1ª. Um capacitor de 10µF é alimentado por uma tensão alternada
de valor eficaz V=120 V e freqüencia de 50 Hz. Calcule a reatância
do capacitor.
2ª. Um capacitor de reatância igual a 8 é alimentado por uma
tensão alternada de valor eficaz V=220 V e freqüencia de 50 Hz.
Calcule:
a) A capacitância do capacitor
b) A corrente eficaz sobre o capacitor


 
5,318
1010.50.2
1
2
1
6
fC
XC
F
fX
C
C
4
104
8.502
1
2
1 


A
X
V
I
C
C
C 5,27
8
220

3ª. Um capacitor é alimentado por uma tensão V = 150 V e
frequencia de 60 Hz, sendo percorrido por uma corrente de 0,4 A.
Calcule:
a) A reactância capacitiva.
b) A capacitância do capacitor .
4ª. Com um dado capacitor fizeram-se dois ensaios, tendo-se obtido
os seguintes valores:
1.°ensaio—V=220V, f=50 Hz, l=0,6A
2.°ensaio—V=220V, f= 150 Hz, I=?
Calcule:
a) A capacidade do condensador.
b) A corrente I absorvida no 2.º ensaio.
F
fX
C
C
6
108,5
550.502
1
2
1 


 550
4,0
220
C
C
C
I
V
X
a)
b)
A
X
V
I
fC
X
C
C
C
C
78,1
44,123
220
44,123
106,8.1502
1
2
1
6



 

F
fX
C
I
V
X
C
C
C
C


6,8
7,366.1502
1
2
1
67,366
6,0
220


5º) Uma bobina, com indutância L = 0,4 H e resistência R = 70 Ω
(imaginar um circuito em série) , é alimentada por uma tensão V =
120 V com frequencia de 60 Hz.
a) Calcule a reatância indutiva da bobina.
b) Calcule a impedância da bobina.
c) Calcule a corrente através da bobina
d) Determine as tensões VR e VL
e) Determine o ângulo entre VT e VR
 7,1502 fLXL 
 16,166707,150 2222
RXZ L
A
Z
V
I T
72,0
16,166
120

VIXVVRIV LLR 5,10872,0.7,1505,5072,0.70 









 65
70
7,150atg
R
Xatg L
6º) Em um laboratório, foram efetuados dois ensaios, um em c.c. e
outro em c.a., com uma bobina e tendo-se obtido as seguintes
leituras:
1º ensaio em c.c.: V=20V, I=0,4A.
2º ensaio em c.a.: V=120V, I=0,4A, f=50Hz.
Determine
a) A resistência eléctrica da bobina.
b) A impedância da bobina.
c) A reatância indutiva da bobina.
d) A indutância da bobina
H
f
X
L L
94,0
50.2
8,295
2


 504,0/20/ IVR R
 3004,0/120/ IVZ
   8,29522222
RZXRXZ LL
7º) Uma bobina tem uma resistência elétrica de 25 Ω e uma
indutância L = 0,5 H. Aplicou-se-lhe uma tensão alternada de valor
eficaz igual a U = 24 V. Calcule o valor de XL, Z e I nas duas situações
seguintes:
a) Supondo que f = 50 Hz.
b) Supondo que f =3000 Hz.
2 2
2 2 50 0,5 157,1
25 157,1 159,1
24
150
159,1
LX fL
Z
U
I mA
Z
      
   
  
2 3 2
2 2 3000 0,5 9,425 k
25 (9,425 10 ) 9,425 k
24
2,545 mA
9,425 k
LX fL
Z
U
I
Z
      
    
  

8º) Uma bobina com uma resistência R = 30 Ω absorve 0,5 A quando
submetida a U = 100 V e frequencia de 50 Hz. Calcule:
a) A sua impedância.
b) A sua reactância.
c) A sua indutância.
d) O ângulo .
e) Os valores de UR e UL.
8º)a) A sua impedância.
b) A sua reactância.
c) A sua indutância.
d) O ângulo .
e) Os valores de VR e VL.
100
200
0,5
U
Z
I
   
