Universidade Federal de São Carlos
Centro de Ciências Exatas e Tecnológicas
Departamento de Química
Análise Instrumental II : Métodos Eletroanalíticos
Determinação por Titulação Potenciométrica e Condutométrica
de ácido acético em vinagre
São Carlos, 20 de Abril de 2012
Objetivo
Determinar experimentalmente, através da técnica de titulação potenciométrica e
condutométrica, a constante de acidez do ácido acético e sua concentração no vinagre.
Introdução
A Potenciometria é uma técnica que se baseia na medida da f.e.m. de uma célula
galvânica composta de dois eletrodos, um de referência (tem potencial constante) e
outro indicador (sensível a espécie interessada), obtendo-se então a f.e.m. da célula pela
diferença entre os potenciais dos dois eletrodos, ou seja:
Ecélula = Eindicador – Ereferência (1)
A rigor, deveria ser incluído na equação (1) o potencial de junção líquida: potencial que
aparece entre a solução do sistema do eletrodo de referência e a solução de estudo. No
entanto o potencial de junção é minimizado pelo uso de uma ponte salina com solução
saturada de KCl.
A Potenciometria compreende duas técnicas: a potenciometria direta que determina a
concentração do íon ativo simplesmente medindo a f.e.m. da célula, é sensível à
soluções muito diluídas, já a titulação potenciometrica mede-se a f.e.m. da célula no
curso da titulação, onde o potencial do eletrodo indicador variará bruscamente perto do
ponto de equivalência e portanto a f.e.m. da célula também.
A aplicação mais importante do método se encontra na determinação do pH, e para isso
utiliza-se um eletrodo de vidro, que é constituído de uma fina membrana de vidro
seletivamente permeável ao íon hidrogênio, uma solução ácida de pH fixo e um eletrodo
de referência imerso nesta solução.
Uma das aplicações da Potenciometria é a determinação da acidez do ácido acético em
vinagre através de uma titulação potenciométrica de neutralização. O ácido acético é um
ácido fraco de Ka = 1,8.10-5
que em água se dissocia segundo a reação:
Na industria alimentícia uma solução de ácido acético é usado como condimento, o
vinagre, cuja acidez deve ser de 4% a 8%, segundo a legislação brasileira.
Procedimento Experimental
Primeiramente coletou-se os dados para a determinação do Ka do ácido acético, para
isso, utilizou-se de um sistema constituído de bureta, agitador magnético, eletrodo de
vidro acoplado ao medidor, eletrodo de platina acoplado a um condutivímetro (Analion
– analógico), béquer e suportes necessários. Então pipetou-se com uma pipeta
volumétrica 5,0mL de ácido acético em um béquer de 100mL. Mediu-se a
condutividade da solução. Adicionou-se à bureta a solução padronizada de NaOH
(0,095M) e titulou-se com incrementos de 0,5mL.
Posteriormente, mantendo-se o mesmo sistema, determinou-se o ácido acético em
vinagre, pipetou-se com uma pipeta volumétrica 5,0mL de uma amostra anteriormente
preparada (55,0mL de vinagre comercial diluído em 500ml de água destilada),
passando-a para um balão volumétrico onde completou-se o volume com 50mL de água
destilada. Passou-se a amostra para um béquer e titulou-se com NaOH padronizado em
incrementos de 0,5mL ou 0,1mL dependendo da variação de pH e condutância.
