERÍDEOS RESULTA EM DIVERSOS COMPOSTOS:

                  Mono, di –glicerídeos
                  ÁCIDOS GRAXOS LIVRES (A. G. L.)
                  Fosfolipídeos,
                  Corantes
                  Vitaminas
                  Esteróis
                  Compostos de enxofre

   4. ÁCIDOS GRAXOS
Sabe-se que na natureza existem mais de 40 diferentes ácidos graxos. Todos podem ser representados pela fórmula
geral: CH3 (CH3)n COOH , porem apesentam no minimo 4 e no maximo 24 atomos de C na cadeia
     Onde:           n=2      Ácido butírico
                     n=3      Ácido pentanóico
                     n=4      Ácido hexanóico, etc., até n= 24

             4.1 DENOMINAÇÃO = nome do carboneto + sufixo “ico”

             4.2 GRAU DE SATURAÇÃO: -C=C-

                   Saturado: sem ligações duplas: -C-C-
                   Insaturado: com duplas ligações:
                       Monoinsaturado: R-C=C(OHO)
                       Diinsaturado: R-C=C-C=C-C(OHO)
                       Poliinsaturado: R-C=C-C=C-C=C-C(OHO).




LIPÍDEOS. Exemplos de ácidos graxos saturados e insaturados.
     Acido graxo                                     Estrutura                                  Abreviação
                                                                                                            1
                                                                                               taquigráfica
SATURADOS
Acido Butírico         CH3 (CH2)2 COOH                                                     4:0
Acido Caproico         CH3 (CH2)4 COOH                                                     6:0
Acido Cáprico          CH3 (CH2)8 COOH                                                     10:0
Acido Láurico          CH3 (CH2)10 COOH                                                    12:0
Acido Mirístico        CH3 (CH2)12 COOH                                                    14:0
Acido Palmítico        CH3 (CH2)14 COOH                                                    16:0
Acido Esteárico        CH3 (CH2)16 COOH                                                    18:0
Não SATURADOS2
4
Acido Palmitoleico      CH3 (CH2)5 CH=CH(CH2)7 COOH                                          16:In=7
Acido Oléico            CH3 (CH2)7 CH=CH(CH2)7 COOH                                          18:In-9
Acido Linoléico         CH3 (CH2)4 CH=CHCH2 CH=CH(CH2)7 COOH                                 18:2n-6
Acido Linolénico        CH3 CH2 CH=CHCH2 CH=CH2 CH= CH(CH2)7 COOH                            18:3n-3
Acido Araquidónico      CH3 (CH2)4 CH=CHCH2 CH=CHCH2 CH=CHCH2 CH= CH(CH2)3 COOH 20:4n-6
Acido                   CH3 CH2 CH=CHCH2 CH=CHCH2 CH=CHCH2 CH=CHCH2                          20:5n-3
Eicosapentaenoico       CH=CH(CH2)3 COOH
Acido                   CH3 CH2 CH=CHCH2 CH=CHCH2 CH=CHCH2 CH=CHCH2 CH=CHCH2 22:6n-3
Docosahexaenoico        CH=CH(CH2)2 COOH
1
  Número de átomos de carbono (C): número de duplas ligações e posição da primeira dupla ligação, contada a partir
do grupo metila (CH3) terminal, no ácido graxo.
2
  Líquido a temperatura ambiente


             4.3 ISOMERIA DA CADEIA DOS A.G. INSATURADOS

                     Isômeros cis e trans = importante na definição do ponto de fusão dos óleos/gorduras


Quadro 1- Composição de ácidos graxos de alguns Óleos e gorduras (% sobre o teor de ácidos graxos)
       Óleo ou gordura                                     ÁCIDOS GRAXOS
                                   Saturados          Monoinsaturado   diinsaturado           Poliinsaturado

Gordura de coco                          80-85                7-10             2-8                   0
Manteiga                                 56-70               20-30             2-4                   0
Banha de porco                           30-40               45-55             5-15                  0
Óleo de oliva                            9-11                84-86             4-7                   1
Óleo de amendoim                         17-18               50-68            22-28                  0
Óleo de algodão                          23-27               15-40            50-55                  0
Óleo de soja                             12-14               22-25            50-55                  7
Óleo de milho                            10-13               23-30            56-60                  1
Óleo de girassol                         7-15                14-35            50-75                traço

Óleo de canola                             6                      60            26                  10
Óleo de Palma                              51                     39            10                   0
Óleo de peixe                            20-30               20-45             1-7                20-30
Fonte: MORETTO, E. ; FETT, R. 1989

    5. IMPUREZAS NÃO-GLICERÍDICAS:

             5.1 Fosfatídeos ou Fosfolipídios
                      5.1.1 Lecitina (20%)
             5.2 Substancias coloridas
                      5.2.1 carotenóides
                      5.2.2 Clorofílicos
                      5.2.3 gossipol
             5.3 Tocoferóis
             5.4 Esteróis (fitosteróis e colesterol)
             5.5 Composto de Enxofre (óleo de Colza)
             5.6 Impurezas contaminantes (umidade, solventes, metais, pesticidas)

    6. Impurezas não Glicerídicas
São lipídeos compostos que apresentam outros grupos moleculares ligados a molécula do glicerídeo.
São divididos em : fosfolipídios, glicolipídeos e sulfolipídeos
5
    1. Fosfolipídeos: contém ácido fosfórico e um composto nitrogenado.
Contém na molécula uma fração hidrofílica e outra lipofílica, razão pela qual são ótimos agentes emulsificantes.

         LECITINA - glicerofosfolipídeo de óleo de soja , função emulsionante natural




   Podem ser encontradas na gema de ovo, fígado e óleos vegetais antes da refinação
Os fosfolipídios devem ser removidos por degomagem e refinação para assegurar a obtenção de um produto de cor
adequada e estabilidade organoléptica – provocam escurecimento durante a desodorização.