2 2 2 2
200 30 197,7LX Z R     
197,7
2 0,63
2 2 50
L
L
X
X fL L H
f

 
    

30
cos 0,15; 81,4º 1,42 rad
200
R
Z
     
L
30 0,5 15 V
U 197,7 0,5 98,9 V
R
L
U R I
X I
    
    
9º) Um circuito constituído por uma resistência R= 120 Ω ligada em
série, com uma capacitor de C = 20µF, é alimentado por uma tensão
V = 150 V — 50 Hz. Calcule:
a) A reatância capacitiva.
b) A impedância do circuito.
c) A intensidade da corrente.
d) As tensões parciais VR e VC.
e) O ângulo de desfasagem .
10ª. Fez-se um ensaio com um circuito RC série de que resultaram
os valores indicados na figura. Calcule:
a) A reactância capacitiva e a capacitância do capacitor
b) A resistência elétrica.
c)A impedância do circuito.
d) A tensão aplicada ao circuito.
e) O ângulo de desfasagem 
Resolução
a)
b)
c)
d)
e)
/ =47,8 1,5 31,87
1 (2 ) 1/ 2
1/ (2 50 31,87) 100μF
C C
C C
X U I
X fC C fX
C
 

  
  
   
/ 84 /1,5 56RR U I   
2 2 2 2
56 31,87 64,4CZ R X     
2 2 2 2
64,4 1,5 96,6 V ou
84 47,8 96,6 VR C
U ZI
U U U
   
    
1
56 84
cos 0,87 ou cos 0,87
64,4 96,6
cos 0,87 29,5º
RUR
Z U
 
 
     
  
11ª. Aplicou-se a um circuito elétrico, constituído por uma
resistência R = 100 Ω em serie com uma capacitor C = 10 µF, uma
tensão alternada de 50 V.
a) Supondo que a frequência era de 20 Hz, calcule os valores de XC,
Z, I, UR e UC.
b) Supondo que a frequência era de 2 kHz, calcule os valores de XC,
Z, I, UR e UC.
a)
6
2 2
3
3
1/ (2 ) 1/ (2 20 10 10 ) 795,8
100 795,8 802
50
62,3 mA
802
U 100 62,3 10 6,23 V
U 795,8 62,3 10 49,6 V
C
R
C C
X fC
Z
U
I
Z
RI
X I
  


      
   
  
    
    
b) 3 6
2 2
3
3
1/ (2 ) 1/ (2 2 10 10 10 ) 7,96
100 7,96 100,3
50
498 mA
100,3
U 100 498 10 49,8 V
U 7,96 498 10 3,96 V
C
R
C C
X fC
Z
U
I
Z
RI
X I
  


       
   
  
    
    
12ª) Aplicou-se uma tensão de 100 V — 50 Hz a um circuito RLC
série constituído por uma resistência R = 50 Ω, uma indutância L=
0,5 H e uma capacidade C = 150 µF. Calcule:
a) As reatâncias indutiva e capacitiva.
b) A impedância do circuito.
c) A intensidade de corrente.
d) As tensões parciais VR, VL e VC.
e) A desfasagem .
13ª) Considere um circuito RLC série, constituído por uma
resistência R = 100 Ω, uma reactância indutiva XL = 80 Ω e uma
reatância capacitiva XC =200 Ω. A tensão aplicada ao circuito é de
200 V — 50 Hz.
a) Calcule a impedância do circuito.
b) Calcule a intensidade da corrente no circuito.
c) Calcule as tensões parciais VR, VL e VC do circuito.
d) Calcule o valor de .
e) Construa o diagrama fasorial, indicando a natureza do
circuito.
Resolução
a)
b)
c)
d)
.
2 2 2 2 2
( ) 100 (80 200) 156,2L CZ R X X       
200 156,2 1,28 AI U Z  
100 1,28 128 V
80 1,28 102,4 V
200 1,28 256 V
R
L L
C C
U RI
U X I
U X I
   
   
   
1
100
cos 0,64
156,2
cos 0,64 50,2º
R
Z

 
  