Resultados e Discussão
Parte 1 – Amostra Padrão
Condutividade Padrão teórico 146,9 μS/cm
Condutividade Padrão Experimental 148,2 μS/cm
Condutividade Ácido acético 208,8 μS/cm
Volume K(20mS) K real pH ΔpH/ΔV ΔpH2
/ΔV2
0 0,01 0,01 3,21 0,62 -0,22
0,5 0,0179 0,018198 3,52 0,44 -0,06
1 0,0211 0,021803 3,74 0,38 -0,08
1,5 0,0266 0,02793 3,93 0,3 0,1
1,6 0,0276 0,029072 3,96 0,4 -0,1
1,7 0,029 0,030643 4 0,3 -0,1
1,8 0,031 0,03286 4,03 0,2 -0,1
1,9 0,0316 0,033601 4,05 0,1 0,3
2 0,0325 0,034667 4,06 0,4 -0,1
2,1 0,0336 0,035952 4,1 0,3 -0,1
2,2 0,0366 0,039284 4,13 0,2 0,1
2,3 0,0375 0,040375 4,15 0,3 0
2,4 0,0387 0,041796 4,18 0,3 -0,14
2,5 0,0408 0,0442 4,21 0,16 0,04
3 0,046 0,0506 4,29 0,2 -0,04
3,5 0,052 0,058067 4,39 0,16 0,02
4 0,0588 0,06664 4,47 0,18 -0,02
4,5 0,0639 0,073485 4,56 0,16 -0,02
5 0,0692 0,080733 4,64 0,16 0,04
5,5 0,0756 0,08946 4,72 0,2 -0,02
6 0,0795 0,0954 4,82 0,18 0,02
6,5 0,0856 0,104147 4,91 0,2 0,02
7 0,0925 0,114083 5,01 0,22 -0,02
7,5 0,0967 0,120875 5,12 0,2 0,12
8 0,1023 0,12958 5,22 0,32 0,04
8,5 0,1085 0,139242 5,38 0,36 0,1
9 0,113 0,1469 5,56 0,46 0,98
9,5 0,1192 0,156947 5,79 1,44 3,46
10 0,1239 0,1652 6,51 4,9 0,6
10,1 0,1259 0,168286 7 5,5 9,8
10,2 0,1277 0,171118 7,55 15,3 -11,4
10,3 0,1166 0,156633 9,08 3,9 1,1
10,4 0,1273 0,171431 9,47 5 -3,2
10,5 0,1301 0,175635 9,97 1,8 -0,8
10,6 0,1339 0,181211 10,15 1 0,8
10,7 0,13 0,176367 10,25 1,8 -1
10,8 0,1411 0,191896 10,43 0,8 0,1
10,9 0,1421 0,19373 10,51 0,9 -0,3
11 0,1442 0,197073 10,6 0,6 -0,28
11,5 0,1576 0,218013 10,9 0,32 -0,06
12 0,1619 0,22666 11,06 0,26 -0,08
12,5 0,18 0,255 11,19 0,18 -0,04
13 0,202 0,289533 11,28 0,14 0
13,5 0,221 0,32045 11,35 0,14 -0,06
14 0,237 0,3476 11,42 0,08 0,06
14,5 0,242 0,358967 11,46 0,14
15 0,26 0,39 11,53
A partir dos dados, obteve-se os gráficos de condutância versus volume, pH versus
volume, 1˚ derivada e 2˚ derivada, que podem ser observados nos anexos: 1,2,3 e 4.
Cálculo a partir da Concentração de ácido acético pela Condutância:
Veq. = 10,4
[NaOH] = 0,095M
CNaOHx VNaOH = CHAc x VHAc
0,095mol/L x 10,4 mL = CHAc x 55mL
CHAc= 1,79.10-2
mol/L
Como a amostra foi diluída:
1,79.10-2
mol/L x 55mL= C2HAc x 5mL
C2HAc= 0,1969mol/L
Cálculo do pKa pela condutividade obtida experimentalmente:
Sendo
α=Λm/Λ∞
onde Λm é a condutividade molar obtida experimentalmente, e Λ∞ é a condutividade
molar a diluição infinita, temos:
k = 208,8µScm-1
,
Então Λm = k.1000 / C2HAc
Como C2HAc = 0,1969mol/L , temos:
Λm =1,06 Scm2
/mol
Λ∞ é igual à ΛH
+
+ ΛAc
-
= 349,65 + 40,9 = 390 cm2
S/mol, então α é:
α = 1,06/390 = 2,7.10-3
Sabendo que Ka = α2
.C/1-α onde α é o grau de dissociação do ácido e C a concentração
do ácido na solução:
Ka = (2,7.10-3
)2
.0,1969/1-2,7.10-3
= 1,4.10-6
por definição pKa= - log Ka, logo
pKa= 5,8
Cálculo da concentração de ácido acético pela Potenciometria:
Veq = 10,2 mL
CNaOHx VNaOH = CHAc x VHAc
0,095 mol/L x 10,2 mL = CHAc x 55mL
CHAc=1,76.10-2
mol/L
Em 5 ml >> C2HAc = 0,1936 mol/L
pka obtido pela Potenciometria
pKa é o valor no qual se tem 50% do ácido dissociado e 50% na forma conjugada, então
o volume necessário para que isso aconteça é igual à metade do volume de equivalência,
portanto, 5,1 mL, sabendo que pH = pKa, projetando-se o volume encontrado, temos
que:
pKa= 4,64
Ka = 2,2.10-5
Pode-se observar que os valores de pKa obtidos para diferentes métodos são próximos,
porém não iguais, o que mostra a vantagem do uso do eletrodo de vidro.