    2. Substâncias coloridas:
    -   Carotenóides ( ,    e   carotenos) – coloração amarelo – avermelhada, benéficos como pró-vitamina A e
        antioxidante, mas sujeitos a destruição pelo processamento – refino, clarificação e desodorização.
    -   Pigmentos Clorofílicos: clorofila, coloração esverdeada indesejada, atua como pró-oxidante devendo ser
        eliminados nas etapas de degomagem e clarificação.
    -   Gossipol: cor vermelho intensa do óleo bruto de algodão; apresenta ação antioxidante, removido na refinação
        alcalina e na clarificação com terras ou carvão ativo.


    3. Tocoferóis
    São antioxidantes naturais, de cor amarelo clara a incolor, solúveis em óleo, conhecidos também por Vitamina E.
    Não são eliminados na refinação e clarificação sim na desodorização, podendo ser recuperados através da
    condensação dos vapores eliminados nessa etapa. Possuem grande valor comercial, sendo reaplicado no
    produto final ou nos derivados de óleos e gorduras como antioxidante natural.


    4. Esteróis
São álcoois não saponificáveis, cristalinos, de alto ponto de fusão. São inertes, portanto de pouca importância no
processamento de óleos e gorduras.
Na gordura animal, o esterol mais conhecido é o colesterol.
Nos óleos e gorduras vegetais são os fitosteróis, que ao contrario do colesterol estão associados à redução do risco
de doenças cardiovasculares.


5. Compostos de Enxofre (sulfolipídeos)
A presença de compostos sulfurados no óleo bruto acarreta problemas de envenenamento do catalisados e
hidrogenação e de reversão de sabor/odor no óleo desodorizado.
6
6. Impurezas Contaminantes:
Contaminação acidental ou resíduo do processamento: umidade, traços de solvente


7. ASPECTOS DE QUALIDADE DE ÓLEOS E GORDURAS
7.1 Qualidade do Óleo Bruto
A qualidade do óleo bruto é determinada pelo teor de impurezas que influenciam tanto a resposta à refinação quanto
ao rendimento do processo. A concentração de impurezas e a dificuldade de remoção das mesmas dependerá :

   Qualidade da matéria-prima:
        Ação Enzimática : Temperatura x Tempo
        Hidrólise e oxidação são catalisadas por enzimas como lipases, fosfolipases, oxidases
        Condições climáticas

 Condições de extração (temperatura x tempo)
 Condições e estocagem (umidade e temperatura)
7.2 Qualidade do Produto Final
   Qualidade     sabor/odor e estabilidade
   Sabor e odor  neutro
   Estabilidade meses
Alterações químicas que promovem degradação da qualidade
   Rancidez hidrolítica
   Rancidez oxidativa
   Reversão de sabor


Rancidez hidrolítica: enzimática ou química
Importante em laticínios devido à presença de ácidos graxos de baixo peso molecular.
A hidrólise pode ser provocada por aquecimento na presença de meio ácido ou básico, ou por ação enzimática.
Resulta em abaixamento do ponto de fumaça e aparecimento de cheiro e sabor desagradável


Rancidez oxidativa:
As duplas ligações dos ácidos graxos insaturados são facilmente oxidados por vários agentes (O 2 , O3 , metais,
autoxidação) produzindo peróxidos e hidroperóxidos que sofrem reações paralelas gerando compostos voláteis como
aldeídos e cetonas responsáveis pelo cheiro e gosto de ranço.


Reversão
Desenvolvimento de sabor e odor não característico (vagem verde, manteiga, pescado, ferro) sem que haja sofrido
oxidação.
Fenômeno característico da soja, relacionado à reatividade do ácido linolênico.
As alterações organolépticas serão perceptíveis após o aquecimento do óleo.


7.3 Como prevenir a oxidação

   Redução das oportunidades de contato com o ar

   Controle de temperatura
7
     Exclusão da luz

     Controle da concentração de impurezas

     Prevenção da contaminação por metais
 Uso de sequestrantes e antioxidantes
          Sequestrantes de metal: se ligam com os íons metálicos impedindo sua ação sobre o radical livre
          Ex. ácido cítrico, ac. Fosfórico, EDTA
          Antioxidantes: reagem com o radical livre e peróxidos impedindo a propagação
          Ex.: Tocoferóis, BHA, BHT, TBHQ, PG


       Monitoramento de impurezas durante o processo

     Peróxidos (IP)

     Produtos de oxidação secundaria

     Oxidação total -Totox

     Medidas de dienos e trienos

     Produtos de oxidação voláteis (por Cromatografia de Head Space)

     Polímeros e Lipídeos oxidados (coluna de sílica)

     Ácidos graxos livres

     Fosfatídeos, sabões, traços de metais, clorofila, carotenóides. Gossipol, tocoferóis, esteróis e hidrocarbonetos.


8. PROPRIEDADES FÍSICO-QUÍMICAS IMPORTANTES NO PROCESSAMENTO DE ÓLEOS E GORDURAS

1 Físicas
1.1 PF - ponto de fusão: temperatura na qual os lipídios se fundem, isto é, passam do estado sólido (cristalino) para o
liquido. Não é pontual, mas sim uma faixa de temperatura. Depende do acido graxo: Tamanho da cadeia, grau de
saturação e configuração estrutural.
PF e óleos: baixo - Liquido em T ambiente
PF das Gorduras: alto (30 –42°C)
1.2 Índice de refração: relação existente entre a velocidade da luz no ar e no meio constituído pela substancia
analisada. Cresce com a instauração dos ácidos graxos e com o aumento da cadeia. Correlaciona-se com o índice
de iodo, o que permite conhecer através dele o grau de instauração das moléculas. Utilizado no controle do processo
de hidrogenação
1.3 Viscosidade: diretamente relacionada com o tamanho das cadeias do acido graxo e inversamente proporcional às
instaurações.
1.4 Prova do frio: tempo necessário para turvar o óleo contido em um banho de gelo. Para óleo de saladas = min. 5.5
      horas; para maionese > 5,5 horas.
2        Químicas
2.1      Índice de acidez: numero de mg de base (KOH) necessários para neutralizar is ácidos graxos livres de um
         grama de glicerídeo. Relaciona a qualidade da matéria-prima e o grau de pureza doa óleos.
2.2 Índice de iodo: numero de g de halogênio (Iodo), absorvidos por 100 gramas do glicerídeo. È a medida da
instauração do glicerídeo. Cada dupla ligação do acido graxo pode incorporar dois átomos de iodo.
            Insaturação  absorção iodo  I.I.
8