  
14ª) Fez-se um ensaio com um circuito RLC série, tendo-se obtido os
seguintes valores: VT = 80 V, I= 1,6 A, VR = 56 V e VL = 130 V.
Sabendo que o circuito é predominantemente indutivo, calcule:
a) A tensão no capacitor.
b) A resistência, as reatâncias e a impedância.
c) O ângulo .
Resolução
a)
b)
c)
/ 56 /1,6 35
/ 130 /1,6 81,3
/ 72,9 /1,6 45,6
/ 80 /1,6 50
R
L L
C C
R U I
X U I
X U I
Z U I
   
   
   
   
1
35
cos 0,7
50
cos 0,64 45,6º
R
Z

 
  
 
2 2 2 2 2 2 2 2
2 2
80 56 57,13 V
57,13 130 72,9 V
R X X R X R
X X L C
C X L
U U U U U U U U U
U U U U
U U U
       
     
    
16ª) Considere um circuito RLC série com R= 30 Ω, L= 0,8 H e C = 8
µF. A tensão aplicada é de 60 V. Calcule:
a) A frequência de ressonância, sabendo que quando ocorre a
ressonância a reatância capacitiva é igual a reatância indutiva.
b) As tensões aos terminais da resistência, bobina e do capacitro,
para a frequência de ressonância.
Resolução
a)
b)
6
1 1
62,9 Hz
2 2 0,8 8 10
rf
LC  
  
 
6
2 2 62,9 0,8 316,2
1 1
316,2
2 2 62,9 8 10
Como se pode verificar para a frequência de ressonância
, logo,
60 V / 60 / 30 2 A
316,2 2 632,4 V
L
C
L C
R
L C
X fL
X
fC
X X Z R
U U I U R
U U XI
 
  
     
   
  
 
     
    
17ª) Um ensaio de um circuito RLC série forneceu-nos as leituras
indicadas no esquema apresentado.
a) Calcule os valores de R, XL, Xc e Z.
b) Calcule as potências reativas na bobina, no capacitor e total.
c) Calcule a potência ativa que o wattímetro deve indicar.
d) Calcule a potência aparente S e a tensão VT.
e) Construa o triângulo das potências.
f) Calcule o fator de potência do circuito e o ângulo .
g) Diga se o circuito é indutivo ou capacitivo.
18ª) Considere um circuito RLC série constituído por uma resistência
R = 100 Ω, uma reatância indutiva XL = 80 Ω e uma reatância
capacitiva XC = 200 Ω. A tensão aplicada ao circuito é de 200 V —
50 Hz.
a) Calcule a impedância do circuito
b) Calcule a intensidade no circuito
c) Calcule as potências reactivas parciais e total.
d) Calcule as potências activa e aparente
e) Construa o triângulo das potências.
f) Calcule o factor de potência e o ângulo 
g) Construa o diagrama vetorial, indicando a natureza do
circuito.
Resolução
a)
b)
c)
d)
e) Construir diagrama fasorial
2 2 2 2 2
( ) 100 (80 200) 156,2L CZ R X X       
200 156,2 1,28 AI U Z  
100 1,28 128 V
80 1,28 102,4 V
200 1,28 256 V
R
L L
C C
U RI
U X I
U X I
   
   
   
1
100
cos 0,64
156,2
cos 0,64 50,2º
R
Z

 
  
  
19ª) Fez-se um ensaio laboratorial com um circuito RC série, tendo-
se obtido os seguintes valores P = 150 W, UR = 75 V e UC = 60 V.
Calcule:
a)A tensão aplicada ao circuito.
b) A corrente no circuito.
c) As potências reactiva e aparente.
d) A resistência e a reactância.
e) A impedância do circuito.
f) A desfasagem .
Resolução
a)
b)
c)
d)
e)
f)
2 2 2 2
75 60 96 VR CU U U    
150
2 A
75
R
R
P
P U I I
U
     
2 2 2 2
A potência reactiva capacitiva é sempre negativa.
60 2 120 VAr
150 ( 120) 192 VA
CQ U I
S P Q
      