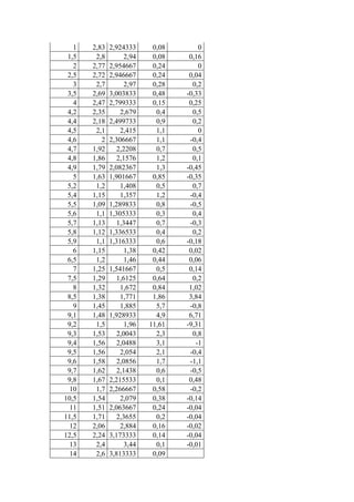
Parte 2 - Amostra de Vinagre
Volume
k
(20mS) K Real ΔpH/ΔV Δ2pH/ΔV2
0 3,09 3,09 0,1 -0,04
0,5 2,95 2,999167 0,06 0,02
1 2,83 2,924333 0,08 0
1,5 2,8 2,94 0,08 0,16
2 2,77 2,954667 0,24 0
2,5 2,72 2,946667 0,24 0,04
3 2,7 2,97 0,28 0,2
3,5 2,69 3,003833 0,48 -0,33
4 2,47 2,799333 0,15 0,25
4,2 2,35 2,679 0,4 0,5
4,4 2,18 2,499733 0,9 0,2
4,5 2,1 2,415 1,1 0
4,6 2 2,306667 1,1 -0,4
4,7 1,92 2,2208 0,7 0,5
4,8 1,86 2,1576 1,2 0,1
4,9 1,79 2,082367 1,3 -0,45
5 1,63 1,901667 0,85 -0,35
5,2 1,2 1,408 0,5 0,7
5,4 1,15 1,357 1,2 -0,4
5,5 1,09 1,289833 0,8 -0,5
5,6 1,1 1,305333 0,3 0,4
5,7 1,13 1,3447 0,7 -0,3
5,8 1,12 1,336533 0,4 0,2
5,9 1,1 1,316333 0,6 -0,18
6 1,15 1,38 0,42 0,02
6,5 1,2 1,46 0,44 0,06
7 1,25 1,541667 0,5 0,14
7,5 1,29 1,6125 0,64 0,2
8 1,32 1,672 0,84 1,02
8,5 1,38 1,771 1,86 3,84
9 1,45 1,885 5,7 -0,8
9,1 1,48 1,928933 4,9 6,71
9,2 1,5 1,96 11,61 -9,31
9,3 1,53 2,0043 2,3 0,8
9,4 1,56 2,0488 3,1 -1
9,5 1,56 2,054 2,1 -0,4
9,6 1,58 2,0856 1,7 -1,1
9,7 1,62 2,1438 0,6 -0,5
9,8 1,67 2,215533 0,1 0,48
10 1,7 2,266667 0,58 -0,2
10,5 1,54 2,079 0,38 -0,14
11 1,51 2,063667 0,24 -0,04
11,5 1,71 2,3655 0,2 -0,04
12 2,06 2,884 0,16 -0,02
12,5 2,24 3,173333 0,14 -0,04
13 2,4 3,44 0,1 -0,01
14 2,6 3,813333 0,09
15 2,8 4,2
A partir dos dados, obteve-se os gráficos que seguem em anexo: 5, 6, 7 e 8.
Densidade ácido acético = 1,05g/mL
Massa Molar do ácido acético = 60,05g/mL
Cálculo da concentração de ácido acético pela Potenciometria :
Veq = 10,5 mL
CNaOHx VNaOH = CHAc x VHAc
0,095 mol/L x 10,5 mL = CHAc x 50mL
CHAc = 0,01995 mol/L
Como o fator de diluição da amostra é igual a 10: CHAc = 0,1995 mol/L
Calculo da Porcentagem de Ácido Acético em vinagre:
CHAc = 0,1995mol/L
Massa de ácido acético = CHAc . Massa molar = 0,1995mol x 60,05g.mol-1
= 11,97g
HAc teórico em 55mL, d = m/ v, m = 1,05g/mL.55mL = 57,75g
% HAc = 11,97g x 100/ 57,75g = 20,07%
A partir dos dados, pode-se concluir que a amostra provavelmente está contaminada
com ácido clorídrico, isso porque podemos observar o gráfico da condutância x volume,
que se assemelha à um gráfico potenciométrico de uma mistura equimolar de HCl e
ácido acético e que além disso a porcentagem de ácido acético está acima do limite
previsto pela Legislação Brasileira que é de 4 – 8%.
