Incorporar apresentação
Baixado 38 vezes












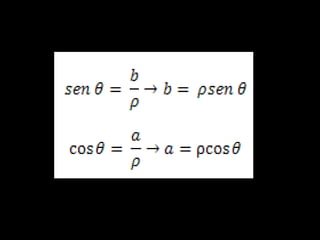
Um número complexo pode ser expresso em forma trigonométrica ou polar, onde o módulo ρ representa a magnitude do número e o argumento θ representa o ângulo. Substituindo esses valores na forma algébrica z = a + bi, obtém-se a forma trigonométrica z = ρ(cosθ + isenθ).