     
2 2
2 2
75 / 2 37,5 ou / 150 / 2 37,5
60 / 2 30 ou / 120 / 2 30
R
C C C C
R U I R P I
X U I X Q I
       
       
2 2 2 2
37,5 30 48CZ R X     
137,5
cos 0, cos 0,781 38,6º
48
R
Z
  
      
20ª) A bobina de um contactor absorve permanentemente uma
corrente de 0,04 A quando submetida a uma tensão de 230 V — 50
Hz. Sabendo que o consumo da bobina é de 2,5 W, calcule:
a) A resistência da bobina
b) A reatância da bobina.
c) As potências reativa e aparente.
d) O fator de potência e a desfasagem 
Resolução
a)
b)
c)
d)
2
2 2
2,5
1562,5
0,04
P
P RI R
I
     
2 2 2 2 2
2 2
/ 230 / 0,04 5750
5750 1562,5 5533,6
L L
L
Z U I
Z R X X Z R
X
   
     
    
2 2
5533,6 0,04 8,85 VAr
230 0,04 9,2 VA
LQ X I
S UI
    
   
1
2,5
cos 0,27
9,2
cos 0,27 74,3º
P
S

 
  
 
21º) Foi realizado um ensaio laboratorial de que resultaram os
valores indicados no esquema da figura.
a) Calcule o valor de IL.
b) Calcule o valor de R.
c) Calcule o valor de V.
d) Determine as reatâncias do circuito.
e) Calcule as potências reativas parciais e total.
f) Calcule o fator de potência.
5) Resolução.
a)
b)
c)
2 2 2 2 2 2
2 2 2 2 2
2 2
( )
4 3 2,65 A
2,65 2 4,65 A
X L C
R L C R X
X R X R
X
X L C L X C
I I I
I I I I I I I
I I I I I I
I
I I I I I I
 
      
      
   
       
2 2 2
/ 210 / 3 23,3R RP R I R P I      
/ 210 / 3 70 VR RP U I U P I     
Resolução.
d)
e)
f)
/ 70 / 4,65 15,1
/ 70 / 2 35
L L
C C
X U I
X U I
   
   
70 4,65 325,5 VAr
70 2 140 VAr
325,5 140 185,5 VAr
L L
C C
T L C
Q U I
Q U I
Q Q Q
    
      
    
2 2 2 2
210 185,5 280,2 VA
210
cos 0,75
280,2
TS P Q
P
S

    
  

