Modalidades Esportivas Coletivas

               FUTEBOL E FUTSAL


             Alessandro H. Nicolai Ré




                REGRAS BÁSICAS


Futsal (maiores detalhes em futsal.com.br): quadra,
  número jogadores, goleiro, substituições, lateral,
  escanteio, etc.

Futebol (maiores detalhes em pt.fifa.com): campo,
  número     jogadores,   goleiro  (bola atrasada),
  substituições, impedimento, etc.




                                                       1
Quais as características ideais em um atleta de
                             alto nível?

• Capacidades motoras condicionais
     Resistência aeróbia: importante para a recuperação entre os períodos
     de alta intensidade do jogo
     Velocidade/Potência muscular: fundamental para situações de elevada
     velocidade de deslocamento, saltos, etc.

• Capacidades motoras coordenativas: importante para a execução das
  habilidades motoras específicas (fundamentos), organização e controle
  de movimentos (equilíbrio, agilidade, etc.)

• Conhecimento    cognitivo:   inteligência         de    jogo,       criatividade,
  p
  posicionamento tático adequado
                           q

• Controle emocional adequado

NA    PRÁTICA É POSSÍVEL SEGMENTAR CADA UMA                               DESSAS
    CARACTERÍSTICAS?
...OU ELAS INTERAGEM, INFLUENCIANDO-SE MUTUAMENTE?




                          Futebol e futsal: uma visão geral


                                       Game-play




           Tatical demands                               Physical /
                                                         technical
                                                         demands




(adaptado de Sheppard & Young, 2006)




                                                                                      2
Processo de aquisição de habilidades
             motoras (conceitos básicos)


•    O que é habilidade motora?
     Coordenação de movimentos                  corporais,   para       atingir
     determinado objetivo.

•    A execução de habilidades motoras relaciona-se com:
a)   as capacidades motoras coordenativas;
b)   as capacidades motoras condicionais;
c)   o conhecimento cognitivo.  Red Bull – free style




            Interferência de aspectos cognitivos


• Entendimento da informação

• Parte integrante da ação habilidosa




                                                                    Desafio cognitivo




                                                                                        3
Características do Indivíduo
                                                 (funcionais e estruturais)




                                                          Força




                                                      Coordenação




                        Resistência                                               Velocidade



                                                                                      Características do Ambiente
Características da Tarefa




                              HM fundamentais




    Estratégias               de      ensino-aprendizagem                       de       habilidades
    motoras
                                                         Prática
                                                       randômica
                                                       (aleatória)
                   Regras rígidas, uma                                               Jogos reais
                       única HM                                                Jogos reduzidos (regras
                                                                                     adaptadas)




                               r
                Prática                                                                    Prática
               constante                                                                   variada




                  Uma única HM, sem                                            Regras rígidas,
                      variação                                                  diversas HM



                                                       Prática em
                                                         bloco

                                                                                          (Williams & Hodges, 2005)




                                                                                                                      4
INTERFERÊNCIA DO PROCESSO DE MATURAÇÃO
                      BIOLÓGICA

      • O processo de maturação biológica interfere no
        desempenho motor?




                    Estágio ADULTO                                                  Estágio NÃO ADULTO
                  (maturação biológica)                                             (maturação biológica)




            Sem domínio da modalidade                                           Bom nível de desempenho




       FÍSICO                  FÍSICO                TÉCNICO                 TÉCNICO
                       - Jogos reduzidos                                                            TÁTICO                    TÁTICO
  -Jogos formais e                         - Fundamentos com pouca      - Jogos com regra
                       (desenvolvimento                                                     - Jogos diversificados     - Jogos com regra
   adaptados com                             variação e baixo desafio      formal e jogos
                         físico de modo                                                          com ênfase na            formal e jogos
elevada intensidade                             cognitivo (analítico)        adaptados
                              indireto)                                                       percepção espaço-              adaptados
     de esforço                             - Jogos adaptados (baixa         - Treino de
                           - Jogos com                                                              temporal         - Jogadas ensaiadas
-- Treino específico                              complexidade)         fundamentos com
                         regras formais                                                        - Jogos com regra           - Ênfase nos
de força e potência                            - Estímulos motores             elevada        formal e adaptados        sistemas de jogo
                                               diversificados (várias       variabilidade
                                                   modalidades)