Questões
Em uma titulação ácido base, a reação que ocorre é uma “neutralização”, a qual
define a estequiometria envolvida.Escreva a reação de neutralização que ocorre
neste caso.
CH3COOH(aq) + NaOH(aq) → CH3COONa(aq) + H2O(l)
Qual é o pH de equivalência teórico desta titulação? Porque é diferente de pH = 7?
O pH teórico é em torno de 9,2. Ele é maior que 7 devido a hidrólise do ânion do ácido
fraco, a qual origina íons OH-
, aumentando o pH da solução.
O que você entende por padrão primário? Para que serve a padronização?
Um padrão primário é uma substância química que deve ter as seguintes características:
se estável (não higroscópico, não-oxidável, estável ante o CO2 atmosférico), possuir
peso molecular elevado (para minimizar erros na padronização), deve ser fácil de
purificar e obter, grau de pureza superior a 99%. A padronização serve para determinar
a concentração de uma substância em uma titulação, pois no ponto de equivalência a
concentração do titulante é igual a do titulado.
Porque o eletrodo de vidro pode substituir os eletrodos indicador e o de referência
na titulação? Quais as reações envolvidas neste eletrodo,para que possa gerar um
potencial que varie com a concentração de H+
?
Porque o eletrodo de vidro é constituído de uma fina membrana de vidro seletivamente
permeável ao íon hidrogênio, estabelecendo uma diferença de potencial através da
difusão dos íons, funcionando portanto como eletrodo indicador. Além disso, possui um
eletrodo de referência interno.
H+
+ Na+
Vidro  Na+
+ H+
Vidro
Qual o conceito fundamental de análise potenciométrica?
O conceito fundamental da análise potenciométrica baseia-se na medida da força
eletromotriz de uma célula galvânica de dois eletrodos, sendo um indicador e o outro de
referência. O potencial de um eletrodo é determinado pelas atividades de uma ou mais
espécies componentes do sistema. O eletrodo indicador deve ser sensível à espécie
interessada, já o eletrodo de referência possui potencial constante, os dois são ligados
através de uma ponte salina.
Qual a principal vantagem do método potenciométrico?
A potenciometria apresenta várias vantagens em termos de simplicidade, rapidez e
precisão, também possui boa sensibilidade, permitindo a utilização desta técnica em
soluções muito diluídas.
Qual é o requisito fundamental do método potenciométrico para se obterem
resultados satisfatórios em titulações?
Deve-se evitar o potencial de junção que ocorre entre a solução do eletrodo de
referência e a solução em estudo. Para que isso não ocorra usa-se uma ponte salina,
além disso, deve-se evitar soluções muito concentradas em base, para que não ocorra o
erro alcalino (pH medido é menor do que o real).
Porque, durante a titulação potenciométrica, não se pode lavar o eletrodo ou
alterar o volume do sistema?
Ao lavar o eletrodo aumenta-se o erro na medida, devido aos íons H+
e OH-
, que
possuem alta mobilidade, além disso, o aumento de volume ocasiona um erro de
diluição de pode ser evitado utilizando um fator de correção ou um titulante dez vezes
mais concentrado do que o titulado.
Quais os principais tipos de eletrodos utilizados em métodos potenciométricos?
Os eletrodos utilizados em métodos potenciométricos são eletrodos de referências,
aqueles que possuem potencial constante, e eletodos indicadores, aqueles que são
seletivos à substância interessada. Os eletrodos indicadores são basicamente de dois
tipos: eletrodos baseados em sistemas de oxido-redução, os quais são construídos de um
metal participando do próprio sistema de oxido-redução ou de um metal inerte em
contato com um sistema de oxido-redução; ou eletrodos de membranas, estes se
baseiam em reações de troca iônica e difusão nas interfaces de diferentes tipos de
membranas.