Gabarito v2

  • 1.
    1ª. Um capacitorde 10µF é alimentado por uma tensão alternada de valor eficaz V=120 V e freqüencia de 50 Hz. Calcule a reatância do capacitor. 2ª. Um capacitor de reatância igual a 8 é alimentado por uma tensão alternada de valor eficaz V=220 V e freqüencia de 50 Hz. Calcule: a) A capacitância do capacitor b) A corrente eficaz sobre o capacitor     5,318 1010.50.2 1 2 1 6 fC XC F fX C C 4 104 8.502 1 2 1    A X V I C C C 5,27 8 220 
  • 2.
    3ª. Um capacitoré alimentado por uma tensão V = 150 V e frequencia de 60 Hz, sendo percorrido por uma corrente de 0,4 A. Calcule: a) A reactância capacitiva. b) A capacitância do capacitor . 4ª. Com um dado capacitor fizeram-se dois ensaios, tendo-se obtido os seguintes valores: 1.°ensaio—V=220V, f=50 Hz, l=0,6A 2.°ensaio—V=220V, f= 150 Hz, I=? Calcule: a) A capacidade do condensador. b) A corrente I absorvida no 2.º ensaio. F fX C C 6 108,5 550.502 1 2 1     550 4,0 220 C C C I V X
  • 3.
  • 4.
    5º) Uma bobina,com indutância L = 0,4 H e resistência R = 70 Ω (imaginar um circuito em série) , é alimentada por uma tensão V = 120 V com frequencia de 60 Hz. a) Calcule a reatância indutiva da bobina. b) Calcule a impedância da bobina. c) Calcule a corrente através da bobina d) Determine as tensões VR e VL e) Determine o ângulo entre VT e VR  7,1502 fLXL   16,166707,150 2222 RXZ L A Z V I T 72,0 16,166 120  VIXVVRIV LLR 5,10872,0.7,1505,5072,0.70            65 70 7,150atg R Xatg L
  • 5.
    6º) Em umlaboratório, foram efetuados dois ensaios, um em c.c. e outro em c.a., com uma bobina e tendo-se obtido as seguintes leituras: 1º ensaio em c.c.: V=20V, I=0,4A. 2º ensaio em c.a.: V=120V, I=0,4A, f=50Hz. Determine a) A resistência eléctrica da bobina. b) A impedância da bobina. c) A reatância indutiva da bobina. d) A indutância da bobina H f X L L 94,0 50.2 8,295 2    504,0/20/ IVR R  3004,0/120/ IVZ    8,29522222 RZXRXZ LL
  • 6.
    7º) Uma bobinatem uma resistência elétrica de 25 Ω e uma indutância L = 0,5 H. Aplicou-se-lhe uma tensão alternada de valor eficaz igual a U = 24 V. Calcule o valor de XL, Z e I nas duas situações seguintes: a) Supondo que f = 50 Hz. b) Supondo que f =3000 Hz. 2 2 2 2 50 0,5 157,1 25 157,1 159,1 24 150 159,1 LX fL Z U I mA Z               2 3 2 2 2 3000 0,5 9,425 k 25 (9,425 10 ) 9,425 k 24 2,545 mA 9,425 k LX fL Z U I Z                
  • 7.
    8º) Uma bobinacom uma resistência R = 30 Ω absorve 0,5 A quando submetida a U = 100 V e frequencia de 50 Hz. Calcule: a) A sua impedância. b) A sua reactância. c) A sua indutância. d) O ângulo . e) Os valores de UR e UL.
  • 8.
    8º)a) A suaimpedância. b) A sua reactância. c) A sua indutância. d) O ângulo . e) Os valores de VR e VL. 100 200 0,5 U Z I     2 2 2 2 200 30 197,7LX Z R      197,7 2 0,63 2 2 50 L L X X fL L H f          30 cos 0,15; 81,4º 1,42 rad 200 R Z       L 30 0,5 15 V U 197,7 0,5 98,9 V R L U R I X I          
  • 9.
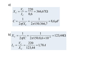
    9º) Um circuitoconstituído por uma resistência R= 120 Ω ligada em série, com uma capacitor de C = 20µF, é alimentado por uma tensão V = 150 V — 50 Hz. Calcule: a) A reatância capacitiva. b) A impedância do circuito. c) A intensidade da corrente. d) As tensões parciais VR e VC. e) O ângulo de desfasagem .
  • 11.
    10ª. Fez-se umensaio com um circuito RC série de que resultaram os valores indicados na figura. Calcule: a) A reactância capacitiva e a capacitância do capacitor b) A resistência elétrica. c)A impedância do circuito. d) A tensão aplicada ao circuito. e) O ângulo de desfasagem 