                                                                                                                                           5
Indicadores de prática em jogos (estatística
                 de jogos)




     Categorias Sub-13 e Sub-15 (federados) – contatos
           com a bola por jogo (Ré, 2007, 2008)


    FUTSAL                             FUTEBOL




                                                         6
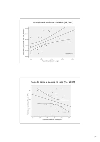
Fidedignidade e validade dos testes (Ré, 2007)
Teste chute (veloc saída bola com precisão)
                                  p




                                                                                               % chutes certos em 5 jogos




                                                                                   Teste de passe e passes no jogo (Ré, 2007)
                                              Teste passe (contatar alvo em 30”)
                                                        e




                                                                                               % passes certos em cinco jogos




                                                                                                                                      7
Dribles no jogo e teste de zigue-zague

                          os
% drib certos em cinco jogo
     bles




                               Histórico de treinamento de atletas de
                               alto nível: relações com o treinamento
                               de não atletas adolescentes e adultos
                               (NÃO SERÁ COBRADO EM PROVA)




                                                                               8
Quantidade de prática em jogadores de futebol dos 8
              aos 18 anos de idade
              (a) amador (universitário)
              (b) profissionais




                                                         (Ward, 2002)




Idade (desvio -
   padrão) de
  jogadores de
diferentes níveis
  competitivos
 (Abernethy et
    al.,2005)




 A exposição
 PRECOCE ao
  esporte é
 importante?




                                                                        9
Capacidades motoras condicionais: treinamento
                                                                             durante os jogos

                       Futebol (Castagna et al., 2003)                                                                                                                          Futsal (Alvarez et al., 2008)




                                                                Entre 8,1 e 13 km.h-1
Distância percorrida

                          Caminhando costas




                                                                                                                                   Correndo de costas
                                                                                        Entre 13,1 e 18 km.h-1
                                              Abaixo 8 km.h-1




                                                                                                                 Acima 18 km.h-1




                                                                                                                                                        Total acima 13 km.h-1




                                              Futebol - Tempo (% do melhor tempo - sprint) em 5
                                              sprints de 30m com 25” de intervalo (Bangsbo et al.,
                                              2006) – Avaliação da fadiga e intensidade esforço




                                                                                                                                                                                                                10
Futebol feminino (Krustrup et al., 2005)




            Intensidade de esforço em adolescentes no futsal
                         (Castagna et al., 2007)



                       <70% FC máx.     70 a 85% FC máx.      >85% FC máx.

Respostas da FC em função do espaço de jogo, número de jogadores e reforço
(motivação) do técnico (Rampini et al., 2007)

                                         Jogos sem goleiro e com
                                         tamanho do gol reduzido. Todos
                                         deveriam estar no meio campo
                                         de ataque para valer o gol