9.    EXTRAÇÃO DE ÓLEOS BRUTOS

                             Matéria-prima                        armazenamento



                             Pré-limpeza



                             Descascamento



                          Trituração e laminação



                               Cozimento



                               Extração


                               Destilação




                   Óleo                Solvente

Esquema de processamento da soja – extração do óleo


10. PROCESSAMENTO DO ÓLEO BRUTO

        10.1   REFINAÇÃO DE ÓLEOS E GORDURAS:


     Degomagem              Neutralização              Branqueamento              Desodorização




     1. DEGOMAGEM: eliminação de fosfatídios (lecitina da soja)

                                                     água: 1-3%




                                T: 60 –70°C
                                t: 20 –30 min



                                                       Centrifugação




                                          óleo degomado                gomas
                                          (com residual)
9
2.       NEUTRALIZAÇÃO: eliminação de ácidos graxos livres
             Princípios: reação entre base e acido

Acido graxo livre + H3PO4

                      NEUTRALIZAÇÃO


             Oleo degomado

     aquecimento         ácido fosfórico
      80 - 95°C           base (soda)


                 agitaçao



              centrifugação


     Borra (sabões)           óleo

              água quente


                            agitação


                         centrifugação


              sabão residual         óleo neutro


                            secagem             clarificação


                        armazenamento


3.       BRANQUEAMENTO: eliminação de substâncias coloridas:
             Terra clarificadora: bentonita cálcica
             Adição direta no óleo e separação por filtração

4.       DESODORIZAÇÃO: eliminação de odores e sabores estranhos

             Principio: destilação por arraste de vapor

            Etapas do processo (anexo).
             1. Pré-aquecimento do óleo (vapor indireto)
             2. Aquecimento com vapor direto
             3. Resfriamento com água (indireto)

             Variáveis da operação:
                             Temperatura
                             Pressão absoluta
                             Tempo
                             Vazão de vapor direto
                             Eficiência no contato óleo –vapor

            Reações químicas provocadas pela alta Temperatura:
                Hidrólise dos triglicerídeos
                Decomposição de aldeídos e peróxidos
10
                      Decomposição de carotenóides
                      Isomerização (isômeros trans e conjugações de duplas) – “pequena ocorrência”


           11. QUALIDADE DE ÓLEOS E GORDURAS

                  RENDIMENTO DE REFINAÇÃO

                  ESTABILIDADE DO PRODUTO FINAL

      B.       ALTERAÇÕES QUÍMICAS

                  RANCIDEZ HIDROLÍTICA                          Controles de processo:
                  RANCIDEZ OXIDATIVA                            redução da oxidação
                  REVERSÃO DE SABOR

10.
          12. METODOLOGIA DE ANÁLISE de LIPIDEOS
           A determinação quantitativa de lipídeos em alimentos é, a muito, um parâmetro básico para avaliações
      nutricionais e de processamento.
         Na indústria de extração de óleos vegetais, um rígido controle do teor de lipídeos na matéria-prima e nos
      subprodutos deve ser mantido tanto com fins econômicos como tecnológicos.

         Os métodos rotineiros para determinação quantitativa de lipídeos baseiam-se na extração da fração lipídica por
      meio de um solvente orgânico adequado.

           Após extração e remoção do solvente, determina-se gravimetricarnente a quantidade de lipídeos presente.

          O resíduo obtido não é, na verdade, constituído unicamente por triglicerídios, mas por todos os compostos que,
      nas condições da determinação, possam ser extraídos pelo solvente. Geralmente, são fosfatídeos, esteróis,
      vitaminas A e D, carotenóides, óleos essenciais, etc., mas em quantidades relativamente pequenas, que não chegam
      a representar uma diferença significativa na determinação.

         Uma extração completa dos lipídeos se torna difícil em produtos contendo alta proporção de proteínas, e a
      presença de carboidratos também interfere.
11.        1. EXTRAÇÃO COM SOLVENTES A QUENTE
           O método está baseado em três etapas:

      Extração de gorduras da amostra com solventes

      Eliminação do solvente por evaporação.

      A gordura é quantificada por secagem.

      Características

         A escolha do solvente vai depender dos componentes lipídicos existentes no alimento. A extração com solvente é
      mais eficiente quando o alimento é seco antes da análise, pois existe maior penetração do solvente na amostra.
      Pode-se utilizar a amostra que foi usada na determinação de umidade.

          A preparação da amostra para determinação de gordura deve ser cuidadosa de maneira a evitar a sua
      degradação. Em muitos alimentos processados, como em produtos derivados do leite, pão, produtos fermentados,
      açucarados e produtos animais, a maior parte dos lipídeos está ligada a proteínas e carboidratos, e a extração direta
      com solventes não polares é ineficiente. Estes alimentos precisam ser preparados para a extração de gordura por
      hidrólise ácida ou básica, ou outros métodos.

           E necessário um controle da temperatura e tempo de exposição do material no solvente.

           A eficiência da extração a quente depende de uma série de fatores:

      1. Natureza do material a ser extraído;
11
2. Tamanho das partículas: quanto menor mais fácil à penetração do solvente;

3. Umidade da amostra: a água presente ria amostra dificulta a penetração do solvente orgânico por imiscibilidade;

4. Natureza do solvente;

5. Semelhança entre as polaridades do solvente e da amostra;

6. Ligação dos lipídeos com outros componentes da amostra;

7. Circulação do solvente através da amostra;

8 A velocidade do refluxo não deve ser nem muito alta nem muito baixa, porque pode haver pouca penetração do
solvente na velocidade muito alta;

9. Quantidade relativa entre solvente e material a ser extraído: quanto mais solvente maior é a extração, porém não
se deve usar em excesso por causa do alto custo do solvente.