Conclusão
Conclui-se que através da técnica utilizada o objetivo da prática pode ser obtido sem
grandes dificuldades e o resultado é satisfatório, além disso, temos que para a obtenção
do pka do ácido o método potenciométrico se aproxima mais do valor teórico.
Bibliografia
OHLWEILER, O.A. QUÍMICA ANALÍTICA QUANTITATIVA,vol.3.Rio de Janeiro:
Livros Técnicos e Científicos Editora S.A., 1974. Pág. 792-830

Potenciometria relat

  • 1.
    Universidade Federal deSão Carlos Centro de Ciências Exatas e Tecnológicas Departamento de Química Análise Instrumental II : Métodos Eletroanalíticos Determinação por Titulação Potenciométrica e Condutométrica de ácido acético em vinagre São Carlos, 20 de Abril de 2012
  • 2.
    Objetivo Determinar experimentalmente, atravésda técnica de titulação potenciométrica e condutométrica, a constante de acidez do ácido acético e sua concentração no vinagre. Introdução A Potenciometria é uma técnica que se baseia na medida da f.e.m. de uma célula galvânica composta de dois eletrodos, um de referência (tem potencial constante) e outro indicador (sensível a espécie interessada), obtendo-se então a f.e.m. da célula pela diferença entre os potenciais dos dois eletrodos, ou seja: Ecélula = Eindicador – Ereferência (1) A rigor, deveria ser incluído na equação (1) o potencial de junção líquida: potencial que aparece entre a solução do sistema do eletrodo de referência e a solução de estudo. No entanto o potencial de junção é minimizado pelo uso de uma ponte salina com solução saturada de KCl. A Potenciometria compreende duas técnicas: a potenciometria direta que determina a concentração do íon ativo simplesmente medindo a f.e.m. da célula, é sensível à soluções muito diluídas, já a titulação potenciometrica mede-se a f.e.m. da célula no curso da titulação, onde o potencial do eletrodo indicador variará bruscamente perto do ponto de equivalência e portanto a f.e.m. da célula também. A aplicação mais importante do método se encontra na determinação do pH, e para isso utiliza-se um eletrodo de vidro, que é constituído de uma fina membrana de vidro seletivamente permeável ao íon hidrogênio, uma solução ácida de pH fixo e um eletrodo de referência imerso nesta solução. Uma das aplicações da Potenciometria é a determinação da acidez do ácido acético em vinagre através de uma titulação potenciométrica de neutralização. O ácido acético é um ácido fraco de Ka = 1,8.10-5 que em água se dissocia segundo a reação: Na industria alimentícia uma solução de ácido acético é usado como condimento, o vinagre, cuja acidez deve ser de 4% a 8%, segundo a legislação brasileira. Procedimento Experimental Primeiramente coletou-se os dados para a determinação do Ka do ácido acético, para isso, utilizou-se de um sistema constituído de bureta, agitador magnético, eletrodo de vidro acoplado ao medidor, eletrodo de platina acoplado a um condutivímetro (Analion
  • 3.
    – analógico), béquere suportes necessários. Então pipetou-se com uma pipeta volumétrica 5,0mL de ácido acético em um béquer de 100mL. Mediu-se a condutividade da solução. Adicionou-se à bureta a solução padronizada de NaOH (0,095M) e titulou-se com incrementos de 0,5mL. Posteriormente, mantendo-se o mesmo sistema, determinou-se o ácido acético em vinagre, pipetou-se com uma pipeta volumétrica 5,0mL de uma amostra anteriormente preparada (55,0mL de vinagre comercial diluído em 500ml de água destilada), passando-a para um balão volumétrico onde completou-se o volume com 50mL de água destilada. Passou-se a amostra para um béquer e titulou-se com NaOH padronizado em incrementos de 0,5mL ou 0,1mL dependendo da variação de pH e condutância. Resultados e Discussão Parte 1 – Amostra Padrão Condutividade Padrão teórico 146,9 μS/cm Condutividade Padrão Experimental 148,2 μS/cm Condutividade Ácido acético 208,8 μS/cm Volume K(20mS) K real pH ΔpH/ΔV ΔpH2 /ΔV2 0 0,01 0,01 3,21 0,62 -0,22 0,5 0,0179 0,018198 3,52 0,44 -0,06 1 0,0211 0,021803 3,74 0,38 -0,08 1,5 0,0266 0,02793 3,93 0,3 0,1 1,6 0,0276 0,029072 3,96 0,4 -0,1 1,7 0,029 0,030643 4 0,3 -0,1 1,8 0,031 0,03286 4,03 0,2 -0,1 1,9 0,0316 0,033601 4,05 0,1 0,3 2 0,0325 0,034667 4,06 0,4 -0,1 2,1 0,0336 0,035952 4,1 0,3 -0,1 2,2 0,0366 0,039284 4,13 0,2 0,1 2,3 0,0375 0,040375 4,15 0,3 0 2,4 0,0387 0,041796 4,18 0,3 -0,14 2,5 0,0408 0,0442 4,21 0,16 0,04 3 0,046 0,0506 4,29 0,2 -0,04 3,5 0,052 0,058067 4,39 0,16 0,02 4 0,0588 0,06664 4,47 0,18 -0,02 4,5 0,0639 0,073485 4,56 0,16 -0,02 5 0,0692 0,080733 4,64 0,16 0,04 5,5 0,0756 0,08946 4,72 0,2 -0,02 6 0,0795 0,0954 4,82 0,18 0,02 6,5 0,0856 0,104147 4,91 0,2 0,02 7 0,0925 0,114083 5,01 0,22 -0,02 7,5 0,0967 0,120875 5,12 0,2 0,12
  • 4.