                                                                             11
Distribuição da FC durante jogos de futsal (Alvarez, 2008)




   Futebol e promoção da saúde




                                                             12
13

Modali colet fut

  • 1.
    Modalidades Esportivas Coletivas FUTEBOL E FUTSAL Alessandro H. Nicolai Ré REGRAS BÁSICAS Futsal (maiores detalhes em futsal.com.br): quadra, número jogadores, goleiro, substituições, lateral, escanteio, etc. Futebol (maiores detalhes em pt.fifa.com): campo, número jogadores, goleiro (bola atrasada), substituições, impedimento, etc. 1
  • 2.
    Quais as característicasideais em um atleta de alto nível? • Capacidades motoras condicionais Resistência aeróbia: importante para a recuperação entre os períodos de alta intensidade do jogo Velocidade/Potência muscular: fundamental para situações de elevada velocidade de deslocamento, saltos, etc. • Capacidades motoras coordenativas: importante para a execução das habilidades motoras específicas (fundamentos), organização e controle de movimentos (equilíbrio, agilidade, etc.) • Conhecimento cognitivo: inteligência de jogo, criatividade, p posicionamento tático adequado q • Controle emocional adequado NA PRÁTICA É POSSÍVEL SEGMENTAR CADA UMA DESSAS CARACTERÍSTICAS? ...OU ELAS INTERAGEM, INFLUENCIANDO-SE MUTUAMENTE? Futebol e futsal: uma visão geral Game-play Tatical demands Physical / technical demands (adaptado de Sheppard & Young, 2006) 2
  • 3.
    Processo de aquisiçãode habilidades motoras (conceitos básicos) • O que é habilidade motora? Coordenação de movimentos corporais, para atingir determinado objetivo. • A execução de habilidades motoras relaciona-se com: a) as capacidades motoras coordenativas; b) as capacidades motoras condicionais; c) o conhecimento cognitivo. Red Bull – free style Interferência de aspectos cognitivos • Entendimento da informação • Parte integrante da ação habilidosa Desafio cognitivo 3
  • 4.
    Características do Indivíduo (funcionais e estruturais) Força Coordenação Resistência Velocidade Características do Ambiente Características da Tarefa HM fundamentais Estratégias de ensino-aprendizagem de habilidades motoras Prática randômica (aleatória) Regras rígidas, uma Jogos reais única HM Jogos reduzidos (regras adaptadas) r Prática Prática constante variada Uma única HM, sem Regras rígidas, variação diversas HM Prática em bloco (Williams & Hodges, 2005) 4
  • 5.
    INTERFERÊNCIA DO PROCESSODE MATURAÇÃO BIOLÓGICA • O processo de maturação biológica interfere no desempenho motor? Estágio ADULTO Estágio NÃO ADULTO (maturação biológica) (maturação biológica) Sem domínio da modalidade Bom nível de desempenho FÍSICO FÍSICO TÉCNICO TÉCNICO - Jogos reduzidos TÁTICO TÁTICO -Jogos formais e - Fundamentos com pouca - Jogos com regra (desenvolvimento - Jogos diversificados - Jogos com regra adaptados com variação e baixo desafio formal e jogos físico de modo com ênfase na formal e jogos elevada intensidade cognitivo (analítico) adaptados indireto) percepção espaço- adaptados de esforço - Jogos adaptados (baixa - Treino de - Jogos com temporal - Jogadas ensaiadas -- Treino específico complexidade) fundamentos com regras formais - Jogos com regra - Ênfase nos de força e potência - Estímulos motores elevada formal e adaptados sistemas de jogo diversificados (várias variabilidade modalidades) 5
  • 6.
    Indicadores de práticaem jogos (estatística de jogos) Categorias Sub-13 e Sub-15 (federados) – contatos com a bola por jogo (Ré, 2007, 2008) FUTSAL FUTEBOL 6
  • 7.
    Fidedignidade e validadedos testes (Ré, 2007) Teste chute (veloc saída bola com precisão) p % chutes certos em 5 jogos Teste de passe e passes no jogo (Ré, 2007) Teste passe (contatar alvo em 30”) e % passes certos em cinco jogos 7
  • 8.
    Dribles no jogoe teste de zigue-zague os % drib certos em cinco jogo bles Histórico de treinamento de atletas de alto nível: relações com o treinamento de não atletas adolescentes e adultos (NÃO SERÁ COBRADO EM PROVA) 8
  • 9.
    Quantidade de práticaem jogadores de futebol dos 8 aos 18 anos de idade (a) amador (universitário) (b) profissionais (Ward, 2002) Idade (desvio - padrão) de jogadores de diferentes níveis competitivos (Abernethy et al.,2005) A exposição PRECOCE ao esporte é importante? 9
  • 10.
    Capacidades motoras condicionais:treinamento durante os jogos Futebol (Castagna et al., 2003) Futsal (Alvarez et al., 2008) Entre 8,1 e 13 km.h-1 Distância percorrida Caminhando costas Correndo de costas Entre 13,1 e 18 km.h-1 Abaixo 8 km.h-1 Acima 18 km.h-1 Total acima 13 km.h-1 Futebol - Tempo (% do melhor tempo - sprint) em 5 sprints de 30m com 25” de intervalo (Bangsbo et al., 2006) – Avaliação da fadiga e intensidade esforço 10
  • 11.
    Futebol feminino (Krustrupet al., 2005) Intensidade de esforço em adolescentes no futsal (Castagna et al., 2007) <70% FC máx. 70 a 85% FC máx. >85% FC máx. Respostas da FC em função do espaço de jogo, número de jogadores e reforço (motivação) do técnico (Rampini et al., 2007) Jogos sem goleiro e com tamanho do gol reduzido. Todos deveriam estar no meio campo de ataque para valer o gol 11
  • 12.
    Distribuição da FCdurante jogos de futsal (Alvarez, 2008) Futebol e promoção da saúde 12
  • 13.