Tipos de solventes

   Os dois solventes mais utilizados são o éter de petróleo e o éter etílico. O éter etílico é um solvente de extração
mais ampla. pois pode extrair também vitaminas esteróides, resinas e pigmentos, o que constitui um erro quando se
deseja determinar somente gordura (triacilglicerídeos). Porém estes compostos aparecem geralmente em pequenas
quantidades, o que daria um erro aceitável. Por outro lado, ele é menos usado porque é mais caro, perigoso e pode
acumular água durante a extração que vai dissolver

materiais não lipídicos. Portanto, o éter de petróleo é mais comumente utilizado. Em alguns casos, é conveniente
utilizar mistura de solventes como no caso de produtos lácteos.

O ÉTER ETÍLICO, apesar de ser um excelente extrator para lipídeos, tem algumas desvantagens:

a) deve estar completamente livre de água, necessitando, portanto, de uma série de manuseios e cuidados;

b) contendo água, dissolverá também alguns mono e dissacarídeos provocando desvios na determinação;

    c.   a amostra a ser usada deve, portanto, estar completamente seca

d) não extrai completamente derivados como a lecitina

e) é altamente inflamável e, quando oxidado, é explosivo, e a sua recuperação deve ser acompanhada com grande
cuidado.

ÉTER DE PETRÓLEO, por sua vez, apesar de não ser o solvente por excelência, traz uma série de vantagens:

a) não extrai outras frações que não seja a lipídica;

b) é muito mais barato;

c) não é afetado por pequenas quantidades de água, e

d) a sua recuperação por destilação é muito mais conveniente.

    A mistura de dois ou mais solventes é em alguns casos recomendável, mas a remoção da mistura para a
pesagem da fração lipídica pode ser dificultada. A recuperação dos componentes individuais é, na maioria das vezes,
inviável.

    Uma série de outros solventes orgânicos pode também ser usada, mas dificilmente concorrem com o éter etílico e
o éter de petróleo.

2.Tipos de equipamentos

A. Soxhlet - Características

1. É um extrator que utiliza refluxo de solvente.

2. O processo de extração á intermitente.

3. Pode ser utilizado somente com amostras sólidas.
12
4. Tem a vantagem de evitar a temperatura alta de ebulição do solvente, pois a amostra não fica em contato com o
solvente muito quente, evitando assim a decomposição da gordura da amostra.

5. A quantidade de solvente é maior porque o volume total tem que ser suficiente para atingir o sifão do equipamento.

6. Tem a desvantagem da possível saturação do solvente que permanece em contato com a amostra antes de ser
sifonado, o que dificulta a extração.

        Existe, desde 1974, uma modificação do extrator de Soxhlet que extrai gordura com éter em 30 minutos em
vez de 4 horas. A amostra seca é imersa diretamente no éter em ebulição, dentro de um copo feito de tela de arame,
no equipamento em refluxo. Após 10 minutos, o copo, com a amostra, é suspenso e o éter condensado é utilizado
para lavar a amostra por 20 minutos. A determinação completa leva 2 horas e 15 minutos, e podem ser feitas até 80
determinações por dia num extrator múltiplo comercial. A precisão é equivalente ao método Soxhlet




Material extra:

Exercício de fixação – Química de óleos e gorduras

Nome: ______________________________________________
Nome:_______________________________________________ Data: ___________

3° ___________

Responda as questões abaixo sobre a matéria de óleos e gorduras

    1. O que são os lipídeos? Onde são encontrados na natureza?

    2. O que são os triglicerídeos? Faça um diagrama que explique a origem dos triglicerídeos desde o
       componente “Lipídeo”.

    3. Como diferenciar um óleo de uma gordura?

    4. Porque as pessoas se referem as gorduras como glicerídeos ou triglicerídeos e vice-versa?

    5. Como é formada a estrutura química dos glicerídeos? Quais são as formas dessa molécula existentes na
       natureza e em que proporções?

    6. Porque os ácidos graxos são importantes na caracterização e propriedades físico-quimicas dos glicerídeos

    7. Qual o numero de carbonos presentes nas cadeias dos ácidos graxos dos glicerídeos, existentes na
       natureza?

    8. Quanto a presença de duplas ligações entre os carbonos da cadeia do acido graxo, como eles podem se
       classificar?

    9. E quanto a configuração da cadeia de carbonos com duplas ligações, quais são as duas formas existentes
       na natureza? Qual a principal em termos de quantidade?

    10. Quais as funções biológicas dos óleos/gorduras no organismo humano? Quais as principais funções
        tecnológicas?