    8 0,1023 0,129585,22 0,32 0,04 8,5 0,1085 0,139242 5,38 0,36 0,1 9 0,113 0,1469 5,56 0,46 0,98 9,5 0,1192 0,156947 5,79 1,44 3,46 10 0,1239 0,1652 6,51 4,9 0,6 10,1 0,1259 0,168286 7 5,5 9,8 10,2 0,1277 0,171118 7,55 15,3 -11,4 10,3 0,1166 0,156633 9,08 3,9 1,1 10,4 0,1273 0,171431 9,47 5 -3,2 10,5 0,1301 0,175635 9,97 1,8 -0,8 10,6 0,1339 0,181211 10,15 1 0,8 10,7 0,13 0,176367 10,25 1,8 -1 10,8 0,1411 0,191896 10,43 0,8 0,1 10,9 0,1421 0,19373 10,51 0,9 -0,3 11 0,1442 0,197073 10,6 0,6 -0,28 11,5 0,1576 0,218013 10,9 0,32 -0,06 12 0,1619 0,22666 11,06 0,26 -0,08 12,5 0,18 0,255 11,19 0,18 -0,04 13 0,202 0,289533 11,28 0,14 0 13,5 0,221 0,32045 11,35 0,14 -0,06 14 0,237 0,3476 11,42 0,08 0,06 14,5 0,242 0,358967 11,46 0,14 15 0,26 0,39 11,53 A partir dos dados, obteve-se os gráficos de condutância versus volume, pH versus volume, 1˚ derivada e 2˚ derivada, que podem ser observados nos anexos: 1,2,3 e 4. Cálculo a partir da Concentração de ácido acético pela Condutância: Veq. = 10,4 [NaOH] = 0,095M CNaOHx VNaOH = CHAc x VHAc 0,095mol/L x 10,4 mL = CHAc x 55mL CHAc= 1,79.10-2 mol/L Como a amostra foi diluída: 1,79.10-2 mol/L x 55mL= C2HAc x 5mL C2HAc= 0,1969mol/L Cálculo do pKa pela condutividade obtida experimentalmente: Sendo α=Λm/Λ∞
  • 5.
    onde Λm éa condutividade molar obtida experimentalmente, e Λ∞ é a condutividade molar a diluição infinita, temos: k = 208,8µScm-1 , Então Λm = k.1000 / C2HAc Como C2HAc = 0,1969mol/L , temos: Λm =1,06 Scm2 /mol Λ∞ é igual à ΛH + + ΛAc - = 349,65 + 40,9 = 390 cm2 S/mol, então α é: α = 1,06/390 = 2,7.10-3 Sabendo que Ka = α2 .C/1-α onde α é o grau de dissociação do ácido e C a concentração do ácido na solução: Ka = (2,7.10-3 )2 .0,1969/1-2,7.10-3 = 1,4.10-6 por definição pKa= - log Ka, logo pKa= 5,8 Cálculo da concentração de ácido acético pela Potenciometria: Veq = 10,2 mL CNaOHx VNaOH = CHAc x VHAc 0,095 mol/L x 10,2 mL = CHAc x 55mL CHAc=1,76.10-2 mol/L Em 5 ml >> C2HAc = 0,1936 mol/L pka obtido pela Potenciometria pKa é o valor no qual se tem 50% do ácido dissociado e 50% na forma conjugada, então o volume necessário para que isso aconteça é igual à metade do volume de equivalência, portanto, 5,1 mL, sabendo que pH = pKa, projetando-se o volume encontrado, temos que: pKa= 4,64 Ka = 2,2.10-5 Pode-se observar que os valores de pKa obtidos para diferentes métodos são próximos, porém não iguais, o que mostra a vantagem do uso do eletrodo de vidro. Parte 2 - Amostra de Vinagre Volume k (20mS) K Real ΔpH/ΔV Δ2pH/ΔV2 0 3,09 3,09 0,1 -0,04 0,5 2,95 2,999167 0,06 0,02
  • 6.