  • 12.
    Resolução a) b) c) d) e) / =47,8 1,531,87 1 (2 ) 1/ 2 1/ (2 50 31,87) 100μF C C C C X U I X fC C fX C              / 84 /1,5 56RR U I    2 2 2 2 56 31,87 64,4CZ R X      2 2 2 2 64,4 1,5 96,6 V ou 84 47,8 96,6 VR C U ZI U U U          1 56 84 cos 0,87 ou cos 0,87 64,4 96,6 cos 0,87 29,5º RUR Z U             
  • 13.
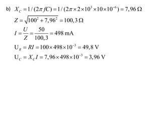
    11ª. Aplicou-se aum circuito elétrico, constituído por uma resistência R = 100 Ω em serie com uma capacitor C = 10 µF, uma tensão alternada de 50 V. a) Supondo que a frequência era de 20 Hz, calcule os valores de XC, Z, I, UR e UC. b) Supondo que a frequência era de 2 kHz, calcule os valores de XC, Z, I, UR e UC. a) 6 2 2 3 3 1/ (2 ) 1/ (2 20 10 10 ) 795,8 100 795,8 802 50 62,3 mA 802 U 100 62,3 10 6,23 V U 795,8 62,3 10 49,6 V C R C C X fC Z U I Z RI X I                             
  • 14.
    b) 3 6 22 3 3 1/ (2 ) 1/ (2 2 10 10 10 ) 7,96 100 7,96 100,3 50 498 mA 100,3 U 100 498 10 49,8 V U 7,96 498 10 3,96 V C R C C X fC Z U I Z RI X I                              
  • 15.
    12ª) Aplicou-se umatensão de 100 V — 50 Hz a um circuito RLC série constituído por uma resistência R = 50 Ω, uma indutância L= 0,5 H e uma capacidade C = 150 µF. Calcule: a) As reatâncias indutiva e capacitiva. b) A impedância do circuito. c) A intensidade de corrente. d) As tensões parciais VR, VL e VC. e) A desfasagem .
  • 17.
    13ª) Considere umcircuito RLC série, constituído por uma resistência R = 100 Ω, uma reactância indutiva XL = 80 Ω e uma reatância capacitiva XC =200 Ω. A tensão aplicada ao circuito é de 200 V — 50 Hz. a) Calcule a impedância do circuito. b) Calcule a intensidade da corrente no circuito. c) Calcule as tensões parciais VR, VL e VC do circuito. d) Calcule o valor de . e) Construa o diagrama fasorial, indicando a natureza do circuito.
  • 18.
    Resolução a) b) c) d) . 2 2 22 2 ( ) 100 (80 200) 156,2L CZ R X X        200 156,2 1,28 AI U Z   100 1,28 128 V 80 1,28 102,4 V 200 1,28 256 V R L L C C U RI U X I U X I             1 100 cos 0,64 156,2 cos 0,64 50,2º R Z         
  • 19.
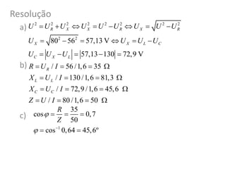
    14ª) Fez-se umensaio com um circuito RLC série, tendo-se obtido os seguintes valores: VT = 80 V, I= 1,6 A, VR = 56 V e VL = 130 V. Sabendo que o circuito é predominantemente indutivo, calcule: a) A tensão no capacitor. b) A resistência, as reatâncias e a impedância. c) O ângulo .
  • 20.
    Resolução a) b) c) / 56 /1,635 / 130 /1,6 81,3 / 72,9 /1,6 45,6 / 80 /1,6 50 R L L C C R U I X U I X U I Z U I                 1 35 cos 0,7 50 cos 0,64 45,6º R Z         2 2 2 2 2 2 2 2 2 2 80 56 57,13 V 57,13 130 72,9 V R X X R X R X X L C C X L U U U U U U U U U U U U U U U U                   
  • 21.
    16ª) Considere umcircuito RLC série com R= 30 Ω, L= 0,8 H e C = 8 µF. A tensão aplicada é de 60 V. Calcule: a) A frequência de ressonância, sabendo que quando ocorre a ressonância a reatância capacitiva é igual a reatância indutiva. b) As tensões aos terminais da resistência, bobina e do capacitro, para a frequência de ressonância.
  • 22.
    Resolução a) b) 6 1 1 62,9 Hz 22 0,8 8 10 rf LC        6 2 2 62,9 0,8 316,2 1 1 316,2 2 2 62,9 8 10 Como se pode verificar para a frequência de ressonância , logo, 60 V / 60 / 30 2 A 316,2 2 632,4 V L C L C R L C X fL X fC X X Z R U U I U R U U XI                               