6667307

  • 1.
    1 AULA: TECNOLOGIA DE ÓLEOS E DERIVADOS: 1 1. INTRODUÇÃO Óleos e gorduras são importantes na dieta e na elaboração de alimentos Principais funções Fonte de energia= 9 kcal/ g Fonte de ácidos graxos essenciais Transporte de vitaminas lipossolúveis Transmite sensação de saciedade alimentar Agrega palatabilidade e estrutura aos alimentos Estão presentes em: Carnes e pescado Leite e derivados Frutos secos Cereais Para ser extraído do alimento precisa estar presente em no mínimo 12% da matéria-prima. Matéria-prima oleaginosa Conteúdo de óleo (%) Babaçu 60-65 Gergelim 50-55 Polpa de Palma (Dendê) 45-50 Amendoim 45 –50 Colza (Canola) 40-45 Girassol 35-45 Oliva 25-30 Algodão 18-20 Soja 18-20 2 ESTRUTURA E COMPOSIÇÃO DOS ÓLEOS E GORDURAS 2.1 O QUE SÃO ÓLEOS E GORDURAS? São substâncias insolúveis em água, solúveis em solventes orgânicos de origem vegetal ou animal, constituídas predominantemente de ésteres de ácidos graxos e glicerol, também chamados de glicerídeos. São os principais constituintes do grupo de substâncias conhecidas como LIPÍDEOS:  Lipídeos simples: óleos e gorduras  Lipídeos compostos: adicionados de outras substâncias nos glicerídeos (fosfolipídios – lecitina)  Lipídeos derivados: substancia obtidas pela hidrólise dos lipídeos compostos 2.2 FUNÇÕES ALIMENTÍCIAS BÁSICAS lubricidade Óleos líquidos e parcialmente hidrogenados Molhos, maionese, margarinas, aeração Formação de emulsão com o ar, obtida com óleos Cremes, e sorvetes, biscoitos e parcialmente hidrogenados bolos estrutural Fornecer sólidos cristalinos, depende do tipo e Margarinas, pães, tortas, folhados intensidade da hidrogenação, obtida com misturas de óleos líquidos e parcialmente hidrogenados Barreira de Característica intrínseca de lipídios, insolubilidade em Folhados umidade água Meio de troca Aquecimento até 180°C Produtos fritos térmica
  • 2.
    2 CLASSIFICAÇÃO DOS LIPÍDIOS LIPÍDIOS compostos encontrados nos organismos vivos insolúveis em água, solúveis em compostos orgãnicos composoçao estrutural: C, H O (P, N , S) Simples Composto Derivado Óleos e gorduras Ceras Fosfolipídios ácidos graxos Glicerídios Glicolipídios alcoóis sulfolipídios hidrocarbonetos, etc. 2.3 ÓLEOS x GORDURAS : QUAL A DIFERENÇA??? ÓLEOS x GORDURAS: distinguem-se, relativamente à temperatura, apenas pelo estado físico, os óleos são líquidos e as gorduras são sólidas ou pastosas. Estabeleceu-se a T de 20°C para identificação de óleo e gorduras.  QUANTO A FORMA DE CONSUMO: depende da preferência do consumidos quanto ao sabor, odor , estabilidade e características físicas desejadas  consumidos no estado bruto sabores regionais como azeite de dendê, azeite de oliva, banha animal  consumidos após transformação óleo de soja, algodão amendoim 3. FÓRMULA ESTRUTURAL: ésteres dos ácidos graxos GLICEROL + ÁCIDO GRAXO  MONO, DI OU TRIGLICERÍDEO + ÁGUA + 3 H-O-C=O  R Ac. graxo Tipos de glicerídeos encontrados na natureza, conforme o numero de ácidos graxos ligados ao glicerol:
  • 3.
    3 Triglicerídeos: são os nossos óleos ou gorduras HIDRÓLISE DOS TRIGLICERÍDEOS RESULTA EM DIVERSOS COMPOSTOS:  Mono, di –glicerídeos  ÁCIDOS GRAXOS LIVRES (A. G. L.)  Fosfolipídeos,  Corantes  Vitaminas  Esteróis  Compostos de enxofre 4. ÁCIDOS GRAXOS Sabe-se que na natureza existem mais de 40 diferentes ácidos graxos. Todos podem ser representados pela fórmula geral: CH3 (CH3)n COOH , porem apesentam no minimo 4 e no maximo 24 atomos de C na cadeia Onde: n=2 Ácido butírico n=3 Ácido pentanóico n=4 Ácido hexanóico, etc., até n= 24 4.1 DENOMINAÇÃO = nome do carboneto + sufixo “ico” 4.2 GRAU DE SATURAÇÃO: -C=C- Saturado: sem ligações duplas: -C-C- Insaturado: com duplas ligações: Monoinsaturado: R-C=C(OHO) Diinsaturado: R-C=C-C=C-C(OHO) Poliinsaturado: R-C=C-C=C-C=C-C(OHO). LIPÍDEOS. Exemplos de ácidos graxos saturados e insaturados. Acido graxo Estrutura Abreviação 1 taquigráfica SATURADOS Acido Butírico CH3 (CH2)2 COOH 4:0 Acido Caproico CH3 (CH2)4 COOH 6:0 Acido Cáprico CH3 (CH2)8 COOH 10:0 Acido Láurico CH3 (CH2)10 COOH 12:0 Acido Mirístico CH3 (CH2)12 COOH 14:0 Acido Palmítico CH3 (CH2)14 COOH 16:0 Acido Esteárico CH3 (CH2)16 COOH 18:0 Não SATURADOS2
  • 4.
    4 Acido Palmitoleico CH3 (CH2)5 CH=CH(CH2)7 COOH 16:In=7 Acido Oléico CH3 (CH2)7 CH=CH(CH2)7 COOH 18:In-9 Acido Linoléico CH3 (CH2)4 CH=CHCH2 CH=CH(CH2)7 COOH 18:2n-6 Acido Linolénico CH3 CH2 CH=CHCH2 CH=CH2 CH= CH(CH2)7 COOH 18:3n-3 Acido Araquidónico CH3 (CH2)4 CH=CHCH2 CH=CHCH2 CH=CHCH2 CH= CH(CH2)3 COOH 20:4n-6 Acido CH3 CH2 CH=CHCH2 CH=CHCH2 CH=CHCH2 CH=CHCH2 20:5n-3 Eicosapentaenoico CH=CH(CH2)3 COOH Acido CH3 CH2 CH=CHCH2 CH=CHCH2 CH=CHCH2 CH=CHCH2 CH=CHCH2 22:6n-3 Docosahexaenoico CH=CH(CH2)2 COOH 1 Número de átomos de carbono (C): número de duplas ligações e posição da primeira dupla ligação, contada a partir do grupo metila (CH3) terminal, no ácido graxo. 2 Líquido a temperatura ambiente 4.3 ISOMERIA DA CADEIA DOS A.G. INSATURADOS Isômeros cis e trans = importante na definição do ponto de fusão dos óleos/gorduras Quadro 1- Composição de ácidos graxos de alguns Óleos e gorduras (% sobre o teor de ácidos graxos) Óleo ou gordura ÁCIDOS GRAXOS Saturados Monoinsaturado diinsaturado Poliinsaturado Gordura de coco 80-85 7-10 2-8 0 Manteiga 56-70 20-30 2-4 0 Banha de porco 30-40 45-55 5-15 0 Óleo de oliva 9-11 84-86 4-7 1 Óleo de amendoim 17-18 50-68 22-28 0 Óleo de algodão 23-27 15-40 50-55 0 Óleo de soja 12-14 22-25 50-55 7 Óleo de milho 10-13 23-30 56-60 1 Óleo de girassol 7-15 14-35 50-75 traço Óleo de canola 6 60 26 10 Óleo de Palma 51 39 10 0 Óleo de peixe 20-30 20-45 1-7 20-30 Fonte: MORETTO, E. ; FETT, R. 1989 5. IMPUREZAS NÃO-GLICERÍDICAS: 5.1 Fosfatídeos ou Fosfolipídios 5.1.1 Lecitina (20%) 5.2 Substancias coloridas 5.2.1 carotenóides 5.2.2 Clorofílicos 5.2.3 gossipol 5.3 Tocoferóis 5.4 Esteróis (fitosteróis e colesterol) 5.5 Composto de Enxofre (óleo de Colza) 5.6 Impurezas contaminantes (umidade, solventes, metais, pesticidas) 6. Impurezas não Glicerídicas São lipídeos compostos que apresentam outros grupos moleculares ligados a molécula do glicerídeo. São divididos em : fosfolipídios, glicolipídeos e sulfolipídeos