    1 2,83 2,9243330,08 0 1,5 2,8 2,94 0,08 0,16 2 2,77 2,954667 0,24 0 2,5 2,72 2,946667 0,24 0,04 3 2,7 2,97 0,28 0,2 3,5 2,69 3,003833 0,48 -0,33 4 2,47 2,799333 0,15 0,25 4,2 2,35 2,679 0,4 0,5 4,4 2,18 2,499733 0,9 0,2 4,5 2,1 2,415 1,1 0 4,6 2 2,306667 1,1 -0,4 4,7 1,92 2,2208 0,7 0,5 4,8 1,86 2,1576 1,2 0,1 4,9 1,79 2,082367 1,3 -0,45 5 1,63 1,901667 0,85 -0,35 5,2 1,2 1,408 0,5 0,7 5,4 1,15 1,357 1,2 -0,4 5,5 1,09 1,289833 0,8 -0,5 5,6 1,1 1,305333 0,3 0,4 5,7 1,13 1,3447 0,7 -0,3 5,8 1,12 1,336533 0,4 0,2 5,9 1,1 1,316333 0,6 -0,18 6 1,15 1,38 0,42 0,02 6,5 1,2 1,46 0,44 0,06 7 1,25 1,541667 0,5 0,14 7,5 1,29 1,6125 0,64 0,2 8 1,32 1,672 0,84 1,02 8,5 1,38 1,771 1,86 3,84 9 1,45 1,885 5,7 -0,8 9,1 1,48 1,928933 4,9 6,71 9,2 1,5 1,96 11,61 -9,31 9,3 1,53 2,0043 2,3 0,8 9,4 1,56 2,0488 3,1 -1 9,5 1,56 2,054 2,1 -0,4 9,6 1,58 2,0856 1,7 -1,1 9,7 1,62 2,1438 0,6 -0,5 9,8 1,67 2,215533 0,1 0,48 10 1,7 2,266667 0,58 -0,2 10,5 1,54 2,079 0,38 -0,14 11 1,51 2,063667 0,24 -0,04 11,5 1,71 2,3655 0,2 -0,04 12 2,06 2,884 0,16 -0,02 12,5 2,24 3,173333 0,14 -0,04 13 2,4 3,44 0,1 -0,01 14 2,6 3,813333 0,09
  • 7.
    15 2,8 4,2 Apartir dos dados, obteve-se os gráficos que seguem em anexo: 5, 6, 7 e 8. Densidade ácido acético = 1,05g/mL Massa Molar do ácido acético = 60,05g/mL Cálculo da concentração de ácido acético pela Potenciometria : Veq = 10,5 mL CNaOHx VNaOH = CHAc x VHAc 0,095 mol/L x 10,5 mL = CHAc x 50mL CHAc = 0,01995 mol/L Como o fator de diluição da amostra é igual a 10: CHAc = 0,1995 mol/L Calculo da Porcentagem de Ácido Acético em vinagre: CHAc = 0,1995mol/L Massa de ácido acético = CHAc . Massa molar = 0,1995mol x 60,05g.mol-1 = 11,97g HAc teórico em 55mL, d = m/ v, m = 1,05g/mL.55mL = 57,75g % HAc = 11,97g x 100/ 57,75g = 20,07% A partir dos dados, pode-se concluir que a amostra provavelmente está contaminada com ácido clorídrico, isso porque podemos observar o gráfico da condutância x volume, que se assemelha à um gráfico potenciométrico de uma mistura equimolar de HCl e ácido acético e que além disso a porcentagem de ácido acético está acima do limite previsto pela Legislação Brasileira que é de 4 – 8%. Questões Em uma titulação ácido base, a reação que ocorre é uma “neutralização”, a qual define a estequiometria envolvida.Escreva a reação de neutralização que ocorre neste caso. CH3COOH(aq) + NaOH(aq) → CH3COONa(aq) + H2O(l) Qual é o pH de equivalência teórico desta titulação? Porque é diferente de pH = 7? O pH teórico é em torno de 9,2. Ele é maior que 7 devido a hidrólise do ânion do ácido fraco, a qual origina íons OH- , aumentando o pH da solução. O que você entende por padrão primário? Para que serve a padronização? Um padrão primário é uma substância química que deve ter as seguintes características: se estável (não higroscópico, não-oxidável, estável ante o CO2 atmosférico), possuir peso molecular elevado (para minimizar erros na padronização), deve ser fácil de purificar e obter, grau de pureza superior a 99%. A padronização serve para determinar
  • 8.