  • 23.
    17ª) Um ensaiode um circuito RLC série forneceu-nos as leituras indicadas no esquema apresentado.
  • 24.
    a) Calcule osvalores de R, XL, Xc e Z. b) Calcule as potências reativas na bobina, no capacitor e total. c) Calcule a potência ativa que o wattímetro deve indicar. d) Calcule a potência aparente S e a tensão VT. e) Construa o triângulo das potências. f) Calcule o fator de potência do circuito e o ângulo . g) Diga se o circuito é indutivo ou capacitivo.
  • 26.
    18ª) Considere umcircuito RLC série constituído por uma resistência R = 100 Ω, uma reatância indutiva XL = 80 Ω e uma reatância capacitiva XC = 200 Ω. A tensão aplicada ao circuito é de 200 V — 50 Hz. a) Calcule a impedância do circuito b) Calcule a intensidade no circuito c) Calcule as potências reactivas parciais e total. d) Calcule as potências activa e aparente e) Construa o triângulo das potências. f) Calcule o factor de potência e o ângulo  g) Construa o diagrama vetorial, indicando a natureza do circuito.
  • 27.
    Resolução a) b) c) d) e) Construir diagramafasorial 2 2 2 2 2 ( ) 100 (80 200) 156,2L CZ R X X        200 156,2 1,28 AI U Z   100 1,28 128 V 80 1,28 102,4 V 200 1,28 256 V R L L C C U RI U X I U X I             1 100 cos 0,64 156,2 cos 0,64 50,2º R Z         
  • 28.
    19ª) Fez-se umensaio laboratorial com um circuito RC série, tendo- se obtido os seguintes valores P = 150 W, UR = 75 V e UC = 60 V. Calcule: a)A tensão aplicada ao circuito. b) A corrente no circuito. c) As potências reactiva e aparente. d) A resistência e a reactância. e) A impedância do circuito. f) A desfasagem .
  • 29.
    Resolução a) b) c) d) e) f) 2 2 22 75 60 96 VR CU U U     150 2 A 75 R R P P U I I U       2 2 2 2 A potência reactiva capacitiva é sempre negativa. 60 2 120 VAr 150 ( 120) 192 VA CQ U I S P Q              2 2 2 2 75 / 2 37,5 ou / 150 / 2 37,5 60 / 2 30 ou / 120 / 2 30 R C C C C R U I R P I X U I X Q I                 2 2 2 2 37,5 30 48CZ R X      137,5 cos 0, cos 0,781 38,6º 48 R Z          
  • 30.
    20ª) A bobinade um contactor absorve permanentemente uma corrente de 0,04 A quando submetida a uma tensão de 230 V — 50 Hz. Sabendo que o consumo da bobina é de 2,5 W, calcule: a) A resistência da bobina b) A reatância da bobina. c) As potências reativa e aparente. d) O fator de potência e a desfasagem 
  • 31.
    Resolução a) b) c) d) 2 2 2 2,5 1562,5 0,04 P P RIR I       2 2 2 2 2 2 2 / 230 / 0,04 5750 5750 1562,5 5533,6 L L L Z U I Z R X X Z R X                2 2 5533,6 0,04 8,85 VAr 230 0,04 9,2 VA LQ X I S UI          1 2,5 cos 0,27 9,2 cos 0,27 74,3º P S        
  • 32.
    21º) Foi realizadoum ensaio laboratorial de que resultaram os valores indicados no esquema da figura. a) Calcule o valor de IL. b) Calcule o valor de R. c) Calcule o valor de V. d) Determine as reatâncias do circuito. e) Calcule as potências reativas parciais e total. f) Calcule o fator de potência.
  • 33.
    5) Resolução. a) b) c) 2 22 2 2 2 2 2 2 2 2 2 2 ( ) 4 3 2,65 A 2,65 2 4,65 A X L C R L C R X X R X R X X L C L X C I I I I I I I I I I I I I I I I I I I I I I I                             2 2 2 / 210 / 3 23,3R RP R I R P I       / 210 / 3 70 VR RP U I U P I     
  • 34.
    Resolução. d) e) f) / 70 /4,65 15,1 / 70 / 2 35 L L C C X U I X U I         70 4,65 325,5 VAr 70 2 140 VAr 325,5 140 185,5 VAr L L C C T L C Q U I Q U I Q Q Q                  2 2 2 2 210 185,5 280,2 VA 210 cos 0,75 280,2 TS P Q P S         