  • 5.
    5 1. Fosfolipídeos: contém ácido fosfórico e um composto nitrogenado. Contém na molécula uma fração hidrofílica e outra lipofílica, razão pela qual são ótimos agentes emulsificantes.  LECITINA - glicerofosfolipídeo de óleo de soja , função emulsionante natural Podem ser encontradas na gema de ovo, fígado e óleos vegetais antes da refinação Os fosfolipídios devem ser removidos por degomagem e refinação para assegurar a obtenção de um produto de cor adequada e estabilidade organoléptica – provocam escurecimento durante a desodorização. 2. Substâncias coloridas: - Carotenóides ( , e carotenos) – coloração amarelo – avermelhada, benéficos como pró-vitamina A e antioxidante, mas sujeitos a destruição pelo processamento – refino, clarificação e desodorização. - Pigmentos Clorofílicos: clorofila, coloração esverdeada indesejada, atua como pró-oxidante devendo ser eliminados nas etapas de degomagem e clarificação. - Gossipol: cor vermelho intensa do óleo bruto de algodão; apresenta ação antioxidante, removido na refinação alcalina e na clarificação com terras ou carvão ativo. 3. Tocoferóis São antioxidantes naturais, de cor amarelo clara a incolor, solúveis em óleo, conhecidos também por Vitamina E. Não são eliminados na refinação e clarificação sim na desodorização, podendo ser recuperados através da condensação dos vapores eliminados nessa etapa. Possuem grande valor comercial, sendo reaplicado no produto final ou nos derivados de óleos e gorduras como antioxidante natural. 4. Esteróis São álcoois não saponificáveis, cristalinos, de alto ponto de fusão. São inertes, portanto de pouca importância no processamento de óleos e gorduras. Na gordura animal, o esterol mais conhecido é o colesterol. Nos óleos e gorduras vegetais são os fitosteróis, que ao contrario do colesterol estão associados à redução do risco de doenças cardiovasculares. 5. Compostos de Enxofre (sulfolipídeos) A presença de compostos sulfurados no óleo bruto acarreta problemas de envenenamento do catalisados e hidrogenação e de reversão de sabor/odor no óleo desodorizado.
  • 6.
    6 6. Impurezas Contaminantes: Contaminaçãoacidental ou resíduo do processamento: umidade, traços de solvente 7. ASPECTOS DE QUALIDADE DE ÓLEOS E GORDURAS 7.1 Qualidade do Óleo Bruto A qualidade do óleo bruto é determinada pelo teor de impurezas que influenciam tanto a resposta à refinação quanto ao rendimento do processo. A concentração de impurezas e a dificuldade de remoção das mesmas dependerá :  Qualidade da matéria-prima: Ação Enzimática : Temperatura x Tempo Hidrólise e oxidação são catalisadas por enzimas como lipases, fosfolipases, oxidases Condições climáticas  Condições de extração (temperatura x tempo)  Condições e estocagem (umidade e temperatura) 7.2 Qualidade do Produto Final  Qualidade sabor/odor e estabilidade  Sabor e odor  neutro  Estabilidade meses Alterações químicas que promovem degradação da qualidade  Rancidez hidrolítica  Rancidez oxidativa  Reversão de sabor Rancidez hidrolítica: enzimática ou química Importante em laticínios devido à presença de ácidos graxos de baixo peso molecular. A hidrólise pode ser provocada por aquecimento na presença de meio ácido ou básico, ou por ação enzimática. Resulta em abaixamento do ponto de fumaça e aparecimento de cheiro e sabor desagradável Rancidez oxidativa: As duplas ligações dos ácidos graxos insaturados são facilmente oxidados por vários agentes (O 2 , O3 , metais, autoxidação) produzindo peróxidos e hidroperóxidos que sofrem reações paralelas gerando compostos voláteis como aldeídos e cetonas responsáveis pelo cheiro e gosto de ranço. Reversão Desenvolvimento de sabor e odor não característico (vagem verde, manteiga, pescado, ferro) sem que haja sofrido oxidação. Fenômeno característico da soja, relacionado à reatividade do ácido linolênico. As alterações organolépticas serão perceptíveis após o aquecimento do óleo. 7.3 Como prevenir a oxidação  Redução das oportunidades de contato com o ar  Controle de temperatura
  • 7.