    a concentração deuma substância em uma titulação, pois no ponto de equivalência a concentração do titulante é igual a do titulado. Porque o eletrodo de vidro pode substituir os eletrodos indicador e o de referência na titulação? Quais as reações envolvidas neste eletrodo,para que possa gerar um potencial que varie com a concentração de H+ ? Porque o eletrodo de vidro é constituído de uma fina membrana de vidro seletivamente permeável ao íon hidrogênio, estabelecendo uma diferença de potencial através da difusão dos íons, funcionando portanto como eletrodo indicador. Além disso, possui um eletrodo de referência interno. H+ + Na+ Vidro  Na+ + H+ Vidro Qual o conceito fundamental de análise potenciométrica? O conceito fundamental da análise potenciométrica baseia-se na medida da força eletromotriz de uma célula galvânica de dois eletrodos, sendo um indicador e o outro de referência. O potencial de um eletrodo é determinado pelas atividades de uma ou mais espécies componentes do sistema. O eletrodo indicador deve ser sensível à espécie interessada, já o eletrodo de referência possui potencial constante, os dois são ligados através de uma ponte salina. Qual a principal vantagem do método potenciométrico? A potenciometria apresenta várias vantagens em termos de simplicidade, rapidez e precisão, também possui boa sensibilidade, permitindo a utilização desta técnica em soluções muito diluídas. Qual é o requisito fundamental do método potenciométrico para se obterem resultados satisfatórios em titulações? Deve-se evitar o potencial de junção que ocorre entre a solução do eletrodo de referência e a solução em estudo. Para que isso não ocorra usa-se uma ponte salina, além disso, deve-se evitar soluções muito concentradas em base, para que não ocorra o erro alcalino (pH medido é menor do que o real). Porque, durante a titulação potenciométrica, não se pode lavar o eletrodo ou alterar o volume do sistema? Ao lavar o eletrodo aumenta-se o erro na medida, devido aos íons H+ e OH- , que possuem alta mobilidade, além disso, o aumento de volume ocasiona um erro de diluição de pode ser evitado utilizando um fator de correção ou um titulante dez vezes mais concentrado do que o titulado. Quais os principais tipos de eletrodos utilizados em métodos potenciométricos? Os eletrodos utilizados em métodos potenciométricos são eletrodos de referências, aqueles que possuem potencial constante, e eletodos indicadores, aqueles que são
  • 9.
    seletivos à substânciainteressada. Os eletrodos indicadores são basicamente de dois tipos: eletrodos baseados em sistemas de oxido-redução, os quais são construídos de um metal participando do próprio sistema de oxido-redução ou de um metal inerte em contato com um sistema de oxido-redução; ou eletrodos de membranas, estes se baseiam em reações de troca iônica e difusão nas interfaces de diferentes tipos de membranas. Conclusão Conclui-se que através da técnica utilizada o objetivo da prática pode ser obtido sem grandes dificuldades e o resultado é satisfatório, além disso, temos que para a obtenção do pka do ácido o método potenciométrico se aproxima mais do valor teórico. Bibliografia OHLWEILER, O.A. QUÍMICA ANALÍTICA QUANTITATIVA,vol.3.Rio de Janeiro: Livros Técnicos e Científicos Editora S.A., 1974. Pág. 792-830