Metabolismo de lagos
Denise Tonetta
Bióloga
Doutoranda do PPG Ecologia - UFSC
Curso de Verão em Limnologia
Um mergulho na ecologia de águas continentais
Florianópolis, SC
Fevereiro de 2015
 Apresentar os conceitos de
produtividade primária e
respiração,
 Entender o que é o
metabolismo líquido dos
ecossistemas aquáticos,
 Mostrar a origem e destino
do carbono nos ambientes
aquáticos,
 Falar sobre alguns resultados
obtidos até o momento.
Objetivos:
O que são Ecossistemas???
...abrange todos os organismos que funcionam em conjunto, em
uma determinada área, interagindo com o ambiente físico, de tal
modo que haja fluxo de matéria e energia através dos diferentes
componentes bióticos e abióticos dos sistemas.
O que são Ecossistemas???
...abrange todos os organismos que funcionam em conjunto, em
uma determinada área, interagindo com o ambiente físico, de tal
modo que haja fluxo de matéria e energia através dos diferentes
componentes bióticos e abióticos dos sistemas.
A nível de indivíduos...
Modelo Geral
Energia
Respiração
a
a
Respiração RespiraçãoRespiração
Fotossíntese
Decomposição
Nutrientes
Fluxo de Matéria e Energia
Capturam a energia solar
incorporando o CO2 no
ecossistema
Transferem matéria e energia
Decompõem a MO,
liberando CO2 para a
atmosfera e nutrientes para
o solo.
Produção primária
Produção secundáriaProdução secundária Produção secundária
A nível de ecossistemas...
...abrange todos os organismos que funcionam em conjunto, em
uma determinada área, interagindo com o ambiente físico, de tal
modo que haja fluxo de matéria e energia através dos diferentes
componentes bióticos e abióticos dos sistemas.
Ciclos Biogeoquímicos
Energia
Respiração
a
a
Respiração RespiraçãoRespiração
Fotossíntese
Decomposição
Nutrientes
Fluxo de Matéria e Energia
Capturam a energia solar
incorporando o CO2 no
ecossistema
Transferem matéria e energia
Decompõem a MO,
liberando CO2 para a
atmosfera e nutrientes para
o solo.
Produção primária
Produção secundáriaProdução secundária Produção secundária
Vamos pensar no
metabolismo aquático
 304 milhões de lagos (estimativa)
 Cobrem3% da superfície continental
(Downing et al. 2006)
O Ciclo do Carbono
Altamente energético
Produção primária
Respiração
Decomposição
Ambientes:
terrestre,
aquático e
atmosfera
Produção Primária
Estoque de energia através da formação de matéria orgânica a partir da
matéria inorgânica
organismos
autotróficos
Luz, nutrientes,
temperatura
Restrita a
horas do dia
Produção Primária Bruta
• Energia potencial para biomassa
• Parte é gasta na respiração
Produção Primária Líquida
PPB-R
• Energia armazenada em biomassa
Remineralização
Plantas**, fitoplâncton**, bactérias,
macrófitas, zooplâncton, peixes
Respiração
Dia ≠ noite
Decomposição
• Degradação da matéria orgânica
Ephemeroptera
OdonataDiptera
Trichoptera Plecoptera
Hemiptera
Coleoptera Megaloptera Lepidoptera
Variação diária
Variação temporal
Variação horizontal
Variação vertical
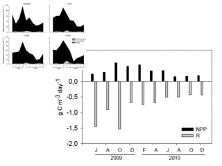
Produtividade líquida do ecossistema
• Ambiente heterotrófico
• Ambiente autotrófico
GPP>R
GPP=R
GPP<R
(Staehr et al., 2010)
OutputsInputs
OutputsInputs
OutputsInputs
Evolução dos modelos
Respiration
Sedimentation
Burial
Sedimentation
Burial
OutputsInputs
OutputsInputs
OutputsInputs
Evolução dos modelos
Respiration
Sedimentation
Burial
Sedimentation
Burial
OutputsInputs
OutputsInputs
OutputsInputs
Evolução dos modelos
Respiration
Sedimentation
Burial
Sedimentation
Burial
(Cole et al., 2007; Tranvik et al., 2009)
(Cole et al., 2007; Tranvik et al., 2009)
CO2
Litoral
CO2
Pelágico
CO2
PelágicoLitoral
CO2
Fontes ou depósitos de
Carbono???
(Cole et al., 2007; Tranvik et al., 2009)
Controle ascendente:
• Luz
• Temperatura
• Nutrientes
Controle descendente:
• Competição
• Predação - Herbivoria
Bactérias
Controles
Interações tróficas
Cascata trófica
Interferência na
produtividade do
ecossistema
Nutrientes
Entrada direta de CO2
Influências externas
(Kosten, 2010)
Temperatura
Aumento da temperatura
Lagos quentes
emitem mais CO2
(Kosten et al., 2010)
Os organismos heterotróficos
respondem mais rápido ao
aumento da temperatura do
que os organismos autotróficos
Temperatura
Aumento da temperatura
Lagos quentes
emitem mais CO2
(Kosten et al., 2010)
Os organismos heterotróficos
respondem mais rápido ao
aumento da temperatura do
que os organismos autotróficos
Respiração na água e no sedimento
• CO2 e CH4
Reservatório da Pampulha (MG)
Eutrofização
Se os lagos emitem CO2 naturalmente, então qual é o problema?
Se os lagos emitem CO2 naturalmente, então qual é o problema?
através da incubações em garrafas
Como estimar o metabolismo aquático?
Pressão parcial do CO2
direto ou indireto
Alta frequência e tempo real
PP= OD final – OD inicial
R= OD inicial – OD final
OxigênioDissolvido(mg/L)
6,5
7,0
7,5
8,0
8,5
9,0
Litoral
Pelágico
____________ ____________________ __________
18-02-2014 19-02-2014 20-02-2014
Temperaturadaágua(ºCelsius)
25,5
26,0
26,5
27,0
27,5
28,0
28,5
29,0
29,5
Litoral
Pelágico
____________ ____________________ __________
18-02-2014 19-02-2014 20-02-2014
Obrigada!
Contato
denisetonetta@yahoo.com.br

Metabolismo de Lagos