    7  Exclusão da luz  Controle da concentração de impurezas  Prevenção da contaminação por metais  Uso de sequestrantes e antioxidantes Sequestrantes de metal: se ligam com os íons metálicos impedindo sua ação sobre o radical livre Ex. ácido cítrico, ac. Fosfórico, EDTA Antioxidantes: reagem com o radical livre e peróxidos impedindo a propagação Ex.: Tocoferóis, BHA, BHT, TBHQ, PG  Monitoramento de impurezas durante o processo  Peróxidos (IP)  Produtos de oxidação secundaria  Oxidação total -Totox  Medidas de dienos e trienos  Produtos de oxidação voláteis (por Cromatografia de Head Space)  Polímeros e Lipídeos oxidados (coluna de sílica)  Ácidos graxos livres  Fosfatídeos, sabões, traços de metais, clorofila, carotenóides. Gossipol, tocoferóis, esteróis e hidrocarbonetos. 8. PROPRIEDADES FÍSICO-QUÍMICAS IMPORTANTES NO PROCESSAMENTO DE ÓLEOS E GORDURAS 1 Físicas 1.1 PF - ponto de fusão: temperatura na qual os lipídios se fundem, isto é, passam do estado sólido (cristalino) para o liquido. Não é pontual, mas sim uma faixa de temperatura. Depende do acido graxo: Tamanho da cadeia, grau de saturação e configuração estrutural. PF e óleos: baixo - Liquido em T ambiente PF das Gorduras: alto (30 –42°C) 1.2 Índice de refração: relação existente entre a velocidade da luz no ar e no meio constituído pela substancia analisada. Cresce com a instauração dos ácidos graxos e com o aumento da cadeia. Correlaciona-se com o índice de iodo, o que permite conhecer através dele o grau de instauração das moléculas. Utilizado no controle do processo de hidrogenação 1.3 Viscosidade: diretamente relacionada com o tamanho das cadeias do acido graxo e inversamente proporcional às instaurações. 1.4 Prova do frio: tempo necessário para turvar o óleo contido em um banho de gelo. Para óleo de saladas = min. 5.5 horas; para maionese > 5,5 horas. 2 Químicas 2.1 Índice de acidez: numero de mg de base (KOH) necessários para neutralizar is ácidos graxos livres de um grama de glicerídeo. Relaciona a qualidade da matéria-prima e o grau de pureza doa óleos. 2.2 Índice de iodo: numero de g de halogênio (Iodo), absorvidos por 100 gramas do glicerídeo. È a medida da instauração do glicerídeo. Cada dupla ligação do acido graxo pode incorporar dois átomos de iodo. Insaturação  absorção iodo  I.I.
  • 8.
    8 9. EXTRAÇÃO DE ÓLEOS BRUTOS Matéria-prima armazenamento Pré-limpeza Descascamento Trituração e laminação Cozimento Extração Destilação Óleo Solvente Esquema de processamento da soja – extração do óleo 10. PROCESSAMENTO DO ÓLEO BRUTO 10.1 REFINAÇÃO DE ÓLEOS E GORDURAS: Degomagem Neutralização Branqueamento Desodorização 1. DEGOMAGEM: eliminação de fosfatídios (lecitina da soja) água: 1-3% T: 60 –70°C t: 20 –30 min Centrifugação óleo degomado gomas (com residual)
  • 9.
    9 2. NEUTRALIZAÇÃO: eliminação de ácidos graxos livres  Princípios: reação entre base e acido Acido graxo livre + H3PO4 NEUTRALIZAÇÃO Oleo degomado aquecimento ácido fosfórico 80 - 95°C base (soda) agitaçao centrifugação Borra (sabões) óleo água quente agitação centrifugação sabão residual óleo neutro secagem clarificação armazenamento 3. BRANQUEAMENTO: eliminação de substâncias coloridas:  Terra clarificadora: bentonita cálcica  Adição direta no óleo e separação por filtração 4. DESODORIZAÇÃO: eliminação de odores e sabores estranhos  Principio: destilação por arraste de vapor  Etapas do processo (anexo). 1. Pré-aquecimento do óleo (vapor indireto) 2. Aquecimento com vapor direto 3. Resfriamento com água (indireto)  Variáveis da operação: Temperatura Pressão absoluta Tempo Vazão de vapor direto Eficiência no contato óleo –vapor  Reações químicas provocadas pela alta Temperatura:  Hidrólise dos triglicerídeos  Decomposição de aldeídos e peróxidos
  • 10.
    10  Decomposição de carotenóides  Isomerização (isômeros trans e conjugações de duplas) – “pequena ocorrência” 11. QUALIDADE DE ÓLEOS E GORDURAS  RENDIMENTO DE REFINAÇÃO  ESTABILIDADE DO PRODUTO FINAL B. ALTERAÇÕES QUÍMICAS  RANCIDEZ HIDROLÍTICA Controles de processo:  RANCIDEZ OXIDATIVA redução da oxidação  REVERSÃO DE SABOR 10. 12. METODOLOGIA DE ANÁLISE de LIPIDEOS A determinação quantitativa de lipídeos em alimentos é, a muito, um parâmetro básico para avaliações nutricionais e de processamento. Na indústria de extração de óleos vegetais, um rígido controle do teor de lipídeos na matéria-prima e nos subprodutos deve ser mantido tanto com fins econômicos como tecnológicos. Os métodos rotineiros para determinação quantitativa de lipídeos baseiam-se na extração da fração lipídica por meio de um solvente orgânico adequado. Após extração e remoção do solvente, determina-se gravimetricarnente a quantidade de lipídeos presente. O resíduo obtido não é, na verdade, constituído unicamente por triglicerídios, mas por todos os compostos que, nas condições da determinação, possam ser extraídos pelo solvente. Geralmente, são fosfatídeos, esteróis, vitaminas A e D, carotenóides, óleos essenciais, etc., mas em quantidades relativamente pequenas, que não chegam a representar uma diferença significativa na determinação. Uma extração completa dos lipídeos se torna difícil em produtos contendo alta proporção de proteínas, e a presença de carboidratos também interfere. 11. 1. EXTRAÇÃO COM SOLVENTES A QUENTE O método está baseado em três etapas: Extração de gorduras da amostra com solventes Eliminação do solvente por evaporação. A gordura é quantificada por secagem. Características A escolha do solvente vai depender dos componentes lipídicos existentes no alimento. A extração com solvente é mais eficiente quando o alimento é seco antes da análise, pois existe maior penetração do solvente na amostra. Pode-se utilizar a amostra que foi usada na determinação de umidade. A preparação da amostra para determinação de gordura deve ser cuidadosa de maneira a evitar a sua degradação. Em muitos alimentos processados, como em produtos derivados do leite, pão, produtos fermentados, açucarados e produtos animais, a maior parte dos lipídeos está ligada a proteínas e carboidratos, e a extração direta com solventes não polares é ineficiente. Estes alimentos precisam ser preparados para a extração de gordura por hidrólise ácida ou básica, ou outros métodos. E necessário um controle da temperatura e tempo de exposição do material no solvente. A eficiência da extração a quente depende de uma série de fatores: 1. Natureza do material a ser extraído;
  • 11.
    11 2. Tamanho daspartículas: quanto menor mais fácil à penetração do solvente; 3. Umidade da amostra: a água presente ria amostra dificulta a penetração do solvente orgânico por imiscibilidade; 4. Natureza do solvente; 5. Semelhança entre as polaridades do solvente e da amostra; 6. Ligação dos lipídeos com outros componentes da amostra; 7. Circulação do solvente através da amostra; 8 A velocidade do refluxo não deve ser nem muito alta nem muito baixa, porque pode haver pouca penetração do solvente na velocidade muito alta; 9. Quantidade relativa entre solvente e material a ser extraído: quanto mais solvente maior é a extração, porém não se deve usar em excesso por causa do alto custo do solvente. Tipos de solventes Os dois solventes mais utilizados são o éter de petróleo e o éter etílico. O éter etílico é um solvente de extração mais ampla. pois pode extrair também vitaminas esteróides, resinas e pigmentos, o que constitui um erro quando se deseja determinar somente gordura (triacilglicerídeos). Porém estes compostos aparecem geralmente em pequenas quantidades, o que daria um erro aceitável. Por outro lado, ele é menos usado porque é mais caro, perigoso e pode acumular água durante a extração que vai dissolver materiais não lipídicos. Portanto, o éter de petróleo é mais comumente utilizado. Em alguns casos, é conveniente utilizar mistura de solventes como no caso de produtos lácteos. O ÉTER ETÍLICO, apesar de ser um excelente extrator para lipídeos, tem algumas desvantagens: a) deve estar completamente livre de água, necessitando, portanto, de uma série de manuseios e cuidados; b) contendo água, dissolverá também alguns mono e dissacarídeos provocando desvios na determinação; c. a amostra a ser usada deve, portanto, estar completamente seca d) não extrai completamente derivados como a lecitina e) é altamente inflamável e, quando oxidado, é explosivo, e a sua recuperação deve ser acompanhada com grande cuidado. ÉTER DE PETRÓLEO, por sua vez, apesar de não ser o solvente por excelência, traz uma série de vantagens: a) não extrai outras frações que não seja a lipídica; b) é muito mais barato; c) não é afetado por pequenas quantidades de água, e d) a sua recuperação por destilação é muito mais conveniente. A mistura de dois ou mais solventes é em alguns casos recomendável, mas a remoção da mistura para a pesagem da fração lipídica pode ser dificultada. A recuperação dos componentes individuais é, na maioria das vezes, inviável. Uma série de outros solventes orgânicos pode também ser usada, mas dificilmente concorrem com o éter etílico e o éter de petróleo. 2.Tipos de equipamentos A. Soxhlet - Características 1. É um extrator que utiliza refluxo de solvente. 2. O processo de extração á intermitente. 3. Pode ser utilizado somente com amostras sólidas.
  • 12.
    12 4. Tem avantagem de evitar a temperatura alta de ebulição do solvente, pois a amostra não fica em contato com o solvente muito quente, evitando assim a decomposição da gordura da amostra. 5. A quantidade de solvente é maior porque o volume total tem que ser suficiente para atingir o sifão do equipamento. 6. Tem a desvantagem da possível saturação do solvente que permanece em contato com a amostra antes de ser sifonado, o que dificulta a extração. Existe, desde 1974, uma modificação do extrator de Soxhlet que extrai gordura com éter em 30 minutos em vez de 4 horas. A amostra seca é imersa diretamente no éter em ebulição, dentro de um copo feito de tela de arame, no equipamento em refluxo. Após 10 minutos, o copo, com a amostra, é suspenso e o éter condensado é utilizado para lavar a amostra por 20 minutos. A determinação completa leva 2 horas e 15 minutos, e podem ser feitas até 80 determinações por dia num extrator múltiplo comercial. A precisão é equivalente ao método Soxhlet Material extra: Exercício de fixação – Química de óleos e gorduras Nome: ______________________________________________ Nome:_______________________________________________ Data: ___________ 3° ___________ Responda as questões abaixo sobre a matéria de óleos e gorduras 1. O que são os lipídeos? Onde são encontrados na natureza? 2. O que são os triglicerídeos? Faça um diagrama que explique a origem dos triglicerídeos desde o componente “Lipídeo”. 3. Como diferenciar um óleo de uma gordura? 4. Porque as pessoas se referem as gorduras como glicerídeos ou triglicerídeos e vice-versa? 5. Como é formada a estrutura química dos glicerídeos? Quais são as formas dessa molécula existentes na natureza e em que proporções? 6. Porque os ácidos graxos são importantes na caracterização e propriedades físico-quimicas dos glicerídeos 7. Qual o numero de carbonos presentes nas cadeias dos ácidos graxos dos glicerídeos, existentes na natureza? 8. Quanto a presença de duplas ligações entre os carbonos da cadeia do acido graxo, como eles podem se classificar? 9. E quanto a configuração da cadeia de carbonos com duplas ligações, quais são as duas formas existentes na natureza? Qual a principal em termos de quantidade? 10. Quais as funções biológicas dos óleos/gorduras no organismo humano? Quais as principais funções tecnológicas?